|
|
(21), (22) Заявка: 2005139808/09, 20.12.2005
(24) Дата начала отсчета срока действия патента:
20.12.2005
(46) Опубликовано: 27.05.2007
(56) Список документов, цитированных в отчете о поиске:
ЕР 0474234 А2, 11.03.1992. RU 2022335 C1, 30.10.1994. US 2001045936 A1, 29.11.2001. JP 7281831 А, 27.10.1995.
Адрес для переписки:
121165, Москва, а/я 15, ООО “ППФ-ЮСТИС”, пат.пов. Л.С.Пилишкиной
|
(72) Автор(ы):
Востриков Сергей Львович (RU)
(73) Патентообладатель(и):
Общество с ограниченной ответственностью “Майкрокс” (RU)
|
(54) СПОСОБ ВВОДА ДАННЫХ
(57) Реферат:
Заявленный способ относится к средствам ввода информации и может быть использован для ввода широкого спектра данных с использованием манипулятора. Техническим результатом изобретения является увеличение количества определенных в обеспечение ввода данных типов движений манипулятором и соответствующих им вариантов содержания вводимой информации. Указанный результат достигается путем повторяемого выполнения: установления начала отсчета значений параметров определения значений параметров, сравнения этих значений с наборами условий выбора пространственных областей из множества таких областей, включающих, по крайней мере, условие принадлежности этой пространственной области значений параметров, соответствующих перемещению манипулятора, записи последовательности выбора пространственных областей, сравнения этой записи с определенным множеством последовательностей выбора пространственных областей, выполнения ввода данных из множества данных, связанных с совпавшей последовательностью. 1 ил.
Область использования.
Заявленный способ относится к средствам ввода информации с использованием, преимущественно, вычислительной техники и может быть применен для ввода с помощью манипулятора широкого спектра данных, включая символы, числа, команды. Предшествующий уровень техники
Известна «Система управления прокруткой» (патент № ЕР 0474234), включающая мышь для ввода данных перемещения курсора, секцию сдвига курсора для сдвига курсора в соответствии с данными перемещения курсора от мыши, вычислитель перемещения курсора для вычисления перемещения курсора от центральной точки в окне на основе данных перемещения курсора и координат центральной точки окна, и секции прокрутки для прокрутки изображений в окне с направлением и скоростью, соответствующей направлению и дистанции перемещения курсора от центральной точки окна на основе перемещения курсора, вычисленного вычислителем перемещения курсора. Когда курсор перемещают мышью, прокрутка связана с движением курсора. Направление и скорость прокрутки определяется на основе направления и дистанции перемещения курсора от центральной точки окна.
Из приведенного описания следует, что фактическим результатом работы этой системы является ввод информации в виде команд прокрутки, с параметрами направления и скорости прокрутки. Ввод этих команд выполняется с помощью манипулятора-указателя, например, типа «мышь». Принимают эти команды средства, обеспечивающие отображение информации в окне и используют ее путем выполнения определенного режима прокрутки. Недостатком указанной системы является малое количество определенных в обеспечение ввода информации типов движений манипулятором-указателем, характеризующихся только величиной и направлением перемещения манипулятора, и соответствующих им вариантов содержания вводимой информации, в данном случае скорости прокрутки изображений в окне.
Техническим результатом изобретения является реализация возобновляемого процесса ввода данных из определенного множества данных в результате выполнения движений манипулятором-указателем, соответствующих определенному множеству типов таких движений. При этом каждый тип движения манипулятором-указателя характеризуется последовательностью его перемещений, соответствующих одной из множества определенных последовательностей множества определенных диапазонов величины и направления, а также, возможно, других параметров перемещения манипулятора. Вместе с тем данные могут представлять собой фрагменты информации любого формата и любого объема, в том числе: числа, символы, команды, текстовые блоки, растровые или векторные графические изображения, файлы, базы данных. Это позволяет расширить возможности использования манипулятора для ввода данных за счет обеспечения практически неограниченного увеличения количества определенных в обеспечение ввода информации типов движений манипулятором-указателем, а также количества соответствующих им вариантов содержания вводимой информации.
Технический результат осуществления изобретения достигается в способе ввода данных следующим образом:
до начала ввода данных формируют в средствах, используемых при вводе данных информацию
о множестве параметров, из которых одна часть, абсолютных параметров, имеет неизменяемое при выполнении ввода данных начало отсчета значений, и включает, по крайней мере, параметры, соответствующие абсолютному положению манипулятора,
другая часть, относительных параметров, имеет устанавливаемое при выполнении ввода данных начало отсчета таких параметров с использованием значений абсолютных параметров и включает, по крайней мере, параметры, соответствующие перемещению манипулятора, имеющие начало отсчета, которое устанавливают с использованием значений параметров, соответствующих абсолютному положению манипулятора,
о, по крайней мере, одном варианте непустого множества взаимно неперекрывающихся, односвязных, замкнутых двумерных или трехмерных пространственных областей значений параметров, соответствующих перемещению манипулятора,
об установленном соответствии каждого порядкового номера элемента последовательности выбора пространственных областей одному из вариантов множества пространственных областей,
о непустом множестве последовательностей выбора пространственных областей из вариантов множества пространственных областей, соответствующих порядковым номерам элементов этих последовательностей, включающем из числа возможных последовательностей, по крайней мере, все несовпадающие друг с другом и с начальными частями друг друга последовательности, где каждая последовательность устанавливает соответствие элементов указанных вариантов множеств пространственных областей порядковым номерам элементов последовательности,
о непустом множестве данных, где каждый элемент данных содержит атрибуты доступа к соответствующей этому элементу данных информации,
о непустом множестве связей элементов множества данных с последовательностями из множества последовательностей выбора пространственных областей,
об условиях выбора пространственных областей в вариантах множеств пространственных областей, при этом для каждой пространственной области определено непустое множество наборов таких условий,
выполнение каждого условия соответствует принадлежности значений некоторых параметров определенной области таких значений, за исключением абсолютных параметров, значения которых используют для установления начала отсчета относительных параметров,
каждый набор условий выбора пространственной области включает, по крайней мере, условие принадлежности этой пространственной области значений параметров, соответствующих перемещению манипулятора,
хотя бы одна пространственная область в каждом варианте множества пространственных областей, соответствующем какому-либо порядковому номеру элемента последовательностей выбора пространственных областей, имеет хотя бы один набор условий ее выбора, не включающих необратимо изменяемых параметров,
о текущем порядковом номере элемента последовательности выбора пространственных областей, соответствующем началу последовательности,
при выполнении ввода данных
с помощью средств определения параметров определяют значения абсолютных параметров, используемые для установления начала отсчета относительных параметров, включая, по крайней мере, значения параметров, соответствующие абсолютному положению манипулятора, и используемые для установления начала отсчета параметров, соответствующих перемещению манипулятора,
после чего с помощью средств определения параметров определяют значения параметров из множества параметров, используемые в условиях выбора пространственных областей, при этом значения относительных параметров, включающие, по крайней мере, значения параметров, соответствующие перемещению манипулятора, отсчитывают от установленного начала их отсчета,
с помощью средств сравнения параметров выявляют принадлежность значений параметров используемых в условиях выбора пространственных областей областям значений параметров указанных условий, входящих в наборы условий выбора пространственных областей из варианта множества пространственных областей, соответствующего текущему порядковому номеру элемента последовательности выбора пространственных областей,
при отсутствии принадлежности значений параметров, используемых в условиях выбора пространственных областей, какому-либо набору условий выбора какой-либо пространственной области из указанного варианта множества пространственных областей, повторяют вышеуказанные действия, начиная с определения значений параметров,
в случае принадлежности значений параметров, используемых в условиях выбора пространственных областей, какому-либо набору условий выбора какой-либо пространственной области из указанного варианта множества пространственных областей, с помощью средств формирования последовательности выполняют запись информации, фиксирующей соответствие выполненного таким образом выбора этой пространственной области текущему порядковому номеру элемента последовательности выбора пространственных областей,
и с помощью средств сравнения последовательностей сравнивают полученную в порядке номеров, начиная с номера, соответствующего началу последовательности, запись информации, соответствующей элементам последовательности выбора пространственных областей с последовательностями множества последовательностей выбора пространственных областей,
в случае совпадения указанной записи информации с одной из последовательностей множества, с помощью средств ввода информации получают информацию в соответствии с атрибутами доступа, содержащимися в элементе данных, связанном с этой последовательностью, выполняют ввод этой информации
и повторяют вышеуказанные действия, начиная с определения значений абсолютных параметров, используемых для установления начала отсчета относительных параметров,
если при этом произошло совпадение указанной записи информации с одной из несовпадающих друг с другом и с начальными частями друг друга последовательностей, устанавливают значение текущего порядкового номера элемента последовательности выбора пространственных областей, соответствующее началу последовательности,
иначе, устанавливают значение текущего порядкового номера элемента последовательности выбора пространственных областей, соответствующего следующему порядковому номеру элемента последовательности по отношению к последнему элементу последовательности, для которого была выполнена указанная запись информации.
