Патент на изобретение №2300536
|
||||||||||||||||||||||||||
(54) СПОСОБ ОБРЫВА ЦЕПИ В ПРОЦЕССЕ ПОЛИМЕРИЗАЦИИ ПВХ
(57) Реферат:
Изобретение относится к способу и композиции для обрыва цепи в процессе полимеризации винилхлорида в присутствии стабильного свободного нитроксильного радикала и фенольного антиоксиданта, которые добавляют после превращения от 50 до 90% винилхлорида. Эффективность композиции для обрыва цепи характеризуется низкой разницей давления при полимеризации. 3 н. и 11 з.п. ф-лы, 3 табл.
Настоящее изобретение относится к способу и композиции для обрыва цепи в процессе полимеризации или сополимеризации винилхлорида в присутствии стабильного свободного нитроксильного радикала и фенольного антиоксиданта. Еще одной целью изобретения является применение стабильного свободного нитроксильного радикала совместно с фенольным антиоксидантом в качестве обрывающей цепь смеси для процесса полимеризации или сополимеризации винилхлорида. И, тем не менее, другой целью является самостоятельное применение высших пространственно-затрудненных нитроксильных радикалов в качестве агентов обрыва цепи для процесса полимеризации винилхлорида. Среди всех производимых полимеров поливинилхлорид (ПВХ) занимает уникальное положение. Он относительно недорог и находит применение в настолько широком диапазоне областей техники, что его многосторонность является почти безграничной. В зависимости от его молекулярной массы, добавок и стабилизаторов, диапазон применения охватывает от жестких труб и профилей до очень мягких, прозрачных и гибких пленок. ПВХ может быть получен из винилхлоридного мономера (ВХМ) по трем разным методам. Наиболее широко применяют полимеризацию суспензионного типа, на долю которой приходятся приблизительно 75%. С использованием защитного коллоида в реакторе с мешалкой в воде диспергируют капельки жидкого винилхлорида. Полимеризация протекает внутри капелек благодаря применению маслорастворимого инициатора. Продукт находится в форме пористых зерен диаметром 100-150 мкм. Другим методом является эмульсионный путь, в котором с помощью перемешивания и эффективных поверхностно-активных веществ мономер диспергируют в воде и полимеризацию проводят в водной фазе с использованием водорастворимого инициатора. Продукт полимеризации находится в форме водной латексной дисперсии частиц ПВХ диаметром 0,1-2,0 мкм. Их сушат распылением с получением более крупных агломератов, которые измельчают с последующим диспергированием в растворителях, а для применения в разнообразных процессах намазывания и окунания используют пластификаторы с получением пластизолей. Третьим путем является полимеризация в объеме или массе. Как предполагается в самом названии, полимеризацию проводят в винилхлориде (ВХМ) в отсутствии воды. Обзор получения ПВХ представлен, например, в работе Encyclopedia of Polymer Science и Engineering, издание второе, том 17, с.295-376. Что касается полимеризации винилхлорида, то подавляющее количество поливинилхлорида получают суспензионной полимеризацией. В этом методе винилхлоридный мономер и инициатор диспергируют перемешиванием в водной фазе в условиях соответствующих температуры и давления. Для стабилизации суспензии во время реакции полимеризации используют суспендирующие агенты, такие как метил- или этилцеллюлоза, желатина, поливиниловый спирт и другие водорастворимые полимеры. Тонкодисперсные гранулы полимера в форме суспензии из реактора выгружают и центрифугируют или отфильтровывают для удаления воды. Завершают процесс тщательными промывкой и сушкой полимера для удаления следов стабилизатора суспензии и реакционной среды. К концу полимеризационного цикла давление в системе начинает падать, и в течение очень короткого времени после этого наступает пик скорости полимеризации. По прошествии этого пика скорость начинает падать резко и полимерные шарики становятся менее пористыми, так как свободный мономер абсорбируется полимером. Такое изменение характера частиц в смысле как пористости, так и распределения частиц по размерам для производителя является недостатком в смысле как ухудшения эксплуатационных свойств, так и экономичности получения. Так, например, для улучшенного поглощения пластификатора с получением сухих смесей для различных процессов экструзии или каландрирования необходима пористая поверхность гранулированного продукта. С целью избежать таких негативных эффектов производитель обычно заканчивает реакцию полимеризации до полного превращения мономера. Опыт производителя обычно позволяет лучше всего определить точку, в которой завершают полимеризацию для получения высококачественного полимера, хотя в общем точка завершения соответствует превращению от 70 до 90%. Для остановки полимеризации были разработаны различные методы. Чисто механический технический прием состоит в выгрузке суспензии