Патент на изобретение №2300525
|
||||||||||||||||||||||||||
(54) ПРОИЗВОДНЫЕ И ПРОМЕЖУТОЧНЫЕ СОЕДИНЕНИЯ N-АДАМАНТИЛМЕТИЛА В КАЧЕСТВЕ ФАРМАЦЕВТИЧЕСКИХ КОМПОЗИЦИЙ И СПОСОБЫ ИХ ПОЛУЧЕНИЯ
(57) Реферат:
Изобретение относится к производным и промежуточным соединениям N-адамантилметила, которые обладают антагонистической активностью в отношении Р2Х7-рецептора и применяются для изготовления лекарства для использования в лечении ревматоидного артрита и обструктивного заболевания дыхательных путей. Соединения имеют формулу (I), где m означает 1, 2 или 3; каждый R1 представляет собой атом водорода; А представляет собой C(O)NH или NHC(O); Ar представляет собой группу (II), (III) или (IV), один из R2 и R3 представляет собой галоген или C1-С6алкил, а другой из R2 и R3 представляет собой атом водорода; R представляет собой группу (V), Х представляет собой атом кислорода или серы или группу >N-R8; n означает 0 или 1; R5 представляет собой C1-С5алкильную группу, которая может быть возможно замещена по меньшей мере одним заместителем, выбранным из гидроксила; каждый R6 и R7 независимо представляет собой атом водорода, C1-С6алкил (возможно замещенный по меньшей мере одним заместителем, выбранным из гидроксила и (ди)-С1-С4алкиламино (который сам возможно замещен по меньшей мере одной гидроксильной группой)) или С3-С8циклоалкил (возможно замещенный по меньшей мере одним заместителем, выбранным из гидроксила); и R8 представляет собой атом водорода или С1-С5алкильную группу, которая может быть возможно замещена по меньшей мере одним заместителем, выбранным из гидроксила; при условии, что: (а) когда n означает 0, тогда А представляет собой NHC(O), и (б) когда n означает 1, Х представляет собой кислород, и А представляет собой C(O)NH, тогда R6 и R7 не являются оба одновременно атомом водорода или не являются оба одновременно незамещенным С1-С6алкилом, или когда один из R6 и R7 представляет собой атом водорода, тогда другой из R6 и R7 не является незамещенным С1-С6алкилом; и (в) когда n означает 1, Х представляет собой кислород, серу или >NH, и А представляет собой NHC(O), тогда R6 и R7 не являются оба одновременно атомом водорода или не являются оба одновременно незамещенным C1-С6алкилом, или когда один из R6 и R7 представляет собой атом водорода, тогда другой из R6 и R7 не является незамещенным С1-С6алкилом или -СН2СН2ОН; или его фармацевтически приемлемые соль или сольват. Изобретение также относится к способам (вариантам) получения соединений формулы (I), фармацевтической композиции, фармацевтической композиции, содержащей соединение формулы (I), способу ее получения, к применению соединения формулы (I) и способам лечения ревматоидного артрита, остеоартрита или обструктивного заболевания дыхательных путей. 18 н. и 12 з.п. ф-лы.
Настоящее изобретение касается производных адамантана, способов их получения, фармацевтических композиций, содержащих их, способа получения фармацевтических композиций и их применения в терапии. Р2Х7-рецептор (ранее известный как Р2Z-рецептор), который представляет собой лиганд-управляемый ионный канал, встречается на многих типах клеток, главным образом на клетках, которые, как известно, вовлечены в воспалительный/иммунный процесс, особенно на макрофагах, тучных клетках и лимфоцитах (Т и В). Активация Р2Х7-рецептора внеклеточными нуклеотидами, в частности аденозинтрифосфатом, приводит к высвобождению интерлейкина-1 Желательно создать соединения, действующие в качестве антагонистов Р2Х7-рецептора, для применения в лечении воспалительных, иммунных или сердечно-сосудистых заболеваний, в этиологии которых Р2Х7-рецептор может играть роль. Поэтому согласно настоящему изобретению предложено соединение формулы
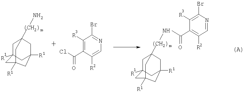
где m означает 1, 2 или 3, предпочтительно 1 или 2; каждый R1 независимо представляет собой атом водорода или галогена (например, фтора, хлора, брома или йода), предпочтительно атом водорода; А представляет собой С(O)NH или, предпочтительно, NHC(O); Ar представляет собой группу
один из R2 и R3 представляет собой галоген, нитро, амино, гидроксил или группу, выбранную из (1) C1-С6алкила, возможно замещенного по меньшей мере одним атомом галогена, (2) С3-С8циклоалкила, (3) С1-С6алкокси, возможно замещенного по меньшей мере одним атомом галогена, и (4) С3-С8циклоалкилокси, а другой из R2 и R3 представляет собой атом водорода или галогена; R4 представляет собой группу
Х представляет собой атом кислорода или серы или группу >N-R8; n означает 0 или 1; R5 представляет собой С1-С5алкильную группу, которая может быть возможно замещена по меньшей мере одним заместителем, выбранным из гидроксила, галогена и С1-С6алкокси; каждый из R6 и R7 независимо представляет собой атом водорода, C1-С6алкил (возможно замещенный по меньшей мере одним заместителем, выбранным из гидроксила, галогена, С1-С6алкокси и (ди)-С1-С4алкиламино (который сам возможно замещен по меньшей мере одной гидроксильной группой)) или С3-С8циклоалкил (возможно замещенный по меньшей мере одним заместителем, выбранным из гидроксила, галогена и C1-С6алкокси); и R8 представляет собой атом водорода или С1-С5алкильную группу, которая может быть возможно замещена по меньшей мере одним заместителем, выбранным из гидроксила, галогена и С1-С6алкокси; при условии, что: (а) когда n означает 0, тогда А представляет собой NHC(О), и (б) когда n означает 1, Х представляет собой кислород, и А представляет собой С(O)NH, тогда R6 и R7 не являются оба одновременно атомом водорода или не являются оба одновременно незамещенным С1-С6алкилом, или когда один из R6 и R7 представляет собой атом водорода, тогда другой из R6 и R7 не является незамещенным C1-С6алкилом; и (в) когда n означает 1, Х представляет собой кислород, серу или >NH, и А представляет собой NHC(O), тогда R6 и R7 не являются оба одновременно атомом водорода или не являются оба одновременно незамещенным C1-С6алкилом, или когда один из R6 и R7 представляет собой атом водорода, тогда другой из R6 и R7 не является незамещенным C1-С6алкилом или -СН2СН2ОН; или его фармацевтически приемлемые соль или сольват. В одном воплощении изобретения предложено соединение формулы
где m означает 1, 2 или 3, предпочтительно 1 или 2; каждый R1 независимо представляет собой атом водорода или галогена (например, фтора, хлора, брома или йода), предпочтительно атом водорода; А представляет собой С(O)NH или, предпочтительно, NHC(O); Ar представляет собой группу
один из R2 и R3 представляет собой галоген, нитро, амино, гидроксил или группу, выбранную из (1) C1-С6алкила, возможно замещенного по меньшей мере одним атомом галогена, (2) С3-С8циклоалкила, (3) C1-C6-алкокси, возможно замещенного по меньшей мере одним атомом галогена, и (4) С3-С8циклоалкилокси, а другой из R2 и R3 представляет собой атом водорода или галогена; R4 представляет собой группу
Х представляет собой атом кислорода или серы или группу >N-R8; n означает 0 или 1; R5 представляет собой С1-С5алкильную группу, которая может быть возможно замещена по меньшей мере одним заместителем, выбранным из гидроксила, галогена и C1-С6алкокси; и каждый R6, R7 и R8 независимо представляет собой атом водорода или С1-С5алкильную группу, которая может быть возможно замещена по меньшей мере одним заместителем, выбранным из гидроксила, галогена и C1-С6алкокси; при условии, что: (г) когда n означает 0, тогда А представляет собой NHC(О), и (д) когда n означает 1, Х представляет собой кислород, и А представляет собой C(O)NH, тогда R6 и R7 не являются оба одновременно атомом водорода или не являются оба одновременно незамещенным С1-С5алкилом, или когда один из R6 и R7 представляет собой атом водорода, тогда другой из R6 и R7 не является незамещенным С1-С6алкилом, и (е) когда n означает 1, Х представляет собой кислород, серу или >NH, и А представляет собой NHC(О), тогда R6 и R7 не являются оба одновременно атомом водорода или не являются оба одновременно незамещенным С1-С5алкилом, или когда один из R6 и R7 представляет собой атом водорода, тогда другой из R6 и R7 не является незамещенным С1-С5алкилом или -CH2CH2OH; или его фармацевтически приемлемые соль или сольват. В контексте настоящего описания, если не указано иначе, алкильный заместитель или алкильная группировка в заместителе может быть линейной или разветвленной. Примеры алкильных групп/группировок, содержащих вплоть до 6 атомов углерода, включают метил, этил, н-пропил, изопропил, н-бутил, изобутил, трет-бутил, н-пентил, н-гексил и комбинации любых двух или более из них. Алкильные группы в заместителе, представляющем собой ди-С1-С4алкиламино, могут быть одинаковыми или разными. Кроме того, следует принять во внимание, что в определении R5, если по меньшей мере один возможный заместитель представляет собой гидроксильную или алкоксигруппу, то он не присоединен к атому углерода, смежному либо с -Х-, либо с -NR6R7. Аналогично, в определениях R6, R7 и R8 гидроксильная или алкоксигруппировка не должна быть присоединена к атому углерода, смежному с атомом азота. В одном воплощении изобретения Ar представляет собой группу формулы (II) или (III). В другом воплощении изобретения Ar представляет собой группу формулы (II). Один из R2 и R3 представляет собой галоген (например, фтор, хлор, бром или йод), нитро, амино (-NH2), гидроксил или группу, выбранную из (1) C1-С6алкила, предпочтительно С1-C4алкила, возможно замещенного по меньшей мере одним (например, одним, двумя, тремя или четырьмя) атомом (атомами) галогена, как определено выше, (2) С3-С8циклоалкила (например, циклопропила, циклобутила, циклопентила или циклогексила), (3) C1-С6алкокси, предпочтительно С1-С4алкокси, возможно замещенного по меньшей мере одним (например, одним, двумя, тремя или четырьмя) атомом (атомами) галогена, как определено выше, и (4) С3-С8циклоалкилокси (например, циклопропилокси, циклобутилокси, циклопентилокси или циклогексилокси), а другой из R2 и R3 представляет собой атом водорода или галогена, как определено выше. В одном воплощении изобретения один из R2 и R3 представляет собой атом галогена (такого как хлор или бром), а другой из R2 и R3 представляет собой атом водорода. В воплощении изобретения n означает 0. R5 представляет собой C1-C5 (например, С1-С3) алкильную группу, которая может быть возможно замещена по меньшей мере одним заместителем (например, независимо одним, двумя, тремя или четырьмя заместителями), выбранным из гидроксила, галогена (например, фтора, хлора, брома или йода) и C1-С6, предпочтительно С1-С4, алкокси (например, метокси, этокси, н-пропокси, н-бутокси, н-пентокси, н-гексокси и комбинации любых двух или более из них). В одном воплощении изобретения R5 представляет собой -СН2-, -(СН2)2-, -(СН2)3– или -СН2СН(ОН)СН2-. Каждый R6 и R7 независимо представляет собой: (1) атом водорода, (2) C1-C6, предпочтительно C1-C5, алкил, возможно замещенный по меньшей мере одним заместителем (например, независимо одним, двумя, тремя или четырьмя заместителями), выбранным из гидроксила, галогена (например, фтора, хлора, брома или йода), С1-С6, предпочтительно C1-C4, алкокси (например, метокси, этокси, н-пропокси, н-бутокси, н-пентокси, н-гексокси и комбинации любых двух или более из них) и (ди)-С1-С4, предпочтительно C1-C2, алкиламино (который сам возможно замещен по меньшей мере, одной, например одной или двумя, гидроксильной группой (группами)), или (3) С3-С8циклоалкил, возможно замещенный по меньшей мере одним заместителем (например, независимо одним, двумя, тремя или четырьмя заместителями), выбранным из гидроксила, галогена (например, фтора, хлора, брома или йода) и C1-C6, предпочтительно C1-C4, алкокси (например, метокси, этокси, н-пропокси, н-бутокси, н-пентокси, н-гексокси и комбинации любых двух или более из них). В одном воплощении изобретения каждый R6 и R7 независимо представляет собой: (1) атом водорода, (2) С1-С5алкил, возможно замещенный по меньшей мере одним заместителем (например, независимо одним, двумя или тремя заместителями), выбранным из гидроксила и (ди)-С1-С4, предпочтительно C1-C2, алкиламино (который сам возможно замещен по меньшей мере одной, например одной или двумя, гидроксильной группой (группами)), или (3) С5-С6циклоалкил, возможно замещенный по меньшей мере одной, например одной или двумя, гидроксильной группой (группами). R8 представляет собой атом водорода или C1-C5, предпочтительно C1-С3, алкильную группу, которая может быть возможно замещена по меньшей мере одним заместителем (например, независимо одним, двумя, тремя или четырьмя заместителями), выбранным из гидроксила, галогена (например, фтора, хлора, брома или йода) и C1-C6, предпочтительно C1-C4, алкокси (например, метокси, этокси, н-пропокси, н-бутокси, н-пентокси, н-гексокси и комбинации любых двух или более из них). В одном воплощении изобретения R8 представляет собой атом водорода или С1-С3алкильную группу, которая может быть возможно замещена по меньшей мере одной, например одной или двумя, гидроксильной группой (группами). В другом воплощении изобретения каждый из R6, R7 и R8 независимо представляет собой атом водорода или C1-C5 (например, С1-С3) алкильную группу, которая может быть возможно замещена по меньшей мере одним заместителем (например, независимо одним, двумя, тремя или четырьмя заместителями), выбранным из гидроксила, галогена (например, фтора, хлора, брома или йода) и C1-С6алкокси (например, метокси, этокси, н-пропокси, н-бутокси, н-пентокси, н-гексокси и комбинации любых двух или более из них). В дополнительном воплощении изобретения каждый из R6, R7 и R8 независимо представляет собой атом водорода или C1-C5 (например, C1-С3) алкильную группу, возможно замещенную по меньшей мере одной, например одной, двумя или тремя, гидроксильной группой (группами), такую как -СН3, -С2Н5, -СН(СН3)2, -СН2ОН, -(CH2)2OH, -(СН2)3ОН, -СН(СН3)СН2OH, -СН2СН(СН3)ОН, -СН2СН(ОН)СН3, -СН2СН(ОН)СН2OH, -СН2С(СН3)2OH, -СН(изопропил)СН2OH, -СН(СН2OH)2 или -СН2С(СН3)2СН2ОН. В одном воплощении изобретения предложена подгруппа соединений формулы (I) и их фармацевтически приемлемых солей и сольватов, в которой: m означает 1; каждый R1 представляет собой атом водорода; А представляет собой NHC(O); Ar представляет собой группу
один из R2 и R3 представляет собой атом галогена, а другой из R2 и R3 представляет собой атом водорода; R4 представляет собой группу
Х представляет собой атом кислорода или серы или группу >N-R8; n означает 0 или 1; R5 представляет собой C1-С3алкильную группу, возможно замещенную по меньшей мере одной гидроксильной группой; каждый из R6 и R7 независимо представляет собой атом водорода или С1-С5алкил (возможно замещенный одним или двумя заместителями, независимо выбранными из гидроксила и (ди)-С1-С2алкиламино (который сам может быть замещен по меньшей мере одной гидроксильной группой)) или С6циклоалкил (замещенный по меньшей мере одной гидроксильной группой); R8 представляет собой атом водорода или С2алкильную группу, замещенную по меньшей мере одной гидроксильной группой; и при условиях (а), (б) и (в), указанных выше. В другом воплощении изобретения предложена еще одна подгруппа соединений формулы (I) и их фармацевтически приемлемых солей и сольватов, в которой: m означает 1; каждый R1 представляет собой атом водорода; А представляет собой NHC(O); Ar представляет собой группу
