Патент на изобретение №2300518
|
||||||||||||||||||||||||||||||||||||||||||||||||||||||||||||||||||||||||||||||||||||||||||||||||||||||||||||||||||||||||||||||||||||||||||||||||||||||||||||||||||||||||||||||||||||||||||||||||||||||||||||||||||||||||||||||||||||||||||||||||||||||||||||||||||||||||||||||||||||||||||||||||||||||||||||||||||||||||||||||||||||||||||||||||||||||||||||
(54) ПРОИЗВОДНЫЕ АЛЬФА-(N-СУЛЬФОНАМИДО)АЦЕТАМИДА КАК ИНГИБИТОРЫ БЕТА-АМИЛОИДА
(57) Реферат:
Изобретение относится к новым
где значения для R; R1; R2 и R3 указаны в п.1 формулы. Данные соединения являются ингибиторами продукции
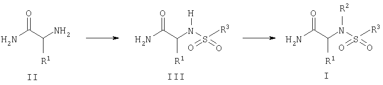
ОБЛАСТЬ, К КОТОРОЙ ОТНОСИТСЯ ИЗОБРЕТЕНИЕ Данное изобретение охватывает новые соединения ПРЕДПОСЫЛКИ СОЗДАНИЯ ИЗОБРЕТЕНИЯ Болезнь Альцгеймера является прогрессирующим нейродегенеративным заболеванием, характеризующимся ухудшением памяти и когнитивной дисфункцией. AD характеризуется патологическим накоплением сенильных (нейритных) бляшек, нейрофибриллярных клубков, амилоидных отложений в невральных тканях и сосудах, утратой синаптических контактов и гибелью нейронов. Она представляет собой самую обычную форму деменции и в настоящее время является третьей основной причиной смерти после сердечно-сосудистых заболеваний и рака. Затраты на болезнь Альцгеймера огромны (в США более $100 миллиардов ежегодно). По мере увеличения продолжительности жизни в обществе частота AD заметно повышается. По оценкам, если методы предупреждения и лечения не будут найдены, к 2020 году более 10 миллионов американцев будут страдать AD. В настоящее время считают, что болезнью Альцгеймера (AD) поражено 10% населения в возрасте старше 65 лет и до 50% в возрасте старше 85 лет. В настоящее время нет метода лечения, который бы эффективно предупреждал AD или уменьшал (сводил на нет) клинические симптомы и основную патофизиологию (см. обзор Selkoe, D.J. Ann. Rev. Cell Biol., 1994, 10:373-403). Существует множество теорий относительно этиологии и патогенеза AD. Эти теории либо основываются на аналогии с другими заболеваниями и состояниями (например, теории медленного вируса и “алюминиевая”) или на наблюдениях за патологией (например, холинергическая, амилоидная или клубочковая теории). Генетический анализ, вероятно, поможет сделать выбор между конкурентными теориями. Идентификация мутаций в предшественнике Гистопатологическое исследование тканей мозга, полученных при аутопсии или при изучении нейрохирургических проб пораженных болезнью людей, выявляет наличие амилоидных бляшек и нейрофибриллярных клубочков в коре головного мозга таких больных. Аналогичные изменения наблюдаются у больных трисомией 21 (синдром Дауна). Биохимические и иммунологические исследования показывают, что доминантный белковый компонент амилоидной бляшки представляет собой белок размером примерно 4,2 килодальтон, содержащий около 39-43 аминокислот. Этот белок называют A Многочисленные данные, взятые вместе, неуклонно наводят на мысль, что снижение уровней А Помимо AD, избыточная продукция и/или пониженный клиренс А Выдвинута гипотеза, что ингибирование продуцирования А В Международной заявке WO 00/50391, опубликованной 31 августа 2000 года, описан ряд сульфонамидных соединений, которые могут модулировать продуцирование амилоидного Ничто в этих ссылках нельзя интерпретировать как описывающее или предполагающее новые соединения по данному изобретению и их применение для ингибирования продуцирования СУЩНОСТЬ ИЗОБРЕТЕНИЯ Синтезирован ряд производных ПОДРОБНОЕ ОПИСАНИЕ ИЗОБРЕТЕНИЯ Настоящее изобретение включает соединения Формулы I, их фармацевтические препараты и их применение для ингибирования (подавления) продуцирования
где R1 выбирают из группы, состоящей из (а) линейного или разветвленного C1-6 алкила или С2-6 алкенила, необязательно имеющего заместители, выбранные из группы, состоящей из гидрокси, С3-7 циклоалкила, С1-4 алкокси, С1-4 алкилтио и галогена; (б) С3-7 циклоалкила, необязательно замещенного гидрокси или галогеном; R обозначает водород или R1 и R вместе обозначают C2-5 алкилен; R2 выбирают из группы, состоящей из (а) линейного или разветвленного С1-6 алкила или С3-6 алкенила, имеющего, необязательно, заместители, выбранные из группы, состоящей из галогена, С1-4 алкокси и NR4R5; (б) С3-7 циклоалкилметила, имеющего, необязательно, заместители, выбранные из группы, состоящей из амино, (С1-4алкил)NH-, ди(С1-4алкил)N-, С1-4алкилС(=O)NH- и С1-4алкилОС(=O)NH-; (в) линейного или разветвленного С1-6алкил-С(=O)-А; (г) -В-нафтила; (д)
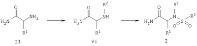
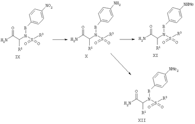
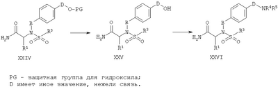
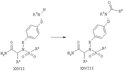
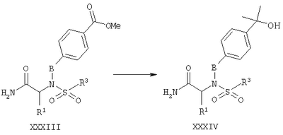
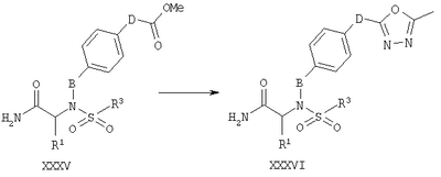
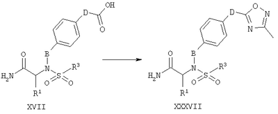
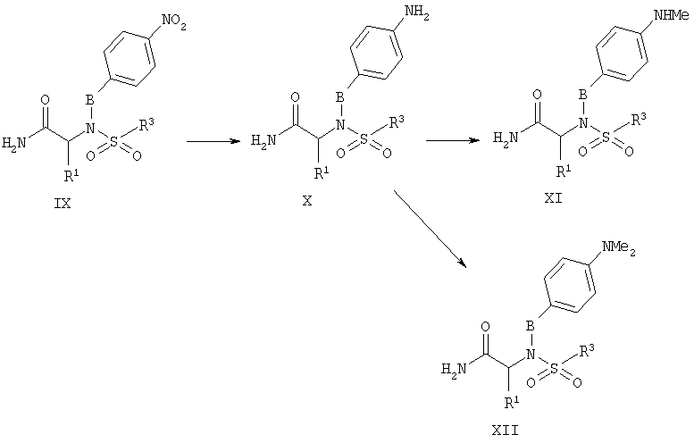
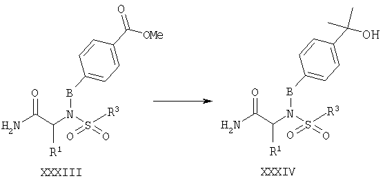
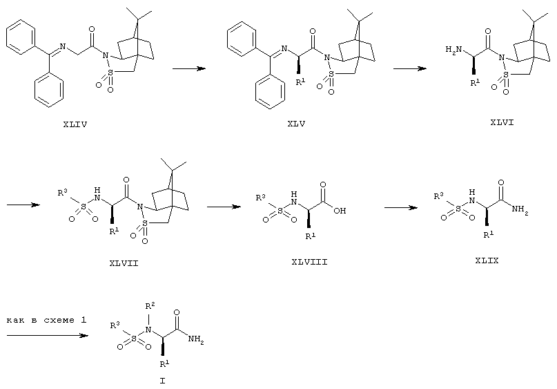
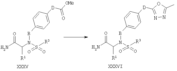
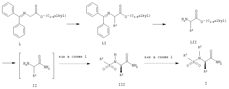
D и Е, каждый независимо, обозначают простую связь, линейный или разветвленный С1-6алкил, С2-6алкенил или С3-7циклоалкил; Z выбирают из группы, состоящей из водорода, С1-4 алкила, С1-4 алкокси, галогена, циано, гидрокси, -OCHF2, -OCF3, -CF3 и -CHF2; Х и Y, каждый независимо, выбирают из группы, состоящей из водорода, гидрокси, галогена, (галоген)3С-, (галоген)2СН-, С1-4 алкилS-, С1-4 алкилS(O)-, С1-4 алкилSO2-, нитро, F3S- и циано; -OR6; -NR4R5; -NR7C(=O)R8; -NR7C(=O)OR8; NHSO2C1-4 алкил; -N(SO2C1-4 алкил)2; C(=O)W, где W выбирают из группы, состоящей из гидрокси, C1-4 алкил, C1-4 алкокси, фенокси и -NR4R5; -OC(=O) C1-4 алкила; фенила, причем указанный фенил, необязательно, может быть замещен циано, галогеном, C1-4 алкокси, С1-4 алкилS-, СН3С(=O), C1-4 алкилS(O)- или С1-4 алкилSO2-, и гетероциклической группы, где указанную гетероциклическую группу выбирают из ряда, состоящего из фуранила, тиофуранила, пирролила, имидазолила, пиразолила, триазолила, тетразолила, пиридинила, пиримидинила, оксадиазолила, оксазолила, изоксазолила, тиадиазолила и тиазолила, причем указанная гетероциклическая группа, необязательно, замещена заместителями, выбранными из группы, состоящей из циано, галогена, C1-4 алкила, (галоген)С1-4 алкила и CO2C1-4 алкила; (е) -В-(гетероцикла), где указанный гетероцикл выбирают из группы, состоящей из фуранила, тиофуранила, пирролила, имидазолила, пиразолила, триазолила, тетразолила, пиридинила, пиримидинила, оксадиазолила, оксазолила, изоксазолила, тиадиазолила и тиазолила, причем указанный гетероцикл, необязательно, имеет заместители, выбранные из группы, состоящей из циано, галогена, C1-4 алкила, CO2 C1-4 алкила, амино, (С1-4 алкил)NH-, ди(С1-4 алкил)N-, морфолин-4-ила, тиоморфолин-4-ила, пирролидин-1-ила, пиперидин-1-ила, пиперазин-1-ила и 4-(С1-6алкил)пиперазин-1-ила; (ж) -В-(пиперидин-4-ила), где указанный пиперидин-4-ил, необязательно, имеет заместители, выбранные из группы, состоящей из линейного или разветвленного C1-6 алкила, СН2С(=O)фенила, фенила и фенилметила, причем указанный C1-6 алкил и указанный фенил, необязательно, имеют заместители, выбранные из группы, состоящей из циано, галогена, бензимидазол-2-ила, пиридила и тетрагидрофуран-2-ила, и -C(=O)W’, где W’ выбирают из группы, состоящей из C1-4 алкокси, R9 и -NR4R5; А обозначает гидрокси, C1-4 алкокси или NR4R5; В обозначает линейный или разветвленный C1-6 алкил или С3-6 алкенил; R3 обозначает фенил или пиридил, имеющий, необязательно, заместители, выбранные из группы, состоящей из галогена, гидрокси, C1-4 алкокси, C1-4 алкила, (галоген)3С-, (галоген)2СН- и галогенСН2-; R4 и R5, каждый независимо, обозначают водород, линейный или разветвленный C1-6 алкил, С3-6 алкенил, С3-6 алкинил, С3-7 циклоалкил, С3-7 циклоалкилметил, C1-4 алкокси, фенил, бензил, пиридил, пиперидин-4-ил, индан-1-ил, индан-2-ил, тетрагидрофуран-3-ил или пирролидин-3-ил, где каждый, необязательно, имеет заместители, выбранные из группы, состоящей из гидрокси, циано, галогена, (галоген)3С-, (галоген)2СН-, галогенСН2-, гидроксиметила, бензилоксиметила, фенила, пиридила, C1-4 алкила, C1-4 алкокси, (галоген)3С-О-, (галоген)2СН-O-, C1-4 алкилтио, амино, (C1-4 алкил)NH-, ди(С1-4 алкил)N-, морфолин-4-ила, тиоморфолин-4-ила, пирролидин-1-ила, пиперидин-1-ила, пиперазин-1-ила, 4-(C1-6 алкил)пиперазин-1-ила, 4-фенилпиперазин-1-ила, 4-бензилпиперазин-1-ила, 4-пиридилпиперазин-1-ила, СО2Н, СО2С1-4 алкила, C(=O)NHC1-4 алкила и C(=O)N(C1-4 алкил)2; R4 и R5 вместе могут обозначать морфолин-4-ил, тиоморфолин-4-ил, пирролидин-1-ил, 1,2,3,4-тетрагидроизохинолин-2-ил, декагидрохинолин-1-ил, пиперидин-1-ил, пиперазин-1-ил, [1,4]оксазепан-4-ил, азетидин-1-ил, 2,3-дигидро-1Н-изоиндол-2-ил или 2,3-дигидро-1H-индол-1-ил, где каждый, необязательно, имеет заместители, выбранные из группы, состоящей из гидрокси, циано, галогена, (галоген)3С-, (галоген)2СН-, галогенСН2-, фенила, пиридила, бензила, C1-6 алкила, С3-7 циклоалкила, C1-4 алкокси, C1-4 алкилтио, амино, (C1-4 алкил)NH-, ди(С1-4 алкил)N-, CO2H, СО2С1-4 алкил, C(=O)NHC1-4 алкил и C(=O)N(C1-4 алкил)2; R6 обозначает линейный или разветвленный C1-6 алкил, С3-6 алкенил, бензил или фенил, где каждый, необязательно, имеет заместители, выбранные из группы, состоящей из галогена, C1-4 алкила, C1-4 алкокси, амино, (C1-4 алкил)NH-, ди(С1-4 алкил)N-, (С1-4 алкил)(фенил)N-, морфолин-4-ила, тиоморфолин-4-ила, пирролидин-1-ила, пиперидин-1-ила, пиперазин-1-ила и 4-(С1-6 алкил)пиперазин-1-ила; R7 обозначает линейный или разветвленный C1-6 алкил; R8 обозначает линейный или разветвленный С1-6 алкил, С3-7 циклоалкил, фенил, пиридил или фуранил, где каждый, необязательно, имеет заместители, выбранные из группы, состоящей из галогена, С1-4 алкила, С1-4 алкокси, (С1-4 алкил)NH-, ди(С1-4 алкил)N-, морфолин-4-ила, тиоморфолин-4-ила, пирролидин-1-ила, пиперидин-1-ила, пиперазин-1-ила и 4-(С1-6алкил)пиперазин-1-ила; R9 обозначает линейный или разветвленный C1-6 алкил, С3-6 алкенил, бензил, фенил, оксазолил или пиридил, где каждый, необязательно, имеет заместители, выбранные из группы, состоящей из галогена, (галоген)3С-, (галоген)2СН-, галогенСН2-, С1-4 алкила, С1-4 алкокси, амино, (С1-4 алкил)NH-, ди(С1-4 алкил)N-, морфолин-4-ила, тиоморфолин-4-ила, пирролидин-1-ила, пиперидин-1-ила, пиперазин-1-ила и 4-(С1-6алкил)пиперазин-1-ила; или их нетоксические фармацевтически приемлемые соли. Настоящее изобретение также охватывает способ лечения или смягчения нарушений, ассоциированных с Термин “C1-6алкил”, употребляемый в данном описании и в формуле изобретения (если в тексте не указано иначе), обозначает линейные или разветвленные алкильные группы, такие как метил, этил, пропил, изопропил, бутил, изобутил, трет-бутил, пентил, 3-метилбутил, гексил и т.п. Термин “С2-6алкенил, обозначает линейные или разветвленные алкенильные группы, такие как этенил (т.е. винил), пропенил, аллил, бутенил, 3-метилбутенил, пентенил, гексенил и т.п. Если не указано иначе, термин “галоген”, предполагает бром, хлор, йод и фтор, тогда как термин “галогенид” предполагает анион бромид, хлорид и йодид. Термин “С3-7 циклоалкил” обозначает углеродный цикл, такой как циклопропил, циклобутил, циклопентил, циклогексил и циклогептил. Термин “C1-4 галогеналкил” обозначает линейную или разветвленную C1-4алкильную группу, содержащую 1-3 атомов галогена, такую как трифторметил, фторэтил, 1,2-дихлорэтил, трихлорэтил и т.п. Термин “С2-5алкилен” обозначает линейную или разветвленную алкиленовую группу, такую как метилен, этилен, пропилен, метилэтилен, бутилен, метилпропилен, пентилен, метилбутилен и этилпропилен. Так как соединения по данному изобретению содержат асимметрический атом углерода, настоящее изобретение включает рацемат, а также индивидуальные энантиомерные формы соединений Формулы I по данному описанию и в соответствии с формулой изобретения. Предполагается, что однобуквенное обозначение (R) или (S) включает преимущественно один стереоизомер. Смеси изомеров можно делить на индивидуальные изомеры методами, известными сами по себе, например фракционной кристаллизацией, адсорбционной хроматографией или другими подходящими методами деления. Полученные рацематы можно разделять на антиподы обычным способом путем введения подходящих солеобразующих групп, например, получая смесь диастереоизомерных солей с оптически активными солеобразующими агентами, разделяя смесь на отдельные диастереоизомерные соли и превращая разделенные соли в свободные соединения. Возможные энантиомерные формы можно также делить фракционированием на колонках для хиральной жидкостной хроматографией высокого давления. Термин “нетоксическая фармацевтически приемлемая соль” предполагает нетоксические соли присоединения основания. Соответствующие соли включают соли, образованные из органических и неорганических кислот, таких как, но без ограничения, хлористоводородная кислота, бромистоводородная кислота, фосфорная кислота, серная кислота, метансульфоновая кислота, уксусная кислота, винная кислота, молочная кислота, сульфиновая кислота, лимонная кислота, малеиновая кислота, фумаровая кислота, сорбиновая кислота, аконитовая кислота, салициловая кислота, фталевая кислота и т.п. В способе по данному изобретению термин “терапевтически эффективное количество” обозначает общее количество каждого активного компонента по данному способу, которого достаточно, чтобы увидеть значительное улучшение состояния пациента, т.