полимера в отпарную емкость, в которой создано пониженное давление, и быстром снижении температуры и давления для эффективной остановки полимеризации. Разработаны также различные химические технические приемы. Многочисленные обычные химические средства для остановки реакций полимеризации винильных мономеров подробно представлены в посвященных химии работах и публикациях. Более поздние из предложенных технических приемов включают добавление агентов обрыва цепи или обрывающих цепь агентов для остановки свободнорадикального роста цепи, удаление непрореагировавшего мономера и обработку подвергшейся превращению суспензии с получением сухого поливинилхлорида. Так, например, с целью обрыва цепи на предопределенном этапе в смесь реагентов добавляют такие соединения, как Другая композиция для обрыва цепи ПВХ на основе затрудненных фенолов описана в US №4229598. Эту композицию готовят алкилированием фракции процесса фракционирования продукта парофазного метилирования фенола. Фракция, которую алкилируют, представляет собой особую смесь крезиловых кислот, образующую соответствующую смесь простых метилтретбутилфенолов. Однако приготовление этих смесей неизбежно сопряжено с довольно сложными и связанными с жесткими требованиями процессами. В US 5880230 описано самостоятельное применение стабильных свободных нитроксильных радикалов, в частности тетраметилпиперидиновых соединений, в качестве агентов обрыва цепи для полимеризации винильных мономеров, в частности процессов полимеризации стирола с бутадиеном. Следовательно, первым объектом настоящего изобретения является модификация реакций полимеризации винилхлорида таким образом, чтобы повысить эффективность стадии обрыва цепи. Было установлено, что совместное применение фенольных антиоксидантов со стабильными свободными нитроксильными радикалами приводит к неожиданному повышению эффективности обрыва цепи в процессе полимеризации винилхлорида. Следовательно, одним объектом изобретения является способ обрыва цепи в процессе полимеризации винилхлорида, который включает добавление в реакционную систему а) стабильного свободного нитроксильного радикала и б) фенольного антиоксиданта. В предпочтительном варианте стабильный свободный нитроксильный радикал, компонент а), и фенольный антиоксидант, компонент б), добавляют после превращения от 50 до 97% мономера, более предпочтительно от 60 до 95%, а наиболее предпочтительно от 70 до 90%. Предпочтителен способ, при осуществлении которого полимеризацию проводят как суспензионную полимеризацию. Процесс суспензионной полимеризации представляет собой по существу процесс полимеризации в массе, проводимый в миллионах небольших “реакторов” (капелек). Жидкий винилхлорид под самопроизвольно создающимся давлением паров диспергируют в воде интенсивным перемешиванием в реакторе (автоклаве). Это приводит к образованию капелек, например, среднего размера в пределах от 30 до 40 мкм, которые стабилизируют против коалесценции одним или несколькими защитными коллоидами (гранулирующие агенты). Другой существенный компонент представляет собой растворимый в мономере инициатор свободнорадикальной полимеризации. Как правило такая базовая композиция, называемая также составом, может включать 100 част. винилхлорида, от 90 до 130 част. воды, от 0,05 до 0,15 част. защитного коллоида и от 0,03 до 0,08 част. инициатора свободнорадикальной полимеризации. Для достижения оптимальной морфологии необходимо использовать другие добавки, такие как кислород, буферы, вторичные или третичные гранулирующие агенты, регуляторы степени полимеризации или удлинители цепей, сомономеры и антиоксиданты. Типичными защитными коллоидами являются производные простых эфиров целлюлозы, частично гидролизованные поливинилацетаты или поливиниловые спирты. Примерами простых эфиров целлюлозы служат гидроксипропилметилцеллюлоза, гидроксиэтилцеллюлоза, гидроксипропилцеллюлоза и метилцеллюлоза. Типичные инициаторы свободнорадикальной полимеризации представляют собой диацилпероксиды, такие как дилауроилпероксид, пероксодикарбонаты, такие как дициклогексилпероксодикарбонат и дицетилпероксодикарбонат, сложные алкилпероксиэфиры, такие как третбутилпероксипивалат и Стабильный свободный нитроксильный радикал в предпочтительном варианте добавляют в количестве от 0,001 до 1%, более предпочтительно от 0,005 до 0,5%, а наиболее предпочтительно от 0,01 до 0,1 мас.%, в пересчете на массу исходного винилхлорида. Фенольный антиоксидант в предпочтительном варианте добавляют в количестве от 0,001 до 1%, более предпочтительно от 0,005 до 0,5%, а наиболее предпочтительно от 0,01 до 0,1 мас.%, в пересчете на массу исходного винилхлорида. Предпочтительное соотношение между фенольным антиоксидантом и стабильным свободным нитроксильным радикалом составляет от 20:1 до 1:20, более предпочтительно от 10:1 до 1:10, а наиболее предпочтительно от 5:1 до 1:5. Реакционная температура в предпочтительном варианте находится в пределах 40 и 95°С, а давление – в пределах 5 и 30 бар. Приемлемые стабильные свободные нитроксильные радикалы известны и во многих публикациях описаны как являющиеся эффективными для процессов полимеризации, опосредствованных стабильными свободными радикалами. Стабильные свободные радикалы, обладающие структурным элементом В WO 98/30601 описаны, например, особые нитроксилы на основе имидазолидинонов. Кроме того, в WO 98/44008 описаны специфические нитроксилы на основе морфолинонов, пиперазинонов и пиперазиндионов. Другие примеры, такие как
