|
|
(21), (22) Заявка: 2005124127/02, 28.07.2005
(24) Дата начала отсчета срока действия патента:
28.07.2005
(46) Опубликовано: 10.06.2007
(56) Список документов, цитированных в отчете о поиске:
ЛОГИНОВ Ю.Я., ШЕРСТНЕВ В.А. Об одной особенности сопротивления меди циклическому нагружению. – Л., 1986. RU 2256899 C1, 20.07.2005. SU 1708882 A1, 05.10.1992. SU 290927 А, 11.03.1971. RU 2126842 C1, 28.02.1999.
Адрес для переписки:
197376, Санкт-Петербург, ул. Проф. Попова, 5, СПбГЭТУ, патентный отдел, Е.А. Ивановой
|
(72) Автор(ы):
Шерстнёв Владимир Алексеевич (RU), Мочалов Михаил Алексеевич (RU)
(73) Патентообладатель(и):
Общество с ограниченной ответственностью “САНТИ” (RU)
|
(54) СПОСОБ УПРОЧНЕНИЯ МЕТАЛЛИЧЕСКОЙ ЦИЛИНДРИЧЕСКОЙ ТРУБЫ
(57) Реферат:
Изобретение относится к области объемного упрочнения металлических изделий методами тренирующих механических воздействий. Техническим результатом изобретения является повышение циклической долговечности. Для достижения технического результата цилиндрическую тонкостенную трубу подвергают многократному тренировочному воздействию при непрерывном вращении главных осей напряженного состояния путем одновременного приложения растягивающей осевой силы, внутреннего давления и скручивающего момента, причем осевую силу и внутреннее давление прикладывают в виде знакопостоянных циклов в противофазах, а крутящий момент – по симметрическому циклу с отставанием или опережением по фазе на четверть периода относительно фазы одного из экстремальных значений осевой силы, причем получающемуся вихревому тренировочному двухосному растяжению придают спиралевидно нарастающий характер с доведением максимального главного напряжения до уровня временного сопротивления материала при частоте вращения главных осей напряженного состояния не менее 5-10 Гц. 6 ил.
Изобретение относится к области объемного упрочнения металлических изделий методами тренирующих механических воздействий.
Известен способ статической вытяжки металлических заготовок в виде прутков (В.И.Феодосьев. Сопротивление материалов. – М.: Наука, 1979, стр.54-55), [1], когда пруток вытягивали в пределах равномерной пластической деформации, в результате чего получали повышение характеристик прочности исходного материала. К достоинствам способа следует отнести надежную прогнозируемость данного эффекта и простоту технической реализации.
К недостаткам способа относится существенное искажение формы исходной заготовки, что ограничивает сферу его применения стержневыми элементами крепежного назначения и неоднозначность его влияния на сопротивление получаемых деталей разрушению при циклическом нагружении.
К повышению прочности материала тонкостенных цилиндрических труб приходят, реализуя растяжение в виде сложного пути статического нагружения при дискретной переориентации тренирующего воздействия по круговым траекториям (В.Г.Зубчанинов, Н.Л.Охлопков, В.В.Гараников. Экспериментальная пластичность. Книга 1. Процессы сложного деформирования. Изд. ТГТУ, Тверь, 2003), [2]. Считая технические усложнения при осуществлении способа оправданными достигаемым эффектом, необходимо отметить в качестве главного недостатка существенное искажение формы детали вблизи ее концевых зон вследствие значительных остаточных деформаций в поперечном направлении.
Известен способ нагружения тонкостенного цилиндрического трубчатого образца для получения вихревого растяжения материала, когда вектор напряжения в произвольной точке совершает вращение относительно нормали к боковой поверхности образца, проходящей через ту же точку (А.С. №1619117, опубл. в БИ №1, 1991), [3].
Одноосное растяжение материала в различных направлениях обеспечивается за счет одновременного приложения к цилиндрическому трубчатому образцу осевой силы, внутреннего давления и скручивающего момента в различных комбинациях.
Достоинство способа состоит в том, что он обеспечивает возможность выявления тренирующих воздействий в условиях плавной многократной переориентации растягивающего действия на стенку трубы.
Недостатки способа проявляются в технической сложности осуществления противофазных отнулевых циклов изменения осевой силы и внутреннего давления (предполагаются гидравлические источники силовозбуждения), а также в жесткой зависимости параметров генерируемого воздействия от изменения исходной геометрии образца, которое в зависимости от частоты нагружения может быть весьма значительным и которое в подобных случаях следует рассматривать как отдельный недостаток в виде искажения формы детали.
Известен также способ испытания [1], (стр.74) при динамической вытяжке металлических стержневых образцов, в результате которой получали существенное увеличение предела прочности исходного материала (см. в (1) и в (2) на фиг.1). Скорость деформирования при этом необходимо повышать от до и более, что технически вполне реализуемо.
