|
|
(21), (22) Заявка: 2004129307/04, 26.02.2003
(24) Дата начала отсчета срока действия патента:
26.02.2003
(30) Конвенционный приоритет:
01.03.2002 US 60/360,684
(43) Дата публикации заявки: 10.04.2005
(46) Опубликовано: 10.06.2007
(56) Список документов, цитированных в отчете о поиске:
RU 2165935 С2, 27.04.2001. WO 01/10443 A1, 15.02.2001. US 4604463 A, 05.08.1986.
(85) Дата перевода заявки PCT на национальную фазу:
01.10.2004
(86) Заявка PCT:
EP 03/01948 (26.02.2003)
(87) Публикация PCT:
WO 03/074527 (12.09.2003)
Адрес для переписки:
129010, Москва, ул. Б.Спасская, 25, стр.3, ООО “Юридическая фирма Городисский и Партнеры”, пат.пов. Е.Е.Назиной, рег. № 517
|
(72) Автор(ы):
ФОРИНО Ромуальдо (IT), БАРБУДЖАН Натале (IT), ДЗАМПЬЕРИ Массимо (IT), ТОМАЗИ Аттилио (IT)
(73) Патентообладатель(и):
ФАРМАЦИЯ ИТАЛИЯ С.П.А. (IT)
|
(54) ПОЛИМОРФНАЯ ФОРМА КРИСТАЛЛИЧЕСКОГО ГИДРОХЛОРИДА ИРИНОТЕКАНА, СПОСОБ ЕЕ ПОЛУЧЕНИЯ И ФАРМАЦЕВТИЧЕСКАЯ КОМПОЗИЦИЯ НА ЕЕ ОСНОВЕ
(57) Реферат:
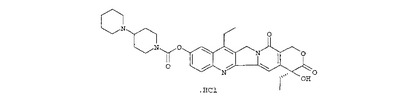
Изобретение относится к новой полиморфной форме (с) кристаллического гидрохлорида иринотекана формулы
,
которая характеризуется картиной дифракции рентгеновских лучей на порошке со значениями угла 2 примерно 9,15; примерно 10,00; примерно 11,80; примерно 12,20; примерно 13,00 и примерно 13,40 и которая дает инфракрасный спектр, содержащий пики при 1757, 1712 и 1667 см-1. Новая полиморфная форма (с) используется для лечения раковых заболеваний, но в отличие от известной полиморфной формы (в) обладает значительно большей растворимостью в воде, что позволяет использовать ее как для перорального, так и для парентерального введения. 7 н. и 12 з.п. ф-лы, 2 ил., 4 табл.
Настоящее изобретение относится к новой кристаллической полиморфной форме соединения (3)-4,11-диэтил-3,4,12,14-тетрагидро-4-гидрокси-3,14-диоксо-1Н-пирано[3′,4′:6,7]индолизино[1,2-b]хинолин-9-ил-[1,4′-бипиперидин]-1′-карбоксилата (иринотекана) гидрохлорида. Способ получения этой новой полиморфной формы, фармацевтические композиции, содержащие ее в качестве активного ингредиента, и применение ее и ее фармацевтических композиций в качестве терапевтического агента также находятся в рамках настоящего изобретения.
Предпосылки изобретения
Гидрохлорид иринотекана, соединение (S)-4,11-диэтил-3,4,12,14-тетрагидро-4-гидрокси-3,14-диоксо-1Н-пирано[3′,4′:6,7]индолизино[1,2-b]хинолин-9-ил-[1,4′-бипиперидин]-1′-карбоксилата гидрохлорид, имеющее формулу:

представляет собой аналог камптотецина и ингибитор топоизомеразы I, получаемый из соединения, которое встречается в природе в китайском дереве, Camptotheca acuminata.
Со времени его одобрения в Соединенных Штатах в 1996 году иринотекана гидрохлорид тригидрат (CPT-11, CAMPTOSAR®, препарат для инъекций, Pharmacia Corp.; Peapack, NJ) подвергается широким клиническим испытаниям. В последние пять лет фокус развития включает широкий спектр от оценки активности отдельного агента в лечении резистентных заболеваний до оценок широкого набора режимов комбинированной химиотерапии на основе иринотекана и включения иринотекана в режимы комбинированных способов воздействия. Многочисленные исследования осуществляются для выяснения роли иринотекана при лечении раковых заболеваний толстой и прямой кишки и других раковых заболеваний желудочно-кишечного тракта, мелкоклеточного и немелкоклеточного рака легких и различных других злокачественных заболеваний.