Далее, приемлемые соединения и их получение описаны, например, в US 4581429, US 5721320, US 5627248 или в WO 98/13392. Предпочтительные соединения отвечают формуле А, В или О
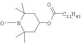
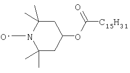
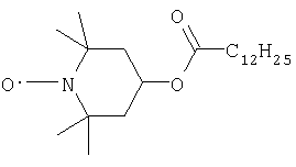
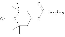
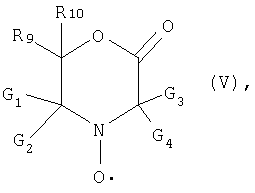
в которой G1, G2, G3, G4 независимо обозначают алкил, содержащий от 1 до 4 углеродных атомов, или G1 и G2 или G3 и G4, или G1 и G2 и G3 и G4 совместно обозначают пентаметилен; G5, G6 независимо обозначают водородный атом или С1-С4алкил; R, если m обозначает 1, обозначает водородный атом, С1-С18алкил, который не прерывается, или С2-С18алкил, прерываемый одним или несколькими атомами кислорода, цианоэтил, бензоил, глицидил, одновалентный радикал алифатической карбоновой кислоты, содержащей от 2 до 18 углеродных атомов, циклоалифатической карбоновой кислоты, содержащей от 7 до 15 углеродных атомов, или R, если m обозначает 2, обозначает С2-С12алкилен, С4-С12алкенилен, ксилилен, двухвалентный радикал алифатической дикарбоновой кислоты, содержащей от 2 до 36 углеродных атомов, или циклоалифатической или ароматической дикарбоновой кислоты, содержащей 8-14 углеродных атомов, или алифатической, циклоалифатической или ароматической дикарбаминовой кислоты, содержащей 8-14 углеродных атомов; или R обозначает двухвалентный радикал включающей трехвалентный фосфор кислоты или двухвалентный силильный радикал; R, если m обозначает 3, обозначает трехвалентный радикал алифатической, циклоалифатической или ароматической трикарбоновой кислоты; R, если m обозначает 4, обозначает четырехвалентный радикал алифатической, циклоалифатической или ароматической тетракарбоновой кислоты; р обозначает 1; R1 обозначает С1-С12алкил, С5-С7циклоалкил или бензоил; R2 обозначает С1-С12алкил, С5-С7циклоалкил или группу формулы -CO-Z, в которой Z обозначает водородный атом, метил или фенил. Особенно предпочтительны соединения формулы А, В или О, в которой G1, G2, G3, G4 обозначают метил, а G5 и G6 обозначают водородный атом или G1 и G3 обозначают метил, G2 и G4 обозначают этил, G5 обозначает метил, а G6 обозначает водородный атом; R, если m обозначает 1, обозначает водородный атом, С1-С18алкил, который не прерывается, или С2-С18алкил, который прерывается одним или несколькими атомами кислорода, цианоэтил, бензоил, глицидил, одновалентный радикал алифатической карбоновой кислоты, содержащей от 2 до 18 углеродных атомов, циклоалифатической карбоновой кислоты, содержащей от 7 до 15 углеродных атомов, или R, если m обозначает 2, обозначает С2-С12алкилен, С4-С12алкенилен, ксилилен, двухвалентный радикал алифатической дикарбоновой кислоты, содержащей от 2 до 36 углеродных атомов, или циклоалифатической или ароматической дикарбоновой кислоты, содержащей 8-14 углеродных атомов, или алифатической, циклоалифатической или ароматической дикарбаминовой кислоты, содержащей 8-14 углеродных атомов; р обозначает 1; R1 обозначает С1-С12алкил, С5-С7циклоалкил или бензоил; R2 обозначает С1-С18алкил, С5-С7циклоалкил или группу формулы -CO-Z, в которой Z обозначает водородный атом, метил или фенил. Наиболее предпочтительны соединения в соответствии с формулой А. Конкретными примерами являются:
Особенно приемлемые соединения, такие как упомянутые выше, являются отчасти технически доступными или их получают из соответствующих тетраметилпиперидинов по известным методам. Высшие алкилзамещенные пиперидины и их получение описаны, например, в GB 2335190 и в GB 2361235. Другой предпочтительный ряд нитроксильных радикалов составляют те, которые отвечают формуле (Ic’), (Id’), (Ie’), (If’), (Ig’) или (Ih’)
