Патент на изобретение №2300533
|
||||||||||||||||||||||||||||||||||||||||||||||||||||||||||||||||||||||||||||||||||||||||||||||||||||||||||||||||||||||||||||||||||||||||
(54) ЗАМЕЩЕННЫЕ ПИПЕРАЗИНОВЫЕ СОЕДИНЕНИЯ И ИХ ПРИМЕНЕНИЕ В КАЧЕСТВЕ ИНГИБИТОРОВ ОКИСЛЕНИЯ ЖИРНЫХ КИСЛОТ
(57) Реферат:
Изобретение относится к соединению формулы (I)
где R1, R2, R3, R4, R5, R6, R7 и R8 представляют водород или C1–6алкил; Т представляет кислород; V представляет N<; X1 представляет фенил, замещенный 1-2 заместителями, выбранными из группы, включающей C1-6алкил, C1-6алкокси, галоген, циано или трифторметил; X2 представляет бициклический гетероарил, включающий 7 атомов углерода и 1-2 гетероатома, выбранных из О, N и S, необязательно замещенный C1-6алкилом, С3-6циклоалкилом, фенилом и фенилом, замещенным галогеном; Y представляет моноциклический гетероариленил, включающий 3-5 атомов углерода и 1-3 гетероатома, выбранного из N и О; Z1 и Z2 независимо представляют C1-4 алкилен. Соединения формулы (I) применяют для получения фармацевтической композиции для лечения болезненного состояния у млекопитающего, которое можно облегчить при помощи ингибитора окисления жирных кислот. Изобретение также относится к фармацевтической композиции, ингибирующей окисление жирных кислот, включающей, по меньшей мере, один фармацевтически приемлемый наполнитель и терапевтически эффективное количество соединения формулы (I). Технический результат – замещенные пиперазиновые соединения в качестве ингибиторов окисления жирных кислот. 3 н. и 16 з.п. ф-лы.
(56) (продолжение): CLASS=”b560m”rat. EUROPEAN JOURNAL OF PHARMACOLOGY, 2001, v.418, no. 1-2, p. 105-110. LOPASCHUK G.D. Treating ischemic heart disease by pharmacologically improving cardiac energy metabolism. The AMERICAN JOURNAL of CARDIOLOGY, 1998, 82(5A), p.14K-17K. WO 01/62744 A, 30.08.2001. SU 614107 A, 07.06.1978.
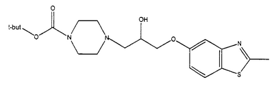
Настоящее изобретение относится к новым гетероциклическим производным, в частности производным пиперазина и пиперидина, и их применению при лечении различных болезненных состояний, в частности сердечно-сосудистых заболеваний, таких как предсердная и вентрикулярная аритмия, перемежающаяся хромота, стенокардия Принцметала (вариант), стабильная и нестабильная стенокардия, стенокардия, вызванная физическими упражнениями, застойная болезнь сердца, ишемия, нарушение перфузии, диабет, инфаркт миокарда, и для повышения уровня HDL (липиды высокой плотности) в плазме при снижении уровня LDL (липиды низкой плотности). Данное изобретение относится также к способам их получения и фармацевтическим композициям, содержащим такие соединения. Известно, что некоторые классы пиперазиновых соединений полезны для лечения сердечно-сосудистых заболеваний, включая аритмию, стенокардию, инфаркт миокарда и родственные заболевания, такие как перемежающаяся хромота. Например, патент США №4567264 раскрывает класс замещенных пиперазиновых соединений, который включает соединение, известное как ранолазин, (±)-N-(2,6-диметилфенил)-4-[2-гидрокси-3-(2-метоксифенокси)пропил]-1-пиперазинацетамид, и его фармацевтически приемлемые соли и их применение при указанных выше болезненных состояниях. Несмотря на требуемые свойства, демонстрируемые ранолазином, который является очень эффективным сердечным терапевтическим агентом и который, как полагают, действует в качестве ингибитора окисления жирных кислот, остается потребность в соединениях, которые имеют терапевтические свойства, аналогичные свойствам ранолизина, но являются более сильнодействующими и имеют больший период полураспада. Задачей данного изобретения является создание новых замещенных пиперазиновых и пиперидиновых соединений, которые являются ингибиторами окисления жирных кислот с хорошим терапевтическим периодом полураспада. Таким образом, первый аспект данного изобретения относится к соединениям формулы I где R1, R2, R3, R4, R5, R6, R7 и R8 представляют водород, низший алкил или -C(O)R; в котором R обозначает -OR9 или -NR9R10, где R9 и R10 обозначают водород или низший алкил; или R1 и R2, R3 и R4, R5 и R6, R7 и R8, взятые вместе с углеродом, к которому они присоединены, представляют карбонил; или R1 и R5, или R1 и R7, или R3 и R5, или R3 и R7, взятые вместе, образуют мостиковую группу -(CR12R13)n-, в которой n равно 1, 2 или 3, и R12 и R13 независимо обозначают водород или низший алкил; при условии, что максимальное количество карбонильных групп равно 2; максимальное количество групп -С(О)NR9R10 равно 1; максимальное количество мостиковых групп равно 1; Т представляет кислород, серу или NR11, в котором R11 представляет водород или низший алкил; V представляет -N<, -CH< или -N-CH<; Х1 представляет водород, необязательно замещенный низший алкил, необязательно замещенный циклоалкил, необязательно замещенный арил или необязательно замещенный гетероарил; Х2 представляет необязательно замещенный арил или необязательно замещенный гетероарил; Y представляет необязательно замещенный моноциклический гетероариленил; Z1 и Z2 независимо представляют замещенный С1-4 алкилен. Второй аспект данного изобретения относится к фармацевтическим препаратам, содержащим терапевтически эффективное количество соединения формулы I и, по меньшей мере, один фармацевтически приемлемый наполнитель. Третий аспект данного изобретения относится к способу применения соединений формулы I при лечении заболевания или состояния у млекопитающего, которое поддается лечению ингибитором окисления жирных кислот. Такие заболевания включают (но не ограничены этим) защиту скелетных мышц от поражений в результате травмы, перемежающуюся хромоту, шок и сердечно-сосудистые заболевания, включающие предсердную и вентрикулярную аритмию, стенокардию Принцметала (вариант), стабильную стенокардию, стенокардию, вызванную физическими упражнениями, застойную болезнь сердца, диабет, инфаркт миокарда, и повышение уровня HDL в плазме при снижении уровня LDL. Соединения формулы I можно также применять для сохранения донорских тканей и органов, используемых в трансплантатах. Четвертый аспект данного изобретения относится к способу получения соединений формулы I. Среди соединений формулы I один предпочтительный класс включает соединения, в которых V представляет азот, в частности такие соединения, в которых Z1 и Z2 представляют низший алкилен, особенно метилен, и Т представляет кислород. Предпочтительная группа данного класса включает такие соединения, в которых R1, R2, R3, R4, R5, R6, R7 и R8 независимо выбраны из водорода и метила, в частности, где R1, R2, R3, R4, R5, R6, R7 и R8 все представляют водород, или где R1, R2, R3, R5, R6, R7 и R8 – все представляют водород и R4 представляет метил. Предпочтительная подгруппа включает такие соединения, в которых Х1 представляет необязательно замещенный арил или необязательно замещенный гетероарил, особенно, где Х1 представляет необязательно замещенный фенил. В рамках данной подгруппы предпочтительно, когда Х2 представляет необязательно замещенный фенил или необязательно замещенный бициклический гетероарил, в частности, когда Х2 представляет необязательно замещенный бициклический гетероарил. Более предпочтительными в рамках данной подгруппы являются те соединения, в которых Y представляет бирадикал, производный пиразола, 1,2-оксазола, 1,3-оксазола, 1,3-тиазола, 1,2,4-оксадиазола или 1,3,4-оксадиазола, особенно, где X1 представляет фенил, необязательно замещенный низшим алкилом, низшим алкокси, галогеном или трифторметилом, и X2 выбран из 2-метилбензо-1,3-тиазол-5-ила, 2-циклогексилбензо-1,3-тиазол-5-ила, 2-фенилбензо-1,3-тиазол-5-ила, 2-фенилбензо-1,3-оксазол-5-ила или 2-метоксифенила. Наиболее предпочтительными являются те соединения, в которых X2 выбран из 2-метилбензо-1,3-тиазол-5-ила, и X1-Y представляет 3-(4-трет-бутилфенил)-1,2,4-оксадиазол-5-ил, или X1-Y представляет 5-(4-трифторметилфенил)-1,2,4-оксадиазол-3-ил, или X1-Y представляет 5-(4-хлорфенил)-1,2-оксазол-3-ил, или X1-Y представляет 5-(4-трифторметилфенил)изоксазол-3-ил, или X1-Y представляет 2-(4-трифторметилфенил)оксазол-4-ил. Определения и основные параметры Термин «алкил» относится к монорадикальной разветвленной или неразветвленной насыщенной углеводородной цепи, имеющей от 1 до 20 атомов углерода. Примерами, обозначенными данным термином, служат такие группы как метил, этил, н-пропил, изопропил, н-бутил, изобутил, трет-бутил, н-гексил, н-децил, тетрадецил и подобные. Термин «замещенный алкил» относится к: 1) алкильной группе, которая определена выше, имеющей от 1 до 5 заместителей, предпочтительно от 1 до 3 заместителей, выбранных из группы, включающей алкенил, алкинил, алкокси, циклоалкил, циклоалкенил, ацил, ациламино, ацилокси, амино, аминокарбонил, алкоксикарбониламино, азидо, циано, галоген, гидрокси, кето, тиокарбонил, карбокси, карбоксиалкил, арилтио, гетероарилтио, гетероциклилтио, тиол, алкилтио, арил, арилокси, гетероарил, аминосульфонил, аминокарбониламино, гетероарилокси, гетероциклил, гетероциклоокси, гидроксиамино, алкоксиамино, нитро, -SO-алкил, -SO-арил, -SO-гетероарил, -SO2-алкил, -SO2-арил, -SO2-гетероарил. До тех пор пока нет ограничений при определении, все заместители могут быть необязательно дополнительно замещены 1-3 заместителями, выбранными из алкила, карбокси, карбоксиалкила, аминокарбонила, гидрокси, алкокси, галогена, CF3, амино, замещенного амино, циано и -S(O)nR, где R представляет алкил, арил или гетероарил и n равно 0, 1 или 2; или 2) алкильной группе, которая определена выше и которая прерывается 1-5 атомами или группами, независимо выбранными из кислорода, серы и -NRa-, где Ra выбран из водорода, алкила, циклоалкила, алкенила, циклоалкенила, алкинила, арила, гетероарила и гетероциклила. До тех пор, пока нет ограничений при определении, все заместители могут быть необязательно дополнительно замещены 1-3 заместителями, выбранными из алкила, карбокси, карбоксиалкила, аминокарбонила, гидрокси, алкокси, галогена, CF3, амино, замещенного амино, циано и -S(O)nR, где R представляет алкил, арил или гетероарил и n равно 0, 1 или 2; или 3) алкильной группе, которая определена выше и которая имеет от 1 до 5 заместителей, определенных выше, и также прерывается 1-5 атомами или группами, определенными выше. Термин «низший алкил» относится к монорадикальной разветвленной или неразветвленной насыщенной углеводородной цепи, имеющей от 1 до 6 атомов углерода. Примерами, обозначенными данным термином, служат такие группы, как метил, этил, н-пропил, изопропил, н-бутил, изобутил, трет-бутил, н-гексил и подобные. Термин «замещенный низший алкил» относится к низшему алкилу, определенному выше, имеющему от 1 до 5 заместителей, предпочтительно от 1 до 3 заместителей, как определено для заместителей алкила, или низшей алкильной группе, определенной выше, которая прерывается 1-5 атомами, как определено для замещенного алкила, или низшей алкильной группе, определенной выше, которая имеет от 1 до 5 заместителей, как определено выше, и также прерывается 1-5 атомами, как определено выше. Термин «алкилен» относится к бирадикальной разветвленной или неразветвленной насыщенной углеводородной цепи, предпочтительно имеющей от 1 до 20 атомов углерода, более предпочтительно 1-10 атомов углерода, и еще более предпочтительно 1-6 атомов углерода. Примерами, обозначенными данным термином, служат такие группы как метилен (-СН2-), этилен (-СН2СН2-), изомеры пропилена (например, -СН2СН2СН2– и -СН(СН3)СН2-) и подобные. Термин «низший алкилен» относится к бирадикальной разветвленной или неразветвленной насыщенной углеводородной цепи, предпочтительно имеющей от 1 до 6 атомов углерода. Термин «замещенный алкилен» относится к: 1) алкиленовой группе, которая определена выше, имеющей от 1 до 5 заместителей, выбранных из группы, включающей алкил, алкенил, алкинил, алкокси, циклоалкил, циклоалкенил, ацил, ациламино, ацилокси, амино, аминокарбонил, алкоксикарбониламино, азидо, циано, галоген, гидрокси, кето, тиокарбонил, карбокси, карбоксиалкил, арилтио, гетероарилтио, гетероциклилтио, тиол, алкилтио, арил, арилокси, гетероарил, аминосульфонил, аминокарбониламино, гетероарилокси, гетероциклил, гетероциклоокси, гидроксиамино, алкоксиамино, нитро, -SO-алкил, -SO-арил, -SO-гетероарил, -SO2-алкил, -SO2-арил, -SO2-гетероарил. До тех пор пока нет ограничений при определении, все заместители могут быть необязательно дополнительно замещены 1-3 заместителями, выбранными из алкила, карбокси, карбоксиалкила, аминокарбонила, гидрокси, алкокси, галогена, CF3, амино, замещенного амино, циано и -S(O)nR, где R представляет алкил, арил или гетероарил и n равно 0, 1 или 2; или 2) алкиленовой группе, которая определена выше и которая прерывается 1-5 атомами или группами, независимо выбранными из кислорода, серы и -NRa-, где Ra выбран из водорода, необязательно замещенного алкила, циклоалкила, циклоалкенила, арила, гетероарила и гетероциклила, или группами, выбранными из карбонила, карбоксиэфира, карбоксиамида и сульфонила, или 3) алкиленовой группе, которая определена выше и которая имеет от 1 до 5 заместителей, как определено выше, и также прерывается 1-20 атомами, как определено выше. Примерами замещенных алкиленов являются хлорметилен (-СН(Cl)-), аминоэтилен (-CH(NH2)CH2-), метиламиноэтилен (-CH(NHMe)CH2-), изомеры 2-карбоксипропилена(-CH2CH(CO2H)CH2-), этоксиэтил(-CH2CH2OCH2CH2-), этилметиламиноэтил(-CH2CH2N(CH3)СН2CH2-), 1-этокси-2-(2-этоксиэтокси)этан (-CH2CH2O-СН2CH2-OCH2CH2-ОСН2CH2-) и подобные. Термин «аралкил» относится к арильной группе, ковалентно связанной с алкиленовой группой, где арил и алкилен определены выше. «Необязательно замещенный аралкил» обозначает необязательно замещенную арильную группу, ковалентно связанную с необязательно замещенной алкиленовой группой. Примерами таких аралкильных групп являются бензил, фенилэтил, 3-(4-метоксифенил)пропил и подобные. Термин «алкокси» обозначает группу R-O-, где R представляет необязательно замещенный алкил или необязательно замещенный циклоалкил или R является группой -Y-Z, в которой Y представляет необязательно замещенный алкилен, и Z представляет необязательно замещенный алкенил, необязательно замещенный алкинил; или необязательно замещенный циклоалкенил, где алкил, алкенил, алкинил, циклоалкил и циклоалкенил такие, как здесь определено. Предпочтительными алкоксигруппами являются необязательно замещенные группы алкил-О- и включают в качестве примера метокси, этокси, н-пропокси, изопропокси, н-бутокси, трет-бутокси, втор-бутокси, н-пентокси, н-гексокси, 1,2-диметилбутокси, трифторметокси и подобные. Термин «алкилтио» относится к группе R-S-, где R определен, как для алкокси. Термин «алкенил» относится к монорадикальной разветвленной или неразветвленной ненасыщенной углеводородной группе, предпочтительно имеющей от 2 до 20 атомов углерода, более предпочтительно от 2 до 10 атомов углерода, еще более предпочтительно от 2 до 6 атомов углерода и имеющей 1-6 двойных связей, предпочтительно 1 двойную связь (винил). Предпочтительные алкенильные группы включают этенил или винил(-СН=СН2), 1-пропилен или аллил (-СН2СН=СН2), изопропилен (-С(СН3)=СН2), бицикло[2.2.1]гептен и подобные. В случае, когда алкенил присоединен к азоту, двойная связь не может находиться в альфа-положении к азоту. Термин “низший алкенил” относится к алкенилу, как определено выше, содержащему 2-6 атомов углерода. Термин «замещенный алкенил» относится к алкенильной группе, которая определена здесь выше, имеющей от 1 до 5 заместителей и предпочтительно от 1 до 3 заместителей, выбранных из группы, включающей алкил, алкенил, алкинил, алкокси, циклоалкил, циклоалкенил, ацил, ациламино, ацилокси, амино, аминокарбонил, алкоксикарбониламино, азидо, циано, галоген, гидрокси, кето, тиокарбонил, карбокси, карбоксиалкил, арилтио, гетероарилтио, гетероциклилтио, тиол, алкилтио, арил, арилокси, гетероарил, аминосульфонил, аминокарбониламино, гетероарилокси, гетероциклил, гетероциклоокси, гидроксиамино, алкоксиамино, нитро, -SO-алкил, -SO-арил, -SO-гетероарил, -SO2-алкил, -SO2-арил и -SO2-гетероарил. До тех пор, пока нет ограничений при определении, все заместители могут быть необязательно дополнительно замещены 1-3 заместителями, выбранными из алкила, карбокси, карбоксиалкила, аминокарбонила, гидрокси, алкокси, галогена, CF3, амино, замещенного амино, циано и -S(O)nR, где R представляет алкил, арил или гетероарил и n равно 0, 1 или 2. Термин «алкинил» относится к монорадикальному ненасыщенному углеводороду, предпочтительно имеющему от 2 до 20 атомов углерода, более предпочтительно от 2 до 10 атомов углерода и еще более предпочтительно от 2 до 6 атомов углерода, и имеющему, по меньшей мере, 1 и предпочтительно 1-6 мест ацетиленовой ненасыщенности (тройная связь). Предпочтительные алкинильные группы включают этинил (-СН Термин «замещенный алкинил» относится к алкинильной группе, которая определена выше, имеющей от 1 до 5 заместителей и предпочтительно от 1 до 3 заместителей, выбранных из группы, включающей алкил, алкенил, алкинил, алкокси, циклоалкил, циклоалкенил, ацил, ациламино, ацилокси, амино, аминокарбонил, алкоксикарбониламино, азидо, циано, галоген, гидрокси, кето, тиокарбонил, карбокси, карбоксиалкил, арилтио, гетероарилтио, гетероциклилтио, тиол, алкилтио, арил, арилокси, гетероарил, аминосульфонил, аминокарбониламино, гетероарилокси, гетероциклил, гетероциклоокси, гидроксиамино, алкоксиамино, нитро, -SO-алкил, -SO-арил, -SO-гетероарил, -SO2-алкил, -SO2-арил и -SO2-гетероарил. До тех пор пока в определении нет других ограничений, все заместители могут быть необязательно дополнительно замещены 1-3 заместителями, выбранными из алкила, карбокси, карбоксиалкила, аминокарбонила, гидрокси, алкокси, галогена, CF3, амино, замещенного амино, циано и -S(O)nR, где R представляет алкил, арил или гетероарил и n равно 0, 1 или 2. Термин «аминокарбонил» обозначает группу -С(О)NRR, где каждый R независимо представляет водород, алкил, арил, гетероарил, гетероциклил или где обе группы R соединены, образуя гетероциклическую группу (например, морфолино). До тех пор пока в определении нет других ограничений, все заместители могут быть необязательно дополнительно замещены 1-3 заместителями, выбранными из алкила, карбокси, карбоксиалкила, аминокарбонила, гидрокси, алкокси, галогена, CF3, амино, замещенного амино, циано и -S(O)nR, где R представляет алкил, арил или гетероарил и n равно 0, 1 или 2. Термин «ациламино» обозначает группу -NRC(О)R, где каждый R независимо представляет водород, алкил, арил, гетероарил или гетероциклил. До тех пор пока в определении нет других ограничений, все заместители могут быть необязательно дополнительно замещены 1-3 заместителями, выбранными из алкила, карбокси, карбоксиалкила, аминокарбонила, гидрокси, алкокси, галогена, CF3, амино, замещенного амино, циано и -S(O)nR, где R представляет алкил, арил или гетероарил и n равно 0, 1 или 2. Термин «ацилокси» обозначает группу -О(О)С-алкил, -О(О)С-циклоалкил, -О(О)С-арил, -О(О)С-гетероарил и -О(О)С-гетероциклил. До тех пор пока в определении нет других ограничений, все заместители могут быть необязательно дополнительно замещены 1-3 заместителями, выбранными из алкила, карбокси, карбоксиалкила, аминокарбонила, гидрокси, алкокси, галогена, CF3, амино, замещенного амино, циано и -S(O)nR, где R представляет алкил, арил или гетероарил и n равно 0, 1 или 2. Термин «арил» обозначает ароматическую карбоциклическую группу из 6-20 атомов углерода, имеющую одно кольцо (например, фенил), или несколько колец (например, бифенил), или несколько конденсированных (слитых) колец (например, нафтил или антрил). Предпочтительные арилы включают фенил, нафтил и подобные. До тех пор пока в определении арильного заместителя нет других ограничений, такие арильные группы могут быть необязательно замещены 1-5 заместителями, предпочтительно 1-3 заместителями, выбранными из группы, включающей алкил, алкенил, алкинил, алкокси, циклоалкил, циклоалкенил, ацил, ациламино, ацилокси, амино, аминокарбонил, алкоксикарбониламино, азидо, циано, галоген, гидрокси, кето, тиокарбонил, карбокси, карбоксиалкил, арилтио, гетероарилтио, гетероциклилтио, тиол, алкилтио, арил, арилокси, гетероарил, аминосульфонил, аминокарбониламино, гетероарилокси, гетероциклил, гетероциклоокси, гидроксиамино, алкоксиамино, нитро, -SO-алкил, -SO-арил, -SO-гетероарил, -SO2-алкил, -SO2-арил и -SO2-гетероарил. До тех пор пока в определении нет других ограничений, все заместители могут быть необязательно дополнительно замещены 1-3 заместителями, выбранными из алкила, карбокси, карбоксиалкила, аминокарбонила, гидрокси, алкокси, галогена, CF3, амино, замещенного амино, циано и -S(O)nR, где R представляет алкил, арил или гетероарил и n равно 0, 1 или 2. Термин «арилокси» обозначает группу арил-О-, где арильная группа такая, как определено выше, и включает необязательно замещенные арильные группы, которые также определены выше. Термин «арилтио» обозначает группу R-S-, где R такой, как определено для арила. Термин «амино» обозначает группу -NH2. Термин «замещенный амино» обозначает группу -NRR, где каждый R независимо выбран из группы, включающей водород, алкил, циклоалкил, карбоксиалкил (например, бензилоксикарбонил), арил, гетероарил и гетероциклил, при условии, что обе группы R не являются водородом или группой -Y-Z, в которой Y обозначает необязательно замещенный алкилен и Z обозначает алкенил, циклоалкенил или алкинил. До тех пор пока в определении нет других ограничений, все заместители могут быть необязательно дополнительно замещены 1-3 заместителями, выбранными из алкила, карбокси, карбоксиалкила, аминокарбонила, гидрокси, алкокси, галогена, CF3, амино, замещенного амино, циано и -S(O)nR, где R представляет алкил, арил или гетероарил и n равно 0, 1 или 2. Термин «карбоксиалкил» обозначает группу -С(О)О-алкил, -С(О)О-циклоалкил, где алкил и циклоалкил такие, как здесь определено, и могут быть необязательно дополнительно замещены алкилом, алкенилом, алкинилом, алкокси, галогеном, CF3, амино, замещенным амино, циано или -S(O)nR, где R представляет алкил, арил или гетероарил и n равно 0, 1 или 2. Термин «циклоалкил» обозначает циклическую алкильную группу из 3-20 атомов углерода, имеющую одно циклическое кольцо или несколько конденсированных колец. Такие циклоалкильные группы включают в качестве примеров структуры с одним кольцом, такие как циклопропил, циклобутил, циклопентил, циклооктил и подобные, или структуры со многими кольцами, такие как адамантанил и бицикло[2.2.1]гептан, или циклические алкильные группы, которые сконденсированы с арильными группами, например индан и подобные. Термин «замещенный циклоалкил» обозначает циклоалкильные группы, имеющие от 1 до 5 заместителей и предпочтительно 1-3 заместителя, выбранных из группы, включающей алкил, алкенил, алкинил, алкокси, циклоалкил, циклоалкенил, ацил, ациламино, ацилокси, амино, аминокарбонил, алкоксикарбониламино, азидо, циано, галоген, гидрокси, кето, тиокарбонил, карбокси, карбоксиалкил, арилтио, гетероарилтио, гетероциклилтио, тиол, алкилтио, арил, арилокси, гетероарил, аминосульфонил, аминокарбониламино, гетероарилокси, гетероциклил, гетероциклоокси, гидроксиамино, алкоксиамино, нитро, -SO-алкил, -SO-арил, -SO-гетероарил, -SO2-алкил, -SO2-арил, -SO2-гетероарил. До тех пор пока в определении нет других ограничений, все заместители могут быть необязательно дополнительно замещены 1-3 заместителями, выбранными из алкила, карбокси, карбоксиалкила, аминокарбонила, гидрокси, алкокси, галогена, CF3, амино, замещенного амино, циано и -S(O)nR, где R представляет алкил, арил или гетероарил и n равно 0, 1 или 2. Термин «галоген» или «гало» относится к фтору, брому, хлору и йоду. Термин «ацил» обозначает группу -C(O)R, в которой R представляет водород, необязательно замещенный алкил, необязательно замещенный циклоалкил, необязательно замещенный гетероциклил, необязательно замещенный арил и необязательно замещенный гетероарил. Термин «гетероарил» относится к ароматической группе (т.е. ненасыщенной), включающей от 1 до 15 атомов углерода и от 1 до 4 гетероатомов, выбранных из кислорода, азота и серы, по меньшей мере, в одном кольце. До тех пор пока в определении гетероарильного заместителя нет других ограничений, такие гетероарильные группы могут быть необязательно замещены 1-5 заместителями, предпочтительно 1-3 заместителями, выбранными из группы, включающей алкил, алкенил, алкинил, алкокси, циклоалкил, циклоалкенил, ацил, ациламино, ацилокси, амино, аминокарбонил, алкоксикарбониламино, азидо, циано, галоген, гидрокси, кето, тиокарбонил, карбокси, карбоксиалкил, арилтио, гетероарилтио, гетероциклилтио, тиол, алкилтио, арил, арилокси, гетероарил, аминосульфонил, аминокарбониламино, гетероарилокси, гетероциклил, гетероциклоокси, гидроксиамино, алкоксиамино, нитро, -SO-алкил, -SO-арил, -SO-гетероарил, -SO2-алкил, -SO2-арил, -SO2-гетероарил. До тех пор пока в определении нет других ограничений, все заместители могут быть необязательно дополнительно замещены 1-3 заместителями, выбранными из алкила, карбокси, карбоксиалкила, аминокарбонила, гидрокси, алкокси, галогена, CF3, амино, замещенного амино, циано и -S(O)nR, где R представляет алкил, арил или гетероарил и n равно 0, 1 или 2. Такие гетероарильные группы могут иметь одно кольцо (например, пиридил, фурил, оксадиазолил, оксазолил, изоксазолил, пиразолил) или несколько конденсированных колец (например, бициклические гетероарильные группы, такие как индолизинил, бензотиазолил, бензоксазолил, бензотиенил и подобные). Примеры азотных гетероциклов и гетероарилов включают (но не ограничены этим) пиррол, имидазол, пиразол, пиридин, пиразин, пиримидин, пиридазин, индолизин, изоиндол, индол, индазол, пурин, хинолизин, изохинолин, хинолин, фталазин, нафтилпиридин, хиноксалин, хиназолин, циннолин, птеридин, карбазол, карболин, фенантридин, акридин, фенантролин, изотиазол, феназин, изоксазол, феноксазин, фенотиазин, имидазолидин, имидазолин и подобные, а также N-алкоксиазотсодержащие гетероарильные соединения. Термин «гетероарилен» или «гетероариленил» относится к бирадикалу гетероарильной группы, которая определена выше. Данный термин представлен примерами таких групп, как 3,5-[1,2,4]оксадиазоленил, 2,4-[1,3]оксазоленил, 2,5-[1,3]оксазоленил, 3,5-изоксазоленил, 3,4-пиразоленил, 3,5-пиразоленил и подобные. Например, 3,5-[1,2,4]оксадиазоленил в контексте соединений формулы I представлен как:
До тех пор пока в определении гетероарильного или гетероариленового заместителя нет других ограничений, такие гетероариленовые группы могут быть необязательно замещены 1-5 заместителями, предпочтительно 1-3 заместителями, выбранными из группы, включающей алкил, алкенил, алкинил, алкокси, циклоалкил, циклоалкенил, ацил, ациламино, ацилокси, амино, аминокарбонил, алкоксикарбониламино, азидо, циано, галоген, гидрокси, кето, тиокарбонил, карбокси, карбоксиалкил, арилтио, гетероарилтио, гетероциклилтио, тиол, алкилтио, арил, арилокси, гетероарил, аминосульфонил, аминокарбониламино, гетероарилокси, гетероциклил, гетероциклоокси, гидроксиамино, алкоксиамино, нитро, -SO-алкил, -SO-арил, -SO-гетероарил, -SO2-алкил, -SO2-арил и -SO2-гетероарил. До тех пор пока в определении нет других ограничений, все заместители могут быть необязательно дополнительно замещены 1-3 заместителями, выбранными из алкила, карбокси, карбоксиалкила, аминокарбонила, гидрокси, алкокси, галогена, CF3, амино, замещенного амино, циано и -S(O)nR, где R представляет алкил, арил или гетероарил и n равно 0, 1 или 2. Термин «гетероарилокси» обозначает группу гетероарил-О-. Термин «гетероциклил» обозначает монорадикальную насыщенную или частично ненасыщенную группу, имеющую одно кольцо или много конденсированных колец, имеющих от 1 до 40 атомов углерода и от 1 до 10 гетероатомов, предпочтительно от 1 до 4 гетероатомов, выбранных из азота, серы, фосфора и/или кислорода, в кольце. До тех пор пока в определении гетероциклического заместителя нет других ограничений, такие гетероциклические группы могут быть необязательно замещены 1-5 и предпочтительно 1-3 заместителями, выбранными из группы, включающей алкил, алкенил, алкинил, алкокси, циклоалкил, циклоалкенил, ацил, ациламино, ацилокси, амино, аминокарбонил, алкоксикарбониламино, азидо, циано, галоген, гидрокси, кето, тиокарбонил, карбокси, карбоксиалкил, арилтио, гетероарилтио, гетероциклилтио, тиол, алкилтио, арил, арилокси, гетероарил, аминосульфонил, аминокарбониламино, гетероарилокси, гетероциклил, гетероциклоокси, гидроксиамино, алкоксиамино, нитро, -SO-алкил, -SO-арил, -SO-гетероарил, -SO2-алкил, -SO2-арил, -SO2-гетероарил. До тех пор пока в определении нет других ограничений, все заместители могут быть необязательно дополнительно замещены 1-3 заместителями, выбранными из алкила, карбокси, карбоксиалкила, аминокарбонила, гидрокси, алкокси, галогена, CF3, амино, замещенного амино, циано и -S(O)nR, где R представляет алкил, арил или гетероарил и n равно 0, 1 или 2. Гетероциклические группы могут иметь одно кольцо или много конденсированных колец. Предпочтительные гетероциклические группы включают тетрагидрофуранил, морфолино, пиперидинил и подобные. Термин «тиол» обозначает группу -SH. Термин «замещенный алкилтио» обозначает группу -S-замещенный алкил. Термин «гетероарилтио» обозначает группу -S-гетероарил, где гетероарильная группа такая, как определено выше, включая необязательно замещенные гетероарильные группы, которые определены выше. Термин «сульфоксид» обозначает группу -S(О)R, в которой R представляет алкил, арил или гетероарил. Термин «замещенный сульфоксид» обозначает группу -S(О)R, в которой R представляет замещенный алкил, замещенный арил или замещенный гетероарил, которые определены выше. Термин «сульфон» обозначает группу -S(О)2R, в которой R представляет алкил, арил или гетероарил. Термин «замещенный сульфон» обозначает группу -S(О)2R, в которой R представляет замещенный алкил, замещенный арил или замещенный гетероарил, которые определены выше. Термин «кето» обозначает группу -С(О)-. Термин «тиокарбонил» обозначает группу -С(S)-. Термин «карбокси» обозначает группу -С(О)-ОН. Выражения «необязательный» или «необязательно» означают, что описанное далее событие или обстоятельство может происходить или не происходить и что описание включает случаи, когда указанное событие или обстоятельство происходит, и случаи, в которых оно не происходит. Имеется в виду, что выражение «соединение формулы I» охватывает соединения данного изобретения, которые раскрыты, и их фармацевтически приемлемые соли, фармацевтически приемлемые сложные эфиры и пролекарства из таких соединений. Выражение «терапевтически эффективное количество» обозначает количество соединения формулы I, которое достаточно для эффективного лечения, как определено выше, при введении нуждающемуся в таком лечении млекопитающему. Терапевтически эффективное количество варьируется в зависимости от пациента и подлежащего лечению болезненного состояния, веса и возраста пациента, тяжести состояния, способа введения и подобного, его легко определяет специалист в данной области. Термин «терапия» или «лечение» обозначает лечение заболевания у млекопитающего, включая: (i) профилактику заболевания, то есть обеспечение обстоятельств, в которых клинические симптомы заболевания не развиваются; (ii) ингибирование заболевания, то есть приостановка развития клинических симптомов; и/или (iii) облегчение заболевания, то есть обеспечение регрессии клинических симптомов. Во многих случаях соединения данного изобретения способны образовывать соли кислот и/или оснований, благодаря присутствию амино- и/или карбоксильных групп или аналогичных им групп. Выражение «фармацевтически приемлемые соли» обозначает соли, которые сохраняют биологическую эффективность и свойства соединений формулы I и которые не являются биологически или иным образом нежелательными. Фармацевтически приемлемые соли присоединения оснований можно получить из неорганических и органических оснований. Соли, производные неорганических оснований, включают в качестве примеров только соли натрия, калия, лития, аммония, кальция и магния. Соли, производные органических оснований, включают (но не ограничены этим) соли первичных, вторичных и третичных аминов, таких как алкиламины, диалкиламины, триалкиламины, замещенные алкиламины, ди(замещенный алкил)амины, три(замещенный алкил)амины, алкениламины, диалкениламины, триалкениламины, замещенные алкениламины, ди(замещенный алкенил)амины, три(замещенный алкенил)амины, циклоалкиламины, ди(циклоалкил)амины, три(циклоалкил)амины, замещенные циклоалкиламины, дизамещенные циклоалкиламины, тризамещенные циклоалкиламины, циклоалкениламины, ди(циклоалкенил)амины, три(циклоалкенил)амины, замещенные циклоалкениламины, дизамещенные циклоалкениламины, тризамещенные циклоалкениламины, ариламины, диариламины, триариламины, гетероариламины, дигетероариламины, тригетероариламины, гетероциклические амины, дигетероциклические амины, тригетероциклические амины, смешанные ди- и триамины, где, по меньшей мере, два из заместителей на амине разные и выбраны из группы, включающей алкил, замещенный алкил, алкенил, замещенный алкенил, циклоалкил, замещенный циклоалкил, циклоалкенил, замещенный циклоалкенил, арил, гетероарил, гетероциклическую группу и подобные. Конкретные примеры подходящих аминов включают приведенные только в качестве примеров изопропиламин, триметиламин, диэтиламин, три(изопропил)амин, три(н-пропил)амин, этаноламин, 2-диметиламиноэтанол, трометамин, лизин, аргинин, гистидин, кофеин, прокаин, гидрабамин, холин, бетаин, этилендиамин, глюкозамин, N-алкилглюкамины, теобромин, пурины, пиперазин, пиперидин, морфолин, N-этилпиперидин и подобные. Фармацевтически приемлемые соли присоединения кислот можно получить из неорганических и органических кислот. Соли, производные неорганических кислот, включают соли соляной кислоты, бромистоводородной кислоты, серной кислоты, азотной кислоты, фосфорной кислоты и подобные. Соли, производные органических кислот, включают соли уксусной кислоты, пропионовой кислоты, гликолевой кислоты, пировиноградной кислоты, щавелевой кислоты, яблочной кислоты, малоновой кислоты, янтарной кислоты, малеиновой кислоты, фумаровой кислоты, винной кислоты, лимонной кислоты, бензойной кислоты, коричной кислоты, миндальной кислоты, метансульфоновой кислоты, этансульфоновой кислоты, пара-толуолсульфоновой кислоты, салициловой кислоты и подобных. Используемое здесь выражение «фармацевтически приемлемый носитель» включает любые и все растворители, дисперсионные среды, покрытия, антибактериальные и противогрибковые агенты, изотонические агенты и агенты, замедляющие абсорбцию, и подобные. Применение таких сред и агентов для фармацевтически активных веществ хорошо известно в данной области. Исключение составляют те случаи, когда традиционная среда или агент несовместим с активным ингредиентом и предполагается его применение в фармацевтических композициях. В композиции можно также включать дополнительные активные ингредиенты. Выражение «ингибиторы окисления жирных кислот» относится к соединениям, которые подавляют продуцирование АТФ в результате окисления жирных кислот и, следовательно, стимулируют продуцирование АТФ в результате окисления глюкозы и лактата. В сердце продуцирование АТФ происходит главным образом посредством метаболизма жирных кислот. Метаболизм глюкозы и лактата обеспечивает меньшую часть АТФ. Однако образование АТФ из жирных кислот является менее эффективным в отношении потребления кислорода, чем образование АТФ в результате окисления глюкозы и лактата. Таким образом, применение ингибиторов окисления жирных кислот в результате производит больше энергии на молекулу потребленного кислорода, позволяя сердцу работать более эффективно. Номенклатура Наименование и нумерация соединений данного изобретения проиллюстрированы на типичном примере соединения формулы I, в котором R1, R2, R3, R4, R5, R6, R7 и R8 представляют водород, Т представляет кислород, Х1 представляет 4-трет-бутилфенил, Х2 представляет 2-метилбензотиазол-5-ил, Y представляет 1,2,4-оксадиазол, и Z1 и Z2 представляют метилен: и которое называется 3-[4-({3-[4-(трет-бутил)фенил](1,2,4-оксадиазол-5-ил)}метил)пиперазинил]-1-(2-метилбензотиазол-5-илокси)пропан-2-ол. Синтез соединений формулы I Один способ получения соединений формулы I представлен на реакционной схеме I. где R1, R2, R3, R4, R5, R6, R7, R8, Т, Х1, Х2, Y, Z1 и Z2 такие, как определено выше, Hal обозначает галоген, и t-but обозначает третичный бутил. Исходные вещества Соединения формул (1), (2) и (4) либо являются коммерчески доступными, либо их можно получить обычными способами, хорошо известными специалисту в данной области. Например, предшественник соединения формулы (4), где R1 и R5, взятые вместе, представляют мостиковую метиленовую группу, то есть
представляет коммерчески доступный [(1S,4S)-(+)-2,5-диазабицикло[2.2.1]гептан] или его можно получить по методике, раскрытой в J. Org. Chem., 1990, 55, 1684-7. Аналогично предшественник соединения формулы (4), где R1 и R5, взятые вместе, представляют мостиковую этиленовую группу, и предшественник соединения формулы (4), где R1 и R7, взятые вместе, представляют мостиковую этиленовую группу, можно получить по опубликованной методике, раскрытой в J. Med. Chem., 1974, 17, 481-7. Предшественник соединения формулы (4), где R1, R2, R3, R4, R5, R6 и R7 представляют водород и R8 представляет -C(O)NH2, получают из пиперазин-2-карбоксамида, коммерчески доступного соединения. Стадия 1 – Получение соединения формулы (3) Соединение формулы (3) обычно получают путем взаимодействия соединения формулы (1), например 5-гидрокси-2-метилбензотиазола, с эпоксидом формулы (2). Обычно два соединения смешивают в инертном растворителе, предпочтительно кетоне, например ацетоне, и в присутствии третичного органического основания или неорганического основания, предпочтительно карбоната кальция при температуре около температуры кипения с обратным холодильником в течение примерно 8-48 ч, предпочтительно в течение ночи. Когда взаимодействие по существу закончено, выделяют продукт формулы (3) обычными способами, например фильтрованием, удалением растворителя при пониженном давлении с последующей хроматографией остатка на силикагеле. В альтернативном случае после фильтрования продукт можно кристаллизовать из фильтрата. Стадия 2 – Получение соединения формулы (5) Далее соединение формулы (3) подвергают взаимодействию с защищенным пиперазином формулы (4). Обычно два соединения смешивают в инертном растворителе, предпочтительно галогенированном растворителе, например метиленхлориде, необязательно в присутствии катализатора, например трифторметансульфоната иттербия (III). В присутствии катализатора взаимодействие проводят примерно при 0-30°С, предпочтительно при комнатной температуре в течение примерно 8-48 ч, предпочтительно в течение ночи. В отсутствие катализатора смесь кипятят с обратным холодильником в течение такого же периода времени в этаноле в присутствии триэтиламина. Когда взаимодействие по существу закончено, выделяют продукт формулы (5) обычными способами, например удаляя растворитель при пониженном давлении с последующей хроматографией остатка на силикагеле. Стадия 3 – Получение соединения формулы (6) Далее с соединения формулы (5) снимают защиту посредством гидролиза трет-бутилового сложного эфира. Обычно соединение формулы (5) растворяют в смеси инертного растворителя, предпочтительно галогенированного растворителя, например метиленхлорида, и сильной кислоты, например трифторуксусной кислоты. Взаимодействие проводят примерно при 0-30°С, предпочтительно при температуре около комнатной в течение примерно 8-48 ч, предпочтительно в течение ночи. Когда взаимодействие по существу закончено, выделяют продукт формулы (6) обычными способами, например добавляя основание для удаления избытка кислоты и удаляя растворитель при пониженном давлении. Стадия 4 – Получение соединения формулы I Далее соединение формулы (6) подвергают взаимодействию с соединением формулы (7) (X1-Y-Z1-Hal), например 3-(4-трифторметилфенил)-5-хлорметил-1,2,4-оксадиазолом. Обычно два соединения смешивают в инертном растворителе, предпочтительно протонном растворителе, например этаноле, в присутствии неорганического или третичного органического основания, предпочтительно триэтиламина. Взаимодействие проводят примерно при 30-100°С, предпочтительно около температуры кипения с обратным холодильником в течение примерно 8-48 ч, предпочтительно в течение ночи. Когда взаимодействие по существу закончено, выделяют продукт формулы I обычными способами, например удаляя растворитель при пониженном давлении с последующей хроматографией. Альтернативный синтез соединений формулы I, где Y представляет производное 1,2,4-оксадиазола, показан на реакционной схеме II. Соединение формулы (9) получают по известной реакции путем взаимодействия нитрила формулы X1CN с гидроксиламингидрохлоридом в этаноле в присутствии третичного основания, предпочтительно триэтиламина при температуре примерно 0°С. Соединение формулы (9) подвергают взаимодействию с хлоралканоилхлоридом формулы (10), например хлорацетилхлоридом, в инертном растворителе, например дихлорметане, при температуре примерно от -10 до -30°С с последующим взаимодействием при температуре около 85°С, получая соединение формулы (11). Затем соединение формулы (11) подвергают взаимодействию с соединением формулы (6) аналогичным образом, как показано на реакционной схеме I. Альтернативно, можно провести взаимодействие соединения формулы (11) с трет-бутилпиперазинкарбоксилатом, с которого затем снимают защиту обычными способами (кислотные условия). Далее полученное таким образом соединение подвергают взаимодействию с эпоксидом формулы (3), как показано на реакционной схеме I, получая соединение формулы I. Это позволяет получить соединение формулы I, в котором 3-замещенный [1,2,4]оксадиазол-5-ил присоединен к пиперазину. Для получения соответствующего 5-замещенного производного [1,2,4]оксадиазол-3-ила проводят взаимодействие соединения формулы (9а) с производным хлорангидрида кислоты X1C(O)Cl, получая 3-хлорметильное производное [1,2,4]оксадиазола формулы (11а), которое затем подвергают взаимодействию с соединением формулы (6), получая соединение формулы I, в котором Y представляет 5-замещенный [1,2,4]оксадиазол-3-ил, как показано на реакционной схеме III. Хлорметильное соединение формулы (9а) получают по известной реакции путем взаимодействия хлорацетонитрила с гидроксиламингидрохлоридом в водных условиях в присутствии основания, предпочтительно карбоната натрия при температуре около 0°С. Полученный таким образом 2-хлорацетоксамидоксим формулы (9а) подвергают взаимодействию с хлорангидридом кислоты формулы Х1С(О)Cl в присутствии основания, предпочтительно несвободного третичного основания в инертном растворителе, например толуоле, при температуре около комнатной в течение ночи. Продукт выделяют и нагревают примерно при 80-120°С в течение примерно 2-3 дней. Когда взаимодействие по существу завершено, выделяют продукт формулы (11а) обычными способами. Далее соединение формулы (11а) подвергают взаимодействию с соединением формулы (6), полученным, как показано выше. Обычно два соединения смешивают в инертном растворителе, предпочтительно протонном растворителе, например этаноле, в присутствии неорганического или третичного органического основания, предпочтительно триэтиламина. Взаимодействие проводят примерно при 30-100°С, предпочтительно около температуры кипения с обратным холодильником в течение примерно 24-72 ч, предпочтительно в течение 48 ч. Когда взаимодействие по существу закончено, выделяют продукт формулы I обычными способами, например удаляя растворитель при пониженном давлении с последующей хроматографией. Альтернативно, можно провести взаимодействие соединения формулы (11) с трет-бутилпиперазинкарбоксилатом, с