Патент на изобретение №2300531
|
||||||||||||||||||||||||||||||||||||||||||||||||||||||||||||||||
(54) ХИНОЛИНОВЫЕ ПРОИЗВОДНЫЕ В КАЧЕСТВЕ АНТАГОНИСТОВ НЕЙРОПЕПТИДА Y
(57) Реферат:
Настоящее изобретение относится к новым хинолиновьм производным, которые можно применять в качестве лигандов рецептора нейропептида Y (NPY), прежде всего в качестве антагонистов нейропептида Y (NPY). Описываются соединения формулы I
где R1 обозначает -O-R4 или -NR5R6; R2 обозначает водород, алкил, алкокси и галоген; R3 обозначает алкил или галоген; R4 обозначает водород, алкил, фенил, фенил, замещенный 1-3 заместителями, независимо друг от друга выбранными из ряда, включающего алкил, циано, трифторметил, алкокси, галоген, пирролидинилкарбонил и нитро, алкоксиалкил или гетероциклил, который обозначает насыщенный или ароматический 4-10-членный гетероцикл, содержащий один гетероатом, выбранный из азота, кислорода; R5 и R6 независимо друг от друга выбирают из ряда, включающего водород, алкил или фенил; или R5 и R6 вместе с атомом N, к которому они присоединены, образуют 5-10-членное гетероциклическое кольцо, необязательно содержащее атом азота; А1 обозначает 5-7-членное насыщенное гетероциклическое кольцо, которое содержит атом азота, присоединенный к хинолиновому кольцу, и необязательно второй атом азота, и где кольцо необязательно замещено 1-3 заместителями, независимо друг от друга выбранными из ряда, включающего алкил, алкокси, гидрокси, гидроксиалкил, алкоксиалкил, тетрагидропиранилоксиалкил и циклоалкилалкокси; А2 обозначает -СН2-или -С(O)-; где алкил, индивидуально или в сочетании обозначает алкильную группу прямой цепью, которая содержит 1-8 атомов углерода; и их фармацевтически приемлемые соли и сложные алкиловые эфиры. Также описываются способы получения соединений формулы I и фармацевтическая композиция на их основе. 6 н. и 15 з.п. ф-лы, 1 табл.
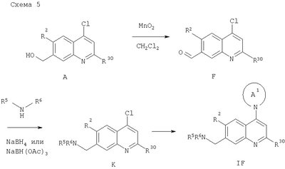
Настоящее изобретение относится к новым хинолиновым производным, которые можно применять в качестве лигандов рецептора нейропептида Y (NPY), прежде всего в качестве антагонистов нейропептида Y (NPY). Изобретение относится прежде всего к соединениям формулы I
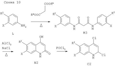
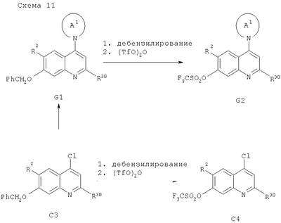
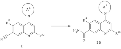
где R1 обозначает -O-R4 или -NR5R6; R2 обозначает водород, алкил, циклоалкил, алкокси, галоген, гетероциклил или амино; R3 обозначает водород, алкил, амино или галоген; R4 обозначает водород, алкил, циклоалкил, арил, аралкил, циклоалкилалкил, алкоксиалкил, гидроксиалкил или гетероциклил; R5 и R6 независимо друг от друга выбирают из ряда, включающего водород, алкил, циклоалкил, арил, аралкил, циклоалкилалкил, алкоксиалкил, гидроксиалкил и гетероциклил; или R5 и R6 вместе с атомом N, к которому они присоединены, образуют 5-10-членное гетероциклическое кольцо, необязательно содержащее второй гетероатом, выбранный из азота, кислорода или серы, и где гетероциклическое кольцо необязательно замещено одним или несколькими заместителями, независимо друг от друга выбранными из алкила и алкоксигруппы; А1 обозначает 5-7-членное насыщенное гетероциклическое кольцо, которое содержит атом азота, присоединенный к хинолиновому кольцу, и необязательно второй гетероатом, выбранный из кислорода, серы или азота, и где кольцо необязательно замещено 1-3 заместителями, независимо друг от друга выбранными из ряда, включающего алкил, алкокси, гидрокси, гидроксиалкил, алкоксиалкил, амино, ацетиламино, циано, тетрагидропиранилоксиалкил и циклоалкилалкокси; А2 обозначает -СН2-или -С(O)-; и их фармацевтически приемлемым солям и сложным эфирам. Соединения формулы I и их фармацевтически приемлемые соли и сложные эфиры являются новыми и обладают ценными фармакологическими свойствами. Они являются лигандами нейропептидов, например антагонистами рецепторов нейропептидов и, в частности, они представляют собой избирательные антагонисты Y5-рецепторов нейропептидов Y. Нейропептид Y представляет собой состоящий из 36 аминокислот пептид, который широко распространен в центральной и периферической нервной системе. Этот пептид опосредует многочисленные физиологические реакции через различные подтипы его рецепторов. Исследования на животных позволили установить, что нейропептид Y является очень сильным стимулом поглощения пищи, и было продемонстрировано, что активация Y5-рецепторов нейропептида Y приводит к гиперфагии и снижает термогенез. Таким образом, соединения, которые являются антагонистами подтипа Y5 рецептора нейропептида Y, можно применять для лечения нарушений питания, таких как ожирение и гиперфагия. Современный подход предусматривает медицинское вмешательство с целью снижения веса или предупреждения прибавления веса. Этого достигают путем воздействия на механизм регуляции аппетита, опосредуемый гипоталамусом, важной областью головного мозга, которая обеспечивает регуляцию поглощения пищи. При создании изобретения было установлено, что у некоторых видов животных нейропептид Y (NPY) является в центральной нервной системе одним из самых сильных медиаторов поглощения пищи. Увеличение уровней NPY приводит к выраженному усилению поглощения пищи. Известны данные о том, что различные рецепторы нейропептида Y (NPY) играют роль в регуляции аппетита и прибавлении веса. Воздействие на эти рецепторы, вероятно, снижает аппетит и, как следствие, прибавление веса. Снижение веса тела и поддержание этого в течение длительного периода времени может оказывать также благоприятное влияние на связанные с излишним весом факторы риска, такие как артрит, сердечно-сосудистые заболевания и почечная недостаточность. Таким образом, соединения формулы I, их соли и сложные эфиры можно применять для профилактики или лечения артрита, сердечно-сосудистых заболеваний, диабета, почечной недостаточности и, прежде всего нарушений питания и ожирения. Объектами настоящего изобретения являются соединения формулы I и их указанные выше соли и сложные эфиры per se и их применение в качестве терапевтически активных субстанций, способ получения указанных соединений, промежуточных продуктов, фармацевтических композиций, лекарственных средств, содержащих указанные соединения, их фармацевтически приемлемые соли и сложные эфиры, применение соединений, солей и сложных эфиров для профилактики и/или лечения заболеваний, прежде всего для лечения или профилактики артрита, сердечно-сосудистых заболеваний, диабета, почечной недостаточности и, в частности, нарушений питания, таких как гиперфагия и прежде всего ожирение, и применение соединений, солей и сложных эфиров для приготовления лекарственных средств, предназначенных для лечения или профилактики артрита, сердечно-сосудистых заболеваний, диабета, почечной недостаточности и, в частности, нарушений питания и ожирение. В контексте настоящего описания понятие «алкил», индивидуально или в сочетании, обозначает алкильную группу с прямой или разветвленной цепью, которая содержит 1-8 атомов углерода, предпочтительно алкильную группу с прямой или разветвленной цепью, которая содержит 1-6 атомов углерода, и наиболее предпочтительно алкильную группу с прямой или разветвленной цепью, которая содержит 1-4 атома углерода. Примерами С1-С8алкильных групп с прямой или разветвленной цепь являются метил, этил, пропил, изопропил, бутил, изобутил, трет-бутил, изомеры пентила, изомеры гексила, изомеры гептила и изомеры октила, предпочтительно метил и этил и наиболее предпочтительно метил. Понятие «циклоалкил», индивидуально или в сочетании, обозначает циклоалкильное кольцо с 3-8 атомами углерода и предпочтительно циклоалкильное кольцо с 3-6 атомами углерода. Примерами С3-С8циклоалкила являются циклопропил, метилциклопропил, диметилциклопропил, циклобутил, метилциклобутил, циклопентил, метилциклопентил, циклогексил, метилциклогексил, диметилциклогексил, циклогептил и циклооктил, предпочтительно циклопропил и прежде всего циклопентил. Понятие «алкокси», индивидуально или в сочетании, обозначает группу алкил-O-, где понятие «алкил» имеет указанные выше значения, такую как метокси, этокси, н-пропокси, изопропокси, н-бутокси, изобутокси, втор-бутокси и трет-бутокси, 2-гидроксиэтокси, 2-метоксиэтокси, предпочтительно метокси и этокси и наиболее предпочтительно метокси. Понятие «арил», индивидуально или в сочетании, обозначает фенильную или нафтильную группу, предпочтительно фенильную группу, которая необязательно несет один или несколько, предпочтительно 1-3 заместителя, которые независимо друг от друга выбирают из ряда, включающего галоген, трифторметил, амино, алкил, алкокси, арилокси, алкилкарбонил, циано, карбамоил, алкоксикарбамоил, метилендиокси, карбокси, алкоксикарбонил, аминокарбонил, алкиламинокарбонил, диалкиламинокарбонил, гидрокси, нитро, гетероциклилкарбонил и т.п. Предпочтительной гетероциклилкарбонильной группой является пирролидинкарбонил. Предпочтительные заместители арила, предпочтительно фенила, независимо друг от друга выбирают из ряда, включающего галоген, трифторметил, алкил, алкокси, циано, нитро и пирролидин-С(О)-. Примерами арила являются 2-цианфенил, 3-цианфенил, 4-цианфенил, трифторфенил, метоксифенил, хлорцианфенил, трифторцианфенил и дицианфенил. Понятие «аралкил», индивидуально или в сочетании, обозначает алкильную или циклоалкильную, как они определены выше, предпочтительно алкильную группу, в которой один атом водорода замещен арильной группой, как она определена выше. Предпочтительными являются бензил, бензил, замещенный гидрокси-, алкоксигруппой или галогеном, предпочтительно фтором. Понятие «гетероциклил», индивидуально или в сочетании, обозначает насыщенный, частично ненасыщенный или ароматический 4-10-членный гетероцикл, содержащий один или несколько, предпочтительно один или два гетероатома, выбранных из азота, кислорода и серы, предпочтительными являются кислород и особенно азот. При необходимости он может быть замещен на одном или нескольких атомах углерода галогеном, алкилом, алкокси-, оксогруппой и/или на вторичном атоме азота (т.е. -NH-) алкилом, циклоалкилом, аралкоксикарбонилом, алканоилом, фенилом или фенилалкилом, или на третичном атоме азота (т.е. =N-) оксидогруппой, при этом предпочтительными заместителями являются галоген, алкил, циклоалкил и алкоксигруппа. Примерами таких гетероциклильных групп являются пирролидинил, пиперидинил, морфолинил, пиперазинил, 3,4-дигидро-1H-изохинолинил, азепанил или тетрагидропиранил, причем каждое из этих колец может быть замещено алкилом. Наиболее предпочтительными являются пирролидинил, пиридинил и тетрагидропиранил, прежде всего тетрагидропиран-2-ил. Понятие 5-10-членное гетероциклическое кольцо в радикалах R5 и R6 обозначает насыщенный, частично ненасыщенный или ароматический 5-10-членный моно- или бициклический гетероцикл, такой, например, как пирролидин, пиперидин и пиперазин. Понятие «амино», индивидуально или в сочетании, обозначает первичную, вторичную или третичную аминогруппу, присоединенную через атом азота, где вторичная аминогруппа несет в качестве заместителя алкил или циклоалкил, а третичная аминогруппа несет два одинаковых или различных заместителя, таких как алкил или циклоалкил, или два заместителя азота вместе образуют кольцо, например, обозначает -NH2, метиламино, этиламино, диметиламино, диэтиламино, метилэтиламино, пирролидин-1-ил или пиперидино и т.д., предпочтительно амино, диметиламино и диэтиламино и особенно предпочтительно первичную аминогруппу. Понятие «галоген» обозначает фтор, хлор, бром или йод и предпочтительно фтор, хлор или бром и наиболее предпочтительно хлор. Понятие «циано», индивидуально или в сочетании, обозначает -CN-группу. Понятие «нитро», индивидуально или в сочетании, обозначает -NO2-группу. Примерами фармацевтически приемлемых солей соединений формулы I являются соли физиологически совместимых минеральных кислот, таких как соляная кислота, серная кислота или фосфорная кислота; или органических кислот, таких как метансульфоновая кислота, муравьиная кислота, уксусная кислота, трифторуксусная кислота, лимонная кислота, фумаровая кислота, малеиновая кислота, винная кислота, янтарная кислота или салициловая кислота. Предпочтительной является щавелевая кислота. Соединения формулы I, которые несут свободные карбоксильные группы, могут образовывать также соли с физиологически совместимыми основаниями. Примерами таких солей являются соли щелочных металлов, щелочно-земельных металлов, аммония и алкиламмония, такие как соли Na, К, Са или тетраметиламмония. Соединение формулы I может присутствовать также в форме цвиттерионов. Предпочтительными солями являются соли щавелевой кислоты, соляной кислоты и муравьиной кислоты. Соединения формулы I могут также быть сольватированы, например, гидрированы. Сольватация может происходить в процессе приготовления или может являться, например, следствием гигроскопичных свойств первоначально безводного соединения формулы I (гидратация). Понятие «фармацевтически приемлемые соли» включает также фармацевтически приемлемые сольваты. Понятие «фармацевтически приемлемые сложные эфиры соединений формулы I» обозначает, что соединения общей формулы I можно дериватизировать на функциональных группах с получением производных, которые могут in vivo превращаться обратно в исходные соединения. Примеры таких соединений включают физиологически приемлемые и метаболически лабильные сложноэфирные производные, такие как сложные метоксиметиловые эфиры, метилтиометиловые эфиры и пивалоилоксиметиловые эфиры. Кроме того, под объем изобретения подпадают любые физиологически приемлемые эквиваленты соединений общей формулы I, аналогичные метаболически лабильным сложным эфирами, которые могут образовывать исходные соединения общей формулы I in vivo. Так, например, СООН-группы соединений формулы I могут быть этерифицированы с образованием сложного эфира. Примерами приемлемых сложных эфиров являются сложные алкиловые и аралкиловые эфиры. Предпочтительными сложными эфирами являются метиловый, этиловый, пропиловый, бутиловый и бензиловый эфиры. Наиболее предпочтительными являются сложные метиловый и этиловый эфиры. Другими примерами фармацевтически приемлемых сложных эфиров являются соединения формулы I, в которых гидроксигруппы могут быть этерифицированы с образованием сложного эфира. Примерам таких сложных эфиров являются формиат, ацетат, пропионат, бутират, изобутират, валерат, 2-метилбутират, изовалерат и N,N-диметиламиноацетат. Предпочтительными сложными эфирами являются ацетат и N,N-диметиламиноацетат. Понятие «ингибитор липазы» относится к соединениям, которые могут ингибировать активность липаз, например, желудочных и поджелудочных липаз, Например, орлистат и липстатин, описанные в US 4598089, являются эффективными ингибиторами липаз. Липстатин представляет собой встречающийся в естественных условиях продукт микробного происхождения, а орлистат получают путем гидрирования липстатина. Другие ингибиторы липаз включают класс соединений, которые обычно обозначают как панклицины. Панклицины являются аналогами орлистата (Mutoh и др., 1994). Понятие «ингибитор липазы» относится также к полимеру, связанному с ингибиторами липаз, которые описаны, например, в международной заявке на патент WO 99/34786 (фирма Geltex Pharmaceuticals Inc.). Эти полимеры отличаются тем, что они включают в качестве заместителей одну или несколько групп, которые ингибируют липазы. Понятие «ингибитор липазы» включает также фармацевтически приемлемые соли этих соединений. Понятие «ингибитор липазы» предпочтительно относится к орлистату. Орлистат является известным соединением, которое применяют для регуляции или предупреждения ожирения и гиперлипидемии (см. US 4598089, выданный 1 июля 1986 г., в котором описаны также методы получения орлистата, и US 6004996, в котором описаны приемлемые фармацевтические композиции). Другие приемлемые фармацевтические композиции описаны, например, в международных заявках на патент WO 00/09122 и WO 00/09123. Другие методы получения орлистата описаны в публикациях европейских заявок на патент ЕР 185359, 189577, 443449 и 524495. Орлистат предпочтительно вводят перорально в количестве 60-720 мг в день в виде разделенных доз 2-3 раза в день. Предпочтительно пациенту вводят в день 180-360 мг ингибитора липазы, наиболее предпочтительно 360 мг, предпочтительно в виде разделенных доз два, или более предпочтительно три раза в день. Пациент предпочтительно представляет собой страдающего ожирением или избыточным весом человека, т.е. человека, у которого индекс веса тела составляет 25 или более. Как правило, предпочтительно вводить ингибитор липазы в промежутке времени, составляющем 1 или 2 ч после приема содержащей жир пищи. Как правило, введение указанного выше ингибитора липазы предпочтительно осуществлять человеку, имеющему тяжелый семейный анамнез ожирения и индекс веса тела 25 или более. Орлистат можно вводить человеку в виде общепринятых пероральных композиций, таких как таблетки, таблетки с покрытием, твердые и мягкие желатиновые капсулы, эмульсии или суспензии. Примерами носителей, которые можно использовать для таблеток, таблеток с покрытием, драже и твердых желатиновых капсул являются лактоза, другие сахара и сахарные спирты типа сорбита, маннита, мальтодекстрина, или другие наполнители; поверхностно-активные вещества типа лаурилсульфата натрия, Brij 96 или Tween 80; разрыхлители типа натрийгликолята крахмала, кукурузного крахмала или производные; полимеры типа повидона, кросповидона; тальк; стеариновая кислота или ее соли и т.п. Приемлемыми носителями для мягких желатиновых капсул являются, например, растительные масла, воски, жиры, полутвердые и жидкие полиолы и т.п. Кроме того, фармацевтические композиции могут содержать консерванты, солюбилизаторы, стабилизаторы, смачивающие вещества, эмульгаторы, подслащивающие вещества, красители, корригенты, соли для изменения осмотического давления, буферы, агенты для нанесения покрытия и антиоксиданты. Они могут также содержать другие терапевтически ценные субстанции. Композиции, как правило, могут представлять собой стандартную дозу и их можно приготавливать с помощью любых методов, известных в фармацевтике. Предпочтительно орлистат вводят в составе композиций, приведенных в примерах и в US 6004996 соответственно. Соединения формулы I могут иметь несколько асимметричных центров и могут присутствовать в форме оптически чистых энантиомеров, смесей энантиомеров, таких, например, как рацематы, оптически чистые диастереоизомеры, смеси диастереоизомеров, диастереоизомерные рацематы или смеси диастереоизомерных рацематов. В применяемой в настоящем описании номенклатуре кольцевые атомы хинолинового кольца пронумерованы следующим образом:
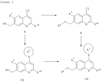
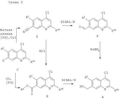
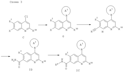
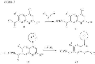
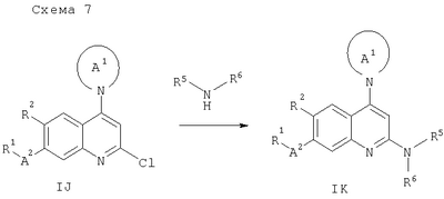
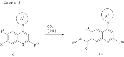
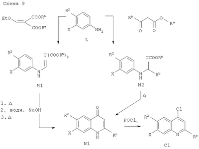
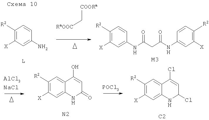
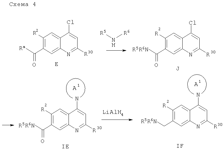
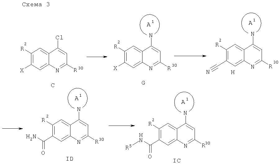
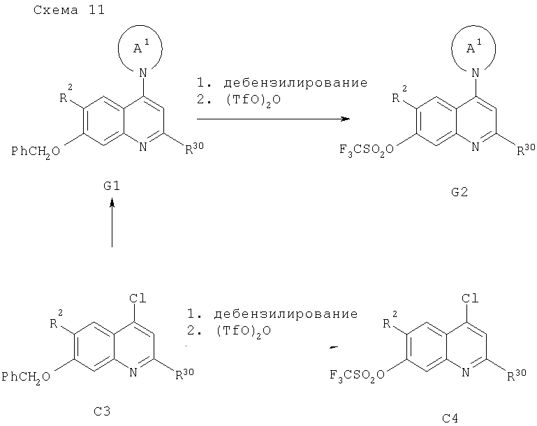
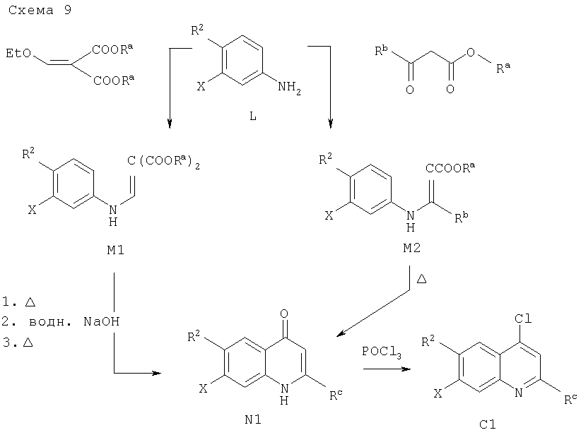
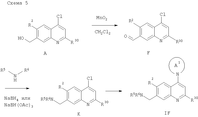
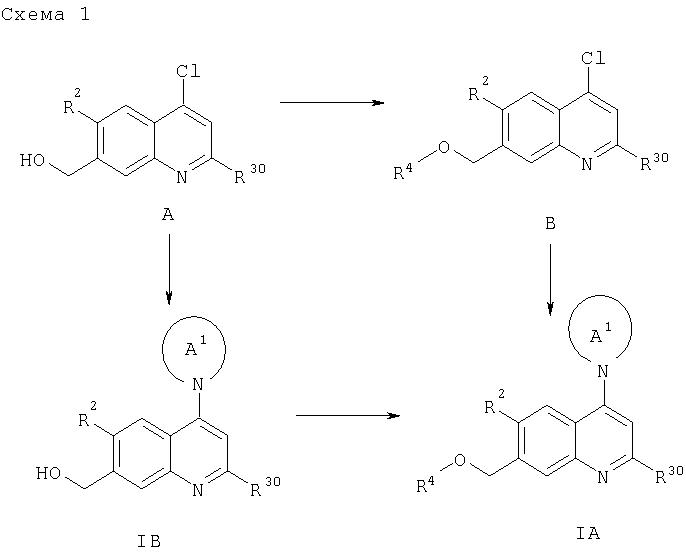
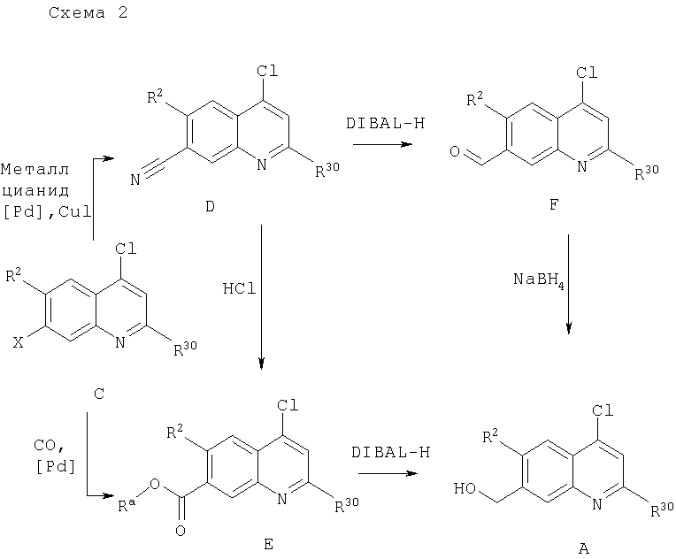
где R3 присоединен в положении 2 и R2 присоединен в положении 6. Предпочтительными являются соединения формулы I и их фармацевтически приемлемые соли. Особенно предпочтительными являются соединения формулы I. Предпочтительными являются соединения формулы I, в которых R1 обозначает -O-R4 или -NR5R6; R2 обозначает водород, алкил, циклоалкил, алкокси, галоген, гетероциклил или амино; R3 обозначает водород, алкил, амино или галоген; R4 обозначает водород, алкил, циклоалкил, арил, аралкил, циклоалкилалкил, алкоксиалкил, гидроксиалкил или гетероциклил; R5 и R6 независимо друг от друга выбирают из ряда, включающего водород, алкил, циклоалкил, арил, аралкил, циклоалкилалкил, алкоксиалкил, гидроксиалкил и гетероциклил; или R5 и R6 вместе с атомом N, к которому они присоединены, образуют 5-10-членное гетероциклическое кольцо, необязательно содержащее второй гетероатом, выбранный из азота, кислорода или серы, и где гетероциклическое кольцо необязательно замещено одним или несколькими заместителями, независимо друг от друга выбранными из алкила и алкокси; А1 обозначает 5-7-членное насыщенное гетероциклическое кольцо, содержщее атом азота, который присоединен к хинолиновому кольцу, и необязательно второй гетероатом, выбранный кислорода, серы или азота, и где кольцо необязательно замещено 1-3 заместителями, независимо друг от друга выбранными из ряда, включающего алкил, алкокси, гидрокси, гидроксиалкил, алкоксиалкил, амино, ацетиламино и циано; А2 обозначает -СН2-или -С(O)-; и их фармацевтически приемлемые соли и сложные эфиры. Предпочтительными являются соединения формулы I, в которых R2 обозначает водород, алкил, алкокси или галоген. Особенно предпочтительными являются соединения формулы I, в которых R2 обозначает водород или метил. Наиболее предпочтительными являются соединения формулы I, в которых R2 обозначает водород. Также предпочтительными являются соединения формулы I, в которых R1 обозначает -O-R4. Другим предпочтительным объектом настоящего изобретения являются соединения формулы I, в которых R1 обозначает -NR5R6. Предпочтительными являются также соединения формулы I, в которых R3 обозначает водород, метил, метиламино, диметиламино или хлор. Предпочтительными являются также соединения формулы I, в которых R3 обозначает водород или алкил. Более предпочтительно алкил. Еще более предпочтительно метил и этил. Наиболее предпочтительно метил. Предпочтительными являются также соединения формулы I, в которых R4 обозначает водород, алкил, арил, алкоксиалкил или гетероциклил. Особенно предпочтительными являются соединения формулы I, в которых R4 обозначает водород, алкил, алкоксиалкил, пиридинил, пирролидинил, тетрагидропиранил, фенил, фенил, замещенный 1-3 заместителями, независимо друг от друга выбранными из ряда, включающего алкил, циано, трифторметил, алкокси, галоген, пирролидинилкарбонил и нитро. Особенно предпочтительными являются соединения формулы I, в которых R4 обозначает водород, алкил, алкоксиалкил, пиридинил, пирролидинил, фенил, фенил, замещенный 1-3 заместителями, независимо друг от друга выбранными из ряда, включающего алкил, циано, трифторметил, алкокси, галоген, пирролидинилкарбонил и нитро. Предпочтительными являются соединения формулы I, в которых R5 и R6 независимо друг от друга выбирают из ряда, включающего водород, алкил, арил или алкоксиалкил, или R5 и R6 вместе с атомом N, к которому они присоединены, образуют 5-или 6-членное гетероциклическое кольцо, которое необязательно содержит второй гетероатом, выбранный из азота или кислорода, и где гетероциклическое кольцо необязательно замещено одним или несколькими, предпочтительно 1-3 заместителями, независимо друг от друга выбранными из алкила и алкокси. Примерами таких 5-6-членных гетероциклических колец являются пирролидин, пиперидин и пиперазин, предпочтительно пирролидин и пиперидин. Предпочтительными являются также соединения формулы I, в которых R5 и R6 независимо друг от друга выбирают из ряда, включающего водород, алкил, арил или алкоксиалкил, или R5 и R6 вместе с атомом N, к которому они присоединены, образует 5-или 6-членное гетероциклическое кольцо и где гетероциклическое кольцо необязательно замещено одним или несколькими, предпочтительно 1-3 заместителями, независимо друг от друга выбранными из алкила и алкокси. Особенно предпочтительными являются соединения формулы I, в которых один из радикалов R5 и R6 обозначает водород, арил или алкоксиалкил, а второй обозначает водород или алкил; или R5 и R6 вместе с атомом N, к которому они присоединены, образуют пирролидиновое кольцо. Предпочтительными являются также соединения формулы I, в которых А1 обозначает 5-7-членное насыщенное гетероциклическое кольцо, которое несет атом азота, присоединенный к хинолиновому кольцу, и необязательно второй гетероатом, выбранный из кислорода, серы и азота, и где кольцо необязательно замещено заместителем, выбранным из ряда, включающего алкил, гидрокси, гидроксиметил, амино, алкокси, тетрагидропиранилоксиалкил или циклоалкилалкокси, предпочтительно алкил, амино, тетрагидропиранилоксиметил или циклопропилметокси. Предпочтительными являются также соединения формулы I, в которых А1 обозначает 5-7-членное насыщенное гетероциклическое кольцо, которое несет атом азота, присоединенный к хинолиновому кольцу, и необязательно второй гетероатом, выбранный из кислорода, серы и азота, и где кольцо необязательно замещено заместителем, выбранным из ряда, включающего алкил, гидрокси, гидроксиметил, амино или алкокси, предпочтительно алкил или амино. Примерами таких 5-7-членных насыщенных гетероциклических колец являются пирролидин, пиперидин, азепан, пиперазин и [1,4]диазепан. Особенно предпочтительными являются соединения формулы I, в которых А1 обозначает 5-7-членное насыщенное гетероциклическое кольцо, которое несет атом азота, присоединенный к хинолиновому кольцу, и где в кольце необязательно присутствует второй атом азота и где кольцо необязательно замещено алкилом или аминогруппой. Предпочтительными являются также соединения формулы I, в которых А1 обозначает 5-7-членное насыщенное гетероциклическое кольцо, которое несет атом азота, присоединенный к хинолиновому кольцу, где в кольце необязательно присутствует второй гетероатом, выбранный из кислорода, серы или азота и где второй атом азота, который необязательно присутствует, замещен алкилом. Другим предпочтительным объектом настоящего изобретения являются соединения формулы I, в которых А1 обозначает пирролидиновое, пиперидиновое, азепановое, пиперазиновое или [1,4]диазепановое кольцо, необязательно замещенное алкилом, алкокси-, диалкиламиногруппой или гидроксиалкилом. Особенно предпочтительными являются соединения формулы I, в которых А1 обозначает пирролидиновое, пиперидиновое, азепановое, пиперазиновое или [1,4]диазепановое кольцо, необязательно замещенное алкилом, диметиламиногруппой или гидроксиметилом. Предпочтительными являются также соединения формулы I, в которых А1 обозначает пирролидиновое, пиперидиновое, азепановое, пиперазиновое, пирролидиновое или [1,4]диазепановое кольцо необязательно замещенное алкилом или аминогруппой. Наиболее предпочтительными являются соединения формулы I, в которых А1 обозначает пирролидиновое, пиперидиновое, азепановое, 4-метилпиперазиновое, 3-диметиламинопирролидиновое или 4-метил[1,4]диазепановое кольцо. Предпочтительными являются также соединения формулы I, в которых А2 обозначает -CH2-. Другим предпочтительным вариантом осуществления настоящего изобретения являются соединения формулы I, в которых A2 is -C(O)-. Примерами предпочтительных соединений формулы I являются: 1. 3-(2-метил-4-пирролидин-1-илхинолин-7-илметокси)бензонитрил, 2. (2-метил-4-пирролидин-1-илхинолин-7-ил)метанол, 3. (4-азепан-1-ил-2-метилхинолин-7-ил)метанол, 4. 3-(4-азепан-1-ил-2-метилхинолин-7-илметокси)бензонитрил, 5. 4-(2-метил-4-пирролидин-1-илхинолин-7-илметокси)бензонитрил, 6. 4-(4-азепан-1-ил-2-метилхинолин-7-илметокси)бензонитрил, 7. 2-метил-4-пирролидин-1-ил-7-(3-трифторметил-феноксиметил)хинолин, 8. 2-метил-4-пирролидин-1-ил-7-(4-трифторметилфеноксиметил)хинолин, 9. (2-метил-4-пирролидин-1-илхинолин-7-илметил)-(3-трифторметилфенил)амин, 10. 2-метил-7-феноксиметил-4-пирролидин-1-илхинолин, 11. 4-азепан-1-ил-2-метил-7-(3-трифторметилфеноксиметил)хинолин, 12. 7-(3-метоксифеноксиметил)-2-метил-4-пирролидин-1-илхинолин, 13. 4-[(2-метил-4-пирролидин-1-илхинолин-7-илметил)амино]бензонитрил, 14. 7-(2-метоксифеноксиметил)-2-метил-4-пирролидин-1-илхинолин, 15. 7-(2-фторфеноксиметил)-2-метил-4-пирролидин-1-илхинолин, 16. 7-(3-фтор-феноксиметил)-2-метил-4-пирролидин-1-илхинолин, 17. 2-метил-4-пирролидин-1-ил-7-о-толилоксиметилхинолин, 18. 2-метил-4-пирролидин-1-ил-7-м-толилоксиметилхинолин, 19. 2-метил-4-пирролидин-1-ил-7-п-толилоксиметилхинолин, 20. 7-(4-фторфеноксиметил)-2-метил-4-пирролидин-1-илхинолин, 21. [3-метокси-4-(2-метил-4-пирролидин-1-илхинолин-7-илметокси)фенил]пирролидин-1-илметанон, 22. амид 2-метил-4-пирролидин-1-илхинолин-7-карбоновой кислоты, 23. 4-азепан-1-ил-7-метоксиметил-2-метилхинолин, 24. 2-метил-7-(пиридин-4-илоксиметил)-4-пирролидин-1-илхинолин, 25. 4-азепан-1-ил-7-(2-метоксиэтоксиметил)-2-метилхинолин, 26. 7-(4-метоксифеноксиметил)-2-метил-4-пирролидин-1-илхинолин, 27. (2-метил-4-пирролидин-1-илхинолин-7-ил)пирролидин-1-илметанон, 28. (4-цианфенил)амид 2-метил-4-пирролидин-1-илхинолин-7-карбоновой кислоты, 29. 2-метил-4-пирролидин-1-ил-7-пирролидин-1-илметилхинолин, 30. бутиламид 2-метил-4-пирролидин-1-илхинолин-7-карбоновой кислоты, 31. 2-(2-метил-4-пирролидин-1-илхинолин-7-илметокси)бензонитрил, 32. 2-хлор-4-(2-метил-4-пирролидин-1-илхинолин-7-илметокси)бензонитрил, 33. 4-(2-метил-4-пирролидин-1-илхинолин-7-илметокси)-2-трифторметилбензонитрил, 34. бутил(2-метил-4-пирролидин-1-илхинолин-7-илметил)амин, 35. 2-фтор-4-(2-метил-4-пирролидин-1-илхинолин-7-илметокси)бензонитрил, 35а. 4-фтор-2-(2-метил-4-пирролидин-1-илхинолин-7-илметокси)бензонитрил, 36. 3-фтор-4-(2-метил-4-пирролидин-1-илхинолин-7-илметокси)бензонитрил, 37. 3-хлор-4-(2-метил-4-пирролидин-1-илхинолин-7-илметокси)бензонитрил, 38. 4-(2-метил-4-пирролидин-1-илхинолин-7-илметокси)фталонитрил, 39. 5-бром-2-(2-метил-4-пирролидин-1-илхинолин-7-илметокси)бензонитрил, 40. 4-(2-метил-4-пирролидин-1-илхинолин-7-илметокси)-2-нитробензонитрил, 41. 5-фтор-2-(2-метил-4-пирролидин-1-илхинолин-7-илметокси)бензонитрил, 42. 2-хлор-6-(2-метил-4-пирролидин-1-илхинолин-7-илметокси)бензонитрил, 43. 3-фтор-2-(2-метил-4-пирролидин-1-илхинолин-7-илметокси)бензонитрил, 44. 2-йод-6-(2-метил-4-пирролидин-1-илхинолин-7-илметокси)бензонитрил, 45. 4-(2-метил-4-пирролидин-1-илхинолин-7-илметокси)-3-трифторметилбензонитрил, 46. 2-(2-метил-4-пирролидин-1-илхинолин-7-илметокси)-6-трифторметилбензонитрил, 47. 2-(2-метил-4-пирролидин-1-илхинолин-7-илметокси)-5-трифторметилбензонитрил, 48. 3,5-дифтор-2-(2-метил-4-пирролидин-1-илхинолин-7-илметокси)бензонитрил, 49. 5-метил-2-(2-метил-4-пирролидин-1-илхинолин-7-илметокси)бензонитрил, 50. 4-бром-2-(2-метил-4-пирролидин-1-илхинолин-7-илметокси)бензонитрил, 51. 4-хлор-2-(2-метил-4-пирролидин-1-илхинолин-7-илметокси)бензонитрил, 52. 3-фтор-2-(2-метил-4-пирролидин-1-илхинолин-7-илметокси)-4-трифторметилбензонитрил, 53. 5-хлор-2-(2-метил-4-пирролидин-1-илхинолин-7-илметокси)бензонитрил, 54. 4-[2-метил-4-(4-метилпиперазин-1-ил)хинолин-7-илметокси]бензонитрил, 55. 2-(2-метил-4-пирролидин-1-илхинолин-7-илметокси)-4-трифторметилбензонитрил, 56. 4-(2-метил-4-пиперидин-1-илхинолин-7-илметокси)бензонитрил, 57. (S)-4-[4-(3-диметиламинопирролидин-1-ил)-2-метилхинолин-7-илметокси]бензонитрил, 58. 4-[2-метил-4-(4-метил-[1,4]диазепан-1-ил)хинолин-7-илметокси]бензонитрил, 59. (2,6-диметил-4-пирролидин-1-илхинолин-7-ил)метанол, 60. 4-(2,6-диметил-4-пирролидин-1-илхинолин-7-илметокси)бензонитрил, 61. 2-(2,6-диметил-4-пирролидин-1-илхинолин-7-илметокси)бензонитрил, 62. {2-метил-4-[(S)-2-(тетрагидропиран-2-илоксиметил)пирролидин-1-ил]хинолин-7-ил}метанол, 63. 4-[(2-метил-4-пирролидин-1-илхинолин-7-илметил)амино]-2-трифторметилбензонитрил, 64. (S)-[1-(7-гидроксиметил-2-метилхинолин-4-ил)пирролидин-2-ил]метанол, 65. (S)-4-[4-(2-гидроксиметилпирролидин-1-ил)-2-метилхинолин-7-илметокси]бензонитрил, 66. (S)-4-[4-(2-гидроксиметилпирролидин-1-ил)-2-метилхинолин-7-илметокси]-2-трифторметилбензонитрил, 67. (S)-4-[4-(2-гидроксиметилпирролидин-1-ил)-2-метилхинолин-7-илметокси]-3-трифторметилбензонитрил, 68. (S)-4-[4-(2-гидроксиметилпирролидин-1-ил)-2-метилхинолин-7-илметокси]фталонитрил, 69. (S)-2-[4-(2-гидроксиметилпирролидин-1-ил)-2-метилхинолин-7-илметокси]бензонитрил, 70. 4-(2,6-диметил-4-пирролидин-1-илхинолин-7-илметокси)-2-трифторметилбензонитрил, 71. 4-(2,6-диметил-4-пирролидин-1-илхинолин-7-илметокси)-3-трифторметилбензонитрил, 72. (S)-[4-(2-метоксиметилпирролидин-1-ил)-2,6-диметилхинолин-7-ил]метанол, 73. (R)-[4-(2-метоксиметилпирролидин-1-ил)-2,6-диметилхинолин-7-ил]метанол, 74. (S)-4-[4-(2-метоксиметилпирролидин-1-ил)-2,6-диметилхинолин-7-илметокси]бензонитрил, 75. (R)-4-[4-(2-метоксиметилпирролидин-1-ил)-2,6-диметилхинолин-7-илметокси]бензонитрил, 76. (S)-[4-(3-этоксипирролидин-1-ил)-2,6-диметилхинолин-7-ил]метанол, 77. (S)-4-[4-(3-этоксипирролидин-1-ил)-2,6-диметилхинолин-7-илметокси]бензонитрил, 78. (4-азепан-1-ил-2,6-диметилхинолин-7-ил)метанол, 79. 4-[(2,6-диметил-4-пирролидин-1-илхинолин-7-илметил)амино]-2-трифторметилбензонитрил, 80. (S)-1-(7-гидроксиметил-2,6-диметилхинолин-4-ил)пирролидин-3-ол, 81. (2-хлор-6-метил-4-пирролидин-1-илхинолин-7-ил)метанол, 82. (4-азепан-1-ил-2-хлор-6-метилхинолин-7-ил)метанол, 83. (S)-4-[4-(3-гидроксипирролидин-1-ил)-2,6-диметилхинолин-7-илметокси]бензонитрил, 84. (S)-4-[4-(3-метоксипирролидин-1-ил)-2,6-диметилхинолин-7-илметокси]бензонитрил, 85. (S)-1-[2,6-диметил-7-(тетрагидропиран-2-илоксиметил)хинолин-4-ил]пирролидин-3-ол, 86. (S)-4-(3-метоксипирролидин-1-ил)-2,6-диметил-7-(тетрагидропиран-2-илоксиметил)хинолин, 87. (6-метокси-2-метил-4-пирролидин-1-илхинолин-7-ил)метанол, 88. (6-метил-4-пирролидин-1-илхинолин-7-ил)метанол, 89. (8)-[4-(3-метоксипирролидин-1-ил)-2,6-диметил-хинолин-7-ил]метанол, 90. 4-((S)-3-(циклопропилметокси)пирролидин-1-ил)-2,6-диметил-7-(тетрагидропиран-2-илоксиметил)хинолин, 91. 4-азепан-1-ил-2-хлор-6-метил-7-(3-трифторметилфеноксиметил)хинолин, 92. (S)-4-{[4-(3-этоксипирролидин-1-ил)-2-метилхинолин-7-илметил]амино}бензонитрил, 93. (S)-4-[4-(3-этоксипирролидин-1-ил)-2-метилхинолин-7-илметокси]бензонитрил, 94. (S)-[4-(3-(циклопропилметокси)пирролидин-1-ил)-2,6-диметилхинолин-7-ил]метанол, 95. N-[4-азепан-1-ил-6-метил-7-(3-трифторметилфеноксиметил)хинолин-2-ил]метиламин, 96. [4-азепан-1-ил-6-метил-7-(3-трифторметилфеноксиметил)хинолин-2-ил]диметиламин, 97. (4-азепан-1-ил-2-диметиламино-6-метилхинолин-7-ил)метанол, 98. (S)-4-[4-(3-(циклопропилметокси)пирролидин-1-ил)-2,6-диметилхинолин-7-илметокси]бензонитрил, 99. 4-(6-метил-4-пирролидин-1-илхинолин-7-илметокси)бензонитрил, 100. 4-(4-азепан-1-ил-2-диметиламино-6-метилхинолин-7-илметокси)бензонитрил, 101. 4-[(2,6-диметил-4-пирролидин-1-илхинолин-7-илметил)амино]бензонитрил, 102. (S)-4-{[4-(3-этоксипирролидин-1-ил)-2,6-диметилхинолин-7-илметил]амино}бензонитрил, 103. 4-(6-метил-4-пирролидин-1-илхинолин-7-илметокси)-2-трифторметилбензонитрил, 104. (S)-[4-(3-этоксипирролидин-1-ил)-6-метилхинолин-7-ил]метанол, 105. (S)-4-{[4-(2-гидроксиметилпирролидин-1-ил)-2,6-диметилхинолин-7-илметил]амино}бензонитрил, 106. 4-[(2,6-диметил-4-пирролидин-1-илхинолин-7-илметил)метиламино]бензонитрил, 107. (S)-4-[4-(3-этоксипирролидин-1-ил)-6-метилхинолин-7-илметокси]бензонитрил, 108. (S)-4-[4-(3-этоксипирролидин-1-ил)-6-метилхинолин-7-илметокси]-2-трифторметилбензонитрил; 109. (S)-4-{[4-(3-этоксипирролидин-1-ил)-6-метилхинолин-7-илметил]амино}-2-трифторметилбензонитрил, 110. (S)-4-{[4-(3-этоксипирролидин-1-ил)-6-метилхинолин-7-илметил]амино}бензонитрил, 111. метиловый эфир 6-бром-2-метил-4-пирролидин-1-илхинолин-7-карбоновой кислоты и 112. (6-бром-2-метил-4-пирролидин-1-илхинолин-7-ил)метанол. Примерами особенно предпочтительных соединений формулы I являются: (4-азепан-1-ил-2-метилхинолин-7-ил)метанол, 4-(2-метил-4-пирролидин-1-илхинолин-7-илметокси)бензонитрил, 4-(4-азепан-1-ил-2-метилхинолин-7-илметокси)бензонитрил, 4-[(2-метил-4-пирролидин-1-илхинолин-7-илметил)амино]бензонитрил, 2-метил-7-(пиридин-4-илоксиметил)-4-пирролидин-1-илхинолин, бутиламид 2-метил-4-пирролидин-1-илхинолин-7-карбоновой кислоты, 2-(2-метил-4-пирролидин-1-илхинолин-7-илметокси)бензонитрил, 2-хлор-4-(2-метил-4-пирролидин-1-илхинолин-7-илметокси)бензонитрил, 4-(2-метил-4-пирролидин-1-илхинолин-7-илметокси)-2-трифторметилбензонитрил, 4-(2-метил-4-пирролидин-1-илхинолин-7-илметокси)фталонитрил, (2,6-диметил-4-пирролидин-1-илхинолин-7-ил)метанол, 4-(2,6-диметил-4-пирролидин-1-илхинолин-7-илметокси)бензонитрил, 4-[(2-метил-4-пирролидин-1-илхинолин-7-илметил)амино]-2-трифторметилбензонитрил, (S)-[4-(3-этоксипирролидин-1-ил)-2,6-диметилхинолин-7-ил]метанол, (S)-4-[4-(3-этоксипирролидин-1-ил)-2,6-диметил-хинолин-7-илметокси]бензонитрил, 4-[(2,6-диметил-4-пирролидин-1-илхинолин-7-илметил)амино]бензонитрил и (S)-4-{[4-(3-этоксипирролидин-1-ил)-2,6-диметилхинолин-7-илметил]амино}бензонитрил. Объектом изобретения являются также способы получения соединений формулы I. Если не указано иное, то в прилагаемом ниже описании вариантов способа получения заместители и индексы имеют указанные выше значения. Соединения общей формулы IA (R1 обозначает OR4, А2 обозначает СН2) можно получать в две стадии согласно схеме 1, используя в качестве исходного продукта (4-хлорхинолин-7-ил)метанольное производное А: а) Для превращения соединения А в простой (7-хинолилметиловый) эфир В, соединение А подвергают взаимодействию с фенольным производным, R41-ОН (R41 обозначает арил, гетероциклил) в присутствии трифенилфосфина и диалкилазодикарбоксилата (например, диизопропилазодикарбоксилата) в апротонном растворителе, таком как дихлорметан или толуол примерно при комнатной температуре (реакция Митсунобу, см. обзор в Org. React. 