CPT-11 продемонстрировал активность против различных типов опухолей, в частности резистентных опухолей толстой и прямой кишки, и используется для лечения различных форм рака. Его преимущественное применение заключается в лечении рака прямой кишки, в частности запущенного рака прямой кишки. Он также представляет интерес при лечении других видов рака, таких как раковые заболевания легких, желудка и поджелудочной железы.
CPT-11 обычно вводят в одном из двух режимов лечения. В одном режиме доза CPT-11 из 125 мг/м2 вводится внутривенно в течение 90-минутного периода каждую неделю в течение четырех недель. После перерыва в две недели цикл повторяют, так что пациент принимает CPT-11 в течение четырех недель из каждых шести. В другом режиме лечения доза из 350 мг/м2 вводится внутривенно в течение 90 минут каждую третью неделю. Таким образом, один режим работает с шестинедельным циклом, а другой режим с трехнедельным циклом.
CPT-11 указывается как компонент терапии первой линии в сочетании с 5-FU/LV для лечения пациентов с метастатической карциномой толстой кишки или прямой кишки. CPT-11 также показан для пациентов с метастатической карциномой толстой кишки или прямой кишки, у которых заболевание возобновляется или прогрессирует после начальной терапии на основе 5-FU. CPT-11 представляет собой первый ингибитор топоизомеразы I с известной активностью при раковом заболевании толстой и прямой кишки и первое полностью одобренное FDA (Администрация по лекарствам и пищевым продуктам, США) средство для лечения раковых заболеваний толстой и прямой кишки за 40 лет.
Противоопухолевая активность CPT-11 приписывается активному метаболиту, 7-этил-10-гидрокси-20(S)камптотецину (SN-38), который получается после ферментативного расщепления под действием карбоксилэстераз в печени, тонкой кишке и плазме крови. SN-38 является в 100 раз более цитотоксичным, чем CPT-11.
CPT-11 (CAMPTOSAR®) поставляется в виде стерильного бледно-желтого прозрачного водного раствора. Он является доступным в двух размерах стандартных дозировок: 2 мл флаконы содержат 40 мг гидрохлорида иринотекана, и 5 мл флаконы содержат 100 мг гидрохлорида иринотекана. Каждый миллилитр раствора содержит 20 мг гидрохлорида иринотекана (на основе тригидратной соли), 45 мг порошка сорбита и 0,9 мг молочной кислоты. Значение pH раствора устанавливают равным 3,5 (в пределах от 3,0 до 3,8) с помощью гидроксида натрия или хлористоводородной кислоты. CAMPTOSAR® предназначается для разбавления перед внутривенным вливанием, 5% раствором декстрозы для инъекций (D5W) или 0,9% раствором хлорида натрия для инъекций. Предпочтительный разбавитель представляет собой 5% раствор декстрозы для инъекций.
В патенте США № 4604463, Yakult, описано большое семейство производных камптотецина, включая иринотекан, его фармацевтически приемлемые соли и их приготовление.
В патенте США № 6121451, Pharmacia & Upjohn Co., описаны промежуточные соединения и способы синтеза производных камптотецина, таких как гидрохлорид иринотекана.
В заявках на Международные патенты №№ WO 01/10443 и WO 01/30351, Pharmacia and Upjohn S.p.A., описаны фармацевтические препараты для перорального введения, содержащие гидрохлорид иринотекана.
Sawada et al., Chem. Pharm. Bull. Vol. 39, No. 6, 1446-54 (1991), описывает приготовление иринотекана из природного камптотецина в пять химических стадий и с общим выходом 20%. Кроме того, Sawada описывает кристаллическую структуру иринотекана гидрохлорида тригидрата (также известного как CPT-11, то есть того, что используется в настоящее время для производства коммерчески доступного продукта) в виде слегка бледноватых желтых иголок или кристаллического порошка путем кристаллизации из воды. Затем продукт сушат (в вакууме) и уравновешивают в камере с относительной влажностью 75% в течение 70 часов. Кристаллическая форма гидрохлорида иринотекана тригидрата, как описывается Sawada et al., далее упоминается здесь для удобства, как «Форма b».
Краткое описание физических свойств Формы b приводится ниже.
Инфракрасное поглощение
ИК (KBr) : 1748 (карбонил лактона), 1688 (карбонил карбамата), 1663 (карбонил пиридона), см-1.
Растворимость в воде
Растворимость в воде Формы b при комнатной температуре составляет примерно 10 мг/мл.