один из R2 и R3 представляет собой атом галогена, а другой из R2 и R3 представляет собой атом водорода; R4 представляет собой группу
Х представляет собой атом кислорода или серы или группу >N-R8; n означает 0 или 1; R5 представляет собой С2-С3алкильную группу, возможно замещенную по меньшей мере одной гидроксильной группой; каждый из R6 и R7 независимо представляет собой атом водорода или С1-С5алкильную группу, возможно замещенную одной или двумя гидроксильными группами; R8 представляет собой атом водорода или С2алкильную группу, замещенную по меньшей мере одной гидроксильной группой; и при условиях (г), (д) и (е), указанных выше. Примеры соединений по настоящему изобретению включают: N-(1-Адамантилметил)-5-хлор-2-{3-[(3-гидроксипропил)-амино]пропил}изоникотинамид, N-(1-Адамантилметил)-5-хлор-2-{3-[(3-гидроксипропил)амино]пропил}-изоникотинамида дигидрохлорид, N-(1-Адамантилметил)-2-хлор-5-{3-[(3-гидроксипропил)амино]пропил}никотинамид, N-(1-Адамантилметил)-2-хлор-5-(3-{[(1S)-2-гидрокси-1-метилэтил]амино}пропил)никотинамид, N-(1-Адамантилметил)-2-хлор-5-(3-{[(1R)-2-гидрокси-1-метилэтил]амино}пропил)никотинамид, N-(1-Адамантилметил)-2-(3-аминопропил)-5-хлоризоникотинамида гидрохлорид, N-(1-Адамантилметил)-5-хлор-2-[3-(этиламино)пропил]изоникотинамида гидрохлорид, N-(1-Адамантилметил)-5-хлор-2-({2-[(3-гидроксипропил)амино]-этил}тио)изоникотинамида гидрохлорид, N-(1-Адамантилметил)-5-хлор-2-(3-{[(1R)-2-гидрокси-1-метилэтил]амино}пропил)изоникотинамида дигидрохлорид, N-(1-Адамантилметил)-5-хлор-2-(3-{[(1S)-2-гидрокси-1-метилэтил]амино}пропил)изоникотинамида дигидрохлорид, N-(1-Адамантилметил)-5-хлор-2-{3-[(2-гидроксиэтил)амино]пропил}-изоникотинамида гидрохлорид, N-(1-Адамантилметил)-5-хлор-2-{2-[(3-гидроксипропил)амино]этокси}изоникотинамида гидрохлорид, N-(1-Адамантилметил)-5-хлор-2-({2-[(2-гидроксиэтил)амино]этил}-амино)изоникотинамида дигидрохлорид, N-(1-Адамантилметил)-5-хлор-2-[3-(изопропиламино)пропил]изоникотинамида дигидрохлорид, N-(1-Адамантилметил)-5-хлор-2-(3-{[(2S)-2-гидроксипропил]амино}пропил)изоникотинамида дигидрохлорид, N-(1-Адамантилметил)-5-хлор-2-(3-{[(2R)-2,3-дигидроксипропил]амино}пропил)изоникотинамида дигидрохлорид, N-(1-Адамантилметил)-5-хлор-2-(3-{[(2S)-2,3-дигидроксипропил]амино}пропил)изоникотинамида дигидрохлорид, N-(1-Адамантилметил)-5-хлор-2-{3-[(4-метилциклогексил)амино]пропил}изоникотинамидадигидрохлорид, N-(1-Адамантилметил)-5-хлор-2-{3-[(2-гидрокси-2-метилпропил)амино]пропил}изоникотинамида дигидрохлорид, N-(1-Адамантилметил)-5-хлор-2-(3-{[(1R)-1-(гидроксиметил)-2-метилпропил]амино}пропил)изоникотинамида дигидрохлорид, N-(1-Адамантилметил)-5-хлор-2-(3-{[2-(метиламино)этил]амино}пропил)изоникотинамида дигидрохлорид, N-(1-Адамантилметил)-5-хлор-2-(3-{[3-(метиламино)пропил]амино}пропил)изоникотинамида бис(трифторацетат), N-(1-Адамантилметил)-5-хлор-2-[3-({2-[(2-гидроксиэтил)амино]этил}амино)пропил]изоникотинамида дигидрохлорид, N-(1-Адамантилметил)-5-хлор-2-(3-{[2-(диэтиламино)этил]амино}пропил)изоникотинамида дигидрохлорид, N-(1-Адамантилметил)-5-хлор-2-(3-{[2-гидрокси-1-(гидроксиметил)этил]амино}пропил)изоникотинамида дигидрохлорид, N-(1-Адамантилметил)-5-хлор-2-{3-[(2-гидроксиэтил)(метил)амино]пропил}изоникотинамида дигидрохлорид, N-(1-Адамантилметил)-5-хлор-2-{3-[(3-гидрокси-2,2-диметилпропил)амино]пропил}изоникотинамида дигидрохлорид, N-(1-Адамантилметил)-5-хлор-2-(3-{[(2R)-2-гидроксипропил]амино}пропил)изоникотинамида дигидрохлорид, N-(1-Адамантилметил)-5-хлор-2-({[3-(метиламино)пропил]амино}метил)изоникотинамида дигидрохлорид, N-(1-Адамантилметил)-5-хлор-2-[({2-[(2-гидроксиэтил)амино]этил}амино)метил]изоникотинамида дигидрохлорид, N-(1-Адамантилметил)-5-хлор-2-({[2-(метиламино)этил]амино}метил)изоникотинамида дигидрохлорид, N-(1-Адамантилметил)-5-хлор-2-{3-[(2-гидроксиэтил)амино]этил}изоникотинамида дигидрохлорид, N-(1-Адамантилметил)-5-хлор-2-(3-[(3-гидроксипропил)амино]этил}изоникотинамида дигидрохлорид, N-(1-Адамантилметил)-5-хлор-2-[3-(метиламино)пропил]изоникотинамида гидрохлорид, N-(1-Адамантилметил)-5-бром-2-{[(2S)-2-гидрокси-3-(метиламино)пропил]окси}изоникотинамид, N-(1-Адамантилметил)-2-({3-[бис(3-гидроксипропил)амино]пропил}амино)-3-хлоризоникотинамида дигидрохлорид, и все фармацевтически приемлемые соли и сольваты любого из них. В настоящем изобретении дополнительно предложен способ получения соединения формулы (I), определенной выше, или его фармацевтически приемлемой соли или сольвата, при котором: (1) когда n означает 0, и R5 представляет собой СН2, соединение формулы
где R10 представляет собой -С(O)Н или -CH2L1, L1 представляет собой уходящую группу (например, галоген, паратолуолсульфонат или метансульфонат), и m, R1, R2 и R3 такие, как определено в формуле (I), или соединение формулы
где R11 представляет собой -С(O)Н или -CH2L2, L2 представляет собой уходящую группу (например, галоген, паратолуолсульфонат или метансульфонат), и m, R1, R2 и R3 такие, как определено в формуле (I), или соединение формулы
где R12 представляет собой -С(O)Н или -CH2L3, L3 представляет собой уходящую группу (например, галоген, паратолуолсульфонат или метансульфонат), и m, R1, R2 и R3 такие, как определено в формуле (I), подвергают взаимодействию с соединением формулы (XIII), HNR6R7, где R6 и R7 такие, как определено в формуле (I), в условиях восстановительного аминирования, когда R10, R11 или R12 представляет собой -С(O)Н, или в присутствии подходящего основания, когда R10, R11 или R12 представляет собой -CH2L1, -CH2L2 или -CH2L3; или (2) когда n означает 0, R5 представляет собой (СН2)2, и R6 и R7 оба представляют собой водород, соединение формулы (X), как определено в (1) выше, в которой R10 представляет собой -CH2L1, или соединение формулы (XI), как определено в (1) выше, в которой R11 представляет собой -CH2L2, или соединение формулы (XII), как определено в (1) выше, в которой R12 представляет собой -CH2L3, подвергают взаимодействию с цианидом щелочного металла с последующей реакцией гидрирования; или (3) когда n означает 0, R5 представляет собой (СН2)2, и по меньшей мере один из R6 и R7 не является водородом, соединение, полученное в (2) выше, подвергают взаимодействию с по меньшей мере одним соединением формулы (XIV), R13C(O)H, где R13 представляет собой возможно замещенную C1-С6алкильную или С3-С8циклоалкильную группу, как определено для R6 и R7 в формуле (I), в условиях восстановительного аминирования; или (4) когда n означает 0, и R5 представляет собой С3-С5алкильную группу, возможно замещенную, как определено в формуле (I), соединение формулы
где R14 представляет собой уходящую группу (например, галоген или трифторметансульфонат), и m, R1, R2 и R3 такие, как определено в формуле (I), или соединение формулы
где R15 представляет собой уходящую группу (например, галоген или трифторметансульфонат), и m, R1, R2 и R3 такие, как определено в формуле (I), или соединение формулы
где R16 представляет собой уходящую группу (например, галоген или трифторметансульфонат), и m, R1, R2 и R3 такие, как определено в формуле (I), подвергают взаимодействию с соединением формулы
где R5′ представляет собой C1-С3алкильную группу, возможно замещенную так, как определено для R5 в формуле (I), и R6 и R7 такие, как определено в формуле (I), с последующей реакцией гидрирования; или (5) когда n означает 0, и R5 представляет собой С3-С5алкильную группу, возможно замещенную, как определено в формуле (I), соединение формулы (XV), (XVI) или (XVII), как определено в (4) выше, подвергают взаимодействию с соединением формулы
где R5′ такой, как определено в формуле (XVIII) в (4) выше, с последующей реакцией гидрирования и затем реакцией окисления, и затем подвергают взаимодействию с соединением формулы (XIII), как определено в (1) выше, в условиях восстановительного аминирования; или (6) когда n означает 1, и Х представляет собой кислород или >N-R8, соединение формулы
где R17 представляет собой уходящую группу (например, галоген или трифторметансульфонат), и m, A, R1, R2 и R3 такие, как определено в формуле (I), или соединение формулы
где R18 представляет собой уходящую группу (например, галоген или трифторметансульфонат), и m, A, R1, R2 и R3 такие, как определено в формуле (I), или соединение формулы
где R19 представляет собой уходящую группу (например, галоген или трифторметансульфонат), и m, A, R1, R2 и R3 такие, как определено в формуле (I), подвергают взаимодействию с соединением формулы
где X’ представляет собой кислород или >N-R8, и R5, R6, R7 и R8 такие, как определено в формуле (I); или (7) когда А представляет собой NHC(O), n означает 1 и Х представляет собой серу, соединение формулы
где в каждой из формул (XXIV), (XXV) и (XXVI) L4 представляет собой уходящую группу (например, галоген или гидроксил), и R2, R3, R5, R6 и R7 такие, как определено в формуле (I), подвергают взаимодействию с соединением формулы
где m и R1 такие, как определено в формуле (I); или (8) когда А представляет собой C(O)NH, n означает 1, и Х представляет собой серу, соединение формулы
где в каждой из формул (XXVIII), (XXIX) и (XXX) R2, R3, R5, R6 и R7 такие, как определено в формуле (I), подвергают взаимодействию с соединением формулы
где L5 представляет собой уходящую группу (например, галоген или гидроксил), и m и R1 такие, как определено в формуле (I); или (9) когда n означает 0, и R5 представляет собой С2-С5алкильную группу, замещенную, как определено в формуле (I), соединение формулы
или соединение формулы
или соединение формулы
где в каждой из формул (XXXII), (XXXIII) и (XXXIV) Y представляет собой связь или C1-С3алкил, и m, R1, R2 и R3 такие, как определено в формуле (I), подвергают взаимодействию с соединением формулы (XIII), как определено в (1) выше, и после этого возможно подвергают взаимодействию с С1-С6алкилирующим агентом или с галогенирующим агентом; или (10) когда n означает 0, и R5 представляет собой С3-С5алкильную группу, возможно замещенную, как определено в формуле (I), соединение формулы (XV), (XVI) или (XVII), как определено в (4) выше, подвергают взаимодействию с предварительно обработанным соединением формулы
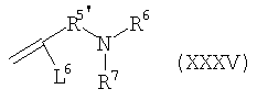
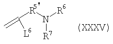
где L6 представляет собой атом водорода, и R5 представляет собой C1-С3алкильную группу, возможно замещенную так, как определено для R5 в формуле (I), и R6 и R7 такие, как определено в формуле (I), где соединение формулы (XXXV) предварительно обработано гидроборирующим агентом; или (11) когда n означает 0, и R5 представляет собой С3-С5алкильную группу, возможно замещенную так, как определено в формуле (I), соединение формулы (XV), (XVI) или (XVII), как определено в (4) выше, в присутствии подходящего катализатора, такого как тетракис(трифенилфосфин)палладий, подвергают взаимодействию с предварительно обработанным соединением формулы
в которой L7 представляет собой атом водорода, и R5 представляет собой C1-С3алкильную группу, возможно замещенную так, как определено для R5 в формуле (I), и Р представляет собой подходящую защитную группу, такую как трет-бутилдиметилсилил, где соединение формулы (XXXVIII) предварительно обработано гидроборирующим агентом, с последующим удалением защитной группы Р в реакции удаления защиты, затем реакцией окисления и затем взаимодействием с соединением формулы (XIII), как определено в (1) выше, в условиях восстановительного аминирования; или (12) когда n означает 0, и R5 представляет собой (СН2)2, соединение формулы (XV), (XVI) или (XVII), как определено в (4) выше, подвергают взаимодействию с соединением формулы
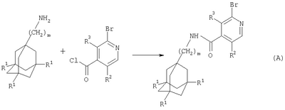
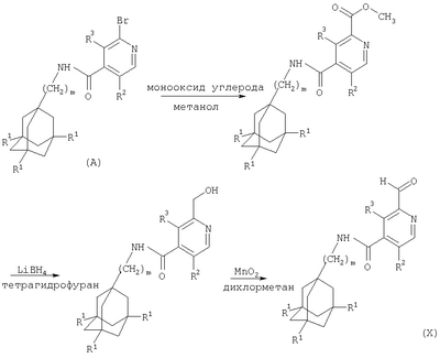
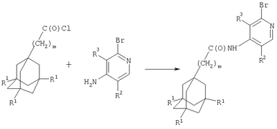
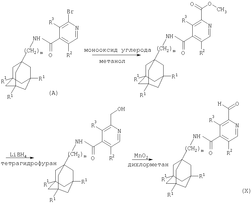
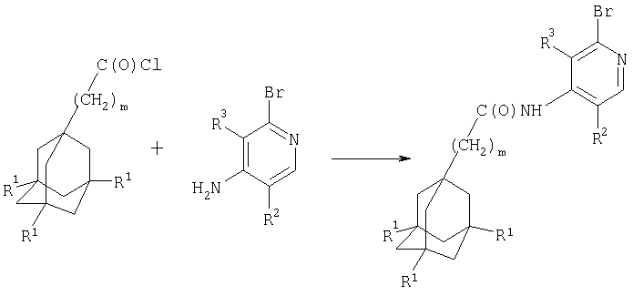
где R20 представляет собой подходящую уходящую группу, такую как триалкилолово, диалкилбор или цинк, в присутствии подходящего катализатора, такого как дихлорбис(трифенилфосфин)палладий, с последующим взаимодействием с соединением формулы (XIII), как определено в (1) выше; или (13) когда n означает 0, и R5 представляет собой СН2, соединение формулы (XV), (XVI) или (XVII), как определено в (4) выше, подвергают взаимодействию с соединением формулы (XXXIX), как определено в (12) выше, с последующей реакцией окисления, и затем подвергают взаимодействию с соединением формулы (XIII), как определено в (1) выше, в условиях восстановительного аминирования; и, возможно, после (1), (2), (3), (4), (5), (6), (7), (8), (9), (10), (11), (12) или (13) осуществляют одну или более чем одну из следующих операций: – превращение полученного соединения в другое соединение формулы (I); – образование фармацевтически приемлемых соли или сольвата такого соединения. В (1) выше восстановительное аминирование обычно осуществляют в присутствии восстанавливающего агента, такого как цианоборгидрид натрия, триацетоксиборгидрид или боргидрид натрия, и в полярном растворителе, таком как метанол, этанол или дихлорметан, либо в чистом виде, либо в сочетании с уксусной кислотой. Основание, упомянутое в (1), представляет собой обычно карбонат калия, и реакция, в которой он используется, может быть выполнена в полярном растворителе, таком как этанол или диметилформамид. В способе (2) использующийся цианид щелочного металла может представлять собой цианид натрия или калия. Реакцию гидрирования обычно осуществляют с использованием газообразного водорода и катализатора гидрирования, такого как никель Рэнея. В способе (3) условия восстановительного аминирования могут быть такими же, как описано для (1) выше. В способе (4) взаимодействие с ацетиленовым соединением формулы (XVIII) может быть осуществлено в присутствии каталитического бистрифенилфосфинпалладий(0) дихлорида, йодида меди (I) и основания (например, триэтиламина), и в растворителе, таком как ацетонитрил, при температуре окружающей среды (20°С). В последующей реакции гидрирования может быть использован газообразный водород с катализатором, таким как 5% родий на углероде в растворителе, например этилацетате или этаноле, и под давлением 3 бар (0,3 МПа). В способе (5) взаимодействие с ацетиленовым соединением формулы (XIX) и затем реакция гидрирования могут быть осуществлены способами, аналогичными тем, которые описаны в предыдущем параграфе для способа (4). Реакция окисления может быть выполнена с помощью стандартных оксидантов (например, реагента Десс-Мартина (Dess-Martin) или пиридиния дихромата), в растворителе, таком как дихлорметан. Взаимодействие с соединением формулы (XIII) осуществляют в условиях восстановительного аминирования, например, в присутствии восстанавливающего агента, такого как цианоборгидрид натрия, триацетоксиборгидрид или боргидрид натрия, и в полярном растворителе, таком как метанол, этанол или дихлорметан, либо в чистом виде, либо в сочетании с уксусной кислотой. Способ (6) может быть осуществлен в растворителе, таком как диметилформамид или N-метил-2-пирролидинон, с использованием основания, такого как карбонат цезия, карбонат калия или гидрид натрия, и при повышенной температуре, например, равной или превышающей 30°С, более конкретно при температуре в диапазоне от 30 до 150°С, особенно от 100 до 150°С. Было установлено, что температура около 120°С является очень