которого затем удаляют защиту обычными способами (кислотные условия). Далее полученное таким образом соединение подвергают взаимодействию с эпоксидом формулы (3), как показано на реакционной схеме I, получая соединение формулы I. Для получения соединений формулы I, в которых Y представляет необязательно замещенный оксазол, применяют несколько отличающуюся последовательность взаимодействий, как показано на реакционной схеме IV. Стадия 1 Соединение формулы Х1С(О)Cl подвергают взаимодействию с коммерчески доступным метил 2-амино-3-гидроксипропаноатом (12). Как правило, два соединения смешивают в инертном растворителе, например дихлорметане, в присутствии неорганического или третичного органического основания, предпочтительно триэтиламина. Взаимодействие сначала проводят примерно при 0°С в течение 5 мин, затем при температуре около комнатной в течение 30 мин. Когда взаимодействие по существу закончено, выделяют продукт формулы (13) обычными способами, например удаляя растворитель при пониженном давлении с последующей хроматографией. Стадия 2 Далее соединение формулы (13) циклизуют путем взаимодействия с диизопропилазодикарбоксилатом или подобным в присутствии трифенилфосфина, получая 4-карбоксиметил-1,3-оксазолин формулы (14). Взаимодействие проводят в инертном растворителе, например тетрагидрофуране, при температуре около комнатной в течение 1-5 дней. Когда взаимодействие по существу завершено, выделяют продукт формулы (14) обычными способами, например удаляя растворитель при пониженном давлении с последующей хроматографией. Стадия 3 Затем оксазолин формулы (14) превращают в 4-карбоксиметил-1,3-оксазольное производное формулы (15) путем взаимодействия с 2,3-дихлор-5,6-дициано-1,4-бензохиноном в инертном растворителе, например толуоле, при температуре около температуры кипения с обратным холодильником в течение 1-2 дней. Когда взаимодействие по существу завершено, выделяют продукт формулы (15) обычными способами, например удаляя растворитель при пониженном давлении с последующей хроматографией. Стадия 4 Затем карбоксиметильную группу соединения формулы (15) восстанавливают обычными способами до гидроксиметильной группы, получая соединение формулы (16), например, посредством восстановления литийалюминийгидридом в эфирном растворителе, например тетрагидрофуране, при температуре около 0°С. Когда взаимодействие по существу завершено, выделяют продукт формулы (16) обычными способами, например посредством гашения избытка восстановителя водой, экстракции инертным растворителем, например этилацетатом, удаления растворителя при пониженном давлении с последующей хроматографией. Полученное таким образом гидроксиметильное соединение формулы (16) подвергают взаимодействию с реагентом, способным превратить гидроксильную группу в уходящую группу, например, конверсией в хлорид обычными способами или предпочтительно путем взаимодействия с сульфонилхлоридом, например взаимодействия с метансульфонилхлоридом с получением мезилата. Затем данный мезилат подвергают взаимодействию с соединением формулы (6) аналогичным образом, как показано на реакционной схеме I, получая соединение формулы I, в котором Y представляет необязательно замещенный оксазол. Для получения соединений формулы (8), в которых Y представляет необязательно замещенный пиразол, применяют другую последовательность взаимодействий, как показано на реакционной схеме V. Стадия 1 Коммерчески доступное соединение йода формулы Х1I подвергают взаимодействию с н-бутиллитием при температуре примерно от -50 до -80°С в инертном растворителе, например диэтиловом эфире, в течение примерно 1 ч. К полученному таким образом аниону добавляют три(н-бутил)станнан и примерно через 1 ч дают смеси нагреться до комнатной температуры. Когда взаимодействие по существу закончено, выделяют продукт формулы (17) обычными способами, например путем гашения избытка восстановителя хлоридом аммония в воде, экстракции инертным растворителем, например эфиром, и удаления растворителя при пониженном давлении. Стадия 2 Далее производное олова формулы (17) смешивают с необязательно замещенным производным пиразола формулы (18). Данные соединения коммерчески доступны или их можно получить известными в данной области способами. Взаимодействие проводят в инертном растворителе, например ацетонитриле, в присутствии трифениларсина, йодида меди и Pd на угле при температуре примерно 60-100°С в течение 1-3 дней. Когда взаимодействие по существу завершено, выделяют продукт формулы (19) обычными способами, например фильтрованием, удалением растворителя при пониженном давлении и хроматографией остатка. Соединения формулы (7), в которых Y представляет необязательно замещенный изоксазол, получают, как показано на реакционной схеме VI. Стадия 1 Винильное производное формулы (20) подвергают взаимодействию с этил 2-хлор-2-(гидроксиамино)ацетатом (21) в инертном растворителе, например тетрагидрофуране, в присутствии третичного основания, например триэтиламина, в течение примерно 0,5-4 ч. Когда взаимодействие по существу закончено, выделяют продукт формулы (22) обычными способами. Стадия 2 Далее соединение формулы (22) превращают в 4-карбоксиэтил-1,2-оксазольное производное формулы (23) посредством взаимодействия с 2,3-дихлор-5,6-дициано-1,4-бензохиноном в инертном растворителе, например толуоле, при температуре около температуры кипения с обратным холодильником в течение 1-2 дней. Когда взаимодействие по существу завершено, выделяют продукт формулы (23) обычными способами, например удаляя растворитель при пониженном давлении с последующей хроматографией. Стадия 3 Далее карбоксиэтильную группу соединения формулы (23) восстанавливают обычными способами до гидроксиметильной группы, получая соединение формулы (24), например посредством восстановления боргидридом натрия в инертном растворителе, например этаноле, при температуре около 0°С в течение 2-8 ч. Когда взаимодействие по существу завершено, выделяют продукт формулы (24) обычными способами, например посредством гашения избытка восстановителя водой, экстракции инертным растворителем, например этилацетатом, удаления растворителя при пониженном давлении с последующей хроматографией. Стадия 4 Далее гидроксиметильную группу соединения формулы (24) превращают в хлорметильную группу обычными способами, например при помощи тионилхлорида, получая соединение формулы (25). Взаимодействие проводят в инертном растворителе, например дихлорметане, при температуре около 0°С в течение примерно 5 мин, затем перемешивают смесь в течение ночи при комнатной температуре. Когда взаимодействие по существу завершено, выделяют продукт формулы (25) обычными способами, например удаляя растворитель при пониженном давлении. Далее соединение формулы (25) подвергают взаимодействию с пиперазиновым производным формулы (6) аналогичным образом, как показано на реакционной схеме I, получая соединение формулы I, в котором Y представляет необязательно замещенный изоксазол. Общая применимость Соединения формулы I эффективны при лечении состояний, которые, как известно, реагируют на введение ингибиторов окисления жирных кислот, включая защиту скелетных мышц от поражений в результате травм, перемежающуюся хромоту, шок и сердечно-сосудистые заболевания, включающие предсердную и вентрикулярную аритмию, стенокардию Принцметала (вариант), стабильную стенокардию, ишемию и нарушение перфузии в сердце, почках, печени и головном мозге, стенокардию, вызванную физическими упражнениями, застойную болезнь сердца и инфаркт миокарда. В последнее время показано, что ингибиторы окисления жирных кислот изменяют уровень глюкозы у пациентов с диабетом, обеспечивая, таким образом, новый способ лечения диабета и, в частности, обеспечивая эффективное лечение стенокардии у диабетиков. Показано также, что ингибиторы окисления жирных кислот повышают уровни HDL и снижают уровни LDL у млекопитающих, обеспечивая, таким образом, способ лечения коронарного артериального заболевания. Соединения формулы I также можно применять для сохранения донорских тканей и органов, используемых в трансплантатах, и можно вводить совместно с тромболитическими агентами, антикоагулянтами и другими агентами. Исследование Исследование активности проводят, как описано в патентах и патентных заявках, указанных выше, и в примерах, приведенных ниже, и способами, понятными специалистам в данной области. Фармацевтические композиции Соединения формулы I обычно вводят в виде фармацевтических композиций. Таким образом, данное изобретение относится к фармацевтическим композициям, которые содержат в качестве активного ингредиента одно или более соединений формулы I или их фармацевтически приемлемые соли или сложные эфиры, и один или более фармацевтически приемлемый наполнитель, носитель, включающие инертные твердые разбавители и наполнители; разбавители, включающие стерильные водные растворы и различные органические растворители; агенты, усиливающие проницание; агенты, способствующие растворению, и адъюванты. Соединения формулы I можно вводить сами по себе или в комбинации с другими терапевтическими агентами. Такие композиции получают способами, известными в области фармацевтики (см., например, Remington’s Pharmaceutical Sciences, Mace Publishing Co., Philadelphia, PA 17th Ed. (1985) и “Modern Pharmaceutics”, Marcel Dekker, Inc. 3th Ed. (G. S. Banker & C. T. Rhodes, Eds.). Пути введения Композиции соединения формулы I можно принимать как разовую дозу или многократные дозы любыми подходящими способами приема агентов, имеющих аналогичную применимость, например, как описано в патентах и патентных заявках, включенных здесь в виде ссылок, включая ректальный, трансбуккальный, внутриносовой и трансдермальный способы введения, путем внутриартериальной инъекции, внутривенно, внутрибрюшинно, парентерально, внутримышечно, подкожно, перорально, локально, в виде ингаляции или при помощи вводимого или наносимого устройства, такого как, например, стент или вводимый в артерию цилиндрический полимер. Одним из способов введения является парентеральный, в частности путем инъекции. Формы, в которые можно включить новые композиции настоящего изобретения для введения путем инъекции, включают водные или масляные суспензии или эмульсии с кунжутным маслом, кукурузным маслом, хлопковым маслом или арахисовым маслом, а также эликсиры, маннит, декстрозу или стерильные водные растворы и аналогичные фармацевтические носители. Обычно для инъекций используют также водные растворы в физиологическом растворе, но в контексте настоящего изобретения они менее предпочтительны. Можно также применять этанол, глицерин, пропиленгликоль, жидкий полиэтиленгликоль и подобные (и их подходящие смеси), производные циклодекстрина и растительные масла. Надлежащую текучесть можно поддерживать, например, используя покрытия, такие как лецитин, поддерживая требуемый размер частиц в случае дисперсии и применяя поверхностно-активные вещества. Можно осуществить профилактику действия микроорганизмов, применяя различные антибактериальные и противогрибковые агенты, например парабены, хлорбутанол, фенол, сорбиновая кислота, тимеросал и подобные. Стерильные растворы для инъекций получают, включая соединение формулы I в необходимом количестве в подходящий растворитель с различными другими ингредиентами, которые перечислены выше, если требуется, с последующей стерилизацией фильтрованием. Дисперсии обычно получают, включая различные стерилизованные активные ингредиенты в стерильный носитель, который содержит основную дисперсионную среду и другие необходимые ингредиенты из перечисленных выше. В случае стерильных порошков для получения стерильных растворов для инъекций, предпочтительными способами получения являются методики вакуумной сушки и сушки вымораживанием, которые дают порошок активного ингредиента плюс дополнительный требуемый ингредиент из предыдущего его раствора, стерилизованного фильтрованием. Соединение формулы I можно вводить в стент, например, посредством диффузии, или наносить на стент, например, в виде геля, применяя методики, известные специалистам в данной области, в свете настоящего изобретения. Другим способом введения соединений формулы I является пероральный прием. Принимать можно капсулы, или таблетки с энтеросолюбильным покрытием, или подобное. При получении фармацевтических композиций, которые включают, по меньшей мере, одно соединение формулы I, активный ингредиент обычно разбавляют наполнителем и/или включают в такой носитель, который может быть в виде капсулы, саше, бумаги или другого контейнера. Если наполнитель служит в качестве разбавителя, он может быть в виде твердого, полутвердого или жидкого материала (как указано выше), который действует в качестве наполнителя, носителя или среды для активного ингредиента. Таким образом, композиции могут быть в виде таблеток, пилюль, порошков, лепешек, саше, облаток, эликсиров, суспензий, эмульсий, растворов, сиропов, аэрозолей (в виде твердого вещества или в жидкой среде), мазей, содержащих, например, до 10% масс. активного соединения, мягких и твердых желатиновых капсул, стерильных растворов для инъекций и стерильных упакованных порошков. Некоторые примеры подходящих наполнителей включают лактозу, декстрозу, сахарозу, сорбит, маннит, крахмалы, аравийскую камедь, фосфат кальция, альгинаты, трагакант, желатин, силикат кальция, микрокристаллическую целлюлозу, поливинилпирролидон, целлюлозу, стерильную воду, сироп и метилцеллюлозу. Препараты могут дополнительно включать лубриканты, такие как тальк, стеарат магния и минеральное масло; смачивающие агенты; эмульгаторы и суспендирующие агенты; консерванты, такие как метил- и пропилгидроксибензоаты; подслащающие агенты и ароматизаторы. Соединения данного изобретения можно приготовить таким образом, чтобы обеспечить быстрое, длительное или замедленное высвобождение активного ингредиента после введения пациенту, применяя известные в данной области методики. Системы с регулируемым высвобождением лекарства для перорального приема включают осмотические нагнетающие системы и растворяющиеся системы, содержащие резервуары с полимерным покрытием или препараты с матрицей лекарство-полимер. Примеры системы с регулируемым высвобождением приведены в патентах США № 3845770, 4326525, 4902514 и 5616345. Другие препараты для применения в способах настоящего изобретения используют устройства для трансдермальной доставки («пластыри»). Такие пластыри для трансдермальной доставки можно применять для обеспечения непрерывного или прерываемого введения соединений настоящего изобретения в регулируемых количествах. Конструкция и применение пластырей для