е. излечивание острых состояний, характеризующееся подавлением (ингибированием) продукции Общие схемы реакций Общие методики синтеза соединений Формулы I описаны в Реакционных схемах 1-23. Предполагается, что обоснованные, разумные вариации описанных методик, очевидные для специалиста в данной области техники, входят в объем настоящего изобретения. Реакционная схема 1 Исходные ( По одному методу превращения соединения Формулы III в сульфонамид Формулы I соединение Формулы III обрабатывают соответствующим основанием и алкилирующим агентом в апротонном растворителе при нагревании или без нагревания. Соответствующие основания для этой реакции включают карбонат калия и карбонат цезия. Алкилирующие агенты включают алкилгалогениды (например, хлористый алкил, бромистый алкил или йодистый алкил) и алкилсульфонаты (тозилаты, мезилаты, трифторметансульфонаты). Предпочтительные растворители включают ДМФА и ацетонитрил. Температурный интервал для этой реакции, как правило, составляет 20-100°С. Альтернативный метод превращения соединения Формулы III в соединение Формулы I включает обработку соединения Формулы III трифенилфосфином, диалкилазодикарбоксилатом и спиртом в инертном растворителе при нагревании или без нагревания. Реакционная схема 1 на твердом носителе Соединения Формулы I можно также получать, используя методологию твердофазного синтеза. Например, FMOC-защищенную амидную смолу Ринка обрабатывают пиперидином в ДМФА для удаления FMOC-группы. Затем смола конденсируется с защищенной по амину ( Реакцией соединения Формулы IV с соответствующим основанием, таким как пиридин, и сульфонилирующим агентом, таким как сульфонилхлорид, в инертном растворителе получают связанный со смолой сульфонамид Формулы V. Алкилирование соединения Формулы V алкилгалогенидом (например, хлористым алкилом, бромистым алкилом или йодистым алкилом) или алкилсульфонатом (тозилатом, мезилатом, трифторметансульфонатом) проводят в присутствии основания в инертном растворителе при комнатной температуре. Предпочтительным основанием является 2-трет-бутиламино-2-диэтиламино-1,3-диметилпергидро-1,2,3-диазафосфорин. Снятие с полимерной подложки дает сульфонамид Формулы I. В случае амидной смолы Ринка снятие предпочтительно проводят трифторуксусной кислотой в инертном растворителе, таком как CH2Cl2. Реакционная схема 2 Соединения Формулы I можно также получать, как показано на Реакционной схеме 2. Восстановительное алкилирование амина Формулы I с целью получения амина Формулы VI проводят, обрабатывая альдегидом и восстановителем – гидридом – в присутствии кислого катализатора при нагревании или без нагревания. Предпочтительным восстановителем является цианоборогидрид натрия. Предпочтительным кислым катализатором является кислота Льюиса, такая как ZnCl2. Предпочтительным растворителем в этой реакции является метанол. Затем амин Формулы VI обрабатывают сульфонилирующим агентом, таким как сульфонилхлорид, в присутствии амина, такого как триэтиламин. Эту реакцию проводят в инертном растворителе, таком как CH2Cl2, при нагревании или без нагревания, получая продукт Формулы I. Реакцию, как правило, проводят при комнатной температуре. Реакционная схема 3 где линкер – линейный или разветвленный С1-6 алкил или С3-6 алкенил; LG = уходящая группа. Получение соединений Формулы VIII выполняют, как показано на Реакционной схеме 3, реакцией соединения Формулы VII с амином в присутствии акцептора кислоты, такого как триэтиламин, в инертном растворителе, таком как CH2Cl2, при нагревании или без нагревания. Соединение Формулы VII получают последовательными реакциями (цепь реакций), изображенными на Реакционной схеме 1 или Реакционной схеме 2. Реакционная схема 4 Соединения Формулы XI и XII получают, как показано на Реакционной схеме 4. Восстановление нитрогруппы в соединении Формулы IX (полученном последовательными реакциями, изображенными на Реакционной схеме 1 или 2) газообразным водородом под давлением в присутствии палладиевого катализатора, кислоты и в растворителе, таком как метанол, дает производное анилина Формулы X. Монометилирование соединения Формулы Х с целью получения соединения Формулы XI проводят реакцией с 1,1 эквивалента метилгалогенида или метилсульфоната, например диметилсульфата, в присутствии основания, такого как триэтиламин, и в инертном растворителе, таком как ДМФА. Реакцию монометилирования, как правило, проводят при температуре 20-40°С. Диметиланилин Формулы XII получают, обрабатывая анилин Формулы Х избытком метилгалогенида, такого как йодистый метил, или метилсульфоната в присутствии основания, например карбоната цезия, в растворителе, таком как ДМФА, при нагревании или в отсутствие нагревания. Реакционная схема 5 На Реакционной схеме 5 показан синтез сложных эфиров Формулы ХIII, кислот Формулы XIV и амидов Формулы XV. Реакция соединения Формулы III с эфиром галоидалкилкарбоновой кислоты, например с трет-бутиловым эфиром бромуксусной кислоты, в присутствии основания, такого как карбонат калия, и в инертном растворителе, таком как ДМФА, дает сложный эфир Формулы XIV. Депротекцией сложноэфирной группы методами, известными специалистам в данной области техники (ссылка: T.W. Greene and P.G.M. Wuts, “Protecting Groups in Organic Synthesis”, Wiley Interscience, New York, 1999, pp.373-442). Например, в случае трет-бутилового эфира отщепление с образованием кислоты Формулы XIV проводят, обрабатывая трифторуксусной кислотой в растворителе, таком как СН2Cl2. Превращение кислоты в амид Формулы XV проводят по обычным методикам реакций амидов, хорошо известньм специалистам в данной области техники (ссылка: R.C. Larock “Comprehensive Organic Transformations, VCH Publishers, New York, 1989, pp.972-976). По предпочтительному методу кислоту Формулы XIV обрабатывают первичным или вторичным амином в присутствии 1-гидроксибензотриазола и 1,3-дициклогексилкарбодиимида в апротонном растворителе, таком как СН2Cl2 или ДМФА. Реакционная схема 6 Получение кислот Формулы XVII и амидов Формулы XVIII показано на Реакционной схеме 6. Превращение сложного эфира Формулы XVI (полученного как показано на Реакционных схемах 1 или 2) в кислоту Формулы XVII выполняют в стандартных условиях расщепления эфиров, хорошо известных специалистам в данной области техники (ссылка: T.W. Greene and P.G.M. Wuts, “Protecting Groups in Organic Synthesis”, Wiley Interscience, New York, 1999, pp.373-442). В случае метилового эфира Формулы XVI обработкой водным раствором гидроксида натрия в растворителе, таком как метанол или смесь метанол/ТГФ, при 20-40°С получают кислоту Формулы XVII. Превращение кислоты Формулы XVII в амид Формулы XVII проводят обычными методами получения амидов, хорошо известными специалистам в данной области техники (ссылка: R.C. Larock “Comprehensive Organic Transformations, VCH Publishers, New York, 1989, pp.972-976). По предпочтительному методу кислоту Формулы XIV обрабатывают первичным или вторичным амином в присутствии 1-гидроксибензотриазола и карбодиимида, например 1-(3-диметиламинопропил)-3-этилкарбодиимида в растворителе, таком как ДМФА или CH2Cl2. В качестве акцептора кислоты можно добавлять основание, такое как диизопропилэтиламин. Реакционная схема 7 Синтез производных пиперидина Формулы XIX, XX, XXI и XXIII показан на Реакционной схеме 7. Реакцией соединения Формулы III с N-защищенным пиперидином с 4-галоидалкильной или 4-сульфонилалкильной группой в качестве заместителя, такого как 4-(толуолсульфонилоксиметил)-1-(трет-бутоксикарбонил)пиперидин), в присутствии основания, такого как карбонат цезия, в растворителе, таком как ДМФА, при нагревании или в отсутствие нагревания, получают карбамат Формулы XIX. Отщепление карбаматной группы проводят в стандартных условиях, хорошо известных специалистам в данной области техники (ссылка: T.W. Greene and P.G.M. Wuts, “Protecting Groups in Organic Synthesis”, Wiley Interscience, New York, 1999, pp.503-550), получая пиперидин Формулы XX. В случае (трет-бутоксикарбонил)пиперидина отщепление проводят в присутствии трифторуксусной кислоты в СН2Cl2. Превращение пиперидина Формулы XX в амид Формулы XXI проводят обычными методами получения амидов, хорошо известными специалистам в данной области техники (ссылка: R.C. Larock “Comprehensive Organic Transformations, VCH Publishers, New York, 1989, pp.972-976). По предпочтительному методу пиперидин Формулы XX обрабатывают ацилхлоридом в присутствии амина, такого как триэтиламин, и инертного растворителя, такого как СН2Cl2, при нагревании или без нагревания. Или же пиперидин Формулы XX можно конденсировать с кислотой в присутствии конденсирующего агента, такого как гидроксибензотриазол и карбодиимид, получая амид Формулы XXI. Мочевину Формулы XXII получают, обрабатывая амин Формулы XX изоцианатом и основанием, таким как триэтиламин, в растворителе, таком как CH2Cl2, при нагревании или без нагревания. Алкилированием пиперидина Формулы XX получают N-замещенные пиперидины Формулы XXIII. Как правило, пиперидин обрабатывают алкилгалогенидом или алкилсульфонатом в присутствии основания, такого как триэтиламин, и растворителя, такого как CH2Cl2. Реакционная схема 8 Спирты Формулы XXV и амины Формулы XXV и амины Формулы XXVI синтезируют как показано на Реакционной схеме 8. Защищенный спирт Формулы XXIV получают по Реакционным схемам 1 или 2. Снятие защиты со спиртовой группы (депротекция) в условиях, соответствующих выбранной защитной группе (ссылка: T.W. Greene and P.G.M. Wuts, “Protecting Groups in Organic Synthesis”, Chapter 2) дает спирт Формулы XXV. Например, если защитной группой является тетрагидропиранильная группа, свободную спиртовую группу получают по реакции соединения Формулы XXIV с п-толуолсульфокислотой в растворителе, таком как метанол. Гидроксильную группу соединения Формулы XXV превращают в уходящую группу (например, галоидную или сульфонатную), а затем обрабатывают первичным или вторичным амином, получая амин Формулы XXVI. Например, спирт можно превратить в мезилат реакцией с метансульфонилхлоридом и основанием, таким как CH2Cl2. Последующей реакцией мезилата с первичным или вторичным амином в присутствии основания, такого как триэтиламин, в растворителе, таком как СН2Cl2, получают амин Формулы XXVI. Реакционная схема 9 Амиды Формулы XXVIII получают из аминов Формулы XXVII, как показано на Реакционной схеме 9. Амины Формулы XXVII, где D обозначает простую связь, получают по Реакционной схеме 1 или 4. Амины Формулы XXVII, где D имеет иное значение, нежели простая связь, получают по Реакционной схеме 8. Превращение аминов Формулы XXVII в амиды Формулы XXVIII проводят в условиях получения амидов, хорошо известных специалистам в данной области техники (ссылка: R.C. Larock “Comprehensive Organic Transformations, VCH Publishers, New York, 1989, pp.972-976). Например, реакцией амина Формулы XXVII с хлорангидридом кислоты в присутствии основания, такого как триэтиламин, в растворителе, таком как СН2Cl2, получают амид Формулы XXVIII. Превращение аминов Формулы XXVII в карбаматы можно осуществлять в условиях, хорошо известных специалистам в данной области техники (ссылка: T.W. Greene and P.G.M. Wuts, “Protecting Groups in Organic Synthesis”, Wiley Interscience, New York, 1999, pp.503-550). Сульфонамиды можно также получать из амина Формулы XXVII способами, описанными для превращения интермедиата Формулы II в сульфонамид Формулы III. Реакционная схема 10 Синтез пиридинов Формулы XXX выполняют, как показано на Реакционной схеме. Хлорпиридин Формулы XXIX получают методами, описанными в Реакционных схемах 1 или 2. Реакцией соединения XXIX с первичным или вторичным амином в растворителе, таком как ТГФ, при температурах 20-100°С в запаянном сосуде под давлением получают аминопиридин Формулы XXX. Реакционная схема 11 Аминозамещенные эфиры фенолов Формулы XXXII получают из (O-аллил)фенолов, как показано на Реакционной схеме 11. Исходные аллиловые эфиры Формулы XXXI получают, как показано на Реакционных схемах 1 или 2. Реакцией соединения Формулы XXXI с тетраоксидом осмия и триметиламин-N-оксидом в растворителе, таком как ацетон, с последующей обработкой периодатом натрия получают промежуточный альдегид, который, как правило, используют без дополнительной очистки. Реакцией неочищенного альдегида с первичным или вторичным амином и восстановителем, таким как триацетоксиборогидрид натрия, в растворителе, таком как этанол, при нагревании или в отсутствие нагревания, получают амин Формулы XXXII. Реакционная схема 12 Превращение сложного эфира Формулы XXXIII в третичный спирт Формулы XXXIV проводят, как показано на Реакционной схеме 12. Реакция эфира Формулы XXXIII с избытком метилметаллоорганического реагента, такого как метилмагнийбромид, в растворителе, таком как ТГФ, в интервале температур 0-25°С дает спирт Формулы XXXIV. Реакционная схема 13 1,3,4-Оксадиазол Формулы XXXVI получают, как показано на Реакционной схеме 13, с применением методов, хорошо известных специалистам в данной области техники (ссылка: Joule, J.A.; Mills, К; Smith, G.F. Heterocyclic Chemistry, 3rd ed., Chapman & Hall: London, 1995; 452-456 и цитируемые ссылки). Например, эфир Формулы XXXV обрабатывают гидразином в метаноле при кипячении. Полученный промежуточный ацилгидразид используют без очистки в последующей реакции с алкилацетимидатом в пиридине при кипячении, получая оксадиазол Формулы XXXVI. Реакционная схема 14 Синтез 1,2,4-оксадиазола Формулы XXXVI проводят, как показано на Реакционной Схеме 14, используя методы, хорошо известные специалистам в данной области техники (ссылка: Joule, J.A.; Mills, К; Smith, G.F. Heterocyclic Chemistry, 3rd ed., Chapman & Hall: London, 1995; 452-456 и цитируемые ссылки). Например, обработкой кислоты Формулы XVII гидроксибензотриазолом, карбодиимидом и ацетамидоксимом (N-гидроксиэтанимидатом) в присутствии основания, такого как триэтиламин, получают интермедиат, который при нагревании в кипящем пиридине дает оксадиазол Формулы XXXVII. Реакционная схема 15 1,2,4-Оксадиазол Формулы XXXIX получают из нитрила Формулы XXXVIII (Реакционная схема 15) методами, хорошо известными специалистам в данной области техники (ссылка: Joule, J.A.; Mills, К; Smith, G.F. Heterocyclic Chemistry, 3rd ed., Chapman & Hall: London, 1995; 452-456 и цитируемые ссылки). Например, реакцией нитрила Формулы XXXVI с гидроксиламином в растворителе, таком как этанол, при температурах вплоть температуры кипения получают промежуточный N-гидроксиамидин, который затем обрабатывают хлористым ацетилом в присутствии основания, такого как триэтиламин, в растворителе, таком как CH2Cl2, получая 1,2,4-оксадиазол Формулы XXXIX. Реакционная схема 16 На Реакционной схеме 16 показано превращение амида Формулы XL в кетон Формулы XLI. Амид Формулы XL, который получают, как показано на Реакционной схеме 6, обрабатывают метильным металлоорганическим реагентом, таким как метилмагнийбромид, в растворителе, таком как ТГФ, получая кетон Формулы XLI. Интервал реакционных температур составляет -20÷25°С. Реакционная схема 17