эффективной. Способы (7) и (8) обычно осуществляют в растворителе, таком как дихлорметан или диметилформамид, и в присутствии карбонилдиимидазола или агента сочетания, такого какдициклогексилкарбодиимид. В способе (9) взаимодействие с соединением формулы (XIII) может быть удобным образом осуществлено в растворителе, таком как N-метил-2-пирролидинон, с использованием основания, такого как карбонат калия, при температуре в диапазоне, например, от 0°С или 20°С до 100°С. Последующее взаимодействие образовавшегося спирта с C1-С6алкилирующим агентом (например, С1-С6алкилгалогенидом) может быть осуществлено в том же растворителе и в присутствии основания, такого как гидрид натрия. Альтернативно, последующее взаимодействие образовавшегося спирта с галогенирующим агентом (например, N-бромсукцинимидом или N-хлорсукцинимидом с трифенилфосфином) может быть осуществлено в растворителе, таком как тетрагидрофуран. В способе (10) соединение формулы (XXXV) предварительно обрабатывают путем взаимодействия с гидроборирующим реагентом (таким как 9-борабицикло[3.3.1]нонан или катехолборан) в растворителе (таком как диэтиловый эфир или тетрагидрофуран) при температуре в диапазоне от 0°С до 80°С (в частности, от 60°С до 70°С) в течение приблизительно 2-3 часов, затем охлаждения реакционной смеси до комнатной температуры и добавления раствора основания (такого как гидроксид натрия в воде или трикалия ортофосфат в воде), затем раствора соединения формулы (XV), (XVI) или (XVII) в растворителе (таком как диметилформамид) и палладиевого катализатора (такого как аддукт дихлор[1,1′-бис(дифенилфосфино)ферроцен]палладий(11) дихлорметан). Полученную реакционную смесь перемешивают при температуре в диапазоне от 25°С до 90°С (в частности, от 60°С до 70°С) в течение приблизительно 2-24 часов с получением желаемых соединений формулы (I). В способе (11) взаимодействие с виниловым соединением формулы (XXXVIII) может быть осуществлено способами, аналогичными тем, которые описаны в параграфе для способа (10). При наличии подходящей защитной группы, такой как трет-бутилдиметилсилил, удаление защиты может быть осуществлено с использованием стандартных условий (например, тетра-бутиламмония фторид, фтористоводородная кислота) в растворителе, таком как тетрагидрофуран или вода. Последующие реакции окисления и восстановительного аминирования могут быть выполнены способами, аналогичными тем, которые описаны в параграфе для способа (5). В способе (12) взаимодействие с виниловым соединением формулы (XXXIX) может быть осуществлено в присутствии каталитического дихлорбус(трифенилфосфин)палладия в растворителе, таком как N,N-диметилформамид, при повышенной температуре, например 70°С. Последующая реакция присоединения может быть выполнена в кислых или щелочных условиях, например в уксусной кислоте, в растворителе, таком как метанол или изопропанол, при повышенной температуре, например 100°С. В способе (13) взаимодействие с виниловым соединением формулы (XXXIX) может быть осуществлено способами, аналогичными тем, которые описаны в параграфе для способа (12). Последующее окисление может быть выполнено в стандартных условиях, таких как взаимодействие с озоном с последующей обработкой диметилсульфидом или трифенилфосфином в подходящем растворителе, таком как дихлорметан, или обработкой тетраоксидом осмия и периодатом натрия в подходящем растворителе, таком как 1,4-диоксан и вода. Образующийся альдегид может быть дериватизирован с помощью реакции восстановительного аминирования, которая может быть выполнена способом, аналогичным тому, который описан в параграфе для способа (5). Соединения формулы (X), где R10 представляет собой -С(O)Н, могут быть получены в соответствии со следующими реакционными схемами. (А) затем дополнительно подвергают следующим реакциям. Соединения формул (XI) и (XII), в которых R11 и R12 представляют собой -С(O)Н, могут быть получены аналогично соединениям формулы (X). Соединения формулы (X), в которой R10 представляет собой -CH2L1, и L1 представляет собой, например, атом хлора, могут быть получены так, как показано ниже: Следует принять во внимание, что соединения формул (XI) и (XII), в которых R11 представляет собой -CH2L2 и R12 представляет собой -CH2L3, могут быть получены аналогичным способом. Соединения формул (XV), (XVI) и (XVII) могут быть получены так, как описано для соединения (А) выше. Аналогично, соединения формул (XX), (XXI) и (XXII), в которых А представляет собой NHC(O), могут быть получены так, как описано для соединения (А) выше. Соединения формулы (XX), в которой А представляет собой C(O)NH, может быть получено следующим образом: Соединения формул (XXI) и (XXII), в которых А представляет собой C(O)NH, могут быть получены аналогичными способами. Соединения формулы (XXIV) могут быть получены путем взаимодействия соединения формулы
где L7 представляет собой подходящую уходящую группу, такую как атом галогена, и R2, R3 и L4 такие, как определено в формуле (XXIV), с тиолом формулы
в которой R5, R6 и R7 такие, как определено в формуле (I), в растворителе, таком как диметилформамид, N-метил-2-пирролидинон или этанол, в присутствии основания, такого как карбонат цезия, карбонат калия или гидрид натрия, и при повышенной температуре (например, 120°С). Соединения формул (XXV), (XXVI), (XXVIII), (XXIX) и (XXX) могут быть получены аналогично соединениям формулы (XXIV). Соединения формулы (XXXII) (и по аналогии, соединения формулы (XXXIII) и (XXXIV)) могут быть получены следующим путем: Соединения формул (XIII), (XIV), (XVIII), (XIX), (XXIII), (XXVII), (XXXI), (XXXV), (XXXVI), (XXXVII), (XXXVIII) и (XXXIX) либо имеются в продаже, хорошо известны в литературе, либо могут быть легко получены с помощью известных способов. Соединения формулы (I) могут быть превращены в дополнительные соединения формулы (I) с помощью стандартных способов. Например, соединения формулы (I), в которой один из R2 и R3 представляет собой атом галогена, могут быть превращены в соответствующее соединение формулы (I), в которой один из R2 и R3 представляет собой С1-С6алкильную группу, путем взаимодействия с алкильным реагентом Гриньяра (например, метилмагний бромидом) в присутствии катализатора, такого как [1,3-бис(дифенилфосфино)пропан]дихлорникель (II), в растворителе, таком как тетрагидрофуран. Специалистам в данной области следует принять во внимание, что в способах по настоящему изобретению определенные функциональные группы, такие как гидроксильные или аминогруппы, в исходных реагентах или промежуточных соединениях могут нуждаться в защите с помощью защитных групп. Таким образом, получение соединений формулы (I) может включать, на различных этапах, добавление и удаление одной или более чем одной защитной группы. Введение и удаление защиты функциональных групп описано в “Protective Groups in Organic Chemistry”, edited by J.W.F.McOmie, Plenum Press (1973) и “Protective Groups in Organic Synthesis”, 2nd edition, T.W.Greene and P.G.M.Wuts, Wiley-lnterscience (1991). Соединения формулы (I), описанные выше, могут быть превращены в их фармацевтически приемлемую соль или сольват, предпочтительно соль присоединения кислоты, такую как гидрохлорид, гидробромид, фосфат, ацетат, фумарат, малеат, тартрат, цитрат, оксалат, метансульфонат или п-толуолсульфонат, или соль щелочного металла, такую как натриевая или калиевая соль. Некоторые соединения формулы (I) могут существовать в стереоизомерных формах. Следует понимать, что настоящее изобретение охватывает все геометрические и оптические изомеры соединений формулы (I) и их смеси, включая рацематы. Таутомеры и их смеси также являются аспектом настоящего изобретения. В настоящем изобретении предложены также новые промежуточные соединения, в частности промежуточные соединения формулы
где Т представляет собой -С R30 представляет собой -СНО, -СН2OP1 или группу формулы
Р1 представляет собой атом водорода или подходящую защитную группу (например, трет-бутилдиметилсилил); Р2 представляет собой подходящую защитную группу (например, трет-бутилкарбамат); Р3 представляет собой подходящую защитную группу (например, трет-бутилдиметилсилил или тетрагидро-2Н-пиран-2-ил); R31 представляет собой С1-С6алкильную группу; и m, A, R1, R2 и R3 такие, как определено в формуле (I). В одном воплощении изобретения в формуле (IA), m означает 1; А представляет собой NHC(О); каждый R1 представляет собой атом водорода; R2 представляет собой атом галогена; и R3 представляет собой атом водорода. Соединения по настоящему изобретению являются полезными, так как они обладают фармакологической активностью. Поэтому они указаны в качестве лекарственных средств для применения в лечении ревматоидного артрита, остеоартрита, псориаза, аллергического дерматита, астмы, хронического обструктивного заболевания легких (ХОЗЛ), гиперреактивности дыхательных путей, септического шока, гломерулонефрита, воспалительного заболевания кишечника, болезни Крона, язвенного колита, атеросклероза, роста и метастазов злокачественных клеток, миобластного лейкоза, диабета, болезни Альцгеймера, менингита, остеопороза, ожогового поражения, ишемической болезни сердца, удара, варикозного расширения вен, саркоидоза, ринита, острой и хронической боли, рассеянного склероза, миеломы, потери кости, ассоциированной со злокачественностью, и воспалительных и нейродегенеративных заболеваний глаза, таких как склерит, эписклерит, увеит, синдром Шегрена-кератоконъюктивит, склерокератит, ретробульбарный неврит, диабетическая ретинопатия, пигментный ретинит, индуцированная противомалярийными препаратами ретинопатия. Таким образом, в настоящем изобретении предложено соединение формулы (I) или его фармацевтически приемлемая соль или сольват, как определено выше, для применения в терапии. В другом аспекте настоящего изобретения предложено применение соединения формулы (I) или его фармацевтически приемлемой соли или сольвата, как определено выше, для изготовления лекарственного средства для применения в терапии. В контексте настоящего описания термин “терапия” также включает в себя “профилактику”, если не указано иначе. Термины “терапевтический” и “терапевтически” следует толковать таким же образом. В изобретении дополнительно предложен способ осуществления иммуносупрессии (например, при лечении ревматоидного артрита, остеоартрита, воспалительного заболевания кишечника, атеросклероза или псориаза), при котором пациенту вводят терапевтически эффективное количество соединения формулы (I) или его фармацевтически приемлемой соли или сольвата, как определено выше. В изобретении также предложен способ лечения обструктивного заболевания дыхательных путей (например, астмы или ХОЗЛ), при котором пациенту вводят терапевтически эффективное количество соединения формулы (I) или его фармацевтически приемлемой соли или сольвата, как определено выше. Для вышеупомянутых терапевтических применений вводимые дозировки будут, конечно, варьировать в зависимости от используемого соединения, способа введения, желаемого терапевтического эффекта и указанного расстройства. Суточная дозировка соединения формулы (I)/соли/сольвата (активного ингредиента) может находиться в диапазоне от 0,001 мг/кг до 30 мг/кг. Соединения формулы (I) и их фармацевтически приемлемые соли и сольваты могут быть использованы сами по себе, но обычно будут вводиться в виде фармацевтической композиции, в которой соединение формулы (I)/соль/сольват (активный ингредиент) находится в сочетании с фармацевтически приемлемым адъювантом, разбавителем или носителем. В зависимости от способа введения, фармацевтическая композиция будет предпочтительно содержать от 0,05 до 99 мас.% (массовый процент), более предпочтительно от 0,10 до 70 мас.%, активного ингредиента, и от 1 до 99,95 мас.%, более предпочтительно, от 30 до 99,90 мас.%, фармацевтически приемлемого адъюванта, разбавителя или носителя, все массовые проценты берутся от общей композиции. Таким образом, в настоящем изобретении также предложена фармацевтическая композиция, содержащая соединение формулы (I) или его фармацевтически приемлемую соль или сольват, как определено выше, в сочетании с фармацевтически приемлемым адъювантом, разбавителем или носителем. В изобретении дополнительно предложен способ получения фармацевтической композиции по настоящему изобретению, при котором соединение формулы (I) или его фармацевтически приемлемую соль или сольват, как определено выше, смешивают с фармацевтически приемлемым адъювантом, разбавителем или носителем. Фармацевтическую композицию по настоящему изобретению можно вводить местно (например, в легкие и/или дыхательные пути или на кожу) в виде растворов, суспензий, гептафторалкановых аэрозолей и сухих порошковых препаратов; или системно, например путем перорального введения в виде таблеток, капсул, сиропов, порошков или гранул, или путем парентерального введения в виде растворов или суспензий, или путем подкожного введения, или путем ректального введения в виде суппозиториев, или трансдермально. Настоящее изобретение теперь будет дополнительно объяснено со ссылкой на следующие иллюстративные примеры. В примерах ЯМР-спектры измеряли на спектрометре Varian Unity при протонной частоте либо 300, либо 400 МГц. МС-спектры измеряли либо на спектрометре Agilent 1100 MSD G1946D, либо на спектрометре Hewlett Packard HP 1100 MSD G1946A. Препаративное ВЭЖХ-разделение осуществляли с помощью колонки Waters Symmetry® или Xterra®, используя смесь 0,1% водная трифторуксусная кислота:ацетонитрил или 0,1% водный аммиак:ацетонитрил в качестве элюента. Пример 1 N-(1-Адамантилметил)-5-хлор-2-{3-[(3-гидроксипропил)-амино]пропил}изоникотинамид