в которых каждый из R1, R2, R3 и R4 независимо друг от друга обозначает C1-С18алкил, С3-С18алкенил, С3-С18алкинил, С1-С18алкил, С3-С18алкенил, С3-С18алкинил, которые замещены ON, атомом галогена или группой -О-С(О)-R5, С2-С18алкил, который прерывается по меньшей мере одним атомом О и/или группой NR5, С2-С12циклоалкил или С6-С10арил или R1 и R2 и/или R3 и R4 совместно с соединительным углеродным атомом образуют С3-С12циклоалкильный радикал; R5, R6 и R7 независимо обозначают водородный атом, С1-С18алкил или С6-С10арил; R8 обозначает водородный атом, OH, С1-С18алкил, С3-С18алкенил, С3-С18алкинил, C1-C18алкил, С3-С18алкенил, С3-С18алкинил, которые замещены одним или несколькими OH, атомом галогена или группой -O-C(O)-R5, С2-С18алкил, который прерывается по меньшей мере одним атомом О и/или группой NR5, С3-С12циклоалкил или С6-С10арил, С7-С9фенилалкил, С5-С10гетероарил, -С(O)-С1-С18алкил, -O-С1-С18алкил или -СООС1-С18алкил; а R9, R10, R11 и R12 независимо обозначают водородный атом, фенил или С1-С18алкил. В предпочтительном варианте в формулах (Ic’), (Id’), (Ie’), (If’), (Ig’) и (Ih’) по меньшей мере два из R1, R2, R3 и R4 обозначают этил, пропил или бутил, а остальные обозначают метил; или R1 и R2 или R3 и R4 совместно с соединительным углеродным атомом образуют С5-C6циклоалкильный радикал, а один из оставшихся заместителей представляет собой этил, пропил или бутил. Вышеприведенные соединения и их получение описаны в GB 2342649. Тем не менее другой предпочтительный ряд соединений составляют те, у которых стабильный свободный нитроксильный радикал содержит водородный атом, связанный с углеродным атомом в Фенольные антиоксиданты, которые можно использовать при выполнении настоящего изобретения, в данной области техники известны как термостабилизаторы для полимеров во время применения и переработки. Примеры приведены ниже. 1. Антиоксиданты 1.1. Алкилированные монофенолы, например 2,6-дитретбутил-4-метилфенол, 2-третбутил-4,6-диметилфенол, 2,6-дитретбутил-4-этилфенол, 2,6-дитретбутил-4-н-бутилфенол, 2,6-дитретбутил-4-изобутилфенол, 2,6-дициклопентил-4-метилфенол, 2-( 1.2. Алкилтиометилфенолы, например 2,4-диоктилтиометил-6-третбутилфенол, 2,4-диоктилтиометил-6-метилфенол, 2,4-диоктилтиометил-6-этилфенол, 2,6-дидодецилтиометил-4-нонилфенол. 1.3. Гидрохиноны и алкилированные гидрохиноны, например 2,6-дитретбутил-4-метоксифенол, 2,5-дитретбутилгидрохинон, 2,5-дитретамилгидрохинон, 2,6-дифенил-4-октадецилоксифенол, 2,6-дитретбутилгидрохинон, 2,5-дитретбутил-4-гидроксианизол, 3,5-дитретбутил-4-гидроксианизол, 3,5-дитретбутил-4-гидроксифенилстеарат, бис(3,5-дитретбутил-4-гидроксифенил)адипат. 1.4. Токоферолы, например 1.5. Гидроксилированные тиодифениловые простые эфиры, например 2,2′-тиобис(6-третбутил-4-метилфенол), 2,2′-тиобис(4-октилфенол), 4,4′-тиобис(6-третбутил-3-метилфенол), 4,4′-тиобис(6-третбутил-2-метилфенол), 4,4′-тиобис(3,6-дивторамилфенол), 4,4′-бис(2,6-диметил-4-гидроксифенил)дисульфид. 1.6. Алкилиденбисфенолы, например 2,2′-метиленбис(6-третбутил-4-метилфенол), 2,2′-метиленбис(6-третбутил-4-этилфенол), 2,2′-метиленбис[4-метил-6-( 1.7. О-, N- и S-бензиловые соединения, например 3,5,3′,5′-тетратретбутил-4,4′-дигидроксидибензиловый простой эфир, октадецил-4-гидрокси-3,5-диметилбензилмеркаптоацетат, тридецил-4-гидрокси-3,5-дитретбутилбензилмеркаптоацетат, трис(3,5-дитретбутил-4-гидроксибензил)амин, бис(4-третбутил-3-гидрокси-2,6-диметилбензил)дитиотерефталат, бис(3,5-дитретбутил-4-гидроксибензил)сульфид, изооктил-3,5-дитретбутил-4-гидроксибензилмеркаптоацетат. 1.8. Гидроксибензилированные малонаты, например диоктадецил-2,2-бис(3,5-дитретбутил-2-гидроксибензил)малонат, диоктадецил-2-(3-третбутил-4-гидрокси-5-метилбензил)малонат, дидодецилмеркаптоэтил-2,2-бис(3,5-дитретбутил-4-гидроксибензил)малонат, бис[4-(1,1,3,3-тетраметилбутил)фенил]-2,2-бис(3,5-дитретбутил-4-гидроксибензил)малонат. 1.9. Ароматические гидроксибензиловые соединения, например 1,3,5-трис(3,5-дитретбутил-4-гидроксибензил)-2,4,6-триметилбензол, 1,4-бис(3,5-дитретбутил-4-гидроксибензил)-2,3,5,6-тетраметилбензол, 2,4,6-трис(3,5-дитретбутил-4-гидроксибензил)фенол. 1.10. Триазиновые соединения, например 2,4-бис(октилмеркапто)-6-(3,5-дитретбутил-4-гидроксианилино)-1,3,5-триазин, 2-октилмеркапто-4,6-бис(3,5-дитретбутил-4-гидроксианилино)-1,3,5-триазин, 2-октилмеркапто-4,6-бис(3,5-дитретбутил-4-гидроксифенокси)-1,3,5-триазин, 2,4,6-трис(3,5-дитретбутил-4-гидроксифенокси)-1,2,3-триазин, 1,3,5-трис(3,5-дитретбутил-4-гидроксибензил)изоцианурат, 1,3,5-трис(4-третбутил-3-гидрокси-2,6-диметилбензил)изоцианурат, 2,4,6-трис(3,5-дитретбутил-4-гидроксифенилэтил)-1,3,5-триазин, 1,3,5-трис(3,5-дитретбутил-4-гидроксифенилпропионил)гексагидро-1,3,5-триазин, 1,3,5-трис(3,5-дициклогексил-4-гидроксибензил)изоцианурат. 1.11. Бензилфосфонаты, например диметил-2,5-дитретбутил-4-гидроксибензилфосфонат, диэтил-3,5-дитретбутил-4-гидроксибензилфосфонат, диоктадецил-3,5-дитретбутил-4-гидроксибензилфосфонат, диоктадецил-5-третбутил-4-гидрокси-3-метилбензилфосфонат, кальциевая соль моноэтилового эфира 3,5-дитретбутил-4-гидроксибензилфосфоновой кислоты. 1.12. Ациламинофенолы, например 4-гидроксилауранилид, 4-гидроксистеаранилид, октил-N-(3,5-дитретбутил-4-гидроксифенил)карбамат. 