Патент на изобретение №2157942
|
||||||||||||||||||||||||||
(54) УЗЕЛ ФЛАНЦЕВОГО СОЕДИНЕНИЯ
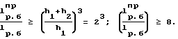
(57) Реферат: Узел фланцевого соединения относится к машиностроению, в частности к гидромашиностроению, и может быть использован в гидротурбиностроении для соединения валов гидротурбин с валами гидрогенераторов и с рабочими колесами гидротурбин. Узел фланцевого соединения содержит установленные в отверстиях фланцев цилиндрические втулки и расположенные в них с зазором болты с гайками. Втулка выполнена с внутренним пояском в непосредственной близости от плоскости разъема соединяемых деталей. Болт выполнен с ответным цилиндрическим пояском, сопрягающимся по посадке с пояском втулки. При таком выполнении конструкции изгибаемая длина болта уменьшается по крайней мере в 2 раза, уменьшается также изгибаемая длина втулки. Вследствие этого жесткость соединения существенно возрастает, а несущая способность увеличивается из-за того, что резьбовая часть болта, являющаяся наиболее опасной, не изгибается при расчетном смещении фланцевого соединения. 1 ил. Изобретение относится к машиностроению, в частности к гидромашиностроению, и может быть использовано в гидротурбиностроении для соединения валов гидротурбин с валами гидрогенераторов и с рабочими колесами гидротурбин. Известны конструкции узлов фланцевого соединения, в которых осуществляется соединение болтами, устанавливаемыми в отверстия фланцев с зазорами и без зазоров [1] (стр. 36, фиг. 1.20, 1.21). В случае установки болтов с зазором, они должны создавать силу трения на поверхности стыка, превышающую внешнюю нагрузку в несколько раз. При этом в болтах должны создаваться значительные напряжения начального затяга, при которых соединение должно оставаться неподвижным. Достоинством данной конструкции является простота изготовления, а недостатком низкая несущая способность. Кроме того, вследствие нестабильности коэффициента трения и существенного его снижения при вибрационной нагрузке такие соединения при действии на них сдвигающей вибрационной нагрузки не надежны. В узле фланцевого соединения, в котором болты устанавливаются в отверстия без зазора, соединяемые детали должны совместно обрабатываться. В этом случае отверстие в соединяемых фланцах калибруют разверткой или расстачивают совместно, а диаметр стержня болта выполняют с допуском, обеспечивающим заданную посадку. При расчете группового болтового соединения предполагается, что болты воспринимают равномерно поперечную нагрузку. Стержень болта рассчитывают по напряжениям среза и смятия. Однако, как показали экспериментальные исследования усталостной прочности соединений, при полном моделировании материалов и нагрузок болты в таких соединениях нагружаются от сдвигающих нагрузок существенно неравномерно. Коэффициент равномерности в таких соединениях при посадке болтов А/Д (H7/g6) достигал 0,2…0,3 [2]. При более плотных посадках равномерность нагрузки крепежных деталей должна возрастать, но конкретные факты по этому вопросу нам неизвестны, а создание таких посадок связано с большими трудностями, в особенности при использовании крупных крепежных деталей. Известен еще узел фланцевого соединения, содержащий установленные в отверстиях фланцев цилиндрические втулки и расположенные в них с зазором болты с гайками [3]. Цилиндрические втулки в пределах одного фланца установлены с зазором, а в пределах другого фланца – плотной посадкой. При работе этого узла фланцевого соединения под действием крутящего момента в первую очередь выбираются наименьшие зазоры, обусловленные рассеиванием размеров втулок и отверстий во фланце. После этого происходит изгибная деформация втулок, установленных во фланце с зазором, и болтов, установленных с зазором в обоих фланцах. Часть сдвигающих нагрузок от крутящего момента воспринимаются силами трения на поверхности стыка фланцев, возникающие вследствие затяжки болтов. Однако такая конструкция соединения обладает невысокой несущей способностью из-за небольшой изгибной жесткости болтов, установленных по всей суммарной толщине фланцев с зазором. При некотором смещении фланцев от сдвигающего усилия болты, плотно прижатые к соединяемым фланцам, сдвигающимся в разные стороны, изгибаются как стержни, защемленные в сечении, совпадающем