Отличительные признаки заявленного способа от описанного выше аналога, обеспечивающие достижение указанного технического результата включают операции:
– выявления принадлежности значений параметров используемых в условиях выбора пространственных областей областям значений параметров указанных условий, входящих в наборы условий выбора пространственных областей из варианта множества пространственных областей, соответствующего текущему порядковому номеру элемента последовательности выбора пространственных областей,
выполнение этой операции является промежуточным шагом процедуры определения типа движения манипулятором и необходимо для установления факта соответствия перемещения манипулятора одному из множества определенных диапазонов величины, направления и других параметров перемещения манипулятора;
– повторения действий, начиная с определения значений параметров, выполняемого при отсутствии принадлежности значений параметров, используемых в условиях выбора пространственных областей, какому-либо набору условий выбора какой-либо пространственной области из указанного варианта множества пространственных областей,
выполнение этой операции является промежуточным шагом процедуры определения типа движения манипулятором и необходимо для обеспечения циклически возобновляемого выполнения предыдущей операции, до тех пор, пока не будет выявлена указанная принадлежность значений параметров, используемых в условиях выбора пространственных областей;
– записи информации, фиксирующей соответствие выполненного выбора пространственной области текущему порядковому номеру элемента последовательности выбора пространственных областей, выполняемой в случае принадлежности значений параметров, используемых в условиях выбора пространственных областей, какому-либо набору условий выбора какой-либо пространственной области из указанного варианта множества пространственных областей,
выполнение этой операции является промежуточным шагом процедуры определения типа движения манипулятором и необходимо для регистрации факта соответствия перемещения манипулятора одному из множества определенных диапазонов величины, направления и других параметров перемещения манипулятора;
– сравнения полученной в порядке номеров, начиная с номера, соответствующего началу последовательности, записи информации, соответствующей элементам последовательности выбора пространственных областей с последовательностями множества последовательностей выбора пространственных областей,
выполнение этой операции является промежуточным шагом процедуры определения типа движения манипулятором и необходимо для установления факта совпадения выполненной последовательности одной из множества определенных последовательностей множества определенных диапазонов величины, направления и других параметров перемещения манипулятора;
– получения информации в соответствии с атрибутами доступа, содержащимися в элементе данных, связанном с этой последовательностью и выполнения ввода этой информации, осуществляемого в случае совпадения записи указанной информации с одной из последовательностей множества, с помощью средств ввода информации
выполнение этой операции необходимо для установления факта совпадения выполненного движения манипулятором с одним из определенных типов движения манипулятором и одновременно обеспечивает достижение основного результата реализации заявленного способа – ввода данных из определенного множества данных, но выполнение этой операции не достаточно для прекращения определения типа движения манипулятором,
эта операция допускает возможность многократного ввода данных в ходе продолжающейся процедуры определения типа движения манипулятором при последовательном совпадении выполненного движения манипулятором с некоторыми определенными типами движения манипулятором, характеризующимися совпадающими друг с другом или с начальными частями друг друга последовательностями перемещения манипулятора;
– повторения действий, начиная с определения значений абсолютных параметров, используемых для установления начала отсчета относительных параметров,
выполнение этой операции является промежуточным шагом процедуры определения типа движения манипулятором и необходимо для обеспечения циклически возобновляемого сравнения выполненного движения манипулятором с определенными типами движения манипулятором, вместе с тем, выполнение этой операции обеспечивает безусловное возобновление процесса ввода данных;
– установления значения текущего порядкового номера элемента последовательности выбора пространственных областей, соответствующего началу последовательности, в случае, если при этом произошло совпадение указанной записи информации с одной из несовпадающих друг с другом и с начальными частями друг друга последовательностей,
выполнение этой операции является завершающим шагом текущей процедуры определения типа движения манипулятором и одновременно первым шагом новой такой процедуры, вместе с тем, выполнение этой операции является необходимым условием безостановочного возобновления процесса ввода данных;
– установления значения текущего порядкового номера элемента последовательности выбора пространственных областей, соответствующего следующему порядковому номеру элемента последовательности по отношению к последнему элементу последовательности, для которого была выполнена указанная запись информации, в случае, если не произошло совпадения указанной записи информации с одной из несовпадающих друг с другом и с начальными частями друг друга последовательностей,
выполнение этой операции является промежуточным шагом процедуры определения типа движения манипулятором и является необходимым условием возможности сравнения указанной информации с информацией об определенных типах движения манипулятором за счет обеспечения упорядоченной записи информации о последовательности выполненных перемещений манипулятором.
Выполнению ввода данных сопутствует определение значений различных параметров, которые образуют множество параметров, используемых при выполнении ввода данных. Часть параметров этого множества имеет неизменяемое при выполнении ввода данных начало отсчета значений этих параметров. Такие параметры могут быть обозначены как абсолютные параметры, поскольку образуют в рамках средств, используемых при вводе данных, абсолютную, то есть независимую от процесса выполнения ввода информации, систему отсчета этих параметров.