(1) 2-Бром-5-хлоризоникотиновая кислота К перемешиваемому раствору диизопропиламина (16 мл) в безводном тетрагидрофуране (300 мл) при -5°С добавляли по каплям раствор н-бутиллития в гексане (2,5 молярный, 44 мл) и полученный раствор перемешивали в течение 30 минут и затем охлаждали до -70°С. К охлажденному раствору добавляли раствор 2-бром-5-хлорпиридина (19,2 г) в безводном тетрагидрофуране (50 мл), поддерживая внутреннюю температуру реакции ниже -65°С. Реакцию поддерживали при -70°С в течение 15 минут и затем через реакционную смесь пропускали постоянный поток сухого диоксида углерода в течение 30 минут. Реакционную смесь оставляли нагреваться до комнатной температуры и вливали ее в смесь воды (300 мл) и водного раствора гидроксида натрия (2 М, 30 мл). Смесь экстрагировали диэтиловым эфиром (2×100 мл) и объединенные эфирные экстракты снова экстрагировали водным раствором гидроксида натрия (1 М, 2×100 мл). Объединенные водные экстракты подкисляли до рН 1 концентрированной соляной кислотой и полученное твердое вещество отфильтровывали и высушивали под вакуумом при 50°С с получением указанного в подзаголовке соединения в виде белого твердого вещества (14,1 г). 1H-ЯМР (300 МГц, ДМСО-d6) Т.пл.: 246-247°С (разл.). (2) N-(1-Адамантилметил)-2-бром-5-хлоризоникотинамид К перемешиваемой суспензии 2-бром-5-хлоризоникотиновой кислоты (5,0 г) в безводном дихлорметане (30 мл) прибавляли диметилформамид (1 капля), затем оксалилхлорид (3,7 мл). Реакционную смесь перемешивали при комнатной температуре в течение 2 часов и затем выпаривали досуха, подвергая азеотропной перегонке с толуолом. Остаток суспендировали в этилацетате (100 мл) и охлаждали до 5°С, куда по каплям добавляли раствор 1-адамантилметиламина (3,47 г) и триэтиламина (7,0 мл) в этилацетате (10 мл). Смесь перемешивали в течение 2 часов и затем вливали в воду и полученное твердое вещество отфильтровывали и высушивали под вакуумом при 40°С с получением указанного в подзаголовке соединения в виде белого твердого вещества (8,05 г). 1H-ЯМР (400 МГц, CDCl3) Т.пл.: 153-155°С (разл.). МС (масс-спектр): ХИАД(+ve) (ХИАД, химическая ионизация при атмосферном давлении) 383/385 (М+1). (3) N-(1-Адамантилметил)-5-хлор-2-(3-гидрокси-1-пропинил)изоникотинамид Смесь N-(1-адамантилметил)-2-бром-5-хлоризоникотинамида (Пример 1(2)) (0,96 г), пропаргилового спирта (0,16 г), йодида меди(I), бис-трифенилфосфинпалладия дихлорида (0,035 г) и диэтиламина (10 мл) перемешивали при комнатной температуре в течение 20 часов. Смесь концентрировали и остаток распределяли между этилацетатом и 1 М водным раствором соляной кислоты (2×25 мл) и эту смесь экстрагировали в этилацетат (3×25 мл). Объединенные экстракты высушивали над безводным сульфатом магния, фильтровали и концентрировали. Остаток очищали посредством хроматографии на силикагеле, элюируя смесью этилацетат:изогексан (от 1:4 до 1:1) и затем этилацетатом с получением указанного в подзаголовке соединения (0,48 г) в виде масла. 1Н-ЯМР (400 МГц, CDCl3) MC: ХИАД(+ve) 359/361 (М+1). (4) N-(1-Адамантилметил)-5-хлор-2-(3-гидроксипропил)изоникотинамид Смешанную суспензию N-(1-адамантилметил)-5-хлор-2-(3-гидрокси-1-пропинил)изоникотинамида (Пример 1(3)) (0,48 г) и 5% родия на углероде (0,020 г) перемешивали при положительном давлении (3 бар, 0,3 МПа) водорода до тех пор, пока наблюдалось поглощение. Смесь фильтровали и концентрировали. Остаток очищали посредством хроматографии на силикагеле, элюируя этилацетатом, с получением указанного в подзаголовке соединения (0,305 г) в виде масла. 1H-ЯМР (300 МГц, CDCl3) MC: ХИАД(+ve) 363/365 (М+1). (5) N-(1-Адамантилметил)-5-хлор-2-{3-[(3-гидроксипропил)-амино]пропил}изоникотинамид К перемешиваемому раствору N-(1-адамантилметил)-5-хлор-2-(3-гидроксипропил)изоникотинамида (Пример 1(4)) (0,30 г) в сухом дихлорметане (20 мл) добавляли реагент Десс-Мартина (0,42 г) и полученную суспензию перемешивали при комнатной температуре в течение 30 минут. Реакционную смесь вливали в смесь насыщенного раствора бикарбоната натрия, содержащего тиосульфат натрия (10% мас./об., 20 мл) и смесь экстрагировали в этилацетат (3×25 мл). Объединенные экстракты высушивали над безводным сульфатом магния, фильтровали и концентрировали. Сырой альдегид растворяли в метаноле (2 мл) и добавляли 3-аминопропан-1-ол (0,15 г) вместе с уксусной кислотой (0,1 мл). Смесь перемешивали в течение 2 часов при температуре окружающей среды и затем добавляли триацетоксиборгидрид натрия (0,424 г), и реакционную смесь перемешивали в течение 20 часов, концентрировали и остаток распределяли между 2 М водным раствором соляной кислоты (10 мл) и этилацетатом (10 мл). Слои разделяли и органическую фазу повторно экстрагировали 2 н. соляной кислотой (2×10 мл). Объединенные водные экстракты подщелачивали 5 М водным раствором гидроксида аммония, экстрагировали в этилацетат (2×25 мл) и объединенные экстракты высушивали над безводным сульфатом магния, фильтровали и концентрировали. Остаток очищали посредством хроматографии на силикагеле, элюируя 0,7 н. безводным аммиаком в смеси метанол:дихлорметан (1:4) с получением указанного в заголовке соединения (0,116 г) в виде белого твердого вещества. 1H-ЯМР (400 МГц, CDCl3) МС: ХИАД(+ve) 420/422 (М+1). Т.пл.: 84-85°С. Пример 2 N-(1-Адамантилметил)-5-хлор-2-{3-[(3-гидроксипропил)амино]пропил}-изоникотинамида дигидрохлорид
Препаративный путь 1 (1) N-(1-Адамантилметил)-2-бром-5-дихлоризоникотинамид К перемешиваемому раствору диизопропиламина (2,1 мл) в безводном тетрагидрофуране (15 мл) при -5°С прибавляли по каплям раствор н-бутиллития в гексане (2,5 молярный, 4,8 мл) и полученный раствор перемешивали в течение 30 минут и затем охлаждали до -70°С. К охлажденному раствору прибавляли раствор 2-бром-5-хлорпиридина (2,39 г) в безводном тетрагидрофуране (10 мл), поддерживая внутреннюю температуру реакции ниже -65°С. Реакцию поддерживали при -70°С в течение 15 минут и затем по каплям добавляли раствор 1-адамантилметилизоцианата (1,91 г) в безводном тетрагидрофуране (5 мл) (осторожно эзотерма). Смесь перемешивали в течение 10 минут и затем вливали в раствор 1 М водного раствора соляной кислоты (50 мл) и эту смесь экстрагировали в этилацетат (3×25 мл). Объединенные экстракты высушивали над безводным сульфатом магния, фильтровали и концентрировали. Остаток очищали посредством хроматографии на силикагеле, элюируя смесью этилацетат:изогексан (от 1:9 до 1:4 до 1:1) с получением указанного в подзаголовке соединения (2,70 г) в виде белого твердого вещества. 1H-ЯМР (400 МГц, CDCl3) Т.пл.: 193-194°С. (2) трет-Бутил-проп-2-инил[3-(тетрагидро-2Н-пиран-2-илокси)пропил]карбамат Раствор трет-бутил-проп-2-инилкарбамата (1,2 г) в безводном N,N-диметилформамиде (5 мл) обрабатывали 60%-ным гидридом натрия (0,245 г) в одну порцию. После того как выделение водорода прекращалось, добавляли 2-(3-бромпропокси)тетрагидро-2Н-пиран (1,36 г). Реакционную смесь перемешивали под азотом в течение 48 часов, затем разбавляли водой (50 мл) и экстрагировали в этилацетат (3×25 мл). Объединенные экстракты высушивали над безводным сульфатом натрия, фильтровали и концентрировали с получением указанного в подзаголовке соединения (1,61 г) в виде бесцветного масла. 1H-ЯМР (400 МГц, CDCl3) (3) трет-Бутил-3-(4-{[(1-адамантилметил)амино]карбонил}-5-хлорпиридин-2-ил)проп-2-инил[3-(тетрагидро-2Н-пиран-2-илокси)пропил]карбамат Суспензию N-(1-адамантилметил)-2-бром-5-хлоризоникотинамида (Пример 2(1)) (0,43 г) и трет-бутил-проп-2-инил[3-(тетрагидро-2Н-пиран-2-илокси)пропил]карбамата (Пример 2(2)) (0,60 г) в безводном ацетонитриле (6 мл) и триэтиламине (6 мл) продували азотом в течение 5 минут и затем добавляли йодид меди(I) (0,004 г) и бис-трифенилфосфинпалладия дихлорид (0,014 г). Эту смесь перемешивали под азотом в течение 2 часов. Смесь концентрировали и остаток очищали посредством хроматографии на силикагеле, элюируя смесью узогексан:этилацетат (от 19:1 до 7:3) с получением указанного в подзаголовке соединения (0,39 г) в виде желтой смолы. 1H-ЯМР (400 МГц, CDCl3) МС: ХИАД(+ve) 516/518. (4) трет-Бутил-3-(4-{[(1-адамантилметил)амино]карбонил}-5-хлорпиридин-2-ил)пропил[3-(тетрагидро-2Н-пиран-2-илокси)пропил]карбамат Смешанную суспензию трет-бутил-3-(4-{[(1-адамантилметил)амино]-карбонил}-5-хлорпиридин-2-ил)проп-2-инил[3-(тетрагидро-2Н-пиран-2-илокси)-пропил]карбамата (Пример 2(3)) (0,35 г) и 5% родия на углероде (0,020 г) перемешивали при положительном давлении (2 бар, 0,2 МПа) водорода до тех пор, пока наблюдалось поглощение. Смесь фильтровали и концентрировали. Остаток очищали посредством хроматографии на силикагеле, элюируя смесью дихлорметан:ацетон (от 19:1 до 9:1) с получением указанного в подзаголовке соединения (0,24 г) в виде бесцветной смолы. 1Н-ЯМР (300 МГц, CDCl3) МС: ХИАД(+ve) 604/606 (М+1). (5) N-(1-Адамантилметил)-5-хлор-2-{3-[(3-гидроксипропил)амино]пропил}-изоникотинамида дигидрохлорид трет-Бутил-3-(4-{[(1-адамантилметил)амино]карбонил}-5-хлорпиридин-2-ил)пропил[3-(тетрагидро-2Н-пиран-2-илокси)пропил]карбамат (Пример 2(4)) (0,24 г) растворяли в смеси метанола (10 мл) и 2 М водного раствора соляной кислоты (10 мл), раствор оставляли стоять в течение 0,5 часа. Смесь концентрировали и остаток разбавляли 2 М водным раствором гидроксида натрия (25 мл). Смесь экстрагировали в дихлорметан (3×25 мл) и объединенные экстракты концентрировали. Остаток растворяли в растворе хлористого водорода в 1,4-диоксане (10 мл 4 М раствора) и оставляли стоять в течение 0,5 часа. Раствор концентрировали и остаток суспендировали в 2 М водном растворе гидроксида натрия (25 мл), экстрагировали в дихлорметан (3×25 мл) и объединенные экстракты концентрировали. Остаток очищали посредством хроматографии на силикагеле, элюируя смесью дихлорметан:метанол:0,88 водный аммиак (89:10:1). Выделенное вещество растворяли в растворе хлористого водорода в 1,4-диоксане (10 мл 4 М раствора) и концентрировали; полученное твердое вещество перекристаллизовывали из смеси этилацетат/метанол с получением указанного в подзаголовке соединения (0,115 г) в виде бесцветного твердого вещества. 1H-ЯМР (400 МГц, ДМСО-d6) МС: ХИАД(+ve) 420/422 (М+1). Т.пл.: разлагалось при 210°С. Препаративный путь 2 (6) трет-Бутил-[3-(4-{[(1-адамантилметил)амино]карбонил}-5-хлорпиридин-2-ил)пропил](3-{[трет-бутил(диметил)силил]окси}пропил)-карбамат Раствор трет-бутил-аллил-(3-{[трет-бутил(диметил)силил]окси}-пропил)карбамата (0,50 г) в 9-борабицикло[3.3.1]нонане (6,0 мл 0,5 М раствора в тетрагидрофуране) кипятили с обратным холодильником под азотом в течение 4 часов. Раствор охлаждали до 0°С и добавляли фосфат калия (2 мл 3 М раствора в воде). Смесь перемешивали в течение 15 минут и добавляли раствор N-(1-адамантилметил)-2,5-дихлоризоникотинамида (0,50 г) (полученного, как описано в WO 01/94338) и тетракис(трифенил-фосфин)палладия(0) (0,045 г) в безводном N,N-диметилформамиде (3 мл). Смесь нагревали при 70°С под азотом в течение 4 часов, разбавляли насыщенным рассолом (25 мл) и экстрагировали в этилацетат (3×25 мл). Объединенные экстракты высушивали над безводным сульфатом натрия, фильтровали и концентрировали. Остаток очищали посредством хроматографии на силикагеле, элюируя смесью изогексан:этилацетат (от 9:1 до 4:1) с получением указанного в подзаголовке соединения (0,46 г). МС: ХИАД(+ve) 636/634 (М+1)ю (7) N-(1-Адамантилметил)-5-хлор-2-{3-[(3-гидроксипропил)амино]пропил}изоникотинамида дигидрохлорид трет-Бутил-[3-(4-{[(1-адамантилметил)амино]карбонил}-5-хлорпиридин-2-ил)пропил](3-{[трет-бутил(диметил)силил]окси}пропил)карбамат (Пример 2(6)) (0,46 г) растворяли в растворе хлористого водорода в 1,4-диоксане (10 мл 4 М раствора) и концентрировали; полученное твердое вещество перекристаллизовывали из смеси 1,4-диоксан/метанол и твердое вещество собирали фильтрацией с получением указанного в заголовке соединения (0,24 г) в виде бесцветного порошка. 1H-ЯМР (400 МГц, ДМСО-d6) MC: ХИАД(+ve) 420/422 (М+1). Т.пл.: разлагалось при 210°С. Пример 3 N-(1-Адамантилметил)-2-хлор-5-{3-[(3-гидроксипропил)амино]пропил}-никотинамид
(1) N-(1-Адамантилметил)-5-йод-2-хлорникотинамид К тионилхлориду (10 мл) добавляли 2-гидрокси-5-йодникотиновую кислоту (2,65 г), затем безводный N,N-диметилформамид (1 капля) и полученную суспензию нагревали до 100°С в течение 3 часов. Смесь охлаждали и концентрировали, подвергая азеотропной перегонке с толуолом. Остаток растворяли в сухом дихлорметане (70 мл), охлаждали до 0°С и добавляли по каплям смесь 1-адамантилметиламина (1,65 г) и триэтиламина (2,81 мл) в сухом дихлорметане (30 мл). Реакционную смесь перемешивали в течение 1 часа, промывали 0,5 М водным раствором соляной кислоты, высушивали над безводным сульфатом магния, фильтровали и концентрировали. Остаток очищали посредством хроматографии на силикагеле, элюируя смесью этилацетат:дихлорметан (1:9) с получением указанного в подзаголовке соединения в виде твердого вещества. 1H-ЯМР (300 МГц, CDCl3) MC: ХИАД(+ve) 430/432 (М+1). Т.пл.: 163-164°С. (2) N-(1-Адамантилметил)-2-хлор-5-(3-оксопропил)никотинамид Смесь N-(1-адамантилметил)-5-йод-2-хлорникотинамида (Пример 3(1)) (2,15 г), аллилового спирта (0,58 г), ацетата палладия(II) (0,015 г), бикарбоната натрия (1,05 г) и хлорида тетрабутиламмония (1,39 г) перемешивали в безводном N,N-диметилформамиде (20 мл) в течение 20 часов. Реакционную смесь вливали в воду (100 мл) и экстрагировали в этилацетат (3×25 мл). Объединенные экстракты высушивали над безводным сульфатом магния, фильтровали и концентрировали. Остаток очищали посредством хроматографии на силикагеле, элюируя смесью этилацетат:изогексан (1:1) с получением указанного в подзаголовке соединения (0,65 г). 1H-ЯМР (300 МГц, CDCl3) MC: ХИАД(+ve) 361, 363 (М+1). (3) N-(1-Адамантилметил)-2-хлор-5-[3-[(3-гидроксипропил)амино]пропил}-никотинамид К перемешиваемому раствору N-(1-адамантилметил)-2-хлор-5-(3-оксопропил)никотинамида (Пример 3(2)) (0,10 г) в метаноле (3 мл) и уксусной кислоте (0,1 мл) добавляли 3-аминопропанол (0,042 г), полученный раствор перемешивали в течение 2 часов и затем добавляли цианоборгидрид натрия (0,020 г) и реакционную смесь перемешивали в течение 20 часов. Смесь концентрировали и остаток распределяли между 2 М водным раствором соляной кислоты и этилацетатом (2×10 мл). Слои разделяли и органическую фазу повторно экстрагировали 2 М водным раствором соляной кислоты (2×10 мл). Объединенные водные экстракты подщелачивали 5 М водным раствором гидроксида аммония, экстрагировали в этилацетат (2×25 мл) и объединенные экстракты высушивали над безводным сульфатом магния, фильтровали и концентрировали с получением указанного в заголовке соединения (0,075 г) в виде белого твердого вещества. 1H-ЯМР (400 МГц, CDCl3) МС: ХИАД(+ve) 420/422 (М+1). Т.пл.: 105-107°С. Пример 4 N-(1-Адамантилметил)-2-хлор-5-(3-{[(1S)-2-гидрокси-1-метилэтил]амино}пропил)никотинамид
Указанное в заголовке соединение получали из N-(1-адамантилметил)-2-хлор-5-(3-оксопропил)никотинамида (Пример 3(2)) (0,10 г), (S)-2-аминопропанола (0,046 г) и цианоборгидрида натрия (0,020 г) в метаноле (3 мл) и уксусной кислоте (0,1 мл) по способу, описанному в Примере 3(3). Сырой продукт очищали посредством хроматографии на силикагеле, элюируя смесью 0,7 н. безводный аммиак в метанол:этилацетат (1:5) с получением указанного в заголовке соединения в виде масла (0,082 г). 1H-ЯМР (300 МГц, CDCl3) МС: ХИАД(+ve) 420/422 (М+1). Пример 5 N-(1-Адамантилметил)-2-хлор-5-(3-{[(1R)-2-гидрокси-1-метилэтил]амино}пропил)никотинамид
Указанное в заголовке соединение получали из N-(1-адамантилметил)-2-хлор-5-(3-оксопропил)никотинамида (Пример 3(2)) (0,10 г), (R)-2-аминопропанола (0,046 г) и цианоборгидрида натрия (0,020 г) в метаноле (3 мл) и уксусной кислоте (0,1 мл) по способу, описанному в Примере 3 (3). Продукт очищали посредством хроматографии на силикагеле, элюируя смесью 0,7 н. безводный аммиак в метанол:этилацетат (1:5), с получением указанного в заголовке соединения в виде масла (0,085 г). 1H-ЯМР (300 МГц, COCl3) МС: ХИАД(+ve) 420/422 (М+1). Пример 6 N-(1-Адамантилметил)-2-(3-аминопропил)-5-хлоризоникотинамида гидрохлорид
(1) трет-Бутил-3-(4-{[(1-адамантилметил)амино]карбонил}-5-хлорпиридин-2-ил)проп-2-инилкарбамат Суспензию N-(1-адамантилметил)-5-хлор-2-йодизоникотинамида (Пример 2(1)) (0,43 г) и трет-бутил-проп-2-инилкарбамата (0,31 г) в безводном ацетонитриле (5 мл) и триэтиламине (5 мл) продували азотом в течение 5 минут и затем добавляли йодид меди(1) (0,004г) и бис-трифенилфосфинпалладия дихлорид (0,014 г). Смесь перемешивали под азотом в течение 0,75 часа. Смесь концентрировали и остаток очищали посредством хроматографии на силикагеле, элюируя смесью ацетон:дихлорметан (1:19) с получением указанного в подзаголовке соединения (0,34 г) в виде желтой пены. 1H-ЯМР (400 МГц, CDCl3) MC: ХИАД(+ve) 458/460 (M+1). (2) N-(1-Адамантилметил)-2-(3-аминопропил)-5-хлоризоникотинамида гидрохлорид Суспензию трет-бутил-3-(4-{[(1-адамантилметил)амино]карбонил}-5-хлорпиридин-2-ил)проп-2-инилкарбамата (Пример 6(1)) (0,34 г) и 5% родия на углероде перемешивали при положительном давлении (2 бар, 0,2 МПа) водорода до тех пор, пока наблюдалось поглощение. Смесь фильтровали и концентрировали. Остаток растворяли в растворе хлористого водорода в 1,4-диоксане (10 мл 4 М раствора) и оставляли стоять в течение 0,5 часа. Раствор концентрировали и остаток растирали с этилацетатом с получением указанного в заголовке соединения (0,174 г) в виде бежевого порошка. 1H-ЯМР (300 МГц, ДМСО-d6) МС: ХИАД(+ve) 362/364 (М+1). Т.пл.:150°С (разл.). Пример 7 N-(1-Адамантилметил)-5-хлор-2-[3-(этиламино)пропил]изоникотинамида гидрохлорид