трансдермальной доставки фармацевтических агентов хорошо известны в данной области. См., например, патенты США № 5023252, 4992445 и 5001139. Можно сконструировать такие пластыри для непрерывной, импульсной или требуемой доставки фармацевтических агентов. Композиции предпочтительно составлены в виде стандартной дозированной формы. Выражение «стандартная дозированная форма» обозначает физически дискретные единицы, подходящие в качестве стандартных доз для пациентов людей и других млекопитающих, причем каждая единица содержит предварительно определенное количество активного вещества, рассчитанное для обеспечения необходимого терапевтического действия, в сочетании с подходящим фармацевтическим наполнителем (например, таблетка, капсула, ампула). Соединения формулы I эффективны в широком диапазоне дозировки и обычно их вводят в фармацевтически эффективном количестве. Предпочтительно, чтобы дозированная единица для перорального приема содержала от 1 мг до 2 г соединения формулы I и для парентерального введения предпочтительно от 0,1 до 700 мг соединения формулы I. Однако понятно, что фактически вводимое количество соединения формулы I определяет лечащий врач в свете конкретных обстоятельств, включающих подлежащее лечению состояние, выбранный способ введения, конкретное вводимое соединение и его относительную активность, возраст, вес и реакцию конкретного пациента, тяжесть симптомов пациента и подобное. Для получения твердых композиций, таких как таблетки, главный активный ингредиент смешивают с фармацевтическим наполнителем, получая композицию твердого предварительного препарата, содержащую гомогенную смесь соединения настоящего изобретения. Рассматривая данные композиции предварительных препаратов как гомогенные, полагают, что активный ингредиент диспергирован равномерно внутри композиции таким образом, что композицию можно легко поделить на стандартные дозированные формы равной эффективности, такие как таблетки, пилюли и капсулы. Таблетки и пилюли настоящего изобретения могут иметь покрытие или могут быть приготовлены таким образом, чтобы обеспечить дозированную форму пролонгированного действия или форму, защищенную от кислых условий желудка. Например, таблетка или пилюля может содержать внутренний дозированный компонент и внешний дозированный компонент, причем последний образует оболочку поверх первого. Два компонента могут быть разделены энтеросолюбильным слоем, который служит для противодействия разрушению в желудке и позволяет внутреннему компоненту пройти нетронутым в двенадцатиперстную кишку или высвобождаться с замедлением. Для таких энтеросолюбильных слоев можно использовать разнообразные вещества; такие вещества включают ряд полимерных кислот и смеси полимерных кислот с такими веществами как шеллак, цетиловый спирт и ацетат целлюлозы. Композиции для ингаляций и инсуффляций включают растворы и суспензии в фармацевтически приемлемых водных или органических растворителях или их смесях и порошки. Жидкие и твердые композиции могут содержать подходящие фармацевтически приемлемые наполнители, которые описаны ранее. Для локального или общего действия предпочтительно вводить композиции перорально или респираторно через нос. Композиции в предпочтительных фармацевтически приемлемых растворителях можно распылять, используя инертные газы. Распыляемые растворы можно применять в виде ингаляции непосредственно из распыляющего устройства или распыляющее устройство можно присоединить к лицевому маскирующему тенту или к дыхательной машине с перемежающимся положительным давлением. Композиции в виде растворов, суспензий или порошков можно вводить предпочтительно перорально или через нос из устройств, которые доставляют препарат подходящим способом. Следующие примеры включены для демонстрации предпочтительных вариантов данного изобретения. Специалисты в данной области должны оценить, что методики, раскрытые в следующих примерах, представляют методики, которые разработаны заявителями данного изобретения и хорошо работают при применении данного изобретения, и, следовательно, можно считать, что они составляют предпочтительные варианты его применения. Однако специалисты в данной области должны оценить в свете настоящего раскрытия, что можно сделать много изменений в конкретных вариантах, которые раскрыты и еще получить похожие или аналогичные результаты в объеме данного изобретения. ПРИМЕР 1 Получение соединения формулы (3) А. Получение соединения формулы (3), в котором Т представляет кислород, Х2 представляет 2-метилбензотиазол-5-ил и Z2 представляет метилен Смесь соединения формулы (1) 2-метилбензотиазол-5-ола (6,0 г, 36 ммоль), соединения формулы (2) (S)-(+)-эпихлоргидрина (20 мл, 182 ммоль) и карбоната калия (20 г, 144 ммоль) в ацетоне (100 мл) кипятят с обратным холодильником и оставляют перемешиваться в течение ночи. Раствору дают остыть и фильтруют через Celite 512. Фильтрат выпаривают в вакууме, получая масло. Данное масло хроматографируют на силикагеле, элюируя смесью 20% этилацетат/гексан, получая 2-метил-5-(S)-(оксиран-2-илметокси)бензотиазол в виде белого твердого вещества (6,2 г, 28 ммоль). В. Получение соединения формулы (3), в котором Т представляет кислород, Х2 представляет 2-фенилбензоксазол-5-ил и Z2 представляет метилен Аналогично, следуя приведенной выше методике 1А, но заменяя 2-метилбензотиазол-5-ол на 2-фенилбензоксазол-5-ол, получают соединение формулы (3), где Х2 представляет 2-фенилбензоксазол-5-ил, Т представляет кислород и Z2 представляет метилен, а именно 2-фенил-5-(оксиран-2-илметокси)бензоксазол. Аналогично получают следующие соединения формулы (3): 2-метокси-1-(оксиран-2-илметокси)бензол и 2-фтор-1-(оксиран-2-илметокси)бензол. С. Получение соединения формулы (3) с различными Т, Х2 и Z2 Аналогично, следуя приведенной выше методике 1А, но необязательно заменяя 2-метилбензотиазол-5-ол другими соединениями формулы (1) и необязательно заменяя (S)-(+)-эпихлоргидрин другими соединениями формулы (2), замещенными подходящим образом, получают следующие соединения формулы (3): 2-метил-5-(R)-(оксиран-2-илметокси)бензотиазол; 2-метил-5-(RS)-(оксиран-2-илметокси)бензотиазол; 2-метокси-1-(оксиран-2-илэтокси)бензол; 2-хлор-1-(оксиран-2-илэтокси)бензол; 2-метил-5-(оксиран-2-илэтокси)бензотиазол; 2-фтор-1-(оксиран-2-илметокси)бензол; 4-метокси-1-(оксиран-2-илметокси)бензол; 8-фтор-1-(оксиран-2-илметокси)нафталин; 1-фтор-2-(оксиран-2-илметокси)нафталин; 2-этил-4-(оксиран-2-илметокси)тиазол; 4-метил-2-(оксиран-2-илметокси)имидазол; 2-метил-5-(оксиран-2-илметокси)бензимидазол и 2-фенил-5-(оксиран-2-илметокси)бензимидазол. D. Получение соединения формулы (3) с различными Т, Х2 и Z2 Аналогично, следуя приведенной выше методике 1А, но необязательно заменяя 2-метилбензотиазол-5-ол другими соединениями формулы (1) и необязательно заменяя (S)-(+)-эпихлоргидрин другими соединениями формулы (2), замещенными подходящим образом, получают другие соединения формулы (3). ПРИМЕР 2 Получение соединения формулы (5) А. Получение соединения формулы (5), в котором R1, R2, R3, R4, R5, R6, R7 и R8 представляют водород, Т представляет кислород, Х2 представляет 2-метилбензотиазол-5-ил и Z2 представляет метилен К раствору соединения формулы (3) 2-метил-5-(оксиран-2-илметокси)бензотиазола (6,2 г, 28 ммоль) и соединения формулы (4) трет-бутил 1-пиперазинкарбоксилата (5,7 г, 31 ммоль) в метиленхлориде (200 мл) добавляют трифторметансульфонат иттербия (III) (1,73 г, 28 ммоль). Полученный раствор оставляют перемешиваться при комнатной температуре в течение ночи. Растворитель выпаривают в вакууме, получая полутвердое вещество, которое хроматографируют на силикагеле, элюируя смесью 5% метанол/метиленхлорид, получая трет-бутиловый эфир 4-[2-гидрокси-3-(2-метилбензотиазол-5-илокси)пропил]пиперазин-1-карбоновой кислоты в виде прозрачного масла (9,5 г, 23 ммоль). В. Получение соединения формулы (5), в котором R1, R2, R3, R4, R5, R6, R7 и R8 представляют водород, Т представляет кислород, Х2 представляет 2-фенилбензоксазол-5-ил и Z2 представляет метилен Аналогично, следуя приведенной выше методике 2А, но заменяя 2-метилбензотиазол-5-ил на 2-фенилбензоксазол-5-ил, получают соединение формулы (3), где Х2 представляет 2-фенилбензоксазол-5-ил, Т представляет кислород и Z2 представляет метилен, а именно трет-бутиловый эфир 4-[2-гидрокси-3-(2-фенилбензоксазол-5-илокси)пропил]пиперазин-1-карбоновой кислоты. Аналогично получают следующие соединения формулы (3): трет-бутиловый эфир 4-[2-гидрокси-3-(2-метоксифенокси)пропил]пиперазин-1-карбоновой кислоты и трет-бутиловый эфир 4-[2-гидрокси-3-(2-фторфенокси)пропил]пиперазин-1-карбоновой кислоты. С. Получение соединения формулы (5) с различными R1, R2, R3, R4, R5, R6, R7 и R8, Т, Х2 и Z2 Аналогично, следуя приведенной выше методике 2А, но необязательно заменяя 2-метил-5-(оксиран-2-илметокси)бензотиазол другими соединениями формулы (3) и необязательно заменяя трет-бутил 1-пиперазинкарбоксилат другими соединениями формулы (4), получают следующие соединения формулы (5): трет-бутиловый эфир 4-[2-гидрокси-4-(2-метоксифенокси)бутил]пиперазин-1-карбоновой кислоты; трет-бутиловый эфир 4-[2-гидрокси-4-(2-фторфенокси)бутил]пиперазин-1-карбоновой кислоты; 4-[2-гидрокси-4-(2-метилбензотиазол-5-илокси)бутил]пиперазин-1-карбоновой кислоты; 4-[2-гидрокси-3-(2-фторфенокси)пропил]пиперазин-1-карбоновой кислоты; 4-[2-гидрокси-3-(4-метоксифенокси)пропил]пиперазин-1-карбоновой кислоты; 4-[2-гидрокси-3-(8-фторнафт-1-илокси)пропил]пиперазин-1-карбоновой кислоты; 4-[2-гидрокси-3-(1-фторнафт-2-илокси)пропил]пиперазин-1-карбоновой кислоты; 4-[2-гидрокси-3-(2-этилтиазол-4-илокси)пропил]пиперазин-1-карбоновой кислоты; 4-[2-гидрокси-3-(4-метилимидазол-4-илокси)пропил]пиперазин-1-карбоновой кислоты; 4-[2-гидрокси-3-(2-метилбензимидазол-5-илокси)пропил]пиперазин-1-карбоновой кислоты и 4-[2-гидрокси-3-(2-фенилбензимидазо-5-илокси)пропил]пиперазин-1-карбоновой кислоты. D. Получение соединения формулы (5) с различными R1, R2, R3, R4, R5, R6, R7 и R8, Т, Х2 и Z2 Аналогично, следуя приведенной выше методике 2А, но необязательно заменяя 2-метил-5-(оксиран-2-илметокси)бензотиазол другими соединениями формулы (3) и необязательно заменяя трет-бутил 1-пиперазинкарбоксилат другими соединениями формулы (4), получают другие соединения формулы (5). ПРИМЕР 3 Получение соединения формулы (6) А. Получение соединения формулы (6), в котором R1, R2, R3, R4, R5, R6, R7 и R8 представляют водород, Т представляет кислород, Х2 представляет 2-метилбензотиазол-5-ил, и Z2 представляет метилен Раствор соединения формулы (5) трет-бутилового эфира 4-[2-гидрокси-3-(2-метилбензотиазол-5-илокси)пропил]пиперазин-1-карбоновой кислоты (2,0 г, 4,9 ммоль) и смеси 25% трифторуксусная кислота/метиленхлорид (20 мл) оставляют перемешиваться при комнатной температуре в течение ночи. Растворитель выпаривают в вакууме, получая масло. Данное масло разбавляют ацетоном (20 мл) и добавляют твердый карбонат калия до прекращения пенообразования. Полученную смесь оставляют перемешиваться в течение ночи. Раствор фильтруют через Celite 512 и фильтрат выпаривают в вакууме, получая масло. Масло помещают в высокий вакуум на ночь, получая 1-(2-метилбензотиазол-5-илокси)-3-пиперазин-1-илпропан-2-ол в виде прозрачного вязкого масла (3,4 г, 6,3 ммоль). В. Получение соединения формулы (6), в котором R1, R2, R3, R4, R5, R6, R7 и R8 представляют водород, Т представляет кислород, Х2 представляет 2-фенилбензоксазол-5-ил и Z2 представляет метилен Аналогично, следуя приведенной выше методике 3А, но заменяя трет-бутиловый эфир 4-[2-гидрокси-3-(2-метилбензотиазол-5-илокси)пропил]пиперазин-1-карбоновой кислоты на трет-бутиловый эфир 4-[2-гидрокси-3-(2-фенилбензоксазол-5-илокси)пропил]пиперазин-1-карбоновой кислоты, получают соединение формулы (6), где R1, R2, R3, R4, R5, R6, R7 и R8 представляют водород, Х2 представляет 2-фенилбензоксазол-5-ил, Т представляет кислород и Z2 представляет метилен, а именно 1-(2-фенилбензоксазол-5-илокси)-3-пиперазин-1-илпропан-2-ол. Аналогично получают следующие соединения формулы (6): 1-(2- метоксифенокси)-3-пиперазин-1-илпропан-2-ол и 1-(2-фторфенокси)-3-пиперазин-1-илпропан-2-ол. С. Получение соединения формулы (6) с различными R1, R2, R3, R4, R5, R6, R7 и R8, Т, Х2 и Z2 Аналогично, следуя приведенной выше методике 3А, но заменяя трет-бутиловый эфир 4-[2-гидрокси-3-(2-метилбензотиазол-5-илокси)пропил]пиперазин-1-карбоновой кислоты другими соединениями формулы (5), получают следующие соединения формулы (6): 1-(2-метоксифенокси)-4-пиперазин-1-илбутан-3-ол; 1-(2-хлорфенокси)-4-пиперазин-1-илбутан-3-ол; 1-(2-метилбензотиазол-5-илокси)-4-пиперазин-1-илбутан-3-ол; 1-(2-фторфенокси)-3-пиперазин-1-илпропан-2-ол; 1-(4-метоксифенокси)-3-пиперазин-1-илпропан-2-ол; 1-(8-фторнафт-1-илокси)-3-пиперазин-1-илпропан-2-ол; 1-(1-фторнафт-2-илокси)-3-пиперазин-1-илпропан-2-ол; 1-(2-этилтиазол-4-илокси)-3-пиперазин-1-илпропан-2-ол; 1-(4-метилимидазол-4-илокси)-3-пиперазин-1-илпропан-2-ол; 1-(2-метилбензимидазол-5-илокси)-3-пиперазин-1-илпропан-2-ол и 1-(2-фенилбензимидазол-5-илокси)-3-пиперазин-1-илпропан-2-ол. D. Получение соединения формулы (6) с различными R1, R2, R3, R4, R5, R6, R7, R8, Т, Х2 и Z2 Аналогично, следуя приведенной выше методике 3А, но заменяя трет-бутиловый эфир 4-[2-гидрокси-3-(2-метилбензотиазол-5-илокси)пропил]пиперазин-1-карбоновой кислоты другими соединениями формулы (5), получают другие соединения формулы (6). ПРИМЕР 4 Получение соединения формулы I А. Получение соединения формулы I, в котором R1, R2, R3, R4, R5, R6, R7 и R8 представляют водород, Т представляет кислород, Х1 представляет 4-трет-бутилфенил, Х2 представляет 2-метилбензотиазол-5-ил, Y представляет 1,2,4-оксадиазол и Z1 и Z2 представляют метилен Раствор соединения формулы (6) 1-(2-метилбензотиазол-5-илокси)-3-пиперазин-1-илпропан-2-ола (75 мг, 0,14 ммоль) и 3-(4-трет-бутилфенил)-5-хлорметил-1,2,4-оксадиазола (40 мг, 0,16 ммоль) в смеси 10% триметиламин/этанол нагревают до 73°С и оставляют перемешиваться в течение ночи. Растворитель выпаривают при пониженном давлении и полученный остаток хроматографируют способом ПТСХ (3% метанол/метиленхлорид). Полученное масло разбавляют метиленхлоридом и помещают в высокий вакуум на ночь, получая 3-{4-[3-(4-трет-бутилфенил)-[1,2,4]оксадиазол-5-илметил]пиперазин-1-ил}-1-(2-метилбензотиазо-5-илокси)пропан-2-ол в виде белого твердого вещества (52 мг, 0,09 ммоль). В. Получение соединения формулы I, в котором R1, R2, R3, R4, R5, R6, R7 и R8 представляют водород, Т представляет кислород, Х1 представляет 4-трет-бутилфенил, Х2 представляет 2-фенилбензоксазол-5-ил, Y представляет 1,2,4-оксадиазол, Z1 и Z2 представляют