|
|
(21), (22) Заявка: 2005134299/14, 07.11.2005
(24) Дата начала отсчета срока действия патента:
07.11.2005
(46) Опубликовано: 10.06.2007
(56) Список документов, цитированных в отчете о поиске:
RU 2048789 С1, 27.11.1995. RU 2123277 C1, 20.12.1998. ШАХОВ Э.К. и др. Моделирование процесса измерения артериального давления. Вычислительные системы и технологии обработки информации. Межвузовский сборник научных трудов. Вып.2 (28), Пенза, инф. изд. ПТУ, 2003, с.18-29. Микрокомпьютерные медицинские системы. Под ред У.Томпкинса и др. М., Мир, 1983. с.382-384. FR 2593380 А1, 31.07.1987.
Адрес для переписки:
430000, г.Саранск, ул. Большевистская, 68, ГОУВПО “МГУ им. Н.П. Огарева”, отдел патентов и стандартов
|
(72) Автор(ы):
Шахов Эдуард Константинович (RU), Федосин Сергей Алексеевич (RU), Акинин Владимир Владимирович (RU)
(73) Патентообладатель(и):
Государственное образовательное учреждение высшего профессионального образования “Мордовский государственный университет им. Н.П. Огарева” (RU)
|
(54) СПОСОБ МОНИТОРИНГА АРТЕРИАЛЬНОГО ДАВЛЕНИЯ И УСТРОЙСТВО ДЛЯ ЕГО ОСУЩЕСТВЛЕНИЯ
(57) Реферат:
Изобретение относится к медицинской технике и может быть использовано при непрерывном слежении за параметрами артериального давления у человека. Способ мониторинга артериального давления предусматривает восприятие пульсовых колебаний в месте расположения артерии к поверхности кожного покрова и пересчете значений этих колебаний в значения артериального давления с помощью масштабного коэффициента, получаемого в процессе индивидуальной калибровки в виде отношения амплитуды пульсовых колебаний к разности верхнего и нижнего значений артериального давления. Пульсовые колебания преобразуют в световой поток, воспринимающийся фотоэлектрическим датчиком, запоминают амплитуду калибровочного импульса, а также значение выходной величины фотоэлектрического датчика, соответствующего нулевому значению артериального давления, для чего кратковременно отключают источник света и фиксируют значение темнового тока, а затем кратковременно переключают источник света непосредственно на вход фотоэлектрического датчика через калибровочный световод, фиксируют значение фототока и путем вычитания из него значение темнового тока получают амплитуду калибровочного импульса. Значение выходной величины фотодатчика получают путем вычитания из значения выходной величины фотоэлектрического датчика, соответствующего верхнему или нижнему значению артериального давления, величины, равной произведению верхнего или нижнего значения артериального давления и масштабного коэффициента, а значение артериального давления определяют путем вычитания из текущего значения выходной величины фотоэлектрического датчика значения, соответствующего нулевому значению артериального давления, и умножения полученной разности на масштабный коэффициент. Периодически повторяют определение амплитуды калибровочного импульса и значения выходной величины фотоэлектрического датчика с учетом отношения амплитуды калибровочного импульса при градуировке к его текущей амплитуде. Для осуществления способа устройство включает микроконтроллер, источник света, расположенный над входами калибровочного и выходного световодов, а выходы калибровочного и входного световодов расположены под фотоэлектрическим датчиком, соединенным с микроконтроллером. В средней части калибровочного световода расположен полупрозрачный клин, а между источником света и входом калибровочного световода шторка с возможностью перекрытия светового потока. Изобретение позволяет упростить реализацию способа измерения артериального давления. 2 н.п. ф-лы, 1 ил.
Изобретение относится к медицинской технике и может быть использовано при непрерывном слежении за параметрами артериального давления у человека.
Известен тонометрический датчик, представляющий собой матрицу из точечных датчиков давления, которая надежно перекрывает область залегания артерии. Тонометрический датчик используется в сочетании с микропроцессором для обработки его сигнала (Микрокомпьютерные медицинские системы. Под ред. У.Томпкинса, Дж.Уэбстера. “Мир”, М.: 1983, с.382-384).
Для получения приемлемой точности известный способ требует периодической калибровки, индивидуальной для каждого пациента путем сравнения показаний с верифицирующим методом уравновешивающего преобразования. Большим недостатком тонометрирования является высокая “критичность” к точности расположения тонометрического датчика по отношению к артерии, что приводит к усложнению процесса измерения. Кроме того, способ предполагает автоматическое поддержание во время измерения постоянства силы прижатия датчика к месту измерения, что существенно усложняет схему и конструкцию прибора.
Технический результат заключается в упрощении реализации способа измерения артериального давления.
Технический результат достигается тем, что устройство для измерения артериального давления, включающее микроконтроллер, содержит источник света, расположенный над входами калибровочного и входного световодов, а выходы калибровочного и выходного световодов расположены под фотоэлектрическим датчиком, соединенным с микроконтроллером. В средней части калибровочного световода расположен полупрозрачный клин, а между источником света и входом калибровочного световода – шторка с возможностью перекрытия светового потока.
В способе мониторинга артериального давления путем восприятия датчиком пульсовых колебаний в месте расположения артерии к поверхности кожного покрова и пересчета значений этих колебаний в значения артериального давления с помощью масштабного коэффициента, получаемого в процессе индивидуальной настройки для пациента и определяемого как отношение амплитуды пульсовых колебаний к разности верхнего и нижнего значений артериального давления, пульсовые колебания преобразуют в световой поток, воспринимающийся фотоэлектрическим датчиком, запоминают значение выходной величины фотоэлектрического датчика, соответствующего нулевому значению артериального давления, значение которой получают путем вычитания из значения выходной величины фотоэлектрического датчика, соответствующего верхнему или нижнему значению артериального давления, величины, равной произведению верхнего или нижнего значения артериального давления на масштабный коэффициент, а значение артериального давления определяют путем вычитания из текущего значения выходной величины фотоэлектрического датчика значения, соответствующего нулевому значению артериального давления, и делению полученной разности на масштабный коэффициент, т.е.
где
Рa – значение артериального давления;
Iф – текущее значение выходной величины фотоэлектрического датчика;
Iф0 – значение выходной величины фотоэлектрического датчика, соответствующего нулевому значению артериального давления;
– масштабный коэффициент.
Периодически осуществляют калибровку прибора, состоящую в том, что кратковременно выключают источник света и запоминают значение темнового тока, а затем кратковременно переключают источник света непосредственно на вход фотоэлектрического датчика через калибровочный световод, фиксируют значение фототока, и путем вычитания из него значения темнового тока получают амплитуду калибровочного импульса, после чего уточняют значение масштабного коэффициента и значения выходной величины фотоэлектрического датчика, соответствующего нулевому значению артериального давления с учетом отношения амплитуды калибровочного импульса при индивидуальной настройке к его текущей амплитуде.
На чертеже представлена схема устройства, реализующего предлагаемый способ. Устройство содержит источник света 1, расположенный над входами калибровочного 2 и входного 3 световодов. Выходы калибровочного 2 и выходного 4 световодов расположены под фотоэлектрическим датчиком 5, соединенным с микроконтроллером 6, который в свою очередь соединен с регистрирующим устройством 7. В средней части калибровочного световода 2 расположен полупрозрачный клин 8. Между источником света 1 и входом калибровочного световода 2 расположена шторка 9 с возможностью перекрытия светового потока.
Для реализации способа на чертеже также показаны: мягкая часть манжеты 10, гибкая часть манжеты 11, мягкие ткани конечности 12, артерия 13 и запорное устройство 14.
Способ осуществляют следующим образом. На конечность пациента одевают устройство таким образом, чтобы входной 3 и выходной 4 световоды перекрывали область предположительного залегания артерии 13. Положение устройства на конечности фиксируют при помощи мягкой части манжеты 10, гибкой части манжеты 11 и запорным устройством 14. Микроконтроллер 6 наряду с оцифровкой значений выходного сигнала фотоэлектрического датчика 5 и обработкой их с целью вычисления значений артериального давления выполняет также функции устройства управления (включения и выключения источника света 1, перемещения шторки 9). Выходной сигнал фотоэлектрического датчика 5 содержит две составляющие: составляющую, пропорциональную интенсивности светового потока, отраженного от артерии 13, и шумовую составляющую. Практически первая составляющая пропорциональна объему артерии, который, в свою очередь, пропорционален артериальному давлению, так как кривая объемного расширения артерии в зависимости от избыточного давления носит практически линейный характер. Таким образом, первая составляющая выходной величины фотоэлектрического датчика 5 повторяет в некотором масштабе кривую изменения артериального давления. Если этот масштаб известен, первая составляющая несет исчерпывающую информацию об изменении артериального давления во времени.
Для определения масштаба расшифровки выходного сигнала фотоэлектрического датчика 5 производится индивидуальная (для каждого пациента) градуировка. В процессе градуировки параллельно с работой устройства измеряется верхнее Pав и нижнее Pан значения артериального давления одним из известных способов. Микроконтроллер 5 определяет и запоминает масштабный коэффициент преобразования измерительного канала по формуле

