Патент на изобретение №2300390
|
||||||||||||||||||||||||||||||||||||||||||||||||||||||||||||||||||||||||||||
(54) КРИСТАЛЛИЧЕСКАЯ МОДИФИКАЦИЯ ЦИКЛИЧЕСКОГО ДЕПСИПЕПТИДА С УЛУЧШЕННОЙ АКТИВНОСТЬЮ
(57) Реферат:
Изобретение относится к применению кристаллической модификации (I) циклического депсипептида формулы (I) для получения лекарственных средств, в частности для борьбы с эндопаразитами. Изобретение обеспечивает эффективную борьбу с патогенными эндопаразитами, уменьшая случаи заболевания, смерти и снижение продуктивности животных. 2 н. и 4 з.п. ф-лы, 2 табл.
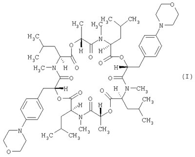
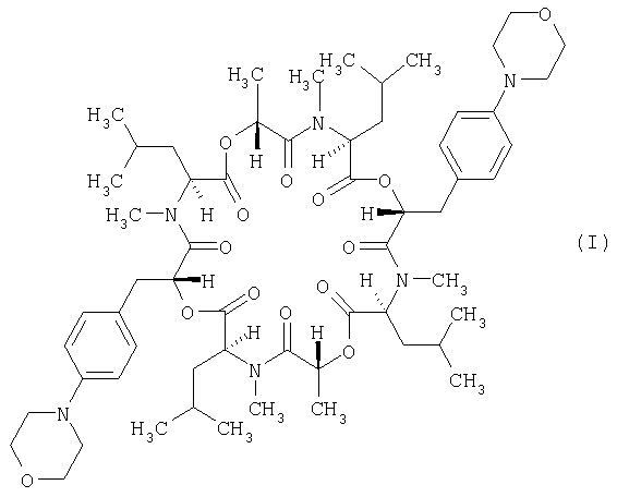
Данное изобретение относится к применению кристаллической модификации I циклического депсипептида формулы (I) для получения лекарственных средств, в частности для борьбы с эндопаразитами. Циклический депсипептид формулы (I) уже известен из европейской заявки на патент ЕР-А-0634408 (международной заявки на патент WO 93/19053). Также уже известны четыре различные кристаллические модификации данного активного вещества, которые описаны в европейской заявке на патент ЕР-А-1031565 (международной заявке на патент WO 99/24412). Модификации, описанные там в качестве кристалла (V), вместе с новым способом получения уже раскрыты в европейской заявке на патент ЕР-А-0872481 (международной заявке на патент 97/02256). В данной заявке для различных модификаций обязательно используют следующие обозначения: Модификация 1 обозначена в европейской заявке на патент ЕР-А-1031565 в качестве «кристалла (III)» и имеет температуру расплава 191,9°С. Модификация II обозначена в европейской заявке на патент ЕР-А-1031565 в качестве «кристалла (II)» и имеет температуру расплава 182,4°С. Модификация III обозначена в европейской заявке на патент ЕР-А-1031565 в качестве «кристалла (I)» и имеет температуру расплава 157,8°С. Модификация IV обозначена в европейской заявке на патент ЕР-А-1031565 в качестве «кристалла (V) типа приорита» и имеет температуру расплава 145,0°С; согласно данным европейской заявки на патент ЕР-А-1031565 такая модификация уже была известна из европейской заявки на патент ЕР-А-0872481. Из четырех модификаций наибольшей термодинамической стабильностью обладает модификация I, модификация II обладает второй термодинамической стабильностью, модификация III обладает третьей термодинамической стабильностью, и модификация IV обладает четвертой термодинамической стабильностью. Теперь неожиданно найдено, что наиболее термодинамически стабильная модификация 1 из названных модификаций демонстрирует наибольшую биоусвояемость и поэтому наибольшую эффективность. Это является неожиданностью для специалиста в данной области: при применении данного очень трудно растворимого в воде активного вещества растворимость и биоусвояемость должны понижаться при растущей термодинамической стабильности. Данное изобретение относится к лекарственному средству, содержащему депсипептид формулы (I) в виде твердого вещества в кристаллической модификации I. На основе превосходной биоусвояемости модификации 1 соответствующее лекарственное средство должно содержать по возможности большую часть такой модификации. Таким образом, соответствующее лекарственное средство должно содержать до, по крайней мере, 50%, особенно предпочтительно, по крайней мере, 80%, наиболее предпочтительно до, по крайней мере, 90% активного вещества формулы (I) в кристаллической модификации I. В идеальном варианте депсипептид находится в лекарственном средстве по существу полностью в модификации 1 (то есть содержание более 99%). Согласно изобретению лекарственные средства, содержащие соединение формулы (I) в модификации I, могут использоваться для борьбы с патогенными эндопаразитами, которые встречаются у людей и при содержании и разведении животных у продуктивного скота, племенных животных, животных в зоопарках, лабораторных животных, подопытных животных и декоративных животных. При этом лекарственные средства эффективны против вредителей на всех или отдельных стадиях развития, а также против стойких видов и видов с нормальной чувствительностью. В результате борьбы с патогенными эндопаразитами уменьшаются случаи заболевания, смерти и снижение продуктивности (например, при производстве мяса, молока, шерсти, кожи, яиц, меда и т.