метилен Аналогично, следуя приведенной выше методике 4А, но заменяя 1-(2-метилбензотиазол-5-илокси)-3-пиперазин-1-илпропан-2-ол на 1-(2-фенилбензоксазол-5-илокси)-3-пиперазин-1-илпропан-2-ола, получают соединение формулы I, где R1, R2, R3, R4, R5, R6, R7 и R8 представляют водород, Х1 представляет 4-трет-бутилфенил, Х2 представляет 2-фенилбензоксазол-5-ил, Y представляет 1,2,4-оксадиазол, Т представляет кислород и Z1 и Z2, оба, представляют метилен, а именно 3-{4-[3-(4-трет-бутилфенил)-[1,2,4]оксадиазол-5-илметил]пиперазин-1-ил}-1-(2-фенилбензоксазол-5-илокси)пропан-2-ол. Аналогично получают следующие соединения формулы I: 3-{4-[3-(3,5-диметилизоксазол-4-ил)-[1,2,4]оксадиазол-5-илметил]пиперазин-1-ил}-1-(2-метилбензотиазол-5-илокси)пропан-2-ол; 3-{4-[5-(2-метоксифенил)-[1,2,4]оксадиазол-3-илметил]пиперазин-1-ил}-1-(2-метилбензотиазол-5-илокси)пропан-2-ол; 3-{4-[5-(4-метоксифенил)-[1,2,4]оксадиазол-3-илметил]пиперазин-1-ил}-1-(2-метилбензотиазол-5-илокси)пропан-2-ол;3-{4-[5-(3-трифторметилфенил)-[1,2,4]оксадиазол-3-илметил]пиперазин-1-ил}-1-(2-метилбензотиазол-5-илокси)пропан-2-ол; 3-{4-[5-(4-трифторметилфенил)-[1,2,4]оксадиазол-3-илметил]пиперазин-1-ил}-1-(2-метилбензотиазол-5-илокси)пропан-2-ол; 3-[4-(2-метил-1,3-тиазол-4-илметил)пиперазин-1-ил]-1-(2-метилбензотиазол-5-илокси)пропан-2-ол; 3-[4-(5-метилизоксазол-3-илметил)пиперазин-1-ил]-1-(2-метилбензотиазол-5-илокси)пропан-2-ол; 3-{4-[2-(4-трифторметилфенил)-1,3-тиазол-4-илметил]пиперазин-1-ил}-1-(2-метилбензотиазол-5-илокси)пропан-2-ол; 3-{4-[3-(4-хлорфенил)-[1,2,4]оксадиазол-5-илметил]пиперазин-1-ил}-1-(2-метилбензотиазол-5-илокси)пропан-2-ол; 3-{4-[2-(3,5-диметил-1,2-оксазол-4-ил)-[1,2,4]оксадиазол-3-илметил]пиперазин-1-ил}-1-(2-фенилбензоксазол-5-илокси)пропан-2-ол; 3-{4-[5-(2-метоксифенил)-[1,2,4]оксадиазол-3-илметил]пиперазин-1-ил}-1-(2-фенилбензоксазол-5-илокси)пропан-2-ол; 3-{4-[5-(4-метоксифенил)-[1,2,4]оксадиазол-3-илметил]пиперазин-1-ил}-1-(2-фенилбензоксазол-5-илокси)пропан-2-ол; 3-{4-[5-(3-трифторметилфенил)-[1,2,4]оксадиазол-3-илметил]пиперазин-1-ил}-1-(2-фенилбензоксазол-5-илокси)пропан-2-ол; 3-{4-[5-(4-трифторметилфенил)-[1,2,4]оксадиазол-3-илметил]пиперазин-1-ил}-1-(2-фенилбензоксазол-5-илокси)пропан-2-ол; 3-[4-(2-метил-1,3-тиазол-4-илметил)пиперазин-1-ил]-1-(2-фенилбензоксазол-5-илокси)пропан-2-ол; 3-[4-(5-метилизоксазол-3-илметил)пиперазин-1-ил]-1-(2-фенилбензоксазол-5-илокси)пропан-2-ол; 3-{4-[2-(4-трифторметилфенил)-1,3-тиазол-4-илметил]пиперазин-1-ил}-1-(2-фенилбензоксазол-5-илокси)пропан-2-ол; 3-{4-[5-(4-хлорфенил)-[1,2,4]оксадиазол-3-илметил]пиперазин-1-ил}-1-(2-фенилбензоксазол-5-илокси)пропан-2-ол; 3-{4-[3-(3,5-диметилизоксазол-4-ил)-[1,2,4]оксадиазол-5-илметил]пиперазин-1-ил}-1-(2-метоксифенокси)пропан-2-ол; 3-{4-[5-(2-метоксифенил)-[1,2,4]оксадиазол-3-илметил]пиперазин-1-ил}-1-(2-метоксифенокси)пропан-2-ол; 1-{4-[5-(5-метоксифенил)-[1,2,4]оксадиазол-3-илметил]пиперазин-1-ил}-3-(2-метоксифенокси)пропан-2-ол; 3-{4-[5-(3-трифторметилфенил)-[1,2,4]оксадиазол-3-илметил]пиперазин-1-ил}-1-(2-метоксифенокси)пропан-2-ол; 3-{4-[3-(3,5-диметилизоксазол-4-ил)-[1,2,4]оксадиазол-5-илметил]пиперазин-1-ил}-1-(2-фторфенокси)пропан-2-ол; 3-{4-[5-(2-метоксифенил)-[1,2,4]оксадиазол-3-илметил]пиперазин-1-ил}-1-(2-фторфенокси)пропан-2-ол; 3-{4-[5-(5-метоксифенил)-[1,2,4]оксадиазол-3-илметил]пиперазин-1-ил}-1-(2-фторфенокси)пропан-2-ол; 3-{4-[5-(3-трифторметилфенил)-[1,2,4]оксадиазол-3-илметил]пиперазин-1-ил}-1-(2-фторфенокси)пропан-2-ол. С. Получение соединения формулы I с различными R1, R2, R3, R4, R5, R6, R7, R8, Т, Х1, Х2, Z1 и Z2 Аналогично, следуя приведенной выше методике 4А, но необязательно заменяя 1-(2-метилбензотиазол-5-илокси)-3-пиперазин-1-илпропан-2-ол на другие соединения формулы (6) и необязательно заменяя 3-(4-трет-бутилфенил)-5-хлорметил-1,2,4-оксадиазол другими соединениями формулы (7), получают следующие соединения формулы (I): 3-{4-[5-(4-трет-бутилфенил)-[1,2,4]оксадиазол-3-илметил]пиперазин-1-ил}-1-(2-метилбензотиазо-5-илокси)пропан-2-ол; 3-{4-[5-(4-трет-бутилфенил)-[1,2,4]оксадиазол-3-илметил]пиперазин-1-ил}-1-(2-метоксифенокси)бутан-3-ол; 3-{4-[5-(4-трет-бутилфенил)-[1,2,4]оксадиазол-3-илметил]пиперазин-1-ил}-1-(2-хлорфенокси)бутан-3-ол; 3-{4-[5-(4-трет-бутилфенил)-[1,2,4]оксадиазол-3-илметил]пиперазин-1-ил}-1-(2-метилбензотиазол-5-илокси)-4-пиперазин-1-ил-бутан-3-ол; 3-{4-[5-(4-трет-бутилфенил)-[1,2,4]оксадиазол-3-илметил]пиперазин-1-ил}-1-(2-фторфенокси)-3-пиперазин-1-ил-пропан-2-ол; 3-{4-[5-(4-трет-бутилфенил)-[1,2,4]оксадиазол-3-илметил]пиперазин-1-ил}-1-(2-фторфенокси)пропан-2-ол; 3-{4-[5-(3-трифторметилфенил)-[1,2,4]оксадиазол-3-илметил]пиперазин-1-ил}-1-(4-метоксифенокси)пропан-2-ол; 3-{4-[5-(4-трет-бутилфенил)-[1,2,4]оксадиазол-3-илметил]пиперазин-1-ил}-1-(8-фторнафт-1-илокси)пропан-2-ол; 3-{4-[5-(4-хлорфенил)-[1,2,4]оксадиазол-3-илметил]пиперазин-1-ил}-1-(1-фторнафт-2-илокси)пропан-2-ол; 3-{4-[5-(2-метоксифенил)-[1,2,4]оксадиазол-3-илметил]пиперазин-1-ил}-1-(2-этилтиазол-4-илокси)пропан-2-ол; 3-{4-[5-(4-метилимидазол-2-ил)-[1,2,4]оксадиазол-3-илметил]пиперазин-1-ил}-1-(2-метилбензотиазо-5-илокси)пропан-2-ол; 3-{4-[5-(2-метилбензимидазол-5-ил)-[1,2,4]оксадиазол-3-илметил]пиперазин-1-ил}-1-(2-метилбензотиазо-5-илокси)пропан-2-ол и 3-{4-[3-(2-фенилбензимидазол-2-ил)-[1,2,4]оксадиазол-5-илметил]пиперазин-1-ил}-1-(2-метилбензотиазо-5-илокси)пропан-2-ол. D. Получение соединения формулы I с различными R1, R2, R3, R4, R5, R6, R7, R8, Т, Х1, Х2, Z1 и Z2 Аналогично, следуя приведенной выше методике 4А, но необязательно заменяя 1-(2-метилбензотиазол-5-илокси)-3-пиперазин-1-илпропан-2-ол другими соединениями формулы (6) и необязательно заменяя 3-(4-трет-бутилфенил)-5-хлорметил-1,2,4-оксадиазол другими соединениями формулы (7), получают другие соединения формулы I. ПРИМЕР 5 Альтернативное получение соединения формулы I Получение соединения формулы I, в котором R1, R2, R3, R4, R5, R6, R7 и R8 представляют водород, Т представляет кислород, Х1 представляет 3-фторфенил, Х2 представляет 2-метилбензотиазол-5-ил, Y представляет 1,2,4-оксадиазол и Z1 и Z2 представляют метилен А. Получение 2-хлорацетамидоксима: гидрохлорид гидроксиламина (85 г, 1,22 моль) в воде (250 мл) обрабатывают карбонатом натрия (60 г, 0,58 моль) и охлаждают раствор до 0оС. Через 2 час добавляют хлорацетонитрил (100 г, 1,32 моль) и реакционной смеси дают взаимодействовать еще 2 час. Полученную пасту фильтруют, промывают минимальным количеством холодной Н2О и сушат, получая 2-хлорацетамидоксим (55,0 г, 42%). В. 2-Хлорацетамидоксим (1 г, 9,2 ммоль) в толуоле (5 мл) при 0оС под N2 обрабатывают раствором N,N-диизопропилэтиламина (3,2 мл, 18,4 ммоль) в толуоле (5 мл). Через 5 мин медленно добавляют раствор 3-фторбензоилхлорида (1,49 г, 9,39 ммоль) в толуоле (5 мин.) за 20 мин. Реакционную смесь оставляют нагреваться до комнатной температуры в течение ночи. Реакцию гасят водным бикарбонатом натрия (100 мл) и экстрагируют этилацетатом (3х100 мл). Объединенные органические экстракты сушат над MgSO4, фильтруют и удаляют растворитель в вакууме, получая сырой промежуточный продукт, который используют на следующей стадии без дополнительной очистки. Промежуточный продукт с предыдущей стадии растворяют в толуоле (10 мл) и встряхивают на J-KemTMblock при 110°С в течение 60 ч. Реакционную смесь концентрируют и подвергают флэш-хроматографии (гексан-EtOAc от 98:2 до 90:10), получая соединение формулы (12а) 3-(хлорметил)-5-(3-фторфенил)-1,2,4-оксадиазол (242 мг, 12%). Формула I. 3-(Хлорметил)-5-(3-фторфенил)-1,2,4-оксадиазол (242 мг, 1,02 ммоль) и соединение формулы (6) 1-(2-метилбензотиазол-5-илокси)-3-пиперазин-1-илпропан-2-ол (309 мг, 1,0 ммоль) в EtOH (8 мл) обрабатывают Et3N (0,5 мл, 3,57 ммоль) и кипятят с обратным холодильником при 90оС на J-Kemblock в течение 48 ч. Реакционный продукт концентрируют и очищают способом флэш-хроматографии (EtOAc-MeOH 90:10), получая соединение формулы I 3-(4-{[5-(3-фторфенил)(1,2,4-оксадиазол-3-ил)]метил}пиперазинил)-1-(2-метилбензотиазол-5-илокси)пропан-2-ол. D. Получение соединения формулы I с различными R1, R2, R3, R4, R5, R6, R7, R8, Т, Х1, Х2, Z1 и Z2 Аналогично, следуя приведенной выше методике примера 5, но необязательно заменяя 1-(2-метилбензотиазол-5-илокси)-3-пиперазин-1-илпропан-2-ол другими соединениями формулы (6) и необязательно заменяя 3-фторбензоилхлорид другими хлорангидридами кислот, получают другие соединения формулы I. ПРИМЕР 6 Альтернативное получение соединения формулы I Получение соединения формулы I, в котором R1, R2, R3, R4, R5, R6, R7 и R8 представляют водород, Т представляет кислород, Х1 представляет 3-фторфенил, Х2 представляет 2-метилбензотиазол-5-ил, Y представляет 1,2,4-оксадиазол, и Z1 и Z2 представляют метилен А. 3-Фторбензонитрил (3,2 мл, 30 ммоль) и гидрохлорид гидроксиламина (4,6 г, 65,8 ммоль) в этаноле (30 мл) при 0°С обрабатывают триэтиламином (9,6 мл, 69 ммоль). Раствору дают нагреться до комнатной температуры, затем встряхивают при 80°С на J-Kemblock в течение ночи. После охлаждения добавляют этилацетат (40 мл) и осадок отфильтровывают и промывают этилацетатом (100 мл). Фильтрат промывают насыщенным раствором соли, сушат (MgSO4), фильтруют и концентрируют. Сырой продукт (3-фторфенил(гидроксиимино)метиламин (4,96 г, 107%), соединение формулы (9), используют на следующей стадии без дополнительной очистки. В. (3-Фторфенил(гидроксиимино)метиламин (4,96 г, 32,2 ммоль) в дихлорэтане (45 мл) охлаждают до -20°С и добавляют по капле диизопропилэтиламин (22,5 мл, 130 ммоль). Раствор перемешивают в течение 10 мин при -20°С, затем добавляют по капле хлорацетилхлорид (11,25 мл, 141 ммоль) за 5 мин. Раствор глубокого черного цвета оставляют нагреваться до комнатной температуры, затем встряхивают на J-Kemblock при 85°С в течение ночи. После охлаждения реакционную смесь разбавляют дихлорметаном (200 мл), промывают водой (х2) и насыщенным раствором соли, сушат (MgSO4), фильтруют и концентрируют до черного масла. Масло растворяют в смеси гексан/этилацетат 9:1 и фильтруют через слой SiO2. Данный слой промывают сначала смесью гексан/этилацетат 9:1, затем этилацетатом. Объединенные фильтраты концентрируют и продукт 5-(хлорметил)-3-(3-фторфенил)-1,2,4-оксадиазол, соединение формулы (11), используют на следующей стадии без дополнительной очистки. С. К 5-(хлорметил)-3-(3-фторфенил)-1,2,4-оксадиазолу (300 мг, 1,41 ммоль) и соединению формулы (6) 1-(2-метилбензотиазол-5-илокси)-3-пиперазин-1-илпропан-2-олу (291 мг, 0,94 ммоль) в EtOH (20 мл, безводный) добавляют диизопропилэтиламин (0,329 мг, 1,89 ммоль) и реакционную смесь встряхивают на J-KemTMblock в течение ночи при 90°С. После охлаждения до комнатной температуры раствор концентрируют до масла и очищают на IscoTM Combi Flash Si 10X, применяя колонки Redi Sep (10 г), элюируя этилацетатом, затем с градиентом до смеси этилацетат/метанол 4:1, получая соединение формулы I 3-(4-{[3-(3-фторфенил)(1,2,4-оксадиазол-5-ил)]метил}пиперазинил)-1-(2-метилбензотиазол-5-илокси)пропан-2-ол (136 мг, 30%). D. Получение соединения формулы I с различными R1, R2, R3, R4, R5, R6, R7, R8, Т, Х1, Х2, Z1 и Z2 Аналогично, следуя приведенной выше методике примера 6, но необязательно заменяя 1-(2-метилбензотиазол-5-илокси)-3-пиперазин-1-илпропан-2-ол другими соединениями формулы (6) и необязательно заменяя 3-фторбензонитрил другими нитрилами, получают другие соединения формулы I. ПРИМЕР 7 Получение соединения формулы I Получение соединения формулы I, в котором R1, R2, R3, R4, R5, R6, R7 и R8 представляют водород, Т представляет кислород, Х1 представляет 4-трифторметилфенил, Х2 представляет 2-метилбензотиазол-5-ил, Y представляет 1,3-оксазол, Z1 и Z2 представляют метилен А. Получение соединения формулы (13) Гидрохлорид метил 2-амино-3-гидроксипропаноата (гидрохлорид метилового эфира L-серина, 1,71 г, 11 ммоль) перемешивают в дихлорметане (20 мл) при 0°С и добавляют триэтиламин (2,79 мл, 20 ммоль), а затем добавляют по капле 4-трифторметилбензоилхлорид (1,486 мл, 11 ммоль). Смесь перемешивают при 0°С в течение 30 мин, затем распределяют между дихлорметаном и водой, сушат над сульфатом магния и фильтруют. Из фильтрата удаляют растворитель при пониженном давлении и остаток очищают способом колоночной хроматографии, получая соединение формулы (13) метил 3-гидрокси-2-{[4-(трифторметил)фенил]карбониламино}пропаноат. В. Получение соединения формулы (14) К раствору метил 3-гидрокси-2-{[4-(трифторметил)фенил]карбониламино}пропаноата (2,57 г, 8,83 ммоль) в тетрагидрофуране (30 мл) добавляют трифенилфосфин (2,55 г, 9,71 ммоль). Смесь охлаждают до 0°С и медленно добавляют диизопропилазодикарбоксилат (1,91 мл, 9,71 ммоль). Смесь перемешивают при комнатной температуре в течение 2 дней. Из фильтрата удаляют растворитель при пониженном давлении и остаток очищают способом колоночной хроматографии, получая соединение формулы (14) метил 2-[4-(трифторметил)фенил]-1,3-оксазолин-4-карбоксилат. С. Получение соединения формулы (15) Раствор метил 2-[4-(трифторметил)фенил]-1,3-оксазолин-4-карбоксилата (1,33 г, 4,87 ммоль) в толуоле (60 мл) перемешивают при 55°С до полного растворения исходного вещества. Затем добавляют частями 2,3-дихлор-5,6-дициано-1,4-бензохинон (5,53 г, 24,365 ммоль) и полученный раствор перемешивают при 75°С в течение 36 ч. Растворитель выпаривают при пониженном давлении и остаток очищают способом колоночной хроматографии, получая соединение формулы (15) метил 2-[4-(трифторметил)фенил]-1,3-оксазол-4-карбоксилат. D. Получение соединения формулы (16) Раствор метил 2-[4-(трифторметил)фенил]-1,3-оксазол-4-карбоксилата (1,365 ммоль) в тетрагидрофуране (20 мл) охлаждают до 0°С и добавляют по капле литийалюминийгидрид в тетрагидрофуране (1,365 ммоль). Реакционную смесь перемешивают при 0°С в течение 30 мин, медленно гасят водой, а затем добавляют раствор хлорида аммония. Полученную смесь фильтруют через целит и промывают этилацетатом. Фильтрат промывают насыщенным раствором соли, сушат над сульфатом натрия и растворитель удаляют при пониженном давлении. Остаток очищают хроматографией, получая {2-[4-(трифторметил)фенил]-1,3-оксазол-4-ил}метан-1-ол, соединение формулы (16). Е. Получение соединения формулы I Раствор {2-[4-(трифторметил)фенил]-1,3-оксазол-4-ил}метан-1-ола (0,19 г, 0,78 ммоль) в тетрагидрофуране (15 мл) охлаждают до 0°С и добавляют триэтиламин (0,33 мл, 2,34 ммоль), а затем по капле метансульфонилхлорид (0,12 мл, 1,56 ммоль). Смесь перемешивают в течение 1 ч при 0°С, затем добавляют воду и экстрагируют продукт этилацетатом. Органический слой сушат над сульфатом натрия и удаляют из фильтрата растворитель при пониженном