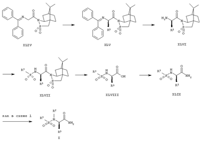
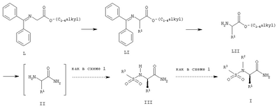
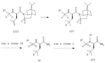
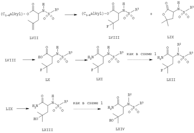
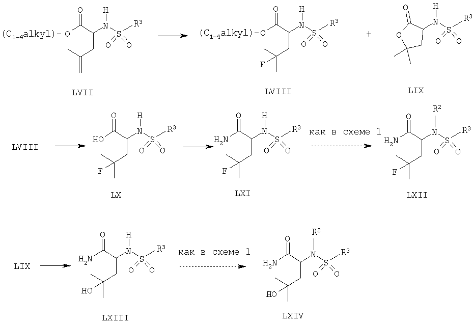
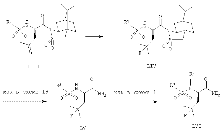
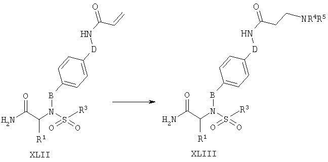
Реакционная схема 18 Промежуточный сульфонамид Формулы XLIX (один энантиомер соединения Формулы III) получают в соответствии с Реакционной схемой 18. Реакция Реакционная схема 19 Реакционная схема 19 иллюстрирует один метод синтеза Реакционная схема 20 Получение соединения Формулы VI показано на Реакционной схеме 20. Алкен LIII получают, как описано на Реакционной схеме 18, из интермедиата Формулы (LIV и 1-бром-2-метил-2-пропена). Реакция алкена Формулы LIII с комплексом HF·пиридин в растворителе, таком как ТГФ, при температуре 0-25°С дает фторалкильное соединение Формулы LIV. Превращение соединения Формулы LIV в амид Формулы LV проводят, как показано на Реакционной схеме 18. Превращение амида Формулы LV в соединение LVI проводят, как показано на Реакционной схеме 1. Реакционная схема 21 Синтез соединений Формулы LXII и Формулы LXIV показан на Реакционной схеме 21. Этиловый эфир 2-амино-4-метил-4-пентеновой кислоты (полученный по Реакционной схеме 19 из этилового эфира (бензгидрилиденамино)уксусной кислоты и 1-бром-2-метил-2-пропена) обрабатывают сульфонилирующим агентом, таким как сульфонилхлорид, в присутствии основания, такого как триэтиламин, в инертном растворителе, таком как CH2Cl2, получая эфир Формулы LVII. Реакция эфира Формулы LVII с комплексом HF·пиридин в растворителе, таком как ТГФ, и при температуре 0-25°С дает смесь фторалкильного производного Формулы LVIII и лактона Формулы LIX. Эти продукты разделяют и по отдельности проводят с ними последующие реакции. Эфир Формулы LVIII гидролизуют до кислоты Формулы LX методами, хорошо известными специалистам в данной области техники (ссылка: T.W. Greene and P.G.M. Wuts, “Protecting Groups in Organic Synthesis”, Wiley Interscience, New York, 1999, pp.373-442). Например, обработкой эфира Формулы LVIII водным гидроксидом натрия в растворителе, таком как метанол, получают кислоту LXVI. Превращение алкена Формулы LXVI в альдегид Формулы LX. Кислоту Формулы LX превращают в амид Формулы LXI по методике, описанной в Реакционной схеме 18 для получения амида Формулы XLIX. Получение амида Формулы LXII из соединения Формулы LXI проводят, как показано на Реакционной схеме 1. Обработка лактона Формулы LIX водным аммиаком дает амид Формулы LXIII. Эту реакцию обычно проводят при нагревании в запаянной ампуле. Температура реакции составляет 40-80°С. Дальнейшее превращение интермедиата Формулы LXIII в сульфонамид Формулы LXIV проводят, как показано на Реакционной схеме 1. Реакционная схема 22 Многостадийный синтез дифторалкиламида Формулы LXIX показан на Реакционной схеме 22. Соединение Формулы L обрабатывают 4-бром-1-бутеном в присутствии основания, такого как карбонат калия, в присутствии соли – галогенида тетраалкиламмония, такой как тетрабутиламмонийбромид, в растворителе, таком как СН3CN, при температуре 20-70°С. Снятие защитной бензгидрилиденовой группы, как описано в Реакционной схеме 19, дает промежуточный амин, который затем обрабатывают сульфонилирующим агентом, таким как сульфонилхлорид, получая сложный эфир Формулы LXV. Алкилирование атома азота в сульфонамиде выполняют по методике, описанной в Реакционной схеме 1, получают соединение Формулы LXVI. Превращение алкена Формулы LXVI в альдегид Формулы LXVII проводят по реакции алкена с тетраоксидом осмия и триметиламин-N-оксидом в растворителе, таком как ацетон, с последующей обработкой периодатом натрия. Температура реакции обычно составляет 20-40°С. Реакция альдегида Формулы LXVII с фторирующим агентом, таким как DAST, в растворителе, таком как CH2Cl2, дает дифторалкилпроизводное Формулы LXVIII. Соединение Формулы LXVIII превращается в амид Формулы LXIX гидролизом сложного эфира до кислоты в присутствии основания, такого как гидроксид натрия, в растворителе, таком как метанол. Промежуточную кислоту превращают в амид в условиях, хорошо известных специалистам в данной области техники (ссылка: R.C. Larock. “Comprehensive Organic Transformations, VCH Publishers, New York, 1989, pp.972-976). Например, реакция кислоты с хлоридом аммония в присутствии гидроксибензотриазола и карбодиимида и основания-амина, такого как диизопропилэтиламин, дает амид Формулы LXIX. Эту реакцию обычно проводят в полярном растворителе, таком как ДМФА, и при температуре 0-40°С. Реакционная схема 23
В предпочтительном варианте настоящее изобретение включает соединения Формулы Ia и его фармацевтически приемлемые соли
где R1 выбирают из группы, состоящей из (а) линейного или разветвленного C1-6 алкила или С2-6 алкенила, имеющего, необязательно, заместители, выбранные из группы, состоящей из гидрокси, С3-7 циклоалкила, С1-4 алкокси, С1-4 алкилтио и галогена; (б) С3-7 циклоалкила, замещенного, необязательно, гидрокси или галогеном; R2 выбирают из группы, состоящей из (а) линейного или разветвленного C1-6 алкила или С3-6 алкенила, имеющего, необязательно, заместители, выбранные из группы, состоящей из галогена, С1-4 алкокси и NR4R5; (б) С3-7 циклоалкилметила, имеющего, необязательно, заместители, выбранные из группы, состоящей из амино, (C1-4алкил)NH-, ди(С1-4 алкил)N-, С1-4алкилС(=O)NH- и С1-4алкилОС(=О)NH-; (в) линейного или разветвленного C1-6 алкил-С(=O)-А; (г) -В-нафтила; (д)
D и Е, каждый независимо, обозначают простую связь, линейный или разветвленный C1-6 алкил, C2-6 алкенил или С3-7 циклоалкил; Z выбирают из группы, состоящей из водорода, С1-4 алкила, С1-4 алкокси, галогена, циано, гидрокси, -OCHF2, -OCF3, -CF3 и -CHF2; Х и Y, каждый независимо, выбирают из группы, состоящей из водорода, гидрокси, галогена, (галоген)3С-, (галоген)2СН-, C1-4 алкилS-, C1-4 алкилS(O)-, C1-4 алкилSO2-, нитро, F3S- и циано; -OR6; -NR4R5; -NR7C(=O)R8; -NR7C(=O)OR8; NHSO2C1-4 алкил; -N(SO2C1-4 алкил)2; C(=O)W, где W выбирают из группы, состоящей из гидрокси, C1-4 алкила, С1-4 алкокси, фенокси и -NR4R5; -ОС(=O)C1-4 алкила; фенила, причем указанный фенил, необязательно, замещен циано, галогеном, С1-4алкокси, С1-4алкилS-, СН3С(=O), С1-4 алкилS(O)- или C1-4 алкилSO2-, и гетероциклической группы, где указанную гетероциклическую группу выбирают из ряда, состоящего из фуранила, тиофуранила, пирролила, имидазолила, пиразолила, триазолила, тетразолила, пиридинила, пиримидинила, оксадиазолила, оксазолила, изоксазолила, тиадиазолила и тиазолила, причем указанная гетероциклическая группа, необязательно, имеет заместители, выбранные из группы, состоящей из циано, галогена, C1-4 алкила, (галоген)С1-4 алкила и CO2C1-4 алкила; (е) -В-(гетероцикла), где указанный гетероцикл выбирают из группы, состоящей из фуранила, тиофуранила, пирролила, имидазолила, пиразолила, триазолила, тетразолила, пиридинила, пиримидинила, оксадиазолила, оксазолила, изоксазолила, тиадиазолила и тиазолила, причем указанный гетероцикл, необязательно, имеет заместители, выбранные из группы, состоящей из циано, галогена, C1-4 алкила, CO2C1-4 алкила, амино, (C1-4 алкил)NH-, ди(С1-4 алкил)N-, морфолин-4-ила, тиоморфолин-4-ила, пирролидин-1-ила, пиперидин-1-ила, пиперазин-1-ила и 4-(С1-6алкил)пиперазин-1-ила; (ж) -В-(пиперидин-4-ила), где указанный пиперидин-4-ил, необязательно, имеет заместители, выбранные из группы, состоящей из линейного или разветвленного C1-6 алкила, СН2С(=O)фенила, фенила и фенилметила, причем указанный C1-6 алкил и указанный фенил, необязательно, имеют заместители, выбранные из группы, состоящей из циано, галогена, бензимидазол-2-ила, пиридила и тетрагидрофуран-2-ила; и -C(=O)W’, где W’ выбирают из группы, состоящей из C1-4 алкокси, R9 и -NR4R5; А обозначает гидрокси, C1-4 алкокси или NR4R5; В обозначает линейный или разветвленный C1-6 алкил или С3-6 алкенил; R3 обозначает фенил или пиридил, необязательно имеющий заместители, выбранные из группы, состоящей из галогена, гидрокси, C1-4 алкокси, C1-4 алкила, (галоген)3С-, (галоген)2СН- и галогенСН2-; R4 и R5, каждый независимо, обозначают водород, линейный или разветвленный C1-6 алкил, С3-6 алкенил, С3-6 алкинил, С3-7 циклоалкил, С3-7 циклоалкилметил, С1-4 алкокси, фенил, бензил, пиридил, пиперидин-4-ил, индан-1-ил, индан-2-ил, тетрагидрофуран-3-ил или пирролидин-3-ил, где каждый, необязательно, имеет заместители, выбранные из группы, состоящей из гидрокси, циано, галогена, (галоген)3С-, (галоген)2СН-, галогенСН2-, гидроксиметила, бензилоксиметила, фенила, пиридила, C1-4 алкила, C1-4 алкокси, (галоген)3С-О-, (галоген)2СН-O-, C1-4 алкилтио, амино, (С1-4 алкил)NH-, ди(С1-4 алкил)N-, морфолин-4-ила, тиоморфолин-4-ила, пирролидин-1-ила, пиперидин-1-ила, пиперазин-1-ила, 4-(C1-6 алкил)пиперазин-1-ила, 4-фенилпиперазин-1-ила, 4-бензилпиперазин-1-ила, 4-пиридилпиперазин-1-ила, CO2Н, CO2C1-4 алкила, C(=O)NHC1-4 алкила и C(=O)N(C1-4 алкил)2; R4 и R5 вместе могут обозначать морфолин-4-ил, тиоморфолин-4-ил, пирролидин-1-ил, 1,2,3,4-тетрагидроизохинолин-2-ил, декагидрохинолин-1-ил, пиперидин-1-ил, пиперазин-1-ил, [1,4]оксазепан-4-ил, азетидин-1-ил, 2,3-дигидро-1H-изоиндол-2-ил или 2,3-дигидро-1H-индол-1-ил, где каждый, необязательно, имеет заместители, выбранные из группы, состоящей из гидрокси, циано, галогена, (галоген)3С-, (галоген)2СН-, галогенСН2-, фенила, пиридила, бензила, C1-6 алкила, С3-7 циклоалкила, C1-4 алкокси, C1-4 алкилтио, амино, (C1-4 алкил)NH-, ди(С1-4 алкил)N-, СО2Н, CO2C1-4 алкила, C(=O)NHC1-4 алкила и С(=O)N(С1-4алкил)2; R6 обозначает линейный или разветвленный C1-6 алкил, С3-6 алкенил, бензил или фенил, где каждый, необязательно, имеет заместители, выбранные из группы, состоящей из галогена, С1-4 алкила, C1-4 алкокси, амино, (C1-4 алкил)NH-, ди(С1-4 алкил)N-, (C1-4 алкил)(фенил)N-, морфолин-4-ила, тиоморфолин-4-ила, пирролидин-1-ила, пиперидин-1-ила, пиперазин-1-ила и 4-(C1-6 алкил)пиперазин-1-ила; R7 обозначает линейный или разветвленный C1-6 алкил; R8 обозначает линейный или разветвленный C1-6 алкил, С3-7 циклоалкил, фенил, пиридил или фуранил, где каждый, необязательно, имеет заместители, выбранные из группы, состоящей из галогена, С1-4 алкила, C1-4 алкокси, (C1-4 алкил)NH-, ди(С1-4 алкил)N-, морфолин-4-ила, тиоморфолин-4-ила, пирролидин-1-ила, пиперидин-1-ила, пиперазин-1-ила и 4-(С1-6алкил)пиперазин-1-ила; R9 обозначает линейный или разветвленный C1-6 алкил, С3-6 алкенил, бензил, фенил, оксазолил или пиридил, где каждый, необязательно, имеет заместители, выбранные из группы, состоящей из галогена, (галоген)3С-, (галоген)2СН-, галогенСН2-, C1-4 алкила, C1-4 алкокси, амино, (C1-4 алкил)NH-, ди(С1-4 алкил)N-, морфолин-4-ила, тиоморфолин-4-ила, пирролидин-1-ила, пиперидин-1-ила, пиперазин-1-ила и 4-(C1-6 алкил)пиперазин-1-ила; или их нетоксические фармацевтически приемлемые соли. В другом предпочтительном варианте изобретение охватывает соединения Формулы I или их фармацевтически приемлемую соль, где R3 обозначает фенил, необязательно имеющий заместители, выбранные из группы, состоящей из галогена, гидрокси, С1-4 алкокси, С1-4 алкила, (галоген)3С-, (галоген)2СН- и галогенСН2-. Еще в одном предпочтительном варианте изобретение включает соединения Формулы Ia или их фармацевтически приемлемую соль, где R2 обозначает
МЕТОДЫ БИОЛОГИЧЕСКИХ ИСПЫТАНИЙ Ожидается, что соединения Формулы (I) обладают способностью ингибировать In vitro анализ связывания для идентификации ингибиторов Для идентификации молекул, которые блокируют связывание меченного радиоактивной меткой ингибитора Для этих анализов ТНР-1 клетки выращивают в спин-культурах в среде RPMI 1640, содержащей L-глутамин и 10 мкМ Примеры результатов, полученных при анализе соединений по изобретению вышеописанным способом, даны в таблице 1. В таблице ингибирующая концентрация (IC50) ниже или равная 50 нМ обозначается +++; ингибирующая концентрация 50-500 нМ обозначается ++; ингибирующая концентрация 500-10000 нМ обозначается +.
In vitro идентификация ингибитора Выделенная мембранная фракция, которая содержит функционально активную Для анализа мембран обычно требуется 45 мкг мембранного белка на лунку в 96- или 384-луночном формате. Мембраны в нейтральном буфере объединяют с испытуемым соединением и от 0-4°С доводят до 37°С. Агенты для испытания могут, как правило, состоять из синтетических соединений, вторичных метаболитов из экстрактов, полученных при бактериальной или грибковой ферментации, или из экстрактов образцов наземных и морских растений. Все синтетические агенты сначала подвергают скринингу при дозах 10-100 мкМ или, в случае экстрактов, при достаточном разведении, чтобы свести к минимуму цитотоксичность. Инкубация мембран с тестируемым агентом продолжается примерно 90 минут, после этого флуоресцентно меченые антитела добавляют в каждую лунку для количественного определения А Примеры результатов, полученных при анализе соединений по изобретению вышеописанным способом, даны в таблице 2. В таблице ингибирующая концентрация (IC50), ниже или равная 50 нМ, обозначается +++; ингибирующая концентрация 50-500 нМ обозначается ++; ингибирующая концентрация 500-10000 нМ обозначается +.
In vitro идентификация ингибитора Культивированные человеческие клеточные линии, такие как клетки НЕК293 и Н4, которые экспрессируют АРР и Соединения по данному изобретению считаются активными, если при тестировании вышеуказанным методом анализа величина IC50 меньше 50 мкМ. Примеры результатов, полученных при анализе соединений по изобретению вышеописанным способом, даны в таблице 3. В таблице ингибирующая концентрация (IC50), ниже или равная 50 нМ, обозначается +++; ингибирующая концентрация 50-500 нМ обозначается ++; ингибирующая концентрация 500-10000 нМ обозначается +.