Дифракция рентгеновских лучей на порошке (PXRD)
Форма b также характеризуется своей картиной дифракции рентгеновских лучей на порошке, как показано в спектре на фиг.1, содержащем значения угла 2 , равные примерно 7,60; 8,30; 9,55; 11,00 и 12,40.
Относительная интенсивность (%) рассмотренных характерных пиков отражения Формы b при углах 2 приводится в таблице I.
| Таблица I |
Угол (°2 ) |
Относительная интенсивность (%) |
| 7,60 |
47,9 |
| 8,30 |
33,4 |
| 9,55 |
36,9 |
| 11,00 |
100,0 |
| 12,40 |
88,1 |
Форма b характеризуется главным пиком отражения при 11,0 градусах (2 ).
Полиморфизм представляет собой свойство некоторых молекул принимать в твердом состоянии более одной кристаллической формы. Одна и та же молекула может создавать множество твердых тел, имеющих различные физические свойства, которые могут измеряться в лаборатории, например, температуру плавления и термограмму дифференциальной сканирующей калориметрии («DSC»), скорость растворения, текучесть, картину дифракции рентгеновских лучей, спектр инфракрасного поглощения и спектр ЯМР. Различия в физических свойствах полиморфов возникают из-за ориентации и межмолекулярных взаимодействий соседних молекул в объеме твердого тела. Соответственно полиморфы представляют собой различные твердые тела, имеющие одну и ту же молекулярную формулу, которые при этом могут иметь различные выгодные и/или невыгодные физические свойства по сравнению с другими формами в семействе полиморфов. Одним из свойств фармацевтического соединения, которое может изменяться в зависимости от его полиморфной формы, является его скорость растворения в водном растворителе. Скорость растворения может иметь терапевтические последствия, поскольку она может воздействовать на скорость, с которой вводимое перорально фармацевтическое соединение доставляется в поток крови пациента.
Краткое описание изобретения
Целью настоящего изобретения является создание новой полиморфной формы кристаллического гидрохлорида иринотекана, способов использования этого полиморфа и способов получения этого полиморфа. Достижение этой и других целей настоящего изобретения обеспечивается с помощью одного или нескольких из вариантов осуществления, описанных ниже.
Один из вариантов осуществления настоящего изобретения относится к полиморфной форме кристаллического гидрохлорида иринотекана формулы:

Этот полиморф характеризуется получением картины дифракции рентгеновских лучей на порошке, содержащей значения угла 2 , равные примерно 9,15; 10,00; 11,80; 12,20; 13,00 и 13,40. Кроме того, полиморф может давать инфракрасный спектр, содержащий пики при 1757, 1712 и 1667 см-1. Полиморф может давать картину дифракции рентгеновских лучей на порошке, по существу соответствующую той, которая изображена на фиг.2.
Другой вариант осуществления настоящего изобретения относится к способу получения этого полиморфа. Способ включает в себя перемешивание в течение времени, находящегося в пределах примерно от 2 до 48 часов, суспензии гидрохлорида иринотекана в Форме b или в аморфной форме в ацетонитриле или ацетоне.
Еще один вариант осуществления настоящего изобретения относится к фармацевтической композиции, которая содержит терапевтически эффективное количество полиморфа в качестве активного ингредиента и фармацевтически приемлемый наполнитель. Фармацевтическая композиция может быть пригодной для введения путем инъекции, для перорального введения и может находиться в дозированной форме на водной основе.
Еще один вариант осуществления настоящего изобретения относится к способу получения фармацевтической композиции гидрохлорида иринотекана. Способ включает в себя смешивание терапевтически эффективного количества полиморфа по настоящему изобретению с фармацевтически приемлемым наполнителем.
Еще один вариант осуществления настоящего изобретения относится к способу для лечения пациента, имеющего рак. Способ включает в себя введение терапевтически эффективного количества полиморфа. Раковое заболевание может представлять собой заболевание желудочно-кишечного тракта, такого как рак толстой и прямой кишки.
Другой вариант осуществления настоящего изобретения относится к способу получения водного раствора гидрохлорида иринотекана. Способ включает в себя растворение полиморфа по настоящему изобретению в водном растворе при комнатной температуре. Водный раствор может иметь значение pH, находящееся в пределах примерно от 3,0 примерно до 3,8. Конечная концентрация гидрохлорида иринотекана может быть выше, примерно, чем 10 мг/мл.
Краткое описание чертежей
Настоящее изобретение иллюстрируется со ссылками на прилагаемые чертежи, описываемые ниже.