где: Iфв и Iфн – значения выходной величины фотоэлектрического датчика 5, соответствующие значениям Pав и Pан артериального давления.
АЦП микроконтроллера 5 преобразует непрерывный сигнал с выхода фотоэлектрического датчика 5 в равномерную последовательность цифровых отсчетов. Программными средствами реализуется выделение экстремумов, в результате чего могут быть получены цифровые эквиваленты величин Iфв и Iфн. При измерении значений Iфв и Iфн шторка 9 перекрывает калибровочный световод 2 (привод шторки 9, управляемый программно микроконтроллером 6 – на фиг.1 не показан). Следует отметить, что перекрытие световодов может осуществляться без механических деталей с помощью жидкокристаллических экранов, управляемых электрическим сигналом. Измеренные автономным прибором значения Pав и Pан могут вводиться в микроконтроллер 5 вручную или автоматически.
Следующая операция, выполняемая в процессе градуировки, состоит в определении значения выходной величины фотоэлектрического датчика 5, соответствующего нулевому значению артериального давления (т.е. начала отсчета артериального давления в масштабе выходной величины фотоэлектрического датчика 5). С этой целью из дискретного значения выходного сигнала фотоэлектрического датчика 5, соответствующего значению Pав (или Pан), вычитается составляющая выходной величины фотоэлектрического датчика 5, соответствующая текущему значению Pав (или Ран), т.е.