42, 1992, с.335). В другом варианте соединение А обрабатывают R41-X (где R41 обозначает арил или гетероциклил и Х обозначает галоген, предпочтительно F) или R42-Y (где R42 обозначает алкил или циклоалкил; Y обозначает уходящую группу, предпочтительно Br или I) в присутствии основания, например гидрида натрия, в растворителе, таком как N,N-диметилформамид, при температуре 20-100°С. В другом варианте превращение соединения А в В осуществляют путем реакции сочетания с галогенидом R41-X (где R41 обозначает арил или гетероциклил; Х обозначает галоген, предпочтительно Br или I) в присутствии основания, например гидрида натрия или трет-бутилата натрия, и системы палладиевого катализатора, например трис(дибензилиденацетон)дипалладия(0) и 2,2′-бис(ди-п-толилфосфино)-1,1′-бинафтила (Tol-BINAP), в растворителе, таком как толуол, примерно при 50-100°С (J. Am. Chem. Soc. 119, 1997, с.3395). б) Превращение простого (4-хлорхинолин-7-ил)метилового эфира В в соединение IA осуществляют с помощью соответствующего амина при температуре 0-200°С необязательно в запечатанной пробирке и/или при микроволновом облучении, либо с использованием избытка амина без растворителя, либо с использованием 2-20-кратного избытка в приемлемом растворителе, таком как этанол или 1-метилпирролидин-2-он, необязательно в присутствии хлорида лития или йодида натрия и пиридина. В случае, когда R обозначает галоген, изомерное 2-аминохинолиновое производное, которое может образоваться в качестве побочного продукта, отделяют от требуемого 4-аминохинолина, например хроматографией или кристаллизацией. Согласно еще одному варианту превращение (4-хлорхинолин-7-ил)метанольного производного А в IA можно осуществлять через соединение IB, с путем изменения порядка проведения описанных выше реакционных стадий (схема 1). R30 обозначает Н, алкил или галоген; Синтез (4-хлорхинолин-7-ил)метанольного производного А с использованием в качестве исходного 4-хлорхинолина С представлен на схеме 2. а) Реакция сочетания соединения С с цианидом металла, например цианидом калия, в присутствии палладиевого катализатора, например тетракис(трифенилфосфин)палладия(0), и йодида меди(1) в растворителе, таком как ацетонитрил, при 80°С (J. Org. Chem. 63, 1998, с.8224), позволяет получать 4-хлорхинолин-7-карбонитрил D. б) Алкоголиз цианогруппы соединения D, предпочтительно в этанольном или метанольном растворе хлористого водорода, при температуре от 20°С до температуры кипения спирта позволяет получать эфир 4-хлорхинолин-7-карбоновой кислоты Е. в) Гидридное восстановление соединения Е с помощью пригодного реагента, предпочтительно гидрида диизобутилалюминия, в растворителе, таком как ТГФ или дихлорметан, при температуре от -78°С до +20°С позволяет получать (4-хлорхинолин-7-ил)метанол А. В другом варианте соединение А получают из соединения D с помощью двухстадийного процесса, при осуществлении которого цианогруппу соединения D восстанавливают с помощью гидрида диизобутилалюминия в растворителе, таком как тетрагидрофуран, при температуре от -78°С до 0°С и полученный 4-хлорхинолин-7-карбальдегид (F) обрабатывают борогидридом натрия в растворителе, таком как метанол, при 0-20°С. Согласно еще одному варианту одностадийное превращение соединения С в соединение Е осуществляют с помощью карбонилирования, т.е путем взаимодействия галогенида или трифлата С с соответствующим спиртом (Ra-OH, где Ra обозначает (низш.)алкил, предпочтительно метил или этил), либо с использованием большого избытка спирта без растворителя, либо осуществляя реакцию с 2-10-кратным избытком в пригодном растворителе, таком как N,N-диметилформамид или метилсульфоксид, в атмосфере монооксида углерода при давлении 1-100 бар, в присутствии системы палладиевого катализатора, например ацетата палладия(II) и трифенилфосфина или бис(1,3-дифенилфосфино)пропана, и основания, например триэтиламина, при температуре примерно 40-80°С. R30 обозначает водород, алкил или галоген; Ra обозначает метил или этил; Х обозначает уходящую группу, предпочтительно I или OSO2CF3. Синтез хинолин-7-карбоксамидов общей формулы IC из 4-хлор-7-галогенхинолина С представлен на схеме 3: а) Взаимодействие соединения С с соответствующими аминами для получения соединения G осуществляют аналогичному описанному выше синтезу IA из В. б) 4-Аминохинолин-7-карбонитрильное производное Н получают из G путем реакции сочетания с цианидом металла по аналогии с описанным выше методом превращения соединения С в соединение D. в) Гидролиз соединения Н, например, с помощью перекиси водорода и гидроксида калия, предпочтительно в двухфазной смеси воды и дихлорметана и в присутствии межфазного катализатора, например бисульфата тетрабутиламмония, при температуре 0-20°С, позволяет получать первичный амид ID. г) И наконец, превращение ID в IC осуществляют либо с помощью взаимодействия с галогенидом или сульфонатом, R42-Y (где R42 обозначает (замещенный) алкил или циклоалкил, Y обозначает уходящую группу, предпочтительно Br или I) в присутствии основания, например гидрида натрия, в растворителе, таком как N,N-диметилформамид, при температуре 20-100°С, либо с помощью реакции сочетания с галогенидом R41-X (где R41 обозначает арил, гетероциклил, Х обозначает галоген, предпочтительно Br или I) в присутствии основания, например карбоната цезия, и системы палладиевого катализатора, например ацетата палладия(II) и 4,5-бис(дифенилфосфино)-9,9-диметилксантена (Xantphos), в растворителе, таком как 1,4-диоксан, примерно при 50-100°С (Org. Lett. 2, 2000, с.1101). R30 обозначает водород, алкил или галоген; Х обозначает уходящую группу, предпочтительно I или OSO2CF3. Синтез 4-аминохинолин-7-карбоксамидных производных IE и (4-аминохинолин-7-илметил)аминов IF осуществляют согласно схеме 4: а) Сложный эфир Е превращают в соответствующий амид J путем взаимодействия с соответствующим амином либо с использованием большого избытка амина без растворителя, либо, осуществляя реакцию с использованием 2-10-кратного избытка амина, в пригодном растворителе, таком как этанол или N,N-диметилформамид, при температуре от 0°С до температуры кипения амина или растворителя. б) Взаимодействие J с соответствующими аминами с получением IE осуществляют аналогично вышеописанному синтезу соединения IA из соединения В. в) Превращение соединения IE в соединение IF осуществляют путем реакции гидрирования, например, с помощью алюмогидрида лития в растворителе, таком как тетрагидрофуран, при температуре от 0°С до температуры кипения растворителя. R30 обозначает водород, алкил или галоген; Ra обозначает метил или этил. Другой подход к получению соединений IF (прежде всего, в случае, когда R5 обозначает арил или гетероциклил) представлен на схеме 5: а) Окисление (4-хлорхинолин-7-ил)метанола А с помощью диоксида марганца в растворителе, таком как дихлорметан или хлороформ, при температуре от 20°С до температуры кипения растворителя позволяет получать хинолин-7-карбальдегидное производное F. б) Восстановительное аминирование соединения F с использованием соответствующего амина и борогидридного реагента, например, борогидрида натрия или триацетоксиборогидрида натрия, в системе растворителей, такой как этанол/уксусная кислота, этанол/водная соляная кислота или 1,2-дихлорэтан/уксусная кислота, при 0-20°С позволяет получать (4-хлорхинолин-7-ил)метиламин К. в) Взаимодействие соединения К с соответствующими аминами, позволяющее получать соединения IF, осуществляют аналогично описанному выше синтезу соединения IA из соединения В. В другом варианте IF можно синтезировать из спирта IB путем окисления диоксидом марганца (согласно стадии а), с последующим восстановительным аминированием (согласно стадии б) R30 обозначает водород, алкил или галоген. Хинолиновые производные IH (где R20 обозначает амино, алкокси) можно получать из 6-галогенохинолиновых производных IG путем реакции перекрестного сочетания с использованием соответствующих аминов (R5-NH-R6) или спиртов (R43-ОН) в присутствии системы катализатора и основания согласно описанному ниже процессу (схема 6): а) В случае, когда R20 обозначает алкоксигруппу, реакцию перекрестного сочетания осуществляют либо с помощью метода Улманна (Ullmann) с использованием системы медного катализатора, например йодида меди с добавлением 1,10-фенантролина или без него, и основания, например трет-бутилата натрия или карбоната цезия, с использованием спирта R43-ОН в качестве растворителя, или в растворителе, таком как N,N-диметилформамид, и при повышенных температурах (Synthesis 1998, с.1599 или Org. Lett. 4, 2002, с.973), либо с помощью метода Бухвальда (Buchwald) с использованием системы палладиевого катализатора, например трис(дибензилиденацетон)дипалладия(0) и 2,2′-бис(ди-н-толилфосфино)-1,1′-бинафтила (Tol-BINAP), в растворителе, таком как толуол, при температуре примерно 50-100°С (J. Am. Chem, Soc. 119, 1997, с.3395). б) В случае, когда R20 обозначает аминогруппу, превращение осуществляют путем реакции перекрестного сочетания Бухвальда в присутствии пригодной системы катализатора, такой как ацетат палладия(II) и 2,2′-бис(дифенилфосфино)-1,1′-бинафтил (BINAP), и основания, например трет-бутилата натрия, в растворителе, таком как толуол, при 20-110°С (J. Org. Chem. 61, 1996, с.7240). R20 обозначает алкокси или амино; X обозначает Cl, Br или I; R43 обозначает алкил. Хинолиновые производные IK можно получать из 2-хлорхинолиновых производных IJ и соответствующих аминов согласно схеме 7, либо по аналогии с синтезом соединения IA из В, либо с помощью реакции сочетания Бухвальда аналогично описанному выше синтезу соединения IH из соединения IG. Эфиры хинолин-7-карбоновых кислот общей формулы IL можно получать из соединений G путем карбонилирования по аналогии с описанным выше методом синтеза соединений Е из соединений С. Эфиры IL затем можно превращать в спирты IB путем гидридного восстановления по аналогии с описанным выше методом синтеза соединения А из соединения Е. R30 обозначает водород, алкил или галоген; Ra обозначает метил или этил; Х обозначает уходящую группу, предпочтительно I или OSO2CF3. Получение 4-хлорхинолинов С представлено на схемах 9 и 10 и включает получение 3-галогенанилинов или 3-бензилоксианилинов формулы L согласно методам, известным в данной области (общий обзор см. у G.Jones, «The chemistry of heterocyclic compounds, том 32: Quiniolines’, часть I, изд-во J.Wiley и Sons, London,1977). Для получения 4-хлорхинолинов формулы Cl, 3-галогенанилины или 3-бензилоксианилины (L) подвергают следующим превращениям в зависимости от природы заместителя Rc в положении С(2) хинолина: а) Rc обозначает Н: Конденсация с диалкилэтоксиметиленмалонатом при 140-150°С позволяет получать промежуточный продукт M1, который подвергают циклизации с удалением одного эквивалента спирта (Ra-OH) при температуре примерно 250°С в растворителе с высокой температурой кипения, таком как Dowtherm А или простой дифениловый эфир. Полученный таким образом эфир 4-хинолон-3-карбоновой кислоты омыляют (водный гидроксид натрия, кипячение с обратным холодильником) и декарбоксилируют при высокой температуре (примерно 250°С) в растворителе, таком как Dowtherm® А или простой дифениловый эфир, с получением 4-хинолона N1 (схема 9). б) Rc обозначает алкил: Конденсация с соответствующими Превращения полученных таким образом хинолонов N1 в 4-хлорхинолины С1 осуществляют, например, с использованием хлорангидрида фосфорной кислоты и необязательно в присутствии каталитических количеств N,N-диметилформамида при температуре примерно 50°С (схема 9). Ra обозначает метил или этил; Rb обозначает алкил; Rc обозначает Н или алкил; Х обозначает I, OCH2Ph или Br, предпочтительно I или ОСН2Ph. Для получения 2,4-дихлорхинолинов формулы С2 два эквивалента 3-галогенанилина или 3-бензилоксианилина (L) конденсируют с одним эквивалентом диалкилмалоната при высокой температуре (примерно 210°С), и при этом происходит постепенное удаление двух эквивалентов спирта (Ra-OH). Дианилидный промежуточный продукт М3 подвергают циклизации при температуре примерно 250°С в расплавленном хлориде алюминия и хлориде натрия с получением 4-гидрокси-2-хинолона общей формулы N2. И, наконец, с помощью хлорирования с помощью POCl3 получают 2,4-дихлорхинолины С2 (схема 10). В другом варианте 2,4-дихлорхинолины С2 можно синтезировать в одну стадию из анилинов L, малоновой кислоты и POCl3 (J. Chem. Soc., Perkin Trans, 1 1993, с.2747). Ra обозначает метил или этил, X обозначает I, OCH2Ph или Br, предпочтительно I или OCH2Ph. Хинолиновые производные С3 или G1, которые несут бензилоксигруппу в положении С(7), можно превращать в соответствующие трифлаты хинолин-7-ила С4 и G2 соответственно путем двухстадийного процесса, представленного на схеме 11: а) Отщепляют фрагмент простого бензилового эфира С3 или G1, например, либо с помощью кислота Льюиса (предпочтительно хлорида титана(IV) в дихлорметане примерно при 0°С), либо путем восстановления (гидрирования в присутствии пригодного катализатора, например палладия на активированном древесном угле, в растворителе, таком как метанол), получая соответствующий хинолин-7-ол. б) Промежуточные продукты хинолин-7-олы превращают в соответствующие трифлаты С4 или G2 с помощью пригодного реагента, например, 3-фторметансульфонового ангидрида, в растворителе, таком как дихлорметан, при температуре примерно -20°С. в) Взаимодействие С3 с соответствующими аминами с получением G1 осуществляют по аналогии с описанным выше синтезом IA из В. R30 обозначает водород, алкил или галоген. Превращение соединения формулы I в фармацевтически приемлемую соль можно осуществлять обработкой соединения неорганической кислотой, например галогенводородной кислотой, такой, например, как соляная кислота или бромистоводородная кислота, серная кислота, азотная кислота, фосфорная кислота и т.д., или органической кислотой, такой, например, как уксусная кислота, лимонная кислота, малеиновая кислота, фумаровая кислота, винная кислота, метансульфоновая кислота или n-толуолсульфоновая кислота. Превращение соединений формулы I в фармацевтически приемлемые сложные эфиры или амиды можно осуществлять, например, обработкой приемлемых амино- или гидроксильных групп, которые присутствуют в молекулах, карбоновой кислотой, такой как уксусная кислота, с помощью конденсирующего реагента, такого как гексафторфосфат бензотриазол-1-илокситрис(диметиламино)фосфония (ВОР) или N,N-дициклогексилкарбодиимида (DCC) с получением эфира карбоновой кислоты или амида карбоновой кислоты. Предпочтительными промежуточными продуктами являются: а) этиловый эфир 4-хлор-2-метил-хинолин-7-карбоновой кислоты, б) (4-хлор-2-метилхинолин-7-ил)метанол, в) 4-хлор-2-метилхинолин-7-карбальдегид, г) 2-метил-4-пирролидин-1-илхинолин-7-карбонитрил, д) этиловый эфир 4-хлор-2,6-диметил-хинолин-7-карбоновой кислоты, е) 2,6-диметил-4-пирролидин-1-илхинолин-7-карбальдегид; ж) 2,4-дихлор-7-йод-6-метилхинолин, з) этиловый эфир 2,4-дихлор-6-метилхинолин-7-карбоновой кислоты, и) (4-хлор-6-метокси-2-метилхинолин-7-ил)метанол, к) (4-хлор-6-метилхинолин-7-ил)метанол, л) 4-хлор-2,6-диметилхинолин-7-карбальдегид, м) 7-бензилокси-6-бром-4-хлор-2-метилхинолин, н) 6-бром-2-метил-4-пирролидин-1-илхинолин-7-иловый эфир трифторметансульфоновой кислоты. Еще одним объектом изобретения являются указанные выше соединения формулы I, предназначенные для применения в качестве терапевтически активных веществ. Объектом изобретения являются указанные выше соединения, предназначенные для приготовления лекарственных средств для профилактики и лечения заболеваний, которые вызываются нарушениями, связанными с рецептором NPY, прежде всего для приготовления лекарственных средств для профилактики и лечения артрита, сердечно-сосудистых заболеваний, диабета, почечной недостаточности и, прежде всего нарушений питания и ожирения. Объектом изобретения являются также фармацевтические композиции, содержащие описанное выше соединение формулы I и терапевтически инертный носитель. Объектом изобретения является также применение описанных выше соединений для приготовления лекарственных средств, предназначенных, в частности, для лечения и профилактики артрита, сердечно-сосудистых заболеваний, диабета, почечной недостаточности и, прежде всего нарушений питания и ожирения. Следующим объектом изобретения являются соединения, полученные с помощью одного из описанных способов. И еще одним объектом изобретения является способ лечения и профилактики артрита, сердечно-сосудистых заболеваний, диабета, почечной недостаточности и прежде всего нарушений питания и ожирения, который заключается во введении эффективного количества описанного выше соединения. Следующим объектом изобретения является способ лечения ожирения у человека, который нуждается в таком лечении, заключающийся во введении терапевтически эффективного количества соединения формулы I и терапевтически эффективного количества ингибитора липазы, где ингибитор липазы наиболее предпочтительно представляет собой орлистат. Объектом настоящего изобретения является также указанный способ, отличающийся тем, что введение осуществляют одновременно, раздельно или последовательно. Другим предпочтительным вариантом осуществления настоящего изобретения является применение соединения формулы I для приготовления лекарственного средства для лечения и предупреждения ожирения у пациента, который проходит также курс лечения ингибитором липазы, причем ингибитор липазы наиболее предпочтительно представляет собой орлистат. Предпочтительный способ получения соединения формулы I предусматривает осуществление одной из следующих реакций: а) соединение формулы Q1 подвергают взаимодействию в присутствии амина формулы Q2 для получения соединения формулы Q3 где R1, R2, А1 и А2 имеют указанные выше значения и R30 обозначает водород, алкил или галоген и Y обозначает хлор, бром или йод; б) соединение формулы Н подвергают взаимодействию в присутствии перекиси водорода для получения соединения формулы ID где R2 и А1 имеют значения, указанные в п.1 формулы изобретения, и R30 обозначает водород, алкил или галоген; в) соединение формулы IE подвергают взаимодействию в присутствии гидрида для получения соединения формулы IF где R2, R5, R6 и А1 имеют указанные выше значения и R3 обозначает водород, алкил или галоген; г) соединение формулы IJ подвергают взаимодействию в присутствии соответствующего амина HNR’R” для получения соединения формулы IK где R1, R2, А1 и А2 имеют указанные выше значения и R’ и R” независимо друг от друга выбирают из ряда, включающего водород, алкил и циклоалкил, или R’ и R” вместе с атомом N, с которым они