с первым витком резьбы гайки, являющемся наиболее опасным, и в сечении, совпадающем с опорной поверхностью головки болтов. Цель изобретения – повышение несущей способности соединения увеличением изгибной жесткости болтов и исключением изгиба болтов в сечении, совпадающем с первым витком резьбы гайки. Поставленная цель достигается тем, что втулка выполнена с внутренним (цилиндрическим выступом) пояском в непосредственной близости от плоскости разъема соединяемых деталей, а болт выполнен с ответным наружным цилиндрическим пояском, сопрягающимся с пояском втулки. На чертеже показан продольный разрез узла предлагаемого фланцевого соединения. Узел содержит установленные в отверстиях фланцев 1 и 2 цилиндрические втулки 3 и расположенные в них болты 4 с гайками 5. Во фланце 1 выполнены цилиндрические расточки 6 с кольцевыми опорными поверхностями 7, а на концах втулок 3 – ответные расточкам 6 цилиндрические выступы 8 с опорными поверхностями 9. Цилиндрические втулки 3 установлены в отверстиях фланца 1 с зазором. В пределах фланца 2 цилиндрические втулки 3 установлены плотной посадкой. Цилиндрический поясок 10 болта 4 сопрягается плотной посадкой с цилиндрическим выступом (пояском) 11 втулок 3. При увеличении длины цилиндрического пояска 10 и выступа 11, а следовательно, уменьшении их деформируемой длины повышается изгибная жесткость болта 4 и втулки 3. При работе узла соединения поперечные нагрузки сдвигают фланцы 1 и 2 на малую расчетную величину. При этом вместе с фланцем 1 как одно целое смещаются опорный поясок 8 втулки и головка болта, прижатые к фланцу 1 значительным натягом болта. Фланец 2 совместно с прижатой к нему начальным натягом гайкой 5, а также с установленной во фланце 2 на посадке втулкой 3 и установленной во втулке 3 на посадке по цилиндрическому пояску 10 болтом 4 смещается в другую сторону от сдвигающего усилия как одно жесткое тело. При таком смещении жестких фланцев 1 и 2 друг относительно друга в предложенной конструкции изгиб болта 4 и втулки 3 происходит только в пределах фланца 1, а в пределах фланца 2 стержень болта, а следовательно, его резьбовая часть не изгибается. Вследствие этого прочность опасного сечения болта – резьбовой части повышается. Жесткость соединения возрастает за счет увеличения изгибной жесткости болта, которая по сравнению с прототипом возрастает в (lр.бпр/lр.б)3 раза, где lр.бпр – расчетная изгибающая длина болта в прототипе, которую принимают равной суммарной длине болта в пределах суммарных высот соединяемых фланцев (lр.бпр = h1 + h2); lр.б – расчетная изгибающая длина болта в предложенной конструкции, которая меньше высоты h1 фланца 1 на величину длины участка, равной расстоянию от поверхности разъема фланцев до сечения болта, расположенного во фланце 1, где заканчивается припасованный во втулке 3 поясок 10 болта 4 (lр.б = h1 – 0,5hп). Во фланцевых соединениях, как правило, высоты соединяемых фланцев h1 и h2 принимаются одинаковыми. Тогда, принимая не в пользу предложенной конструкции lр.б h1, можно получить значение коэффициента увеличения жесткости болта в пределах![]() Таким образом, за счет реализации конструктивных новшеств в предлагаемом узле изгибная жесткость болтов в соединениях возрастает более чем в 8 раз и прочность наиболее опасного сечения резьбового соединения, совпадающего с первым витком гайки, существенно возрастает за счет устранения изгиба этого сечения при расчетном смещении фланцевого соединения. В настоящее время с использованием предложенного решения разрабатывается проект узла соединения рабочего колеса с валом гидроагрегата для Аушигерской ГЭС (Кабардино-Балкарская республика). Источники информации. 1. Иванов М.Н. Детали машин. М.: “Высшая школа”, 1991 г. 2. Бугов А.У. Фланцевые соединения. Расчет и проектирование. “Машиностроение”, Л.О., 1975 г. 191 стр. 3. Авторское свидетельство СССР N 985399, МКИ3 F 03 B 1/00 /прототип/. Формула изобретения
РИСУНКИ
MM4A Досрочное прекращение действия патента Российской Федерации на изобретение из-за неуплаты в установленный срок пошлины за поддержание патента в силе
Дата прекращения действия патента: 29.07.2000
Извещение опубликовано: 10.10.2004 БИ: 28/2004
|
||||||||||||||||||||||||||

h1, можно получить значение коэффициента увеличения жесткости болта в пределах