давлении, получая {2-[4-(трифторметил)фенил]-1,3-оксазол-4-ил}метил метилсульфонат, мезильное производное соединения формулы (15). Данное мезильное производное (0,25 г, 0,78 ммоль) затем смешивают с трет-бутилпиперазинкарбоксилатом (0,29 г, 1,56 ммоль) и триэтиламином (0,33 мл, 2,34 ммоль) в этаноле (20 мл) и смесь кипятят с обратным холодильником в течение 2 ч. Удаляют растворитель при пониженном давлении и остаток делят между этилацетатом и водой. Органический слой сушат над сульфатом натрия и удаляют из фильтрата растворитель, получая трет-бутил 4-({2-[4-(трифторметил)фенил]-1,3-оксазол-4-ил}метил)пиперазинкарбоксилат. Затем удаляют защитную группу ВОС путем обработки 4N соляной кислотой в диоксане при комнатной температуре в течение ночи, получая 4-(пиперазинилметил)-2-[4-(трифторметил)фенил]-1,3-оксазол в виде его соли гидрохлорида. Данное соединение (40 мг, 0,115 ммоль) растворяют в этаноле и добавляют N,N-диизопропилэтиламин (0,08 мл) и соединение формулы (6) 1-(2-метилбензотиазол-5-илокси)-3-пиперазин-1-илпропан-2-ол (25 мг, 0,115 ммоль). Смесь перемешивают при 85°С в течение ночи, затем удаляют растворитель при пониженном давлении и остаток очищают способом препаративной ТСХ, элюируя 5% метанолом в дихлорметане, получая 1-(2-метилбензотиазол-5-илокси)-3-[4-({2-[4-(трифторметил)фенил](1,3-оксазол-4-ил)}метил)пиперазинил]пропан-2-ол, соединение формулы I. F. Получение соединения формулы I с различными R1, R2, R3, R4, R5, R6, R7, R8, Т, Х1, Х2, Z1 и Z2 Аналогично, следуя приведенной выше методике примера 7, но необязательно заменяя 1-(2-метилбензотиазол-5-илокси)-3-пиперазин-1-илпропан-2-ол другими соединениями формулы (6) и необязательно заменяя 4-фторметилбензоилхлорид другими хлорангидридами кислот, получают другие соединения формулы I. ПРИМЕР 8 Получение соединения формулы I Получение соединения формулы I, в котором R1, R2, R3, R4, R5, R6, R7 и R8 представляют водород, Т представляет кислород, Х1 представляет 4-фторметилфенил, Х2 представляет 2-циклогексилбензотиазол-5-ил, Y представляет N-пиразол, Z1 представляет этилен и Z2 представляет метилен А. К раствору 4-фториодбензола (2,22 г, 10 ммоль) в эфире при -78оС медленно добавляют н-бутиллитий (5 мл 2,5М раствора). Реакционную смесь перемешивают в течение 1 ч при -78°С, затем добавляют три(н-бутил)оловохлорид и смесь перемешивают еще 1 ч при -78°С. Смеси дают нагреться до комнатной температуры, затем гасят раствором хлорида аммония, разбавляют эфиром, промывают насыщенным раствором соли, сушат над сульфатом натрия, фильтруют и удаляют из фильтрата растворитель при пониженном давлении, получая соединение формулы (17) 4-фтор-(три-н-бутил)оловобензол в виде жидкости. В. Смесь соединения формулы (18) 1-(2-хлорэтил)-4-иодпиразола (2,0 г, 6,3 ммоль) и 4-фтор-(три-н-бутил)оловобензола (2,9 г, 7,6 ммоль) в сухом ацетонитриле перемешивают в течение 10 мин под азотом. К данному раствору добавляют трифениларсин (385 мг, 1,26 ммоль), йодид меди (120 мг, 0,63 ммоль) и 10% палладий на угле (250 мг) и смесь нагревают при 80°С в течение 48 ч. Смесь охлаждают, фильтруют через целит, промывают дихлорметаном и удаляют из фильтрата растворитель при пониженном давлении. Остаток подвергают флэш-хроматографии, элюируя дихлорметаном и получая соединение формулы (19) 1-(2-хлорэтил)-4-(4-фторфенил)пиразол. С. Далее 1-(2-хлорэтил)-4-(4-фторфенил)пиразол подвергают взаимодействию с соединением формулы (6) 1-(2-циклогексилбензотиазол-5-илокси)-3-пиперазин-1-илпропан-2-олом, как показано выше, получая 1-(2-циклогексилбензотиазол-5-илокси)-2-(4-{2-[4-(4-фторфенил)пиразолил]этил}пиперазинил)этан-1-ол. D. Получение соединения формулы I с различными R1, R2, R3, R4, R5, R6, R7, R8, Т, Х1, Х2, Z1 и Z2 Аналогично, следуя приведенной выше методике примера 8, но необязательно заменяя 4-фторйодбензол другими соединениями формулы X1I, необязательно заменяя 1-(2-хлорэтил)-4-йодпиразол другими необязательно замещенными пиразолами и необязательно заменяя 1-(2-циклогексилбензотиазол-5-илокси)-3-пиперазин-1-илпропан-2-олом другими соединениями формулы (6), получают другие соединения формулы I. ПРИМЕР 9 Получение соединения формулы I Получение соединения формулы I, в котором R1, R2, R3, R4, R5, R6, R7 и R8 представляют водород, Т представляет кислород, Х1 представляет 4-трифторметилфенил, Х2 представляет 2-метилбензотиазол-5-ил, Y представляет изоксазол, Z1 и Z2 представляют метилен А. К смеси соединения формулы (20) 1-(трифторметил)-4-винилбензола (2,0 г, 11,27 ммоль) и соединения формулы (21) этил 2-хлор-2-(гидроксиамино)ацетата (2,11 г, 13,52 ммоль) в безводном ТГФ добавляют по капле раствор триэтиламина (3,0 мл) в тетрагидрофуране при комнатной температуре. Смесь перемешивают в течение ночи под N2. Полученный таким образом белый осадок отфильтровывают и дважды промывают тетрагидрофураном (10 мл). Удаляют из фильтрата растворитель при пониженном давлении и остаток распределяют между водой и этилацетатом (20 мл:20 мл, об./об.), экстрагируя три раза по 20 мл этилацетата. Объединенные органические слои промывают водным хлоридом аммония и сушат над MgSO4, получая соединение формулы (22) этил 5-[4-(трифторметил)фенил]-4,5-дигидроизоксазол-3-карбоксилат. В. Раствор этил 5-[4-(трифторметил)фенил]-4,5-дигидроизоксазол-3-карбоксилата (3,3 г) перемешивают в толуоле (15 мл) и затем добавляют частями 2,3-дихлор-5,6-дициано-1,4-бензохинон (1,00 г), а затем часть молекулярных сит 3А и полученную смесь перемешивают при 75°С в течение 2 дней. После охлаждения добавляют эфир и смесь фильтруют через слой безводного сульфата натрия. Растворитель выпаривают при пониженном давлении и остаток очищают способом колоночной хроматографии, получая соединение формулы (23) этил 5-[4-(трифторметил)фенил]изоксазол-3-карбоксилат. С. Этил 5-[4-(Трифторметил)фенил]изоксазол-3-карбоксилат (130 мг) растворяют в этаноле (10 мл), охлаждают до 0°С и добавляют к перемешиваемому раствору боргидриднатрия (26 мг) частями. Смесь перемешивают при комнатной температуре в течение 4 ч, затем добавляют избыток воды. Растворитель выпаривают при пониженном давлении и остаток очищают способом препаративной тонкослойной хроматографии, элюируя смесью 5% метанол/этилацетат, получая соединение формулы (24) {5-[4-(трифторметил)фенил]изоксазол-3-ил}метан-1-ол. D. {5-[4-(Трифторметил)фенил]изоксазол-3-ил}метан-1-ол (200 мг) растворяют в сухом дихлорметане (10 мл) и охлаждают до 0°С. Раствор перемешивают, одновременно добавляя раствор тионилхлорида (2,74 мл) в дихлорметане (25 мл), затем дают ему нагреться до комнатной температуры и перемешивают в течение ночи. Растворитель выпаривают при пониженном давлении и остаток очищают способом препаративной тонкослойной хроматографии, элюируя смесью 30% этилацетат/гексан, получая соединение формулы (25) 3-(хлорметил)-5-[4-(трифторметил)фенил]изоксазол. Е. К раствору 1-(2-метилбензотиазол-5-илокси)-3-пиперазин-1-илпропан-2-ол гидрохлорида (50 мг) в трет-бутаноле при комнатной температуре добавляют триэтиламин (60 мкл) и смесь перемешивают при комнатной температуре в течение 5 мин. К данной смеси добавляют 3-(хлорметил)-5-[4-(трифторметил)фенил]изоксазол (26 мг) и смесь перемешивают при 100°С в течение ночи. Растворитель удаляют при пониженном давлении, остаток растворяют в 1 мл метанола и очищают способом препаративной тонкослойной хроматографии, элюируя смесью 5% метанол/дихлорметан, получая соединение формулы I 1-(2-метилбензотиазол-5-илокси)-3-[4-({5-[4-трифторметил)фенил]изоксазол-3-ил}метил)пиперазинил]пропан-2-ол. F. Получение соединения формулы I с различными R1, R2, R3, R4, R5, R6, R7, R8, Т, X1, X2, Z1 и Z2 Аналогично, следуя приведенной выше методике примера 9, но необязательно заменяя 1-(трифторметил)-4-винилбензол другими соединениями формулы (20) и необязательно заменяя 1-(2-метилбензотиазол-5-илокси)-3-пиперазин-1-илпропан-2-ол гидрохлорид другими соединениями формулы (6), получают другие соединения формулы I. ПРИМЕР 10 Применяя методики приведенных выше примеров 1-9, получают следующие соединения формулы I, для которых также представлена их биологическая активность: Следующие примеры иллюстрируют получение типичных фармацевтических препаратов, содержащих соединение формулы I, такое как соединение, полученное согласно примеру 4. ПРИМЕР 11 Получают твердые желатиновые капсулы, содержащие следующие ингредиенты:
Указанные выше ингредиенты смешивают и заполняют смесью твердые желатиновые капсулы. ПРИМЕР 12 Получают препарат в виде таблетки, используя следующие ингредиенты:
Компоненты смешивают и прессуют, получая таблетки. ПРИМЕР 13 Получают препарат для ингаляций в виде сухого порошка, содержащего следующие компоненты:
Активный ингредиент смешивают с лактозой и смесь добавляют в устройство для ингаляции сухого порошка. ПРИМЕР 14 Таблетки, каждая из которых содержит 30 мг активного ингредиента, получают следующим образом:
Активный ингредиент, крахмал и целлюлозу просеивают через сито № 20 меш. США и тщательно смешивают. Раствор поливинилпирролидона смешивают с полученными порошками, которые затем просеивают через сито 16 меш. США. Полученные таким образом гранулы сушат при 50-60оС и просеивают через сито 16 меш. США. Затем добавляют натрийкарбоксиметилкрахмал, стеарат магния и тальк, предварительно просеянные через сито № 30 меш. США, к данным гранулам, которые после смешивания прессуют на станке для получения таблеток, получая таблетки, каждая весом 120 мг. ПРИМЕР 15 Суппозитории, каждый из которых содержит 25 мг активного ингредиента, получают следующим образом:
Активный ингредиент просеивают через сито № 60 меш. США и суспендируют в глицеридах насыщенных жирных кислот, предварительно расплавленных с применением минимально необходимого тепла. Затем смесь выливают в форму для получения суппозиториев с номинальной вместимостью 2,0 г и дают ей охладиться. ПРИМЕР 16 Суспензии, каждая из которых содержит 50 мг активного ингредиента на 5,0 мл дозу, получают следующим образом:
Активный ингредиент, сахарозу и ксантановую смолу смешивают и просеивают через сито № 10 меш. США и затем смешивают с предварительно приготовленным раствором микрокристаллической целлюлозы и натрийкарбоксиметилцеллюлозы в воде. Бензоат натрия, ароматизатор и краситель разбавляют некоторым количеством воды и добавляют при перемешивании. Затем добавляют достаточное количество воды, чтобы получить необходимый объем. ПРИМЕР 17 Препарат для подкожного введения можно получить следующим образом:
ПРИМЕР 18 Препарат для инъекций получают, имея следующую композицию:
ПРИМЕР 19 Препарат для локального применения получают, имея следующую композицию:
Все указанные выше ингредиенты, за исключением воды, объединяют и нагревают до 60оС при перемешивании. Затем добавляют достаточное количество воды при 60оС и интенсивном перемешивании, эмульгируя ингредиенты, и далее добавляют воду, сколько требуется до 100 г. ПРИМЕР 20 Композиция пролонгированного действия
Препараты пролонгированного действия данного изобретения получают следующим образом: соединение, рН-зависимый связующий агент и необязательные наполнители тщательно смешивают (в сухом виде). Затем смешанную в сухом виде смесь гранулируют в присутствии водного раствора сильного основания, которое распыляют в смешанный порошок. Гранулят сушат, просеивают, смешивают с необязательными лубрикантами (такими, как тальк или стеарат магния) и прессуют в таблетки. Предпочтительными водными растворами сильных оснований являются растворы гидроксидов щелочных металлов, таких как гидроксид натрия или калия, предпочтительно гидроксид натрия, в воде (необязательно содержащие до 25% смешивающихся с водой растворителей, таких как низшие спирты). Полученные таблетки необязательно могут быть покрыты образующим пленку агентом для идентификации, маскировки вкуса и повышения легкости глотания. Образующий пленку агент обычно присутствует в количестве от 2 до 4% от массы таблетки. Подходящие агенты, образующие пленку, хорошо известны специалистам в данной области и включают гидроксипропилметилцеллюлозу, катионные метакрилатные сополимеры (сополимеры диметиламиноэтилметакрилат/метил-бутилметакрилат – Eudragit® E – Röhm. Pharma) и подобные. Данные агенты, образующие пленку, могут необязательно содержать красители, пластификаторы и другие дополнительные ингредиенты. Полученные прессованием таблетки предпочтительно имеют твердость, достаточную, чтобы выдерживать сжатие 8 Kp. Размер таблетки зависит, в первую очередь, от количества соединения в таблетке. Таблетки включают от 300 до 1100 мг соединения в виде свободного основания. Предпочтительно таблетки включают 400-600 мг свободного основания, 650-850 мг и 900-1100 мг. Чтобы влиять на скорость растворения, регулируют время, в течение которого порошок, содержащий данное соединение, смешивают во влажном виде. Предпочтительно, чтобы общее время смешивания порошка, то есть время, в течение которого порошок подвергают действию раствора гидроксида натрия, составляло от 1 до 10 мин и более предпочтительно от 2 до 5 мин. После гранулирования частицы удаляют из гранулятора и помещают в сушилку с псевдоожиженным слоем для сушки при температуре около 60°С. ПРИМЕР 21 Исследование на митохондриях Выделяют митохондрии сердца крысы способом Nedergard и Cannon (Methods in Enzymol., 55, 3, 1979). Окисление пальмитоил СоА: окисление пальмитоил СоА проводят в общем объеме 100 мкл, содержащем следующие агенты: 110 мМ KCl, 33 мМ буфера Tris с рН 8, 2мМ KPi, 2 мМ MgCl2, 0,1 мМ ЭДТА, 14,7 мкМ обезжиренного BSA, 0,5 мМ яблочной кислоты, 13 мМ карнитина, 1 мМ ADP, 52 мкг митохондриального белка и 16 мкМ 1-С14 пальмитоил СоА (удельная активность 60 мКю/ммоль; 20 мкКю/мл, используя 5 мкл на исследование). Соединения данного изобретения добавляют в раствор ДМСО при следующих концентрациях: 100 мкМ, 30 мкМ и 3 мкМ. В каждом исследовании используют контроль ДМСО. Через 15 мин ферментативной реакции при 30°С смесь центрифугируют (20000 g в течение 1 мин) и добавляют 70 мкл супернатанта в колонку с кремниевой кислотой и активированной обращенной фазой (примерно 0,5 мл кремниевой кислоты). Колонку элюируют 2 мл воды и используют 0,5 мл элюента для подсчета сцинтилляций с целью определения количества С14, захваченного в виде С14-бикарбонатного иона. В данном исследовании соединения данного изобретения демонстрируют активность в качестве ингибиторов окисления жирных кислот. ПРИМЕР 22 Перфузат Перфузию по Langendorff проводят, используя раствор Krebs-Henseleit, содержащий, (мМ): NaCl 118,0, KCl 4,7, KH2PO4 1,2, MgSO4 1,2, CaCl2 2,5, NaHCO3 25,0 и глюкозу 5,5 или 11 (Finegan и др., 1996). Работающий сердечный перфузат состоит из раствора Krebs-Henseleit с добавкой пальмитата (0,4 или 1,2 мМ), предварительно связанного с 3% бычьего сывороточного альбумина (BSA, по существу не содержащего жирных кислот), и инсулина (100 мкЕд/мл). Пальмитат сначала растворяют в смеси этанол/вода (40%/60%), содержащей 0,5-0,6 г Na2CO3 на г пальмитата. После нагревания для выпаривания этанола данную смесь добавляют к смеси 3% BSA-Krebs-Henseleit (без глюкозы) и оставляют на ночь для диализа (порог 8000 ММ) в 10 объемах раствора Krebs-Henseleit, не содержащего глюкозы. На следующий день добавляют к раствору глюкозу, фильтруют смесь через стеклянный микроволоконный фильтр (GF/C, Whatman, Maidstone, England) и хранят на льду или в холодильнике до применения. В перфузионном аппарате перфузат постоянно насыщают кислородом при помощи смеси газов 95% СО2/5% О2, поддерживая аэробные условия. Протоколы перфузии сердца Крысам дают наркоз из пентобарбитала (60 мг/кг, внутрибрюшинно), быстро удаляют сердца и помещают в охлажденный на льду раствор Krebs-Henseleit. Затем в сердца быстро вводят канюли через остаток аорты и начинают перфузию по Langendorff при постоянном давлении (60 мм рт.