Препаративный путь 1 (1) трет-Бутил-этил(проп-2-инил)карбамат Указанное в подзаголовке соединение получали из трет-бутил-проп-2-инилкарбамата (0,6 г), 60% гидрида натрия (0,186 г), этилйодида (1,55 мл) и безводного N-метил-2-пирролидинона (4 мл) по способу, описанному в Примере 2(2). Сырой продукт очищали посредством хроматографии на силикагеле, элюируя смесью изогексан:этилацетат (19:1) с получением (0,34 г) бесцветного масла. 1H-ЯМР (400 МГц, CDCl3) (2) трет-Бутил-3-(4-{[(1-адамантилметил)амино]карбонил}-5-хлорпиридин-2-ил)проп-2-инил(этил)карбамат Указанное в подзаголовке соединение получали из N-(1-адамантилметил)-5-хлор-2-йодизоникотинамида (Пример 2(1)) (0,40 г), трет-бутил-этил(проп-2-инил)карбамата (Пример 7(1)) (0,34 г), йодида меди(I) (0,004 г), бис-трифенилфосфинпалладия дихлорида (0,014 г), триэтиламина (5 мл) и безводного ацетонитрила (5 мл) по способу, описанному в Примере 2 (3). Сырой продукт очищали посредством хроматографии на силикагеле, элюируя смесью изогексан:этилацетат (от 9:1 до 7:3) с получением указанного в подзаголовке соединения (0,30 г). 1Н-ЯМР (400 МГц, CDCl3) МС: ХИАД(+ve) 486/488 (М+1). (3) N-(1-Адамантилметил)-5-хлор-2-[3-(этиламино)пропил]изоникотинамида гидрохлорид Указанное в заголовке соединение получали из трет-бутил-3-(4-{[(1-адамантилметил)амино]карбонил}-5-хлорпиридин-2-ил)проп-2-инил(этил)-карбамата (Пример 7(2)) (0,30 г) по способу, описанному в Примере 6(2). Сырую соль гидрохлорид суспендировали в 2 М водном растворе гидроксида натрия (25 мл), экстрагировали в этилацетат (3×25 мл) и объединенные экстракты концентрировали. Остаток очищали посредством хроматографии на силикагеле, элюируя смесью дихлорметан:метанол:0,88 водный аммиак (89:10:1). Выделенное вещество растворяли в растворе хлористого водорода в 1,4-диоксане (10 мл 4 М раствора) и концентрировали; полученный твердый остаток растирали с этилацетатом и твердое вещество собирали фильтрацией. Конечную очистку осуществляли с помощью препаративной ВЭЖХ с обращенной фазой с получением указанного в заголовке соединения (0,025 г) в виде бесцветного порошка. 1H-ЯМР (300 МГц, ДМСО-d6) МС: ХИАД(+ve) 390/392 (М+1). Т.пл.: 206-208°С (разл.). Препаративный путь 2 (4) трет-Бутил-аллил(этил)карбамат Указанное в подзаголовке соединение получали из трет-бутил-аллилкарбамата (1,0 г), 60% гидрида натрия (0,254 г), этилйодида (1,55 мл) и безводного N-метил-2-пирролидинона (4 мл) по способу, описанному в Примере 2(2). Сырой продукт очищали посредством хроматографии на силикагеле, элюируя смесью изогексан:этилацетат (19:1) с получением (0,53 г) бесцветного масла. 1H-ЯМР (400 МГц, CDCl3) (5) N-(1-Адамантилметил)-5-хлор-2-[3-(этиламино)пропил]изоникотинамида гидрохлорид Раствор трет-бутил-аллилкарбамата (Пример 7(4)) (0,23 г) в 9-борабицикло[3.3.1]нонане (5 мл 0,5 М раствора в тетрагидрофуране) кипятили с обратным холодильником под азотом в течение 6 часов. Раствор охлаждали до комнатной температуры и прибавляли фосфат калия (1 мл 3 М раствора в воде). Смесь перемешивали в течение 15 минут и добавляли раствор N-(1-адамантилметил)-2-бром-5-хлоризоникотинамида (Пример 1(2)) (0,383 г) и дихлор[1,1′-бис(дифенилфосфино)ферроценил]палладия(II) (0,045 г) в безводном N,N-диметилформамиде (8 мл). Смесь перемешивали в течение 6 часов, разбавляли насыщенным рассолом (25 мл) и экстрагировали в этилацетат (3×25 мл). Объединенные экстракты высушивали над безводным сульфатом натрия, фильтровали и концентрировали. Остаток очищали посредством хроматографии на силикагеле, элюируя смесью изогексан:этилацетат (от 4:1 до 2:1). Выделенное вещество (0,30 г) растворяли в растворе хлористого водорода в 1,4-диоксане (10 мл 4 М раствора) и концентрировали; полученный твердый остаток растирали с этилацетатом и твердое вещество собирали фильтрацией с получением указанного в заголовке соединения (0,245 г) в виде бесцветного порошка. Пример 8 N-(1-Адамантилметил)-5-хлор-2-({2-[(3-гидроксипропил)амино]-этил}тио)изоникотинамида гидрохлорид
(1) 2-({2-[(трет-Бутоксикарбонил)амино]этил}тио)-5-хлоризоникотиновая кислота К раствору 2,5-дихлоризоникотиновой кислоты (1,82 г) в безводном N,N-диметилформамиде (10 мл) прибавляли 60%-ный гидрид натрия (0,455 г) небольшими порциями. После того как выделение газа прекращалось, добавляли трет-бутил-2-меркаптоэтилкарбамат (1,60 мл). Реакционную смесь затем нагревали при 60°С под азотом в течение 10 часов. Затем дополнительно прибавляли 60% гидрид натрия (0,225 г) и трет-бутил-2-меркаптоэтилкарбамат (1,60 мл) и нагревание продолжали в течение 2 часов. Реакционную смесь концентрировали и остаток суспендировали в 2 М водной соляной кислоте (25 мл) и экстрагировали в этилацетат (3×25 мл). Объединенные экстракты высушивали над безводным сульфатом натрия, фильтровали и концентрировали. Остаток очищали посредством хроматографии на силикагеле, элюируя смесью изогексан:этилацетат:уксусная кислота (6:4:0,1) с получением указанного в подзаголовке соединения (1,0 г) в виде бесцветного порошка. 1H-ЯМР (300 МГц, ДМСО-d6) (2) трет-Бутил-2-[(4-{[(1-адамантилметил)амино]карбонил}-5-хлорпиридин-2-ил)тио]этил[3-(тетрагидро-2Н-пиран-2-илокси)пропил]карбамат К раствору 2-({2-[(трет-бутоксикарбонил)амино]этил}тио)-5-хлоризоникотиновой кислоты (Пример 8(1)) (0,332 г) в безводном N-метил-2-пирролидоне (5 мл) добавляли 60% гидрид натрия (0,084 г). Через 0,5 часа добавляли 2-(3-бромпропокси)тетрагидро-2Н-пиран (0,244 г) и смесь перемешивали под азотом в течение 16 часов. Реакционную смесь разбавляли водой (50 мл) и этилацетатом (50 мл), затем 2 М водным раствором соляной кислоты (50 мл). Смесь экстрагировали в этилацетат (3×25 мл) и объединенные экстракты высушивали над безводным сульфатом натрия, фильтровали и концентрировали. Остаток растворяли в безводном N,N-диметилформамиде (5 мл) и прибавляли 1,1′-карбонилдиимидазол (0,162 г). Через 3 часа смесь обрабатывали 1-адамантилметиламином (0,163 г) в одну порцию и все перемешивали в течение 72 часов. Реакционную смесь разбавляли водой (50 мл) и экстрагировали в этилацетат (3×25 мл); объединенные экстракты высушивали над безводным сульфатом натрия, фильтровали и концентрировали. Остаток очищали посредством хроматографии на силикагеле, элюируя смесью дихлорметан:этилацетат (9:1) с получением указанного в заголовке соединения (0,15 г) в виде бесцветного масла. МС: ХИАД(+ve) 622/624 (М+1). (3) N-(1-Адамантилметил)-5-хлор-2-({2-[(3-гидроксипропил)амино]этил}-тио)изоникотинамида гидрохлорид Указанное в заголовке соединение получали из трет-бутил-2-[(4-{[(1-адамантилметил)амино]карбонил}-5-хлорпиридин-2-ил)тио]этил[3-(тетрагидро-2Н-пиран-2-илокси)пропил]карбамата (Пример 8(2)) (0,15 г) по способу, описанному в Примере 2 (5). Сырую соль гидрохлорид растирали с этилацетатом с получением указанного в заголовке соединения (0,084 г) в виде бесцветной пены. 1H-ЯМР (300 МГц, ДМСО-d6) МС: ХИАД(+ve) 438/440 (М+1). Пример 9 N-(1-Адамантилметил)-5-хлор-2-(3-{[(1R)-2-гидрокси-1-метилэтил]амино}пропил)изоникотинамида дигидрохлорид
Следуя способу, описанному в Примере 1(5), и используя (R)-2-амино-1-пропанол, получали соединение N-(1-адамантилметил)-5-хлор-2-(3-{[(1R)-2-гидрокси-1-метилэтил]амино}пропил)изоникотинамид в виде масла. 1H-ЯМР (300 МГц, CDCl3) МС: ХИАД(+ve) 420/422 (М+1). Упомянутое выше соединение (0,100 г) растворяли в сухом хлористом водороде в 1,4-диоксане (4 н., 2 мл) и концентрировали. Остаток перекристаллизовывали из смеси метанол:этилацетат с получением указанного в заголовке соединения (0,095 г) в виде твердого вещества. 1H-ЯМР (300 МГц, ДМСО-d6) МС: ХИАД(+ve) 420/422 (М+1). Т.пл.: 205-208°С. Пример 10 N-(1-Адамантилметил)-5-хлор-2-(3-{[(1S)-2-гидрокси-1-метилэтил]амино}пропил)изоникотинамид, дигидрохлорид
Следуя способу, описанному в Примере 1(5), и используя (S)-2-амино-1-пропанол, получали соединение N-(1-адамантилметил)-5-хлор-2-(3-{[(1S)-2-гидрокси-1-метилэтил]амино}пропил)изоникотинамид в виде масла. 1H-ЯМР (300 МГц, CDCl3) MC: ХИАД(+ve) 420/422 (М+1). Упомянутое выше соединение (0,060 г) растворяли в сухом хлористом водороде в 1,4-диоксане (4 н., 2 мл) и концентрировали. Остаток перекристаллизовывали из смеси метанол:этилацетат с получением указанного в заголовке соединения (0,045 г) в виде твердого вещества. 1Н-ЯМР (300 МГц, ДМСО-d6) MC: ХИАД(+ve) 420/422 (М+1). Т.пл.: 205-208°С. Пример 11 N-(1-Адамантилметил)-5-хлор-2-{3-[(2-гидроксиэтил)амино]пропил}-изоникотинамида гидрохлорид
(1) трет-Бутил-(2-{[трет-бутил(диметил)силил]окси}этил)проп-2-ин-1-илкарбамат Указанное в подзаголовке соединение получали из трет-бутил-проп-2-ин-1-илкарбамата (0,8 г), 60% гидрида натрия (0,227 г), (2-бромэтокси)-трет-бутилдиметилсилана (1 мл) и безводного N-метил-2-пирролидинона (4 мл) по способу, описанному в Примере 2(2). Сырой продукт очищали посредством хроматографии на силикагеле, элюируя смесью изогексан:этилацетат (25:1) с получением (0,8 г). 1Н-ЯМР (300 МГц, CDCl3) (2) трет-Бутил-3-(4-{[(1-адамантилметил)амино]карбонил}-5-хлорпиридин-2-ил)проп-2-инил(2-{[трет-бутил(диметил)силил]окси}этил)карбамат Указанное в подзаголовке соединение получали из N-(1-адамантилметил)-2-бром-5-хлоризоникотинамида (Пример 2(1)) (0,37 г), трет-бутил-(2-{[трет-бутил(диметил)силил]окси}этил)проп-2-ин-1-илкарбамата (Пример 11(1)) (0,54 г), йодида меди(1) (0,004 г), бис-трифенилфосфинпалладия дихлорида (0,014 г), триэтиламина (6 мл) и безводного ацетонитрила (6 мл) по способу, описанному в Примере 2(3). Сырой продукт очищали посредством хроматографии на силикагеле, элюируя смесью изогексан:этилацетат (от 8:1 до 4:1) с получением указанного в подзаголовке соединения (0,28 г) в виде желтой смолы. 1H-ЯМР (300 МГц, CDCl3) (3)N-(1-Адамантилметил)-5-хлор-2-{3-[(2-гидроксиэтил)амино]пропил}-изоникотинамида гидрохлорид Указанное в заголовке соединение получали из трет-бутил-3-(4-{[(1-адамантилметил)амино]карбонил}-5-хлорпиридин-2-ил)проп-2-инил(2-{[трет-бутил(диметил)силил]окси}этил)карбамата (Пример 11(2)) (0,28 г) по способу, описанному в Примере 6(2). Сырую соль гидрохлорид растирали с этилацетатом с получением указанного в заголовке соединения (0,176 г) в виде бежевого порошка. 1Н-ЯМР (300 МГц, ДМСО-d6) МС: ХИАД(+ve) 406/408 (М+1). Т.пл.: 204-205°С (разл.). Пример 12 N-(1-Адамантилметил)-5-хлор-2-{2-[(3-гидроксипропил)амино]этокси}изоникотинамид, гидрохлорид (1) N-(1-Адамантилметил)-5-хлор-2-(2-гидроксиэтокси)изоникотинамид Гидрид натрия (60%, 0,080 г) прибавляли к этиленгликолю (3 мл) и полученную суспензию перемешивали в атмосфере азота в течение 30 минут. К этой смеси прибавляли раствор N-(1-адамантилметил)-2-бром-5-хлоризоникотинамида (Пример 1(2)) (0,192 г) в безводном N-метил-2-пирролидиноне (1 мл). Мешалку удаляли и полученный раствор нагревали в микроволновой печи MARS в течение 15 минут (300 Вт, 150°С). Смесь охлаждали и вливали в воду (50 мл) и экстрагировали в этилацетат (3×10 мл). Объединенные органические экстракты промывали рассолом (2×10 мл), высушивали над безводным сульфатом магния, фильтровали и концентрировали. Остаток очищали посредством хроматографии на силикагеле, элюируя смесью этилацетат:изогексан (1:1) с получением указанного в подзаголовке соединения (0,092 г) в виде белого твердого вещества. 1H-ЯМР (300 МГц, CDCl3) MC: ХИАД(+ve) 364/366 (М+1). Т.пл.: 154-155°С. (2) N-(1-Адамантилметил)-5-хлор-2-{2-[(3-гидроксипропил)амино]этокси}изоникотинамид, гидрохлорид К перемешиваемому раствору N-(1-адамантилметил)-5-хлор-2-(2-гидроксиэтокси)изоникотинамида (Пример 12(1)) (0,10 г) в сухом дихлорметане (5 мл) прибавляли реагент Десс-Мартина (0,212 г) и полученную суспензию перемешивали при комнатной температуре в течение 30 минут. Реакционную смесь вливали в смесь насыщенного раствора бикарбоната натрия, содержащего тиосульфат натрия (10% мас./об., 20 мл), и смесь экстрагировали в этилацетат (3×25 мл). Объединенные экстракты высушивали над безводным сульфатом магния, фильтровали и концентрировали. Сырой альдегид растворяли в метаноле (2 мл) и прибавляли 3-аминопропан-1-ол (0,075 г) вместе с уксусной кислотой (0,1 мл). Смесь перемешивали в течение 2 часов при температуре окружающей среды и затем прибавляли триацетоксиборгидрид натрия (0,159 г) и эту реакционную смесь перемешивали в течение 20 часов, концентрировали и остаток распределяли между 2 М водным раствором соляной кислоты и этилацетатом (2×10 мл). Слои разделяли и органическую фазу повторно экстрагировали 2 н. соляной кислотой (2×10 мл). Объединенные водные экстракты подщелачивали 5 М водным раствором гидроксида аммония, экстрагировали в этилацетате (2×25 мл) и объединенные экстракты высушивали над безводным сульфатом магния, фильтровали и концентрировали с получением соединения N-(1-адамантилметил)-5-хлор-2-{2-[(3-гидроксипропил)амино]этокси}изоникотинамида (0,05 г) в виде пены. 1H-ЯМР (400 МГц, CDCl3) МС: ХИАД(+ve) 421/423 (М+1). Упомянутое выше соединение (0,050 г) растворяли в сухом хлористом водороде в 1,4-диоксане (4 н., 2 мл) и концентрировали. Остаток растирали с сухим эфиром и фильтровали с получением N-(1-адамантилметил)-5-хлор-2-{2-[(3-гидроксипропил)амино]этокси}изоникотинамида гидрохлорида (0,024 г) в виде белого твердого вещества. 1H-ЯМР (300 МГц, ДМСО-d6) МС: ХИАД(+ve) 421/423 (М+1). Пример 13 N-(1-Адамантилметил)-5-хлор-2-({2-[(2-гидроксиэтил)амино]этил}-амино)изоникотинамида дигидрохлорид
(1) трет-Бутил-2-[(4-{[(1-адамантилметил)амино]карбонил}-5-хлорпиридин-2-ил)(2-гидроксиэтил)амино]этилкарбамат N-(2-Гидроксиэтил)-этилендиамин (0,208 г) прибавляли к смеси N-(1-адамантилметил)-2-бром-5-хлоризоникотинамида (0,192 г, Пример 1(2)) и карбоната калия (0,14 г) в безводном N-метил-2-пирролидиноне (3 мл). Полученный раствор нагревали в микроволновой печи MARS в течение 10 минут (300 Вт, 150°С). Смесь охлаждали и вливали в воду (50 мл) и экстрагировали в этилацетат (3×10 мл). Объединенные органические экстракты промывали рассолом (2×10 мл), высушивали над безводным сульфатом магния, фильтровали и концентрировали. Остаток растворяли в этилацетате (30 мл) и прибавляли ди-трет-бутилкарбонат (0,218 г). Полученную смесь оставляли стоять при комнатной температуре в течение 2 часов и затем концентрировали при пониженном давлении. Остаток очищали посредством хроматографии на силикагеле, элюируя этилацетатом с получением трет-бутил-2-[(4-{[(1-адамантилметил)амино]карбонил}-5-хлорпиридин-2-ил)(2-гидроксиэтил)амино]этилкарбамата (0,013 г). 1H-ЯМР (300 МГц, CDCl3) MC: ХИАД(+ve) 507, 509 (М+1). (2) N-(1-Адамантилметил)-5-хлор-2-({2-[(2-гидроксиэтил)амино]этил}-амино)изоникотинамида дигидрохлорид трет-Бутил-2-[(4-{[(1-адамантилметил)амино]карбонил}-5-хлорпиридин-2-ил)(2-гидроксиэтил)амино]этилкарбамат (Пример 13(1)) (0,013 г) растворяли в безводном хлористом водороде в 1,4-диоксане (4 М, 2 мл) и полученной смеси позволяли стоять при комнатной температуре в течение 30 минут. Смесь концентрировали при пониженном давлении с получением указанного в заголовке продукта (0,020 г). 1H-ЯМР (300 МГц, ДМСО-d6) MC: ХИАД(+ve) 407,409 (М+1). Пример 14 N-(1-Адамантилметил)-5-хлор-2-[3-(изопропиламино)пропил]изоникотинамида дигидрохлорид