1.13. Эфиры 1.14. Эфиры 1.15. Эфиры 1.16. Эфиры 3,5-дитретбутил-4-гидроксифенилуксусной кислоты и одно- и многоатомных спиртов, например метанола, этанола, октанола, октадеканола, 1,6-гександиола, 1,9-нонандиола, этиленгликоля, 1,2-пропандиола, неопентилгликоля,тиодиэтиленгликоля,диэтиленгликоля, триэтиленгликоля, пентаэритрита, трис(гидроксиэтил)изоцианурата, N,N’-бис(гидроксиэтил)оксамида, 3-тиаундеканола, 3-тиапентадеканола, триметилгександиола, триметилолпропана, 4-гидроксиметил-1-фосфа-2,6,7-триоксабицикло[2.2.2]октана. 1.17. Амиды N,N’-бис(3,5-дитретбутил-4-гидроксифенилпропионил)триметилендиамид, N,N’-бис(3,5-дитретбутил-4-гидроксифенилпропионил)гидразид, N,N’-бис[2-(3-[3,5-дитретбутил-4-гидроксифенил]пропионилокси)этил]оксамид (продукт Naugard® XL-1, поставляется на рынок фирмой Uniroyal). Предпочтительны фенольные антиоксиданты формулы I
в которой R1 обозначает С1-С20алкил или группу -(СН2-СН2-O)n-R2, в которой n обозначает число от 1 до 4, а R2 обозначает группу Наиболее предпочтителен продукт взаимодействия 2,4-диметил-6-(1′-метилтридец-1′-ил)фенола и 20% октадецилового эфира Также предпочтительны фенолы, описанные в US 5098945. Нитроксильный радикал, компонент а), и фенольный антиоксидант, компонент б), можно добавлять в полимеризационную реакционную смесь одновременно или последовательно в чистом виде. По другому варианту их можно растворять в приемлемом органическом растворителе или эмульгировать или диспергировать в воде, а затем вводить в реакционную смесь. Другим объектом настоящего изобретения является композиция, включающая а) стабильный свободный нитроксильный радикал, б) фенольный антиоксидант и в) винилхлоридный мономер. Тем не менее еще одним объектом изобретения является применение а) стабильного свободного нитроксильного радикала и б) фенольного антиоксиданта в качестве обрывающей цепь смеси в процессах полимеризации винилхлорида. Уже упомянутые выше определения и предпочтения применимы также в отношении других объектов изобретения. И, тем не менее, другим объектом изобретения является способ обрыва цепи в процессе полимеризации винилхлорида, который включает добавление в реакционную систему стабильного свободного нитроксильного радикала формулы (А), (В), (О), (IV), (V), (VI), (VII), (VIII) или (IX)
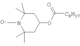
в которой G1, G2, G3, G4 независимо обозначают алкил, содержащий от 1 до 4 углеродных атомов, или G1 и G2 или G3 и G4, или G1 и G2 и G3 и G4 совместно обозначают пентаметилен при условии, что если G1-G4 обозначают C1-С4алкил, то по меньшей мере один обозначает этилпропил или бутил; G5, G6 независимо обозначают водородный атом или С1-С4алкил; R, если m обозначает 1, обозначает водородный атом, С1-С18алкил, который не прерывается, или С2-С18алкил, прерываемый одним или несколькими атомами кислорода, цианоэтил, бензоил, глицидил, одновалентный радикал алифатической карбоновой кислоты, содержащей от 2 до 18 углеродных атомов, циклоалифатической карбоновой кислоты, содержащей от 7 до 15 углеродных атомов, или R, если m обозначает 2, обозначает С2-С12алкилен, С4-С12алкенилен, ксилилен, двухвалентный радикал алифатической дикарбоновой кислоты, содержащей от 2 до 36 углеродных атомов, или циклоалифатической или ароматической дикарбоновой кислоты, содержащей 8-14 углеродных атомов, или алифатической, циклоалифатической или ароматической дикарбаминовой кислоты, содержащей 8-14 углеродных атомов; или R обозначает двухвалентный радикал включающей трехвалентный фосфор кислоты или двухвалентный силильный радикал; R, если m обозначает 3, обозначает трехвалентный радикал алифатической, циклоалифатической или ароматической трикарбоновой кислоты; R, если m обозначает 4, обозначает четырехвалентный радикал алифатической, циклоалифатической или ароматической тетракарбоновой кислоты; р обозначает 1; R1 обозначает С1-С12алкил, С5-С7циклоалкил или бензоил; R2 обозначает С1-С12алкил, С5-С7циклоалкил или группу формулы -CO-Z, в которой Z обозначает водородный атом, метил или фенил; R5, R6 и R7 независимо обозначают водородный атом, С1-С18алкил или C6-С10арил; R8 обозначает водородный атом, OH, С1-С18алкил, С3-С18алкенил, С3-С18алкинил, С1-С18алкил, С3-С18алкенил, С3-С18алкинил, которые замещены одним или несколькими OH, атомом галогена или группой -O-C(O)-R5, С2-С18алкил, который прерывается по меньшей мере одним атомом О и/или группой NR5, С3-С12циклоалкил или С6-С10арил, C7-С9фенилалкил, С5-С10гетероарил, -C(O)-C1-C18алкил, -О-С1-С18алкил или -СООС1-С18алкил; а R9, R10, R11 и R12 независимо обозначают водородный атом, фенил или С1-С18алкил. Соединения формул (А), (В), (О) и с (IV) по (IX) характеризуются тем, что пространственное затруднение вокруг атома азота вследствие присутствия по меньшей мере одного более высшего алкильного заместителя, такого как этилпропил или