Фиг.1 демонстрирует рентгеновские дифрактограммы порошков кристаллического полиморфа гидрохлорида иринотекана Формы b.
Фиг.2 демонстрирует рентгеновские дифрактограммы порошков кристаллического полиморфа гидрохлорида иринотекана Формы c.
Подробное описание изобретения
Обнаружено, что гидрохлорид иринотекана может существовать в другой кристаллической полиморфной форме. Эта новая кристаллическая форма полностью характеризуется здесь ниже и упоминается для удобства как «форма c».
Благодаря своим кристаллическим свойствам новая Форма c гидрохлорида иринотекана в соответствии с настоящим изобретением имеет неожиданные преимущества по отношению к кристаллической Форме b с точки зрения улучшенных характеристик растворимости.
Повышение растворимости имеет значительное преимущество не только с точки зрения пероральной доставки активного вещества лекарственного средства, но также с точки зрения улучшения технологичности дозированной формы для парентерального введения.
Более растворимая и более быстро растворяющаяся кристаллическая форма ингредиента активного продукта имеет значительное биофармацевтическое преимущество для перорального введения лекарственных средств, заключающееся в более благоприятном поведении активного лекарственного вещества с точки зрения скорости растворения в сочетании с повышенной скоростью поглощения активного лекарственного средства самого по себе посредством стенок желудочно-кишечного тракта.
В частности, когда экспериментальные исследования растворимости, в которых сравнивают Форму c и Форму b, осуществляют при очень кислотных pH 1,2 (это значение pH является репрезентативным для pH среды желудка, где начинаются процессы поглощения кислотных остатков посредством стенок желудочно-кишечного тракта), неожиданно замечено, что Форма c гидрохлорида иринотекана является на 2 порядка более растворимой по сравнению с уже известной Формой b (42 мг/мл по сравнению с 0,45 мг/мл).
В дополнение к этому с точки зрения технологических преимуществ по сравнению с производством дозированных форм гидрохлорида иринотекана для парентерального введения вновь обнаруженная Форма c имеет то преимущество, что упрощается современная процедура производства.
Как сформулировано выше, CPT-11 (CAMPTOSAR®) поставляется в виде раствора препарата, где активное вещество лекарственного средства имеет концентрацию в растворе 20 мг/мл, при значении pH примерно 3,5. Поскольку равновесная растворимость Формы b при этом pH при комнатной температуре является меньшей, чем 20 мг/мл (ее реальное значение имеет порядок величины примерно 10 мг/мл), во время производства для полной солюбилизации активного вещества при требуемой концентрации необходимым является процесс нагревания. Такой процесс нагревания вызывает стабильную ассоциацию молекул Формы b в растворе (как известно и описано в научной литературе, например, Aiyama R. et al., Chemical Pharmaceutical Bulletin, 40 (10) 2810-2813), таким образом повышая также растворимость активного вещества лекарственного средства при комнатной температуре и давая возможность для производства физически стабильных готовых к употреблению растворов препаратов Формы b с концентрацией 20 мг/мл.
Теперь неожиданно обнаружено, что такой же препарат, с таким же качеством и долговременной физической стабильностью может быть получен с помощью вновь синтезированной Формы c путем простого растворения активного вещества лекарственного средства в заданном растворе разбавителя, таким образом исключая любую стадию нагревания. Этот факт делает возможным значительное упрощение процедур производства конечной стандартной дозированной формы как с точки зрения времени производства, так и самого способа производства. Производство препарата при комнатной температуре, вероятно, зависит от способности молекул новой Формы c к самопроизвольной ассоциации в растворе уже при комнатной температуре.
В этой связи другим объектом настоящего изобретения является применение Формы c для получения водного раствора гидрохлорида иринотекана. В частности, применение Формы c является пригодным для получения водного раствора гидрохлорида иринотекана, имеющего значение pH, находящееся в пределах примерно от 3,0 до примерно 3,8. Более конкретно, Форма c является пригодной для получения водного раствора, имеющего значение pH, находящееся в пределах примерно от 3,0 до 3,8, гидрохлорида иринотекана с концентрацией более высокой, примерно, чем 10 мг/мл.
Еще в одном аспекте настоящее изобретение относится к способу получения водного раствора гидрохлорида иринотекана, который включает в себя растворение необходимого количества Формы c в водном растворе, имеющем значение pH, находящееся в пределах примерно от 3,0 примерно до 3,8, при комнатной температуре.