связаны, образуют 5-10-членное гетероциклическое кольцо, где гетероциклическое кольцо необязательно замещено одним или несколькими заместителями, независимо друг от друга выбранными из алкила и алкокси, и Y обозначает хлор, бром или йод. Следующим объектом изобретения являются описанные выше соединения формулы I, предназначенные для применения в качестве терапевтически активных веществ. И еще одним объектом изобретения являются указанные выше соединения, предназначенные для приготовления лекарственных средств для профилактики и лечения заболеваний, которые вызываются нарушениями, связанными с рецептором NPY, в частности, для приготовления лекарственных средств для профилактики и лечения артрита, сердечно-сосудистых заболеваний, диабета, почечной недостаточности и, прежде всего нарушений питания и ожирения. Объектом изобретения является также фармацевтическая композиция, содержащая описанное выше соединение формулы I и терапевтически инертный носитель. Предпочтительно эта композиция содержит также терапевтически эффективное количество ингибитора липазы. Наиболее предпочтительной является композиция, в которой в качестве ингибитора липазы используют орлистат. Объектом изобретения является также применение описанных выше соединений для приготовления лекарственных средств, предназначенных, в частности, для лечения и профилактики артрита, сердечно-сосудистых заболеваний, диабета, почечной недостаточности и, прежде всего нарушений питания и ожирения. Следующим объектом изобретения являются соединения, полученные с помощью одного из описанных способов. И еще одним объектом изобретения является способ лечения и профилактики артрита, сердечно-сосудистых заболеваний, диабета, почечной недостаточности и прежде всего нарушений питания и ожирения, который заключается во введении эффективного количества описанного выше соединения. Следующим объектом изобретения является способ лечения ожирения у человека, который нуждается в таком лечении, заключающийся во введении человеку терапевтически эффективного количества соединения формулы I и терапевтически эффективного количества ингибитора липазы, где ингибитор липазы наиболее предпочтительно представляет собой орлистат. Объектом настоящего изобретения является также указанный способ, отличающийся тем, что введение осуществляют одновременно, раздельно или последовательно. Другим предпочтительным вариантом осуществления настоящего изобретения является применение соединения формулы I для приготовления лекарственного средства для лечения и предупреждения ожирения у пациента, который проходит также курс лечения ингибитором липазы, причем ингибитор липазы наиболее предпочтительно представляет собой орлистат. Методы анализа Клонирование кДНК мышиного рецептора NPY5: Полноразмерную кДНК, кодирующую мышиный рецептор NPY5 (mNPY5), амплифицировали из кДНК головного мозга мыши с помощью специфических праймеров, созданных на основе данных об опубликованной последовательности, и ДНК-полимеразы Pfu (фирма Stratagene). Амплифицированный продукт субклонировали в экспрессионном векторе млекопитающих pcDNA3 с использованием рестрикционных сайтов EcoRI и Xhol. Секвенировали позитивные клоны и один клон, кодирующий опубликованную последовательность, отбирали для создания стабильных клеточных клонов. Стабильная трансфекция: Клетки почки человеческого эмбриона линии 293 (НЕК293) трансфектировали 10 мкг ДНК mNPY5 с помощью липофектамина (реагент фирмы Gibco BRL) согласно инструкции производителя. Через 2 дня после трансфекции начинали селекцию генетицином (1 мг/мл) и выделял несколько стабильных клонов. Один клон далее использовали для оценки фармакологических характеристик. Конкурентное связывание радиолиганда: Клетки почки человеческого эмбриона линии 293 (НЕК293), экспрессирующие рекомбинантный мышиный рецептор NPY5 (mNPY5), разрушали путем трех циклов замораживания/оттаивания в гипотоническом Трис-буфере (5 мМ, рН 7, 4, 1 мМ MgCl2), гомогенизировали и центрифугировали при 72000×g в течение 15 мин. Дебрис промывали дважды 75 мМ Трис-буфером, рН 7,4, содержащем 25 мМ MgCl2, и 250 мМ сахарозу, 0,1 мМ фенилметилсульфонилфторидом и 0,1 мМ 1,10-фенантролином, которые были ресуспендированы в этом же буфере, и аликвоты хранили при -80°С. Содержание протеина определяли по методу Лоури с использованием в качестве стандарта бычьего сывороточного алибумина (БСА). Анализы конкурентного связывания радиолиганда осуществляли в 250 мкл 25 мМ Hepes-буфера (рН 7,4, 2,5 мМ CaCl2, 1 мМ MgCl2, 1% бычьего сывороточного альбумина и 0,01% NaN3, который содержит 5 мкг протеина, 100 пМ меченный с помощью [125I] пептид YY (PYY) и 10 мкл ДМСО, а также возрастающие концентрации немеченых тестируемых соединений). После инкубации в течение 1 ч при 22°С связанный и свободный лиганд разделяли фильтрацией через стекловолоконные фильтры. Неспецифическое связывание оценивали в присутствии 1 мкМ немеченого PYY. Специфическое связывание определяли как разницу между общим связыванием и неспецифическим связыванием. Определяли значения IC50 как концентрацию антагониста, при которой происходит 50%-ное вытеснение меченного с помощью [125I] нейропептида Y. Их определяли с помощью линейного регрессионного анализа после логит/log-трансформации результатов связывания. Ниже в таблице представлены результаты, полученные с помощью вышеуказанного анализа с использованием в качестве тестируемых соединений репрезентативных соединений, предлагаемых в настоящем изобретении:
Предпочтительными из указанных выше являются соединения, у которых значения IC50 составляют менее 1000 нМ; у более предпочтительных соединений значения IC50 составляют менее 100 нМ. У наиболее предпочтительных соединений значения IC50 составляют менее 10 нМ. Эти результаты получены с использованием вышеописанного анализа. Соединения формулы I и их фармацевтически приемлемые соли, сольваты и сложные эфиры можно применять в качестве лекарственных средств (например, в форме фармацевтических композиций). Фармацевтические композиции можно вводить внутрь, например перорально (например, а форме таблеток, таблеток с покрытием, драже, твердых и мягких желатиновых капсул, растворов, эмульсий или суспензий, назально (например, в форме назальных спреев) или ректально (например, в форме суппозиториев). Введение можно осуществлять также парентерально, например, внутримышечно или внутривенно (например, в форме растворов для инъекций). Соединения формулы I и их фармацевтически приемлемые соли, сольваты и сложные эфиры можно обрабатывать совместно с фармацевтически инертными неорганическими или органическими адъювантами для получения таблеток, таблеток с покрытием, драже и твердых желатиновых капсул. В качестве таких адъювантов для таблеток, таблеток с покрытием, драже и твердых желатиновых капсул можно применять лактозу, кукурузный крахмал или его производные, тальк, стеариновую кислоту или ее соли и т.д. Приемлемыми адъювантами для мягких желатиновых капсул являются, например, растительные масла, воски, жиры, полутвердые вещества и жидкие полиолы и т.д. Приемлемыми адъювантами для приготовления растворов и сиропов являются, например, вода, полиолы, сахароза, инвертный сахар, глюкоза и т.д. Приемлемыми адъювантами для инъецируемых растворов являются, например, вода, спирты, полиолы, глицерин, растительные масла и т.д. Приемлемыми адъювантами для суппозиториев являются, например, природные или гидрогенизированные масла, воски, жиры, полутвердые или жидкие полиолы и т.д. Кроме того, фармацевтические композиции могут содержать консерванты, солюбилизаторы, вещества, повышающие вязкость, стабилизаторы, смачивающие вещества, эмульгаторы, подслащивающие вещества, красители, корригенты, соли для изменения осмотического давления, буферы, маскирующие агенты или антиоксиданты. Они могут содержать также другие терапевтически ценные субстанции. Согласно изобретению соединения формулы I и их фармацевтически приемлемые соли, сольваты и сложные эфиры можно применять для профилактики и лечения артрита, сердечно-сосудистых заболеваний, диабета, почечной недостаточности и, прежде всего нарушений питания и ожирения. Дозы могут варьироваться в широких пределах и, естественно, зависят от индивидуальных режимов в каждом конкретном случае. Как правило, в случае перорального введения суточная доза составляет примерно от 0,1 до 20 мг на кг веса тела, предпочтительно примерно от 0,5 до 4 мг на кг веса тела (например, примерно 300 мг на особь), ее предпочтительно можно разделять на 1-3 индивидуальных дозы, которые могут, например, включать одинаковые количества. Однако должно быть очевидно, что в зависимости от показаний верхний предел может быть увеличен. Ниже изобретение проиллюстрировано на примерах, не ограничивающий его объем. Примеры Пример 1 3-(2-Метил-4-пирролидин-1-илхинолин-7-илметокси)бензонитрил: Указанное в заголовке соединение получали с помощью общего метода, изложенного в примере 20, из (4-хлор-2-метилхинолин-7-ил)метанола (пример 2в), 3-гидроксибензонитрила и пирролидина. В результате получали твердое вещество желтого цвета, ISP-MC: m/e=344,4 ([М+Н]+). Пример 2 (2-Метил-4-пирролидин-1-илхинолин-7-ил)метанол: а) 4-Хлор-2-метилхинолин-7-карбонитрил: Указанное в заголовке соединение получали с помощью общего метода, изложенного в примере 226, из 4-хлор-7-йод-2-метил-хинолина (ЕР 497371). В результате получали твердое вещество белого цвета, ISP-MC: m/e=203,0 ([М+Н]+). б) Этиловый эфир 4-хлор-2-метилхинолин-7-карбоновой кислоты Метод А: Суспензию 4-хлор-2-метилхинолин-7-карбонитрила (52 мг, 0,26 ммоль) в 8 М этанольном растворе хлористого водорода (4 мл) выдерживали при 80°С в течение 2 ч. После охлаждения полученный раствор сливали на насыщенный раствор бикарбоната натрия и экстрагировали этилацетатом. Органический слой промывали соляным раствором, сушили (MgSO4) и упаривали, получая указанное в заголовке соединение (51 мг, 80%) в виде твердого вещества белого цвета, ISP-MC: m/e=250,1 ([М+Н]+). Метод Б: Смесь, содержащую 4-хлор-7-йод-2-метилхинолин (ЕР 497371, 20,0 г, 65,9 ммоль), ацетат палладия(II) (740 мг, 3,30 ммоль), трифенилфосфин (864 мг, 3,30 ммоль) и триэтиламин (20,0 г, 198 ммоль) в этаноле (400 мл), выдерживали в атмосфере монооксида углерода при 55°С в течение 13 ч. После охлаждения полученный раствор распределяли между насыщенным водным раствором хлорида аммония и этилацетатом, органический слой промывали насыщенным водным раствором хлорида аммония и соляным раствором, сушили (MgSO4) и упаривали, получая указанное в заголовке соединение (16,9 г) в виде твердого вещества желтого цвета, которое использовали без дополнительной очистки. в) (4-Хлор-2-метилхинолин-7-ил)метанол Гидрид диизобутилалюминия (1 М раствор в тетрагидрофуране, 80 мл, 80 ммоль) добавляли по каплям при 0°С к раствору этилового эфира 4-хлор-2-метилхинолин-7-карбоновой кислоты (4,42 г, 17,7 ммоль) в тетрагидрофуране (90 мл), затем после перемешивания в течение 1 ч при 0°С реакцию прекращали, осторожно добавляя метанол (4,5 мл) и 1 М водный раствор виннокислого калия-натрия (135 мл). Двухфазную смесь перемешивали в течение 30 мин, затем экстрагировали дважды этилацетатом. Органические фазы промывали соляным раствором, сушили (MgSO4) и упаривали. Хроматографией (SiO2, гексан/этилацетат, 1:1) получали указанное в заголовке соединение (2,62 г, 71%) в виде беловатого твердого вещества, EI-MC: m/e=207,2 (М+). г) (2-Метил-4-пирролидин-1-илхинолин-7-ил)метанол (4-Хлор-2-метилхинолин-7-ил)метанол (750 мг, 3,61 ммоль) кипятили с обратным холодильником в пирролидине (6,42 г, 90,3 ммоль) в течение 16 ч. Затем большую часть пирролидина удаляли при пониженном давлении, маслянистый остаток растворяли в толуоле, упаривали и полученное твердое вещество растирали в этилацетате, фильтровали и сушили, получая указанное в заголовке соединение (785 мг, 90%) в виде твердого вещества светло-коричневого цвета, ISP-MC: m/e=243,3 ([М+Н]+). Пример 3 (4-Азепан-1-ил-2-метил-хинолин-7-ил)метанол: (4-Хлор-2-метилхинолин-7-ил)метанол (пример 2в, 1,00 г, 4,82 ммоль) выдерживали при 125°С в азепане (8,79 г, 90,3 ммоль) в течение 18 ч. После охлаждения реакционную смесь распределяли между насыщенным водным раствором хлорида аммония и этилацетатом. Органический слой отделяли, промывали соляным раствором, сушили (MgSO4) и упаривали. Хроматографией на SiO2 (этилацетат, затем CH2Cl2/MeOH/NH4OH, 95:5:0.1) получали указанное в заголовке соединение (320 мг, 25%) в виде твердого вещества светло-желтого цвета, ISP-MC: m/e=271,4 ([М+Н]+). Пример 4 3-(4-Азепан-1-ил-2-метилхинолин-7-илметокси)бензонитрил: Указанное в заголовке соединение получали с помощью общего метода, изложенного в примере 20, из (4-хлор-2-метилхинолин-7-ил)метанола (пример 2в), 3-гидроксибензонитрила и азепана. В результате получали твердое вещество светло-желтого цвета, ISP-MC: m/e=372.3 ([М+Н]+). Пример 5 4-(2-Метил-4-пирролидин-1-илхинолин-7-илметокси)бензонитрил: Указанное в заголовке соединение получали с помощью общего метода, изложенного в примере 6, из (2-метил-4-пирролидин-1-илхинолин-7-ил)метанола (пример 2) и 4-фторбензонитрила. В результате получали твердое вещество белого цвета, ISP-MC: m/e=344,3 ([М+Н]+). Пример 6 4-(4-Азепан-1-ил-2-метилхинолин-7-илметокси)бензонитрил: Гидрид натрия (55-65%-ная дисперсия в минеральном масле, 22 мг, 0,55 ммоль) добавляли к смеси, содержащей (4-азепан-1-ил-2-метилхинолин-7-ил-метанол (пример 3, 120 мг, 0,44 ммоль) и 4-фторбензонитрил (54 мг, 0,44 ммоль) в N,N-диметилформамиде (1,5 мл). После выдерживания в течение 2 ч при 50° реакционную смесь распределяли между насыщенным водным раствором хлорида аммония и дихлорметаном. Органический слой отделяли, промывали соляным раствором, сушили (MgSO4) и упаривали. Хроматографией (SiO2, CH2Cl2/MeOH, 95:5) получали указанное в заголовке соединение (144 мг, 87%) в виде твердого вещества светло-желтого цвета, ISP-MC: m/e=372,3 ([М+Н]+). Пример 7 2-Метил-4-пирролидин-1-ил-7-(3-трифторметилфеноксиметил)хинолин: Указанное в заголовке соединение получали с помощью общего метода, изложенного в примере 20, из (4-хлор-2-метилхинолин-7-ил)метанола (пример 2в), 3-трифторметилфенола и пирролидина. В результате получали твердое вещество светло-коричневого цвета, ISP-MC: m/e=387,3 ([М+Н]+). Пример 8 2-Метал-4-пирролидин-1-ил-7-(4-трифторметилфеноксиметил)хинолин: Указанное в заголовке соединение получали с помощью общего метода, изложенного в примере 20, из (4-хлор-2-метилхинолин-7-ил)метанола (пример 2в), 4-трифторметилфенола и пирролидина. В результате получали твердое вещество светло-коричневого цвета, ISP-MC: m/e=387,3 ([М+Н]+). Пример 9 (2-Метил-4-пирролидин-1-илхинолин-7-илметил)-(3-трифторметилфенил)амин: Указанное в заголовке соединение получали с помощью общего метода, изложенного в примере 136, из 4-хлор-2-метилхинолин-7-карбальдегида (пример 13а), 3-трифторметиланилина и пирролидина. В результате получали твердое вещество белого цвета, ISP-MC: m/e=386,3 ([М+Н]+). Пример 10 2-Метил-7-феноксиметил-4-пирролидин-1-илхинолин: Указанное в заголовке соединение получали с помощью общего метода, изложенного в примере 20, из (4-хлор-2-метилхинолин-7-ил)метанола (пример 2в), фенола и пирролидина. В результате получали твердое вещество светло-коричневого цвета, ISP-MC: m/e=344,4 ([М+Н]+). Пример 11 4-Азепан-1-ил-2-метил-7-(3-трифторметилфеноксиметил)хинолин: Указанное в заголовке соединение получали с помощью общего метода, изложенного в примере 20, из (4-хлор-2-метилхинолин-7-ил)метанола (пример 2в), 3-трифторметилфенола и азепана. В результате получали беловатое твердое вещество, ISP-MC: m/e=415,3 ([М+Н]+). Пример 12 7-(3-Метоксифеноксиметил)-2-метил-4-пирролидин-1-илхинолин: Указанное в заголовке соединение получали с помощью общего метода, изложенного в примере 20, из (4-хлор-2-метилхинолин-7-ил)метанола (пример 2в), 3-метоксифенола и пирролидина. В результате получали твердое вещество желтого цвета, ISP-MC: m/e=349,4 ([М+Н]+). Пример 13 4-[(2-Метил-4-пирролидин-1-илхинолин-7-илметил)амино]бензонитрил: а) 4-Хлор-2-метилхинолин-7-карбальдегид: Метод А: Смесь, содержащую (4-хлор-2-метилхинолин-7-ил)метанол (пример 2в, 500 мг, 2,41 ммоль) и диоксид марганца (2,09 г, 24,1 ммоль), кипятили с обратным холодильником в дихлорметане (14 мл) в течение 3,5 ч. После охлаждения нерастворившийся продукт удаляли фильтрацией через подушку из дикалита и фильтрат упаривали, получая указанное в заголовке соединение (403 мг, 81%) в виде твердого вещества белого цвета, ISP-MC: m/e=206,1 ([M+H]+). Метод Б: Гидрид диизобутилалюминия (1 М раствор в дихлорметане, 0,60 мл, 0,60 ммоль) добавляли по каплям к раствору 4-хлор-2-метилхинолин-7-карбонитрила (пример 2а, 100 мг, 0,49 ммоль) в дихлорметане (2 мл) при -20°С. Через 2 ч температуре давали достичь 0°С, затем через 2 ч реакцию прекращали, добавляя 1 М водный раствор виннокислого калия-натрия. Органический слой отделяли, промывали соляным раствором, сушили (MgSO4) и упаривали. Хроматографией (SiO2, гексан/этилацетат, 4:1, а затем дихлорметан/метанол, 19:1) получали указанное в заголовке соединение (40 мг, 39%). б) 4-[(2-Метил-4-пирролидин-1-илхинолин-7-илметил)амино]бензонитрил: Борогидрид натрия (101 мг, 2,68 ммоль) добавляли по каплям при 0°С к смеси, содержащей 4-хлор-2-метилхинолин-7-карбальдегид (101 мг, 0,49 ммоль), 3-трифторметиланилин (72 мг, 0,45 ммоль), сульфат натрия (70 мг, 0,49 ммоль) и ацетат натрия (121 мг, 1,48 ммоль) в этаноле (2 мл) и уксусной кислоте (1 мл). Реакционную смесь перемешивали в течение 2 ч при 0°С и 1 ч при комнатной температуре (КТ), затем сливали на 1 М водный раствор гидроксида натрия и экстрагировали простым эфиром. Органический слой промывали соляным раствором, сушили (MgSO4) и упаривали. Полученный продукт (160 мг) растворяли в пирролидине (0,97 мл, 13,7 ммоль) и выдерживали в течение 16 ч при 80°С. После охлаждения раствор распределяли между этилацетатом и 1 М водным карбонатным буфером (рН 10,3). Органический слой промывали соляным раствором, сушили (MgSO4) и упаривали. Хроматографией (SiO2, гексан/этилацетат, 1:1, затем дихлорметан/метанол, 19:1) получали твердое вещество, которое растирали в простом эфире, фильтровали и сушили, получая указанное в заголовке соединение (58 мг, 33%) в виде твердого вещества белого цвета, ISP-MC: m/e=343,3 ([М+Н]+). Пример 14 7-(2-Метоксифеноксиметил)-2-метил-4-пирролидин-1-илхинолиноксалат: Диизопропилазодикарбоксилат (97 мг, 0,48 моль) добавляли по каплям при КТ к раствору, содержащему (4-хлор-2-метилхинолин-7-ил)метанол (пример 2в, 100 мг, 0,48 ммоль), трифенилфосфин (126 мг, 0,48 ммоль), 2-метоксифенол (60 мг, 0,48 ммоль) в дихлорметане (2,5 мл). После