бутил, возрастает. Этот принцип самостоятельного использования нитроксильных радикалов с высоким пространственным затруднением в качестве средства обрыва цепи в литературе, посвященной данной области техники, до сих пор не описан. Способность к обрыву цепи оказывается превосходной, как это продемонстрировано в примере 5. В конкретном варианте выполнения изобретения процесс проводят с использованием соединения формул (А), (В), (О) и с (IV) по (IX), в которых G1 и G3 обозначают метил, G2 и G4 обозначают этил, G5 обозначает метил, а G6 обозначает водородный атом; или G1 и G2 обозначают этил, G3 и G4 обозначают метил, a G5 и G6 обозначают водородный атом. Предпочтительный стабильный свободный нитроксильный радикал отвечает формуле (А), (В) или (О). Объектом изобретения является также применение стабильного свободного нитроксильного радикала формулы (А), (В) или (О) в качестве агента обрыва цепи в процессах полимеризации винилхлорида. Поливинилхлорид, полученный в соответствии с настоящим изобретением, можно перерабатывать с приданием целевой формы известным путем. Методами этого типа являются, например, измельчение, каландрирование, экструзия, литье под давлением, спекание или прядение, а также экструзия с выдувным формованием или превращение по пластизольному методу. Его можно также превращать в пенопласты. Поливинилхлорид, получаемый в соответствии с изобретением, особенно приемлем для приготовления полужестких и гибких композиций, в частности в форме гибких композиций, для оболочек проводов и изоляции кабелей, которые являются особенно предпочтительными. В форме полужестких композиций он особенно приемлем для изготовления декоративных пленок, пенопластов, листовых материалов сельскохозяйственного назначения, труб, уплотнительных профильных материалов и пленочных изделий для офисов. В форме жестких композиций он особенно приемлем для изготовления полых изделий (бутылок), упаковочных пленок (пленок, полученных формованием листовых термопластов), пленок, полученных экструзией с раздувкой, пленок для подушек безопасности (автомобили), труб, пенопластов, массивных профилей (оконные рамы), тонкостенных профилей, строительных профилей, сайдингов, арматуры, пленочных изделий для офисов и корпусов для оборудования (компьютеры и бытовые электронные и электроприборы). Примерами применения поливинилхлорида в форме пластизолей являются искусственная кожа, настилы для полов, тканевые покрытия, облицовка стен, покрытия обмоток и антикоррозийное покрытие днища автомобилей. Сущность изобретения иллюстрируют следующие примеры. Примеры с 1 по 4, сравнительные примеры с 1 по 4. Описание общего эксперимента Полимеризацию осуществляют в соответствии с суспензионным методом проведением периодического процесса. Автоклавный реактор с двойной рубашкой и объемом 1000 мл работает при температуре 58 и 70°С и скорости вращения мешалки 1000 об/мин. В зависимости от температуры, используемой для полимеризации, давление составляет 9-12 бар. Давление фиксируют в цифровой форме (Buechi, bds.sc), также фиксируют температуру в реакторе. В реактор вводят следующий состав: 200 мл деминерализованной и дегазированной Н2О; 75 г винилхлорида 3.7, 99,97%-ного стабилизированного (поставщик: фирма Messer Griesheim); 300 мг поливинилового спирта (mowiol 8-88®, поставщик: фирма Clariant); 0,1 мольного % в пересчете на винилхлорид этил-3,3-ди(третбутилперокси)бутирата 75%-ного в изодекане (продукт Luperox 233М®, поставщик: фирма Atofina). Другие добавки (нитроксилы и антиоксиданты) вводят в указанном количестве либо в начале реакции (таблица 1, примеры с 1 по 2 и сравнительные примеры с 1 по 4) или по истечении некоторого времени полимеризации, как указано в таблице 2, примеры 3-4). По прошествии 7 ч реакционного времени полученный полимер выделяют фильтрованием. Полученный сырой полимер промывают водой, отфильтровывают, промывают этанолом, сушат под вакуумом при 40°С до тех пор, пока масса не остается постоянной. Молекулярные массы определяют ГПХ (3 колонки, фирма PL полимер labratories), калибруют с использованием полистирольных стандартов с узким распределением. Используемые соединения: продукт Irganox 1141®: смесь 80% 2,4-диметил-6-(1′-метилтридец-1′-ил)фенола и 20% октадецилового эфира
продукт Prostab 5415® фирмы Ciba Specialty Chemicals. Результаты представлены в таблицах 1 и 2. Пример 5 В отличие от описанного общего эксперимента эту реакцию проводят в 5-литровом лабораторном реакторе. 300 част./млн продукта Nitroxyl 1 добавляют в начале падения давления (по прошествии 3 ч времени реакции), по прошествии последующего времени реакции 1 ч, полученный полимер выделяют фильтрованием. Полученный сырой полимер промывают водой, отфильтровывают, промывают этанолом и сушат под вакуумом при 40°С до тех пор, пока масса не остается постоянной.