Показано, что значение IC50 соединений по данному изобретению составляет менее 10 мкМ в одном или во всех вышеописанных анализах. Следовательно, соединения Формулы I или их фармацевтические композиции пригодны для лечения, смягчения или устранения заболеваний или других нарушений, ассоциированных с ингибированием Помимо расщепления АРР, In vivo определение уменьшения уровня А In vivo анализы применимы для демонстрации ингибирования Инибитор Следовательно, соединения Формулы I или их фармацевтические композиции применимы для лечения, смягчения или устранения расстройств или других нарушений, ассоциированных ингибированием В другом варианте данное изобретение охватывает фармацевтические композиции, содержащие, по меньшей мере, одно соединение Формулы I в комбинации с фармацевтическим адъювантом, носителем или разбавителем. Еще в одном варианте данное изобретение относится к способу ингибирования Еще в одном варианте настоящее изобретение относится к способу лечения болезни Альцгеймера и синдрома Дауна у нуждающегося в этом млекопитающего, который заключается во введении указанному млекопитающему терапевтически эффективного количества соединения Формулы I или его нетоксической(ого) фармацевтически приемлемой(ого) соли, сольвата или гидрата. Для терапевтического применения фармакологически активные соединения Формулы I обычно вводят в виде фармацевтической композиции, содержащей в качестве одного основного активного ингредиента (или одного из основных активных ингредиентов), по меньшей мере, одно такое соединение в сочетании с твердым или жидким фармацевтически приемлемым носителем и необязательно с фармацевтически приемлемыми адъювантами и эксципиентами, используя стандартные и удобные методы. Фармацевтические композиции включают подходящие лекарственные формы для перорального, парентерального (включая подкожный, внутримышечный, интрадермальный и внутривенный), бронхиальный или назальный способы применения. Так, если используют твердый носитель, препарат может быть в виде таблетки, может быть помещен в твердую желатиновую капсулу в виде порошка или гранулы, или в виде пастилки или лепешки. Твердый носитель может содержать соответствующие эксципиенты, такие как связующие, наполнители, смазки для таблетирования, вещества, способствующие измельчению, увлажняющее средство и т.п. Таблетку, при желании, можно обычными методами покрыть оболочкой. Если применяют жидкий носитель, препарат может быть в виде сиропа, эмульсии, мягкой желатиновой капсулы, препарата со стерильным носителем для инъекций, водной или неводной суспензии в жидкости, или может быть в виде твердого продукта, который разводят в воде или другом подходящем носителе перед применением. Жидкие препараты могут содержать обычные добавки, такие как суспендирующие агенты, эмульгаторы, увлажняющие агенты, неводный носитель (включая пищевые масла), консерванты, а также вещества, придающие вкус и запах, и/или красители. Для парентерального введения носитель обычно содержит стерильную воду, по меньшей мере, в основном, хотя можно применять физиологические растворы, растворы глюкозы и т.п. Можно применять инъецируемые суспензии, в этом случае можно использовать обычные суспендирующие агенты. В лекарственные формы для парентерального введения можно также добавлять стандартные консерванты, буферизующие агенты и т.п. Фармацевтические композиции получают обычными методами, подходящими для требуемого препарата, содержащего соответствующие количества активного ингредиента, то-есть соединения Формулы I по изобретению. См., например, Remington’s Pharmaceutical Sciences, Mack Publishing Company, Easton, PA, 17th edition, 1985. Дозировка соединений Формулы I для достижения терапевтического эффекта зависит не только от таких факторов как возраст, вес и пол пациента и способ применения, но также от нужной степени Подходящая доза соединения Формулы I или его фармацевтической композиции для млекопитающего, включая человека, страдающего или предположительно страдающего любым нарушением, связанным с продукцией Нижеприведенные примеры даны в качестве иллюстрации, но никоим образом не претендуют на ограничение изобретения, поскольку возможны многие варианты изобретения, не отходящие от его сущности. ОПИСАНИЕ КОНКРЕТНЫХ ВАРИАНТОВ ИЗОБРЕТЕНИЯ В приведенных ниже примерах все температуры даны в градусах по Цельсию. Температуры плавления определяют в капилляре на приборе Thomas Scientific Unimelt и не корректируют. Спектры ядерного магнитного резонанса (1Н ЯМР) регистрируют на спектрометрах Bruker Avance 300, Bruker Avance 400 или Bruker Avance 500. Все спектры сняты в указанных растворителях и химические сдвиги даны в единицах в шкале Мультиплетность и характер сигналов обозначают следующим образом: с (s), синглет; д (d), дублет; т (t), триплет; kв (q), квартет; м (m), мультиплет; уш (br), уширенный сигнал; дд (dd), дублет дублетов; уш. д (br d), уширенный дублет; дт (dt), дублет триплетов; уш. с (br s), уширенный синглет; дкв (dq), дублет квартетов. Инфракрасные (ИК) спектры в пленке (между пластинами) из бромистого калия (КВг) или хлористого натрия в области от 4000 до 400 см-1 снимают на спектрометре Jasco FT/IR-410 или Perkin Elmer 2000 FT-IR, калиброванном по полосе поглощения пленки из полистирола при 1601 см-1, и выражают в обратных сантиметрах (см-1). Оптическое вращение [ Используются следующие сокращения: ДМФА (DMF) (диметилформамид); ТГФ (тетрагидрофуран); ДМСО (диметилсульфоксид), Leu (лейцин); ТФК (TFA) (трифторуксусная кислота); DAST [(диэтиламино)сульфур трифторид], ЖХВД (жидкостная хроматография высокого давления); rt (комнатная температура); водн. (aq.) (водный). Примеры получения соединений по Реакционной схеме 1
Амид (2R)-2-(4-хлорбензолсульфониламино)-4-метилпентановой кислоты: К раствору (D)-лейцинамида гидрохлорида (0.25 г, 1.5 ммоль) и Et3N (0.43 мл, 3.0 ммоль) в СН2Cl2 (150 мл) добавляют 4-хлорбензолсульфонилхлорид (380 мг, 1.8 ммоль). Полученный раствор перемешивают при rt в течение 18 час. Затем реакционную смесь разбавляют СН2Cl2 (200 мл) и промывают Н2О, 0.5 N HCl, рассолом и сушат MgSO4, получают титульное соединение (410 мг) в виде белого твердого вещества с выходом 90%. MS (ESI, ионизация электрораспылением), (М+Н)+ 305.2; 1Н ЯМР (ДМСО-d6) Метод А превращения III в I
Амид (2R)-2-[N-(4-хлорбензолсульфонил)-N-(4-метоксибензил)амино]-4-метилпентановой кислоты (Пример 1) Амид (2R)-2-(4-хлорбензолсульфониламино)-4-метилпентановой кислоты (300 мг, 1 ммоль), К2СО3 (170 мг, 1.2 ммоль) и 4-метоксибензилхлорид (170 мг, 1,1 ммоль) в ДМФА (25 мл) нагревают при 60°С в течение 18 час. Затем в реакционную смесь добавляют EtOAc (150 мл) и промывают Н2O, рассолом, сушат MgSO4 и упаривают, получают сырой продукт в виде белого воска. Дополнительная очистка флеш-хроматографией (SiO2, 25% EtOAc/смесь гексанов) дает титульное соединение (297 мг) в виде белого твердого соединения с выходом 70%. [ Метод В превращения III в I
Метиловый эфир 6-диметиламиноникотиновой кислоты Раствор метилового эфира 6-хлорникотиновой кислоты (4.0 г, 23 ммоль) в растворе диметиламин/МеОН (2 М, 80 мл, 160 ммоль) в сосуде под давлением перемешивают при 95°С в течение 2 час, охлаждают до rt и упаривают. Остаток растворяют в EtOAc (250 мл), промывают водой (2×150 мл), сушат Na2SO4 и упаривают, получают титульное соединение в виде твердого вещества желтовато-коричневого цвета (4.1 г, 98%). MS (ESI), (М+H)+ 181.24; 1Н ЯМР (CDCl3)
2-Диметиламино-5-гидроксиметилпиридин Раствор метилового эфира 6-диметиламиноникотиновой кислоты (4.14 г, 23.0 ммоль) в сухом эфире (80 мл) при 0°С обрабатывают литийалюмогидридом (1 М в эфире, 20 мл, 20 ммоль). Смесь перемешивают при rt в течение 0.5 час, снова охлаждают до 0°С и медленно добавляют нас. водн. NaHCO3 (10 мл). Полученную смесь перемешивают при rt в течение 0.5 час, фильтруют и промывают эфиром. Объединенные фильтраты сушат над Na2SO4 и упаривают, получая титульное соединение в виде воскообразного вещества бежевого цвета (3.5 г, 100%). MS (ESI), (М+H)+ 153.4; 1H ЯМР (CDCl3)
Соль ТФК (TFA) и амида (2R)-2-[N-(4-хлорбензолсульфонил)-N-(2-диметиламинопиридин-5-ил)амино]-4-фтор-4-метилпентановой кислоты (Пример 459) К мутному раствору амида (2R)-2-[(4-хлорбензолсульфониламино)-4-фтор-4-метилпентановой кислоты (полученного по Реакционной схеме 20 или из метилового эфира Примеры применения Реакционной схемы 1 на твердом носителе
Связанный с полимером (иммобилизованный на полимере) D-Leu-NH2 FMOC защищенную амидную смолу Ринка (30 г, 0.61 ммоль/г, 18 ммоль) обрабатывают раствором пиперидин/ДМФА (250 мл). Смесь встряхивают при rt в течение 24 час, сливают жидкость, промывают ДМФА (5×200 мл), СН2Cl2 (5×200 мл) и сушат в вакууме. Затем смолу обрабатывают FMOC-D-Leu-OH (22 г, 62 ммоль), 1-гидроксибензотриазола гидратом (2.5 г, 18 ммоль), 1,3-диизопропилкарбодиимидом (9.8 мл, 62 ммоль) и ДМФА (250 мл). Смесь встряхивают в течение 20 часов, жидкость декантируют, промывают ДМФА (4×200 мл), смесью ДМФА-вода (1:1, 3×200 мл), ДМФА (3×200 мл), МеОН (3×200 мл), CH2Cl2 (3×200 мл) и сушат. Завершение реакции и нанесения (нагрузки) связанного со смолой FMOC-D-Leu-NH2 (0.56 ммоль/г) определяют, обрабатывая 52 мг смолы 10 об.% ТФК/СН2Cl2 (2 мл), получают 11 мг FMOC-D-Leu-NH2. Связанный со смолой FMOC-D-Leu-NH2 депротекционируют 20 об.% раствором пиперидин/ДМФА (250 мл), получают связанный с полимером (иммобилизованный на полимере) D-Leu-NH2 (20 г).
Связанный с полимером амид (R)-2-(4-хлорбензолсульфониламино)-4-метилпентановой кислоты Полученный выше связанный с полимером (иммобилизованный на полимере) D-Leu-NH2 (20 г) обрабатывают СН2Cl2 (150 мл), пиридином (100 мл) и 4-хлорфенилсульфонилхлоридом (20.0 г, 94.8 ммоль). Смесь встряхивают в течение 24 час, декантируют, промывают ДМФА (4×200 мл), CH2Cl2 (4×200 мл) и упаривают, получая связанный с полимером амид (R)-2-(4-хлорбензолсульфониламино)-4-метилпентановой кислоты в виде желтого полимера (22 г). Завершение реакции и нагрузки смолы (0.57 ммоль/г) определяют, обрабатывая 50 мг смолы 10 об.% ТФК/СН2Cl2 (2 мл), получают 8.7 мг амида (R)-2-(4-хлорбензолсульфониламино)-4-метилпентановой кислоты.
Амид (2R)-2-[N-(4-хлорбензолсульфониламино)-N-(4-метилбензил)амино]-4-метилпентановой кислоты (Пример 60) К смеси иммобилизованного на полимерной смоле амида (2R)-2-[N-(4-хлорбензолсульфониламино)амино]-4-метилпентановой кислоты (0.45 ммоль/г, 50.0 мг, 0.0225 ммоль), 4-метилбензилбромида (44 мг, 0.24 ммоль) и ДМФА (1.5 мл) прибавляют 2-трет-бутиламино-2-диэтиламино-1,3-диметилпергидро-1,2,3-диазафосфорин (0.10 мл, 0.34 ммоль). Образующуюся смесь встряхивают при rt в течение 2 дней, затем декантируют и промывают ДМФА (4×2 мл), МеОН (4×2 мл) и СН2Cl2 (4×2 мл). Затем смолу обрабатывают 10 об.% раствором ТФК/СН2Cl2. Смесь встряхивают 1 час, фильтруют и промывают CH2Cl2 (2×0.5 мл). Объединенные фильтраты упаривают в вакууме и получают титульное соединение в виде твердого вещества бежевого цвета (7.7 мг, 100%, ЖХВД чистота >95%). HRMS (масс-спектрометрия высокого разрешения) (ESI), (М-Н)– для C20H24SClN2O3, вычислено 407.1206, найдено 407.1201; 1H ЯМР (CDCl3) Примеры применения Реакционной схемы 2
Амид (2R)-2-(4-метоксибензиламино)-4-метилпентановой кислоты Раствор D-лейцинамида гидрохлорида (2.8 г, 16.8 ммоль) и п-анизальдегида (2.29 г, 16.8 ммоль) в метаноле (150 мл) обрабатывают безводным ZnCl2 (538 мг, 5 ммоль). Затем образующуюся суспензию обрабатывают NaCNBH3 (1.05 г, 16.8 ммоль), прибавляя его частями, и кипятят в течение 3 час. Реакционную смесь охлаждают до rt, прибавляют насыщенный раствор NaHCO3 (3 мл), добавляют EtOAc (500 мл) и промывают рассолом. Упариванием получают сырой бензиламин в виде воска, который далее используют без дополнительной очистки (3.57 г, 84%). MS (ESI), (M+H)+ 251.4; 1H ЯМР (CDCl3)
Амид (2R)-2-[N-(4-хлорбензолсульфонил)-N-(4–метоксибензил)амино]-4-метилпентановой кислоты (Пример 1) Амид (2R)-2-[N-(4-метоксибензил)амино]-4-метилпентановой кислоты (3.57 г, 14.3 ммоль) растворяют в CH2Cl2 (100 мл) и обрабатывают Et3N (4.2 мл, 29 ммоль) и 4-хлорбензолсульфонилхлоридом (3.6 г, 17 ммоль) при rt в течение 18 час. Растворители отгоняют и остаток растворяют в EtOAc (500 мл). Органический раствор промывают H2O, рассолом, сушат MgSO4 и упаривают. Затем остаток дополнительно очищают флеш-хроматографией (SiO2, 1% MeOH/CH2Cl2), получая заглавное соединение (2.4 г) в виде слабо окрашенного твердого вещества с выходом 40%. MS (ESI), (M-H)– 422.9; 1H ЯМР (CDCl3) Пример применения Реакционной схемы 3
Амид (2R)-2-[N-(4-морфолиногексил)-N-(4-хлорбензолсульфонил)амино]-4-метилпентановой кислоты (Пример 25) Раствор амида (2R)-2-[N-(4-бромгексил)-N-(4-хлорбензилсульфонил)амино]-4-метилпентановой кислоты (Пример 24; полученный, как описано на Схеме 1; 0.20 г, 0.44 ммоль), Et3N (0.25 мл, 1.7 ммоль) и морфолина (150 мг, 1.7 ммоль) в СН2С2 (2 мл) перемешивают при rt в течение 18 час. Затем реакционную смесь упаривают, получают сырой белый воск (смолу), который очищают флеш-хроматографией (SiO2, 85% EtOAc/5% смесь гексанов/10% МеОН), получая титульное соединение (112 мг) в виде белого твердого вещества с выходом 54%. MS (ESI), (М+Н)+ 474.4; 1Н ЯМР (ДМСО-d6) Пример применения Реакционной схемы 4
Амид (2R)-2-[N-(4-хлорбензолсульфонил)-N-(4-аминобензил)амино]-4-метилпентановой кислоты (Пример 48) Амид (2R)-2-[N-(4-хлорбензолсульфонил)-N-(4-нитробензил)амино]-4-метилпентановой кислоты (Соединение из Примера 24; получено, как описано на Реакционной схеме 1; 2.8 г, 6.6 ммоль) суспендируют с 10% Pd/C (1 г) и конц. HCl (1 мл) в МеОН (100 мл) и помещают в атмосферу водорода при давлении 27.79 кПа (40 psi) на 1 час. Суспензию фильтруют через целит, а затем упаривают, получая титульное соединение в виде желто-коричневого твердого вещества (2.4 г, выход 88%). MS (ESI), (M+H)+ 410.1; 1H ЯМР (CDCl3)