д.), таким образом, благодаря применению активных веществ возможно более экономичное и простое содержание животных. Предпочтительно лекарственные средства применяются для борьбы с патогенными эндопаразитами у теплокровных животных. К патогенным эндопаразитам относятся цестоды, трематоды, нематоды, акантоцефалы, в частности: Из отряда Pseudophyllidea, например: Diphyllobothrium spp., Spirometra spp., Schistocephalus spp., Ligula spp., Bothridium spp., Diphlogonoporus spp. Из отряда Cyclophyllidea, например: Mesocestoides spp., Anoplocephala spp., Paranoplocephala spp., Moniezia spp., Thysanosomsa spp., Thysaniezia spp., Avitellina spp., Stilesia spp., Cittotaenia spp., Andyra spp., Bertiella spp., Taenia spp., Echinococcus spp., Hydatigera spp., Davainea spp., Raillietina spp., Hymenolepis spp., Echinolepis spp., Echinocotyle spp., Diorchis spp., Dipylidium spp., Joyeuxiella spp., Diplopylidium spp. Из подкласса Monogenea, например: Gyrodactylus spp., Dactylogyrus spp., Polystoma spp. Из подкласса Digenea, например: Diplostomum spp., Posthodiplostomum spp., Schistosoma spp., Trichobilharzia spp., Ornithobilharzia spp., Austrobilharzia spp., Gigantobilharzia spp., Leucochloridium spp., Brachylaima spp., Echinostoma spp., Echinoparyphium spp., Echinochasmus spp., Hypoderaeum spp., Fasciola spp., Fasciolides spp., Fasciolopsis spp., Cyclocoelum spp., Typhlocoelum spp., Paramphistomum spp., Calicophoron spp., Cotylophoron spp., Gigantocotyle spp., Fischoederius spp., Gastrothylacus spp., Notocotylus spp., Catatropis spp., Plagiorchis spp., Prosthogonimus spp., Dicrocoelium spp., Eurytrema spp., Troglotrema spp., Paragonimus spp., Collyriclum spp., Nanophyetus spp., Opisthorchis spp., Clonorchis spp., Metorchis spp., Heterophyes spp., Metagonismus spp. Из отряда Enoplida, например: Trichuris spp., Capillaria spp., Trichomosoides spp., Trichinella spp. Из отряда Rhabditia, например: Micronema spp., Strongyloides spp. Из отряда Strongylida, например: Strongylus spp., Triodontophorus spp., Oesophagodontus spp., Trichonema spp., Gyalocephalus spp., Cylindropharynx spp., Poteriostomum spp., Cyclococercus spp., Cylicostephanus spp., Oesopha-gostomum spp., Chabertia spp., Stephanurus spp., Ancylostoma spp., Uncinaria spp., Bunostomum spp., Globocephalus spp., Syngamus spp., Cyathostoma spp., Metastrongylus spp., Dictyocaulus spp., Muellerius spp., Protostrongylus spp., Neostrongylus spp., Cystocaulus spp., Pneumostrongylus spp., Spicocaulus spp., Elaphostrongylus spp., Parelaphostrongylus spp., Crenosoma spp., Paracrenosoma spp., Angiostrongylus spp., Aelurostrongylus spp., Filaroides spp., Parafilaroides spp., Trichostrongylus spp., Haemonchus spp., Ostertagia spp., Marshallagia spp., Cooperia spp., Nematodirus spp., Hyostrongylus spp., Obeliscoides spp., Amidostomum spp., Ollulanus spp. Из отряда Oxyurida, например: Oxyuris spp., Enterobius spp., Passalurus spp., Syphacia spp., Aspiculuris spp., Heterakis spp. Из отряда Ascaridia, например: Ascaris spp., Toxascaris spp., Toxocara spp., Parascaris spp., Anisakis spp., Ascaridia spp. Из отряда Spirurida, например: Gnathostoma spp., Physaloptera spp., Thelazia spp., Gongylonema spp., Habronema spp., Parabronema spp., Draschia spp., Dracunculus spp. Из отряда Filariida, например: Stephanofilaria spp., Parafilaria spp., Setaria spp., Loa spp., Dirofilaria spp., Litomosoides spp., Brugia spp., Wuchereria spp., Onchocerca spp. Из отряда Gigantorhynchida, например: Filicollis spp., Moniliformis spp., Macra-canthorhynchus spp., Prosthenorchis spp. К продуктивному скоту и племенным животным относятся млекопитающие, как, например, коровы, лошади, овцы, свиньи, козы, верблюды, индийские буйволы, ослы, кролики, лани, северные олени, пушные звери, такие как, норка, шиншилла, енот-полоскун, птицы, как, например, куры, гуси, индейки, утки, пресноводные