Пояснение к таблицам. Следствием полимеризации газообразного винилхлорида в закрытой системе, такой как автоклав, является расход мономера с течением времени. Одновременно с этим расход мономера снижает начальное давление внутри системы в соответствии с имеющимся количеством мономера. Таким образом, за расходом мономера и процессом полимеризации можно следить измерением давления в реакционном сосуде. Как только полимеризация замедляется или прекращается, изменение давления становится существенно уменьшенным или давление достигает постоянного значения. Следовательно, для того чтобы оценить эффективность добавки в отношении обрыва цепи по прошествии данного времени полимеризации, достаточно измерить в определенных условиях давление. В присутствии слабого агента обрыва цепи реакция полимеризации протекает, не подвергаясь влиянию, расход мономера оказывается высоким и разница давлений в период между начальной точкой и конечной точкой эксперимента велика. В присутствии эффективного агента обрыва цепи полимеризация обычно замедляется или останавливается, равно как и последующий расход мономера. Следовательно, достигаемая разница давлений оказывается низкой. В данных примерах эффективность агента обрыва цепи подтверждена низкой разницей давления. Предлагаемые по изобретению сочетания явно демонстрируют синергический эффект.
Формула изобретения
1. Способ обрыва цепи в процессе полимеризации винилхлорида, который включает добавление в реакционную систему а) стабильного свободного нитроксильного радикала и б) фенольного антиоксиданта. 2. Способ по п.1, в котором стабильный свободный нитроксильный радикал, компонент а), и фенольный антиоксидант, компонент б), добавляют после превращения от 50 до 97% мономера. 3. Способ по п.1, в котором полимеризацию проводят как суспензионную полимеризацию. 4. Способ по п.1, в котором стабильный свободный нитроксильный радикал добавляют в количестве от 0,001 до 1 мас.% в пересчете на массу исходного винилхлорида. 5. Способ по п.1, в котором фенольный антиоксидант добавляют в количестве от 0,001 до 1 мас.% в пересчете на массу исходного винилхлорида. 6. Способ по п.1, в котором соотношение между фенольным антиоксидантом и стабильным свободным нитроксильным радикалом составляет от 20:1 до 1:20. 7. Способ по п.1, в котором реакционная температура находится в пределах 40 и 95°С, а давление – в пределах 5 и 30 бар. 8. Способ по п.1, в котором нитроксильный радикал, компонент а), отвечает формуле А, В или О
в которой G1, G2, G3, G4 независимо обозначают алкил, содержащий от 1 до 4 углеродных атомов, или G1 и G2 или G3 и G4, или G1 и G2 и G3 и G4 совместно обозначают пентаметилен; G5, G6, независимо обозначают водородный атом или С1-С4алкил; R, если m обозначает 1, обозначает водородный атом, С1-С18алкил, который не прерывается, или С2-С18алкил, прерываемый одним или несколькими атомами кислорода, цианоэтил, бензоил, глицидил, одновалентный радикал алифатической карбоновой кислоты, содержащей от 2 до 18 углеродных атомов, циклоалифатической карбоновой кислоты, содержащей от 7 до 15 углеродных атомов, или R, если m обозначает 2, обозначает С2-С12алкилен, С4-С12алкенилен, ксилилен, двухвалентный радикал алифатической дикарбоновой кислоты, содержащей от 2 до 36 углеродных атомов, или циклоалифатической или ароматической дикарбоновой кислоты, содержащей 8-14 углеродных атомов, или алифатической, циклоалифатической или ароматической дикарбаминовой кислоты, содержащей 8-14 углеродных атомов; или R обозначает двухвалентный радикал включающей трехвалентный фосфор кислоты или двухвалентный силильный радикал; R, если m обозначает 3, обозначает трехвалентный радикал алифатической, циклоалифатической или ароматической трикарбоновой кислоты; R, если m обозначает 4, обозначает четырехвалентный радикал алифатической, циклоалифатической или ароматической тетракарбоновой кислоты; р обозначает 1; R1 обозначает С1-С12алкил, С5-С7циклоалкил или бензоил; R2 обозначает С1-С12алкил, С5-С7циклоалкил или группу формулы -CO-Z, в которой Z обозначает водородный атом, метил или фенил. 9. Способ по п.8, в котором нитроксильный радикал, компонент а), отвечает формуле А, В или О, в которой G1, G2, G3, G4 обозначают метил, а G5 и G6 обозначают водородный атом, или G1 и G3 обозначают метил, G1 и G4 обозначают этил, G5 обозначает метил, а G6 обозначает водородный атом; R, если m обозначает 1, обозначает водородный атом, С1-С18алкил, который не прерывается, или С2-С18алкил, который прерывается одним или несколькими атомами кислорода, цианоэтил, бензоил, глицидил, одновалентный радикал алифатической карбоновой кислоты, содержащей от 2 до 18 углеродных атомов, циклоалифатической карбоновой кислоты, содержащей от 7 до 15 углеродных атомов, или R, если m обозначает 2, обозначает С2-С12алкилен, С4-С12алкенилен, ксилилен, двухвалентный радикал алифатической дикарбоновой кислоты, содержащей от 2 до 36 углеродных атомов, или циклоалифатической или ароматической дикарбоновой кислоты, содержащей 8-14 углеродных атомов, или алифатической, циклоалифатической или ароматической дикарбаминовой кислоты, содержащей 8-14 углеродных атомов; р обозначает 1; R1 обозначает С1-С12алкил, С5-С7циклоалкил или бензоил; R2 обозначает С1-С18алкил, С5-С7циклоалкил или группу формулы -CO-Z, в которой Z обозначает водородный атом, метил или фенил. 