Амид (2R)-2-[N-(4-хлорбензолсульфонил)-N-(4-метиламинобензил)амино]-4-метилпентановой кислоты (Пример 51) Раствор амида (2R)-2-[N-(4-хлорбензолсульфонил)-N-(4-аминобензил)амино]-4-метилпентановой кислоты (Пример 48, 400 мг, 1 ммоль), Et3N (0.16 мл, 1.1 ммоль), диметилсульфат (139 мг, 1.1 ммоль) в 25 мл толуола перемешивают при rt в течение 18 час. Реакционную смесь упаривают, затем растворяют в EtOAc и промывают Н2О, рассолом, сушат К2СО3 и упаривают, получая сырую смесь исходного и продукта. Смесь далее очищают флеш-хроматографией (SiO2, 35% EtOAc/смесь гексанов), получая титульное соединение, 195 мг, выход 46%. MS (ESI), (М+Н)+ 424.1; 1H ЯМР (CDCl3)
Амид (2R)-2-[N-(4-хлорбензолсульфонил)-N-(4-диметиламинобензил)амино]-4-метилпентановой кислоты (Пример 65) Амид (2R)-2-[N-(4-хлорбензолсульфонил)-N-(4-аминобензил)амино]-4-метилпентановой кислоты (Пример 48, 0.10 г, 0.22 ммоль) растворяют в ДМФА (5 мл). К этому раствору прибавляют йодметан (62 мг, 0.44 ммоль) и карбонат цезия (220 мг, 0.66 ммоль). Затем реакционную смесь перемешивают при 40°С в течение 18 час. Реакционную смесь выливают в EtOAc и воду. Органические вытяжки объединяют, сушат MgSO4 и упаривают, получая остаток в виде масла. Остаток дополнительно очищают (Biotage 40S, нанесение в CH2Cl2, элюция 25% EtOAc/смесь гексанов), получают желтый порошок (15 мг, 16%). MS (ESI), (М+Н)+ 438.1; 1H ЯМР (ДМСО-d6, 500 МГц) Примеры применения Реакционной схемы 5
трет-Бутиловый эфир {N-[(1R)-1-карбамоил-3-метилбутил]-N-(4-хлорбензолсульфонил)амино}уксусной кислоты (Пример 46) Амид (2R)-2-(4-хлорбензолсульфониламино)-4-метилпентановой кислоты (3.00 г, 9.87 ммоль) растворяют в ДМФА (50 мл). К раствору прибавляют карбонат калия (6.0 г, 39 ммоль) и трет-бутиловый эфир бромуксусной кислоты (6.0 мл, 39 ммоль). Раствор нагревают при 70°С в течение 3 час. К раствору прибавляют EtOAc и насыщенный раствор NaHCO3. Органические вытяжки промывают рассолом, сушат MgSO4 и упаривают. Сырой продукт в виде масла очищают далее на системе Biotage 40М (нагрузка в CH2Cl2, элюция в 30% EtOAc/смесь гексанов), получают белый порошок (1.2 г, 35%). MS (ESI), (M+H)+ 446.3; 1H ЯМР (CDCl3)
{N-[(1R)-1-Карбамоил-3-метилбутил]-N-(4-хлорбензолсульфонил)амино}уксусная кислота (Пример 59) Трифторуксусную кислоту (15 мл) прибавляют к раствору трет-бутилового эфира {N-[(1R)-1-карбамоил-3-метилбутил]-N-(4-хлорбензолсульфонил)амино}уксусной кислоты (0.50 г, 1.2 ммоль) в CH2Cl2 (15 мл.). Реакционную смесь перемешивают при rt в течение 4 час. Затем реакционную смесь упаривают, получают твердое вещество белого цвета (0.40 г, 92%), которое используют без дополнительной очистки. MS (ESI), (M+H)+ 363.1; 1Н ЯМР (ДМСО-d6, 500 МГц)
Амид (2R)-2-[N-(4-хлорбензолсульфонил)-N-(циклопропилкарбамоилметил)амино]-4-метилпентановой кислоты (Пример 88) К раствору {N-[(1R)-1-карбамоил-3-метилбутил]-N-(4-хлорбензолсульфонил)амино}уксусной кислоты (Пример 59, 175 мг, 0.480 ммоль), циклопропиламина (41 мл, 0.58 ммоль) в СН2С2 (3 мл) прибавляют 1-гидроксибензотриазол (47 мг, 0.72 ммоль) и 1,3-дициклогексилкарбодиимид (144 мг, 0.720 ммоль). Реакционную смесь перемешивают в течение 18 час при rt, а затем выливают в смесь EtOAc/вода. Органический слой отделяют, сушат MgSO4 и упаривают, получая остаток в виде прозрачного масла. Остаток дополнительно очищают на колонке Biotage 40S (элюируют смесью 40% EtOAc в смеси гексанов), получая твердое вещество белого цвета (54 мг, 29%). MS (ESI), (M+H)+ 402.2; 1H ЯМР (CDCl3, 500 МГц) Примеры применения Реакционной схемы 6
4-{[N-[(1R)-1-Карбамоил-3-метилбутил]-N-(4-хлорбензолсульфонил)амино]метил}бензойная кислота (Пример 89) Соединение из Примера 61 [метиловый эфир [4-{[N-[(1R)-1-карбамоил-3-метилбутил]-N-(4-хлорбензолсульфонил)амино]метил}бензойной кислоты, 354 мг, 0.782 ммоль] растворяют в метаноле (4 мл). Прибавляют 5 N раствор NaOH (1 мл), а затем ТГФ, достаточное количество для того, чтобы раствор был гомогенньм (1 мл). Через 1 час прибавляют дополнительную аликвоту 5 N NaOH (1 мл) и продолжают перемешивание еще в течение 2.5 час. Раствор подкисляют до рН 2, добавляя 1 N HCl, и экстрагируют CHCl3 (2х). Объединенные органические вытяжки сушат (Na2SO4) и упаривают, получая твердое вещество белого цвета (343 мг, 100%). MS (ESI), (M+H)+ 439.17; 1H ЯМР (CDCl3, 300 МГц)
Амид (2R)-2-{N-(4-хлорбензолсульфонил)-N-[4-(морфолин-4-карбонил)бензил]амино}-4-метилпентановой кислоты (Пример 101) К раствору 4-{[N-[(1R)-1-карбамоил-3-метилбутил]-N-(4-хлорбензолсульфонил)амино]метил}бензойной кислоты (50.0 мг, 0.114 ммоль) в ДМФА (0.3 мл) прибавляют морфолин (12.9 мг, 0.148 ммоль), а затем 1-гидроксибензотриазол (18.5 мг, 0.137 ммоль), 1-(3-диэтиламинопропил)-3-этилкарбодиимида гидрохлорида (26.2 мг, 0.137 ммоль) и iPr2NEt (26 мкл, 0.15 ммоль). Через 2 час температуру раствора доводят до rt. Через 4 час раствор выливают в 10% водн. лимонную кислоту и экстрагируют EtOAc (2x). Объединенные органические вытяжки промывают последовательно нас. водн. NaHCO3, затем сушат (MgSO4) и упаривают. Колоночной флеш-хроматографией (SiO2, 40-100% EtOAc/смесь гексанов) получают титульное соединение в виде твердого вещества белого цвета (46.0 мг, 79%). MS (ESI), (M+H)+ 508.22; 1Н ЯМР (CDCl3, 300 МГц) Примеры применения Реакционной схемы 7
трет-Бутиловый эфир 4-{[N-[(1R)-1-карбамоил-3-метилбутил]-N-(4-хлорбензолсульфонил)амино]метил}пиперидин-1-карбоновой кислоты (Пример 92) К раствору амида (2R)-2-(4-хлорбензолсульфониламино)-4-метилпентановой кислоты (4.2 г, 14 ммоль) в ДМФА (50 мл) прибавляют карбонат цезия (13.6 г, 417 ммоль). К этой реакционной смеси прибавляют трет-бутиловый эфир 4-(толуол-4-сульфонилоксиметил)пиперидин-1-карбоновой кислоты (ссылка: Gilissen, С.; Bormans, G.; De Groot, Т.; Verbruggen, A.J.Labeled Cmpd. Radiopharm. 1999, 42, 1289;. 10.4 г, 282 ммоль). Реакционную смесь перемешивают при 70°С в течение 18 час. Затем реакционную смесь разбавляют нас. водн. NaHCO3 и экстрагируют EtOAc. Органические вытяжки объединяют, промывают рассолом, сушат MgSO4 и упаривают, получая прозрачное масло. Затем масло очищают на Biotage 40S (элюент 30% EtOAc в смеси гексанов), получают твердое вещество белого цвета (3.0 г, 44%). MS (ESI), (M+H)+ 502.1; 1H ЯМР (ДМСО-d6, 500 МГц)
Амид (2R)-2-[N-(4-хлорбензолсульфонил)-N-(пиперидин-4-илметил)амино]-4-метилпентановой кислоты (Пример 126) К раствору трет-бутилового эфира 4-{[N-[(1R)-1-карбамоил-3-метилбутил]-N-(4-хлорбензолсульфонил)амино]метил}пиперидин-1-карбоновой кислоты (Пример 92, 2.6 г, 5.2 ммоль) в СН2Cl2 (25 мл) прибавляют трифторуксусную кислоту (10 мл). Реакционную смесь перемешивают 1 час, а затем упаривают, получая твердое вещество белого цвета (1.6 г, 84%). MS (ESI), (М+H)+ 402.15; 1H ЯМР (ДМСО-d6, 500 МГц)
Амид (2R)-2-{N-(4-хлорбензолсульфонил)-N-[1-(пиридин-4-карбонил)пиперидин-4-илметил]амино}-4-метилпентановой кислоты (Пример 278) К раствору амида (2R)-2-[N-(4-хлорбензолсульфонил)-N-(пиперидин-4-илметил)амино]-4-метилпентановой кислоты (Пример 126, 0.10 г, 0.22 ммоль) и Et3N (0.06 мл, 0.5 ммоль) в СН2Cl2 (3 мл) прибавляют хлорангидрида изоникотиновой кислоты гидрохлорид (56 мг, 0.32 ммоль). Реакционную смесь перемешивают при rt в течение 18 час, а затем выливают в смесь EtOAc и нас. водн. NaHCO3. Органический слой отделяют и промывают рассолом, сушат MgSO4 и упаривают, получая остаток в виде масла. Остаток очищают на Biotage 10М (элюция 80% EtOAc/смесь гексанов), получают твердое вещество белого цвета (36 мг, 30%). MS (ESI), (М+Н)+ 509.20; 1H ЯМР (CDCl3, 500 МГц)
Фенетиламид 4-{[N-[(1R)-1-карбамоил-3-метилбутил]-N-(4-хлорбензолсульфонил)амино]метил}пиперидин-1-карбоновой кислоты (Пример 256) К раствору амида (2R)-2-[N-(4-хлорбензолсульфонил)-N-(пиперидин-4-илметил)амино]-4-метилпентановой кислоты (Пример 126, 0.10 г, 0.22 ммоль) и Et3N (32 мкл, 0.25 ммоль) в CH2Cl2 (3 мл) прибавляют (2-изоцианатоэтил)бензол (0.040 мл, 0.30 ммоль). Реакционную смесь перемешивают при rt в течение 18 час, а затем выливают в насыщ. водн. NaHCO3 и экстрагируют EtOAc. Органический слой промывают рассолом, сушат MgSO4 и упаривают, получая остаток в виде масла. Остаток очищают на системе Biotage (элюция 75% EtOAc/смесь гексанов), получают целевой продукт в виде твердого вещества белого цвета (67 мг, 52%). MS (ESI), (M+H)+ 549.00; 1H ЯМР (CDCl3, 500 МГц)
Амид (2R)-2-{N-(4-хлорбензолсульфонил)-N-{[2-(4-цианофенил)-2-оксоэтил]пиперидин-4-илметил}амино)-4-метилпентановой кислоты (Пример 286) К раствору амида (2R)-2-[N-(4-хлорбензолсульфонил)-N-(пиперидин-4-илметил)амино]-4-метилпентановой кислоты (Пример 126, 0.050 г, 0.12 ммоль) и Et3N (0.040 мл, 0.30 ммоль) в CH2Cl2 (2 мл) прибавляют 4-(2-хлорацетил)бензонитрил (55 мг, 0.30 ммоль). Реакционную смесь перемешивают при rt в течение 18 час, а затем упаривают. Остаток очищают на системе Biotage (элюция 80% EtOAc/смесь гексанов), получают 29 мг (48%) целевого продукта в виде твердого вещества белого цвета. MS (ESI), (М+H)+ 545.16; 1Н ЯМР (CDCl3, 500 МГц) Примеры применения Реакционной схемы 8
Амид (2R)-2-{N-(4-хлорбензолсульфонил)-N-[4-(тетрагидропиран-2-илоксиметил)бензил]амино}-4-метилпентановой кислоты Амид (2R)-2-(4-хлорбензолсульфониламино)-4-метилпентановой кислоты (6.35 г, 196 ммоль), CsCO3 (5.62 г, 196 ммоль) и 2-[(4-бромметил)бензил]окси)тетрагидропирана (5.62 г, 196 ммоль) в ацетонитриле (200 мл) кипятят 1 час. Реакционную смесь фильтруют в вакууме через целит. Фильтрат упаривают в вакууме, получая белую пену (9.5 г, 96%). Пену используют без очистки в последующей реакции. MS (ESI), (М+Н)+ 510.9; 1H ЯМР (CDCl3)
Амид (2R)-2-[N-(4-хлорбензолсульфонил)-N-(4-гидроксиметил)бензиламино]-4-метилпентановой кислоты (Пример 95) К раствору амида (2R)-2-[N-(4-хлорбензолсульфонил)-N-[4-(тетрагидропиран-2-илоксиметил)бензиламино]-4-метилпентановой кислоты (9.5 г, 186 ммоль) в метаноле (200 мл) прибавляют каталитическое количество п-толуолсульфокислоты. Смесь перемешивают в течение ночи при rt. Растворитель удаляют в вакууме. Полученную пену растворяют в СН2Cl2 (100 мл), промывают 1 N NaOH, Н2О и сушат MgSO4. Фильтрат упаривают в вакууме. Полученную пену кристаллизуют из горячего гексана, получают продукт в виде твердого вещества белого цвета (7.7 г) с выходом 92%. MS (ESI), (M+H)+ 425.17; 1H ЯМР (CDCl3)
4-{[N-[(1R)-1-Карбамоил-3-метилбутил]-N-(4-хлорбензолсульфонил)амино]метил}бензиловый эфир метансульфокислоты К охлажденному до 0°С раствору амида (2R)-2-[N-(4-хлорбензолсульфонил)-N-(4-гидроксиметилбензил)амино]-4-метилпентановой кислоты (1.5 г, 3.5 ммоль) в СН2Cl2 (15 мл) при перемешивании прибавляют Et3N (0.74 мл, 5.3 ммоль). По каплям прибавляют раствор метансульфонилхлорида (0.29 мл, 3.5 ммоль) в 5 мл СН2Cl2 и реакционную смесь перемешивают 1 час при 0°С. К реакционной смеси прибавляют 25 мл СН2Cl2, быстро промывают 1 N HCl, рассолом и сушат, пропуская органическую фазу через хлопковый фильтр. Растворитель отгоняют в вакууме, получая титульное соединение с количественным выходом. Полученную пену используют без очистки в последующих реакциях. MS (ESI), (M-95)+ 409.15; 1H ЯМР (CDCl3)
Амид (2R)-2-[N-(4-хлорбензолсульфонил)-N-(4-диметиламинометилбензил)амино]-4-метилпентановой кислоты (Пример 110) К раствору 4-{[N-((1R)-1-карбамоил-3-метилбутил]-N-(4-хлорбензолсульфонил)амино]метил}бензилового эфира метансульфокислоты (150 мг, 0.298 ммоль) в СН2Cl2 (3 мл) при 0°С при перемешивании прибавляют 1 эквивалент Et3N, a затем диметиламин (0.3 мл, 2 М в ТГФ). Реакционную смесь перемешивают в течение ночи при комнатной температуре. К смеси прибавляют СН2Cl2, промывают водой, рассолом, сушат MgSO4 и упаривают, получают стеклообразный продукт янтарного цвета. Очистка флеш-хроматографией (SiO2, 10% MeOH/CH2Cl2) дает титульное соединение (95 мг) с выходом 71%. MS (ESI), (M+H)+ 452.23; 1H ЯМР (CDCl3) Примеры применения Реакционной схемы 9
Амид (2R)-2-[N-(4-ацетиламинобензил)-N-(4-хлорбензолсульфонил)амино]-4-метилпентановой кислоты (Пример 163) К раствору соединения из Примера 48 [амид (2R)-2-[N-(4-хлорбензолсульфонил)-N-(4-аминобензил)амино]-4-метилпентановой кислоты (250 мг, 0.60 ммоль) и Et3N (120 мг, 1.2 ммоль) в CH2Cl2 (20 мл) прибавляют хлористый ацетил (56 мг, 0.72 ммоль). Перемешивают в течение 18 час, реакционную смесь упаривают, хроматографируют (флеш-хроматография на силикагеле, 1% метанол/СН2Cl2) получают титульное соединение (110 мг, 41%). MS (ESI), (M-H)– 422.9; 1H ЯМР (CDCl3)
Амид (2R)-2-[N-(4-хлорбензолсульфонил)-N-(4-{[(2-диметиламиноацетил)метиламино]метил}бензил)амино]-4-метилпентановой кислоты (Пример 272) Амид (2R)-2-[N-(4-хлорбензолсульфонил)-N-(4-метиламинометилбензил)амино]-4-метилпентановой кислоты (75 мг, 0.17 ммоль), ( Пример применения Реакционной схемы 10
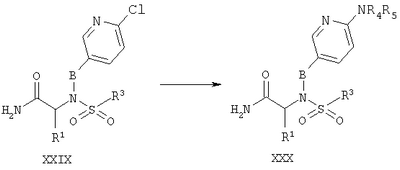
Соль ТФК (TFA) и амида (2R)-2-[N-(4-хлорбензолсульфонил)-N-(2-диметиламинопиридин-5-илметил)амино]-4-метилпентановой кислоты (Пример 254) Раствор амида (2R)-2-[N-(4-хлорбензолсульфонил)-N-(2-хлорпиридин-5-илметил)амино]-4-метилпентановой кислоты (полученного по Реакционной схеме 1, 18 мг, 41 ммоль) в растворе диметиламин/ТГФ (2 М, 20 мл, 40 ммоль) перемешивают при 95°С в течение 30 час в сосуде под давлением. 5 мл реакционной смеси (25% от общего объема) очищают обращенно-фазовой препаративной ЖХВД (YMC S5, ODS, МеОН-вода-ТФК), получают заглавное соединение в виде белой пены (17 мг, выход 30%). HRMS (ESI), (М-Н)– для C20H26SCIN4O3, вычислено 437.1426, найдено 437.1420; 1Н ЯМР (CDCl3): Примеры применения Реакционной схемы 11
Амид (2R)-2-[N-(4-аллилокси-3-фторбензил)-N-(4-хлорбензолсульфонил)амино]-4-метилпентановой кислоты К раствору амида (2R)-2-(4-хлорбензолсульфониламино)-4-метилпентановой кислоты (1.00 г, 3.29 ммоль) и CsCO3 (1.29 г, 3.95 ммоль) в ДМФА (25 мл) прибавляют 1-аллилокси-4-бромметил-2-фторбензол (ссылка: Graham, Samuel L; Европейская патентная заявка (1992): ЕР 487270; 0.88 г, 3.67 ммоль). Образовавшийся раствор перемешивают при rt в течение 18 час. Затем к реакционной смеси прибавляют EtOAc/смесь гексанов (9:1, 350 мл) и промывают Н2О (4×200 мл), рассолом и сушат Na2SO4, получают титульное соединение (393 мг) в виде твердого вещества белого цвета с выходом 26%. MS (ESI), (M+H)+ 469.1; 1H ЯМР (CDCl3)
