Изобретение относится к цифровой обработке изображений и может быть использовано в технике глобальной и локальной коррекции яркости цифровых фотографий. Технический результат заключается в отсутствии halo-эффекта. Сущность изобретения состоит в том, что система и способ коррекции темных оттенков на цифровых фотографиях содержат модуль глобального контрастирования, модуль конвертирования из цветовой системы RGB, модуль определения коэффициента усиления темных оттенков, модуль билатеральной фильтрации, модуль коррекции темных оттенков, модуль конвертирования в цветовую систему RGB, блок оперативной памяти, устройство отображения. При этом модуль глобального контрастирования выполнен с возможностью коррекции глобального контраста изображения, модуль конвертирования из цветовой системы RGB выполнен с возможностью конвертирования изображения из цветовой системы RGB в трехкомпонентную цветовую систему, одна из составляющих которой является яркостью изображения, а две другие кодируют цвет, модуль конвертирования в цветовую систему RGB выполнен с возможностью конвертирования из трехкомпонентной цветовой системы, одна из составляющих которой является яркостью изображения, а две другие кодируют цвет, обратно в цветовую систему RGB, модуль определения коэффициента усиления темных оттенков выполнен с возможностью вычислять глобальную гистограмму яркости изображения и определять коэффициент усиления темных оттенков на основе анализа признаков, вычисленных из глобальной гистограммы яркости изображения, модуль билатеральной фильтрации выполнен с возможностью выполнять билатеральную фильтрацию канала яркости изображения, модуль коррекции темных оттенков выполнен с возможностью корректировать темные оттенки в канале яркости изображения. 2 н. и 8 з.п. ф-лы, 17 ил.
Изобретение относится к области цифровой обработки изображений, а более конкретно к технике глобальной и локальной коррекции яркости цифровых фотографий.
В указанной области остро стоит проблема коррекции оттенков на изображениях с низким динамическим диапазоном в темных оттенках, причиной которых может быть, например контровое освещение или съемка со вспышкой в темном помещении.
Существует несколько направлений исследований по улучшению локального контраста цветных фотографий, в том числе коррекцией темных оттенков.
Интуитивно понятный и относительно простой метод локальной коррекции темных и светлых оттенков описан в патенте США №6822762 [1]. Величина коррекции зависит от значения маски, которая создается в результате размытия яркостного канала изображения линейным ФНЧ.
Похожий подход описан в патенте США №6792160 [2]. Близкие технологии используются в ряде программ для коррекции изображений, например, в пункте меню “Shadow/Highlight” Adobe Photoshop CS [3].
Основной недостаток данных подходов – это возникновение на изображении так называемого «halo – эффекта» – ореола вдоль резких перепадов яркости.
Несколько иной подход описан в другой серии патентов и заявок США (патент США №6760484 [4], выложенные заявки США №№2002/0154323 [5], 2002/0154832 [6], 2003/0161546 [7], 2004/0174571 [8]), которые предлагают способ коррекции теней, основанный на модификации алгоритма MultiScale Retinex (MSR). Кратко суть подхода следующая. Модифицированный MSR выполняется для канала яркости, которая вычисляется как максимальная из интенсивностей каналов R, G, В. Классический MSR описывается формулой:

где LPF – Гауссово размытие с различными дисперсиями
2.
В подходе [4]-[8] для Гауссова размытия используется ускоренная схема вычислений, в которую дополнительно вводится ряд пороговых значений. Описанный способ используется в технологии HP “Adaptive Lighting”.
В международной заявке WO 02/089060 [9] описывается метод улучшения изображений, основанный на Orthogonal Retino-Morphic Image Transform (ORMIT):

где Pi(x) – ортогональный базис функций X, определенный в диапазоне 0<х<1, Qi(x) – заданная аналитически или с помощью аппроксимации первообразная Рi(х), LPF – оператор низкочастотной фильтрации, F – весовая функция, N – число поддиапазонов, на которое разбивается весь доступный диапазон яркостей, а и b – константы, в общем случае, различные для каждого поддиапазона. Подбор соответствующих функций Рi(х) позволяет увеличить локальный контраст и уровень сигнала в темных оттенках. Описанный метод используется в технологии Nikon “D-Lighting”.
В статье Brajovic, V. “Brightness Perception, Dynamic Range and Noise: a Unified Model for Adaptive Image Sensors”, Proceedings of the 2004 IEEE Computer Society Conference on Computer Vision and Pattern Recognition, vol.: 2, pp.II-189-II-196 [10] описан способ воспроизведения изображений с большим динамическим диапазоном яркостей на устройствах, которые могут воспроизводить меньший диапазон яркостей. Данный способ описан для полутоновых (черно-белых изображений) и включает в себя коррекцию темных оттенков:
I=S(R+aL),
где а и S – константы, L – результат фильтрации (в данном случае размытия) с предохранением границ с высоким локальным контрастом, R – функция отношения исходной яркостной компоненты к L. Фильтрация выполняется для каждой строки изображения. Параметры фильтра основаны на оценке уровня шумов на изображении.
Рассмотренные методы не оценивают адаптивно необходимость и степень коррекции. В выложенной заявке США №2004/0120599 [11] описан вариант оценки присутствия контрового света на изображении. При этом изображения с контровым светом выявляются путем анализа гистограммы яркости для определения того, имеет ли гистограмма форму «перевернутого колокола» или двойной пик, путем сглаживания гистограммы, аппроксимации сглаженной гистограммы кривой, подсчета числа пересечений кривой с осью абсцисс, отнесения изображения к категории «контровых», если число пересечений больше или равно четырем.