и морские рыбы, как, например, форель, карпы, угри, рептилии, насекомые, как, например, медоносные пчелы и шелковичные черви. К лабораторным и подопытным животным относятся мыши, крысы, морские свинки, золотистые хомяки, собаки и кошки. К декоративным животным относятся собаки и кошки. Применение может проводиться как профилактически, так и терапевтически. Естественно, в качестве фармацевтических препаративных форм пригодными согласно изобретению являются только такие, которые содержат активное вещество в виде твердого вещества в кристаллической модификации I. Препаративные формы, содержащие активное вещество исключительно в растворенной или аморфной форме, не обладают описанными преимуществами. Применение активных веществ происходит непосредственно или в форме подходящих готовых форм энтеральным, парэнтеральным, дермальным способом, через нос, обработкой окружающей среды или с помощью содержащих активное вещество формованных изделий, как, например, полосы, пластины, ленты, ошейники, ушные метки, повязки на конечности, маркировочные аппараты. Энтеральное применение активных веществ происходит, например, орально в форме порошков, таблеток, капсул, паст, напитков, гранулятов, суспензий, пилюль, кормов или питьевой воды, содержащих лекарственные средства. Дермальное применение происходит, например, в виде окунания (погружения), опрыскивания (распыления) или облива (полностью и местами). Парэнтеральное применение происходит, например, в виде инъекций (внутримышечных, подкожных, внутривенных, внутриперитонеальных) или через имплантаты. Подходящими готовыми формами являются: Препаративные формы в виде настоев, гели. Суспензии для орального или дермального применения, а также для инъекций; полутвердые готовые формы. Препаративные формы, в которых активное вещество использовано в мазевой основе или в эмульсионной основе масло в воде или вода в масле. Твердые готовые формы, как, порошки, премиксы или концентраты, грануляты, гранулы, таблетки, пилюли, капсулы; аэрозоли и ингаляторы, содержащие активное вещество формованные изделия. Препаративными формами в виде настоев обливают или обрызгивают ограниченные области кожи, причем активное вещество проникает в кожу и оказывает системное воздействие. Препаративные формы в виде настоев получают способом, по которому активное вещество суспендируют в подходящих приемлемых для кожи жидких вспомогательных веществах или смесях. В случае необходимости добавляют другие вспомогательные вещества, как красители, способствующие ресорбции вещества, антиоксиданты, светостабилизаторы, улучшающие адгезию вещества. Жидкими вспомогательными веществами являются: вода, алканол, гликоль, полиэтиленгликоль, пропиленгликоль, полипропиленгликоль, глицерин, сорбитол, феноксиэтанол, сложные эфиры, как этилацетат, простые эфиры, как алкиленгликольалкиловый эфир, как дипропиленгликольмонометиловый эфир, диэтиленгликольмоно-бутиловый эфир, ароматические и/или алифатические углеводороды, растительные или синтетические масла, 2,2-диметил-4-окси-метилен-1,3-диоксолан. Кроме того, называют: парафиновые масла, силиконовые масла, природные растительные масла, как кунжутное масло, миндальное масло, касторовое масло, синтетические триглицериды, как биглицерид каприл/каприновой кислоты, смесь триглицерида с растительными жирными кислотами с длиной цепи 8-12 атомов углерода или другими специально подобранными естественными жирными кислотами, смеси частичных глицеридов с насыщенными или ненасыщенными, возможно также содержащими гидроксильные группы, жирными кислотами, моно- и диглицериды жирных кислот с 8-10 атомами углерода. Сложные эфиры жирных спиртов, как этилстеарат, ди-н-бутирил-адипат, сложный гексиловый эфир лауриновой кислоты, дипропилен-гликольпеларгонат, сложные эфиры разветвленных жирных кислот со средней длиной цепи с насыщенными жирными спиртами с длиной цепи 16-18 атомов углерода, изопропилмиристат, изопропилпальмитат, сложный эфир каприл/каприновой кислоты насыщенных жирных спиртов с длиной цепи 12-18 атомов углерода, изопропилстеарат, сложный