10. Способ по п.1, в котором фенольный антиоксидант, компонент б), отвечает формуле 1 в которой R1 обозначает С1-С20алкил или группу -(CH2-CH2-O)n-R2, в которой n обозначает число от 1 до 4, а R2 обозначает группу 11. Композиция для обрыва цепи в процессе полимеризации винилхлорида, включающая а) стабильный свободный нитроксильный радикал, б) фенольный антиоксидант и в) винилхлорид. 12. Способ обрыва цепи в процессе полимеризации винилхлорида, который включает добавление в реакционную систему стабильного свободного нитроксильного радикала формулы (А), (В), (О), (IV), (V), (VI), (VII), (VIII) или (IX)
в которой G1, G2, G3, G4 независимо обозначают алкил, содержащий от 1 до 4 углеродных атомов, или G1 и G2 или G3 и G4, или G1 и G2 и G3 и G4 совместно обозначают пентаметилен при условии, что если G1-G4 обозначают C1-C4алкил, то по меньшей мере один обозначает этилпропил или бутил; G5, G6 независимо обозначают водородный атом или С1-С4алкил; R, если m обозначает 1, обозначает водородный атом, С1-С18алкил, который не прерывается, или С2-С18алкил, прерываемый одним или несколькими атомами кислорода, цианоэтил, бензоил, глицидил, одновалентный радикал алифатической карбоновой кислоты, содержащей от 2 до 18 углеродных атомов, циклоалифатической карбоновой кислоты, содержащей от 7 до 15 углеродных атомов, или R, если m обозначает 2, обозначает С2-С12алкилен, С4-С12алкенилен, ксилилен, двухвалентный радикал алифатической дикарбоновой кислоты, содержащей от 2 до 36 углеродных атомов, или циклоалифатической или ароматической дикарбоновой кислоты, содержащей 8-14 углеродных атомов, или алифатической, циклоалифатической или ароматической дикарбаминовой кислоты, содержащей 8-14 углеродных атомов; или R обозначает двухвалентный радикал включающей трехвалентный фосфор кислоты или двухвалентный силильный радикал; R, если m обозначает 3, обозначает трехвалентный радикал алифатической, циклоалифатической или ароматической трикарбоновой кислоты; R, если m обозначает 4, обозначает четырехвалентный радикал алифатической, циклоалифатической или ароматической тетракарбоновой кислоты; р обозначает 1; R1 обозначает С1-С12алкил, С5-С7циклоалкил или бензоил; R2 обозначает С1-С12алкил, С5-С7циклоалкил или группу формулы -CO-Z, в которой Z обозначает водородный атом, метил или фенил; R5, R6 и R7 независимо обозначают водородный атом, С1-С18алкил или С6-С10арил; R8 обозначает водородный атом, ОН, С1-С18алкил, С3-С18алкенил, С3-С18алкинил, С1-С18алкил, С3-С18алкенил, С3-С18алкинил, которые замещены одним или несколькими ОН, атомом галогена или группой -O-C(O)-R5, С2-С18алкил, который прерывается по меньшей мере одним атомом О и/или группой NR5, С3-С12циклоалкил или С6-С10арил, С7-С9фенилалкил, С5-С10гетероарил, -C(O)-C1-С18алкил, -O-С1-С18алкил или -СООС1-С18алкил; а R9, R10, R11 и R12 независимо обозначают водородный атом, фенил или С1-С18алкил. 13. Способ по п.12, где G1 и G3 обозначают метил, G2 и G4 обозначают этил, G5 обозначает метил, а G6 обозначает водородный атом; или G1 и С2 обозначают этил, G3 и G4 обозначают метил, a G5 и G6 обозначают водородный атом. 14. Способ по п.12, в котором стабильный свободный нитроксильный радикал отвечает формуле (А), (В) или (О).
|
||||||||||||||||||||||||||

-метилстирол, бисфенол А и различные затрудненные фенольные антиоксиданты. Среди этих соединений в качестве обрывающего цепь агента чаще всего используют 2,6-дитретбутил-4-метилфенол, т.е. БМФ, путем его добавления в полимеризационную систему в нужный момент окончания реакции. Для этой цели используют также различные другие затрудненные фенолы, обладающие третичными бутильными заместителями в бензольном кольце во 2- и 6-м положениях. Однако эксплуатационные результаты, достигаемые с помощью этих затрудненных фенолов, оказываются хуже требуемых, причем эти материалы, когда их добавляют в концентрациях до примерно 250 част./млн, проявляют слабый эффект. БМФ также проявляет этот недостаток, оказываясь неспособным для эффективного обрыва цепи в диапазонах более низких, более желательных концентраций.
описаны, например, в ЕР-А-621878.
приведены в WO 96/24620 и WO 00/53640.


-ненасыщенной карбоновой кислоты, содержащей от 3 до 5 углеродных атомов, или ароматической карбоновой кислоты, содержащей от 7 до 15 углеродных атомов; или R обозначает одновалентный радикал карбаминовой кислоты или включающей трехвалентный фосфор кислоты или одновалентный силильный радикал;
,
,
,
,
,
,
,
,
,
,
,
,
,
,
и 


-токоферол,
-токоферол и их смеси (витамин Е).





продукт Nitroxyl 1 (получены согласно соответственно GB 2335190 и 2361236):