В уровне техники, известном заявителю, не описывается Форма c, которая теперь предлагается здесь. Насколько известно заявителю, Форма c по настоящему изобретению была неизвестна ранее и не следует из уровня техники.
По этой причине целью настоящего изобретения является создание новой кристаллической формы гидрохлорида иринотекана, которая упоминается как Форма c.
Один из вариантов осуществления настоящего изобретения относится к Форме c кристаллического иринотекана гидрохлорида формулы:
,
характеризуемой получением картины дифракции рентгеновских лучей на порошке, содержащей значения угла 2 , равные примерно 9,15; примерно 10,00; примерно 11,80; примерно 12,20; примерно 13,00 и примерно 13,40. Относительная интенсивность (%) характерных пиков отражения Формы с при таких значениях угла 2 приводится в таблица II.
| Таблица II |
Угол (°2 ) |
Относительная интенсивность (%) |
| 9,15 |
100,0 |
| 10,00 |
72,6 |
| 11,80 |
51,6 |
| 12,20 |
21,8 |
| 13,00 |
31,5 |
| 13,40 |
22,6 |
Форма c характеризуется главным пиком отражения (100% относительной интенсивности) при 9,15 градуса (2 ).
В частности, полиморф Формы c характеризуется спектром дифракции рентгеновских лучей на порошке, по существу соответствующим тому, который изображен на фиг. 2.
В следующем варианте осуществления Форма c характеризуется спектром инфракрасного поглощения, содержащем следующие пики, (KBr) : 1757 (карбонил лактона), 1712 (карбонил карбамата) и 1667 (карбонил пиридона) см-1.
Полиморфы Формы b и Формы c гидрохлорида иринотекана можно легко различить по спектрам дифракции рентгеновских лучей на порошке и инфракрасного поглощения.
Относительные интенсивности пиков дифракции рентгеновских лучей на порошке могут варьировать в зависимости от технологии приготовления образца, процедуры установки образца и конкретного используемого инструмента. Кроме того, инструментальный разброс и другие факторы могут воздействовать на значения 2 , по этой причине значения пиков могут варьировать в пределах плюс или минус 0,2.
Области дифрактограмм, которые являются наиболее полезными при различении полиморфов Формы b и Формы c, находятся в области примерно от 7,00° до 14,00°, где заключены все рассмотренные характерные пики двух форм. Например, полиморф Формы c демонстрирует сильный пик при 9,15°, в то время как дифрактограмма полиморфа Формы b является по существу плоской в этой области, при этом полиморф Формы b демонстрирует сильный пик при 11,00°, в то время как дифрактограмма полиморфа Формы c является по существу плоской в этой области.
Анализ с помощью инфракрасного (ИК) поглощения также представляет собой полезную процедуру для полиморфной характеристики кристаллического гидрохлорида иринотекана, которая делает возможным подтверждение существования двух полиморфных форм: Формы b и Формы c посредством детекции трех различных пиков инфракрасного поглощения, как приведено в следующей далее таблице III.
| Таблица III |
| |
Характерные пики инфракрасного поглощения |
| |
Группа карбонила лактона |
Группа карбонила карбамата |
Группа карбонила пиридона |
| Форма b |
1747 |
1687 |
1662 |
| Форма c |
1757 |
1712 |
1667 |
Растворимость в воде Формы c является большей, примерно, чем 40 мг/мл, при комнатной температуре.
Настоящее изобретение также относится к способу для получения указанной выше Формы c, который включает в себя перемешивание в течение нескольких часов, а именно в течение времени, находящегося в пределах примерно от 2 до 48 часов, предпочтительно, примерно от 12 до 24 часов, суспензии гидрохлорида иринотекана (в виде Формы b или аморфного) в ацетонитриле или в ацетоне. Исходные материалы для получения Формы c могут быть получены с помощью различных процедур, хорошо известных специалистам в данной области. Например, гидрохлорид иринотекана в виде Формы b или аморфный, может быть получен с помощью общей процедуры, описанной Henegar K. E. et al., J. Org. Chem., 1997, 62, 6588-6597.
Благодаря своим кристаллическим свойствам Форма c гидрохлорида иринотекана обладает большей растворимостью, чем форма, известная ранее, что делает Форму c не только более пригодной для стандартных дозированных форм для инъекций, но также для стандартных дозированных форм для перорального введения с оптимальной скоростью доставки в ток крови пациента.
