Патент на изобретение №2300532
|
||||||||||||||||||||||||||
(54) ПРОИЗВОДНЫЕ БЕНЗО[G]ХИНОЛИНА ДЛЯ ЛЕЧЕНИЯ ГЛАУКОМЫ И БЛИЗОРУКОСТИ, СПОСОБ ИХ ПОЛУЧЕНИЯ И ФАРМАЦЕВТИЧЕСКАЯ КОМПОЗИЦИЯ
(57) Реферат:
Изобретение относится к новым производным бензо[G]хинолина формулы (I) в виде свободного основания или кислотно-аддитивной соли для лечения глаукомы и близорукости, применению этих соединений, а также способу их получения и фармацевтической композиции. В соединении формулы I
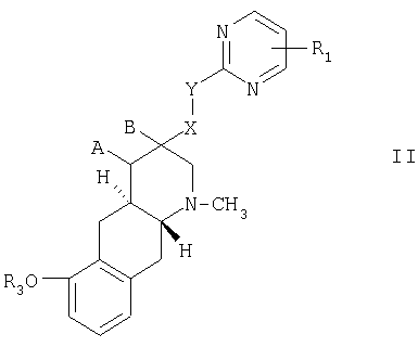
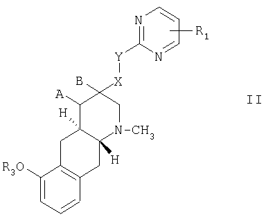
где А и В каждый означает Н, Х означает СН2, Y означает S, a R1 означает Н или C1-С4алкил в виде свободного основания или кислотно-аддитивной соли. Способ получения соединения формулы I по п.1 или его соли включает стадию превращения алкоксигруппы в соединении формулы II
где А, В, X, Y и R1 имеют значения, указанные в п.1, а R3 означает С1-С4алкил, в гидроксигруппу и превращение полученных соединений формулы I в свободное основание или его кислотно-аддитивную соль. 5 н. и 3 з.п. ф-лы.
Настоящее изобретение относится к новым производным бензо[G]хинолина, их получению, применению в качестве фармацевтических препаратов и к содержащим их фармацевтическим композициям. Более конкретно в настоящем изобретении предлагается соединение формулы I
где А и В каждый означает Н или вместе образуют дополнительную связь, Х означает СН2 или СО, Y означает О, S, NR2 (где R2 означает Н или С1-С4алкил), СН2 или О-СН2, а R1 означает Н или С1-С4алкил, в форме свободного основания или кислотно-аддитивной соли. Вышеуказанные алкильные группы предпочтительно означают метил. Если А и В каждый означает Н, заместитель X-Y-пиримидин предпочтительно имеет конфигурацию 3R. Х предпочтительно означает СН2. Y предпочтительно означает О или S, более предпочтительно S. R1 предпочтительно означает метил, более предпочтительно метил в положении 4 вышеуказанного пиримидина. В предпочтительном варианте осуществления изобретения А и В каждый означает Н, Х означает СН2, Y означает S, а R1 означает метил. Другим объектом изобретения является способ получения соединений формулы I и их кислотно-аддитивных солей, включающий превращение алкоксигруппы в соединении формулы II
где А, В, X, Y и R1 имеют значения, указанные выше, a R3 означает С1-С4алкил, в гидроксигруппу и превращение полученных соединений формулы I в свободное основание или кислотно-аддитивную соль. Реакцию проводят известными методами, например, с использованием бромистоводородной кислоты или трибромида бора. В соединении формулы II группа R3 предпочтительно означает метил. Обработку реакционной смеси, полученной по указанному способу, и очистку полученных соединений проводят по известным методикам. Кислотно-аддитивные соли из свободных оснований, и наоборот свободные основания из кислотно-аддитивных солей получают известными способами. Пригодные кислотно-аддитивные соли для применения по настоящему изобретению включают, например, гидрохлорид. Исходные соединения формулы II, где А и В каждый означает Н, можно получить из соответствующих соединений формулы IIIa где R3 имеет значения указанные выше, например, как описано в примере 1. Соединения формулы IIIa известны или их можно получить по известным методикам. Исходные соединения формулы II, где А и В вместе образуют дополнительную связь, можно получить из соответствующих соединений формулы IIIb где R3 имеет значения указанные выше. Соединения формулы IIIb известны или их можно получить по известным методикам. Соединения формулы I и их физиологически приемлемые кислотно-аддитивные соли, обозначенные далее по тексту как агенты по изобретению, проявляют ценные фармакологические свойства при испытаниях на животных и, следовательно, находят применение в качестве фармацевтических препаратов. Агенты по изобретению прежде всего снижают внутриглазное давление у кроликов в концентрациях, например, от 10 до 100 мкМ. Самцов кроликов массой 2,5 кг фиксировали в клетке, оставляя голову свободной. Растворы анализируемого соединения вводили в правый глаз, а в левый глаз вводили плацебо (по 2 капли каждого, т.