Вместе с тем в условиях однократного динамического нагружения детали с целью ее упрочнения при незначительной остаточной деформации (сравнить ост (2) и ост (1) при одинаковом уровне напряжений max по кривым 2 и 1 на фиг.1) оказывается, технически сложно ограничить уровень максимального напряжения max при обеспечении требуемой высокой скорости деформирования.
По этой причине указанный способ чаще всего используют для получения оценки потенциальных возможностей детали в экстремальных ситуациях, нежели с целью создания упрочняющих технологий.
Наиболее близким к заявляемому техническому решению является способ воздействия на трубчатый образец (Ю.Я.Логинов, В.А.Шерстнев. Об одной особенности сопротивления меди циклическому нагружению. Деп. В ВИНИТИ, №2242 – В 86, 1986), [4], когда в образце создавали тренировочное воздействие в виде монотонной вытяжки на 50% от равномерной остаточной деформации материала трубы с последующим тренирующим циклическим растяжением при уровне максимальных за цикл напряжений, составляющем 80÷90% от достигнутого уровня напряжений на стадии монотонной вытяжки, причем тренировочное воздействие создавали в направлении, ортогональном по отношению к направлению рабочего воздействия. В результате указанных операций сопротивление материала разрушению от многоцикловой усталости, измеряемое числом циклов до разрушения, повышается на порядок и более. Недостатком способа при этом является достижение результата за счет значительных остаточных деформаций и соответственно за счет искажения формы упрочняемой детали, что особенно проявляется вблизи концевых зон.
Задачей, на решение которой направлено заявляемое изобретение, является получение способа упрочнения металлической цилиндрической трубы при весьма незначительных остаточных деформациях, которые должны составлять величину порядка 0,1÷0,2%, что соответствует норме на определение условного предела текучести материала с неявно выраженной площадкой текучести. Ожидаемый прогноз повышения циклической долговечности при этом основывается, с одной стороны, на факте с дискретной переориентацией тренировочного воздействия по отношению к рабочему, и с другой – на новых физических представлениях о релаксационной природе пластической деформации (Структурные уровни пластической деформации и разрушения. Панин В.Е., Гриняев Ю.В., Данилов В.И. и др. – Новосибирск: Наука. Сиб. отделение, 1990, стр.8-9), [5], которые предполагают необходимость учета скорости процесса пластического деформирования, при рассмотрении характера сопротивления материала механическому воздействию. В соответствии с [5] (стр.130-132) при некотором ограничении уровня макронапряжений по отношению к предельному процесс деформирования развивается на уровне дислокационных ансамблей, не выходя за рамки микро- и мезоуровней; эволюция структуры материала с обеспечением его упрочнения останавливается на уровне различных субструктур, не приводя к сколько-нибудь значительным макродеформациям.
Что же касается обеспечения относительно высоких скоростей тренировочного упругопластического деформирования и более), то оно может быть достигнуто за счет цикличности воздействия на деталь при частотах f5÷10 Гц даже при незначительном превышении максимального напряжения над пределом пропорциональности материала П в его исходном состоянии.
Технический результат, заключающийся в повышение статической прочности и циклической долговечности металлической цилиндрической трубы при незначительной остаточной деформации, достигается путем переориентации тренировочного механического воздействия на материал трубы на ортогональное по отношению к рабочему воздействию, причем тренировочное воздействие представляет собой монотонную вытяжку на 50% от равномерной остаточной деформации материала трубы с последующим тренирующим циклическим растяжением при уровне максимальных за цикл напряжений, составляющем 80-90% от достигнутого уровня напряжений на стадии монотонной вытяжки, при этом переориентация тренировочного воздействия производится многократно при непрерывном вращении главных осей напряженного состояния (вихрь нагружения), достигаемом посредством одновременного приложения растягивающей осевой силы внутреннего давления и скручивающего момента, причем осевую силу и внутреннее давление прикладывают в виде знакопостоянных циклов в противофазах, а крутящий момент – по симметричному циклу с отставанием (или опережением) по фазе на четверть периода относительно фазы одного из экстремальных значений осевой силы, причем получающемуся вихревому тренировочному двухосному растяжению придают спиралевидно нарастающий характер с доведением максимального главного напряжения до уровня временного сопротивления материала при частоте вращения главных осей напряженного состояния не менее 5÷10 Гц.
На фиг.1 приведена иллюстрация, поясняющая идею упрочнения пластичного материала методом динамической вытяжки: увеличение предела пропорциональности П * (см. кривую 2) в сравнении с исходным значением П достигается при весьма незначительной величине остаточной деформации ост (2) в то время, как при статической вытяжке (кривая 1) соответствующая деформация ост (1) оказывается во много раз больше.