олеиловый эфир олеиновой кислоты, сложный дециловый эфир олеиновой кислоты, этилолеат, сложный этиловый эфир молочной кислоты, воскообразные сложные эфиры жирных кислот, как искусственный смазочный материал из утиной гузки, дибутилфталат, диизопропиловый эфир адипиновой кислоты, подобные последнему смеси сложных эфиров и др. Жирные спирты, как изотридециловый спирт, 2-октилдодеканол, цетилстеариловый спирт, олеиловый спирт. Жирные кислоты, как, например, олеиновая кислота и ее смеси. Красителями являются все красители, допущенные к применению на животных, которые могут быть растворены или суспендированы. Веществами, способствующими ресорбции, являются, например, ДМСО, растекающиеся масла, как изопропилмиристат, дипропиленгликольпеларгонат, силиконовые масла, сложные эфиры жирных кислот, триглицериды, жирные спирты. Антиоксидантами являются сульфиты или метабисульфиты, как метабисульфит калия, аскорбиновая кислота, бутилгидрокситолуол, бутилгидроксианизол, токоферол, пропилгаллат. Светостабилизаторами являются, например, новантизоловые кислоты. Веществами, улучшающими адгезию, являются, например, производные целлюлозы, производные крахмала, полиакрилаты, естественные полимеры, как альгинат, желатин. В качестве других вспомогательных веществ называют: вещества, повышающие вязкость и стабилизирующие суспензию, как карбоксиметилцеллюлоза, метилцеллюлоза и другие производные целлюлозы и крахмала, полиакрилаты, альгинат, желатин, гуммиарабик, поливинилпирролидон, поливиниловый спирт, сополимеры из простого метилвинилового эфира и ангидрида малеиновой кислоты, полиэтиленгликоль, воск, коллоидные кремниевые кислоты или смеси указанных веществ. Суспензии могут применяться орально, дермально или в виде инъекций. Суспензии получают способом, по которому активное вещество суспендируют в жидкости-носителе, при необходимости, при добавлении других вспомогательных веществ, как смачиватели, красители, улучшающие ресорбцию вещества, консерванты, антиоксиданты, светостабилизаторы. В качестве смачивателей (диспергаторов) называют: неионогенные поверхностно-активные вещества, например, полиоксиэтилированное касторовое масло, полиоксиэтилированный сорбитанмоноолеат, сорбинатмоностеарат, глицеринмоностеарат, полиоксиэтилстеарат, простой алкилфенолполигликолевый эфир. Амфолитические поверхностно-активные вещества, как ди-натрий-N-лаурил- Анионактивные поверхностно-активные вещества, как натрий-лаурилсульфат, алкилсульфат, моноэтиноламиновая соль моно/диалкилполигликолевого эфира ортофосфорной кислоты. Следующие вспомогательные вещества, указанные далее, приведены выше. Полутвердые готовые формы могут применяться орально или дермально. Они отличаются от указанных выше суспензий и эмульсий только более высокой вязкостью. Для получения твердых готовых форм активное вещество смешивают с подходящими носителями, при необходимости, при добавлении вспомогательных веществ и применяют в предпочтительной форме. В качестве носителей используют все физиологически приемлемые твердые инертные вещества. Такими веществами являются неорганические и органические вещества. Неорганическими веществами являются, например, поваренная соль, карбонаты, как карбонат кальция, гидрокарбонаты, оксиды алюминия, кремниевые кислоты, глина, осажденный или коллоидный диоксид кремния, фосфаты. Органическими веществами являются, например, сахар, целлюлоза, пищевые продукты и корма, как сухое молоко, мука животного происхождения, зерновая мука и крупа, крахмал. Вспомогательными веществами являются консерванты, антиоксиданты, красители, которые уже были представлены выше. Следующими вспомогательными веществами являются внутренняя смазка и внешняя смазка, как, например, стеарат магния, стеариновая кислота, тальк, бентониты, вещества, способствующие разложению, как крахмал или образующий поперечные связи поливинилпирролидон, связующие агенты, как крахмал, желатин или линейный поливинилпирролидон, а также сухие связующие агенты, как микрокристаллическая целлюлоза. Препаративные формы могут содержать активные вещества также в смеси с синергистами или с другими активными веществами, действующими против патогенных эндопаразитов. Такими активными веществами являются, например, L-2,3,5,6-тетрагидро-6-фенилимидазотиазол, бензимидазолкарбаматы, празикуантель, пирантель, фебантель. Готовые к применению формы содержат активное вещество в концентрациях от 10 частей на миллион до 20 мас.