е. приблизительно 40 мкл). Сначала глаза анестезировали раствором, содержащим новезин (0,4%) и флуресцеин (0,05%), и через различные промежутки времени измеряли глазное давление (через 10, 20, 30, 60, 90, 120, 180 и 240 мин) с использованием аппланометра по Голдбергу. Агенты по настоящему изобретению, прежде всего предпочтительные агенты, обладают неожиданно высокой эффективностью в отношении снижения внутриглазного давления (ВГД) и превосходной продолжительностью действия. Кроме того, они прекрасно переносятся пациентами. Агенты по настоящему изобретению прежде всего использовали для лечения глаукомы и близорукости. Более предпочтительным является лечение глаукомы и снижение внутриглазного давления. При вышеуказанных показаниях соответствующие дозы изменяются в зависимости, например, от используемого соединения, пациента, способа введения и тяжести состояния, подлежащего лечению. Однако в общем виде удовлетворительные результаты при испытании на животных получали при суточной дозе от приблизительно 0,1 до приблизительно 10 мг/кг массы тела животного. В случае крупных млекопитающих, например человека, показанная суточная доза составляет от приблизительно 5 до приблизительно 200 мг, предпочтительно от приблизительно 10 до приблизительно 100 мг соединения, соответственно введенного разделенными дозами до четырех раз в сутки, или в виде фармацевтической формы с замедленным выделением. Агенты по изобретению можно вводить в свободной форме или в виде фармацевтически приемлемой соли. Такие соли получают обычными способами и они обладают активностью свободных соединений. Соответственно в настоящем изобретении предлагается объект изобретения для применения в качестве фармацевтического препарата, например, для лечения глаукомы и близорукости. Кроме того, настоящее изобретение относится к фармацевтической композиции, включающей агент по изобретению в смеси по меньшей мере с одним фармацевтически приемлемым разбавителем или носителем. Такие композиции получают обычными способами. Стандартная доза содержит, например, от приблизительно 0,25 до приблизительно 50 мг агента по изобретению. Агенты по изобретению можно вводить любым обычным способом, например, парентеральным способом в форме инъекционных растворов или суспензий, или энтеральным способом, предпочтительно пероральным способом, например, в форме таблеток или капсул. Более предпочтительно соединения вводят местным способом в форме офтальмологических растворов для лечения заболеваний глаз, например, от приблизительно 0,0001 до 2%, предпочтительно от приблизительно от 0,001 до 0,5%, более предпочтительно от приблизительно от 0,01 до 0,1% растворов. Офтальмологическим носителем является носитель, который обеспечивает контакт соединения с поверхностью глаза в течение времени, достаточного для проникновения соединения в роговичный слой и внутренние ткани глаза. Фармацевтически приемлемый офтальмологический носитель может означать, например, мазь, растительное масло или инкапсулирующий материал. В соответствии с вышеизложенным в настоящем изобретении предлагается также агент по изобретению для применения в качестве фармацевтического препарата, предназначенного для лечения глаукомы и близорукости. Кроме того, в настоящем изобретении предлагается агент по изобретению для получения лекарственного средства, предназначенного для лечения глаукомы и близорукости. Еще одним объектом настоящего изобретения является способ лечения глаукомы и близорукости у субъекта, нуждающегося в таком лечении, причем способ включает введение такому субъекту терапевтически эффективного количества агента по изобретению. Настоящее изобретение относится также к любому соединению, заявленному в примерах. Кроме того, оно относится к любым независимым и/или зависимым пунктам формулы изобретения. Изобретение иллюстрируется следующими примерами. Пример 1 [3R,4аR,10аR]-1-Метил-3 