встряхивания в течение 24 ч при КТ растворитель выпаривали и остаток растворяли в пирролидине (1,37 г, 19,2 ммоль) и встряхивали в течение 23 ч при 80°С. После охлаждения реакционную смесь распределяли между насыщенным водным раствором хлорида аммония и дихлорметаном, органический слой промывали соляным раствором, сушили (MgSO4) и упаривали. Хроматографией (SiO2, дихлорметан/метанол, 19:1) получали желтоватое твердое вещество, которое растворяли в этаноле и обрабатывали 20%-ным этанольным раствором щавелевой кислоты. Осадок собирали фильтрацией и сушили, получая указанное в заголовке соединение (90 мг, 43%) в виде беловатого твердого вещества, ISP-MC: m/e=349,4 ([М+Н-С2Н2O4]+). Пример 15 7-(2-Фторфеноксиметил)-2-метил-4-пирролидин-1-илхинолин: Указанное в заголовке соединение получали с помощью общего метода, изложенного в примере 20, из (4-хлор-2-метилхинолин-7-ил)метанола (пример 2в), 2-фторфенола и пирролидина. В результате получали твердое вещество светло-коричневого цвета, ISP-MC: m/e=337,3 ([М+Н]+). Пример 16 7-(3-Фторфеноксиметил)-2-метил-4-пирролидин-1-илхинолиноксалат: Указанное в заголовке соединение получали с помощью общего метода, изложенного в примере 14, из (4-хлор-2-метилхинолин-7-ил)метанола (пример 2в), 3-фторфенола и пирролидина. В результате получали беловатое твердое вещество, ISP-MC: m/e=337,3 ([M+H-C2H2O4]+). Пример 17 2-Метил-4-пирролидин-1-ил-7-о-толилоксиметилхинолиноксалат Указанное в заголовке соединение получали с помощью общего метода, изложенного в примере 14, из (4-хлор-2-метилхинолин-7-ил)метанола (пример 2в), 2-метилфенола и пирролидина. В результате получали беловатое твердое вещество, ISP-MC: m/e=333,3 ([М+Н-С2H2О4]+). Пример 18 2-Метил-4-пирролидин-1-ил-7-м-толилоксиметилхинолиноксалат: Указанное в заголовке соединение получали с помощью общего метода, изложенного в примере 14, из (4-хлор-2-метилхинолин-7-ил)метанола (пример 2в), 3-метилфенола и пирролидина. В результате получали беловатое твердое вещество, ISP-MC: m/e=333,4 ([M+H-C2H2O4]+). Пример 19 2-Метил-4-пирролидин-1-ил-7-п-толилоксиметилхинолиноксалат: Указанное в заголовке соединение получали с помощью общего метода, изложенного в примере 14, из (4-хлор-2-метил-хинолин-7-ил)метанола (пример 2в), 4-метилфенола и пирролидина. В результате получали беловатое твердое вещество, ISP-MC: m/e=333,3 ([М+Н-С2H2O4]+). Пример 20 7-(4-Фторфеноксиметил)-2-метил-4-пирролидин-1-илхинолин: Диизопропилазодикарбоксилат (97 мг, 0,48 ммоль) добавляли по каплям при КТ к раствору, содержащему (4-хлор-2-метилхинолин-7-ил)метанол (пример 2в, 100 мг, 0,48 ммоль), трифенилфосфин (126 мг, 0,48 ммоль) и 4-фторфенол (54 мг, 0,54 ммоль) в дихлорметане (2,5 мл). После встряхивания в течение 24 ч при КТ растворитель выпаривали и остаток растворяли в пирролидине (1,37 г, 19,2 ммоль) и встряхивали в течение 23 ч при 80°С. После охлаждения реакционную смесь распределяли между насыщенным водным раствором хлорида аммония и дихлорметаном, органический слой промывали соляным раствором, сушили (MgSO4) и упаривали. Хроматографией (SiO2, дихлорметан/метанол, 19:1) получали указанное в заголовке соединение (66 мг, 41%) в виде беловатого твердого вещества, ISP-MC: m/e=337 ([М+Н]+). Пример 21 [3-Метокси-4-(2-метил-4-пирролидин-1-илхинолин-7-илметокси)фенил]пирролидин-1-ил-метанон: Указанное в заголовке соединение получали с помощью общего метода, изложенного в примере 20, из (4-хлор-2-метилхинолин-7-ил)метанола (пример 2в), 4-гидрокси-3-метоксибензонитрила и пирролидина. В результате получали твердое вещество светло-коричневого цвета, ISP-MC: m/e=446,3 ([М+Н]+). Пример 22 Амид 2-метил-4-пирролидин-1-илхинолин-7-карбоновой кислоты: а) 7-Йод-2-метил-4-пирролидин-1-илхинолин Суспензию 4-хлор-7-йод-2-метилхинолина (ЕР 497371, 2,00 г, 6,59 ммоль) в этаноле (20 мл) обрабатывали последовательно пирролидином (1,28 г, 18,0 ммоль), пиридином (0,2 мл) и йодидом калия (50 мг, 0,30 ммоль) и образовавшуюся смесь кипятили с обратным холодильником в течение 24 ч. После концентрирования в вакуме остаток растворяли в воде (50 мл) и подщелачивали до рН 12, добавляя 2 М водный раствор гидроксида натрия. Осадок собирали фильтрацией, промывали водой (20 мл) и простым эфиром (20 мл) и сушили, получая указанное в заголовке соединение (1,95 г, 87%) в виде беловатого твердого вещества, tпл 99-102°С. б) 2-Метил-4-пирролидин-1-илхинолин-7-карбонитрил (72-3186) Суспензию, содержащую 7-йод-2-метил-4-пирролидин-1-илхинолин (1,50 г, 4,43 ммоль), цианид калия (578 мг, 8,87 ммоль), тетракис(трифенилфосфин)палладия(0) (256 мг, 0,22 ммоль) и йодид меди (85 мг, 0,44 ммоль) в ацетонитриле (10 мл), кипятили с обратным холодильником в течение 90 мин. После охлаждения смесь разбавляли этилацетатом, фильтровали и фильтрат промывали соляным раствором, сушили (Na2SO4) и упаривали. Хроматографией (SiO2, дихлорметан/метанол, 19:1) получали указанное в заголовке соединение (791 мг, 75%) в виде твердого вещества светло-коричневого цвета, ISP-MC: m/e=238,3 ([М+Н]+). в) Амид 2-метил-4-пирролидин-1-илхинолин-7-карбоновой кислоты Раствор 2-метил-4-пирролидин-1-илхинолин-7-карбонитрила (100 мг, 0,42 моль) в дихлорметане (1 мл) обрабатывали при 0°С 30%-ным водным раствором перекиси водорода (0,5 мл), бисульфатом тетрабутиламмония (29 мг, 84 мкмоль) и 20%-ным водным раствором гидроксида натрия (0,5 мл). После удаления ледяной бани двухфазную смесь перемешивали при КТ в течение 2 ч, затем органический слой отделяли, промывали соляным раствором, сушили (MgSO4) и упаривали. Хроматографией (SiO2, дихлорметан/метанол, 9:1) получали указанное в заголовке соединение (65 мг, 60%) в виде твердого вещества светло-коричневого цвета, ISP-MC m/e=256,1 ([М+Н]+). Пример 23 4-Азепан-1-ил-7-метоксиметил-2-метилхинолин: Указанное в заголовке соединение получали с помощью общего метода, изложенного в примере 25, из (4-азепан-1-ил-2-метилхинолин-7-ил)метанола (пример 3) и йодметана. В результате получали твердое вещество светло-желтого цвета, ISP-MC: m/e=285,3 ([М+Н]+). Пример 24 2-Метил-7-(пиридин-4-илоксиметил)-4-пирролидин-1-илхинолин: Гидрид натрия (55-65%-ная дисперсия в минеральном масле, 40 мг, 1,0 ммоль) добавляли к смеси, содержащей (2-метил-4-пирролидин-1-илхинолин-7-ил)метанол (пример 2, 100 мг, 0,41 ммоль) и гидрохлорид 4-хлорпиридина (62 мг, 0,41 ммоль), и смесь выдерживали при 90°С в течение 18 ч. Затем добавляли вторую порцию гидрида натрия (40 мг) и гидрохлорида 4-хлорпиридина (62 мг) и перемешивание при 90°С продолжали в течение 24 ч. После охлаждения реакционную смесь распределяли между 1 М водным раствором карбоната натрия и этилацетатом. Органический слой отделяли, промывали соляным раствором, сушили (MgSO4) и упаривали. Хроматографией (SiO2, дихлорметан/метанол, 9:1) получали указанное в заголовке соединение (32 мг, 24%) в виде твердого вещества желтого цвета, ISP-MC: m/e=320,4 ([М+Н]+). Пример 25 4-Азепан-1-ил-7-(2-метоксиэтоксиметил)-2-метилхинолин: Гидрид натрия (55-65%-ная дисперсия в минеральном масле, 10 мг, 0,25 ммоль) добавляли к раствору, содержащему (4-азепан-1-ил-2-метилхинолин-7-ил)метанол (пример 3, 50 мг, 0,19 ммоль) и 1-бром-2-метоксиэтан (15 мг, 0,19 ммоль) в N,N-диметилформамиде (2 мл). После выдерживания в течение 22 ч при 50°С добавляли другую порцию гидрида натрия (10 мг) и 1-бром-2-метоксиэтана (15 мг) и перемешивание продолжали в течение 16 ч. Затем реакционную смесь распределяли между 1 М водным раствором карбоната натрия и этилацетатом. Органический слой отделяли, промывали соляным раствором, сушили (MgSO4) и упаривали. Хроматографией (SiO2, дихлорметан/метанол, 9:1) получали указанное в заголовке соединение (20 мг, 33%) в виде масла желтого цвета, ISP-MC: m/e=329,4 ([М+Н]+). Пример 26 7-(4-Метоксифеноксиметил)-2-метал-4-пирролидин-1-илхинолин: Указанное в заголовке соединение получали с помощью общего метода, изложенного в примере 20, из (4-хлор-2-метилхинолин-7-ил)метанола (пример 2в), 4-метоксифенола и пирролидина. В результате получали беловатое твердое вещество, ISP-MC: m/e=349,5 ([М+Н]+). Пример 27 (2-Метил-4-пирролидин-1-илхинолин-7-ил)пирролидин-1-илметанон: (4-Хлор-2-метилхинолин-7-ил)метанол (пример 2, 200 мг, 0,80 ммоль) выдерживали в пирролидине (2 мл) при 70°С в течение 48 ч. После охлаждения реакционную смесь распределяли между насыщенным водным раствором хлорида аммония и дихлорметаном. Органический слой отделяли, сушили (MgSO4) и упаривали. Хроматографией (SiO2, СН2Cl2/МеОН, 19:1) получали указанное в заголовке соединение (134 мг, 54%) в виде твердого вещества светло-желтого цвета, ISP-MC: m/e=310,3 ([М+Н]+). Пример 28 (4-Цианфенил)амид 2-метил-4-пирролидин-1-илхинолин-7-карбоновой кислоты: Суспензию, содержащую амид 2-метил-4-пирролидин-1-илхинолин-7-карбоновой кислоты (50 мг, 0,20 ммоль), 4-йодбензонитрил (45 мг, 0,20 ммоль), ксантфос (6,8 мг, 12 мкмоль), карбонат цезия (89 мг, 0,27 ммоль) и ацетат палладия (II) (1,8 мг, 8 мкмоль) в 1,4-диоксане (0,5 мл), перемешивали в атмосфере аргона при 50°С в течение 22 ч, затем реакционную смесь распределяли между насыщенным водным раствором бикарбоната натрия и дихлорметаном. Органический слой отделяли, промывали соляным раствором, сушили (MgSO4) и упаривали. Хроматографией (SiO2, дихлорметан/метанол, 19:1) получали указанное в заголовке соединение (18 мг, 26%) в виде твердого вещества светло-желтого цвета, ISP-MC: m/e=357,3 ([М+Н]+). Пример 29 2-Метил-4-пирролидин-1-ил-7-пирролидин-1-илметилхинолин: Алюмогидрид лития (20 мг, 0,52 ммоль) добавляли к раствору (2-метил-4-пирролидин-1-илхинолин-7-ил)пирролидин-1-илметанона (пример 27, 80 мг, 0,26 ммоль) в тетрагидрофуране (1 мл) и реакционную смесь перемешивали при комнатной температуре в течение 3 ч, затем добавляли 1 М водный раствор виннокислого калия-натрия (10 мл) и этилацетат (10 мл). Через 15 мин органический слой отделяли, промывали соляным раствором, сушили (MgSO4) и упаривали. Хроматографией (SiO2, дихлорметан/метанол, 9:1) получали указанное в заголовке соединение (31 мг, 41%) в виде беловатого твердого вещества, ISP-MC: m/e=337,3 ([М+Н]+). Пример 30 Бутиламид 2-метил-4-пирролидин-1-илхинолин-7-карбоновой кислоты: (4-Хлор-2-метилхинолин-7-ил)метанол (пример 2, 200 мг, 0,80 ммоль) кипятили с обратным холодильником в бутиламине (2 мл) в течение 6 ч. После охлаждения реакционную смесь распределяли между насыщенным водным раствором хлорида аммония и дихлорметаном. Органический слой отделяли, сушили (MgSO4), и упаривали. Остаток хроматографировали (SiO2, CH2Cl2/MeOH, 19:1), получая масло желтого цвета, которое выдерживали в пирролидине (2 мл) при 70°С в течение 16 ч. После охлаждения реакционную смесь распределяли между насыщенным водным раствором хлорида аммония и дихлорметаном. Органический слой отделяли, сушили (MgSO4) и упаривали. Хроматографией (SiO2, дихлорметан/метанол, 19:1) получали указанное в заголовке соединение (108 мг, 43%) в виде твердого вещества белого цвета, ISP-MC: m/e=312,3 ([М+Н]+). Пример 31 2-(2-Метил-4-пирролидин-1-илхинолин-7-илметокси)бензонитрил: Указанное в заголовке соединение получали с помощью общего метода, изложенного в примере 6, из (2-метил-4-пирролидин-1-илхинолин-7-ил)метанола (пример 2) и 2-фторбензонитрила. В результате получали твердое вещество белого цвета, ISP-MC: m/e=344,4 ([М+Н]+). Пример 32 2-Хлор-4-(2-метил-4-пирролидин-1-илхинолин-7-илметокси)бензонитрил: Указанное в заголовке соединение получали с помощью общего метода, изложенного в примере 6, из (2-метил-4-пирролидин-1-илхинолин-7-ил)метанола (пример 2) и 2-хлор-4-фторбензонитрила. В результате получали твердое вещество светло-желтого цвета, ISP-MC: m/e=378,3 ([М+Н]+). Пример 33 4-(2-Метил-4-пирролидин-1-илхинолин-7-илметокси)-2-трифторметилбензонитрил: Указанное в заголовке соединение получали с помощью общего метода, изложенного в примере 6, из (2-метил-4-пирролидин-1-илхинолин-7-ил)метанола (пример 2) и 4-фтор-2-трифторметилбензонитрила. В результате получали твердое вещество белого цвета, ISP-MC: m/e=412,3 ([М+Н]+). Пример 34 Бутил(2-метил-4-пирролидин-1-илхинолин-7-илметил)амин: Указанное в заголовке соединение получали с помощью общего метода, изложенного в примере 29, из бутиламида 2-метил-4-пирролидин-1-илхинолин-7-карбоновой кислоты (пример 30). В результате получали масло желтого цвета, ISP-MC: m/e=298,4 ([М+Н]+). Пример 35 Смесь 2-фтор-4-(2-метил-4-пирролидин-1-илхинолин-7-илметокси)бензонитрила и 4-фтор-2-(2-метил-4-пирролидин-1-илхинолин-7-илметокси)бензонитрил (1:1): Указанные в заголовке соединения получали с помощью общего метода, изложенного в примере 6, из (2-метил-4-пирролидин-1-илхинолин-7-ил)метанола (пример 2) и 2,4-дифторбензонитрила. В результате получали твердое вещество желтого цвета, ISP-MC: m/e=362,2 ([М+Н]+). Полученные соединения можно разделять с помощью общепринятых методов, таких, например, как хроматография. Пример 36 3-Фтор-4-(2-метил-4-пирролидин-1-илхинолин-7-илметокси)бензонитрил: Указанное в заголовке соединение получали с помощью общего метода, изложенного в примере 6, из (2-метил-4-пирролидин-1-илхинолин-7-ил)метанола (пример 2) и 3,4-дифторбензонитрила. В результате получали твердое вещество светло-желтого цвета, ISP-MC: m/e=362,3 ([М+Н]+). Пример 37 3-Хлор-4-(2-метал-4-пирролидин-1-илхинолин-7-илметокси)бензонитрил: Указанное в заголовке соединение получали с помощью общего метода, изложенного в примере 6, из (2-метил-4-пирролидин-1-илхинолин-7-ил)метанола (пример 2) и 3-хлор-4-фторбензонитрила. В результате получали твердое вещество светло-желтого цвета, ISP-MC: m/e=378,3 ([М+Н]+). Пример 38 4-(2-Метил-4-пирролидин-1-илхинолин-7-илметокси)фталонитрил: Указанное в заголовке соединение получали с помощью общего метода, изложенного в примере 6, из (2-метил-4-пирролидин-1-илхинолин-7-ил)метанола (пример 2) и 4-фторфталонитрила. В результате получали твердое вещество светло-желтого цвета, ISP-MC: m/e=369,3 ([М+Н]+). Пример 39 5-Бром-2-(2-метил-4-пирролидин-1-илхинолин-7-илметокси)бензонитрил: Указанное в заголовке соединение получали с помощью общего метода, изложенного в примере 6, из (2-метил-4-пирролидин-1-илхинолин-7-ил)метанола (пример 2) и 5-бром-2-фторбензонитрила. В результате получали твердое вещество светло-желтого цвета, ISP-MC: m/e=422,3, 424,3 ([М+Н]+). Пример 40 4-(2-Метил-4-пирролидин-1-илхинолин-7-илметокси)-2-нитробензонитрил: Указанное в заголовке соединение получали с помощью общего метода, изложенного в примере 6, из (2-метил-4-пирролидин-1-илхинолин-7-ил)метанола (пример 2) и 4-фтор-2-нитробензонитрила. В результате получали твердое вещество желтого цвета, ISP-MC: m/e=389,3 ([М+Н]+). Пример 41 5-Фтор-2-(2-метил-4-пирролидин-1-илхинолин-7-илметокси)бензонитрил: Указанное в заголовке соединение получали с помощью общего метода, изложенного в примере 6, из (2-метил-4-пирролидин-1-илхинолин-7-ил)метанола (пример 2) и 2,5-дифторбензонитрила. В результате получали твердое вещество светло-желтого цвета, ISP-MC: m/e=362,3 ([М+Н]+). Пример 42 2-Хлор-6-(2-метил-4-пирролидин-1-илхинолин-7-илметокси)бензонитрил: Указанное в заголовке соединение получали с помощью общего метода, изложенного в примере 6, из (2-метил-4-пирролидин-1-илхинолин-7-ил)метанола (пример 2) и 2-хлор-6-фторбензонитрила. В результате получали твердое вещество светло-желтого цвета, ISP-MC: m/e=378,4 ([М+Н]+). Пример 43 3-Фтор-2-(2-метил-4-пирролидин-1-илхинолин-7-илметокси)бензонитрил: Указанное в заголовке соединение получали с помощью общего метода, изложенного в примере 6, из (2-метил-4-пирролидин-1-илхинолин-7-ил)метанола (пример 2) и 2,3-дифторбензонитрила. В результате получали твердое вещество светло-желтого цвета, ISP-MC: m/e=362,3 ([М+Н]+). Пример 44 2-Йод-6-(2-метил-4-пирролидин-1-илхинолин-7-илметокси)бензонитрил: Указанное в заголовке соединение получали с помощью общего метода, изложенного в примере 6, из (2-метил-4-пирролидин-1-илхинолин-7-ил)метанола (пример 2) и 2-фтор-6-йодбензонитрила. В результате получали твердое вещество светло-желтого цвета, ISP-MC: m/e=470,2 ([М+Н]+). Пример 45 4-(2-Метил-4-пирролидин-1-илхинолин-7-илметокси)-3-трифторметилбензонитрил: Указанное в заголовке соединение получали с помощью общего метода, изложенного в примере 6, из (2-метил-4-пирролидин-1-илхинолин-7-ил)метанола (пример 2) и 4-фтор-3-трифторметилбензонитрила. В результате получали твердое вещество светло-желтого цвета, ISP-MC: m/e=412,4 ([М+Н]+). Пример 46 2-(2-Метил-4-пирролидин-1-илхинолин-7-илметокси)-6-трифторметилбензонитрил: Указанное в заголовке соединение получали с помощью общего метода, изложенного в примере 6, из (2-метил-4-пирролидин-1-илхинолин-7-ил)метанола (пример 2) и 2-фтор-6-трифторметилбензонитрила. В результате получали твердое вещество светло-желтого цвета, ISP-MC: m/e=412,4 ([М+Н]+). Пример 47 2-(2-Метил-4-пирролидин-1-илхинолин-7-илмегокси)-5-трифторметилбензонитрил: Указанное в заголовке соединение получали с помощью общего метода, изложенного в примере 6, из (2-метил-4-пирролидин-1-илхинолин-7-ил)метанола (пример 2) и 2-фтор-5-трифторметилбензонитрила. В результате получали твердое вещество светло-желтого цвета, ISP-MC: m/e=412,4 ([М+Н]+). Пример 48 3,5-Дифтор-2-(2-метил-4-пирролидин-1-илхинолин-7-илметокси)бензонитрил: Указанное в заголовке соединение получали с помощью общего метода, изложенного в примере 6, из (2-метил-4-пирролидин-1-илхинолин-7-ил)метанола (пример 2) и 2,3,5-трифторбензонитрила. В результате получали твердое вещество светло-желтого цвета, ISP-MC: m/e=380,4 ([М+Н]+). Пример 49 5-Метил-2-(2-метил-4-пирролидин-1-илхинолин-7-илметокси)бензонитрил: Указанное в заголовке соединение получали с помощью общего метода, изложенного в примере 6, из (2-метил-4-пирролидин-1-илхинолин-7-ил)метанола (пример 2) и 2-фтор-5-метилбензонитрила. В результате получали твердое вещество светло-желтого цвета, ISP-MC: m/e=358,4 ([М+Н]+). Пример 50 4-Бром-2-(2-метил-4-пирролидин-1-илхинолин-7-илметокси)бензонитрил: Указанное в заголовке соединение получали с помощью общего метода, изложенного в примере 6, из (2-метил-4-пирролидин-1-илхинолин-7-ил)метанола (пример 2) и 4-бром-2-фторбензонитрила. В результате получали твердое вещество светло-желтого цвета, ISP-MC: m/e=422,4, 424,4 ([М+Н]+). Пример 51 4-Хлор-2-(2-метил-4-пирролидин-1-илхинолин-7-илметокси)бензонитрил: Указанное в заголовке соединение получали с помощью общего метода, изложенного в примере 6, из (2-метил-4-пирролидин-1-илхинолин-7-ил)метанола (пример 2) и 4-хлор-2-фторбензонитрила. В результате получали твердое вещество светло-желтого цвета, ISP-MC: m/e=378,4 ([М+Н]+). Пример 52 3-Фтор-2-(2-метил-4-пирролидин-1-илхинолин-7-илметокси)-4-трифторметилбензонитрил: Указанное в заголовке соединение