ст.), продолжают перфузию в течение 10 мин периода установления равновесия. Во время периода установления равновесия отрезают легочную артерию и удаляют избыток жира и легочной ткани, чтобы открыть легочную вену. Вводят канюлю в левое предсердие и соединяют с линией предварительной нагрузки, исходящей из оксигенационной камеры. После 10-минутного периода установления равновесия сердца подключают к рабочей системе (пережимая линию Langendorff и открывая линии предварительной и дальнейшей нагрузки) и проводят перфузию при 37°С в аэробных условиях при постоянной предварительной нагрузке левого предсердия (11,5 мм рт.ст.) и последующей нагрузке аорты (80 мм рт. ст.). Камеру согласования заполняют воздухом так, чтобы поддерживать созданное давление при 50-60 мм рт.ст. Перфузат доставляют в оксигенационную камеру через перистальтическую помпу из запасной камеры, которая собирает поток из аорты и коронарный поток, а также избыток от оксигенатора. Обычно сердца перфузируют в аэробных условиях в течение 60 мин. Сердцам задают пульс 300 ударов/мин на каждой фазе перфузионного протокола (если необходимо, регулируют вольтаж) за исключением начальных 5 мин перфузии, когда сердцам позволяют пульсировать спонтанно. В конце перфузионного протокола сердца быстро замораживают, используя зажимы Wollenberger, охлажденные до температуры жидкого азота. Замороженные ткани размельчают и хранят полученные порошки при -80оС. Миокардиальная механическая функция Измеряют систолическое и диастолическое давление аорты, применяя датчик давления Sensonor (Horten Norway), присоединенный к линии выходящего из аорты потока и соединенный с системой накопления данных AD Instruments. Измеряют кардиальный выход, аортальный поток и коронарный поток (кардиальный выход минус аортальный поток) (мл/мин), используя ультразвуковые датчики потока внутри линий, соединенные с ультразвуковым измерителем потока Transonic T206. Работу левого желудочка за минуту (LV-работу), рассчитанную как кардиальный выход, умноженный на создаваемое левое желудочковое давление (аортальное систолическое давление – давление предварительной нагрузки), используют как постоянный показатель механической функции. Сердца исключают, если LV-работа снижается более чем на 20% в течение 60-минутного периода аэробной перфузии. Миокардиальное потребление кислорода и кардиальная эффективность Измерение предсердно-венозной разницы в содержании кислорода перфузата и умножение на кардиальный выход обеспечивает показатель потребления кислорода. Предсердное содержание кислорода (мм рт.ст.) измеряют в перфузате в линии предварительной нагрузки или непосредственно перед входом в левое предсердие. Венозное содержание кислорода измеряют в перфузате, выходящем из легочной артерии и проходящем через датчики О2 внутри линии и измерители Microelectrodes Inc., Bedford, NH. Кардиальную эффективность рассчитывают как кардиальную работу, деленную на потребление кислорода. Измерение метаболизма глюкозы и жирных кислот Определение скорости продуцирования 3Н2О и 14СО2 из [3H/14C]глюкозы на выделенной работающей крысиной модели позволяет прямое и непрерывное измерение скоростей гликолиза и окисления глюкозы. В альтернативном случае измерение продукции 3Н2О из [5-3H]пальмитата обеспечивает прямое и непрерывное измерение скоростей окисления пальмитата. Дважды меченые субстраты позволяют проводить одновременное измерение скорости гликолиза и окисления глюкозы или скорости окисления жирных кислот и окисления глюкозы. В различные моменты времени в течение протокола отбирают 3-мл образец перфузата из вводного отверстия рециркуляционного перфузионного аппарата для анализа 3Н2О и 14СО2 и сразу помещают под минеральное масло до исследования на накопление метаболических продуктов. Перфузат снабжают [3H/14C]глюкозой или [5-3H]пальмитатом примерно до удельной активности 20 распадов в мин/моль. Средние скорости гликолиза и окисления глюкозы рассчитывают из линейных кумулятивных временных зависимостей накопления продуктов между 15 и 60 мин для аэробной перфузии. Скорости гликолиза и окисления глюкозы выражают как количество молей метаболизированной глюкозы/мин/г сухой массы. Измерение миокардиального гликолиза Скорости гликолиза измеряют непосредственно, как описано ранее (Saddik & Lopaschuk, 1991) из количественного определения 3Н2О, высвободившейся из радиоактивно меченной [5-3H]глюкозы на энолазной стадии гликолиза. Образцы перфузата отбирают в разные моменты времени по протоколу перфузии. 3Н2О отделяют от перфузата, пропуская образцы перфузата через колонки, содержащие анион-обменную смолу Dowex 1-X 4 (200-400 меш.). 90 г/л Dowex в 0,4М смеси тетрабората калия перемешивают в течение ночи, после чего 2 мл суспензии загружают в делительные колонки и долго промывают dH2О для удаления тетрабората. Как обнаружено, колонки исключают 98-99,6% всей [3Н]глюкозы (Saddik & Lopaschuk, 1996). Образцы перфузата (100 мкл), каждый, загружают на колонки и промывают 1,0 мл dH2О. Вытекающую жидкость собирают в 5 мл сцинтилляционной жидкости Ecolite (ICN, Radiochemicals, Irvine, CA) и проводят подсчет в течение 5 мин в сцинтилляционном счетчике Beckman LS 6500 с программой автоматической коррекции двойного (3H/14C) тушения. Средние скорости гликолиза для каждой фазы перфузии выражают как мкмоль метаболизированной глюкозы/мин/г сухой массы, как описано выше. Измерение миокардиального окисления глюкозы Окисление глюкозы также определяют непосредственно, как описано ранее (Saddik & Lopaschuk, 1991), посредством измерения 14СО2 из [14С]глюкозы, высвободившего при определенном уровне пируватдегидрогеназы и в цикле Кребса. Измеряют газообразный 14СО2, выходящий из оксигенационной камеры, и [14С]бикарбонат, удерживаемый в растворе. Образцы перфузата отбирают в разные моменты времени по протоколу перфузии. Газ 14СО2 собирают, пропуская выходящий из оксигенатора газ через гиамингидроксидную ловушку (20-50 мл в зависимости от продолжительности перфузии). Образцы перфузата (2×1 мл), которые хранят под маслом для предотвращения выхода газа при уравновешивании с атмосферным СО2, вводят в исследовательские пробирки 16×150 мм, содержащие 1 мл 9N H2SO4. Данный процесс высвобождает из перфузата 14СО2, присутствующий как Н14СО3 –. Пробирки в двух экземплярах запечатывают резиновыми пробками, соединенными с 7-мл сцинтилляционными ампулами, содержащими кусок фильтровальной бумаги 2×5 см, насыщенный 250 мкл гиамингидроксида. Затем удаляют сцинтилляционные ампулы с фильтровальной бумагой и добавляют сцинтилляционную жидкость Ecolite (7 мл). Проводят подсчет образцов по стандартной методике, как описано выше. Средние скорости окисления глюкозы для каждой фазы перфузии выражают как мкмоль метаболизированной глюкозы/мин/г сухой массы, как описано выше. Измерение миокардиального окисления жирных кислот Скорости окисления пальмитата измеряют непосредственно, как описано ранее (Saddik и Lopaschuk, 1991), по количественному определению 3H2O, высвобождающейся из радиоактивно меченого [5-3H]пальмитата. 3H2O отделяют от [5-3H]пальмитата, последовательно проводя экстракцию хлороформ:метанол (1,88 мл при 1:2 об./об.) пробы буфера объемом 0,5 мл и далее добавляя 0,625 мл хлороформа и 0,625 мл 2М раствора KCl:HCl. Водную фазу удаляют и обрабатывают смесью хлороформ, метанол и KCl:HCl (1:1:0,9 об./об). Пробы с двойной повторностью отбирают из водной фазы для подсчета в жидком сцинтилляторе и скорость окисления определяют с учетом фактора разбавления. Это имело место в более чем 99% случаев экстракции и высвобождения 3H2O из [5-3H]пальмитата. Средние скорости окисления пальмитата для каждой фазы перфузии выражают как мкмоль метаболизированного пальмитата/мин/г сухой массы, как описано выше. Отношения массы сухих материалов к влажным Замороженные желудочки размельчают при температуре жидкого азота при помощи ступки и пестика. Определения от сухого к влажному производят, взвешивая небольшое количество замороженной ткани сердца, повторно взвешивая ту же ткань после 24-48 ч сушки на воздухе и беря отношение двух масс. Из данного соотношения можно рассчитать общую массу сухой ткани. Данное соотношение используют для нормировки относительно грамма сухой массы скоростей гликолиза, окисления глюкозы и оборота гликогена, а также содержания метаболитов. В данном исследовании соединения данного изобретения демонстрируют активность в качестве ингибиторов окисления жирных кислот. Несмотря на то, что настоящее изобретение описано со ссылкой на конкретные варианты, специалисту в данной области понятно, что можно производить различные изменения и замены эквивалентами, не отклоняясь от сути и объема данного изобретения. Кроме того, можно производить различные модификации для адаптации конкретных ситуаций, материала, рассматриваемой композиции, способа, стадии или стадий способа к цели, духу и объему настоящего изобретения. Полагают, что все такие модификации включены в объем приложенной здесь формулы изобретения. Все цитированные патенты и публикации включены здесь в виде ссылок. ССЫЛКИ 1. Finegan BA, Gandhi M, Lopaschuk GD, Clanachan AS, 1996. Antecedent ischemia reverses effects of adenosine on glycolysis and mechanical function of working hearts. American Journal of Physiology 271: H2116-25. 2. Saddik M, Lopaschuk GD, 1991. Myocardial triglyceride turnover and contribution to energy substrate utilization in isolated working rat hearts. Journal of Biological Chemistry 266:8162-8170.
Формула изобретения
1. Соединение формулы
где R1, R2, R3, R4, R5, R6, R7 и R8 представляют водород или C1-6алкил Т представляет кислород; V представляет N<; X1 представляет фенил, замещенный 1-2 заместителями, выбранными из группы, включающей C1-6алкил, С1-6алкокси, галоген, циано или трифторметил; X2 представляет бициклический гетероарил, включающий 7 атомов углерода и 1-2 гетероатома, выбранных из О, N и S, необязательно замещенный C1-6алкилом, С3-6циклоалкилом, фенилом и фенилом, замещенным галогеном; Y представляет моноциклический гетероариленил, включающий 3-5 атомов углерода и 1-3 гетероатома, выбранного из N и О; и Z1 и Z2 независимо представляют С1-4 алкилен. 2. Соединение по п.1, где R1, R 2, R3, R4, R5, R6, R7 и R8 независимо выбраны из водорода и метила. 3. Соединение по п.1, где Y представляет бирадикал, производный пиразола, 1,2-оксазола, 1,3-оксазола, 1,3-тиазола, 1,2,4-оксадиазола или 1,3,4-оксадиазола. 4. Соединение по п.3, где X2 представляет 2-метилбензо-1,3-тиазол-5-ил, 2-циклогексилбензо-1,3-тиазол-5-ил, 2-фенилбензо-1,3-тиазол-5-ил или 2-фенилбенз-1,3-оксазол-5-ил. 5. Соединение по п.4, где R1, R2, R3, R4, R5, R6, R7 и R8 все представляют водород. 6. Соединение по п.5, где Z1 и Z2 оба представляют метилен. 7. Соединение по п.6, где X1 представляет фенил, необязательно замещенный С1-6алкилом, С1-6алкокси, галогеном или трифторметилом. 8. Соединение по п.7, где X1-Y представляет 3-(4-трет-бутилфенил)-1,2,4-оксадиазол-5-ил, и X2 представляет 2-метилбензо-1,3-тиазол-5-ил, а именно 3-{4-[3-(4-трет-бутилфенил)-[1,2,4]оксадиазол-5-илметил]пиперазин-1-ил}-1-(2-метилбензотиазо-5-илокси)пропан-2-ол. 9. Соединение по п.7, где X1-Y представляет 5-(4-трифторметилфенил)-1,2,4-оксадиазол-3-ил, X2 представляет 2-метилбензо-1,3-тиазол-5-ил, а именно 3-{4-[5-(4-(трифторметил)фенил)-[1,2,4]оксадиазол-3-илметил]пиперазин-1-ил}-1-(2-метилбензотиазол-5-илокси)пропан-2-ол. 10. Соединение по п.7, где X1-Y представляет 5-(4-хлорфенил)-1,2-оксазол-3-ил и X2 представляет 2-метилбензо-1,3-тиазол-5-ил, а именно 3-(4-{[5-(4-хлорфенил)изоксазол-3-ил]метил}пиперазинил)-1-(2-метилбензотиазол-5-илокси)пропан-2-ол. 11. Соединение по п.7, где X1-Y представляет 5-(4-(трифторметил)фенил)изоксазол-3-ил и X2 представляет 2-метилбензо-1,3-тиазол-5-ил, а именно (2S)-1-(2-метилбензотиазол-5-илокси)-3-[4-({5-[4-(трифторметил)фенил]изоксазол-3-ил}метил)пиперазинил]пропан-2-ол. 12. Соединение по п.7, где X1-Y представляет 2-(4-(трифторметил)фенил)оксазол-4-ил и X2 представляет 2-метилбензо-1,3-тиазол-5-ил, а именно 1-(2-метилбензотиазол-5-илокси)-3-[4-({2-[4-(трифторметил)фенил](1,3-оксазол-4-ил)}метил)пиперазинил]пропан-2-ол. 13. Соединение по п.6, где один из R1, R2, R3, R4, R5, R6, R7 и R8 представляют метил, и остальные представляют водород. 14. Соединение по п.13, где Z1 и Z2 оба представляют метилен. 15. Соединение по п.14, где X1 представляет фенил, необязательно замещенный C1-6алкилом, С1-6алкокси, галогеном или трифторметилом. 16. Соединение по п.15, где R4 представляет метил, и R1, R2, R3, R5, R6, R7 и R8 представляют водород. 17. Соединение по п.16, где X1-Y представляет 5-(4-(трифторметил)фенил)-1,2,4-оксадиазол-3-ил и X2 представляет 2-метилбензо-1,3-тиазол-5-ил, а именно (2S)-3-[(2S)-2-метил-4-({5-[4-(трифторметил)фенил)(1,2,4-оксадиазол-3-ил)}метил)пиперазинил]-1-(2-метилбензотиазол-5-илокси)пропан-2-ол. 18. Применение соединения по п.1 для получения фармацевтической композиции для лечения болезненного состояния у млекопитающего, которое можно облегчить при помощи ингибитора окисления жирных кислот. 19. Фармацевтическая композиция, ингибирующая окисление жирных кислот, включающая, по меньшей мере, один фармацевтически приемлемый наполнитель и терапевтически эффективное количество соединения по п.1.
|
||||||||||||||||||||||||||||||||||||||||||||||||||||||||||||||||||||||||||||||||||||||||||||||||||||||||||||||||||||||||||||||||||||||||



), пропаргил (или проп-1-ин-3-ил, -СН2СН
