где: Рмт – составляющая выходного сигнала фотоэлектрического датчика 5, соответствующая световому потоку, отраженному от мягких тканей 12 конечности (для удобства последующих преобразований эта составляющая выражена через масштабный коэффициент , поэтому величина Рмт представляет собой в эквиваленте некоторое давление, соответствующее интенсивности светового потока, отраженного от мягких тканей 12).
Для исключения влияния на точность измерения темнового тока, являющегося источником аддитивной погрешности, из выражения (2) вычитается его значение Iфт, получаемое выключением на короткое время источника света 1. В результате выражение (2) преобразуется к виду

Для исключения влияния мультипликативной погрешности, вызываемой изменением чувствительности фотоэлектрического датчика 5 или интенсивности светового потока источника света 1 (или того и другого), в процессе градуировки производится запоминание амплитуды калибровочного импульса. С этой целью шторка 9 на короткое время перекрывает основной световой канал и открывает калибровочный световод 2. Для амплитуды калибровочного импульса получим

или, за вычетом темнового тока

Здесь, как и ранее, для удобства последующих выкладок Pк представляет собой в эквиваленте некоторое давление, соответствующее интенсивности светового потока, прошедшего через полупрозрачный клин 8.
По окончании градуировки система переходит в режим непрерывной регистрации артериального давления. С течением времени и в результате воздействия других влияющих факторов могут изменяться параметры основных в метрологическом отношении элементов схемы – фотоэлектрического датчика 5 и источника света 1. Пусть темновой ток фотоэлектрического датчика 5 получил приращение Iфт и масштабный коэффициент (чувствительность) фотоэлектрического датчика 5 – приращение  (причем в этом приращении учтено как изменение коэффициента передачи фотоэлектрического датчика 5, так и возможное изменение интенсивности светового потока от источника света 1). Пусть также в процессе мониторинга периодически запоминаются текущие значения темнового тока и амлитуды калибровочного импульса


или, за вычетом темнового тока

Запишем выражение для текущего значения выходной величины фотоэлектрического датчика 5