При этом значения части этих абсолютных параметров могут использоваться непосредственно при выполнении ввода данных для реализации соответствующих условий выбора пространственных областей. Значения остальной части абсолютных параметров используются только для определения начала отсчета других параметров указанного множества. В число абсолютных параметров, используемых для определения начала отсчета других параметров входят, по крайней мере, параметры, соответствующие абсолютному положению манипулятора. В качестве такого рода параметров могут быть использованы, например, параметры положения курсора на экране дисплея компьютера. Наряду с указанными параметрами, в число абсолютных параметров, используемых для определения начала отсчета других параметров, может быть также включен, например, параметр системного времени компьютера, используемый в таком случае для установления начала отсчета продолжительности перемещения манипулятора. Кроме того, в число абсолютных параметров могут входить параметры, обеспечивающие определение состояния нажатия кнопок манипулятора, например, в форме дискретных значений, соответствующих комбинации нажатия кнопок.
Наряду с абсолютными параметрами, множество параметров включает относительные параметры, которые имеют устанавливаемое при выполнении ввода данных начало отсчета их значений. В число таких параметров входят, по крайней мере, параметры, соответствующие перемещению манипулятора. Для установления начала отсчета таких параметров используются значения указанной выше части абсолютных параметров, в том числе параметров, соответствующих абсолютному положению манипулятора, используемых для установления начала отсчета параметров, соответствующих перемещению манипулятора.
Параметры, соответствующие перемещению манипулятора, могут представлять собой величину и направление перемещения манипулятора от точки, соответствующей началу координат. При этом в случае использования, например, декартовой системы координат, указанные параметры могут представлять собой величину и направление перемещения манипулятора вдоль осей координат, где направление определяется знаком приращения значений координат. В случае же использования полярной системы координат, величина перемещения равна расстоянию между началом координат и точкой, соответствующей перемещению манипулятора. В этом случае направление определяет, соответственно, один или два угла, в двух или трехмерной системе координат между прямой линией, соединяющей начало координат с указанной точкой и заданной прямой, проходящей через начало координат.
В представленном выше описании сущности изобретения предусматривается использование взаимно не перекрывающихся, односвязных, замкнутых двумерных или трехмерных пространственных областей значений, соответствующих перемещению манипулятора. В справочнике (Г.Корн, Т.Корн. Справочник по математике для научных работников и инженеров Т., 1968 г., 720 стр. с илл. перевод с английского под редакцией И.Г.Арамановича, раздел 4.3.6.) даны следующие определения. Точка Р есть предельная точка точечного множества S, если каждая окрестность точки Р содержит точки множества S, отличные от Р. Точка Р есть внутренняя точка множества S, если Р имеет окрестность, целиком содержащуюся в S. Предельная точка Р множества S, не являющаяся его внутренней точкой, есть граничная точка множества Р. Область есть открытое связное множество. Объединение открытой области и ее граничных точек есть замкнутая область. Множество является открытым, если оно состоит только из внутренних точек. Множество является связным, если его нельзя представить в виде объединения двух непересекающихся множеств, каждое из которых не содержит предельных точек другого. Область D на евклидовой плоскости называется односвязной, если любая простая замкнутая кривая, целиком принадлежащая D, может быть стянута в точку с помощью непрерывной деформации, не выходя из области D.
В соответствии с этими определениями, множества взаимно не перекрывающихся, односвязных, замкнутых пространственных областей значений параметров, соответствующих перемещению манипулятора, представляют собой точечные множества, имеющие только внешнюю границу и не имеющие внутренних границ. Совместное выполнение условий отсутствия взаимного перекрытия, односвязности и замкнутости пространственных областей необходимо для исключения неоднозначной интерпретации перемещений манипулятора в процессе ввода. Условие отсутствия взаимного перекрытия областей означает недопустимость наличия общих точек у разных областей.
Указанные пространственные области значений параметров, соответствующих перемещению манипулятора, должны быть определены в некоторой, например, декартовой или полярной пространственной системе координат для двумерных и трехмерных пространственных областей. Границы указанных пространственных областей могут иметь произвольную форму, например, построенную из прямолинейных отрезков или дуг окружностей для двумерных пространственных областей, ограниченных плоскостей или сферических поверхностей для трехмерных пространственных областей.
Наличие нескольких вариантов множества пространственных областей может способствовать как увеличению количества определенных для обеспечения ввода информации типов движений манипулятором, так и упрощению определения условий выбора пространственных областей и связей последовательностей выбора пространственных областей с элементами данных. Такое упрощение, например, возможно в случае, если варианты множества пространственных областей порождаются от одного исходного варианта путем объединения некоторых соседних пространственных областей.
Последовательность выбора пространственных областей определяет порядок перечисления таких областей, при котором каждому элементу последовательности сопоставлен порядковый номер, отсчитываемый от начального элемента последовательности. При этом указанные пространственные области могут относиться к разным множествам пространственных областей, а каждая последовательность устанавливает соответствие элементов указанных вариантов множеств пространственных областей порядковым номерам элементов последовательностей выбора пространственных областей. Если определено несколько вариантов множества пространственных областей, то каждому порядковому номеру последовательности должен быть поставлен в соответствие один из вариантов множества пространственных областей. Это означает установление соответствующего порядка следования вариантов множества пространственных областей, из которых выполняется выбор пространственных областей.
В процессе выбора пространственных областей, выполнению каждой, включающей более одного элемента последовательности выбора пространственных областей, неизбежно сопутствует выполнение ряда последовательностей с меньшим количеством элементов, копирующих в этих элементах указанную последовательность, и представляющих собой начальные части этой последовательности. В таком случае, если некоторая последовательность может быть выполнена, то вместе с этой последовательностью в число возможных последовательностей выбора исходных областей входят все сопутствующие ей начальные части этой последовательности.
Множество возможных последовательностей включает все принципиально выполнимые последовательности, удовлетворяющие условию допустимости на каждом шаге последовательности выбора любой пространственной области. Это множество может быть представлено двумя категориями последовательностей. К первой категории относятся последовательности, несовпадающие друг с другом и с начальными частями друг друга. Ко второй категории относятся последовательности, представляющие собой начальные части последовательностей первой категории. Таким образом, совокупность всех последовательностей первой категории порождает, в качестве своих начальных частей, все без исключения возможные последовательности второй категории. Поэтому последовательности, относящиеся к первой категории, могут рассматриваться как граничные элементы множества возможных последовательностей. При этом выход за указанную границу множества возможных последовательностей не допустим, поскольку означает появление последовательностей выбора пространственных областей, не совпадающих ни с одной из возможных последовательностей, что влечет непреднамеренное прекращение процесса ввода данных.
Во множество данных могут быть включены элементы основных данных, ввод которых является целью выполнения процесса ввода. Кроме того, в это множество могут быть также включены элементы вспомогательных данных, предназначенных для обеспечения выполнения процесса ввода. Например, это могут быть элементы данных для обеспечения сигнализации о ходе выполнения процесса ввода с использованием аудио-, визуальных и других программно-аппаратных средств, с целью осуществления обратной связи с процессом ввода данных.
Возможность ввода разнообразной информации достигается за счет того, что каждый элемент данных содержит атрибуты доступа к соответствующей этому элементу данных информации. Эти атрибуты могут определять источник, объем и другие параметры доступа к информации. Например, в качестве такого рода атрибутов может быть использован диапазон адресов памяти компьютера, в которых хранится информация в форме чисел, символов, строк символов. Если же элементу данных необходимо поставить в соответствие большой объем информации, хранимый, например, в файле, то в качестве атрибута может быть использовано имя этого файла.
