|
(21), (22) Заявка: 2005134710/28, 10.11.2005
(24) Дата начала отсчета срока действия патента:
10.11.2005
(46) Опубликовано: 27.05.2007
(56) Список документов, цитированных в отчете о поиске:
US 4645349 A, 24.02.1987. RU 96112581 A, 10.10.1998. SU 1779912 A1, 07.12.1992. SU 1185081 A, 15.10.1985.
Адрес для переписки:
107005, Москва, ул. 2-я Бауманская, 5, МГТУ им. Н.Э. Баумана, НИИ Радиоэлектроники и лазерной техники, Директору НИИ В.Н. Рождествину
|
(72) Автор(ы):
Белов Михаил Леонидович (RU), Городничев Виктор Александрович (RU), Козинцев Валентин Иванович (RU), Федотов Юрий Викторович (RU)
(73) Патентообладатель(и):
Научно Исследовательский Институт Радиоэлектроники и лазерной техники (НИИ РЛ) Московского Государственного Технического Университета им. Н.Э. Баумана (RU)
|
(54) ДИСТАНЦИОННЫЙ СПОСОБ ИЗМЕРЕНИЯ ТОЛЩИНЫ ТОЛСТЫХ ПЛЕНОК НЕФТЕПРОДУКТОВ НА ПОВЕРХНОСТИ ВОДЫ
(57) Реферат:
Дистанционный способ измерения толщины толстых пленок нефтепродуктов на поверхности воды включает облучение поверхности воды оптическим излучением на трех специальным образом выбранных длинах волн зондирования, регистрацию отраженного от поверхности сигнала и последующее определение толщины пленки по результатам измерения отраженного от поверхности сигнала на трех длинах волн зондирования. Для определения толщины пленки d длины волн зондирования 1, 2, 3 выбирают из условий:

где n2( 1), n2( 2) – показатели преломления нефтепродукта на длинах волн 1, 2; 3 равна длине волны максимума поглощения нефтепродукта. Технический результат – определение толщин пленок более 4-5 мкм. 2 ил.
Изобретение относится к измерительной технике и может быть использовано, в частности, для оперативного контроля толщины пленок при разливе нефтепродуктов на речных, озерных и морских акваториях.
Известны способы измерения толщины пленки на поверхности материала [1-4], заключающиеся в том, что на поверхность пленки направляют оптическое излучение, регистрируют отраженный от поверхности сигнал, измеряют зависимость интенсивности отраженного сигнала от длины волны и определяют толщину пленки по результатам вычисления расстояния между экстремумами, числа экстремумов или параметров аппроксимации кривой зависимости интенсивности отраженного сигнала от длины волны в диапазоне перестройки.
Недостатком этих способов является возможность появления больших ошибок измерения в случае толстых пленок из-за ослабления излучения в пленке, особенно в условиях шумов (имеются в виду как внутренние шумы измерительной аппаратуры, так и внешние помехи, приводящие к флуктуациям принимаемого сигнала).
Избежать этого недостатка в случае толстых пленок нефтепродуктов (когда пропускание пленки существенно отличается от единицы) можно тем, что согласно способу измерения толщины пленки на поверхности материала, включающему облучение поверхности оптическим излучением, регистрацию отраженного от поверхности сигнала с последующим анализом зависимости интенсивности отраженного сигнала от длины волны, характеризующей толщину пленки, для облучения поверхности используют три длины волны зондирования 1, 2, 3, выбранные из условий:
где n2( 1), n2( 2) – показатели преломления нефтепродукта на длинах волн 1, 2; 3 равна длине волны максимума поглощения нефтепродукта, и определяют толщину пленки по результатам измерения отраженного от поверхности сигнала на этих трех длинах волн.
Наличие отличительного признака указывает на соответствие критерию “новизна”.
Указанные признаки неизвестны в научно-технической и патентной литературе и поэтому предложенное техническое решение соответствует критерию “изобретательский уровень”.
Предлагаемый способ можно реализовать с помощью устройства, содержащего источник излучения 1, направляющего излучение на трех специальным образом выбранных длинах волн зондирования 1, 2, 3 на поверхность воды; фотоприемник 2 для регистрации излучения на трех длинах волн; блок обработки 3 для определения по результатам измерения отраженного от исследуемой поверхности сигнала на трех длинах волн зондирования толщины пленки 4 на поверхности воды 5 (см. фиг.1).
Устройство работает следующим образом. Оптическое излучение источника 1 на каждой из длин волн зондирования 1, 2, 3 отражается пленкой нефтепродукта 4 (толщиной d) на поверхности воды 5, интенсивность отраженного излучения регистрируется фотоприемником 2, сигнал с фотоприемника поступает в блок обработки 3 для определения по результатам измерения величины d. При облете исследуемой акватории с целью контроля нефтяных загрязнений результатом работы блока 3 является массив данных о значении толщины пленки нефтепродуктов на исследуемой акватории.
Фотоприемник 2 регистрирует мощности излучения Р( 1), Р( 2), Р( 3), отраженного исследуемой поверхностью, на трех длинах волн зондирования.
Каждая из мощностей Р( 1), Р( 2), Р( 3) может быть представлена в виде (см., например, [6]):
P( )=ARref( , d),
Rref( , d) – коэффициент отражения трехслойной системы «воздух – пленка нефтепродукта – вода», зависящий от длины волны зондирования и толщины пленки d;
А – величина, зависящая от параметров источника излучения, приемника, расстояния до поверхности, неровностей водной поверхности (при зондировании, например, взволнованной морской поверхности) и слабо (по сравнению с множителем Rref( ,d)) изменяющаяся с изменением длины волны излучения (так, что если длины волн излучения 1 и 2 близки, то A( 1) А( 2)).
Величина А во многих случаях точно неизвестна и часто даже является случайной (например, при зондировании взволнованной морской поверхности число отражающих площадок на морской поверхности в поле зрения приемника и их наклоны являются случайными).
Чтобы устранить влияние на результаты измерения случайных изменений мощности лазерных источников и неопределенности величин А, в блоке обработки 3 проводятся последовательно следующие процедуры:
– мощности Р( 1), Р( 2), Р( 3) нормируются на мощности PS( 1), PS( 2), PS( 3), излучаемые источником лазерного локатора на длинах волн 1, 2, 3:

– вычисляются следующие относительные величины:
и
(для упрощения описания метода считается, что длительности зондирующих импульсов и расходимость излучения локатора одинаковы для всех длин волн зондирования; если это не так, то различия могут быть учтены при обработке принимаемых лазерных локационных сигналов).
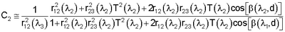
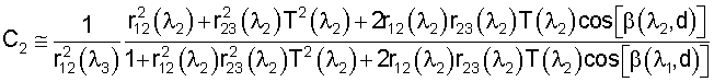
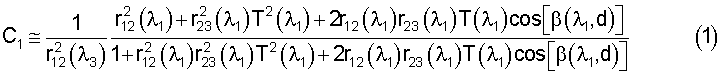
После описанных процедур обработки величины С1 и С2 с высокой степенью точности представляют собой отношение коэффициентов отражения поверхности на длинах волн 1, 3 и 2, 3 соответственно, и определяются при вертикальном падении излучения на поверхность следующим образом (с учетом того, что из данных, приведенных в [5], для нефти 3 3,41 мкм и из-за большого поглощения нефти на длине волны 3 3,41 при толщинах пленок больше 4-5 мкм Rref( 3, d) r12 2( 3))
 
где:

k2( ) – показатель поглощения нефтепродукта, зависящий от длины волны ;
r12( ), r23( ) – коэффициенты отражения на границах «воздух – пленка нефтепродукта» и «пленка нефтепродукта – вода», зависящие от длины волны и показателей преломления и поглощения сред и не зависящие от толщины пленки d (индексы 1, 2, 3 относятся, соответственно, к воздуху, нефтепродукту и воде).
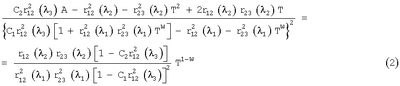
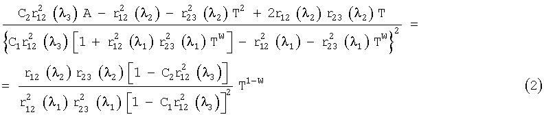
Выберем длины волн 1 и 2 так, чтобы
При выполнении этого условия имеем: ( 1, d)=2 ( 2, d). Это позволяет исключить из (1) тригонометрические функции и получить следующее выражение для определения толщины d для толстых пленок:

где:



T( 2) – пропускание пленки на длине волны 2.
Выражение (2) содержит данные измерений (величины С1 и С2), оптические константы (r12( ), r23( ), w) и величину Т, зависящую от толщины пленки нефтепродукта d. Находя (одним из численных методов) из (2) величину Т, можно однозначно определить толщину пленки d.
Описанные выше процедуры определения толщины пленки d хорошо работают, когда пропускание пленки Т существенно отличается от единицы.
Таким образом, описанный способ позволяет, используя три специальным образом выбранные длины волны зондирования, проводить измерения толщины толстых пленок, когда пропускание пленки существенно отличается от единицы (например, пленок нефтепродуктов при толщинах пленок больше 4-5 мкм).
Предлагаемый способ (использующий три специальным образом выбранные длины волны зондирования 1, 2, 3) позволяет найти толщину пленки d по результатам измерений, не только решая в блоке обработки (например, используя встроенный спецпроцессор) нелинейные уравнения вида (2), (3), но и более простым способом – непосредственно из данных измерений, используя численный алгоритм определения d, основанный на поиске минимума невязки:

где:
С1, С2 – нормированные величины, определяемые из данных измерений на длинах волн зондирования 1, 2, 3 (см. выше);
C1( 1, 3, d)mod, C2( 2, 3, d)mod – модельные значения соответствующих величин, зависящие от толщины пленки d (представляющие собой правые части формул (1)).
На фиг.2 приведены результаты математического моделирования работы дистанционного способа измерения толщины толстых пленок нефтепродуктов на поверхности воды. Здесь показана зависимость найденного (определенного численным алгоритмом (4)) значения толщины пленки d от заданного при моделировании значения толщины пленки для диапазона d 100 мкм.
Заявляемое изобретение направлено, в частности, на решение задачи оперативного контроля толщины толстых пленок нефтепродуктов при аварийных разливах нефти и нефтепродуктов на речных, озерных и морских акваториях.
Измерительное устройство может быть собрано на предприятиях РФ из компонент и узлов, изготавливаемых в РФ, и соответствует критерию “промышленная применимость”.
Источники информации
1. Устройство для автоматического измерения толщины пленки. Патент 3-57407. Япония. 1993 г. Кл. G01В 11/06. (РЖ Изобретения стран мира,1993, выпуск 82, N3, с.45).
2. Method of measuring film thickness. United States Patent. Patent Number: 4,645,349. Date of Patent: Feb. 24, 1987. Int. C1. G01В 11/06.
3. Дистанционный способ измерения толщины пленок. Патент РФ на изобретение №2168151 от 27.05.01. МКИ G01В 11/06.
4. Способ измерения толщины пленок на подложке. Патент РФ на изобретение №2207501 от 27.06.03. МКИ G01В 11/06.
6. Оптико-электронные системы экологического мониторинга природной среды / Козинцев В.И., Орлов В.М., Белов М.Л. и др. М.: Изд-во МГТУ, 2002, 528 с.
Формула изобретения
Дистанционный способ измерения толщины толстых пленок нефтепродуктов на поверхности воды путем облучения поверхности оптическим излучением, регистрации отраженного от поверхности сигнала и определения толщины пленки по результатам анализа зависимости интенсивности отраженного сигнала от длины волны, отличающийся тем, что облучение поверхности проводят на трех длинах волны зондирования 1, 2, 3, выбранных из условий

где n2( 1), n2( 2) – показатели преломления нефтепродукта на длинах волн 1, 2; 3 равна длине волны максимума поглощения нефтепродукта,
а толщину пленки определяют по результатам анализа интенсивности отраженного сигнала на этих трех длинах волн.
РИСУНКИ
MM4A – Досрочное прекращение действия патента СССР или патента Российской Федерации на изобретение из-за неуплаты в установленный срок пошлины за поддержание патента в силе
Дата прекращения действия патента: 11.11.2007
Извещение опубликовано: 10.07.2009 БИ: 19/2009
|