получали с помощью общего метода, изложенного в примере 6, из (2-метил-4-пирролидин-1-илхинолин-7-ил)метанола (пример 2) и 2,3-дифтор-4-трифторметилбензонитрила. В результате получали твердое вещество светло-желтого цвета, ISP-MC: m/e=430,6 ([М+Н]+). Пример 53 5-Хлор-2-(2-метил-4-пирролидин-1-илхинолин-7-илметокси)бензонитрил: Указанное в заголовке соединение получали с помощью общего метода, изложенного в примере 6, из (2-метил-4-пирролидин-1-илхинолин-7-ил)метанола (пример 2) и 5-хлор-2-фторбензонитрила. В результате получали твердое вещество светло-желтого цвета, ISP-MC: m/e=378,4 ([М+Н]+). Пример 54 4-[2-Метил-4-(4-метилпиперазин-1-ил)хинолин-7-илметокси]бензонитрил: а) 4-(4-Хлор-2-метилхинолин-7-илметокси)бензонитрил Гидрид натрия (55-65%-ную дисперсию в минеральном масле, 220 мг, 5,50 ммоль) добавляли к раствору, содержащему (4-хлор-2-метил-хинолин-7-ил)метанол (пример 2в, 1,10 г, 5,30 ммоль) и 4-фторбензонитрил (642 мг, 5,30 ммоль) в N,N-диметилформамиде (20 мл), и образовавшуюся смесь перемешивали при 50°С в течение 3 ч. После охлаждения смесь распределяли между насыщенным водным раствором хлорида аммония и дихлорметаном, органический слой отделяли, промывали соляным раствором, сушили (MgSO4) и упаривали. Хроматографией (SiO2, дихлорметан/метанол, 19:1) получали указанное в заголовке соединение (1,28 g, 78%) в виде твердого вещества желтого цвета, ISP-MC: m/e=309,3 ([М+Н]+). б) 4-[2-Метил-4-(4-метилпиперазин-1-ил)хинолин-7-илметокси]бензонитрил Раствор, содержащий 4-(4-хлор-2-метилхинолин-7-илметокси)бензонитрил (100 мг, 0,32 ммоль) и 1-метилпиперазин (81 мг, 0,81 ммоль) в 1-метилпирролидин-2-оне (1,5 мл), перемешивали при 100°С в течение 24 ч. После охлаждения реакционную смесь распределяли между насыщенным водным раствором бикарбоната натрия и дихлорметаном, органический слой отделяли, промывали соляным раствором, сушили (MgSO4) и упаривали. Хроматографией (SiO2, дихлорметан/метанол, 19:1) получали указанное в заголовке соединение (80 мг, 66%) в виде масла светло-желтого цвета, ISP-MC: m/e=373,5 ([М+Н]+). Пример 55 2-(2-Метил-4-пирролидин-1-илхинолин-7-илметокси)-4-трифторметилбензонитрил: Указанное в заголовке соединение получали с помощью общего метода, изложенного в примере 6, из (2-метил-4-пирролидин-1-илхинолин-7-ил)метанола (пример 2) и 2-фтор-4-трифторметилбензонитрила. В результате получали твердое вещество белого цвета, ISP-MC: m/e=412,4 ([М+Н]+). Пример 56 4-(2-Метил-4-пиперидин-1-илхинолин-7-илметокси)бензонитрил: Раствор 4-(4-хлор-2-метилхинолин-7-илметокси)бензонитрила (пример 54а, 100 мг, 0,32 ммоль) в пиперидине (1 мл) выдерживали при 100°С в течение 21ч. После охлаждения реакционную смесь распределяли между насыщенным водным раствором бикарбоната натрия и дихлорметаном, органический слой отделяли, промывали соляным раствором, сушили (MgSO4) и упаривали. Хроматографией (SiO2, дихлорметан/метанол, 19:1) получали указанное в заголовке соединение (40 мг, 32%) в виде смолы светло-желтого цвета, ISP-MC: m/e=358,4 ([М+Н]+). Пример 57 (S)-4-[4-(3-диметиламинопирролидин-1-ил)-2-метилхинолин-7-илметокси]бензонитрил: Указанное в заголовке соединение получали с помощью общего метода, изложенного в пример 54б, из 4-(4-хлор-2-метилхинолин-7-илметокси)бензонитрила (пример 54а) и (S)-3-(диметиламино)пирролидина. В результате получали твердое вещество коричневого цвета, ISP-MC: m/e=387,4 ([М+Н]+). Пример 58 4-[2-Метил-4-(4-метил-[1,4]диазепан-1-ил)хинолин-7-илметокси]бензонитрил: Указанное в заголовке соединение получали с помощью общего метода, изложенного в пример 54б, из 4-(4-хлор-2-метилхинолин-7-илметокси)бензонитрила (пример 54а) и 1-метилгомопиперазина. В результате получали твердое вещество желтого цвета, ISP-MC: m/e=387,4 ([М+Н]+). Пример 59 (2,6-Диметил-4-пирролидин-1-илхинолин-7-ил)метанол: а) 4-Хлор-7-йод-2,6-диметилхинолин Суспензию, содержащую 3-йод-4-метиланилин (50,0 г, 215 ммоль) и моногидрат толуол-4-сульфоновой кислоты (430 мг, 2,15 ммоль), кипятили с обратным холодильником в течение 2 ч в циклогексане (100 мл), позволяя образующейся воде собираться с помощью ловушки Дина-Старка (Dean-Stark), затем после охлаждения нерастворившийся продукт удаляли фильтрацией и фильтрат упаривали. Остаток растворяли в Dowtherm® A (25 мл) и добавляли по каплям к горячему (температура примерно 250°С) Dowtherm® А, Через 15 мин реакционной смеси давали охладиться до комнатной температуры, затем добавляли гептан (150 мл) и осадок собирали фильтрацией. Этот продукт растирали в этилацетате, получая смесь (1:1) 7-йод-2,6-метил-1Н-хинолин-4-она и 5-йод-2,6-диметил-1Н-хинолин-4-она (46,4 г). Хлорирование этих изомерных хинолонов осуществляли с помощью общего метода, изложенного в примере 88 г. Осуществляли перекристаллизацию смеси продуктов (4-хлор-7-йод-2,6-диметилхинолина и 4-хлор-5-йод-2,6-диметилхинолина) в гексане/этилацетате, 9:1 (150 мл), получая указанное в заголовке соединение (7,55 г, 11%) в виде твердого вещества светло-коричневого цвета, ISP-MC: m/e=318,1 ([М+Н]+). б) Этиловый эфир 4-хлор-2,6-диметилхинолин-7-карбоновой кислоты Указанное в заголовке соединение получали с помощью общего метода, изложенного в примере 26 (метод Б) из 4-хлор-7-йод-2,6-диметилхинолина. В результате получали твердое вещество белого цвета, ISP-MC: m/e=264,3 ([М+Н]+). в) (4-Хлор-2,6-диметилхинолин-7-ил)метанол Указанное в заголовке соединение получали с помощью общего метода, изложенного в пример 2в, из этилового эфира 4-хлор-2,6-диметилхинолин-7-карбоновой кислоты. В результате получали твердое вещество белого цвета, ISP-МС: m/е=222, ([М+Н]+). г) (2,6-Диметил-4-пирролидин-1-илхинолин-7-ил)метанол Указанное в заголовке соединение получали с помощью общего метода, изложенного в пример 2 г, из (4-хлор-2,6-диметилхинолин-7-ил)метанола и пирролидина. В результате получали твердое вещество белого цвета, ISP-MC: m/е=257,2 ([М+Н]+). Пример 60 4-(2,6-Диметил-4-пирролидин-1-илхинолин-7-илметокси)бензонитрил: Указанное в заголовке соединение получали с помощью общего метода, изложенного в примере 6, из (2,6-диметил-4-пирролидин-1-илхинолин-7-ил)метанола (пример 59) и 4-фторбензонитрила. В результате получали твердое вещество белого цвета, ISP-MC: m/е=358,3 ([М+Н]+). Пример 61 2-(2,6-Диметил-4-пирролидин-1-илхинолин-7-илметокси)бензонитрил: Указанное в заголовке соединение получали с помощью общего метода, изложенного в примере 6, из (2,6-диметил-4-пирролидин-1-илхинолин-7-ил)метанола (пример 59) и 2-фторбензонитрила. В результате получали пену желтого цвета, ISP-MC: m/е=358,3 ([М+Н]+). Пример 62 {2-Метил-4-[(S)-2-(тетрагидропиран-2-илоксиметал)пирролидин-1-ил]хинолин-7-ил} метанол: а) Бензиловый эфир (S)-2-(тетрагидропиран-2-илоксиметил)пирролидин-l-карбоновой кислоты Раствор L-пролинола (1,00 г, 4,94 ммоль) в N,N-диметилформамиде (5 мл) охлаждали до 0°С и обрабатывали бикарбонатом натрия (831 мг, 9,87 ммоль) и бензилхлорформиатом (843 мг, 4,94 ммоль). После удаления ледяной бани реакционную смесь перемешивали в течение 1 ч при КТ, затем сливали на лед и экстрагировали этилацетатом. Органический слой промывали соляным раствором, сушили (MgSO4) и упаривали. Остаток растворяли в дихлорметане (5 мл), обрабатывали 3,4-дигидро-2Н-пираном (1,25 г, 14,8 ммоль) и толуол-4-сульфонатом пиридиния (1,37 г, 5,43 ммоль) и перемешивали в течение 48 ч при КТ, затем упаривали. Остаток распределяли между этилацетатом и водой, органический слой промывали соляным раствором, сушили (MgSO4) и упаривали. Хроматографией (SiO2, гексан/этилацетат, 3:1) получали указанное в заголовке соединение (451 мг, 29%) в виде бесцветной жидкости, ISP-MC: m/e=320,4 ([М+Н]+). б) (S)-2-(Тетрагидропиран-2-илоксиметил)пирролидин Бензиловый эфир (S)-2-(тетрагидропиран-2-илоксиметил)пирролидин-1-карбоновой кислоты (445 мг, 1,39 ммоль) растворяли в этаноле (9 мл) и гидрировали при атмосферном давлении и комнатной температуре в присутствии 10%-ного палладия на древесном угле (10 мг). Через 16 ч реакционную смесь пропускали через фильтр и упаривали, получая указанное в заголовке соединение (255 мг, 99%), в виде жидкости черного цвета, ISP-MC: m/e=186,3 ([М+Н]+), которое использовали без дополнительной очистки. в) {2-Метил-4-[(S)-2-(тетрагидропиран-2-илоксиметил)пирролидин-1-ил]хинолин-7-ил}метанол Указанное в заголовке соединение получали с помощью общего метода, изложенного в примере 54б, из (4-хлор-2-метилхинолин-7-ил)метанола (пример 2в) и (S)-2-(тетрагидропиран-2-илоксиметил)пирролидина. В результате получали смолу оранжевого цвета, ISP-MC: m/e=357,3 ([М+Н]+). Пример 63 4-[(2-Метил-4-пирролидин-1-илхинолин-7-илметил)амино]-2-трифторметилбензонитрил: а) 4-[(4-Хлор-2-метилхинолин-7-илметил)амино]-2-трифторметилбензонитрил (RO 4461847-000-001) К раствору 4-хлор-2-метилхинолин-7-карбальдегида (пример 13а, 180 мг, 0,875 ммоль) в этаноле (3 мл) добавляли 4-амино-2-трифторметилбензонитрил (163 мг, 0,875 ммоль), 25%-ный водный раствор соляной кислоты (1,5 мл) и борогидрид натрия (207 мг, 5,25 ммоль). Реакционную смесь перемешивали в течение 16 ч при КТ, затем распределяли между этилацетатом и 1 М водным раствором гидроксида натрия. Органический слой промывали соляным раствором, сушили (MgSO4) и упаривали. С помощью экспресс-хроматографии (SiO2, гексан/этилацетат, 1:1) получали указанное в заголовке соединение (123 мг, 37%) в виде беловатого твердого вещества, ISP-MC: m/e=376,3 ([М+Н]+). б) 4-[(2-Метил-4-пирролидин-1-илхинолин-7-илметал)амино]-2-трифторметилбензонитрил Указанное в заголовке соединение получали с помощью общего метода, изложенного в примере 56, из 4-[(4-хлор-2-метилхинолин-7-илметил)амино]-2-трифторметилбензонитрила и пирролидина. В результате получали пену белого цвета, ISP-MC: m/e=411,3 ([М+Н]+). Пример 64 (S)-[1-(7-Гидроксиметил-2-метилхинолин-4-у1)пирролидин-2-у1]метанол Раствор, содержащий {2-метил-4-[(S)-2-(тетрагидропиран-2-илоксиметил)пирролидин-1-ил]хинолин-7-ил}метанол (50 мг, 0,14 ммоль) и толуол-4-сульфонат пиридиния (39 мг, 0,15 ммоль) в этаноле (1 мл), перемешивали при 55°С в течение 72 ч, затем распределяли между этилацетатом и 1 М водным раствором гидроксида натрия. Органический слой промывали соляным раствором, сушили (MgSO4) и упаривали. С помощью экспресс-хроматографии (SiO2, CH2Cl2/MeOH/NH4OH, 90:10:0.1) получали указанное в заголовке соединение (25 мг, 65%) в виде смолы желтого цвета, ISP-MC: m/e=273,3 ([M+H]+). Пример 65 (S)-4-[4-(2-Гидроксиметилпирролидин-1-ил)-2-метилхинолин-7-илметокси]бензонитрил Указанное в заголовке соединение получали с помощью общего метода, изложенного в примере 54б, из 4-(4-хлор-2-метилхинолин-7-илметокси)бензонитрила (пример 54а) и L-пролинола. В результате получали пену светло-желтого цвета ISP-MC: m/e=374,5 ([М+Н]+). Пример 66 (S)-4-[4-(2-Гидроксиметилпирролидин-1-ил)-2-метилхинолин-7-илметокси]-2-трифторметилбензонитрил а) 4-(4-Хлор-2-метилхинолин-7-илметокси)-2-трифторметилбензонитрил Указанное в заголовке соединение получали с помощью общего метода, изложенного в пример 54а, из (4-хлор-2-метилхинолин-7-ил)метанола (пример 2в) и 4-фтор-2-трифторметилбензонитрила. В результате получали беловатое твердое вещество, ISP-MC: m/e=377,3 ([М+Н]+). б) (S)-4-[4-(2-Гидроксиметилпирролидин-1-ил)-2-метилхинолин-7-илметокси]-2-трифторметилбензонитрил Указанное в заголовке соединение получали с помощью общего метода, изложенного в примере 54б, из 4-(4-хлор-2-метилхинолин-7-илметокси)-2-трифторметилбензонитрила и L-пролинола. В результате получали твердое вещество светло-желтого цвета, ISP-MC: m/e=442,4 ([М+Н]+). Пример 67 (S)-4-[4-(2-Гидроксиметилпирролидин-1-ил)-2-метилхинолин-7-илметокси]-3-трифторметилбензонитрил а) 4-(4-Хлор-2-метилхинолин-7-илметокси)-3-трифторметилбензонитрил Указанное в заголовке соединение получали с помощью общего метода, изложенного в пример 54а, из (4-хлор-2-метилхинолин-7-ил)метанола (пример 2в) и 4-фтор-3-трифторметилбензонитрила. В результате получали беловатое твердое вещество, ISP-MC: m/e=377,3 ([М+Н]+). б) (S)-4-[4-(2-Гидроксиметилпирролидин-1-ил)-2-метилхинолин-7-илметокси]-3-трифторметилбензонитрил Указанное в заголовке соединение получали с помощью общего метода, изложенного в примере 54б, из 4-(4-хлор-2-метилхинолин-7-илметокси)-3-трифторметилбензонитрила и L-пролинола. В результате получали твердое вещество светло-желтого цвета, ISP-MC: m/e=442,4 ([М+Н]+). Пример 68 (S)-4-[4-(2-Гидроксиметилпирролидин-1-ил)-2-метилхинолин-7-илметокси]фталонитрил а) 4-(4-Хлор-2-метилхинолин-7-илметокси)фталонитрил Указанное в заголовке соединение получали с помощью общего метода, изложенного в примере 54а, из (4-хлор-2-метилхинолин-7-ил)метанола (пример 2в) и 4-фторфталонитрила. В результате получали пену белого цвета, ISP-MC: m/e=334,2 ([М+Н]+). б) (S)-4-[4-(2-Гидроксиметилпирролидин-1-ил)-2-метилхинолин-7-илметокси]фталонитрил Указанное в заголовке соединение получали с помощью общего метода, изложенного в примере 54б, из 4-(4-хлор-2-метилхинолин-7-илметокси)фталонитрила и L-пролинола. В результате получали твердое вещество белого цвета, ISP-MC: m/e=399,5 ([М+Н]+). Пример 69 (S)-2-[4-(2-Гидроксиметилпирролидин-1-ил)-2-метилхинолин-7-илметокси]бензонитрил а) 2-(4-Хлор-2-метилхинолин-7-илметокси)бензонитрил Указанное в заголовке соединение получали с помощью общего метода, изложенного в примере 54а, из (4-хлор-2-метилхинолин-7-ил)метанола (пример 2в) и 2-фторбензонитрила. В результате получали твердое вещество светло-желтого цвета, ISP-MC: m/e=309,2 ([М+Н]+). б) (S)-2-[4-(2-Гидроксиметилпирролидин-1-ил)-2-метилхинолин-7-илметокси]бензонитрил Указанное в заголовке соединение получали с помощью общего метода, изложенного в примере 54б, из 2-(4-хлор-2-метилхинолин-7-илметокси)бензонитрила и L-пролинола. В результате получали твердое вещество светло-желтого цвета, ISP-MC: m/e=374,4 ([М+Н]+). Пример 70 4-(2,6-Диметил-4-пирролидин-1-илхинолин-7-илметокси)-2-трифторметилбензонитрил Указанное в заголовке соединение получали с помощью общего метода, изложенного в примере 6, из (2,6-диметил-4-пирролидин-1-илхинолин-7-ил)метанола (пример 59) и 4-фтор-2-трифторметилбензонитрила. В результате получали твердое вещество белого цвета, ISP-MC: m/e=426,4 ([М+Н]+). Пример 71 4-(2,6-Диметил-4-пирролидин-1-илхинолин-7-илметокси)-3-трифторметилбензонитрил Указанное в заголовке соединение получали с помощью общего метода, изложенного в примере 6, из (2,6-диметил-4-пирролидин-1-илхинолин-7-ил)метанола (пример 59в) и 4-фтор-3-трифторметилбензонитрила. В результате получали твердое вещество светло-желтого цвета, ISP-MC: m/e=426,4 ([М+Н]+). Пример 72 (S)-[4-(2-Метоксиметилпирролидин-1-ил)-2,6-диметилхинолин-7-ил]метанол Указанное в заголовке соединение получали с помощью общего метода, изложенного в примере 54б, из (4-хлор-2,6-диметилхинолин-7-ил)метанола (пример 59в) и (S)-2-(метоксиметил)пирролидина. В результате получали пену белого цвета, ISP-MC: m/e=301,4 ([М+Н]+). Пример 73 (R)-[4-(2-Метоксиметилпирролидин-1-ил)-2,6-диметилхинолин-7-ил]метанол Указанное в заголовке соединение получали с помощью общего метода, изложенного в примере 54б, из (4-хлор-2,6-диметилхинолин-7-ил)метанола (пример 59в) и (R)-2-(метоксиметил)пирролидина. В результате получали пену белого цвета, ISP-MC: m/e=301,3 ([М+Н]+). Пример 74 Гидрохлорид (S)-4-[4-(2-метоксиметилпирролидин-1-ил)-2,6-диметилхинолин-7-илметокси]бензонитрила Указанное в заголовке соединение получали с помощью общего метода, изложенного в примере 6, из (S)-[4-(2-метоксиметилпирролидин-1-ил)-2,6-диметилхинолин-7-ил]метанола (пример 72) и 4-фторбензонитрила и выделяли в виде гидрохлорида. В результате получали твердое вещество белого цвета, ISP-MC: m/e=402,5 ([M-Cl]+). Пример 75 Гидрохлорид (R)-4-[4-(2-метоксиметилпирролидин-1-ил)-2,6-диметилхинолин-7-илметокси]бензонитрила Указанное в заголовке соединение получали с помощью общего метода, изложенного в примере 6, из (R)-[4-(2-метоксиметилпирролидин-1-ил)-2,6-диметилхинолин-7-ил]метанола (пример 73) и 4-фторбензонитрила и выделяли в виде гидрохлорида. В результате получали твердое вещество белого цвета, ISP-MC: m/e=402,5 ([M-Cl]+). Пример 76 Гидрохлорид (S)-[4-(3-этоксипирролидин-1-ил)-2,6-диметилхинолин-7-ил]метанола Указанное в заголовке соединение получали с помощью общего метода, изложенного в примере 54б, из (4-хлор-2,6-диметилхинолин-7-ил)метанола (пример 59в) и (S)-3-этоксипирролидина (ЕР 496274) и выделяли в виде гидрохлорида. В результате получали пену белого цвета, ISP-MC: m/e=301,4 ([М-Cl]+). Пример 77 Гидрохлорид (S)-4-[4-(3-этоксипирролидин-1-ил)-2,6-диметилхинолин-7-илметокси]бензонитрила Указанное в заголовке соединение получали с помощью общего метода, изложенного в примере 6, из гидрохлорида (S)-[4-(3-этоксипирролидин-1-ил)-2,6-диметилхинолин-7-ил]метанола (пример 76) и 4-фторбензонитрила и выделяли в виде гидрохлорида. В результате получали твердое вещество белого цвета, ISP-MC: m/e=402,5 ([M-Cl]+). Пример 78 (4-Азепан-1-ил-2,6-диметилхинолин-7-ил)метанол Указанное в заголовке соединение получали с помощью общего метода, изложенного в примере 3, из (4-хлор-2,6-диметилхинолин-7-ил)метанола (пример 59в) и азепана. В результате получали пену светло-коричневого цвета, ISP-MC: m/e=285,3 ([М+Н]+). Пример 79 Формиат 4-[(2,6-диметил-4-пирролидин-1-илхинолин-7-илметил)амино]-2-трифторметилбензонитрила а) 2,6-Диметил-4-пирролидин-1-илхинолин-7-карбальдегид Смесь, содержащую (2,6-диметил-4-пирролидин-1-илхинолин-7-ил)метанол (пример 59, 140 мг, 0,585 ммоль) и диоксид марганца (509 мг, 5,85 ммоль), перемешивали в дихлорметане (3 мл) при КТ в течение 16 ч, затем нерастворившийся продукт удаляли фильтрацией через подушку из декалита и фильтрат упаривали, получая указанное в заголовке соединение (122 мг, 82%) в виде твердого вещества желтого цвета, ISP-MC: m/e=255,2 ([М+Н]+). б) Формиат 4-[(2,6-диметил-4-пирролидин-1-илхинолин-7-илметил)амино]-2-трифторметилбензонитрила Указанное в заголовке соединение получали с помощью общего метода, изложенного в пример 63а, из 2,6-диметил-4-пирролидин-1-илхинолин-7-карбальдегида и 4-амино-2-трифторметилбензонитрила и выделяли в виде формиата. В результате получали твердое вещество белого цвета, ISP-MC: m/e=425,4 ([M-HCOO]+). Пример 80 (S)-1-(7-Гидроксиметил-2,6-диметилхинолин-4-ил)пирролидин-3-ол Указанное в заголовке соединение получали с помощью общего метода, изложенного в пример 54б, из (4-хлор-2,6-диметилхинолин-7-ил)метанола (пример 59в) и (S)-3-пирролидинола. В результате твердое вещество белого цвета, ISP-MC: m/e=273,3 ([M+H]+). Пример 81 (2-Хлор-6-метил-4-пирролидин-1-илхинолин-7-ил)метанол а) N,N’-бис(3-йод-4-метилфенил)малонамид Смесь, содержащую диэтилмалонат (16,0 г, 100 ммоль) и 3-йод-4-метиланилин (46,6 г, 200 ммоль), выдерживали при 210°С в течение 20 мин, позволяя выпариваться высвобождающемуся этанолу. После охлаждения образовавшееся твердое вещество растирали в горячем этаноле (200 мл), получая указанное в заголовке соединение (43,4 г, 81%) в виде твердого вещества светло-коричневого цвета, ISP-MC: m/e=535,0 ([М+Н]+). б) 4-Гидрокси-7-йод-6-метил-1Н-хинолин-2-он N,N’-бис(3-йод-4-метилфенил)малонамид (43,4 г, 81,3 ммоль) добавляли порциями к расплаву хлорида алюминия (32,5 г, 244 ммоль) и хлорида натрия (9,50 г, 163 ммоль) при 150°С, затем смесь выдерживали при 250°С в течение 20 мин. После охлаждения образовавшееся твердое вещество суспендировали в горячей воде и собирали фильтрацией. Этот неочищенный продукт суспендировали в горячем 0,5 М водном растворе гидроксида натрия, нерастворившийся продукт удаляли фильтрацией и фильтрат подкисляли 25%-ным водным раствором соляной кислоты. Осадок собирали фильтрацией, промывали водой и этилацетатом и сушили, получая указанное в заголовке соединение (6,85 г, 28%) в виде твердого вещества светло-коричневого цвета, EI-MC: m/e=301,2 (M+). в) 2,4-Дихлор-7-йод-6-метилхинолин Смесь, содержащую 4-гидрокси-7-йод-6-метил-1Н-хинолин-2-он (2,00 г, 6,64 ммоль) и хлорангидрид фосфорной кислоты (20 мл), кипятили с обратным холодильником в течение 2 ч, затем сливали на лед и нейтрализовали до рН 7. Осадок собирали фильтрацией и сушили. Неочищенный продукт суспендировали в этилацетате, нерастворившийся продукт удаляли фильтрацией и фильтрат упаривали, получая указанное в заголовке соединение (1,80 г, 80%) в виде твердого вещества оранжевого цвета EI-MC: m/e=336,9 (М+). г) Этиловый эфир 2,4-дихлор-6-метилхинолин-7-карбоновой кислоты Указанное в заголовке соединение получали с помощью общего метода, изложенного в примере 2б (метод Б) из 2,4-дихлор-7-йод-6-метилхинолина. В результате получали твердое вещество белого цвета, ISP-MC: m/e=284,1 ([М+Н]+). д) (2-Хлор-6-метил-4-пирролидин-1-илхинолин-7-ил)метанол Указанное в заголовке соединение получали с помощью общего метода, изложенного в примере 82, из этилового эфира 2,4-дихлор-6-метилхинолин-7-карбоновой кислоты и пирролидина. В результате получали твердое вещество белого цвета, ISP-MC: m/e=277,3 ([М+Н]+). Пример 82 (4-Азепан-1-ил-2-хлор-6-метилхинолин-7-ил)метанол Гидрид диизобутилалюминия (1 М раствор в тетрагидрофуране, 4,9 мл, 4,9 ммоль) добавляли по каплям к раствору этилового эфира 2,4-дихлор-6-метилхинолин-7-карбоновой кислоты (пример 81 в, 200 мг, 0,704 ммоль) в тетрагидрофуране (10 мл), затем через 20 мин реакцию прекращали, добавляя 2,5 М водный раствор сульфата магния (2 мл). Образовавшийся в течение нескольких секунд осадок удаляли фильтрацией и фильтрат промывали соляным раствором, сушили (MgSO4) и упаривали. Остаток ((2,4-дихлор-6-метилхинолин-7-ил)метанол) растворяли в 1-метилпирролидин-2-оне (3 мл), затем добавляли азепан (349 мг, 3,52 ммоль) и хлорид лития (119 мг, 2,82 ммоль) и раствор выдерживали при 80°С в течение 16 ч. После охлаждения добавляли этилацетат и раствор промывали насыщенным водным раствором хлорида аммония и соляным раствором, сушили (MgSO4) и упаривали. С помощью экспресс-хроматографии (SiO2, градиент гексана/этилацетата) получали указанное в заголовке соединение (142 мг, 66%) в виде беловатого твердого вещества, ISP-МС: m/е=305.3 ([М+Н]+). Пример 83 Гидрохлорид (S)-4-[4-(3-гидроксипирролидин-1-ил)-2,6-диметилхинолин-7-илметокси]бензонитрила а) 4-(4-Хлор-2,6-диметилхинолин-7-илметокси)бензонитрил Указанное в заголовке соединение получали с помощью общего метода, изложенного в пример 54а, из (4-хлор-2,6-диметилхинолин-7-ил)метанола (пример 59в) и 4-фторбензонитрила. В результате получали твердое вещество белого цвета, ISP-MC: m/e=323,3 ([М+Н]+). б) Гидрохлорид (S)-4-[4-(3-гидроксипирролидин-1-ил)-2,6-диметилхинолин-7-илметокси]бензонитрила Указанное в заголовке соединение получали с помощью общего метода, изложенного в примере 54б, из 4-(4-хлор-2,6-диметилхинолин-7-илметокси)бензонитрила и (S)-3-пирролидинола и выделяли в виде гидрохлорида. В результате получали твердое вещество белого цвета, ISP-MC: m/e=374,5 ([M-Cl]+). Пример 84 (S)-4-[4-(3-Метоксипирролидин-1-ил)-2,6-диметилхинолин-7-илметокси]бензонитрил Гидрид натрия (55-65%-ная дисперсия в минеральном масле, 12 мг, 0,30 ммоль) добавляли к раствору гидрохлорида (S)-4-[4-(3-гидроксипирролидин-1-ил)-2,6-диметилхинолин-7-илметокси]бензонитрила (пример 83, 58 мг, 0,14 ммоль) в N,N-диметилформамиде (1 мл) при 0°С, затем через 10 мин добавляли йодметан (22 мг, 0,16 ммоль). Через 90 мин ледяную баню удаляли и реакционную смесь перемешивали в течение еще 90 мин, затем распределяли между дихлорметаном и 1 М водным раствором гидроксида натрия. Органический слой промывали соляным раствором, сушили (MgSO4) и упаривали. С помощью экспресс-хроматографии (SiO2, CH2Cl2/MeOH/NH4OH, 90:10:0.25) получали указанное в заголовке соединение (27 мг, 49%) в виде твердого вещества белого цвета, ISP-MC: m/e=388,4 ([М+Н]+). Пример 85 Гидрохлорид (S)-1-[2,6-диметил-7-(тетрагидропиран-2-илоксиметил)хинолин-4-ил]пирролидин-3-ола а) 4-Хлор-2,6-диметил-7-(тетрагидропиран-2-илоксиметил)хинолин Раствор, содержащий (4-хлор-2,6-диметилхинолин-7-ил)метанол (пример 59в, 300 мг, 1,35 ммоль), 3,4-дигидро-2Н-пиран (342 мг, 4,06 ммоль) и толуол-4-сульфонат пиридиния (374 мг, 1,49 мг) в дихлорметане (3 мл) и толуоле (3 мл), перемешивали при КТ в течение 3 дней, затем распределяли между этилацетатом и водой. Органический слой промывали соляным раствором, сушили (MgSO4) и упаривали. С помощью экспресс-хроматографии (SiO2, градиент гексана/этилацетата) получали указанное в заголовке соединение (243 мг, 59%) в виде твердого вещества белого цвета, ISP-MC: m/e=306,3 ([М+Н]+). б) гидрохлорид (S)-1-[2,6-диметил-7-(тетрагидропиран-2-илоксиметил)хинолин-4-ил]пирролидин-3-ола Указанное в заголовке соединение получали с помощью общего метода, изложенного в примере 54б, из 4-хлор-2,6-диметил-7-(тетрагидропиран-2-илоксиметил)хинолина и (S)-3-пирролидинола и выделяли в виде гидрохлорида. В результате получали твердое вещество белого цвета, ISP-MC: m/e=357,4 ([М-Cl]+). Пример 86 (S)-4-(3-Метоксипирролидин-1-ил)-2,6-диметил-7-(тетрагидропиран-2-илоксиметил)хинолин Указанное в заголовке соединение получали с помощью общего метода, изложенного в примере 84, из гидрохлорида (S)-1-[2,6-диметил-7-(тетрагидропиран-2-илоксиметил)хинолин-4-ил]пирролидин-3-ола (пример 85) и йодметана. В результате получали бесцветную смолу, ISP-MC: m/e=371,4 ([М+Н]+). Пример 87 (6-Метокси-2-метил-4-пирролидин-1-илхинолин-7-ил)метанол а) 4-Хлор-7-йод-6-метокси-2-метилхинолин Указанное в заголовке соединение получали с помощью общего метода, изложенного в примере 59а, из 3-йод-4-метоксианилина (J. Chem. Soc. Perkin 2, 1980, с.832) и отделяли от изомера 4-хлор-5-йод-6-метокси-2-метилхинолина с помощью экспресс-хроматографии (SiO2, градиент гексана/этилацетата). В результате получали твердое вещество белого цвета, ISP-MC: m/e=334,1 ([М+Н]+). б) Этиловый эфир 4-хлор-6-метокси-2-метилхинолин-7-карбоновой кислоты Указанное в заголовке соединение получали с помощью общего метода, изложенного в пример 2б (метод Б), из 4-хлор-7-йод-6-метокси-2-метилхинолин. В результате получали твердое вещество светло-коричневого цвета, ISP-MC: m/e=280,2 ([M+H]+). в) (4-Хлор-6-метокси-2-метилхинолин-7-ил)метанол Указанное в заголовке соединение получали с помощью общего метода, изложенного в пример 2в, из этилового эфира 4-хлор-6-метокси-2-метилхинолин-7-карбоновой кислоты. В результате получали твердое вещество белого цвета, EI-MC: m/e=237,2 (М+). г) (6-Метокси-2-метил-4-пирролидин-1-илхинолин-7-ил)метанол Указанное в заголовке соединение получали с помощью общего метода, изложенного в примере 2 г, из (4-хлор-6-метокси-2-метилхинолин-7-ил)метанола и пирролидина. В результате получали твердое вещество белого цвета, ISP-MC: m/e=273,3([M+H]+). Пример 88 (6-Метил-4-пирролидин-1 -илхинолин-7-ил)метанол а) Этиловый эфир 7-йод-6-метил-4-оксо-1,4-дигидрохинолин-3-карбоновой кислоты Смесь, содержащую 3-йод-4-метиланилин (10,0 г, 42,9 ммоль) и диэтилэтоксиметиленмалонат (12,4 г, 57,2 ммоль), выдерживали при 150°С в течение 80 мин и давали испариться высвободившемуся этанолу. После охлаждения добавляли Dowtherm® A (50 мл), затем смесь выдерживали при 250°С в течение 75 мин. После охлаждения до комнатной температуры добавляли гептан (50 мл) и осадок собирали фильтрацией. Неочищенный продукт последовательно растирали в гексане/этилацетате (50 мл) и в 70%-ном водном этаноле (2×300 мл), получая указанное в заголовке соединение (8,30 г, 54%) в виде твердого вещества белого цвета, ISP-MC: m/e=358,1 ([М+Н]+). б) 7-Йод-6-метил-4-оксо-1,4-дигидрохинолин-3-карбоновая кислота Суспензию этилового эфира 7-йод-6-метил-4-оксо-1,4-дигидрохинолин-3-карбоновой кислоты (8,30 г, 23,2 ммоль) в 2 М водном растворе гидроксида натрия (80 мл) кипятили с обратным холодильником в течение 2 ч. После охлаждения полученный раствор подкисляли 25%-ным водным раствором соляной кислоты. Осадок собирали фильтрацией и сушили, получая указанное в заголовке соединение (7,56 g, 99%) в виде твердого вещества белого цвета, ISN-МС: m/e=327,9 ([М-Н]–). в) 7-Йод-6-метил-1Н-хинолин-4-он При интенсивном перемешивании добавляли порциями 7-йод-6-метил-4-оксо-1,4-дигидрохинолин-3-карбоновую кислота (6,50 г, 19,8 ммоль) к Dowtherm® A (120 мл) при 250°С, затем смесь перемешивали в течение еще 90 мин. После охлаждения добавляли гептан (170 мл) и осадок собирали фильтрацией. Неочищенный продукт растирали в гексане/этилацетате (1:1), получая указанное в заголовке соединение (5,12 г, 91%) в виде беловатого твердого вещества, ISP-MC: m/e=286,1 ([М+Н]+). г) 4-Хлор-7-йод-6-метилхинолин Смесь, содержащую 7-йод-6-метил-1Н-хинолин-4-он (5,12 г, 18,0 ммоль), хлорангидрид фосфорной кислоты (14 мл) и N,N-диметилформамид (1 мл) перемешивали при 60°С в течение 80 мин, затем сливали на лед и осторожно нейтрализовали 25%-ным водным раствором гидроксида аммония. Суспензию экстрагировали трижды дихлорметаном, объединенную органическую фазу промывали соляным раствором, сушили (MgSO4) и упаривали, получая указанное в заголовке соединение (5,33 г, 98%) в виде твердого вещества светло-коричневого цвета, ISP-MC: m/e=304,1 ([М+Н]+). д) Этиловый эфир 4-хлор-6-метилхинолин-7-карбоновой кислоты Указанное в заголовке соединение получали с помощью общего метода, изложенного в примере 2б (метод Б), из 4-хлор-7-йод-6-метилхинолина. В результате получали твердое вещество коричневого цвета, ISP-MC: m/e=250,2 ([М+Н]+). е) (4-Хлор-6-метилхинолин-7-ил)метанол Указанное в заголовке соединение получали с помощью общего метода, изложенного в примере 2в, из этилового эфира 4-хлор-6-метилхинолин-7-карбоновой кислоты. В результате получали беловатое твердое вещество, EI-MC: m/e=189,3 ([M-H2O]+, 100%), 207,2 (М+, 34%). ж) (6-Метил-4-пирролидин-1-илхинолин-7-ил)метанол Указанное в заголовке соединение получали с помощью общего метода, изложенного в примере 2 г, из (4-хлор-6-метилхинолин-7-ил)метанола и пирролидина. В результате получали твердое вещество светло-коричневого цвета, ISP-MC: m/e=243,2 ([М+Н]+). Пример 89 (S)-[4-(3-Метоксипирролидин-1-ил)-2,6-диметилхинолин-7-ил]метанол Раствор, содержащий (S)-4-(3-метоксипирролидин-1-ил)-2,6-диметил-7-(тетрагидропиран-2-илоксиметил)хинолин (пример 86, 50 мг, 0,14 ммоль) и толуол-4-сульфонат пиридиния (37 мг, 0,15 ммоль) перемешивали при 70°С в течение 16 ч, затем распределяли между этилацетатом и 1 М водным раствором гидроксида натрия. Органический слой промывали соляным раствором, сушили (MgSO4) и упаривали. С помощью экспресс-хроматографии (SiO2, CH2Cl2/MeOH/NH4OH, 90:10:0.25) получали указанное в заголовке соединение (26 мг, 67%) в виде твердого вещества белого цвета, ISP-MC: m/e=287,2 ([М+Н]+). Пример 90 4-((S)-3-(Циклопропилметокси)пирролидин-1-ил)-2,6-диметил-7-(тетрагидропиран-2-илоксиметил)хинолин Указанное в заголовке соединение получали с помощью общего метода, изложенного в примере 84, из гидрохлорида (S)-1-[2,6-диметил-7-(тетрагидропиран-2-илоксиметил)хинолин-4-ил]пирролидин-3-ола (пример 85) и (бромметил)циклопропана. В результате получали бесцветную смолу, ISP-MC: m/e=371,4 ([M+H]+). Пример 91 4-Азепан-1-ил-2-хлор-6-метил-7-(3-трифторметилфеноксиметил)хинолин Диизопропилазодикарбоксилат (66 мг, 0,33 ммоль) добавляли по каплям при КТ к раствору, содержащему (4-азепан-1-ил-2-хлор-6-метилхинолин-7-ил)метанол (пример 82, 100 мг, 0,33 ммоль), 3-трифторметилфенол (53 мг, 0,33 ммоль) и трифенилфосфин (86 мг, 0,33 ммоль) в дихлорметане (2 мл), затем через 2 ч добавляли этилацетат и раствор промывали 1 М водным раствором гидроксида натрия и соляным раствором, сушили (MgSO4) и упаривали. С помощью экспресс-хроматографии (SiO2, градиент гексана/этилацетата) получали указанное в заголовке соединение (118 мг, 80%) в виде твердого вещества белого цвета, ISP-MC: m/e=449,4 ([М+Н]+). Пример 92 (S)-4-{[4-(3-этоксипирролидин-1-ил)-2-метилхинолин-7-илметил]амино}бензонитрил а) 4-[(4-Хлор-2-метилхинолин-7-илметил)амино]бензонитрил Триацетоксиборогидрид натрия (74 мг, 0,34 ммоль) добавляли к раствору, содержащему 4-хлор-2-метилхинолин-7-карбальдегид (пример 13а, 50 мг, 0,24 ммоль), 4-аминобензонитрил (29 мг, 0,24 ммоль) и уксусную кислоту (88 мг, 1,5 ммоль) в 1,2-дихлорэтане (0,5 мл), затем через 16 ч реакционную смесь распределяли между этилацетатом и 2 М водным раствором гидроксида натрия. Органический слой промывали соляным раствором, сушили (MgSO4) и упаривали. С помощью экспресс-хроматографии (SiO2, гексан/этилацетат, 1:1) получали указанное в заголовке соединение (48 мг, 64%) в виде твердого вещества белого цвета, ISP-MC: m/e=308,2 ([М+Н]+). б) (S)-4-{[4-(3-Этоксипирролидин-1-ил)-2-метилхинолин-7-илметил]амино}бензонитрил Указанное в заголовке соединение получали с помощью общего метода, изложенного в примере 54б, из 4-[(4-хлор-2-метилхинолин-7-илметил)амино]бензонитрила и (S)-3-этоксипирролидина. В результате получали пену белого цвета, ISP-MC: m/e=387,3 ([М+Н]+). Пример 93 (S)-4-[4-(3-Этоксипирролидин-1-ил)-2-метилхияолин-7-илметокси]бензонитрил Указанное в заголовке соединение получали с помощью общего метода, изложенного в пример 54б, из 4-(4-хлор-2-метилхинолин-7-илметокси)бензонитрила (пример 54а) и (S)-3-этоксипирролидина. В результате получали пену белого цвета, ISP-MC: m/e=388,3 ([М+Н]+). Пример 94 (S)-[4-(3-(циклопропилметокси)пирролидин-1-ил)-2,6-диметил-хинолин-7-ил]метанол Указанное в заголовке соединение получали с помощью общего метода, изложенного в примере 89, из 4-((S)-3-(циклопропилметокси)пирролидин-1-ил)-2,6-диметил-7-(тетрагидропиран-2-илоксиметил)хинолина (пример 90). В результате получали твердое вещество светло-желтого цвета, ISP-MC: m/e=327,4 ([М+Н]+). Пример 95 N-[4-Азепан-1-ил-6-метил-7-(3-трифторметилфеноксиметил)хинолин-2-ил]метиламин Указанное в заголовке соединение получали с помощью общего метода, изложенного в примере 96, из 4-азепан-1-ил-2-хлор-6-метил-7-(3-трифторметилфеноксиметил)хинолина (пример 91) и метиламина. В результате получали твердое вещество светло-желтого цвета, ISP-MC: m/e=444,5 ([М+Н]+). Пример 96 [4-Азепан-1-ил-6-метил-7-(3-трифторметилфеноксиметил)хинолин-2-ил]диметиламин Смесь, содержащую 4-азепан-1-ил-2-хлор-6-метил-7-(3-трифторметилфеноксиметил)хинолин (пример 91, 56 мг, 0,13 ммоль) и 33%-ный этанольный раствор диметиламина (4 мл), выдерживали при 157°С в течение 2 ч в запечатанной пробирке, подвергая микроволновому облучению. После охлаждения полученный раствор распределяли между дихлорметаном и 2 М водным раствором гидроксида натрия. Органический слой промывали соляным раствором, сушили (MgSO4) и упаривали. С помощью экспресс-хроматографии (CH2Cl2/MeOH/NH4OH, 97,5:2,5:0,2) получали указанное в заголовке соединение (45 мг, 79%) в виде беловатого твердого вещества, ISP-MC: m/e=458,5 ([М+Н]+). Пример 97 (4-Азепан-1-ил-2-диметиламино-6-метилхинолин-7-ил)метанол Указанное в заголовке соединение получали с помощью общего метода, изложенного в пример 96, из (4-азепан-1-ил-2-хлор-6-метилхинолин-7-ил)метанола (пример 82) и диметиламина. В результате получали твердое вещество светло-желтого цвета, ISP-MC: m/e=314,4 ([М+Н]+). Пример 98 (S)-4-[4-(3-(Циклопропилметокси)пирролидин-1-ил)-2,6-диметилхинолин-7-илметокси]бензонитрил Указанное в заголовке соединение получали с помощью общего метода, изложенного в примере 84, из гидрохлорида (S)-4-[4-(3-гидроксипирролидин-1-ил)-2,6-диметилхинолин-7-илметокси]бензонитрила (пример 83) и (бромметил)циклопропана. В результате получали пену желтого цвета, ISP-MC: m/e=428,6 ([М+Н]+). Пример 99 4-(6-Метил-4-пирролидин-1-илхинолин-7-илметокси)бензонитрил Указанное в заголовке соединение получали с помощью общего метода, изложенного в примере 6, из (6-метил-4-пирролидин-1-илхинолин-7-ил)метанола (пример 88) и 4-фторбензонитрила. В результате получали беловатое твердое вещество, ISP-MC: m/e=344,4 ([М+Н]+). Пример 100 4-(4-Азепан-1-ил-2-диметиламино-6-метилхинолин-7-илметокси)бензонитрил Указанное в заголовке соединение получали с помощью общего метода, изложенного в примере 6, из (4-азепан-1-ил-2-диметиламино-6-метилхинолин-7-ил)метанола (пример 97) и 4-фторбензонитрила. В результате получали беловатое твердое вещество, ISP-MC: m/e=415,5 ([М+Н]+). Пример 101 4-[(2,6-диметил-4-пирролидин-1-илхинолин-7-илметил)амино]бензонитрил а) 4-Хлор-2,6-диметилхинолин-7-карбальдегид Указанное в заголовке соединение получали с помощью общего метода, изложенного в пример 13 а (метод А), из (4-хлор-2,6-диметилхинолин-7-ил)метанола (пример 59в). В результате получали твердое вещество белого цвета, ISP-MC: m/e=220,3 ([M+H]+). б) 4-[(4-Хлор-2,6-диметилхинолин-7-илметил)амино]бензонитрил Указанное в заголовке соединение получали с помощью общего метода, изложенного в примере 92а, из 4-хлор-2,6-диметилхинолин-7-карбальдегида и 4-аминобензонитрила. В результате получали твердое вещество белого цвета, ISP-MC: m/e=322,3 ([M+H]+). в) 4-[(2,6-Диметил-4-пирролидин-1-илхинолин-7-илметил)амино]бензонитрил Указанное в заголовке соединение получали с помощью общего метода, изложенного в примере 56, из 4-[(4-хлор-2,6-диметилхинолин-7-илметил)амино]бензонитрила и пирролидина. В результате получали пену светло-желтого цвета, ISP-MC: m/e=357,3 ([М+Н]+). Пример 102 (S)-4-{[4-(3-Этоксипирролидин-1-ил)-2,6-диметилхинолин-7-илметил]амино}бензонитрил Указанное в заголовке соединение получали с помощью общего метода, изложенного в примере 54б, из 4-[(4-хлор-2,6-диметилхинолин-7-илметил)амино]бензонитрила (пример 101б) и (S)-3-этоксипирролидина. В результате получали пену светло-желтого