Указанные атрибуты могут определять источники изменяемой в процессе выполнения ввода данных информации, представляющие собой, например, программные модули. Одним из возможных источников такого рода информации могут быть средства определения параметров, что позволяет поставить в соответствие элементам данных значения параметров, например, соответствующие перемещению манипулятора.
Как было сказано выше, во множество данных могут быть включены элементы вспомогательных данных, предназначенные для обеспечения сигнализации о ходе выполнения процесса ввода. Такая сигнализация может осуществляться за счет использования информации, доступной через атрибуты этих данных после выполнения их ввода. Процесс ввода данных может выполняться как с сопровождением, так и без сопровождения сигнализацией о ходе его выполнения. При отсутствии сигнализации, лицо. выполняющее ввод данных, в том числе операции, связанные с выбором пространственных областей, вынуждено это делать, используя собственную память и психомоторные ощущения, сопутствующие выполнению таких операций. Такой вариант реализации способа ввода данных аналогичен способу «слепой печати» на клавиатуре. В противоположность ему, использование сигнализации о ходе его выполнения процесса ввода данных с использованием аудио-, визуальных и других средств сигнализации, можно сравнить, пользуясь указанной аналогией, с использованием начертания символов на кнопках клавиатуры.
Для осуществления процесса ввода допустимы все возможные виды связей элементов множества данных с последовательностями из множества последовательностей выбора пространственных областей, например, соответствующие типам отношений один к одному или один ко многим. Допустимо также отсутствие связей у некоторых элементов множества данных или последовательностей. При этом следует, однако, отметить, что отсутствие связи элемента данных с какой-либо последовательностью делает бессмысленным его включение во множество данных.
Выполнение каждого условия выбора пространственной области соответствует принадлежности значений некоторых параметров определенной области таких значений. Это означает, что каждому условию соответствует определенная область значений параметров. Если в указанной области присутствуют значения, совпадающие со значениями указанных параметров, это означает выполнение, а в противном случае невыполнение условия выбора пространственной области. Параметры, используемые в условиях выбора пространственных областей, могут включать любые параметры множества параметров, за исключением абсолютных параметров, значения которых используют для установления начала отсчета относительных параметров. По этой причине, например, параметры, соответствующие абсолютному положению манипулятора, не могут быть использованы в условиях выбора пространственных областей. Вместе с тем, каждый набор условий выбора пространственной области должен включать условие принадлежности этой пространственной области значений параметров, соответствующих перемещению манипулятора.
В зависимости от характера параметров, значения каждого параметра в этой области могут изменяться непрерывно или дискретно. Например, для условия принадлежности значений, соответствующих перемещению манипулятора некоторой пространственной области, которая определена аналитически заданными границами в системе координат непрерывно изменяемых параметров, указанные значения в этой области должны изменяться непрерывно. Возможна также ситуация, когда пространственная область определена параметрами, принимающими только дискретные значения, например, это относится к значениям координат экрана дисплея, соответствующих положению его пикселей. В таком случае, в принципе, может быть использован и соответствующий способ определения такой области, например, перечислением всех значений, включаемых в эту область.
Возможны примеры параметров, для которых характерны области непрерывных значений, если не учитывать формы представления этих значений на физических носителях информации. К таким параметрам могут быть отнесены продолжительность отрезков времени и такие параметры, как модуль скорости перемещения манипулятора или модуль скорости изменения направления его перемещения. Вместе с тем, наличие области дискретных значений параметров возможно в случае использования при выборе пространственной области комбинаций нажатий кнопок манипулятора, когда каждой такой комбинации может быть сопоставлено некоторое дискретное значение в указанной области этих дискретных значений.
Возможность существования для каждой пространственной области непустого множества наборов условий ее выбора обеспечивает соответствующее увеличение вариантов выбора пространственной области, что, в частности, может способствовать сокращению количества ошибок выбора пространственных областей. При этом, наряду с условием принадлежности значений, соответствующих перемещению манипулятора пространственной области, а также другими условиями, в набор условий может быть включено условие, устанавливающее отношение принадлежности соответствующей области значений параметра:
– продолжительности перемещения манипулятора с момента начала отсчета перемещения манипулятора, что дает возможность изменить выбор пространственной области до момента достижения значений этого диапазона;
– модуля убывающей скорости перемещения манипулятора, то есть модуля скорости при отрицательных значениях ускорения перемещения манипулятора, что обеспечивает возможность выбора пространственной области по дополнительному условию выполнения торможения манипулятора в пределах этой области;
– модуля скорости изменения направления перемещения манипулятора, то есть модуля угловой скорости изменения направления перемещения манипулятора, что обеспечивает возможность выбора пространственной области по дополнительному условию искривления траектории перемещения манипулятора в пределах этой области.
При формировании наборов условий необходимо выполнение требования наличия хотя бы у одной пространственной области хотя бы одного набора условий, не включающих необратимо изменяемых параметров. При этом необратимо изменяемыми параметрами являются параметры, значения которых не могут быть восстановлены за счет действий манипулятором. Примером необратимо изменяемого параметра является продолжительность перемещения манипулятора. Примером обратимо изменяемых параметров являются значения, соответствующие перемещению манипулятора, которые могут быть восстановлены за счет перемещения манипулятора, например, в обратном направлении. Выполнение указанного требования необходимо для предотвращения непреднамеренной остановки процесса ввода вследствие безвозвратного выхода значений параметров движения манипулятора за границы всех областей значений параметров, соответствующих условиям выбора всех пространственных областей. При этом если существует хотя бы одна область, в условиях выбора которой отсутствуют области значений необратимо изменяемых параметров, сохраняется принципиальная возможность достижения значений этих параметров, обеспечивающих выбор этой области.
Информация о текущем порядковом номере элемента последовательности выбора пространственных областей изменяется в ходе выполнения ввода данных и используется для определения варианта множества пространственных областей, соответствующего текущему порядковому номеру элемента последовательности, а также для выполнения записи информации о выборе пространственных областей, соответствующей элементам последовательности выбора пространственных областей. До начала выполнения ввода данных формируют информацию о текущем порядковом номере элемента последовательности выбора пространственных областей, соответствующем началу первой последовательности, для которой будет выполняться запись указанной информации после начала выполнения ввода данных. При выполнении выбора пространственной области выполняют изменение указанного текущего порядкового номера так, чтобы он соответствовал следующему порядковому номеру элемента последовательности. В случае прекращения выполнения записи информации, фиксирующей соответствие выполненного выбора пространственной области текущему порядковому номеру элемента последовательности выбора пространственных областей, устанавливают значение текущего порядкового номера элемента последовательности выбора пространственных областей, соответствующего началу последовательности.
При выполнении ввода данных значения параметров изменяются за счет действий манипулятором. С точки зрения реализации заявленного способа манипулятор представляет собой средство, вырабатывающее сигналы, на основе которых определяют значения указанных параметров. Поэтому манипулятор является одним из аппаратных компонентов, обеспечивающих определение указанных параметров, и формально должен быть включен в состав средств определения параметров. В процессе ввода данных выполняют действия манипулятором, включающие его перемещения, а также, возможно, нажатия его кнопок. При этом перемещают манипулятор, придерживаясь траекторий, обеспечивающих достижение значениями параметров, соответствующими перемещению манипулятора относительно точки начала отсчета, пространственной области, выбор которой позволяет сформировать последовательность, связанную с требуемым элементом данных.