а)[3R,4aR,10aR]-1-Метил-3 К раствору 5,78 г (20 ммолей) [3R,4аR,10аR]-1-метил-3 б)[3R,4aR,10aR]-1-Метил-3 К раствору 20 г (76,5 ммолей) соединения, полученного, как указано на стадии а), в 150 мл пиридина при комнатной температуре добавляли по каплям 12 мл (153 ммоля) метансульфохлорида, поддерживая температуру реакционной смеси не выше 45°С при охлаждении льдом. Затем смесь перемешивали при комнатной температуре в течение 2 ч, при 0°С добавляли насыщенный раствор КНСО3 до рН 7-8 и экстрагировали этилацетатом. Экстракт сушили над Na2SO4, фильтровали и концентрировали выпариванием растворителя. Указанное в заголовке соединение получали в виде кристаллов бежевого цвета, которые использовали на следующей стадии. в)[3R,4aR,10aR]-1-Метил-3 Раствор 6 г (17,7 ммоля) соединения, полученного, как указано на стадии б), и 3,4 г (27 ммолей) 2-меркапто-4-метил-1,3-пиримидина в 60 мл диметилформамида смешивали с 6 мл 2н. NaOH и перемешивали при 65°С в течение 18 ч. Полученную суспензию концентрировали упариванием. Неочищенный продукт кристаллизовали, суспензию охлаждали до 5-10°С, кристаллы промывали этилацетатом и высушивали. После очистки хроматографией на силикагеле (элюент: этилацетат, содержащий 10% этанола и 0,01% NH3) получали указанное в заголовке соединение в виде кристаллов бежевого цвета. г)[3R,4aR,10aR]-1-Метил-3 К раствору 4,06 г (11 ммолей) соединения, полученного, как указано на стадии в), в 250 мл хлористого метилена при температуре -40°С медленно добавляли по каплям 40 мл раствора трибромида бора (1 М раствор в хлористом метилене). Полученную суспензию перемешивали при комнатной температуре в течение 2 ч, нейтрализовали добавлением NH3 и полученную смесь экстрагировали 150 мл хлористого метилена и 100 мл изопропанола. Экстракт сушили над Na2SO4, фильтровали и концентрировали выпариванием растворителя. Указанное в заголовке соединение кристаллизовали. Соответствующий гидрохлорид кристаллизовали из метанола/этанола (1:1) при упаривании растворителя. tпл.254°C. [
Формула изобретения
1. Соединение формулы I
где А и В каждый означает Н; Х означает CH2; Y означает S; а R1 означает Н или C1-С4алкил, в виде свободного основания или кислотно-аддитивной соли. 2. Способ получения соединения формулы I по п.1, или его соли, который включает стадию превращения алкоксигруппы в соединении формулы II
где А, В, X, Y и R1 имеют значения, указанные в п.1, а R3 означает C1-С4алкил, в гидроксигруппу и превращение полученных соединений формулы I в свободное основание или его кислотно-аддитивную соль. 3. Соединение по п.1 в виде свободного основания или фармацевтически приемлемой кислотно-аддитивной соли, используемое при приготовления фармацевтического препарата, для снижения внутриглазного давления. 4. Соединение по п.1 в виде свободного основания или фармацевтически приемлемой кислотно-аддитивной соли, предназначенное для приготовления фармацевтического препарата, применяемого при лечении глаукомы и близорукости. 5. Фармацевтическая композиция, предназначенная для лечения глаукомы и близорукости, содержащая соединение по п.1 в виде свободного основания или фармацевтически приемлемой кислотно-аддитивной соли в смеси с фармацевтически приемлемым носителем или разбавителем. 6. Применение соединения по п.1 в виде свободного основания или фармацевтически приемлемой кислотно-аддитивной соли в качестве лекарственного средства для лечения глаукомы и близорукости. 7. Применение соединения по п.1 в виде свободного основания или фармацевтически приемлемой кислотно-аддитивной соли для получения фармацевтического препарата, предназначенного для лечения глаукомы и близорукости. 8. Способ лечения глаукомы и близорукости у субъекта, нуждающегося в таком лечении, включающий введение такому субъекту терапевтически эффективного количества соединения по п.1 в виде свободного основания или фармацевтически приемлемой кислотно-аддитивной соли.
|
||||||||||||||||||||||||||







-{4-метил-1,3-пиримидин-2-ид}тиометил-6-гидрокси-1,2,3,4,4а
,5,10,10а