Если время между калибровками и замерами темнового тока выбрано таким, что изменением параметров элементов за это время можно пренебречь, то после ввода коррекции по темновому току выражение (9) примет вид

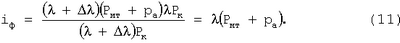
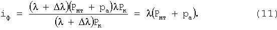
В соответствии с алгоритмом ввода поправки на изменение параметров системы, о котором было сказано выше, умножим выражение (10) на амплитуду (5) калибровочного импульса, которая была запомнена в процессе градуировки, и поделим на текущее значение (8) амплитуды калибровочного импульса. В результате получим

Окончательный результат получим, вычитая из выражения (11) значение выходной величины (3) фотоэлектрического датчика 5, соответствующее нулевому значению артериального давления

исходя из которой можно вычислить значение артериального давления как

Таким образом, текущее значение артериального давления связано с величиной iф-Iф00 через масштабный коэффициент , значение которого совпадает с градуировочным. Следовательно, обеспечивается полная коррекция погрешностей, источниками которых являются нестабильность интенсивности светового потока источника света 1, темнового тока и чувствительности фотоэлектрического датчика 5.
По сравнению с известным решением при реализации заявляемых способа и устройства исключается необходимость автоматической стабилизации значения внешнего давления прижатия фотоэлектрического датчика к артерии, поскольку измерение происходит при нулевом внешнем давлении. Тем самым полностью отсутствует искажение гемодинамики артерии в процессе измерений. Кроме того, значительно упрощается и удешевляется конструкция устройства, реализующего процесс измерения. Все это приводит к упрощению процесса измерения артериального давления.
Формула изобретения
1. Устройство для измерения артериального давления, включающее микроконтроллер, отличающееся тем, что оно содержит источник света, расположенный над входами калибровочного и входного световодов, а выходы калибровочного и выходного световодов расположены под фотоэлектрическим датчиком, соединенным с микроконтроллером, при этом в средней части калибровочного световода расположен полупрозрачный клин, а между источником света и входом калибровочного световода расположена шторка с возможностью перекрытия светового потока.
2. Способ мониторинга артериального давления путем восприятия датчиком пульсовых колебаний в месте расположения артерии к поверхности кожного покрова и пересчета значений этих колебаний в значения артериального давления с помощью масштабного коэффициента, получаемого в процессе индивидуальной градуировки для пациента и определяемого как отношение амплитуды пульсовых колебаний к разности верхнего и нижнего значений артериального давления, отличающийся тем, что пульсовые колебания преобразуют в световой поток, воспринимающийся фотоэлектрическим датчиком, запоминают значение выходной величины фотоэлектрического датчика, соответствующего нулевому значению артериального давления, значение которой получают путем вычитания из значения выходной величины фотоэлектрического датчика, соответствующего верхнему или нижнему значению артериального давления, величины, равной произведению верхнего или нижнего значения артериального давления на масштабный коэффициент, а значение артериального давления определяют путем вычитания из текущего значения выходной величины фотоэлектрического датчика значения, соответствующего нулевому значению артериального давления и деления, полученной разности на масштабный коэффициент, т.е.
где P – значение артериального давления;
Iф – текущее значение выходной величины фотоэлектрического датчика;
Iф,0 – значение выходной величины фотоэлектрического датчика, соответствующего нулевому значению артериального давления;
– масштабный коэффициент,
при этом периодически осуществляют калибровку прибора, состоящую в том, что кратковременно выключают источник света и запоминают значение темнового тока, а затем кратковременно переключают источник света непосредственно на вход фотоэлектрического датчика через калибровочный световод, фиксируют значение фототока и путем вычитания из него значения темнового тока получают амплитуду калибровочного импульса, после чего уточняют значение масштабного коэффициента и значения выходной величины фотоэлектрического датчика, соответствующего нулевому значению артериального давления с учетом отношения амплитуды калибровочного импульса при индивидуальной градуировке к его текущей амплитуде.
РИСУНКИ
MM4A – Досрочное прекращение действия патента СССР или патента Российской Федерации на изобретение из-за неуплаты в установленный срок пошлины за поддержание патента в силе
Дата прекращения действия патента: 08.11.2007
Извещение опубликовано: 27.07.2009 БИ: 21/2009
|
|