Определение параметров должно выполняться с определенной задержкой времени после установления начала отсчета или после предыдущего определения параметров для того, чтобы была возможность выполнения действий манипулятором для изменения значений этих параметров. В состав средств, используемых при вводе данных, возможно включение компонентов, обеспечивающих определенную величину такой задержки. Если же такие компоненты отсутствуют, то указанные задержки будут определяться характеристиками быстродействия средств, используемых при вводе данных.
Установление начала отсчета необходимо для относительных параметров, в число которых входят, по крайней мере, параметры, соответствующие перемещению манипулятора. Процедура установления начала отсчета значений каждого относительного параметра, выполняемая с помощью средств определения параметров, заключается в определении значений абсолютных параметров, используемых для установления начала отсчета этого параметра. Момент определения значений этих абсолютных параметров всегда соответствует началу изменения значений параметров, соответствующих перемещению манипулятора. При этом в процессе выполнения ввода данных должно быть, по крайней мере, обеспечено определение значений параметров, соответствующих перемещению манипулятора. Поэтому должно быть также обеспечено установление начала отсчета этих параметров путем определения значений, соответствующих абсолютному положению манипулятора.
После установления начала отсчета относительных параметров определяют значения параметров из множества параметров, используемые в условиях выбора пространственных областей. Вместе с тем, определяемые при этом значения параметров включают, по крайней мере, значения параметров, соответствующие перемещению манипулятора. Значения параметров определяют как непосредственно на основе информации, поступающей от манипулятора, так и в результате дополнительной обработки этой информации с использованием средств определения параметров.
Например, информация о нажатии кнопок манипулятора, характеризующаяся значениями соответствующих абсолютных параметров, используется непосредственно. В то же время определение продолжительности перемещения манипулятора с момента начала отсчета перемещения манипулятора требует дополнительных вычислений с использованием информации о текущем значении времени и значении времени, соответствующем моменту начала отсчета перемещения манипулятора. Определение значений модуля убывающей скорости и модуля скорости изменения направления перемещения манипулятора также требует выполнения вычислительных процедур. При этом указанные значения могут быть вычислены на основе последовательно получаемых значений, соответствующих перемещению манипулятора, а также синхронно получаемого с этими значениями отсчета времени.
Выявление принадлежности значений параметров областям значений параметров, входящим в наборы условий выбора пространственных областей выполняют в результате сравнения значений параметров с указанными областями значений параметров с помощью средств сравнения параметров. Пространственные области, для которых выполняется такое сравнение, должны относиться к варианту множества пространственных областей, соответствующему текущему порядковому номеру элементов записи последовательности выбора пространственных областей.
Указанное сравнение может быть реализовано путем поиска значения в соответствующей области значений, точно совпадающего со значением параметра. Для дискретно изменяемого параметра, например параметра, соответствующего комбинации нажатий кнопок манипулятора, может быть выполнено сравнение со всеми значениями соответствующей области значений. Для непрерывно изменяемых параметров такое сравнение может быть выполнено в результате вычислений по решению неравенств и уравнений, построенных с использованием информации о границах области значений этих параметров.
Факт принадлежности значений параметров какому-либо набору условий выбора какой-либо пространственной области устанавливается в случае принадлежности значений параметров всем областям значений, входящим в условия выбора этой пространственной области, включаемых в этот набор. Установление указанного факта означает, что выбор пространственной области выполнен и с помощью средств формирования последовательности должна быть осуществлена запись информации, фиксирующая соответствие этого выбора текущему порядковому номеру элемента последовательности выбора пространственных областей.
Сравнение выполненных записей указанной информации с множеством последовательностей выбора пространственных областей выполняют с целью выявления их совпадения. Такое совпадение означает равенство количества выполненных записей информации, соответствующей элементам последовательности выбора пространственных областей, начиная с номера, соответствующего началу последовательности, с количеством элементов в последовательности множества последовательностей, а также совпадение выбора пространственных областей для элементов с одинаковыми порядковыми номерами в этих последовательностях.
В случае совпадения записей указанной информации с одной из последовательностей множества, с помощью средств ввода информации выполняют ввод связанного с этой последовательностью элемента данных, в случае, если такая связь была установлена до начала выполнения ввода данных. Операция ввода данных включает получение информации в соответствии с атрибутами доступа, содержащимися в этом элементе данных и передачу этой информации в приемник ввода данных. Таким образом, в результате выполнения этой операции обеспечивается возможность ввода основных и вспомогательных данных, посредством указанных атрибутов связанных с информацией практически любого содержания, формата и объема. Это, в частности, обеспечивает возможность ввода данных, связанных с информацией, используемой, например, для сигнализации о выполненном выборе пространственных областей, или командной информации, например команды прекращения выполнения ввода данных, направляемой средствам управления началом и прекращением работы средств, используемых при вводе данных.
Передача указанной информации в приемник ввода данных может быть выполнена с использованием общеизвестных методов, предусматривающих как целенаправленную передачу информации конкретному приемнику, так и широковещательную рассылку этой информации для всех приемников, настроенных на прием такой информации. В последнем случае передача информации может быть выполнена априорно неизвестному приемнику ввода данных. В качестве приемников информации могут быть использованы, например, программные модули, размещенные в компьютере, обеспечивающие вывод этой информации на дисплей компьютера или запись этой информации в файл.
Наряду с выполнением ввода информации, совпадение записей указанной информации с одной из последовательностей множества сопровождается также возобновлением процесса выбора пространственных областей и выполнением связанных с этим операций, начиная с определения значений абсолютных параметров, используемых для установления начала отсчета относительных параметров с помощью средств определения параметров. При этом совпадение записей указанной информации с одной из несовпадающих друг с другом и с начальными частями друг друга последовательностей, должно сопровождаться принудительным прекращением дальнейшей записи этой информации. Это необходимо, как было отмечено выше, для предотвращения появления последовательностей выбора пространственных областей, не совпадающих ни с одной из возможных последовательностей. С этой целью устанавливают значение текущего порядкового номера элемента последовательности выбора пространственных областей, соответствующего началу последовательности.
Если же произошло совпадение записей указанной информации с последовательностью, представляющей начальную часть одной из несовпадающих друг с другом и с начальными частями друг друга последовательностей, то запись указанной информации должна быть продолжена. Для этого устанавливают значение текущего порядкового номера элемента последовательности выбора пространственных областей, соответствующего следующему порядковому номеру в такой последовательности по отношению к последнему элементу последовательности, для которого была выполнена запись указанной информации.
Вместе с тем, можно выделить особый случай осуществления операции сравнения выполненных записей указанной информации с множеством последовательностей выбора пространственных областей, когда все последовательности множества последовательностей содержат только один элемент. В таком случае указанные последовательности обязательно относятся к категории несовпадающих друг с другом и с начальными частями друг друга последовательностей. Кроме того, в результате этого сравнения всегда должно будет устанавливаться значение текущего порядкового номера элемента последовательности выбора пространственных областей, соответствующего началу последовательности, и каждому выбору пространственной области будет соответствовать единственная априорно известная последовательность множества последовательностей.