(1) N-(1-Адамантилметил)-2-(3-{[трет-бутил(диметил)силил]окси}пропил)-5-хлоризоникотинамид Раствор 9-борабицикло[3.3.1]нонана при 0,5 М в тетрагидрофуране (2,78 мл, 1,39 ммоль) добавляли к неразбавленному (аллилокси)(трет-бутил)диметилсилану (0,15 мл, 0,69 ммоль). Смесь нагревали до 60°С в течение 2 часов под азотом. Реакционную смесь затем охлаждали до комнатной температуры и медленно добавляли раствор фосфата калия (0,37 г) в воде (1 мл). Добавляли раствор N-(1-адамантилметил)-2,5-дихлоризоникотинамида (0,20 г, 0,59 ммоль; получен, как описано в WO 01/94338) в диметилформамиде (3 мл), затем тетракис(трифенилфосфин)палладий(0) (7 мг). Раствор нагревали до 70°С в течение 2 часов, позволяли охладиться до комнатной температуры, затем распределяли между этилацетатом (20 мл) и рассолом (10 мл). Водную фазу дополнительно экстрагировали этилацетатом (2×20 мл) и объединенные органические слои промывали рассолом (20 мл), высушивали над сульфатом магния, фильтровали и упаривали под вакуумом с получением сырого продукта (0,70 г) в виде желтого масла, которое использовали как таковое без какой-либо дополнительной очистки. (2) N-(1-Адамантилметил)-5-хлор-2-(3-гидроксипропил)изоникотинамид Полученный выше остаток растворяли в тетрагидрофуране (10 мл) и охлаждали до 0°С. К этому раствору прибавляли тетра-н-бутиламмония фторид (0,75 мл 1 М раствора) и смесь нагревали до комнатной температуры в течение 2 часов. По прошествии этого времени раствор охлаждали до 0°С и обрабатывали 0,6 мл тетра-н-бутиламмония фторида и перемешивание продолжали в течение еще одного часа при комнатной температуре. Затем реакционную смесь разбавляли диэтиловым эфиром (30 мл), промывали водой (2×10 мл), рассолом (20 мл), высушивали над сульфатом магния, фильтровали и упаривали под вакуумом. Остаток очищали посредством хроматографии на силикагеле, элюируя смесью дихлорметан:этилацетат:метанол (15:4:1) с получением указанного в заголовке соединения (0,21 г) в виде прозрачного масла. 1H-ЯМР (400 МГц, CDCl3) МС: ХИАД(+ve) 363, 365 (М+1). (3) N-(1-Адамантилметил)-5-хлор-2-(3-оксопропил)изоникотинамид К перемешиваемому раствору N-(1-адамантилметил)-5-хлор-2-(3-гидроксипропил)изоникотинамида (0,12 г, 0,33 ммоль) (Пример 14(2)) в сухом дихлорметане (10 мл) прибавляли реагент Десс-Мартина (0,14 г, 0,33 ммоль). Полученную смесь перемешивали при комнатной температуре в течение 4 часов. Реакционную смесь обрабатывали диэтиловым эфиром (20 мл) и насыщенным раствором бикарбоната натрия, содержащим тиосульфат натрия (0,37 г, в 4 мл). Эту смесь перемешивали в течение 10 минут и органические слои отделяли, промывали рассолом (10 мл), высушивали над безводным сульфатом магния, фильтровали, обрабатывали уксусной кислотой (0,30 мл) и концентрировали. МС: ХИАД(+ve) 361, 363 (М+1). (4) N-(1-Адамантилметил)-5-хлор-2-[3-(изопропиламино)пропил]изоникотинамида дигидрохлорид Полученный выше сырой альдегид растворяли в метаноле (2Мл) и обрабатывали изопропиламином (0,084 мл, 0,99 ммоль) вместе с уксусной кислотой (0,10 мл). Смесь перемешивали в течение 10 минут при температуре окружающей среды и затем добавляли триацетоксиборгидрид натрия (0,14 г, 0,66 ммоль). Реакционную смесь перемешивали в течение 20 часов, концентрировали и остаток растворяли в этилацетате (20 мл). Органические слои промывали насыщенным раствором бикарбоната натрия (10 мл), рассолом (10 мл), высушивали над безводным сульфатом магния, фильтровали и концентрировали с получением масла (0,118 г). Сырое соединение растворяли в дихлорметане (5 мл), обрабатывали сухим хлористым водородом в 1,4-диоксане (4 н, 0,4 мл) и концентрировали через 10 минут. Остаток отфильтровывали из дихлорметана (20 мл) с получением указанного в заголовке соединения (0,098 г) в виде белого твердого вещества. 1H-ЯМР (400 МГц, ДМСО-d6) MC: ХИАД(+ve) 404, 406 (М+1). Пример 15 N-(1-Адамантилметил)-5-хлор-2-(3-{[(2S)-2-гидроксипропил]амино}пропил)изоникотинамид, дигидрохлорид
Следуя способу, описанному в Примере 14(4), и используя (2S)-1-аминопропан-2-ол, получали соединение N-(1-адамантилметил)-5-хлор-2-(3-{[(2S)-2-гидроксипропил]амино}пропил)изоникотинамид в виде масла. Очистку осуществляли с помощью препаративной ВЭЖХ с обращенной фазой. Выделенное вещество (0,081 г) растворяли в растворе хлористого водорода в 1,4-диоксане (1 мл 4 М раствора) и концентрировали с получением указанного в заголовке соединения в виде бесцветного порошка (0,091 г). 1H-ЯМР (400 МГц, ДМСО-d6) MC: ХИАД(+ve) 420, 422 (М+1). Пример 16 N-(1-Адамантилметил)-5-хлор-2-(3-{[(2R)-2,3-дигидроксипропил]амино}пропил)изоникотинамид, дигидрохлорид
Следуя способу, описанному в Примере 14(4), и используя (2R)-3-аминопропан-1,2-диол, получали соединение N-(1-адамантилметил)-5-хлор-2-(3-{[(2R)-2,3-дигидроксипропил]амино}пропил)изоникотинамид в виде масла. Остаток очищали посредством хроматографии на силикагеле, элюируя смесью дихлорметан:метанол:аммиак (10:1:1). Выделенное вещество растворяли в дихлорметане, обрабатывали раствором хлористого водорода в 1,4-диоксане (1 мл 4 М раствора) и концентрировали с получением указанного в заголовке соединения в виде бесцветного порошка (0,098 г). 1H-ЯМР (400 МГц, CD3OD) МС: ХИАД(+ve) 436, 438 (М+1). Т.пл.: 217-219°С. Пример 17 N-(1-Адамантилметил)-5-хлор-2-(3-{[(2S)-2,3-дигидроксипропил]амино}пропил)изоникотинамид, дигидрохлорид
Следуя способу, описанному в Примере 14(4), и используя (2S)-3-аминопропан-1,2-диол, получали соединение N-(1-адамантилметил)-5-хлор-2-(3-{[(2S)-2,3-дигидроксипропил]амино}пропил)изоникотинамид в виде масла. Остаток очищали посредством хроматографии на силикагеле, элюируя смесью дихлорметан:метанол:аммиак (10:1:1). Выделенное вещество растворяли в дихлорметане, обрабатывали раствором хлористого водорода в 1,4-диоксане (1 мл 4 М раствора) и концентрировали с получением указанного в заголовке соединения в виде бесцветного порошка (0,057 г). 1H-ЯМР (400 МГц, CD3OD) МС: ХИАД(+ve) 436, 438 (М+1). Пример 18 N-(1-Адамантилметил)-5-хлор-2-{3-[(4-метилциклогексил)амино]пропил}изоникотинамида дигидрохлорид
Следуя способу, описанному в Примере 14(4), и используя 4-аминоциклогексанол, получали указанное в заголовке соединение N-(1-адамантилметил)-5-хлор-2-{3-[(4-метилциклогексил)амино]пропил}изоникотинамид в виде масла. Очистку осуществляли с помощью препаративной ВЭЖХ с обращенной фазой. Выделенное вещество (0,022 г) растворяли в дихлорметане, обрабатывали раствором хлористого водорода в 1,4-диоксане (1 мл 4 М раствора) и концентрировали с получением указанного в заголовке соединения в виде бесцветного порошка (0,025 г). 1H-ЯМР (300 МГц, CD3OD) МС: ХИАД(+ve) 460, 462 (М+1). Т.пл.: 242-244°С. Пример 19 N-(1-Адамантилметил)-5-хлор-2-{3-[(2-гидрокси-2-метилпропил)амино]пропил}изоникотинамида дигидрохлорид
Следуя способу, описанному в Примере 14(4), и используя 1-амино-2-метилпропан-2-ол, получали указанное в заголовке соединение N-(1-адамантилметил)-5-хлор-2-{3-[(2-гидрокси-2-метилпропил)амино]пропил}изоникотинамид в виде масла. Очистку осуществляли с помощью препаративной ВЭЖХ с обращенной фазой. Выделенное вещество (0,015 г) растворяли в дихлорметане, обрабатывали раствором хлористого водорода в 1,4-диоксане (1 мл 4 М раствора) и концентрировали с получением указанного в заголовке соединения в виде бесцветного порошка (0,019 г). 1H-ЯМР (300 МГц, CD3OD) MC: ХИАД(+ve) 434, 436 (М+1). Т.пл.: 236-238°С. Пример 20 N-(1-Адамантилметил)-5-хлор-2-(3-{[(1R)-1-(гидроксиметил)-2-метилпропил]амино}пропил)изоникотинамид, дигидрохлорид
Следуя способу, описанному в Примере 14(4), и используя (2R)-2-амино-3-метилбутан-1-ол, получали соединение N-(1-адамантилметил)-5-хлор-2-(3-{[(1R)-1-(гидроксиметил)-2-метилпропил]амино}пропил)изоникотинамид в виде масла. Очистку осуществляли с помощью препаративной ВЭЖХ с обращенной фазой. Выделенное вещество (0,065 г) растворяли в дихлорметане, обрабатывали раствором хлористого водорода в 1,4-диоксане (1 мл 4 М раствора) и концентрировали с получением указанного в заголовке соединения в виде бесцветного порошка (0,071 г). 1H-ЯМР (400 МГц, ДМСО-d6) МС: ХИАД(+ve) 448, 450 (М+1). Пример 21 N-(1-Адамантилметил)-5-хлор-2-(3-{[2-(метиламино)этил]амино}пропил)изоникотинамида дигидрохлорид
Следуя способу, описанному в Примере 14(4), и используя трет-бутил-2-аминоэтил(метил)карбамат, получали трет-бутил-2-{[3-(4-{[(1-адамантилметил)амино]карбонил}-5-хлорпиридин-2-ил)пропил]амино}этил-(метил)карбамат в виде масла. Это вещество (0,118 г) растворяли в дихлорметане и обрабатывали сухим хлористым водородом в 1,4-диоксане (4 н., 1 мл) и концентрировали через 2 часа с получением депротектированного вещества. Остаток перекристаллизовывали из дихлорметана (3 мл) с получением указанного в заголовке соединения (0,035 г) в виде белого твердого вещества. 1H-ЯМР (300 МГц, CD3OD) MC: ХИАД(+ve) 419, 421 (М+1). Т.пл.: 216-219°С. Пример 22 N-(1-Адамантилметил)-5-хлор-2-(3-{[3-(метиламино)пропил]амино}пропил)изоникотинамида бис(трифторацетат) Следуя способу, описанному в Примере 14(4), и используя трет-бутил-3-аминопропил(метил)карбамат, получали трет-бутил-3-{[3-(4-{[(1-адамантилметил)амино]карбонил}-5-хлорпиридин-2-ил)пропил]амино}пропил-(метил)карбамат в виде масла. Это вещество (0,121 г) растворяли в дихлорметане и обрабатывали сухим хлористым водородом в 1,4-диоксане (4 н., 1 мл) и концентрировали через 2 часа с получением депротектированного вещества. Остаток очищали с помощью препаративной ВЭЖХ с обращенной фазой с получением указанного в заголовке соединения (0,028 г) в виде белого твердого вещества. 1H-ЯМР (400 МГц, СО3OD) МС: ХИАД(+ve) 433, 435 (М+1). Т.пл.: 210-212°С. Пример 23 N-(1-Адамантилметил)-5-хлор-2-[3-({2-[(2-гидроксиэтил)амино]этил}амино)пропил]изоникотинамида дигидрохлорид Следуя способу, описанному в Примере 14(4), и используя трет-бутил-2-аминоэтил(2-гидроксиэтил)карбамат, получали трет-бутил-2-{[3-(4-{[(1-адамантилметил)амино]карбонил}-5-хлорпиридин-2-ил)пропил]амино}этил(2-гидроксиэтил)карбамат в виде масла. Это вещество (0,062 г) растворяли в дихлорметане и обрабатывали сухим хлористым водородом в 1,4-диоксане (4 н., 1 мл) и концентрировали через 2 часа с получением депротектированного вещества. Остаток перекристаллизовывали из дихлорметана (3 мл) с получением указанного в заголовке соединения (0,006 г) в виде белого твердого вещества. 1H-ЯМР (300 МГц, CD3OD) MC: ХИАД(+ve) 449, 451 (М+1). Т.пл.: 231-233°С. Пример 24 N-(1-Адамантилметил)-5-хлор-2-(3-{[2-(диэтиламино)этил]амино}пропил)изоникотинамидадигидрохлорид Следуя способу, описанному в Примере 14(4), и используя N,N-диэтилэтан-1,2-диамин, получали указанное в заголовке соединение N-(1-адамантилметил)-5-хлор-2-(3-{[2-(диэтиламино)этил]амино}пропил)изоникотинамид в виде масла. Очистку осуществляли с помощью препаративной ВЭЖХ с обращенной фазой. Выделенное вещество (0,057 г) растворяли в дихлорметане, обрабатывали раствором хлористого водорода в 1,4-диоксане (1 мл 4 М раствора) и концентрировали с получением указанного в заголовке соединения в виде бесцветного порошка (0,062 г). 1H-ЯМР (400 МГц, CD3OD) MC: ХИАД(+ve) 461, 463 (М+1). Пример 25 N-(1-Адамантилметил)-5-хлор-2-(3-{[2-гидрокси-1-(гидроксиметил)этил]амино}пропил)изоникотинамида дигидрохлорид
Следуя способу, описанному в Примере 14(4), и используя 2-аминопропан-1,3-диол, получали указанное в заголовке соединение N-(1-адамантилметил)-5-хлор-2-(3-{[2-гидрокси-1-(гидроксиметил)этил]амино}пропил)изоникотинамид в виде масла. Очистку осуществляли с помощью препаративной ВЭЖХ с обращенной фазой. Выделенное вещество (0,072 г) растворяли в дихлорметане, обрабатывали раствором хлористого водорода в 1,4-диоксане (1 мл 4 М раствора) и концентрировали с получением указанного в заголовке соединения в виде бесцветного порошка (0,080 г). 1H-ЯМР (400 МГц, CD3OD) MC: ХИАД(+ve) 436, 438 (М+1). Т.пл.: 201-203°С. Пример 26 N-(1-Адамантилметил)-5-хлор-2-{3-[(2-гидроксиэтил)(метил)амино]пропил}изоникотинамида дигидрохлорид
Следуя способу, описанному в Примере 14(4), и используя 2-(метиламино)этанол, получали указанное в заголовке соединение N-(1-адамантилметил)-5-хлор-2-{3-[(2-гидроксиэтил)(метил)амино]пропил}изоникотинамид в виде масла. Очистку осуществляли с помощью препаративной ВЭЖХ с обращенной фазой. Выделенное вещество (0,061 г) растворяли в дихлорметане, обрабатывали раствором хлористого водорода в 1,4-диоксане (1 мл 4 М раствора) и концентрировали с получением указанного в заголовке соединения в виде белого порошка (0,069 г). 1H-ЯМР (400 МГц, СО3OD) МС: ХИАД(+ve) 420, 422 (М+1). Т.пл.: 206-208°С. Пример 27 N-(1-Адамантилметил)-5-хлор-2-{3-[(3-гидрокси-2,2-диметилпропил)амино]пропил}изоникотинамида дигидрохлорид
Следуя способу, описанному в Примере 14(4), и используя 3-амино-2,2-диметилпропан-1-ол, получали указанное в заголовке соединение N-(1-адамантилметил)-5-хлор-2-{3-[(3-гидрокси-2,2-диметилпропил)амино]пропил}изоникотинамид в виде масла. Это соединение (0,122 г) растворяли в дихлорметане и обрабатывали сухим хлористым водородом в 1,4-диоксане (4 н., 0,4 мл) и концентрировали через 10 минут. Остаток фильтровали из дихлорметана (20 мл) с получением указанного в заголовке соединения (0,091 г) в виде твердого вещества. 1H-ЯМР (300 МГц, СО3OD) MC: ХИАД(+ve) 448, 450 (М+1). Пример 28 N-(1-Адамантилметил)-5-хлор-2-(3-{[(2R)-2-гидроксипропил]амино}пропил)изоникотинамид, дигидрохлорид
Следуя способу, описанному в Примере 14(4), и используя (2R)-1-аминопропан-2-ол, получали соединение N-(1-адамантилметил)-5-хлор-2-(3-{[(2R)-2-гидроксипропил]амино}пропил)изоникотинамид в виде масла. Это соединение (0,062 г) растворяли в дихлорметане и обрабатывали сухим хлористым водородом в 1,4-диоксане (4 н., 0,4 мл) и концентрировали через 10 минут. Остаток фильтровали из дихлорметана (10 мл) с получением указанного в заголовке соединения (0,033 г) в виде твердого вещества. 1H-ЯМР (400 МГц, CD3OD) МС: ХИАД(+ve) 420, 422 (М+1). Т.пл.: 224-226°С. Пример 29 N-(1-Адамантилметил)-5-хлор-2-({[3-(метиламино)пропил]амино}метил)изоникотинамида дигидрохлорид