Амид (2R)-2-{N-(4-хлорбензолсульфонил)-N-[3-фтор-4-(2-морфолин–4-илэтокси)бензил]амино}-4-метилпентановой кислоты (Пример 427) Смесь промежуточного аллилоксисоединения (0.39 г, 0.84 ммоль), полученного выше, тетраоксид осмия (0.01, 0.04 ммоль) и триметиламин-N-оксида (0.140 г, 1.81 ммоль) растворяют в ацетоне (10 мл) и перемешивают в течение 4 час при комнатной температуре (rt). Раствор упаривают в вакууме и снова растворяют в смеси диоксан : H2O (1.5:1, 15 мл). Прибавляют периодат натрия (0.22 г, 1.0 ммоль) и раствор перемешивают при rt в течение 18 час. Затем в реакционную смесь прибавляют EtOAc (200 мл) и промывают H2O, рассолом, сушат Na2SO4 и упаривают, получая (2R)-{N-(4-хлорбензолсульфонил)-N-[3-фтор-4-(2-оксоэтокси)бензил]амино}-4-метилпентановую кислоту. Этот сырой материал используют на следующей стадии без дополнительной очистки. Амид (2R)-2-{N-(4-хлорбензолсульфонил)-N-[3-фтор-4-(2-оксоэтокси)бензил]амино}-4-метилпентановой кислоты (0.16 г, 0.34 ммоль) и морфолин (0.090, 1.0 ммоль) растворяют в EtOH (5 мл) и нагревают при 80°С примерно в течение 15 мин. Отставляют масляную баню, прибавляют натрия триацетоксиборогидрид (0.290 г, 1.36 ммоль) и перемешивают суспензию при rt в течение 16 час. Раствор упаривают досуха, прибавляют рассол, экстрагируют EtOAc (2×100 мл), сушат Na2SO4 и упаривают в вакууме, получают сырой продукт в виде оранжевого осадка. Дальнейшая очистка препаративной ЖХВД (колонка YMC S5 ODS С-18, 20×100 мм, 25 мл/мин, 0-100% МеОН/H2О 0.1% ТФК, 15 мин) дает титульное соединение (69.5 мг) в виде твердого вещества бледно-желтого цвета с выходом 31%. [ Пример применения Реакционной схемы 12
Амид (2R)-2-{N-(4-хлорбензолсульфонил)-N-[4-(1-гидрокси-1-метилэтил)бензил]амино}-4-метилпентановой кислоты (Пример 287) Раствор соединения из Примера 61 [метилового эфира [4-{N-[(1R)-1-карбамоил-3-метилбутил]-N-(4-хлорбензолсульфонил)амино]метил}бензойной кислоты, 101 мг, 0.221 ммоль] охлаждают до 0°С в ТГФ (2 мл). Прибавляют по каплям раствор метилмагнийбромида (1.4 М в смеси толуол/ТГФ, 0.50 мл, 0.71 ммоль). Темно-желтый раствор перемешивают при 0°С и через 30 мин прибавляют дополнительное количество метилмагнийбромида. Через 1 час раствор оставляют нагреваться до комнатной температуры. Через 3.5 час реакцию прекращают, добавляя нас. водн. NH4Cl, и смесь экстрагируют EtOAc (2x). Объединенные органические вытяжки сушат (Na2SO4) и упаривают. Флеш-хроматография на колонке (SiO2, 20-100% EtOAc/смесь гексанов) дает титульное соединение в виде белой пены (62 мг, 62%). MS (ESI), (М+Н)+ 453.16; 1H ЯМР (CDCl3, 300 МГц) Пример применения Реакционной схемы 13
Амид (2R)-2-{N-(4-хлорбензолсульфонил)-N-[4-(5-метил[1,3,4]оксадиазол-2-ил)бензил]амино}-4-метилпентановой кислоты (Пример 436) Стадия 1. К соединению из Примера 61 [метиловый эфир [4-{[N-((1R)-1-карбамоил-3-метилбутил)-N-(4-хлорбензолсульфонил)амино]метил}бензойной кислоты, 0.500 мг, 1.10 ммол] прибавляют метанол (10 мл), а затем гидразин (2 мл). Исходное медленно растворяется через 5 минут. Через 30 мин раствор нагревают до кипения. Через 22 час раствор охлаждают до rt. Прибавляют воду, образуется белый осадок. Смесь экстрагируют EtOAc (2x). Объединенные органические вытяжки промывают рассолом, сушат (Na2SO4) и упаривают, получают соответствующий ацилгидразид в виде белой пены, который непосредственно вводят в стадию циклизации без дополнительной очистки. Стадия 2. Сырой (неочищенный) ацилгиразид (0.150 г, 0.331 ммоль) растворяют в пиридине (2.2 мл) и прибавляют ацетимидата гидрохлорид (60.0 мг, 0.364 ммоль). Смесь кипятят 1.25 час. Раствор охлаждают до rt и упаривают с целью отгонки пиридина. Остаток растворяют в EtOAc и промывают последовательно водой, 1 N HCl (2x), нас. водн. NaHCO3 и рассолом. Раствор сушат (MgSO4) и упаривают. После флеш-хроматографии на колонке ((SiO2, 50-100% EtOAc/смесь гексанов) получают указанное соединение в виде твердого вещества белого цвета (138 мг, 88% на 2 стадии). [ Пример применения Реакционной схемы 14
Амид (2R)-2-{N-(4-хлорбензолсульфонил)-N-[4-(3-метил[1,2,4]оксадиазол-5-ил)бензил]амино}-4-метилпентановой кислоты (Пример 437) Стадия 1. К раствору соединения из Примера 89 [[4-{[N-((1R)-1-карбамоил-3-метилбутил)-N-(4-хлорбензолсульфонил)амино]метил}бензойная кислота, 520 мг, 1.2 ммоль) в ДМФА (2.4 мл) и СН2Cl2 (7.1 мл) прибавляют 1-гидроксибензотриазол (192 мг, 1.42 ммоль), 1-(3-диметиламинопропил)-3-этилкарбодиимида гидрохлорид (272 мг, 1.42 ммоль) и iPr2NEt (0.31 мл, 1.8 ммоль). Также прибавляют N-гидроксиацетамид (105 мг, 1.42 ммоль). Через 21 час исходное еще присутствует, поэтому периодически добавляют дополнительные порции всех реагентов, чтобы довести реакцию до конца (сдвинуть вправо). Через 3 дня смесь упаривают и распределяют между нас. водн. NaHCO3 и EtOAc (2х). Объединенные органические вытяжки промывают рассолом, сушат (MgSO4) и упаривают, получая желтое масло, которое вводят в следующую стадию без дополнительной очистки. Стадия 2. Сырой ацетамидоксим растворяют в толуоле (10 мл) и раствор нагревают до кипения. Через 1 час прибавляют пиридин (2 мл) и продолжают нагревание еще в течение 15 час. Смесь упаривают и растворяют в EtOAc. Органическую фазу последовательно промывают водой, 1 N HCl (2х), нас. водн. NaHCO3 и рассолом, затем сушат (MgSO4) и упаривают. После флеш-хроматографии на колонке (SiO2, 10-40% EtOAc/смесь гексанов) получают титульное соединение в виде твердого вещества бледно-желтого цвета (238 мг, 42% на две стадии). [ Пример применения Реакционной схемы 15
Амид (2R)-2-{N-(4-хлорбензолсульфонил)-N-[4-(5-метил[1,2,4]оксадиазол-3-ил)бензил]амино}-4-метилпентановой кислоты (Пример 465) К раствору соединения из Примера 6 [амид (2R)-2-[N-(4-хлорбензолсульфонил)-N-(4-цианобензил)амино]-4-метилпентановой кислоты (0.20 г, 0.47 ммоль] в этаноле (6 мл) прибавляют гидроксиламин (50% раствор в воде, 0.050 мл, 0.71 ммоль). Реакционную смесь греют при 80°С в течение 18 час. Реакционную смесь упаривают, остаток перекристаллизовывают из смеси EtOAc/смесь гексанов, получая твердое вещество белого цвета (136 мг, 51%). Затем это твердое вещество (0.18 ммоль) растворяют в хлороформе и прибавляют Et3N (0.030 мл, 0.24 ммоль) и ацетилхлорид (0.020 мл, 0.18 ммоль). Реакционную смесь перемешивают при rt в течение 2 час, а затем выливают в EtOAc и рассол. Органический слой отделяют, сушат MgSO4 и упаривают. Остаток растворяют в толуоле и кипятят в течение 24 час. Реакционную смесь упаривают и очищают на системе Biotage (элюция EtOAc/смесь гексанов, 1:1), получают заданный продукт в виде твердого вещества белого цвета (выход 35 мг, 39%). MS (ESI), (M+H)+ 477.13; 1H ЯМР (CDCl3, 500 МГц) Пример применения Реакционной схемы 16
Амид (2R)-2-[N-(4-ацетилбензил)-N-(4-хлорбензолсульфонил)амино]-4-метилпентановой кислоты (Пример 273) Раствор соединения из Примера 251 [4-{[N-((1S)-1-карбамоил-3-метилбутил)-N-(4-хлорбензолсульфонил)амино]метил}-N-метокси-N-метилбензамид, 0.100 г, 0.207 ммоль] в ТГФ (2.1 мл) охлаждают до 0°С. По каплям прибавляют раствор метилмагнийбромида (1.4 М в смеси толуол/ТГФ, 0.178 мл, 0.249 ммоль). Образующийся раствор перемешивают 3 часа при 0°С, прибавляют дополнительное количество раствора метилмагнийбромида (0.178 мл, 0.249 ммоль). Еще через 30 мин прибавляют последнюю порцию раствора MeMgBr (0.3 мл). Через 15 мин к реакционной смеси прибавляют нас. водн. NH4Cl и 1 N HCl и смесь экстрагируют EtOAc (2х). Объединенные органические вытяжки промывают нас. водн. NaHCO3 и рассолом, сушат (Na2SO4). Флеш-хроматографией на колонке (SiO2, 20-60% EtOAc/смесь гексанов) получают заданное соединение в виде желтовато-белой пены (79 мг, 87%). [ Пример применения Реакционной схемы 17
Амид (2R)-2-{N-(4-хлорбензолсульфонил)-N-[4-(3-пиперидин-1-илпропиониламино)бензил]амино}-4-метилпентановой кислоты (Пример 274) К раствору N-(4-{[N-((1S)-1-карбамоил-3-метилбутил)-N-(4-хлорбензолсульфонил)амино]метил}фенил)акриламида (0.10 г, 0.22 ммоль) в толуоле (5 мл) прибавляют пиперидин (20 мг, 0.24 ммоль). Смесь нагревают при слабом кипении в течение 1 часа, а затем растворитель удаляют в вакууме. Очистка флеш-хроматографией (SiO2, 10% МеОН/СН2Cl2) дает титульное соединение с выходом 86% (105 мг). MS (ESI), (M+H)+ 449.16; 1H ЯМР (CDCl3, 400 МГц) Примеры применения Реакционной схемы 18
(2R)-2-(Бензгидрилиденамино)-1-{(1’S),(5’S)-10′,10′-диметил-3′,3′-диоксо-3′ К раствору N-2-(бензгидрилиденамино)-1-{(1’S),(5’S)-10′,10′-диметил-3′,3′-диоксо-3′
(2R)-2-Амино-1-{(1’S),(5’S)-10′,10′-диметил-3′,3′-диоксо-3′ К раствору (2R)-2-(бензгидрилиденамино)-1-{(1’S),(5’S)-10′,10′-диметил-3′,3′-диоксо-3′
(2R)-2-(4-Хлорбензолсульфониламино)-1-{(1’S),(5’S)-10′,10′-диметил-3′,3′-диоксо-3′ К раствору (2R)-2-амин-1-{(1’S),(5’S)-10′,10′-диметил-3′,3′-диоксо-3′
(2R)-2-(4-Хлорбензолсульфониламино)-4-фторбутановая кислота К раствору (2R)-2-(4-хлорбензолсульфониламино)-1-{(1’S),(5’S)-10′,10′-диметил-3′,3′-диоксо-3′
Амид (2R)-2-(4-хлорбензолсульфониламино)-4-фторбутановой кислоты К раствору (2R)-2-(4-хлорбензолсульфониламино)-4-фторбутановой кислоты (9.0 г, 31 ммоль) в ДМФА (250 мл) в атмосфере N2 прибавляют последовательно 1-гидроксибензотриазола гидрат (6.2 г, 46 ммоль), N,N-диизопропилэтиламин (23 мл, 124 ммоль), хлористый аммоний (3.34 г, 62 ммоль) и 1-[3-(диметиламино)пропил]-3-этилкарбодиимида гидрохлорид (8.8 г, 46 ммоль). Полученный раствор перемешивают при rt в течение 18 час. Раствор выливают в воду со льдом (500 мл), твердый осадок отфильтровывают и сушат. Затем продукт осаждают из 10% EtOAc/смесь гексанов, получают чистое твердое вещество белого цвета (4.5 г) с выходом 50%. [
(2R)-2-(4-Хлорбензолсульфонил)-(4-цианобензил)амино]-4-фторбутирамид (Пример 360) (2R)-2-(4-Хлорбензолсульфониламино)-4-фторбутирамид (20 мг, 0.7 ммоль) превращают в титульное соединение по Реакционной схеме 1, метод А. Получают 208 мг (73%) титульного соединения. MS (ESI), (М-Н)– 407.99; [ Примеры применения Реакционной схемы 19
Амид 2-(4-хлорбензолсульфониламино)-6-фторгексановой кислоты (III) Смесь этилового эфира (бензгидрилиденамино)уксусной кислоты (8.6 г, 32 ммоль), 4-бром-1-фторбутана (10.0 г, 64.5 ммоль), К2СО3 (13.4 г, 96.9 ммоль), тетрабутиламмонийбромида (2.1 г, 6.5 ммоль) и ацетонитрила (300 мл) кипятят в течение 72 час. Реакционную смесь охлаждают до rt и фильтруют через стеклянный фильтр. Фильтрат упаривают в вакууме. Остаток растворяют в диэтиловом эфире (250 мл), выпадает белый осадок. Осадок отфильтровывают в вакууме. К фильтрату, содержащему сырой продукт – этиловый эфир (2-(бензгидрилиденамино)-6-фторгексановой кислоты, прибавляют 1 N раствор HCl (100 мл). Образующуюся двухфазную смесь энергично перемешивают в течение 3 час. Смесь переносят в делительную воронку. Отделяют водный слой. Органический слой экстрагируют 1 N HCl (30 мл). Объединенные водные фазы промывают 200 мл диэтилового эфира. К водной фазе прибавляют концентрированную HCl (10.8 мл) и полученный раствор кипятят в течение 6 час. Реакционную смесь охлаждают до rt и упаривают в вакууме. К остатку прибавляют толуол и смесь снова упаривают в вакууме, получают гидрохлорид 2-амино-6-фторгексановой кислоты в виде твердого вещества белого цвета. Сырой продукт – соль аминокислоты – используют без очистки и без определения характеристик. Гидрохлорид 2-амино-6-фторгексановой кислоты (32.3 ммоль, теоретически) суспендируют в сухом метаноле (300 мл) и охлаждают до 0°С. Медленно в течение 5 мин прибавляют хлористый тионил (10.3 мл, 129 ммоль). Полученный раствор доводят до rt и перемешивают в течение 18 час. Реакционную смесь упаривают в вакууме, получают гидрохлорид 2-амино-6-фторгексановой кислоты. К сырому аминоэфиру прибавляют толуол (100 мл) и 28% раствор аммиака в воде (75 мл). Образующуюся двухфазную смесь энергично перемешивают при rt в течение 24 час. Реакционную смесь упаривают в вакууме. Остаток в виде твердого вещества суспендируют в толуоле (200 мл) и снова упаривают в вакууме, получают амид 6-фторгексановой кислоты (II) в виде твердого вещества белого цвета. Сырой амид аминокислоты растворяют в сухом ДМФА (50 мл) и СН2Cl2 (350 мл) и проводят его реакцию с 4-хлорбензолсульфонилхлоридом (82 г, 32.3 ммоль) и Et3N (13.5 мл, 96.9 ммоль). Через 2 час прибавляют вторую порцию 4-хлорбензолсульфонилхлорида (1.70 г, 8.1 ммоль). Еще через 18 час образовавшуюся смесь выливают в 1 N HCl (500 мл). Органический слой отделяют и промывают водой (2×500 мл). К органической фазе прибавляют гексан (600 мл). Образуется белый осадок. Осадок отфильтровывают в вакууме, промывают холодным этанолом (50 мл) и сушат в вакууме. Получают 4.95 г (выход 48% на 6 стадий) амида 2-(4-хлорбензолсульфониламино)-4-фторгексановой кислоты (III). LCMS (M+Na)+ 345.2; 1Н ЯМР (400 МГц, ДМСО-d6)
Амид 2-(4-хлорбензолсульфонил)-(4-цианобензил)амино)-6-фторгексановой кислоты (Пример 333) Амид 2-(4-хлорбензолсульфониламино)-6-фторгексановой кислоты (0.500 г, 1.55 ммоль) превращают в титульное соединение (360 мг, выход 59%), как описано в Реакционной схеме 1, метод A. LCMS (M+Na)+ 459.9; 1H ЯМР (400 МГц, ДМСО-d6) Примеры применения Реакционной схемы 20
(2R)-2-(4-Хлорбензолсульфониламино)-1-{(1’S),(5’S)-10′,10′-диметил-3′,3′-диоксо-3′ К раствору (2R)-2-(4-хлорбензолсульфониламино)-1-{(1’S),(5’S)-10′,10′-диметил-3′,3′-диоксо-3′ Содержимое реакционной колбы осторожно прибавляют к водному раствору NaHCO3 (300 мл). Экстрагируют EtOAc (3×100 мл). Объединенные органические вытяжки последовательно промывают 1 N HCl (200 мл) и рассолом (100 мл). Органическую фазу сушат MgSO4, фильтруют и упаривают в вакууме, получают 490 мг (94%) титульного соединения в виде твердого вещества белого цвета. 1Н ЯМР (400 МГц, ДМСО-d6)
Амид (2R)-2-(4-хлорбензолсульфониламино)-4-фтор-4-метилпентановой кислоты (2R)-2-(4-Хлорбензолсульфониламино)-1-{(1’S),(5’S)-10′,10′-диметил-3′,3′-диоксо-3′ Примеры применения Реакционной схемы 21