На самом деле растворимость Формы c по сравнению с Формой b, измеренная при тех же экспериментальных условиях (т.е. при комнатной температуре и при различных значениях pH), является в 4 (42 мг/мл по сравнению с 11 мг/мл в воде) – 100 раз (42,5 мг/мл по сравнению с 0,45 мг/мл, при pH 1,2) более высокой. В частности, растворимость Формы c является в 5 раз более высокой при комнатной температуре в буферной системе (буфер на основе молочной кислоты), используемой в настоящее время в процессе производства стерильного препарата для инъекций, известного и выпускаемого под наименованием CAMPTOSAR® INJECTION (54,4 мг/мл по сравнению 10 мг/мл).
В этой связи еще одной целью настоящего изобретения является создание фармацевтической композиции, которая содержит терапевтически эффективное количество полиморфа Формы c гидрохлорида иринотекана в качестве активного ингредиента и фармацевтически приемлемый наполнитель.
Еще одной целью настоящего изобретения является создание способа получения фармацевтической композиции гидрохлорида иринотекана, который включает в себя смешивание терапевтически эффективного количества Формы c с фармацевтически приемлемым наполнителем.
Фармацевтические композиции в соответствии с настоящим изобретением могут быть получены, например, в виде стандартных дозированных форм для парентерального, перорального, чрескожного, назального или легочного введения.
Композиции по настоящему изобретению, содержащие фармацевтически приемлемые наполнители, могут быть приготовлены с помощью любого из хорошо известных методов фармакологии, которые включают в себя смешивание наполнителей с лекарственным средством или терапевтическим агентом.
Например, Форма c может быть приготовлена в виде водного стерильного раствора для целей введения путем инъекции.
Фармацевтические композиции в соответствии с настоящим изобретением являются пригодными для предотвращения, ослабления и/или лечения доброкачественных и злокачественных опухолей/новообразований, включая рак, такой, например, как рак мозга, рак костей, новообразования, развившиеся из эпителиальных клеток (эпителиальная карцинома), такие как карцинома базальных клеток, аденокарцинома, рак пищевода, рак тонкого кишечника и рак желудка, рак ободочной кишки, рак печени, рак мочевого пузыря, рак поджелудочной железы, рак яичников, рак шейки матки, рак легких, рак груди и рак кожи, рак простаты, карциному почечных клеток и другие известные раковые заболевания, которые поражают эпителиальные клетки по всему организму. Раковые заболевания, для которых композиции по настоящему изобретению, как предполагается, будут особенно пригодными для использования, представляют собой раковые заболевания желудочно-кишечного тракта, в частности, рак ободочной и прямой кишки, раковые заболевания легких, в частности мелкоклеточный рак легких, раковые заболевания шейки матки и поджелудочной железы.
Далее описывается способ лечения пациента, имеющего рак, в частности, рак ободочной и прямой кишки, который включает в себя введение терапевтически эффективного количества Формы c в соответствии с настоящим изобретением.
Понятно, что конкретная дозировка вводимого соединения в соответствии с настоящим изобретением для получения терапевтического воздействия будет, разумеется, определяться конкретными обстоятельствами, сопутствующими введению, включая, например, возраст, массу тела, состояние пациента и способ введения; конкретные режимы дозировки могут быть приспособлены для каждого конкретного пациента на основе индивидуальной потребности и профессионального суждения лица, вводящего указанные соединения или руководящего их введением.
Принятый диапазон дозировок будет зависеть от способа введения и от возраста, массы тела и состояния пациента, подвергающегося лечению. В качестве примера суточные дозы соединений по настоящему изобретению, как правило, вводимых парентеральным способом, например, внутривенно, с помощью болюса или вливания, составляют от 1 до 1000 мг/м2 площади поверхности тела, например, от 10 до 500 мг/м2. Дозы могут вводиться за один раз или могут разделяться на некоторое количество меньших доз с введением через различные интервалы. Конкретный пример пригодного для использования графика для парентерального введения Формы c представляет собой 6-недельный график дозирования из 125 мг/м2, вводимых внутривенно в течение 90 минут вливания в первый день недель 1-4. В другом режиме лечения доза 350 мг/м2 Формы c может вводиться внутривенно в течение 90 минут каждую третью неделю.
Термин «лечение», как он здесь используется, если не указано иного, означает обращение, облегчение, ослабление, замедление развития или предотвращение расстройства или болезненного состояния, к которому применяется этот термин, или одного или нескольких симптомов такого расстройства или болезненного состояния. Термин «лечение», как он здесь используется, относится к акту лечения, в то время как «лечение» непосредственно определено выше.