Для множества одноэлементных последовательностей, результат выполнения операции сравнения параметров определяет выбор некоторой пространственной области. неизбежно сопровождаемый, в качестве своего выражения, записью соответствующего этому выбору значения. При этом в случае, если множество последовательностей включает только одну последовательность, указанное значение может быть бинарным. соответствующим либо наличию, либо отсутствию выбора единственной пространственной области.
Выполнение указанной записи может рассматриваться как выполнение операции записи информации, фиксирующей соответствие выполненного выбора пространственной области одноэлементной последовательности выбора пространственных областей. Таким образом, указанную запись можно рассматривать как результат совмещенного выполнения операции сравнения параметров и операции записи информации, фиксирующей соответствие выполненного выбора пространственной области одноэлементной последовательности выбора пространственных областей.
Кроме того, вследствие отмеченного выше априорно известного соответствия выбора пространственных областей последовательностям множества последовательностей, запись указанного значения может быть также одновременно использована для обозначения соответствующей одноэлементной последовательности. За счет этого может быть также обеспечено совмещение выполнения операции сравнения параметров с операцией сравнения записи информации, соответствующей одноэлементной последовательности, с множеством последовательностей.
Показанная возможность совмещения операций демонстрирует возможность соответствующего функционального объединения материальных объектов, обеспечивающих выполнение этих операций, в едином объекте, который в данном случае может быть обозначен как средства сравнения параметров, формирования последовательности и сравнения последовательностей.
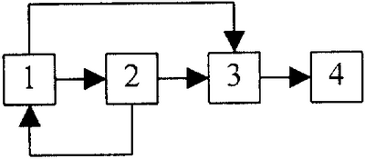
Использование заявленного способа иллюстрируется на примере реализации способа в устройстве ввода данных о направлении и дистанции перемещения манипулятора, показанном на чертеже, в котором:
– координаты курсора на экране дисплея используются в качестве параметров, соответствующих абсолютному положению манипулятора, а направление и дистанция перемещения манипулятора используются в качестве относительных параметров, соответствующих перемещению манипулятора;
– сформировано единственное множество пространственных областей, включающее единственную двумерную пространственную область, охватывающую всю плоскость за исключением круговой области с центром в начале отсчета координат, определяющей круговую границу этой пространственной области некоторого радиуса;
– в качестве условия выбора этой пространственной области используются условие принадлежности ей значений, соответствующих перемещению манипулятора;
– сформировано множество последовательностей выбора пространственных областей, включающее одну одноэлементную последовательность;
– сформировано множество данных, содержащее один элемент данных, у которого в качестве атрибута доступа к информации определен источник информации, представляющий собой средства определения параметров и содержащей значения, соответствующие направлению и дистанции перемещения манипулятора;
– сформировано множество связей, включающее единственную связь между указанным единственным элементом данных и единственной последовательностью.
Устройство ввода данных о направлении и дистанции перемещения манипулятора (чертеж) построено на основе программно-аппаратных компонентов компьютера общего назначения. Эти компоненты включают:
– вычислительный процессор с базовой системой ввода-вывода (BIOS).
– память для хранения информации,
– дисплей,
– клавиатуру, которая в устройстве ввода данных о направлении и дистанции перемещения манипулятора (см.чертеж) не используется, но необходима для нормальной работы компьютера,
– манипулятор-указатель,
– контроллеры и драйверы компонентов компьютера,
– интерфейсы обмена информацией между компонентами компьютера,
– многозадачную операционную систему, обеспечивающую управление таким обменом информации и работой компонентов компьютера и установленных на компьютере программ.
Указанная многозадачная операционная система обеспечивает разделение вычислительных ресурсов, памяти и других программно-аппаратных компонентов компьютера между множеством параллельно выполняемых вычислительных процессов и реализуемых функций. Это относится, в том числе, к функциям ввода информации с использованием клавиатуры и манипулятора-указателя, вывода информации на экран дисплея, а также движения курсора на экране дисплея в координатах экрана дисплея, соответствующих перемещению манипулятора. В связи с этим компьютер может рассматриваться как многофункциональное устройство, эмулирующее параллельную работу множества специализированных программно-аппаратных функциональных блоков. При этом в составе этих программно-аппаратных функциональных блоков используются перечисленные аппаратные компоненты компьютера. В блок-схеме устройства ввода данных о направлении и дистанции перемещения манипулятора (см.чертеж), поясняющем сущность заявленного изобретения, обозначены следующие специализированные программно-аппаратные функциональные блоки, работу которых эмулирует указанный компьютер:
– средства 1 определения параметров;
– средства 2 сравнения параметров, формирования последовательности и сравнения последовательностей, в которых обеспечивается совмещение функций средств сравнения параметров, средств формирования последовательности и средств сравнения последовательностей достигается, как отмечено выше, за счет включения во множество последовательностей единственной одноэлементной последовательности;
– средства 3 ввода информации;
– приемник 4 ввода данных.
Специализация аппаратных компонентов компьютера в перечисленных программно-аппаратных функциональных блоках, а также информационное взаимодействие этих блоков в соответствии с сущностью заявленного изобретения, осуществляется за счет использования в этих блоках программных компонентов, обеспечивающих реализацию их функций. При этом работа указанных программных компонентов, а также передача информации между функциональными блоками всегда обеспечивается использованием вычислительного процессора. Каждый программно-функциональный блок использует следующие компоненты компьютера:
– память для записи, хранения и чтения необходимой для работы этого блока информации, а также, возможно, программы, обеспечивающей функциональную специализацию блока, содержащую необходимую информацию, используемую при вводе данных, и сформированную до начала ввода данных;
– вычислительный процессор;
– интерфейсы обмена информацией между указанными устройствами;
– операционную систему, обеспечивающую управление работой указанных компонентов компьютера и программы.
Наряду с перечисленными компонентами средства 1 определения параметров используют также манипулятор-указатель и дисплей с их контроллерами и драйверами.
Память в программно-функциональных блоках используется следующим образом:
– в средствах 1 определения параметров – для записи, хранения и чтения значений параметров, а также для размещения программы определения значений параметров и активизации средств 2 сравнения параметров, формирования последовательности и сравнения последовательностей и передачи им значений параметров;
– в средствах 2 сравнения параметров, формирования последовательности и сравнения последовательностей – для записи, хранения и чтения значений параметров, а также для размещения программы сравнения параметров, формирования последовательности и сравнения последовательностей и активизации средств 3 ввода информации и средств 1 определения параметров;
– в средствах 3 ввода информации – для записи, хранения и чтения параметров, а также для размещения программы получения информации от средств 1 определения параметров, активизации приемника 4 ввода данных и передачи ему этой информации.
– в приемнике 4 ввода данных – для записи введенной информации, а также для размещения программы записи введенной информации в соответствии с определенным форматом.
Далее дано описание работы этого устройства на общесистемном уровне совместного функционирования средств 1-4, входящих в состав этого устройства, а также на внутрисистемном уровне функционирования каждого из указанных средств. Описание работы устройства на общесистемном уровне демонстрирует выполнение операций над материальными объектами, представленными в форме перечисленных средств. Описание функционирования каждого из указанных средств касается возможного варианта программно-алгоритмической реализации обработки информации, необходимой для выполнения операций с использованием этих средств.