цвета, ISP-MC: m/e=401,5 ([М+Н]+). Пример 103 4-(6-Метил-4-пирролидин-1-илхинолин-7-илметокси)-2-трифторметилбензонитрил Указанное в заголовке соединение получали с помощью общего метода, изложенного в примере 6, из (6-метил-4-пирролидин-1-илхинолин-7-ил)метанола (пример 88) и 4-фтор-2-трифторметилбензонитрила. В результате получали твердое вещество желтого цвета, ISP-MC: m/e=412,3 ([М+Н]+). Пример 104 (S)-[4-(3-Этоксипирролидин-1-ил)-6-метилхинолин-7-ил]метанол Указанное в заголовке соединение получали с помощью общего метода, изложенного в пример 54б, из (4-хлор-6-метил-хинолин-7-ил)метанола (пример 88е) и (S)-3-этоксипирролидина. В результате получали твердое вещество желтого цвета, ISP-MC: m/e=287,2 ([М+Н]+). Пример 105 (S)-4-{[4-(2-Гидроксиметилпирролидин-1-ил)-2,6-диметилхинолин-7-илметил]амино}бензонитрил Указанное в заголовке соединение получали с помощью общего метода, изложенного в пример 54б, из 4-[(4-хлор-2,6-диметилхинолин-7-илметил)амино]бензонитрила (пример 101б) и L-пролинола. В результате получали пену светло-желтого цвета, ISP-MC: m/e=387,3 ([М+Н]+). Пример 106 4-[(2,6-Диметил-4-пирролидин-1-илхинолин-7-илметил)метиламино]бензонитрил а) 4-[(4-Хлор-2,6-диметилхинолин-7-илметил)метиламино]бензонитрил Йодметан (46 мг, 0,33 ммоль) добавляли к раствору 4-[(4-хлор-2,6-диметилхинолин-7-илметил)амино]бензонитрила (пример 101б, 70 мг, 0,22 ммоль) в N,N-диметилформамиде (1 мл) при 0°С. Реакционную смесь перемешивали в течение 1 ч при 0°С и 1 ч при КТ, затем распределяли между дихлорметаном и 1 М водным раствором гидроксида натрия. Органический слой промывали соляным раствором, сушили (MgSO4) и упаривали. С помощью экспресс-хроматографии (SiO2, гексан/этилацетат, 2:1, затем 1:1) получали указанное в заголовке соединение (63 мг, 86%) в виде твердого вещества белого цвета, ISP-MC: m/e=336,2 ([М+Н]+). б) 4-[(2,6-Диметил-4-пирролидин-1-илхинолин-7-илметил)метиламино]бензонитрил Указанное в заголовке соединение получали с помощью общего метода, изложенного в примере 56, из 4-[(4-хлор-2,6-диметилхинолин-7-илметил)метиламино]бензонитрила и пирролидина. В результате получали твердое вещество белого цвета, ISP-MC: m/e=371,3 ([М+Н]+). Пример 107 (S)-4-[4-(3-Этоксипирролидин-1-ил)-6-метилхинолин-7-илметокси]бензонитрил Указанное в заголовке соединение получали с помощью общего метода, изложенного в примере 6, из (S)-[4-(3-этоксипирролидин-1-ил)-6-метилхинолин-7-ил]метанола (пример 104) и 4-фторбензонитрила. В результате получали твердое вещество желтого цвета, ISP-MC: m/e=388,2 ([М+Н]+). Пример 108 Гидрохлорид (S)-4-[4-(3-этоксипирролидин-1-ил)-6-металхинолин-7-илметокси]-2-трифторметилбензонитрила Указанное в заголовке соединение получали с помощью общего метода, изложенного в примере 6, из (S)-[4-(3-этоксипирролидин-1-ил)-6-метилхинолин-7-ил]метанола (пример 104) и 4-фтор-2-трифторметилбензонитрила. В результате получали твердое вещество белого цвета, ISP-MC: m/e=456,4 ([М-Cl]+). Пример 109 а) (S)-4-(3-Этоксипирролидин-1-ил)-6-метилхинолин-7-карбальдегид Указанное в заголовке соединение получали с помощью общего метода, изложенного в примере 79а, из (S)-[4-(3-этоксипирролидин-1-ил)-6-метилхинолин-7-ил]метанола (пример 104). В результате получали твердое вещество темно-зеленого цвета, ISP-MC: m/e=285,1 ([М+Н]+). б) (S)-4-{[4-(3-Этоксипирролидин-1-ил)-6-метилхинолин-7-илметил]амино}-2-трифторметилбензонитрил Указанное в заголовке соединение получали с помощью общего метода, изложенного в пример 92а, из (S)-4-(3-этоксипирролидин-1-ил)-6-метилхинолин-7-карбальдегида и 4-амино-2-трифторметилбензонитрила. В результате получали смолу светло-коричневого цвета, ISP-MC: m/e=455,4 ([М+Н]+). Пример 110 (S)-4-{[4-(3-Этоксипирролидин-1-ил)-6-метилхинолин-7-илметил]амино}бензонитрил Указанное в заголовке соединение получали с помощью общего метода, изложенного в пример 92а, из (S)-4-(3-Этоксипирролидин-1-ил)-6-метилхинолин-7-карбальдегида (пример 109) и 4-аминобензонитрила. В результате получали твердое вещество белого цвета, ISP-MC: m/e=387,2 ([М+Н]+). Пример 111 Метиловый эфир 6-бром-2-метил-4-пирролидин-1-илхинолин-7-карбоновой кислоты а) 4-Бром-3-метоксифениламин Суспензию, содержащую порошкообразное железо (40,8 г, 0,730 моль), хлорид аммония (64,7 г, 1,21 моль) и 2-броманизол (50 г, 0,215 моль) в воде (1,5 л) и МеОН (1 л), перемешивали в течение ночи при 75°С. Твердое вещество отфильтровывали и жидкость разбавляли этилацетатом, промывали соляным раствором, сушили над сульфатом натрия, фильтровали и растворители выпаривали под вакуумом В результате получали 43,1 г указанного в заголовке соединения в виде твердого вещества коричневого цвета, ISP-MC: m/e=203,1 ([М+Н]+). б) 5-Амино-2-бромфенол Суспензию, содержащую 4-бром-3-метоксифениламин (37,6 г, 0,186 моль) и йодид тетрабутиламмония (96 г, 0,260 моль) в дихлорметане (1,2 л), охлаждали до -78°С. Добавляли по каплям в течение 20 мин 1 М раствор трихлорида бора в дихлорметане (520 мл, 0,521 моль). Охлаждающую баню удаляли. Через 3 ч реакционную смесь сливали на ледяную воду (4,5 кг). Органический слой экстрагировали водой. Объединенные водные слои промывали дихлорметаном. Значение рН доводили до 9 с помощью бикарбоната натрия. Добавляли хлорид натрия до насыщения. Водный слой экстрагировали этилацетатом. Объединенные органические слои сушили над сульфатом натрия, фильтровали и растворители выпаривали. Твердое вещество промывали дихлорметаном и сушили в вакууме. Получали 35,2 г указанного в заголовке соединения в виде твердого вещества коричневого цвета, ISP-MC: m/e=189,1 ([М+Н]+). в) 3-Бензилокси-4-бромфениламин К раствору 5-амино-2-бромфенола (35,2 г, 0,187 моль) в N,N-диметилформамиде (350 мл) добавляли трет-бутоксид калия (22,9 г, 0,204 моль). Через 15 мин в течение 2 мин добавляли бензилхлорид (25,5 мл, 0,222 моль). Реакционную смесь перемешивали в течение 4 ч и затем сливали на водный раствор бикарбоната натрия и экстрагировали этилацетатом. Объединенные органические фазы промывали соляным раствором и водой, затем сушили над сульфатом натрия, фильтровали и упаривали в вакууме. Получали 55,6 г указанного в заголовке соединения в виде твердого вещества черного цвета, ISP-MC: m/е=279,1 ([М+Н]+). г) Этиловый эфир 3-(3-бензилокси-4-бромфениламино)бут-2-еновой кислоты К смеси, содержащей 3-бензилокси-4-бромфениламин (55,7 г, 0,168 моль) и этилацетоацетат (23,4 мл, 0,185 моль) в циклогексане, добавляли моногидрат толуол-4-сульфоновой кислоты (0,320 г, 1,68 ммоль). Реакционную смесь кипятили с обратным холодильником в течение 6 ч и затем азеотропически удаляли воду. Затем реакционную смесь распределяли между этилацетатом и водным раствором бикарбоната натрия. Органический слой промывали соляным раствором, сушили над сульфатом натрия, фильтровали и растворители выпаривали в вакууме. Получали 69,6 г указанного в заголовке соединения в виде масла черного цвета, ISP-MC: m/е=392,2 ([М+Н]+). д) 7-Бензилокси-6-бром-2-метилхинолин-4-ол Dowtherm®A (320 мл) нагревали до 250°С и затем медленно добавляли раствор этилового эфира 3-(3-бензилокси-4-бромфениламино)бут-2-еновой кислоты (55,5 г, 99,5 ммоль) в Dowtherm®A (120 мл). Реакционную смесь выдерживали в течение 16 мин при 250°С и этанол собирали дистилляцией. Смесь охлаждали, разбавляли в гексане (1,5 л) и фильтровали. Твердое вещество промывали простым эфиром и сушили в вакууме. Получали 73,0 г указанного в заголовке соединения в виде твердого вещества коричневого цвета, ISP-MC: m/е=345,2 ([M+H]+). е) 7-Бензилокси-6-бром-4-хлор-2-метилхинолин 7-Бензилокси-6-бром-2-метилхинолин-4-ол (25,0 г, 72,6 ммоль) и хлорангидрид фосфорной кислоты (70 мл, 0,764 моль) выдерживали в течение 40 мин при 130°С и затем охлаждали до комнатной температуры. Хлорангидрид фосфорной кислоты выпаривали в глубоком вакууме. Добавляли лед и значение рН этого раствора доводили до 9 с помощью гидроксида аммония. Суспензию экстрагировали дихлорметаном. Объединенные органические слои сушили в вакууме. Получали 22,8 г указанного в заголовке соединения в виде твердого вещества коричневого цвета, ISP-MC: m/е=364,0 ([М+Н]+). ж) 7-Бензилокси-6-бром-2-метил-4-пирролидин-1-илхинолин Смесь, содержащую 7-бензилокси-6-бром-4-хлор-2-метилхинолин (10,0 г, 27,6 ммоль) и пирролидин (47 мл, 0,562 моль), кипятили с обратным холодильником в течение 3 ч. Смесь охлаждали и пирролидин выпаривали в глубоком вакууме. Остаток растворяли в дихлорметане, промывали водой и соляным раствором, сушили над сульфатом натрия, фильтровали и растворители выпаривали в вакууме. Получали 6,9 г указанного в заголовке соединения в виде твердого вещества коричневого цвета, ISP-MC: m/е=399,2 ([М+Н]+). з) 6-Бром-2-метил-4-пирролидин-1 -илхинолин-7-ол К охлажденному (0°С) раствору 7-бензилокси-6-бром-2-метил-4-пирролидин-1-илхинолина (2,3 г, 5,79 ммоль) в дихлорметане (70 мл) добавляли в течение 20 мин 1 М раствор четыреххлористого титана в дихлорметане (48,6 мл, 48,6 ммоль). Через 1 ч реакционную смесь сливали на водный раствор бикарбоната натрия, экстрагировали дихлорметаном и упаривали. Получали 1,13 г указанного в заголовке соединения в виде твердого вещества желтого цвета, ISP-MC: m/е=308,1 ([М+Н]+). и) 6-Бром-2-метил-4-пирролидин-1-илхинолин-7-иловый эфир пирролидинметансульфоновой кислоты К охлажденному (-25°С) раствору 6-бром-2-метил-4-пирролидин-1-илхинолин-7-ола (350 мг, 1,14 ммоль) и триэтиламина (0,189 мл, 2,62 ммоль) в дихлорметане (1,5 мл) добавляли в течение 20 мин ангидрид трифторметилсульфонила (0,292 мл, 1,37 ммоль). Охлаждающую баню удаляли и реакционную смесь перемешивали в течение ночи. Смесь сливали на водный раствор бикарбоната натрия и экстрагировали этилацетатом. Объединенные органические фазы сушили над сульфатом натрия, фильтровали и растворители выпаривали в вакууме. Получали 341 мг указанного в заголовке соединения в виде твердого вещества коричневого цвета, ISP-MC: m/е=440,2 ([М+Н]+). к) Метиловый эфир 6-бром-2-метил-4-пирролидин-1-илхинолин-7-карбоновой кислоты Суспензию, содержащую 6-бром-2-метил-4-пирролидин-1-илхинолин-7-иловый эфир пирролидинметансульфоновой кислоты (160 мг, 0,364 ммоль), триэтиламин (0,030 мкл, 0,4 ммоль), ацетат палладия (8 мг, 0,036 ммоль) и бис(1,3-дифенилфосфино)пропан (16 мг, 0,039 ммоль) в диметилсульфоксиде (0,5 мл) и метаноле (0,4 мл), нагревали в атмосфере монооксида углерода до 65°С в течение 90 мин. Реакционную смесь сливали на водный раствор бикарбоната натрия и экстрагировали этилацетатом. Объединенные органические слои сушили над сульфатом натрия, фильтровали и растворители удаляли в вакууме. Получали 124 мг указанного в заголовке соединения в виде твердого вещества коричневого цвета, ISP-MC: m/е=429,2 ([М+Н]+). Пример 112 (6-Бром-2-метил-4-пирролидин-1-илхинолин-7-ил)метанол Указанное в заголовке соединение получали с помощью общего метода, изложенного в примере 2в, из метилового эфира 6-бром-2-метил-4-пирролидин-1-илхинолин-7-карбоновой кислоты (пример 111). В результате получали твердое вещество светло-желтого цвета, ISP-MC: m/e=321,2 ([М+Н]+). Пример А Соединение формулы I можно применять в качестве действующего вещества для приготовления хорошо известным методом таблеток следующего состава: На таблетку
Пример Б Соединение формулы I можно применять в качестве действующего вещества для приготовления хорошо известным методом капсул следующего состава: На капсулу
Пример В Таблетки, содержащие следующие ингредиенты, можно приготавливать обычным методом:
Пример Г Капсулы, содержащие следующие ингредиенты, можно приготавливать обычным методом:
Пример Д Растворы для инъекций могут иметь следующий состав:
Формула изобретения
1. Соединения формулы I
где R1 обозначает -O-R4 или -NR5R6; R2 обозначает водород, алкил, алкокси и галоген; R3 обозначает алкил или галоген; R4 обозначает водород, алкил, фенил, фенил, замещенный 1-3 заместителями, независимо друг от друга выбранными из ряда, включающего алкил, циано, трифторметил, алкокси, галоген, пирролидинилкарбонил и нитро, алкоксиалкил или гетероциклил, который обозначает насыщенный или ароматический 4-10-членный гетероцикл, содержащий один гетероатом, выбранный из азота, кислорода; R5 и R6 независимо друг от друга выбирают из ряда, включающего водород, алкил или фенил; или R5 и R6 вместе с атомом N, к которому они присоединены, образуют 5-10-членное гетероциклическое кольцо, необязательно содержащее атом азота; А1 обозначает 5-7-членное насыщенное гетероциклическое кольцо, которое содержит атом азота, присоединенный к хинолиновому кольцу, и необязательно второй атом азота, и где кольцо необязательно замещено 1-3 заместителями, независимо друг от друга выбранными из ряда, включающего алкил, алкокси, гидрокси, гидроксиалкил, алкоксиалкил, тетрагидропиранилоксиалкил и циклоалкилалкокси; А2 обозначает -СН2– или -С(O)-, где алкил индивидуально или в сочетании обозначает алкильную группу прямой цепью, которая содержит 1-8 атомов углерода; и их фармацевтически приемлемые соли и сложные алкиловые эфиры. 2. Соединения по п.1, где А1 обозначает 5-7-членное насыщенное гетероциклическое кольцо, содержащее атом азота, присоединенный к хинолиновому кольцу, и необязательно второй атом азота, и где кольцо необязательно замещено 1-3 заместителями, независимо друг от друга выбранными из ряда, включающего алкил, алкокси, гидрокси, гидроксиалкил, алкоксиалкил, тетрагидропиранилоксиалкил и циклоалкилалкокси. 3. Соединения по п.1 или 2, где R2 обозначает водород или метил. 4. Соединения по п.1 или 2, где R1 обозначает -O-R4. 5. Соединения по п.1 или 2, где R1 обозначает -NR5R6. 6. Соединения по п.1 или 2, где R3 обозначает алкил. 7. Соединения по п.6, где R3 обозначает метил. 8. Соединения по п.1 или 2, где R4 обозначает водород, алкил, фенил, фенил, замещенный 1-3 заместителями, независимо друг от друга выбранными из ряда, включающего алкил, циано, трифторметил, алкокси, галоген, пирролидинилкарбонил и нитро. 9. Соединения по п.1 или 2, где один из R5 и R6 обозначает водород или фенил, а другой обозначает водород или алкил; или R5 и R6 вместе с атомом N, к которому они присоединены, образуют пирролидиновое кольцо. 10. Соединения по п.1 или 2, где А1 обозначает 5-7-членное насыщенное гетероциклическое кольцо, содержащее атом азота, который присоединен к хинолиновому кольцу, и где необязательно второй атом азота присутствует в кольце и где кольцо необязательно замещено алкилом. 11. Соединения по п.10, где А1 обозначает пирролидиновое, пиперидиновое, азепановое, пиперазиновое, пирролидиновое или [1,4]диазепановое кольцо, необязательно замещенное алкилом. 12. Соединения по п.1 или 2, где А2 обозначает -СН2-. 13. Соединения по п.1, выбранные из ряда, включающего (4-азепан-1-ил-2-метилхинолин-7-ил)метанол, 4-(2-метил-4-пирролидин-1-илхинолин-7-илметокси)бензонитрил, 4-(4-азепан-1-ил-2-метилхинолин-7-илметокси)бензонитрил, 4-[(2-метил-4-пирролидин-1-илхинолин-7-илметил)амино]бензонитрил, 2-метил-7-(пиридин-4-илоксиметил)-4-пирролидин-1-илхинолин, бутиламид 2-метил-4-пирролидин-1-илхинолин-7-карбоновой кислоты, 2-(2-метил-4-пирролидин-1-илхинолин-7-илметокси)бензонитрил, 2-хлор-4-(2-метил-4-пирролидин-1-илхинолин-7-илметокси)бензонитрил, 4-(2-метил-4-пирролидин-1-илхинолин-7-илметокси)-2-трифторметилбензонитрил, 4-(2-метил-4-пирролидин-1-илхинолин-7-илметокси)фталонитрил,(2,6-диметил-4-пирролидин-1-илхинолин-7-ил)метанол, 4-(2,6-диметил-4-пирролидин-1-илхинолин-7-илметокси)бензонитрил, 4-[(2-метил-4-пирролидин-1-илхинолин-7-илметил)амино]-2-трифторметилбензонитрил, (S)-[4-(3-этоксипирролидин-1-ил)-2,6-диметилхинолин-7-ил]метанол, (S)-4-[4-(3-этоксипирролидин-1-ил)-2,6-диметилхинолин-7-илметокси]бензонитрил, 4-[(2,6-диметил-4-пирролидин-1-илхинолин-7-илметил)амино]бензонитрил, (S)-4-{[4-(3-этоксипирролидин-1-ил)-2,6-диметилхинолин-7-илметил]амино}бензонитрил. 14. Способ получения соединения по одному из пп.1-13, отличающийся тем, что соединение формулы Q1 подвергают взаимодействию в присутствии амина формулы Q2 с получением соединения формулы Q3 где R1, R2, А1 и А2 имеют значения, указанные в п.1, и R30 обозначает водород, алкил или галоген и Y обозначает хлор, бром или йод. 15. Способ получения соединения по одному из пп.1-13, отличающийся тем, что соединение формулы Н подвергают взаимодействию в присутствии перекиси водорода с получением соединения формулы ID где R2 и А1 имеют значения, указанные в п.1 и R30 обозначает водород, алкил или галоген. 16. Способ получения соединения по одному из пп.1-13, отличающийся тем, что соединение формулы IE подвергают взаимодействию в присутствии гидрида с получением соединения формулы IF где R2, R5, R6 и А1 имеют значения, указанные в п.1, и где R30 обозначает водород, алкил или галоген. 17. Способ получения соединения по одному из пп.1-13, отличающийся тем, что соединение формулы IJ подвергают взаимодействию в присутствии соответствующего амина HNR’R” с получением соединения формулы IK где R1, R2, А1 и А2 имеют значения, указанные в п.1, и R’ и R” независимо друг от друга выбирают из водорода, алкила и пиклоалкила, или R’ и R” вместе с атомом N, к которому они присоединены, образуют 5-10-членное гетероциклическое кольцо, где гетероциклическое кольцо необязательно замещено одним или несколькими заместителями, независимо друг от друга выбранными из алкила и алкоксигруппы, и Y обозначает хлор, бром или йод. 18. Соединения по п.1, предназначенные для применения в качестве антагониста в отношении нейропептида Y. 19. Соединения по п.1, предназначенные для приготовления лекарственных средств для профилактики и лечения заболеваний, которые связаны с нарушениями, опосредуемыми рецептором NPY. 20. Фармацевтическая композиция, обладающая антагонистической активностью в отношении нейропептида Y, содержащая соединение по одному из пп.1-13 и терапевтически инертный носитель. 21. Соединения по п.1, полученные согласно пп.14-17.
MM4A – Досрочное прекращение действия патента СССР или патента Российской Федерации на изобретение из-за неуплаты в установленный срок пошлины за поддержание патента в силе
Дата прекращения действия патента: 21.09.2008
Извещение опубликовано: 20.07.2010 БИ: 20/2010
|
||||||||||||||||||||||||||||||||||||||||||||||||||||||||||||||||












-кетоэфирами в присутствии n-толуолсульфоновой кислоты при температуре дефлегмации циклогексана и удаление в азеотропных условиях воды, которая образуется в процессе реакции, позволяет получать промежуточный продукт М2. Последующее замыкание кольца с удалением одного эквивалента спирта (Ra-OH) достигают путем выдерживания при температуре примерно 250°С в растворителе с высокой температурой кипения, таком как Dowtherm А, с получением 4-хинолона N1 (схема 9).