(1) N-(1-Адамантилметил)-5-хлор-2-винилизоникотинамид N-(1-Адамантилметил)-2,5-дихлоризоникотинамид (2,32 г) и трибутил(винил)станнан (2,61 г) смешивали в сухом N,N-диметилформамиде (50 мл) при комнатной температуре под азотом и обрабатывали несколькими кристаллами 2,6-ди-трет-бутил-4-метилфенола и дихлор[бис(трифенилфосфин)]палладием(II) (0,24 г). Реакционную смесь нагревали до 80°С в течение 4 часов и затем охлаждали до комнатной температуры. Смесь вливали в этилацетат (50 мл) и промывали водой (2×25 мл), затем рассолом (30 мл). Органические слои высушивали над безводным сульфатом магния, фильтровали и концентрировали. Остаток очищали посредством хроматографии на силикагеле, элюируя смесью этилацетат:дихлорметан (1:20) с получением указанного в подзаголовке соединения (2,21 г). 1H-ЯМР (300 МГц, CDCl3) MC: ХИАД(+ve) 331, 333 (М+1). (2) N-(1-Адамантилметил)-5-хлор-2-формилизоникотинамид N-(1-Адамантилметил)-5-хлор-2-винилизоникотинамид (Пример 29(1)) (1,70 г) растворяли в дихлорметане (50 мл), обрабатывали уксусной кислотой (1 мл) и охлаждали до -78°С под азотом. Через полученный раствор продували озон в течение 2 часов, поддерживая температуру. Затем через раствор продували азот в течение 10 минут и добавляли диметилсульфид (2 мл). Раствор нагревали до комнатной температуры, промывали бикарбонатом натрия (2×10 мл) и рассолом (30 мл); органическую фазу высушивали над безводным сульфатом магния, фильтровали и концентрировали. Остаток очищали посредством хроматографии на силикагеле, элюируя смесью этилацетат:дихлорметан (1:20) с получением указанного в подзаголовке соединения (1,13 г). 1Н-ЯМР (300 МГц, CDCl3) MC: ХИАД(+ve) 333, 335 (М+1). (3) N-(1-Адамантилметил)-5-хлор-2-({[3-метиламино)пропил]амино}метил)изоникотинамида дигидрохлорид N-(1-Адамантилметил)-5-хлор-2-формилизоникотинамид (Пример 29(2)) (0,2 г) растворяли в метаноле (10 мл) и добавляли трет-бутил-3-аминопропил(метил)карбамат (0,39 г) вместе с уксусной кислотой (0,2 мл). Смесь перемешивали в течение 15 минут при температуре окружающей среды и затем прибавляли триацетоксиборгидрид натрия (0,25 г) и реакционную смесь перемешивали в течение 20 часов, концентрировали и остаток распределяли между 2 М водным раствором соляной кислоты (10 мл) и этилацетатом (10 мл). Слои разделяли и органическую фазу повторно экстрагировали 2 н. соляной кислотой (2×10 мл). Объединенные водные экстракты подщелачивали 5 М водным раствором гидроксида аммония, экстрагировали в этилацетат (2×25 мл) и объединенные экстракты высушивали над безводным сульфатом магния, фильтровали и концентрировали. Остаток растворяли в дихлорметане и обрабатывали сухим хлористым водородом в 1,4-диоксане (4 н., 1 мл) и концентрировали через 2 часа с получением депротектированного вещества. Остаток перекристаллизовывали из дихлорметана (10 мл) с получением указанного в заголовке соединения (0,110 г). 1H-ЯМР (300 МГц, CD3OD) MC: ХИАД(+ve) 405, 407 (М+1). Т.пл.: 285-287°С. Пример 30 N-(1-Адамантилметил)-5-хлор-2-[({2-[(2-гидроксиэтил)амино]этил}амино)метил]изоникотинамида дигидрохлорид
Следуя способу, описанному в Примере 29(3), и используя трет-бутил-2-аминоэтил(2-гидроксиэтил)карбамат, получали трет-бутил-2-{[(4-{[(1-адамантилметил)амино]карбонил}-5-хлорпиридин-2-ил)метил]амино}этил(2-гидроксиэтил)карбамат в виде масла. Это вещество растворяли в дихлорметане и обрабатывали сухим хлористым водородом в 1,4-диоксане (4 н., 1 мл) и концентрировали через 2 часа с получением депротектированного вещества. Остаток перекристаллизовывали из дихлорметана (5 мл) с получением указанного в заголовке соединения (0,118 г) в виде белого твердого вещества. 1H-ЯМР (400 МГц, CD3OD) MC: ХИАД(+ve) 421, 423 (М+1). Т.пл.: 289-292°С. Пример 31 N-(1-Адамантилметил)-5-хлор-2-({[2-(метиламино)этил]амино}метил)изоникотинамида дигидрохлорид
Следуя способу, описанному в Примере 29(3), и используя трет-бутил-2-аминоэтил(метил)карбамат, получали трет-бутил-2-{[(4-{[(1-адамантилметил)амино]карбонил}-5-хлорпиридин-2-ил)метил]амино}этил(метил)карбамат в виде масла. Это вещество растворяли в дихлорметане и обрабатывали сухим хлористым водородом в 1,4-диоксане (4 н., 1 мл) и концентрировали через 3 часа с получением депротектированного вещества. Очистку осуществляли с помощью препаративной ВЭЖХ с обращенной фазой. Соединение (0,058 г) затем растворяли в дихлорметане и обрабатывали сухим хлористым водородом в 1,4-диоксане (4 н., 0,4 мл) и концентрировали через 10 минут с получением желаемого соединения в виде белого твердого вещества (0,062 г). 1H-ЯМР (400 МГц, CD3OD) MC: ХИАД(+ve) 391, 393 (М+1). Т.пл.: 259-262°С. Пример 32 N-(1-Адамантилметил)-5-хлор-2-{3-[(2-гидроксиэтил)амино]этил}изоникотинамида дигидрохлорид
N-(1-Адамантилметил)-5-хлор-2-винилизоникотинамид (0,37 ммолярный, 125 мг) (Пример 29(1)) растворяли в смеси метанола (1 мл), изопропанола (1 мл) и уксусной кислоты (1 мл). Полученный раствор обрабатывали 2-аминоэтанолом (1 мл) и нагревали до 100°С в течение 18 ч. Раствору позволяли охладиться до комнатной температуры, вливали его в насыщенный раствор бикарбоната натрия (20 мл) и экстрагировали дихлорметаном (2×20 мл). Объединенные органические экстракты высушивали над безводным сульфатом магния, фильтровали и концентрировали. Остаток очищали посредством хроматографии на силикагеле, элюируя смесью метанол:дихлорметан:аммиак (10:30:0,1). Выделенное вещество растворяли в растворе хлористого водорода в 1,4-диоксане (1 мл 4 М раствора) и концентрировали с получением указанного в заголовке соединения в виде бесцветного порошка (0,027 г). 1H-ЯМР (400 МГц, ДМСО-d6) МС: ХИАД(+ve) 392, 394 (М+1). Т.пл.: 242-244°С. Пример 33 N-(1-Адамантилметил)-5-хлор-2-{3-[(3-гидроксипропил)амино]этил}изоникотинамида дигидрохлорид
N-(1-Адамантилметил)-5-хлор-2-винилизоникотинамид (0,37 ммолярный, 125 мг) (Пример 29(1)) растворяли в смеси метанола (1 мл), изопропанола (1 мл) и уксусной кислоты (1 мл). Полученный раствор обрабатывали 3-аминопропанолом (1 мл) и нагревали до 100°С в течение 18 ч. Раствору позволяли охладиться до комнатной температуры, вливали его в насыщенный раствор бикарбоната натрия (20 мл) и экстрагировали дихлорметаном (2×20 мл). Объединенные органические экстракты высушивали над безводным сульфатом магния, фильтровали и концентрировали. Остаток очищали посредством хроматографии на силикагеле, элюируя смесью метанол:дихлорметан:аммиак (10:30:0,1). Выделенное вещество растворяли в растворе хлористого водорода в 1,4-диоксане (1 мл 4 М раствора) и концентрировали с получением указанного в заголовке соединения в виде бесцветного порошка (0,025 г). 1H-ЯМР (400 МГц, ДМСО-d6) МС: ХИАД(+ve) 406, 408 (М+1). Т.пл.: 240-242°С. Пример 34 N-(1-Адамантилметил)-5-хлор-2-[3-(метиламино)пропил]изоникотинамида гидрохлорид
Раствор трет-бутил-аллил(метил)карбамата (0,27 г) в 9-борабицикло[3.3.1]нонане (6,24 мл 0,5М раствора в тетрагидрофуране) кипятили с обратным холодильником под азотом в течение 4 часов. Раствор охлаждали до 0°С и прибавляли фосфат калия (1,5 мл 3 М раствора в воде). Смесь перемешивали в течение 15 минут и прибавляли раствор N-(1-адамантилметил)-2-бром-5-хлоризоникотинамида (Пример 1(2)) (0,50 г) и дихлор[1,1′-бис(дифенилфосфино)ферроценил]палладия(II) (0,045 г) в безводном N,N-диметилформамиде (4 мл). Смесь нагревали при 60°С под азотом в течение 3 часов, разбавляли насыщенным рассолом (25 мл) и экстрагировали в этилацетат (3×25 мл). Объединенные экстракты высушивали над безводным сульфатом натрия, фильтровали и концентрировали. Остаток очищали посредством хроматографии на силикагеле, элюируя смесью изогексан:этилацетат (от 6:1 до 1,5:1). Выделенное вещество (0,50 г) растворяли в растворе хлористого водорода в 1,4-диоксане (10 мл 4 М раствора) и концентрировали; полученное твердое вещество перекристаллизовывали из смеси 1,4-диоксан/метанол и твердое вещество собирали фильтрацией с получением указанного в заголовке соединения (0,19 г) в виде бесцветного порошка. 1H-ЯМР (400 МГц, ДМСО-d6) МС: ХИАД(+ve) 378/376 (М+1). Т.пл.: 210-212°С. Пример 35 N-(1-Адамантилметил)-5-бром-2-{[(2S)-2-гидрокси-3-(метиламино)пропил]окси}изоникотинамид
(1) N-(1-Адамантилметил)-5-бром-2-метоксиизоникотинамид Н-бутиллитий (2,51 мл 2,5 М раствора в гексанах) добавляли к диизопропиламину (0,88 мл) в сухом тетрагидрофуране (15 мл) при -65°С. К этому раствору по каплям прибавляли раствор 5-бром-2-метоксипиридина (0,82 мл) в сухом тетрагидрофуране (10 мл) в течение 30 минут при -65°С. Затем небольшими порциями прибавляли раствор 1-адамантилметилизоцианата (1 г) в сухом тетрагидрофуране (10 мл) в течение 30 минут при -65°С. Реакционной смеси позволяли нагреться до 0°С, разбавляли насыщенным рассолом (20 мл) и экстрагировали в этилацетат (3×20 мл). Объединенные экстракты высушивали над безводным сульфатом натрия, фильтровали и концентрировали. Остаток очищали посредством хроматографии на силикагеле, элюируя смесью дихлорметан:ацетон (от 19:1 до 2,5:1) с получением указанного в подзаголовке соединения (1,1 г) в виде бесцветного порошка. МС: ХИАД(+ve) 381/379 (М+1). (2) N-(1-Адамантилметил)-5-бром-2-гидроксиизоникотинамид Йодид натрия (0,48 г) добавляли к раствору триметилсилилхлорида (0,41 мл) в ацетонитриле (30 мл), и смесь перемешивали в течение 1 часа. Затем добавляли N-(1-адамантилметил)-5-бром-2-метоксиизоникотинамид (0,94 г) (Пример 35(1)) и реакционную смесь нагревали при 60°С под азотом в течение 3 часов. Реакционную смесь разбавляли водой (150 мл) и полученное твердое вещество собирали фильтрацией и высушивали путем азеотропной перегонки этанол/толуол. Твердое вещество растирали с диэтиловым эфиром и собирали фильтрацией с получением указанного в заголовке соединения (0,70 г). (3) N-(1-Адамантилметил)-5-бром-2-[(2S)-оксиран-2-илметокси]изоникотинамид Суспензию (S)-глицидилнозилата (0,29 г), карбоната цезия (1,82 г) и N-(1-адамантилметил)-5-бром-2-гидроксиизоникотинамида (0,41 г) (Пример 35(2)) в безводном N,N-диметилформамиде (6 мл) нагревали при 60°С под азотом в течение 2 часов. Реакционной смеси позволяли охладиться до комнатной температуры, разбавляли водой (50 мл) и экстрагировали в этилацетат (3×20 мл). Объединенные экстракты высушивали над безводным сульфатом натрия, фильтровали и концентрировали. Остаток очищали посредством хроматографии на силикагеле, элюируя смесью дихлорметан:этилацетат (от 4:1 до 0:1) с получением указанного в заголовке соединения (0,12 г). МС: ХИАД(+ve) 423/421 (М+1). (4) N-(1-Адамантилметил)-5-бром-2-{[(2S)-2-гидрокси-3-(метиламино)пропил]окси}изоникотинамид Смесь N-(1-адамантилметил)-5-бром-2-[(2S)-оксиран-2-илметокси]-изоникотинамида (0,12 г) (Пример 35(3)), 40%-ного водного метиламина (4 мл) и 1,4-диоксана (4 мл) перемешивали в течение 4 часов. Реакционную смесь концентрировали и остаток очищали посредством хроматографии на силикагеле, элюируя смесью этилацетат:этанол:0,880 аммиака раствор (от 4:1:0,1 до 1,5:1:0,1). Выделенное вещество растворяли в растворе хлористого водорода в 1,4-диоксане (10 мл 4 М раствора) и концентрировали с получением указанного в заголовке соединения (0,039 г). 1H-ЯМР (400 МГц, ДМСО-d6) МС: ХИАД(+ve) 454/452 (М+1). Пример 36 N-(1-Адамантилметил)-2-({3-[бис(3-гидроксипропил)амино]пропил}амино)-3-хлоризоникотинамида дигидрохлорид (1) трет-Бутил-3-[(4-{[(1-адамантилметил)амино]карбонил}-3-хлорпиридин-2-ил)амино]пропилкарбамат N-(1-Адамантилметил)-2,3-дихлоризоникотинамид (0,4 г) и трет-бутил-3-аминопропилкарбамат (0,4 г) в ДМСО (4 мл) нагревали в запаянной трубке при 160°С в течение 5 часов. Добавляли этилацетат и этот раствор промывали раствором NaHCO3, водой, раствором KHSO4 и водой. Раствор высушивали и растворитель выпаривали. Полученное масло подвергали флэш-хроматографии, используя смесь этилацетат/гексан в качестве элюента, с получением указанного в заголовке соединения в виде бесцветного масла (0,41 г). МС (ЭР+(электрораспыление)) 477, 479. (2) N-(1-Адамантилметил)-2-[(3-аминопропил)амино]-3-хлоризоникотинамида дигидрохлорид трет-Бутил-3-[(4-{[(1-адамантилметил)амино]карбонил}-3-хлорпиридин-2-ил)амино]пропилкарбамат (0,41 г) (Пример 36(1)) в метаноле (15 мл) обрабатывали раствором HCl в 1,4-диоксане (4 мл) и смесь перемешивали при комнатной температуре в течение 18 часов. Раствор упаривали. Добавляли метанол и раствор упаривали с получением указанного в заголовке соединения в виде бледно-желтого твердого вещества. МС (ЭР+) 377, 379. (3) N-(1-Адамантилметил)-2-({3-[бис(3-{[трет-бутил(диметил)силил]окси}пропил)амино]пропил}амино)-3-хлоризоникотинамид К N-(1-адамантилметил)-2-[(3-аминопропил)амино]-3-хлоризоникотинамиду (0,32 г) (Пример 36(2)) и 3-[[трет-бутил(диметил)силил]окси}пропанолу (0,16 г) в дихлорметане (15 мл) прибавляли триацетоксиборгидрид натрия (0,18 г). Смесь перемешивали в течение 18 часов при комнатной температуре. Прибавляли раствор NaHCO3 и продукт экстрагировали в дихлорметан. Раствор высушивали и растворитель выпаривали. Флэш-хроматография с использованием смеси NH3/МеОН/CH2Cl2 в качестве элюента давала указанное в заголовке соединение в виде бесцветного масла. (4) N-(1-Адамантилметил)-2-({3-[бис(3-гидроксипропил)амино]пропил}амино)-3-хлоризоникотинамида дигидрохлорид N-(1-адамантилметил)-2-({3-[бис(3-{[трет-бутил(диметил)силил]окси}пропил)амино]пропил}амино)-3-хлоризоникотинамид (Пример 36(3)) в метаноле (5 мл) обрабатывали раствором HCl в 1,4-диоксане (3 мл). Смесь перемешивали при комнатной температуре в течение 3 часов. Растворитель выпаривали. Продукт очищали с помощью ВЭЖХ с обращенной фазой, используя смесь NH3/H2O/CH3CN в качестве элюента. Полученное масло в метаноле обрабатывали эфирным HCl и растворитель выпаривали с получением указанного в заголовке соединения в виде белого твердого вещества (0,14 г). 1H-ЯМР (400 МГц, ДМСО-d6) MC (ХИАД+) 493, 495 [M+H]+. Фармакологический анализ Известно, что определенные соединения, такие как бензоилбензоиладенозинтрифосфат (bbATP) являются агонистами Р2Х7-рецептора, осуществляя образование пор в плазматической мембране (Drug Development Research (1996), 37 (3), р.126). Соответственно, когда рецептор активирован посредством bbATP в присутствии бромистого этидия (флуоресцентный ДНК-зонд), наблюдают увеличение флуоресценции внутриклеточного ДНК-связанного бромистого этидия. Увеличение флуоресценции может быть использовано в качестве показателя Р2Х7-рецепторной активации и, следовательно, для количественной оценки эффекта соединения в отношении Р2Х7-рецептора. Таким образом, каждое из названных соединений из Примеров исследовали на антагонистическую активность в отношении Р2Х7-рецептора. Тест проводили в 96-луночных плоскодонных титрационных микропланшетах, лунки которого были заполнены 250 мкл тестируемого раствора, содержавшего 200 мкл суспензии клеток ТНР-1 (2,5×106 клеток/мл), включая 10-4 М бромистого этидия, 25 мкл высокоионного калиевого буферного раствора, содержавшего 10-5 М bbATP, и 25 мкл высокоионного калиевого буферного раствора, содержавшего 3×10-5 М тестируемого соединения. Планшет покрывали пластиковой крышкой и инкубировали при 37°С в течение одного часа. Затем планшет считывали во флуоресцентном устройстве для считывания планшетов Perkin-Elmer, возбуждение 520 нм, эмиссия 595 нм, ширина щели: Ех 15 нм, Em 20 нм. С целью сравнения, в тесте использовали отдельно bbATP (агонист Р2Х7-рецептора) и пиридоксаль-5-фосфат (антагонист Р2Х7-рецептора) в качестве контролей. Из полученных данных для каждого тестировавшегося соединения рассчитывали величину pIC50, которая представляет собой отрицательный логарифм концентрации тестировавшегося соединения, необходимой для уменьшения bbATP-агонистической активности на 50%. Каждое из соединений из Примеров демонстрировало антагонистическую активность, имевшую величину pIC50 свыше 4,50. Например, соединения из Примера 12 и Примера 26 имели величины pIC50, равные 7,1 и 7,8 соответственно. Таблетка (для перорального введения)
Для изготовления таблетки перечисленные выше компоненты смешивают и таблетируют с использованием технологий изготовления таблеток, известных в данной области техники.