Итак, на общесистемном уровне, средства 1 определения параметров допускают два варианта их активизации: с установлением и без установления начала отсчета параметров, соответствующих перемещению манипулятора. Вариант активизации средств 1 определения параметров, с установлением начала отсчета параметров, соответствующих перемещению манипулятора, реализуют после начала работы устройства ввода данных о направлении и дистанции перемещения манипулятора (см.чертеж) или от средств 2 сравнения параметров, формирования последовательности и сравнения последовательностей в случае выполнения выбора единственной пространственной области. Вариант активизации средств определения параметров 1, без установления начала отсчета параметров, соответствующих перемещению манипулятора, реализуют в случае их активизации от средств 2 сравнения параметров, формирования последовательности и сравнения последовательностей, если выбор указанной пространственной области выполнен не был.
При активизации средств 1 определения параметров в варианте, с установлением начала отсчета параметров, соответствующих перемещению манипулятора, обеспечивают получение значений координат курсора на экране дисплея. Эти значения координат принимаются за начало отсчета движения манипулятора. После чего средства 1 определения параметров обеспечивают повторное получение значений координат курсора на экране дисплея. Далее средства 1 определения параметров с использованием этих значений, а также значений, принятых за начало отсчета движения манипулятора, вычисляют значения, соответствующие направлению и дистанции перемещения манипулятора относительно координат, принятых за начало отсчета движения манипулятора. Затем средства 1 определения параметров активизируют средства 2 сравнения параметров, формирования последовательности и сравнения последовательностей и передают им полученное значение, соответствующие дистанции перемещения манипулятора. Средства 1 определения параметров при их активизации в варианте без установления начала отсчета параметров, соответствующих перемещению манипулятора, выполняют описанные выше операции, начиная с повторного получения значений координат на экране дисплея.
Средства 2 сравнения параметров, формирования последовательности и сравнения последовательностей при их активизации от средств 1 определения параметров выполняют сравнение полученного от средств 1 определения параметров значения, соответствующего дистанции перемещения манипулятора, со значением радиуса круговой границы пространственной области. Если значение, соответствующее дистанции перемещения манипулятора, меньше радиуса круговой границы пространственной области, это значение не принадлежит пространственной области. В этом случае средства 2 сравнения параметров, формирования последовательности и сравнения последовательностей активизируют средства 1 определения параметров в варианте активизации без установления начала отсчета параметров, соответствующих перемещению манипулятора. Если значение, соответствующее дистанции перемещения манипулятора превышает радиус круговой границы пространственной области, это значение принадлежит пространственной области. В таком случае средства 2 сравнения параметров, формирования последовательности и сравнения последовательностей активизируют средства 1 определения параметров в варианте активизации с установлением начала отсчета параметров, соответствующих перемещению манипулятора, а также активизируют средства 3 ввода информации.
Средства 3 ввода информации при их активизации от средств 2 формирования последовательности и сравнения последовательностей получают от средств 1 определения параметров значения, соответствующие направлению и дистанции перемещения манипулятора, активизируют приемник 4 ввода данных и передают ему полученные значения.
Приемник 4 ввода данных при его активизации от средств 3 ввода информации выполняет запись полученной информации в собственную память в соответствии с определенным форматом.
На внутрисистемном уровне средств 1 определения параметров в их варианте активизации установлением начала отсчета параметров, соответствующих перемещению манипулятора, программа формирования начала отсчета и активизации средств определения значений параметров и активизации средств 2 сравнения параметров, формирования последовательности и сравнения последовательностей и передачи им значений параметров получает сообщения операционной системы о перемещениях манипулятора. Эти сообщения содержат информацию о значениях координат курсора на экране дисплея, соответствующем положению манипулятора. Полученные значения координат эта программа записывает в память. Эти значения координат представляют собой начало отсчета значений, соответствующих перемещению манипулятора.
Затем эта программа повторно получает сообщения операционной системы о перемещениях манипулятора, содержащие информацию о значениях координат курсора на экране дисплея, соответствующем положению манипулятора, которые эта программа записывает в память. После чего эта программа читает из памяти значения координат, представляющие собой начало отсчета значений, соответствующих перемещению манипулятора, а также повторно полученные значения координат, и на основе этих значений вычисляет угол наклона и длину отрезка прямой линии, соединяющей две точки с указанными координатами, после чего выполняет запись этих значений в память. Указанные значения соответствуют направлению и дистанции перемещения манипулятора, Далее, эта программа активизирует средства 2 сравнения параметров, формирования последовательности и сравнения последовательностей, читает из памяти значение, соответствующее дистанции перемещения манипулятора, и посылает это значение указанным средствам. Затем программа переходит в состояние ожидания активизации средств 1 определения параметров. В варианте активизации средств 1 определения параметров без установления начала отсчета параметров, соответствующих перемещению манипулятора, эта программа выполняет описанные выше операции, начиная с повторного получения сообщений операционной системы о перемещении манипулятора.
На внутрисистемном уровне средств 2 сравнения параметров, формирования последовательности и сравнения последовательностей, после их активизации, программа сравнения параметров, формирования последовательности и сравнения последовательностей, активизации средств 3 ввода информации или средств 1 определения параметров выполняет прием и запись в память указанного значения, соответствующего дистанции перемещения манипулятора. При этом указанная программа уже включает встроенную в нее информацию со значением радиуса круговой границы пространственной области. Затем эта программа выполняет чтение из памяти и сравнение значения, соответствующего дистанции перемещения манипулятора с радиусом круговой границы пространственной области, и фиксирует факт превышения одного из указанных значений над другим записью в память соответствующего бинарного значения. Как было отмечено выше, указанная запись одновременно:
– отражает выбор пространственной области;
– представляет собой запись информации, фиксирующей соответствие выполненного выбора пространственной области одноэлементной последовательности выбора пространственных областей;
– является результатом сравнения этой записи информации с множеством последовательностей, включающим единственную одноэлементную последовательность.
Поскольку множество последовательностей включает единственную одноэлементную последовательность, появление значения в указанной записи, соответствующее совпадению с этой последовательностью, требует установления значения текущего порядкового номера элемента последовательности выбора пространственных областей, соответствующего началу последовательности. По этой причине в устройстве ввода данных о направлении и дистанции перемещения манипулятора (см.чертеж), значение текущего порядкового номера элемента последовательности выбора пространственных областей всегда соответствует началу последовательности.
Далее, в зависимости от указанного бинарного значения, которое программа читает из памяти, эта программа выполняет один из двух вариантов активизации средств 1 определения параметров. При этом если выполняется активизация средств 1 определения параметров в варианте с установлением начала отсчета параметров, соответствующих перемещению манипулятора, выполняется также активизация средств 3 ввода информации. После этого программа переходит в состояние ожидания активизации средств 2 сравнения параметров, формирования последовательности и сравнения последовательностей. В таком случае можно отметить, что в рамках объединенных средств 2 сравнения параметров, формирования последовательности и сравнения последовательностей активизация средств 1 определения параметров, в варианте без установления начала отсчета параметров, соответствующих перемещению манипулятора, относится к функциям средств сравнения параметров. Вместе с тем, вариант активизации средств 1 определения параметров с установлением начала отсчета параметров, соответствующих перемещению манипулятора с одновременной активизацией средств 3 ввода информации, относится к функциям средств сравнения последовательностей.