Этиловый эфир 2-(4-хлорбензолсульфониламино)-4-метил-4-пентановой кислоты Раствор этилового эфира 2-амино-4-метил-4-пентановой кислоты (2.84 г, 18.1 ммоль, получен по Реакционной схеме 19 из этилового эфира (бензгидрилиденамино)уксусной кислоты и 1-бром-2-метил-2-пропена) в СН2Cl2 (250 мл) реагирует с 4-хлорбензолсульфонилхлоридом (4.20 г, 19.9 ммоль) и Ee3N (3.78 мл, 27.2 ммоль). Через 4 часа образовавшуюся смесь выливают в 1 N водный раствор HCl (500 мл) и экстрагируют EtOAc (3×150). Органические вытяжки промывают рассолом (50 мл), сушат (MgSO4), фильтруют и упаривают в вакууме. Сырой концентрат очищают колоночной хроматографией на силикагеле (градиент от 10:1 до 5:1, смесь гексанов/EtOAc), получают 3.04 г (выход на 3 стадии 25%) этилового эфира 2-(4-хлорбензолсульфониламино)-4-метил-4-пентановой кислоты. LCMS (M+Na)+ 354.2; 1Н ЯМР (400 МГц, CDCl3) Этиловый эфир 2-(4-хлорбензолсульфониламино)-4-фтор-4-метилпентановой кислоты и 4-хлор-N-(5,5-диметил-2-оксотетрагидрофуран-3-ил)бензолсульфонамид Фторводород·пиридин (10 мл) при 0°С прибавляют к раствору этилового эфира 2-(4-хлорбензолсульфониламино)-4-метил-4-пентановой кислоты (1.0 г, 3.0 ммоль) в ТГФ (15 мл). Реакционную смесь доводят до rt. Через 5 час прибавляют новую порцию фторводород·пиридина (10 мл). Смесь перемешивают в течение 24 час, затем прибавляют третью порцию фторводород·пиридина (10 мл). Общее время перемешивания составляет 53 час. Затем реакцию “гасят”, добавляя колотый лед (20 мл). Сырую смесь выливают в воду со льдом (500 мл) и экстрагируют CH2Cl2 (2×200 мл). Объединенные органические вытяжки промывают нас. водн. NaHCO3 (100 мл) и упаривают в вакууме. Сырой концентрат очищают колоночной хроматографией на силикагеле (градиент от 10:1 до 5:1, смесь гексанов/EtOAc), получают 0.395 г (выход 37%) этилового эфира 2-(4-хлорбензолсульфониламино)-4-фтор-4-метилпентановой кислоты и 0.425 г (выход 46%) 4-хлор-N-(5,5-диметил-2-оксотетрагидрофуран-3-ил)бензолсульфонамида. Характеристики этилового эфира 2-(4-хлорбензолсульфониламино)-4-фтор-4-метилпентановой кислоты. LCMS (М+Na)+ 374.1; 1H ЯМР (500 МГц, CDCl3)
Амид 2-(4-хлорбензолсульфониламино)-4-фтор-4-метилпентановой кислоты Раствор этилового эфира 2-(4-хлорбензолсульфониламино)-4-фтор-4-метилпентановой кислоты (457 мг, 1.30 ммоль) в МеОН (20 мл) обрабатывают 10 N раствором NaOH (780 мкл, 7.8 ммоль) при rt в течение 18 час. Сырую реакционную смесь упаривают в вакууме. К остатку прибавляют воду (50 мл) и 1 N HCl (20 мл). Водный раствор экстрагируют EtOAc (3×100 мл). Объединенные органические вытяжки промывают рассолом (50 мл), сушат MgSO4, фильтруют и упаривают в вакууме, получают твердое вещество белого цвета, содержащее 2-(4-хлорбензолсульфониламино)-4-фтор-4-метилпентановую кислоту. Смесь сырого твердого продукта, 1-гидроксибензотриазола (263 мг, 1.95 ммоль), диизопропиламина (670 мг, 5.2 ммоль), хлористого аммония (140 мг, 2.6 ммоль), 1-(3-диметиламинопропил)-3-этилкарбодиимида гидрохлорида (373 мг, 1.95 ммоль) и ДМФА (20 мл) перемешивают при rt в течение 24 час. Сырую реакционную смесь выливают в воду (500 мл). Водный раствор экстрагируют смесью EtOAc/смесь гексанов (90:10, 3×150 мл). Объединенные органические вытяжки промывают рассолом (50 мл), сушат MgSO4, фильтруют и упаривают в вакууме. Сырой концентрат очищают колоночной хроматографией на силикагеле (хлороформ/МеОН, 95:5), получают 0.426 г (выход 100%) титульного соединения. LCMS (M+Na)+ 345.3; 1H ЯМР (400 МГц, ДМСО-d6)
Амид 2-(4-хлорбензолсульфонил)-(4-цианобензил)амино]-4-фтор-4-метилпентановой кислоты (Пример 357) Амид 2-(4-хлорбензолсульфониламино)-4-фтор-4-метилпентановой кислоты превращают в титульное соединение по Реакционной схеме 1, метод A. LCMS (M+Na)+ 460.2; 1Н ЯМР (400 МГц, ДМСО-d6)
Амид 2-(4-хлорбензолсульфонил)-(4-цианобензил)амино]-4-гидрокси-4-метилпентановой кислоты (Пример 443) Запаянную ампулу, содержащую смесь 4-хлор-N-(5,5-диметил-2-оксотетрагидрофуран-3-ил)бензолсульфонамида (0.20 г, 0.66 ммоль) и 28% раствор аммиака в воде (3 мл), нагревают в микроволновом реакторе при 80°С в течение 40 мин. Реакционную смесь охлаждают до rt и упаривают досуха в вакууме, получают твердое вещество белого цвета, содержащее амид 2-(4-хлорбензолсульфониламино)-4-гидрокси-4-метилпентановой кислоты. Неочищенный твердый продукт превращают в титульное соединение (98 мг, 34%) по Реакционной схеме 1, метод А. LCMS (M+Na)+ 458.2; 1Н ЯМР (400 МГц, ДМСО-d6) Примеры применения Реакционной схемы 22
Этиловый эфир 2-(4-хлорбензолсульфониламино)-5-гексеновой кислоты Смесь этилового эфира (бензгидрилиденамино)уксусной кислоты (20 г, 74.8 ммоль), 4-бром-1-бутена (10,1 г, 74.8 ммоль), К2СО3 (31.0 г, 224 ммоль), тетрабутиламмонийбромида (2.41 г, 7.48 ммоль) и ацетонитрила (150 мл) кипятят в течение 6 час. Реакционную смесь охлаждают до rt и фильтруют через воронку со стеклянным фильтром. Фильтрат упаривают в вакууме. Остаток растворяют в диэтиловом эфире (250 мл), выпадает белый осадок. Осадок отфильтровывают в вакууме. К фильтрату, содержащему сырой продукт (этиловый эфир 2-(бензгидрилиденамино)-гекс-5-еновой кислоты), прибавляют 1 N раствор HCl (150 мл). Образующуюся двухфазную смесь энергично перемешивают в течение 18 час. Смесь переносят в делительную воронку. Водную фазу объединяют и упаривают в вакууме. Остаток растворяют в толуоле (2×200 мл) и снова упаривают. Сырой аминоэфир растворяют в CH2Cl2 и проводят его реакцию с 4-хлорбензолсульфонилхлоридом (15.8 г, 74.8 ммоль) и Et3N (31.2 мл, 224 ммоль). Через 18 час образовавшуюся смесь выливают в 1 N раствор HCl (500 мл). Органический слой отделяют и последовательно промывают 1 N HCl (500 мл) и рассолом (50 мл). Органический слой сушат MgSO4, фильтруют и упаривают в вакууме. Сырой концентрат очищают колоночной хроматографией на силикагеле (5:1, смесь гексанов/EtOAc), получают 5.57 г (выход на 3 стадии 23%) титульного соединения. LCMS (M+Na)+ 454.0; 1H ЯМР (400 МГц, ДМСО-d6)
Этиловый эфир 2-[(4-хлорбензолсульфонил)-(4-пианобензил)амино]-гекс-5-еновой кислоты Этиловый эфир 2-[(4-хлорбензолсульфонил)-(4-цианобензил)амино]-гекс-5-еновой кислоты получают аналогично Реакционной схеме 1, в качестве исходного берут этиловый эфир 2-(4-хлорбензолсульфониламино)-гекс-5-еновой кислоты. Этиловый эфир 2-[(4-хлорбензолсульфонил)-(4-цианобензил)амино]-гекс-5-еновой кислоты выделяют в виде неочищенного твердого вещества желтого цвета (1.14 г) и используют на следующей стадии без дополнительной очистки. 1H ЯМР (CDCl3)
Этиловый эфир 2-[(4-хлорбензолсульфонил)-(4-цианобензил)амино]-5-оксопентановой кислоты Смесь этилового эфира 2-[(4-хлорбензолсульфонил)-(4-цианобензил)амино]-гекс-5-еновой кислоты (1.14 г, 2.56 ммоль), тетраоксида осмия (0.030 г, 0.13 ммоль) и триметиламин-N-оксида (0.41 г, 5.5 ммоль) растворяют в ацетоне (50 мл) и перемешивают в течение 4 час при rt. По завершении реакции раствор упаривают в вакууме и снова растворяют в смеси диоксан : H2O (1.5:1, 50 мл). К этому раствору прибавляют периодат натрия (0.66 г, 3.07 ммоль) и перемешивают 18 час при rt. Затем в реакционную смесь добавляют EtOAc (500 мл) и промывают Н2О, рассолом, сушат Na2SO4 и упаривают. Получают неочищенное бесцветное масло. Дальнейшей очисткой с помощью флеш-хроматографии (SiO2, 5-75% EtOAc/смесь гексанов) получают этиловый эфир 2-[(4-хлорбензолсульфонил)-(4-цианобензил)амино]-5-оксопентановой кислоты (выход 0.26 г, 23%) в виде бесцветного масла. 1Н ЯМР (CDCl3)
Этиловый эфир 2-[(4-хлорбензолсульфонил)-(4-цианобензил)амино]-5,5-дифторпентановой кислоты Этиловый эфир 2-[(4-хлорбензолсульфонил)-(4-цианобензил)амино]-5-оксопентановой кислоты (0.05 г, 0.11 ммоль) медленно прибавляют к раствору DAST (0.020 мл, 0.11 ммоль) в CH2Cl2 (2 мл) при rt и перемешивают в течение 16 час. К реакционной смеси прибавляют СН2Cl2 и экстрагируют водой (2×25 мл). Объединенные органические вытяжки промывают водой, рассолом, сушат Na2SO4 и упаривают, получая этиловый эфир 2-[(4-хлорбензолсульфонил)-(4-цианобензил)амино]-5,5-дифторпентановой кислоты в виде неочищенного желтого остатка. Этот неочищенный остаток используют на следующей стадии без дополнительной очистки.
Амид 2-[(4-хлорбензолсульфонил)-(4-цианобензил)амино]-5,5-дифторпентановой кислоты (Пример 377) Неочищенный этиловый эфир 2-[(4-хлорбензолсульфонил)-(4-цианобензил)амино]-5,5-дифторпентановой кислоты (0.061 г, 0.13 ммоль) растворяют в МеОН (2 мл). К этой смеси прибавляют 10 N NaOH (0.052 мл, 0.52 ммоль) и образующийся раствор перемешивают при rt в течение 16 час. Реакционную смесь разбавляют водой (25 мл), подкисляют 1 N HCl и экстрагируют CH2Cl2 (4×100 мл). Объединенные органические вытяжки сушат Na2SO4 и упаривают в вакууме, получают карбоновую кислоту в виде неочищенного бесцветного масла. Затем промежуточную карбоновую кислоту растворяют в ДМФА (10 мл) и смешивают 1-гидроксибензотриазолом (0.030 г, 0.20 ммоль), iPrNEt (0.090 мл, 0.52 ммоль), NH4Cl (0.01 г, 0.26 ммоль), 1-(3-диметиламинопропил)-3-этилкарбодиимида гидрохлоридом (0.04 г, 0.20 ммоль) и перемешивают при rt в течение 72 час. К реакционной смеси прибавляют EtOAc (150 мл) и промывают водой (4×50 мл). Органические вытяжки сушат Na2SO4 и упаривают в вакууме, получая неочищенное желтовато-белое твердое вещество. Дальнейшая очистка флеш-хроматографией (SiO2, 5-85 EtOAc/смесь гексанов) дает титульное соединение (выход 10.7 мг, 19%) в виде твердого вещества белого цвета. LCMS (M+Na)+ 464.01; 1H ЯМР (CDCl3) Примеры применения Реакционной схемы 23
Амид (2R)-2-[[4-(2-бромацетиламино)бензил]-(4-хлорбензолсульфонил)амино]-4-метилпентановой кислоты К раствору амида (2R)-2-[(4-амино)бензил)-(4-хлорбензолсульфонил)амино]-4-метилпентановой кислоты (248 мг, 0.56 ммоль) и Et3N (176 мг, 1.74 ммоль) в CH2Cl2 (3 мл) прибавляют бромацетилхлорид (105 мг, 0.67 ммоль). Реакционную смесь перемешивают в течение ночи при rt. К реакционной смеси прибавляют СН2Cl2 (5 мл), промывают 1 N HCl, рассолом и сушат, пропуская через хлопковый фильтр. Растворитель отгоняют в вакууме. Очистка флеш-хроматографией (SiO2, 10% ацетон/СН2Cl2) дает 124 мг (42%) титульного соединения. MS (ESI), (М+Н)+ 531.86; 1H ЯМР(CDCl3, 400 МГц)
Амид (2R)-2-{(4–хлорбензолсульфонил)-[4-(2-диметиламиноацетиламино)бензил]амино}-4-метилпентановой кислоты (Пример 308) К раствору амида (2R)-2-[[4-(2-бромацетиламино)бензил]-(4-хлорбензолсульфонил)амино]-4-метилпентановой кислоты (41 мг, 0.77 ммоль) в СН2Cl2 (2 мл) прибавляют избыток 2.0 М раствора диметиламина в ТГФ. Реакционную смесь перемешивают в течение ночи. Растворитель отгоняют в вакууме. Очистка флеш-хроматографией (SiO2, 10% МеОН/СН2Cl2) дает 24 мг (63%) титульного соединения. MS (ESI), (М+Н)+ 495.14; 1Н ЯМР (CDCl3, 400 МГц) Исходные вещества Нижеприведенные
Амид 5,5,5-трифтор-2-аминопентановой кислоты и 6,6,6-трифтор-2-аминогексановую кислоту получают по Ojima, I.; Kato, К.; Nakahashi, К. J. Org. Chem. 1989, 54, 4511. Бензилбромид, применяемый в синтезе соединений из Примеров 100 и 155, получают по Ishihara, Y.; Fujisawa, Y.; Furuyama, N. Международная заявка РСТ WO 9846590; Senanayake, C.H.; Fang, O.K.; Wilkinson, S.H. Международная заявка РСТ WO 9833789. Альдегиды для синтеза соединений из Примеров 91, 248, 249, 289, 290 и 300 (см. Реакционную схему 2) получают, как показано на примере получения 4-(пиперидин-1-ил)бензальдегида. Суспензию 4-фторбензальдегида (0.48 мл, 4 ммоль), К2СО3 (522 мг, 4 ммоль), пиперидина (340 мг, 4 ммоль) в ДМСО (5 мл) нагревают в запаянной ампуле при 150°С в течение 18 час, после чего реакционную смесь упаривают и очищают хроматографией на силикагеле (СН2Cl2, затем 2% МеОН/СН2Cl2), получают 4-(пиперидин-1-ил)бензальдегид, 748 мг, выход 98%. Альдегиды, применяемые в синтезе соединений из Примеров 317, 318 и 320, получают, как показано на примере 4-(пиперидин-1-ил)-3-фторбензальдегида. Суспензию 4,3-дифторбензальдегида (500 мг, 3.5 ммоль), К2СО3 (483 мг, 3.5 ммоль), пиперидина (298 мг, 3.5 ммоль) в ДМСО (5 мл) нагревают в запаянной ампуле при 130°С в течение 18 час. Реакционную смесь охлаждают до rt, упаривают и очищают хроматографией на силикагеле (СН2Cl2, затем 2% MeOH/CH2Cl2), получают 4-(пиперидин-1-ил)-3-фторбензальдегид, 740 мг, выход 99%. Бензилхлорид, применяемый для получения соединений из Примеров 433, 474, 480 и 500, получают по следующей методике. К раствору 2-[(4-хлорметил)фенил]пропан-2-ола (769 мг, 4.16 ммоль) (ссылка: Сгеагу, X.; Mehrsheikh-Mohammadi, M.E.; McDonald, S. J. Org. Chem. 1987, 52, 3254) в CH2Cl2 (14 мл) при -78°С прибавляют DAST (0.72 мл, 5.4 ммоль). Через 1.5 час к раствору прибавляют воду и доводят температуру до комнатной. Смесь экстрагируют CH2Cl2 (3х). Объединенные органические вытяжки сушат (Na2SO4) и упаривают. Флеш-хроматография на колонке (SiO2, 0-5% EtOAc/смесь гексанов) дает хлорид в виде бледно-желтой жидкости (512 мг, 66%). 1Н ЯМР (CDCl3, 300 МГц) Получение 2-триметилсиланилэтилового эфира 4-бромметилбензойной кислоты, применяемого в синтезе соединения из Примера 470, описано Graffner-Nordberg, M.; Sjoedin, Л.; Tunek, A.; Hallberg, A. Chem. Pharm. Bull. 1998, 46, 591. Условия хроматографического разделения энантиомерных смесей Условие 1. Вещество из Примера 345 делят следующим методом. Колонка Chiracel OJ, 4.6 X 250 мм, 10 мкМ, 1.0 мл/мин, 85% гексан/EtOH 0.1% DEA, за 20 мин. Условие 2. Соединение из Примера 346 разделяют следующим методом. Колонка Chiralpak AD, 4.6 x 250 мм, 10 мкМ, 1.0 мл/мин, 80% гексан/EtOH 0.15% DEA, за 20 мин. Условие 3. Соединение из Примера 347 разделяют следующим методом. Колонка Chiralpak AD, 4.6 x 250 мм, 10 мкМ, 1.0 мл/мин, 65% гексан/IPA 0.1% DEA, за 18 мин. Условие 4. Соединения из Примеров 365 и 366 разделяют следующим методом. Колонка Chiralpak AD, 4.6 x 250 мм, 10 мкМ, 1.0 мл/мин, 75% гексан/EtOH 0.15% DEA, за 25 мин. Условие 5. Соединения из Примеров 408 и 409 разделяют следующим методом. Колонка Chiracel OD, 4.6 x 250 мм, 10 мкМ, 1.0 мл/мин, 90% гексан/EtOH 0.15% DEA, за 36 мин.