АНАЛИТИЧЕСКИЕ МЕТОДЫ
Дифракция рентгеновских лучей на порошке
Данные по дифракции рентгеновских лучей на порошке получают с помощью устройства Siemens D500, облучающего порошкообразные образцы с помощью источника CuK с графитовым монохроматором (40 кВ, 40 мА), при угле 2 в пределах между 5° и 35° при комнатной температуре. Сканирование осуществляют шагами по 0,05°, и время отсчета составляет 7 секунд на шаг.
Инфракрасное поглощение
Спектр инфракрасного поглощения получают с использованием спектрометра Perkin-Elmer FT-ИК PARAGON 1000 с разрешением 4,0 см-1. Данные оцифровываются на интервалах 2 см-1.
Следующие далее примеры иллюстрируют, но не ограничивают рамки настоящего изобретения. Все ссылки, цитируемые здесь, включаются в качестве ссылок во всей их полноте.
ПРИМЕРЫ
Пример 1
Получение гидрохлорида иринотекана (Форма c)
10,0 г иринотекана·HCl·3H2O Формы b суспендируют в 200 мл ацетона при комнатной температуре.
Смесь перемешивают в течение 24 часов при комнатной температуре, а затем фильтруют. Продукт сушат в вакууме при 45°C в течение 18 часов, а затем помещают в камеру в присутствии влажности на 24 часа. Получают 9,4 г Формы c.
Пример 2
Получение гидрохлорида иринотекана (Форма c)
10,0 г иринотекана·HCl·3H2O Формы b суспендируют в 150 мл ацетонитрила при комнатной температуре.
Смесь перемешивают в течение 48 часов при комнатной температуре, а затем фильтруют. Продукт сушат в вакууме при 45°C в течение 18 часов затем помещают в камеру в присутствии влажности на 4 часа. Получают 9,1 г Формы c.
Пример 3
Получение гидрохлорида иринотекана (Форма c)
10,0 г аморфного иринотекана·HCl суспендируют в 200 мл ацетона при комнатной температуре.
Смесь перемешивают в течение 24 часов при комнатной температуре, а затем фильтруют. Продукт сушат в вакууме при 45°C в течение 18 час, а затем помещают в камеру в присутствии влажности на 3 часа. Получают 10,0 г Формы c.
Пример 4
Получение гидрохлорида иринотекана (Форма c)
10,0 г аморфного иринотекана·HCl суспендируют в 250 мл ацетонитрила при комнатной температуре.
Смесь перемешивают в течение 48 часов при комнатной температуре, а затем фильтруют. Продукт сушат в вакууме при 45°C в течение 24 час, а затем помещают в камеру в присутствии влажности на 5 часов. Получают 8,8 г Формы c.
Пример 5
Определение растворимости Формы c гидрохлорида иринотекана по сравнению с Формой b
Определение растворимости Формы c гидрохлорида иринотекана по сравнению с Формой b осуществляют в следующих растворяющих средах: a) деионизованная вода; b) буфер с pH 1,2 (2 г NaCl + 7 мл HCl 37% мас./мас. на 1 литр); c) лактатный буфер с pH 3,5 (это препарат, используемый в настоящее время для производства дозированной формы для парентерального введения; 45 мг/мл D-сорбита, 0,9 мг/мл молочной кислоты в воде при pH 3,5. pH доводится до конечного значения с помощью 1н NaOH). Избыток твердого продукта помещают в стеклянные колбы в присутствии соответствующих растворяющих сред, и суспензии взбалтывают при комнатной температуре в течение 24 часов. Образцы извлекают через 15, 30, 45, 60 мин и 24 часа, фильтруют и анализируют с помощью ВЭЖХ.
Результаты приводятся в следующей далее таблице IV.
| Таблица IV |
| Время |
Концентрация гидрохлорида иринотекана (мг/мл) |
| Форма b |
Форма c |
| a |
b |
C |
a |
b |
c |
| 15 мин |
11,03 |
0,45 |
10,27 |
42,04 |
42,53 |
54,45 |
| 30 мин |
12,10 |
0,42 |
10,38 |
41,50 |
42,05 |
55,23 |
| 60 мин |
12,12 |
0,44 |
10,17 |
40,62 |
40,68 |
53,81 |
| 120 мин |
11,80 |
0,40 |
11,13 |
41,15 |
37,95 |
54,80 |
| 24 часа |
11,15 |
0,26 |
11,06 |
35,05 |
0,70 |
41,95 |
| a = деионизованная вода, b = буфер, pH 1,2; c = молочная кислота, pH 3,5 |
Данные, приведенные выше в таблице, показывают улучшение растворимости Формы c по сравнению с известной Формой b.