%, предпочтительно 01-10 мас.%. Готовые формы, разбавляемые перед применением, содержат активное вещество в концентрациях 0,5-90 мас.%, предпочтительно 5-50 мас.%. Обычно для достижения эффективных результатов оказывается предпочтительно применение от около 0,1 до около 100 мг активного вещества на кг массы тела в день. Примеры Пример 1: эффективность модификаций I-IV депсипептида формулы (I) при различных оральных дозировках относительно Haemonchus contortus у овец Овец (мериносы или черноголовая порода, с массой тела 25-35 кг) в целях исследования инфицируют личинками 5000 Н contortus L3 и в конце периода препарирования паразитов обрабатывают сформулированным исследуемым веществом. Исследуемые соединения вводят орально (в желатиновых капсулах). Противоглистную эффективность исследуемых веществ измеряют в виде функции сокращения числа яиц на грамм кала. Для этого обрабатывают свежий кал от подопытных животных в соответствии с методом McMaster, модифицированного согласно Wetzel, и определяют число яиц. Определение числа яиц происходит через равномерные промежутки времени перед и после обработки. Противоглистную эффективность определяют следующим образом: 3=>95%, 2=75-95%, 1=50-75% и 0=<50% сокращения яиц (также смотри G. von Samson-Himmelstjerna, A.Harder, Т.Schnieder, J.Kalbe, N.Mencke (2000) In vivo activities of the new anthelmintic depsipeptide PF1022A. Parasitol. Res. 86:194-199).
Пример 2: Эффективность модификаций I и IV депсипептида формулы (I) при различных оральных дозировках относительно Cooperia oncophora у коров Коров (порода: Hostein Friesean, вид: Bos taurus, телята или молодняк массой до около 200 кг) в целях исследования инфицируют личинками 15000 С.oncophora L3. После успешного инфицирования (время препарирования около 18-21 дней) в течение одной недели три раза определяют число яиц на грамм кала. Затем (день 0 = день обработки) животным вводят сформулированное исследуемое вещество орально (в желатиновых капсулах) или подкожно. Противоглистную эффективность исследуемых веществ измеряют в виде функции сокращения числа глистов (в % к необработанным контрольным образцам) в тонкой кишке после убоя животных (через 10 дней после обработки) (также смотри G. von Samson-Himmelstjerna, A.Harder, T.Schnieder, J.Kalbe, N.Mencke (2000) In vivo activities of the new anthelmintic depsipeptide PF1022A. Parasitol. Res. 86:194-199.).
Эффективность указывают в % сокращения глистов по сравнению с необработанными контрольными образцами в исследовании убойных качеств.
Формула изобретения
1. Средство для борьбы с эндопаразитами у животных, содержащее депсипептид формулы (I) в виде твердого вещества в кристаллической модификации I. 2. Средство по п.1, содержащее до, по крайней мере, 50% депсипептида формулы (I) в кристаллической модификации I. 3. Средство по п.1, содержащее до, по крайней мере, 80% депсипептида формулы (I) в кристаллической модификации I. 4. Средство по п.1, содержащее до, по крайней мере, 90% депсипептида формулы (I) в кристаллической модификации I. 5. Средство по п.1, содержащее до, по крайней мере, 99% депсипептида формулы (I) в кристаллической модификации I. 6. Способ борьбы с эндопаразитами у животных, включающий введение животным эффективного количества депсипептида формулы (I) в кристаллической модификации I, охарактеризованного в п.1.
PC4A – Регистрация договора об уступке патента СССР или патента Российской Федерации на изобретение
Прежний патентообладатель:
(73) Патентообладатель:
Договор № РД0071711 зарегистрирован 27.10.2010
Извещение опубликовано: 10.12.2010 БИ: 34/2010
|
||||||||||||||||||||||||||||||||||||||||||||||||||||||||||||||||||||||||||||



-иминодипропионат или лецитин.