Формула изобретения
1. Соединение формулы
где m означает 1, 2 или 3; каждый R1 представляет собой атом водорода; А представляет собой C(O)NH или NHC(O); Ar представляет собой группу
один из R2 и R3 представляет собой галоген или C1-С6алкил, а другой из R2 и R3 представляет собой атом водорода; R4 представляет собой группу
Х представляет собой атом кислорода или серы или группу >N-R8; n означает 0 или 1; R5 представляет собой С1-С5алкильную группу, которая может быть возможно замещена по меньшей мере одним заместителем, выбранным из гидроксила; каждый R6 и R7 независимо представляет собой атом водорода, C1-С6алкил (возможно замещенный по меньшей мере одним заместителем, выбранным из гидроксила и (ди)-С1-С4алкиламино (который сам возможно замещен по меньшей мере одной гидроксильной группой)) или С3-С8циклоалкил (возможно замещенный по меньшей мере одним заместителем, выбранным из гидроксила); и R8 представляет собой атом водорода или С1-С5алкильную группу, которая может быть возможно замещена по меньшей мере одним заместителем, выбранным из гидроксила; при условии, что (а) когда n означает 0, тогда А представляет собой NHC(O), и (б) когда n означает 1, Х представляет собой кислород, и А представляет собой C(O)NH, тогда R6 и R7 не являются оба одновременно атомом водорода или не являются оба одновременно незамещенным C1-С6алкилом, или когда один из R6 и R7 представляет собой атом водорода, тогда другой из R6 и R7 не является незамещенным С1-С6алкилом; и (в) когда n означает 1, Х представляет собой кислород, серу или >NH, и А представляет собой NHC(O), тогда R6 и R7 не являются оба одновременно атомом водорода или не являются оба одновременно незамещенным C1-С6алкилом, или когда один из R6 и R7 представляет собой атом водорода, тогда другой из R6 и R7 не является незамещенным C1-С6алкилом или -CH2CH2OH; или его фармацевтически приемлемые соль или сольват. 2. Соединение формулы (I) по п.1, где m означает 1, 2 или 3; каждый R1 представляет собой атом водорода; А представляет собой C(O)NH или NHC(O); Ar представляет собой группу
один из R2 и R3 представляет собой галоген или С1-С6алкил, а другой из R2 и R3 представляет собой атом водорода; R4 представляет собой группу
Х представляет собой атом кислорода или серы или группу >N-R8; n означает 0 или 1; R5 представляет собой С1-С5алкильную группу, которая может быть возможно замещена по меньшей мере одним заместителем, выбранным из гидроксила; и каждый из R6, R7 и R8 независимо представляет собой атом водорода или С1-С5алкильную группу, которая может быть возможно замещена по меньшей мере одним заместителем, выбранным из гидроксила; при условии, что (г) когда n означает 0, тогда А представляет собой NHC(O), и (д) когда n означает 1, Х представляет собой кислород, и А представляет собой C(O)NH, тогда R6 и R7 не являются оба одновременно атомом водорода или не являются оба одновременно незамещенным C1-С5алкилом, или когда один из R6 и R7 представляет собой атом водорода, тогда другой из R6 и R7 не является незамещенным C1-С5алкилом, и (е) когда n означает 1, Х представляет собой кислород, серу или >NH, и А представляет собой NHC(O), тогда R6 и R7 не являются оба одновременно атомом водорода или не являются оба одновременно незамещенным С1-С5алкилом, или когда один из R6 и R7 представляет собой атом водорода, тогда другой из R6 и R7 не является незамещенным С1-С5алкилом или -CH2СН2ОН; или его фармацевтически приемлемые соль или сольват. 3. Соединение по п.1, где m означает 1. 4. Соединение по п.1, где А представляет собой NHC(O). 5. Соединение по п.1, где Ar представляет собой группу формулы (II) или (III). 6. Соединение по п.5, где Ar представляет собой группу формулы (II). 7. Соединение по п.1, где один из R2 и R3 представляет собой атом галогена, а другой из R2 и R3 представляет собой атом водорода. 8. Соединение по п.1, где n означает 0. 9. Соединение по п.1, где m означает 1; каждый R1 представляет собой атом водорода; А представляет собой NHC(O); Ar представляет собой группу
один из R2 и R3 представляет собой атом галогена, а другой из R2 и R3 представляет собой атом водорода; R4 представляет собой группу
Х представляет собой атом кислорода или серы или группу >N-R8; n означает 0 или 1; R5 представляет собой С1-С3алкильную группу, возможно замещенную по меньшей мере одной гидроксильной группой; каждый из R6 и R7 независимо представляет собой атом водорода, С1-С5алкил (возможно замещенный одним или двумя заместителями, независимо выбранными из гидроксила и (ди)-С1-С2алкиламино (который сам возможно замещен по меньшей мере одной гидроксильной группой)) или С6циклоалкил (замещенный по меньшей мере одной гидроксильной группой); R8 представляет собой атом водорода или С2алкильную группу, замещенную по меньшей мере одной гидроксильной группой. 10. Соединение по п.1, где m означает 1; каждый R1 представляет собой атом водорода; А представляет собой NHC(O); Ar представляет собой группу
один из R2 и R3 представляет собой атом галогена, а другой из R2 и R3 представляет собой атом водорода; R4 представляет собой группу
X представляет собой атом кислорода или серы или группу >N-R8; n означает 0 или 1; R5 представляет собой С2-С3алкильную группу, возможно замещенную по меньшей мере одной гидроксильной группой; каждый из R6 и R7 независимо представляет собой атом водорода или C1-С5алкильную группу, возможно замещенную одной или двумя гидроксильными группами; R8 представляет собой атом водорода или С2алкильную группу, замещенную по меньшей мере одной гидроксильной группой. 11. Соединение, выбранное из числа следующих: N-(1-Адамантилметил)-5-хлор-2-{3-[(3-гидроксипропил)-амино]пропил}изоникотинамид, N-(1-Адамантилметил)-5-хлор-2-{3-[(3-гидроксипропил)амино]пропил}-изоникотинамида дигидрохлорид, N-(1-Адамантилметил)-2-хлор-5-{3-[(3-гидроксипропил)амино]пропил}никотинамид, N-(1-Адамантилметил)-2-хлор-5-(3-{[(1S)-2-гидрокси-1-метилэтил]амино}пропил)никотинамид, N-(1-Адамантилметил)-2-хлор-5-(3-{[(1R)-2-гидрокси-1-метилэтил]амино}пропил)никотинамид, N-(1-Адамантилметил)-2-(3-аминопропил)-5-хлоризоникотинамида гидрохлорид, N-(1-Адамантилметил)-5-хлор-2-[3-(этиламино)пропил]изоникотинамида гидрохлорид, N-(1-Адамантилметил)-5-хлор-2-({2-[(3-гидроксипропил)амино]-этил}тио)изоникотинамида гидрохлорид, N-(1-Адамантилметил)-5-хлор-2-(3-{[(1R)-2-гидрокси-1-метилэтил]амино}пропил)изоникотинамида дигидрохлорид, N-(1-Адамантилметил)-5-хлор-2-(3-{[(1S)-2-гидрокси-1-метилэтил]амино}пропил)изоникотинамида дигидрохлорид, N-(1-Адамантилметил)-5-хлор-2-{3-[(2-гидроксиэтил)амино]пропил}-изоникотинамида гидрохлорид, N-(1-Адамантилметил)-5-хлор-2-{2-[(3-гидроксипропил)амино]этокси}изоникотинамида гидрохлорид, N-(1-Адамантилметил)-5-хлор-2-({2-[(2-гидроксиэтил)амино]этил}-амино)изоникотинамида дигидрохлорид, N-(1-Адамантилметил)-5-хлор-2-[3-(изопропиламино)пропил]изоникотинамида дигидрохлорид, N-(1-Адамантилметил)-5-хлор-2-(3-{[(2S)-2-гидроксипропил]амино}пропил)изоникотинамида дигидрохлорид, N-(1-Адамантилметил)-5-хлор-2-(3-{[(2R)-2,3-дигидроксипропил]амино}пропил)изоникотинамида дигидрохлорид, N-(1-Адамантилметил)-5-хлор-2-(3-{[(2S)-2,3-дигидроксипропил]амино}пропил)изоникотинамида дигидрохлорид, N-(1-Адамантилметил)-5-хлор-2-{3-[(4-метилциклогексил)амино]пропил}изоникотинамида дигидрохлорид, N-(1-Адамантилметил)-5-хлор-2-{3-[(2-гидрокси-2-метилпропил)амино]пропил}изоникотинамида дигидрохлорид, N-(1-Адамантилметил)-5-хлор-2-(3-{[(1R)-1-(гидроксиметил)-2-метилпропил]амино}пропил)изоникотинамида дигидрохлорид, N-(1-Адамантилметил)-5-хлор-2-(3-{[2-(метиламино)этил]амино}пропил)изоникотинамида дигидрохлорид, N-(1-Адамантилметил)-5-хлор-2-(3-{[3-(метиламино)пропил]амино}пропил)изоникотинамида бис(трифторацетат), N-(1-Адамантилметил)-5-хлор-2-[3-({2-[(2-гидроксиэтил)амино]этил}амино)пропил]изоникотинамида дигидрохлорид, N-(1-Адамантилметил)-5-хлор-2-(3-{[2-(диэтиламино)этил]амино}пропил)изоникотинамида дигидрохлорид, N-(1-Адамантилметил)-5-хлор-2-(3-{[2-гидрокси-1-(гидроксиметил)этил]амино}пропил)изоникотинамида дигидрохлорид, N-(1-Адамантилметил)-5-хлор-2-{3-[(2-гидроксиэтил)(метил)амино]пропил}изоникотинамида дигидрохлорид, N-(1-Адамантилметил)-5-хлор-2-{3-[(3-гидрокси-2,2-диметилпропил)амино]пропил}изоникотинамида дигидрохлорид, N-(1-Адамантилметил)-5-хлор-2-(3-{[(2R)-2-гидроксипропил]амино}пропил)изоникотинамида дигидрохлорид, N-(1-Адамантилметил)-5-хлор-2-({[3-(метиламино)пропил]амино}метил)изоникотинамида дигидрохлорид, N-(1-Адамантилметил)-5-хлор-2-[({2-[(2-гидроксиэтил)амино]этил}амино)метил]изоникотинамида дигидрохлорид, N-(1-Адамантилметил)-5-хлор-2-({[2-(метиламино)этил]амино}метил)изоникотинамида дигидрохлорид, N-(1-Адамантилметил)-5-хлор-2-{3-[(2-гидроксиэтил)амино]этил}изоникотинамида дигидрохлорид, N-(1-Адамантилметил)-5-хлор-2-{3-[(3-гидроксипропил)амино]этил}изоникотинамида дигидрохлорид, N-(1-Адамантилметил)-5-хлор-2-[3-(метиламино)пропил]изоникотинамида гидрохлорид, N-(1-Адамантилметил)-5-бром-2-{[(2S)-2-гидрокси-3-(метиламино)пропил]окси}изоникотинамид, N-(1-Адамантилметил)-2-({3-[бис(3-гидроксипропил)амино]пропил}амино)-3-хлоризоникотинамида дигидрохлорид, и всех их фармацевтически приемлемых солей и сольватов. 12. Способ получения соединения по п.1, где n означает 0, и R5 представляет собой СН2, при котором соединение формулы
где R10 представляет собой -С(O)Н или -CH2L1, L1 представляет собой уходящую группу, и m, R1, R2 и R3 такие, как определено в формуле (I), или соединение формулы
где R11 представляет собой -С(O)Н или -CH2L2, L2 представляет собой уходящую группу, и m, R1, R2 и R3 такие, как определено в формуле (I), или соединение формулы
где R12 представляет собой -С(O)Н или -CH2L3, L3 представляет собой уходящую группу, и m, R1, R2 и R3 такие, как определено в формуле (I), подвергают взаимодействию с соединением формулы (XIII), HNR6R7, где R6 и R7 такие, как определено в формуле (I), в условиях восстановительного аминирования, когда R10, R11 или R12 представляет собой -С(O)Н, или в присутствии подходящего основания, когда R10, R11 или R12 представляет собой – CH2L1, -CH2L2 или -CH2L3; и возможно образуют фармацевтически приемлемые соль или сольват этого соединения. 13. Способ получения соединения по п.1, где n означает 0, и R5 представляет собой С3-С5алкильную группу, возможно замещенную так, как определено в формуле (I), при котором соединение формулы
где R14 представляет собой уходящую группу, и m, R1, R2 и R3 такие, как определено в формуле (I), или соединение формулы
где R15 представляет собой уходящую группу, и m, A, R1, R2 и R3 такие, как определено в формуле (I), или соединение формулы
где R16 представляет собой уходящую группу, и m, R1, R2 и R3 такие, как определено в формуле (I), подвергают взаимодействию с соединением формулы
где R5 представляет собой C1-С3алкильную группу, возможно замещенную так, как определено для R5 в формуле (I), и R6 и R7 такие, как определено в формуле (I), с последующей реакцией гидрирования; и возможно образуют фармацевтически приемлемые соль или сольват этого соединения. 14. Способ получения соединения по п.1, где n означает 0, и R5 представляет собой С3-С5алкильную группу, возможно замещенную так, как определено в формуле (I), при котором соединение формулы (XV), (XVI) или (XVII), как оно определено в п.13, подвергают взаимодействию с соединением формулы
где R5′ такой, как определено в формуле (XVIII) в п.13, с последующей реакцией гидрирования и затем реакцией окисления, и затем взаимодействием с соединением формулы (XIII), как оно определено в п.12, в условиях восстановительного аминирования; и возможно образуют фармацевтически приемлемые соль или сольват этого соединения. 15. Способ получения соединения по п.1, где n означает 0, и R5 представляет собой С2-C5алкильную группу, замещенную так, как определено в формуле (I), при котором соединение формулы
или соединение формулы
или соединение формулы
где в каждой из формул (XXXII), (XXXIII) и (XXXIV) Y представляет собой связь или C1-С3алкил, и m, R1, R2 и R3 такие, как определено в формуле (I), подвергают взаимодействию с соединением формулы (XIII), как оно определено в п.12, и после этого возможно подвергают взаимодействию с C1-С6алкилирующим агентом или с галогенирующим агентом; и возможно образуют фармацевтически приемлемые соль или сольват этого соединения. 16. Способ получения соединения по п.1, где n означает 0, и R5 представляет собой С3-С5алкильную группу, возможно замещенную так, как определено в формуле (I), при котором соединение формулы (XV), (XVI) или (XVII), как оно определено в п.13, подвергают взаимодействию с предварительно обработанным соединением формулы
в которой L6 представляет собой атом водорода, и R5′ представляет собой C1-С3алкильную группу, возможно замещенную так, как определено для R5 в формуле (I), и R6 и R7 такие, как определено в формуле (I), где соединение формулы (XXXV) предварительно обработано гидроборирующим агентом; и возможно образуют фармацевтически приемлемые соль или сольват этого соединения. 17. Способ получения соединения по п.1, где n означает 0, и R5 представляет собой С3-С5алкильную группу, возможно замещенную так, как определено в формуле (I), при котором соединение формулы (XV), (XVI) или (XVII), как оно определено в п.13, подвергают взаимодействию в присутствии подходящего катализатора с предварительно обработанным соединением формулы
в которой L7 представляет собой атом водорода, и R5′ представляет собой C1-С3алкильную группу, возможно замещенную так, как определено для R5 в формуле (I), и Р представляет собой подходящую защитную группу, где соединение формулы (XXXVIII) предварительно обработано гидроборирующим агентом, с последующим удалением защитной группы Р в реакции удаления защиты, затем реакцией окисления, и затем взаимодействием с соединением формулы (XIII), как оно определено в п.12, в условиях восстановительного аминирования; и возможно образуют фармацевтически приемлемые соль или сольват этого соединения. 18. Способ получения соединения по п.1, где n означает 0, и R5 представляет собой (CH2)2, при котором соединение формулы (XV), (XVI) или (XVII), как оно определено в п.13, подвергают взаимодействию с соединением формулы
где R20 представляет собой подходящую уходящую группу, в присутствии подходящего катализатора с последующим взаимодействием с соединением формулы (XIII), как оно определено в п.12; и возможно образуют фармацевтически приемлемые соль или сольват этого соединения. 19. Способ получения соединения по п.1, где n означает 0, и R5 представляет собой СН2, при котором соединение формулы (XV), (XVI) или (XVII), как оно определено в п.13, подвергают взаимодействию с соединением формулы (XXXIX), как оно определено в п.18, с последующей реакцией окисления и затем взаимодействием с соединением формулы (XIII), как оно определено в п.12, в условиях восстановительного аминирования; и возможно образуют фармацевтически приемлемые соль или сольват этого соединения. 20. Промежуточное соединение формулы
где Т представляет собой -С R30 представляет собой -СНО, -CH2OP1 или группу формулы
Р1 представляет собой атом водорода или подходящую защитную группу; Р2 представляет собой подходящую защитную группу; Р3 представляет собой подходящую защитную группу; R31 представляет собой С1-С5алкильную группу; и m, A, R1, R2 и R3 такие, как определено в любом из пп.1-10. 21. Промежуточное соединение по п.20, где m означает 1; А представляет собой NHC(O); каждый R1 представляет собой атом водорода; R2 представляет собой атом галогена; и R3 представляет собой атом водорода. 22. Фармацевтическая композиция, обладающая антагонистической активностью в отношении Р2Х7-рецептора, содержащая соединение формулы (I) или его фармацевтически приемлемые соль или сольват по любому из пп.1-11 в сочетании с фармацевтически приемлемым адъювантом, разбавителем или носителем. 23. Способ получения фармацевтической композиции по п.22, при котором соединение формулы (I) или его фармацевтически приемлемые соль или сольват, как определено в любом из пп.1-11, смешивают с фармацевтически приемлемым адъювантом, разбавителем или носителем. 24. Соединение формулы (I) или его фармацевтически приемлемые соль или сольват по любому из пп.1-11, обладающее антагонистической активностью в отношении Р2Х7-рецептора. 25. Применение соединения формулы (I) или его фармацевтически приемлемых соли или сольвата по любому из пп.1-11 для изготовления лекарства для использования в лечении ревматоидного артрита. 26. Применение соединения формулы (I) или его фармацевтически приемлемых соли или сольвата по любому из пп.1-11 для изготовления лекарства для использования в лечении обструктивного заболевания дыхательных путей. 27. Применение по п.26, где обструктивное заболевание дыхательных путей представляет собой астму или хроническое обструктивное заболевание легких. 28. Применение соединения формулы (I) или его фармацевтически приемлемых соли или сольвата по любому из пп.1-11 для изготовления лекарства для использования в лечении остеоартрита. 29. Способ лечения ревматоидного артрита или остеоартрита, при котором пациенту вводят терапевтически эффективное количество соединения формулы (I) или его фармацевтически приемлемых соли или сольвата по любому из пп.1-11. 30. Способ лечения обструктивного заболевания дыхательных путей, при котором пациенту вводят терапевтически эффективное количество соединения формулы (I) или его фармацевтически приемлемых соли или сольвата по любому из пп.1-11.
MM4A – Досрочное прекращение действия патента СССР или патента Российской Федерации на изобретение из-за неуплаты в установленный срок пошлины за поддержание патента в силе
Дата прекращения действия патента: 13.11.2008
Извещение опубликовано: 27.11.2010 БИ: 33/2010
|
||||||||||||||||||||||||||

или 

(IL-1
или 













или 

или 















С- или -CH2CH2-;

8.63 (1Н, s); 7.98 (1Н, s).


































или 

