Пример 6
Раствор для инъекции Формы c содержит, например,
Раствор для инъекции Формы c
1 мл раствора для инъекции содержит:
20 мг Формы c (в виде солевого эквивалента);
45 мг порошкообразного сорбита; и
0,9 мг молочной кислоты.
Значение pH раствора доводится до 3,5 (в пределах от 3,0 до 3,8) с помощью гидроксида натрия или хлористоводородной кислоты.
Раствор для инъекций доступен, например, во флаконах из янтарного бутылочного стекла на одну дозу со следующими размерами упаковок: 2 мл или 5 мл. Они упакованы в блистер из подкладки/пластика для защиты от непроизвольного разрушения и протечки.
Раствор для инъекций Формы c предназначен для разбавления 5% раствором декстрозы для инъекций или 0,9% раствором хлорида натрия для инъекций перед внутривенным вливанием. Предпочтительный разбавитель представляет собой 5% раствор декстрозы для инъекций. Вся процедура производства осуществляется при комнатной температуре.
Настоящее описание представляет собой иллюстрацию принципов настоящего изобретения и не предназначено для ограничения настоящего изобретения конкретными иллюстрируемыми вариантами осуществления. Специалисты в данной области могут обнаружить другие эквиваленты конкретных вариантов осуществления, описанных здесь; эти эквиваленты также охватываются прилагаемой формулой изобретения.
Формула изобретения
1. Полиморфная форма кристаллического гидрохлорида иринотекана формулы
,
характеризующаяся картиной дифракции рентгеновских лучей на порошке со значениями угла 2 примерно 9,15, примерно 10,00, примерно 11,80, примерно 12,20, примерно 13,00 и примерно 13,40.
2. Полиморф по п.1, который дает инфракрасный спектр, содержащий пики при 1757, 1712 и 1667 см-1.
3. Полиморф по п.1, который дает картину дифракции рентгеновских лучей на порошке, по существу, соответствующую той, которая изображена на фиг.2.
4. Полиморф по п.2, который дает картину дифракции рентгеновских лучей на порошке, по существу, соответствующую той, которая изображена на фиг.2.
5. Способ получения полиморфа по п.1, который включает в себя перемешивание в течение времени, находящегося в пределах примерно от 2 до 48 ч, суспензии гидрохлорида иринотекана, в Форме b или аморфного, в ацетонитриле или в ацетоне.
6. Фармацевтическая композиция для лечения ракового заболевания, которая содержит терапевтически эффективное количество полиморфа по п.1, в качестве активного ингредиента, и фармацевтически приемлемый наполнитель.
7. Композиция по п.6, где композиция является пригодной для введения путем инъекции.
8. Композиция по п.6, где композиция является пригодной для перорального введения.
9. Композиция по п.6, где композиция находится в водной дозированной форме.
10. Способ получения фармацевтической композиции гидрохлорида иринотекана, который включает в себя смешивание терапевтически эффективного количества полиморфа по п.1 с фармацевтически приемлемым наполнителем.
11. Способ лечения ракового заболевания, включающий введение терапевтически эффективного количества полиморфа по п.1.
12. Способ по п.11, где раковое заболевание представляет собой раковое заболевание желудочно-кишечного тракта.
13. Способ по п.12, где раковое заболевание желудочно-кишечного тракта представляет собой рак ободочной и прямой кишки.
14. Способ лечения ракового заболевания, включающий введение фармацевтической композиции по п.6.
15. Способ по п.14, где раковое заболевание представляет собой раковое заболевание желудочно-кишечного тракта.
16. Способ по п.15, где раковое заболевание желудочно-кишечного тракта представляет собой рак ободочной и прямой кишки.
17. Способ получения водного раствора гидрохлорида иринотекана, который включает в себя растворение полиморфа по п.1 в водном растворе при комнатной температуре.
18. Способ по п.17, где водный раствор имеет значение рН, находящееся в пределах примерно от 3,0 примерно до 3,8.
19. Способ по п.18, где конечная концентрация гидрохлорида иринотекана составляет от более чем примерно 10 до примерно 55 мг/мл.
РИСУНКИ
MM4A – Досрочное прекращение действия патента СССР или патента Российской Федерации на изобретение из-за неуплаты в установленный срок пошлины за поддержание патента в силе
Дата прекращения действия патента: 27.02.2008
Извещение опубликовано: 27.07.2010 БИ: 21/2010
|
|