Формула изобретения
1. Соединение формулы I или его оптический изомер
где R1 выбирают из группы, состоящей из (а) линейного или разветвленного C1-6 алкила или С2-6 алкенила, имеющего, необязательно, заместители, выбранные из группы, состоящей из гидрокси, С3-7 циклоалкила, С1-4 алкокси, С1-4 алкилтио и галогена; (б) С3-7 циклоалкила, замещенного, необязательно, гидрокси или галогеном; R обозначает водород R2 выбирают из группы, состоящей из (а) линейного или разветвленного C1-6 алкила или С3-6 алкенила, имеющего, необязательно, заместители, выбранные из группы, состоящей из галогена, С1-4 алкокси и NR4R5; (б) С3-7 циклоалкилметила, имеющего, необязательно, заместители, выбранные из группы, состоящей из амино, (С1-4алкил)NH-, ди(С1-4алкил)N-; (в) линейного или разветвленного C1-6 алкил-С(=O)-А; (г) -В-нафтила; (д)
D и Е каждый независимо обозначает простую (ординарную) связь, линейный или разветвленный C1-6 алкил, С2-6 алкенил; Z выбирают из группы, состоящей из водорода, C1-4 алкила, C1-4 алкокси, галогена, циано, гидрокси, -OCHF2, -OCF3, -CF3 и -CHF2; X и Y каждый независимо выбирают из группы, состоящей из водорода, гидрокси, галогена, (галоген)3С-, (галоген)2СН-, С1-4 алкилS-, C1-4 алкилSO2-, нитро, F3S- и циано; -OR6; -NR4R5; -NR7C(=O)R8; -C(=O)W, где W выбирают из группы, состоящей из гидрокси, C1-4 алкила, C1-4 алкокси, фенокси и -NR4R5; -ОС(=O) C1-4 алкила; фенила, причем указанный фенил, необязательно, имеет в качестве заместителя циано; и гетероциклической группы, где указанную гетероциклическую группу выбирают из ряда, состоящего из пирролила, пиразолила, триазолила, тетразолила, оксадиазолила, тиадиазолила, причем указанная гетероциклическая группа, необязательно, имеет заместители, выбранные из группы, состоящей из галогена, C1-4 алкила, (галоген)С1-4 алкила и CO2C1-4 алкила; (е) -В-(гетероцикла), где указанный гетероцикл выбирают из группы, состоящей из фуранила, тиофуранила, имидазолила, пиридинила, оксазолила, изоксазолила и тиазолила, причем указанный гетероцикл, необязательно, имеет заместители, выбранные из группы, состоящей из галогена, C1-4 алкила, CO2C1-4 алкила, амино, (С1-4алкил)NH-, ди(С1-4 алкил)N-, морфолин-4-ила, пирролидин-1-ила, пиперидин-1-ила; (ж) -В-(пиперидин-4-ила), где указанный пиперидин-4-ил, необязательно, имеет заместители, выбранные из группы, состоящей из линейного или разветвленного C1-6 алкила, СН2С(=O) фенила, фенилметила, которые, необязательно, имеют заместители, выбранные из группы, состоящей из циано, галогена, бензимидазол-2-ила, пиридила и тетрагидрофуран-2-ила; и -C(=O)W’, где W’ выбирают из группы, состоящей из C1-4 алкокси, R9 и -NR4R5; А обозначает гидрокси, C1-4 алкокси или NR4R5; В обозначает линейный или разветвленный C1-6 алкил или С3-6 алкенил; R3 обозначает фенил или пиридил, имеющий, необязательно, заместители, выбранные из группы, состоящей из галогена, C1-4 алкила, (галоген)3С-, (галоген)2СН- и галогенСН2-; R4 и R5 каждый независимо обозначает водород, линейный или разветвленный C1-6 алкил, С3-6 алкенил, С3-6 алкинил, С3-7 циклоалкил, С3-7 циклоалкилметил, C1-4 алкокси, фенил, бензил, пиперидин-4-ил, где каждый, необязательно, имеет заместители, выбранные из группы, состоящей из гидрокси, циано, галогена, (галоген)3С-, (галоген)2СН-, галогенСН2-, гидроксиметила, фенила, пиридила, С1-4алкила, C1-4 алкокси, (галоген)3С-О-, (галоген)2СН-O-, амино, (C1-4 алкил)NH-, ди(С1-4 алкил)N-, морфолин-4-ила, пиперидин-1-ила, CO2Н, CO2C1-4 алкила; R4 и R5 вместе могут обозначать морфолин-4-ил, тиоморфолин-4-ил, пирролидин-1-ил, 1,2,3,4-тетрагидроизохинолин-2-ил, декагидрохинолин-1-ил, пиперидин-1-ил, пиперазин-1-ил, где каждый, необязательно, имеет заместители, выбранные из группы, состоящей из гидрокси, пиридила, бензила, C1-6 алкила, амино, (С1-4 алкил)NH-, ди(С1-4 алкил)N-, CO2Н, CO2С1-4 алкил; R6 обозначает линейный или разветвленный C1-6алкил, С3-6алкенил, бензил или фенил, где каждый, необязательно, имеет заместители, выбранные из группы, состоящей из галогена, С1-4 алкила, С1-4 алкокси, амино, (С1-4 алкил)NH-, ди(С1-4 алкил)N-, (C1-4 алкил)(фенил)N-, морфолин-4-ила, тиоморфолин-4-ила, пирролидин-1-ила, пиперидин-1-ила, пиперазин-1-ила и 4-(C1-6 алкил)пиперазин-1-ила; R7 обозначает водород, линейный или разветвленный C1-6 алкил; R8 обозначает линейный или разветвленный C1-6 алкил, пиридил или фуранил; где каждый, необязательно, имеет заместители, выбранные из группы, состоящей из (С1-4 алкил)NH-, ди(С1-4 алкил)N-, пиперидин-1-ила, пиперазин-1-ила и 4-(C1-6 алкил)пиперазин-1-ила; R9 обозначает линейный или разветвленный C1-6 алкил, С3-6 алкенил, бензил, фенил, оксазолил или пиридил; где каждый, необязательно, имеет заместители, выбранные из группы, состоящей из галогена, (галоген)3С-, (галоген)2СН-, галогенСН2-, С1-4 алкокси, амино, (С1-4алкил)NH-, ди(С1-4 алкил)N-, морфолин-4-ила, тиоморфолин-4-ила, пиперидин-1-ила, пиперазин-1-ила и 4-(C1-6 алкил)пиперазин-1-ила; или его нетоксичная фармацевтически приемлемая соль. 2. Соединение по п.1, имеющее формулу
где R1 выбирают из группы, состоящей из линейного или разветвленного С1-6 алкила или С2-6 алкенила, имеющего, необязательно, заместители, выбранные из группы, состоящей из гидрокси, С3-7 циклоалкила, C1-4 алкокси, C1-4 алкилтио и галогена; R2 выбирают из группы, состоящей из (а) линейного или разветвленного C1-6алкила или С3-6алкенила, имеющего, необязательно, заместители, выбранные из группы, состоящей из галогена, C1-4 алкокси и NR4R5; (б) С3-7циклоалкилметила, имеющего, необязательно, заместители, выбранные из группы, состоящей из амино, (С1-4алкил)NH-, ди(С1-4алкил)N; (в) линейного или разветвленного С1-6 алкил-С(=O)-А; (г) -В-нафтила; (д)
D и Е каждый независимо обозначает простую (ординарную) связь, линейный или разветвленный C1-6 алкил, С2-6 алкенил; Z выбирают из группы, состоящей из водорода, С1-4 алкила, C1-4 алкокси, галогена, циано, гидрокси, -OCHF2, -OCF3, -CF3 и -CHF2; Х и Y каждый независимо выбирают из группы, состоящей из водорода, гидрокси, галогена, (галоген)3С-, (галоген)2СН-, C1-4 алкилS-, C1-4 алкилSO2-, нитро, F3CS- и циано; -OR6; -NR4R5; -NR7C(=O)R8; -C(=O)W, где W выбирают из группы, состоящей из гидрокси, C1-4 алкила, C1-4 алкокси, фенокси и -NR4R5; -ОС(=O) C1-4 алкила; фенила, причем указанный фенил, необязательно, имеет в качестве заместителя циано; и гетероциклической группы, где указанную гетероциклическую группу выбирают из ряда, состоящего из пирролила, пиразолила, триазолила, тетразолила, оксадиазолила, тиадиазолила, причем указанная гетероциклическая группа, необязательно, имеет заместители, выбранные из группы, состоящей из галогена, C1-4 алкила, (галоген)С1-4 алкила и CO2C1-4 алкила; (е) -В-(гетероцикла), где указанный гетероцикл выбирают из группы, состоящей из фуранила, тиофуранила, имидазолила, пиридинила, оксазолила, изоксазолила и тиазолила, причем указанный гетероцикл, необязательно, имеет заместители, выбранные из группы, состоящей из галогена, C1-4 алкила, CO2C1-4 алкила, амино, (С1-4алкил)NH-, ди(С1-4 алкил)N-, морфолин-4-ила, пирролидин-1-ила, пиперидин-1-ила; (ж) -В-(пиперидин-4-ила), где указанный пиперидин-4-ил, необязательно, имеет заместители, выбранные из группы, состоящей из линейного или разветвленного C1-6 алкила, СН2(=O) фенила, фенилметила, которые, необязательно, имеют заместители, выбранные из группы, состоящей из циано, галогена, бензимидазол-2-ила, пиридила и тетрагидрофуран-2-ила; и -C(=O)W, где W выбирают из группы, состоящей из C1-4 алкокси, R9 и -NR4R5; А обозначает гидрокси, C1-4 алкокси или NR4R5; В обозначает линейный или разветвленный C1-6 алкил или С3-6 алкенил; R3 обозначает фенил или пиридил, имеющий, необязательно, заместители, выбранные из группы, состоящей из галогена, С1-4 алкила, (галоген)3С-, (галоген)2СН- и галогенСН2-; R4 и R5 каждый независимо обозначает водород, линейный или разветвленный C1-6 алкил, С3-6 алкенил, С3-6 алкинил, С3-7 циклоалкил, С3-7 циклоалкилметил, C1-4 алкокси, фенил, бензил, пиперидин-4-ил, где каждый, необязательно, имеет заместители, выбранные из группы, состоящей из гидрокси, циано, галогена, (галоген)3С-, (галоген)2СН-, галогенСН2-, гидроксиметила, фенила, пиридила, С1-4 алкила, C1-4 алкокси, (галоген)3С-О-, (галоген)2СН-O-, амино, (C1-4 алкил)NH-, ди(С1-4 алкил)N-, морфолин-4-ила, пиперидин-1-ила, CO2Н, СО2С1-4 алкила; R4 и R5 вместе могут обозначать морфолин-4-ил, тиоморфолин-4-ил, пирролидин-1-ил, 1,2,3,4-тетрагидроизохинолин-2-ил, декагидрохинолин-1-ил, пиперидин-1-ил, пиперазин-1-ил, где каждый, необязательно, имеет заместители, выбранные из группы, состоящей из гидрокси, пиридила, бензила, C1-6 алкила, амино, (С1-4 алкил)NH-, ди(С1-4 алкил)N-, CO2Н, CO2C1-4 алкил; R6 обозначает линейный или разветвленный C1-6 алкил, С3-6 алкенил, бензил или фенил, где каждый, необязательно, имеет заместители, выбранные из группы, состоящей из галогена, C1-4 алкила, C1-4 алкокси, амино, (С1-4 алкил)NH-, ди(С1-4 алкил)N-, (C1-4 алкил)(фенил)N-, морфолин-4-ила, тиоморфолин-4-ила, пирролидин-1-ила, пиперидин-1-ила, пиперазин-1-ила и 4-(C1-6 алкил)пиперазин-1-ила; R7 обозначает водород, линейный или разветвленный C1-6 алкил; R8 обозначает линейный или разветвленный C1-6 алкил, пиридил или фуранил; где каждый, необязательно, имеет заместители, выбранные из группы, состоящей из (С1-4алкил)NH-, ди(С1-4 алкил)N-, пиперидин-1-ила, пиперазин-1-ила и 4-(C1-6 алкил)пиперазин-1-ила; R9 обозначает линейный или разветвленный C1-6 алкил, С3-6 алкенил, бензил, фенил, оксазолил или пиридил; где каждый, необязательно, имеет заместители, выбранные из группы, состоящей из галогена, (галоген)3С-, (галоген)2СН-, галогенСН2-, С1-4 алкокси, амино, (C1-4 алкил)NH-, ди(С1-4 алкил)N-, морфолин-4-ила, тиоморфолин-4-ила, пиперидин-1-ила, пиперазин-1-ила и 4-(C1-6 алкил)пиперазин-1-ила, или его нетоксичная фармацевтически приемлемая соль. 3. Соединение по п.2, в котором R1 обозначает линейный или разветвленный C1-6алкил, имеющий, необязательно, в качестве заместителя С3-7циклоалкил. 4. Соединение по п.2, в котором R1 обозначает линейный или разветвленный С1-6алкил, имеющий, необязательно, в качестве заместителя галоген. 5. Соединение по п.2, в котором R3 обозначает фенил, имеющий, необязательно, заместители, выбранные из группы, состоящей из галогена, С1-4 алкила, (галоген)3С-, (галоген)2СН- и галогенСН2-. 6. Соединение по п.2, в котором R3 обозначает пиридил, имеющий, необязательно, заместители, выбранные из группы, состоящей из галогена, С1-4алкила, (галоген)3С-, (галоген)2СН- и галогенСН2-. 7. Соединение по п.5, в котором R3 обозначает фенил, необязательно замещенный галогеном. 8. Соединение по п.2, в котором R2 обозначает линейный или разветвленный C1-6алкил или С3-6алкенил, имеющий, необязательно, заместители, выбранные из группы, состоящей из галогена, С1-4алкокси и NR4R5. 9. Соединение по п.2, в котором R2 обозначает С3-7циклоалкилметил, имеющий, необязательно, заместители, выбранные из группы, состоящей из амино, (C1-4алкил)NH- и ди(С1-4алкил)N-. 10. Соединение по п.2, в котором R2 обозначает линейный или разветвленный С1-6алкил-С(=O)-А. 11. Соединение по п.2, в котором R2 обозначает -В-нафтил. 12. Соединение по п.2, в котором R2 обозначает
13. Соединение по п.2, в котором R2 обозначает -В-(гетероцикл), где указанный гетероцикл выбирают из группы, состоящей из фуранила, тиофуранила, имидазолила, пиридинила, оксазолила, изоксазолила и тиазолила, причем указанный гетероцикл, необязательно, имеет заместители, выбранные из группы, состоящей из галогена, C1-4 алкила, СО2С1-4 алкила, амино, (C1-4 алкил)NH-, ди(С1-4алкил)N-, морфолин-4-ила, пирролидин-1-ила, пиперидин-1-ила. 14. Соединение по п.2, в котором R2 обозначает -В-(пиперидин-4-ил), где указанный пиперидин-4-ил, необязательно, имеет заместители, выбранные из группы, состоящей из линейного или разветвленного С1-6 алкила, СН2С(=O) фенила и фенилметила, которые, необязательно, имеют заместители, выбранные из группы, состоящей из циано, галогена, бензимидазол-2-ила, пиридила и тетрагидрофуран-2-ила; и -C(=O)W’, где W’ выбирают из группы, состоящей из C1-4 алкокси, R9 и -NR4R5. 15. Соединение по п.12, в котором В обозначает линейный или разветвленный С1-4алкил или С3-6алкенил. 16. Соединение по п.15, в котором Z обозначает водород. 17. Соединение по п.15, в котором Х обозначает -C(=O)W, E обозначает простую (ординарную) связь и Y обозначает водород. 18. Соединение по п.15, в котором Х обозначает -NR4R5, E обозначает ординарную связь и Y обозначает водород. 19. Соединение по п.15, в котором Х обозначает -OR6, E обозначает ординарную связь и Y обозначает водород. 20. Соединение по п.15, в котором Х обозначает -NR7C(=O)R8, Е обозначает ординарную связь и Y обозначает водород. 21. Фармацевтическая композиция, ингибирующая продукцию 22. Способ ингибирования продукции
|
||||||||||||||||||||||||||||||||||||||||||||||||||||||||||||||||||||||||||||||||||||||||||||||||||||||||||||||||||||||||||||||||||||||||||||||||||||||||||||||||||||||||||||||||||||||||||||||||||||||||||||||||||||||||||||||||||||||||||||||||||||||||||||||||||||||||||||||||||||||||||||||||||||||||||||||||||||||||||||||||||||||||||||||||||||||||||||

-(N-сульфонамидо)ацетамидам формулы (I) или их оптическим изомерам
-амилоидного пептида (
-секретазы. 





























в более слабом поле относительно внутреннего стандарта тетраметилсилана (ТМС, TMS), а константа спин-спинового взаимодействия дана в герцах (Гц).







































6-тиа-4′-азатрицикло[5.2.1.0.1,5]дец-4′-ил}-4-фторбутан-1-он







=37.2, Jab=17.6), 4.34 (дд, 1Н, J=8.0, 6.6), 4.25 (дт, 2Н, Jд=47.2, Jт=5.7), 1.58 (м, 1Н), 1.49-1.12 (м, 5Н). Элементный анализ: вычислено для С20Н21ClFN3О3S: С 54.85; Н 4.83; N 9.59. Найдено: С 54.92; Н 4.76; N 9.54.

































































































































