На фиг.2 – схема воздействия на тонкостенный трубчатый образец осевой силой N, скручивающим моментом М и внутренним давлением р, приводящими к двухосному растяжению, причем величины главных напряжений 1 и 2 определяются компонентами напряженного состояния х,  и x = х на элементарной площадке фиксированной ориентации.
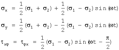
На фиг.3 – графики изменения напряжений x,  и x = х, приводящие к вращению главных осей напряженного состояния 1 и 2 с постоянной циклической частотой; при этом

На фиг.4 – круговая диаграмма напряжений, показывающая, что положение характерных площадок напряженного состояния (главные площадки 1 и 2, а также площадки с max) периодически изменяется во времени, поскольку = (t).
На фиг.5 – вариант изменения во времени напряжений 1 и 2 с целью реализации тренирующего воздействия; напряжение 1 при этом увеличивается до уровня 1 в, где в – предел статической прочности материала (временное сопротивление).
На фиг.6 – установка для реализации предлагаемого способа упрочнения.
Последовательность механических воздействий на трубу, которые приводят к существенному объемному упрочнению материала при незначительных остаточных деформациях (0,1÷0,2%) состоит в следующем.
Статическим воздействием факторами N и р (фиг.2) в образце создают за время tСВ (фиг.5) двухосное равномерное растяжение при , причем min 0,2 П. Вводя динамическую составляющую воздействия в соответствии с графиками х,  и х = х (фиг.3), реализуют стадию подготовки tподг тренировочного режима (фиг.5), увеличивая напряжение 1 до уровня П и снижая напряжение 2 до уровня min Затем переходят к режиму тренировки tрег с регулированием значения 1, увеличивая его до уровня 1 В (точное значение определяется на основании нескольких пробных опытов). Завершают тренировку образца в режиме стабилизации tст, после чего снижают сначала циклическую составляющую воздействия или проводя динамическую разгрузку (стадия tдр), а затем проводят и статическую разгрузку (стадия tcp). Длительность режимов tсн, tподг, tрег, tдр, tcp определяется техническими возможностями регулирования используемого нагружающего устройства, а длительность режима стабилизации составляет 1 мин (частота нагружения/в процессе циклического воздействия составляет f5÷10 Гц).
В результате описанных воздействий цилиндрическая тонкостенная труба, оставаясь практически в прежних размерах, приобретает более высокие характеристики прочности.
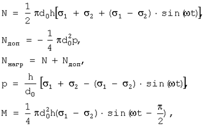
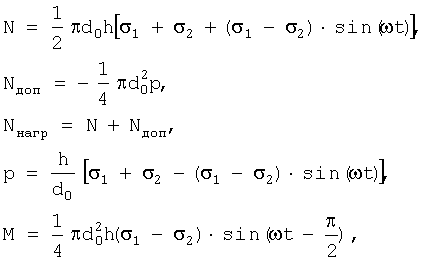
Для реализации предлагаемого способа упрочнения необходимо обеспечить трехкомпонентное нагружение цилиндрической трубы, где значение силовых факторов N (осевая сила), р (внутреннее давление) и М (скручивающий момент) задают на основании следующих формул:

где Nдоп – дополнительное осевое усилие, необходимое для уравновешивания осевого растяжения трубы от внутреннего давления р; Nнагр – усилие, прикладываемое к трубе со стороны нагружающего устройства; d0 – внутренний диаметр трубы; h – толщина стенки трубы.
Данный способ может быть реализован при использовании устройства (фиг.6), предназначенного для обработки трубы 1, содержащего источники 2, 3, 4 генерирования осевой силы N, внутреннего давления р и скручивающего момента М, а также стандартную разрывную машину с основанием 5, неподвижной траверсой 6, подвижной траверсой 7 и колоннами 8. Источники силовозбуждения 2, 3 и 4 должны обеспечивать сервогидравлическое регулирование параметров N, р и М по величине и их соответствие по фазам.
Формула изобретения
Способ упрочнения металлической цилиндрической трубы, включающий переориентацию тренировочного механического воздействия на материал трубы, отличающийся тем, что переориентацию тренировочного воздействия производят многократно при непрерывном вращении главных осей напряженного состояния путем одновременного приложения растягивающей осевой силы, внутреннего давления и скручивающего момента, причем осевую силу и внутреннее давление прикладывают в виде знакопостоянных циклов в противофазах, а крутящий момент – по симметрическому циклу с отставанием или опережением по фазе на четверть периода относительно фазы одного из экстремальных значений осевой силы, причем получающемуся вихревому тренировочному двухосному растяжению придают спиралевидно нарастающий характер с доведением максимального главного напряжения до уровня временного сопротивления материала при частоте вращения главных осей напряженного состояния не менее 5-10 Гц.
РИСУНКИ
|
|