На внутрисистемном уровне средств 3 ввода информации, после их активизации, программа получения информации от средств 1 определения параметров, активизации приемника 4 ввода данных и передачи ему этой информации реализует сформированную в этой программе связь между указанной единственной одноэлементной последовательностью и единственными данными. Данные реализованы в этой программе в форме программного модуля, содержащего атрибуты источника информации о направлении и дистанции перемещения манипулятора, представляющего собой область памяти средств 1 определения параметров. Указанная связь осуществляется в программе за счет установления программно реализуемой ссылки на атрибуты этих данных. В соответствии с указанными атрибутами эта программа читает значения, соответствующие направлению и дистанции перемещения манипулятора из памяти, принадлежащей средствам 1 определения параметров, и записывает эту информацию в собственную память. Далее эта программа активизирует приемник 4 ввода данных, читает значения, соответствующие направлению и дистанции перемещения манипулятора из собственной памяти и передает эти значения в приемник 4 ввода данных.
На внутрисистемном уровне приемника 4 ввода данных, после его активизации, программа записи введенной информации в соответствии с определенным форматом выполняет запись значений, соответствующих направлению и дистанции перемещения манипулятора в память приемника 4 ввода данных.
Формула изобретения
Способ ввода данных, в котором до начала ввода данных формируют в средствах, используемых при вводе данных, информацию
о множестве параметров, из которых одна часть, абсолютные параметры, имеет не изменяемое при выполнении ввода данных начало отсчета значений и включает, по крайней мере, параметры, соответствующие абсолютному положению манипулятора,
другая часть, относительные параметры, имеет устанавливаемое при выполнении ввода данных начало отсчета таких параметров с использованием значений абсолютных параметров и включает, по крайней мере, параметры, соответствующие перемещению манипулятора, имеющие начало отсчета, которое устанавливают с использованием значений параметров, соответствующих абсолютному положению манипулятора,
о, по крайней мере, одном варианте не пустого множества взаимно не перекрывающихся, односвязных, замкнутых двумерных или трехмерных пространственных областей значений параметров, соответствующих перемещению манипулятора,
об установленном соответствии каждого порядкового номера элемента последовательности выбора пространственных областей одному из вариантов множества пространственных областей,
о не пустом множестве последовательностей выбора пространственных областей из вариантов множества пространственных областей, соответствующих порядковым номерам элементов этих последовательностей, включающем из числа возможных последовательностей, по крайней мере, все не совпадающие друг с другом и с начальными частями друг друга последовательности,
где каждая последовательность устанавливает соответствие элементов указанных вариантов множеств пространственных областей порядковым номерам элементов последовательности,
о не пустом множестве данных, где каждый элемент данных содержит атрибуты доступа к соответствующей этому элементу данных информации,
о не пустом множестве связей элементов множества данных с последовательностями из множества последовательностей выбора пространственных областей,
об условиях выбора пространственных областей в вариантах множеств пространственных областей, при этом для каждой пространственной области определено не пустое множество наборов таких условий,
выполнение каждого условия соответствует принадлежности значений некоторых параметров определенной области таких значений, за исключением абсолютных параметров, значения которых используют для установления начала отсчета относительных параметров,
каждый набор условий выбора пространственной области включает, по крайней мере, условие принадлежности этой пространственной области значений параметров, соответствующих перемещению манипулятора,
хотя бы одна пространственная область в каждом варианте множества пространственных областей, соответствующем какому-либо порядковому номеру элемента последовательностей выбора пространственных областей, имеет хотя бы один набор условий ее выбора, не включающих необратимо изменяемых параметров,
о текущем порядковом номере элемента последовательности выбора пространственных областей, соответствующем началу последовательности,
при выполнении ввода данных
с помощью средств определения параметров определяют значения абсолютных параметров, используемые для установления начала отсчета относительных параметров, включая, по крайней мере, значения параметров, соответствующие абсолютному положению манипулятора и используемые для установления начала отсчета параметров, соответствующих перемещению манипулятора,
после чего с помощью средств определения параметров определяют значения параметров из множества параметров, используемые в условиях выбора пространственных областей, при этом значения относительных параметров, включающие, по крайней мере, значения параметров, соответствующие перемещению манипулятора, отсчитывают от установленного начала их отсчета,
с помощью средств сравнения параметров выявляют принадлежность значений параметров используемых в условиях выбора пространственных областей областям значений параметров указанных условий, входящих в наборы условий выбора пространственных областей из варианта множества пространственных областей, соответствующего текущему порядковому номеру элемента последовательности выбора пространственных областей,
при отсутствии принадлежности значений параметров используемых в условиях выбора пространственных областей какому-либо набору условий выбора какой-либо пространственной области из указанного варианта множества пространственных областей, повторяют вышеуказанные действия, начиная с определения значений параметров,
в случае принадлежности значений параметров используемых в условиях выбора пространственных областей какому-либо набору условий выбора какой-либо пространственной области из указанного варианта множества пространственных областей с помощью средств формирования последовательности выполняют запись информации, фиксирующей соответствие выполненного таким образом выбора этой пространственной области текущему порядковому номеру элемента последовательности выбора пространственных областей,
и с помощью средств сравнения последовательностей сравнивают полученную в порядке номеров, начиная с номера, соответствующего началу последовательности, запись информации, соответствующей элементам последовательности выбора пространственных областей с последовательностями множества последовательностей выбора пространственных областей,
в случае совпадения указанной записи информации с одной из последовательностей множества с помощью средств ввода информации получают информацию в соответствии с атрибутами доступа, содержащимися в элементе данных, связанном с этой последовательностью, выполняют ввод этой информации
и повторяют вышеуказанные действия, начиная с определения значений абсолютных параметров, используемых для установления начала отсчета относительных параметров,
если при этом произошло совпадение указанной записи информации с одной из не совпадающих друг с другом и с начальными частями друг друга последовательностей, устанавливают значение текущего порядкового номера элемента последовательности выбора пространственных областей, соответствующее началу последовательности,
иначе, устанавливают значение текущего порядкового номера элемента последовательности выбора пространственных областей, соответствующего следующему порядковому номеру элемента последовательности по отношению к последнему элементу последовательности, для которого была выполнена указанная запись информации.
РИСУНКИ
MM4A – Досрочное прекращение действия патента СССР или патента Российской Федерации на изобретение из-за неуплаты в установленный срок пошлины за поддержание патента в силе
Дата прекращения действия патента: 21.12.2007
Извещение опубликовано: 20.02.2009 БИ: 05/2009
NF4A – Восстановление действия патента СССР или патента Российской Федерации на изобретение
Дата, с которой действие патента восстановлено: 27.02.2009
Извещение опубликовано: 27.02.2009 БИ: 06/2009
PC4A – Регистрация договора об уступке патента СССР или патента Российской Федерации на изобретение
Прежний патентообладатель:
Общество с ограниченной ответственностью “Майкрокс”
(73) Патентообладатель:
Востриков Сергей Львович
Договор № РД0065753 зарегистрирован 10.06.2010
Извещение опубликовано: 20.07.2010 БИ: 20/2010
|
|