Несмотря на большое число известных решений, все они имеют существенные недостатки:
– ряд методов описывает способ коррекции только для полутоновых (черно-белых) изображений и не описывает для цветных;
– в существующих методах не рассматривается связь коррекции темных оттенков с настройкой глобального контраста изображения;
– применение алгоритмов, основанных на локальном нелинейном маскировании, приводит к возникновению ореола (halo-эффекта) вдоль резких перепадов яркости на изображении. При применении алгоритмов, основанных на MSR или ORMIT, halo-эффект менее заметен и возникает только для определенного типа изображений, но также имеет место;
– применение любого из существующих алгоритмов ведет к увеличению уровня шумов в области темных оттенков;
– существующие решения не являются адаптивными, степень (сила) коррекции не определяется автоматически. Если подвергнуть коррекции качественное изображение, то его качество ухудшится. Часто имеет место уменьшение динамического диапазона оттенков в средних тонах.
Наиболее близким к заявляемому решению является подход, описанный в статье [10], который и выбран в качестве прототипа изобретения.
Задача, на решение которой направлено заявляемое изобретение, состоит в разработке системы и способа коррекции темных оттенков (теней) и глобального контраста преимущественно цветных цифровых фотографий, которые не приводят к возникновению halo-эффекта.
Технический результат достигается путем создания системы коррекции темных оттенков на цифровых фотографиях, которая содержит модуль глобального контрастирования, модуль конвертирования из цветовой системы RGB, модуль определения коэффициента усиления темных оттенков, модуль билатеральной фильтрации, модуль коррекции темных оттенков, модуль конвертирования в цветовую систему RGB, оперативную память, в которой хранится исходное изображение, устройство отображения, на которое выводится результат коррекции, причем выход модуля глобального контрастирования связан с входом модуля конвертирования из цветовой системы RGB, выход для передачи канала яркости модуля конвертирования из цветовой системы RGB связан со входами модуля определения коэффициента усиления темных оттенков, модуля билатеральной фильтрации и модуля коррекции темных оттенков, а выход для передачи каналов цветности модуля конвертирования из цветовой системы RGB связан со входом модуля конвертирования в цветовую систему RGB, выход модуля определения коэффициента усиления темных оттенков связан с входом модуля коррекции темных оттенков, выход модуля билатеральной фильтрации связан с входом модуля коррекции темных оттенков, выход модуля коррекции темных оттенков связан с входом модуля конвертирования в цветовую систему RGB, выход модуля конвертирования в цветовую систему RGB связан с входом устройства отображения, при этом модуль глобального контрастирования выполнен с возможностью коррекции глобального контраста изображения, модуль конвертирования из цветовой системы RGB выполнен с возможностью конвертирования изображения из цветовой системы RGB в трехкомпонентную цветовую систему, одна из составляющих которой является яркостью изображения, а две другие кодируют цвет, модуль конвертирования в цветовую систему RGB выполнен с возможностью конвертирования из трехкомпонентной цветовой системы, одна из составляющих которой является яркостью изображения, а две другие кодируют цвет, обратно в цветовую систему RGB, модуль определения коэффициента усиления темных оттенков выполнен с возможностью вычислять глобальную гистограмму яркости изображения и определять коэффициент усиления темных оттенков на основе анализа признаков, вычисленных из глобальной гистограммы яркости изображения, модуль билатеральной фильтрации выполнен с возможностью выполнять билатеральную фильтрацию канала яркости изображения, модуль коррекции темных оттенков выполнен с возможностью корректировать темные оттенки в канале яркости изображения.
Для функционирования системы имеет смысл, чтобы устройство отображения было выполнено в виде принтера или аналогичного по функциям устройства печати, или в виде монитора или аналогичного по функциям устройства.
Технический результат достигается также путем создания способа коррекции темных оттенков на цифровых фотографиях, включающий следующие действия:
– осуществляют коррекцию глобального контраста в модуле глобального контрастирования изображения и передают результат в модуль конвертирования из цветовой системы RGB,
– в модуле конвертирования из цветовой системы RGB конвертируют изображение из цветовой системы RGB в трехкомпонентную цветовую систему, одна из составляющих которой является яркостью изображения, а две другие кодируют цвет, и передают канал яркости в модуль определения коэффициента усиления темных оттенков, в модуль билатеральной фильтрации, в модуль коррекции темных оттенков, а каналы цветности передают в модуль конвертирования в цветовую систему RGB,
– определяют в модуле определения коэффициента темных оттенков коэффициент усиления темных оттенков путем анализа признаков, вычисляемых из глобальной гистограммы яркостей, и передают данный коэффициент в модуль коррекции темных оттенков,
– проводят билатеральную фильтрацию канала яркости в модуле билатеральной фильтрации и передают результат в модуль коррекции темных оттенков,
– вычисляют в модуле коррекции темных оттенков изображение деталей, являющееся функцией отношения изображений яркости и результата билатеральной фильтрации,
– корректируют в модуле коррекции темных оттенков темные оттенки в канале яркости путем добавления к каналу яркости произведения разности изображения деталей и яркости на инверсию яркости изображения и коэффициент усиления темных оттенков, в результате получают скорректированные значения яркости, которые передают в модуль конвертирования в цветовую систему RGB,
– конвертируют изображения в исходную цветовую систему RGB в модуле конвертирования в цветовую систему RGB и передают результат в устройство отображения.
При осуществлении способа важно, что изображение из цветовой системы RGB конвертируют в трехкомпонентную цветовую систему HSV (цветовой тон, насыщенность, яркость).
При осуществлении способа существенно, что проводят билатеральную фильтрацию канала яркости с использованием сеперабельного билатерального фильтра, в котором фильтрацию осуществляют сначала по строкам, а затем по столбцам изображения.
При осуществлении способа существенно, что проводят билатеральную фильтрацию канала яркости с использованием сеперабельного билатерального фильтра, в котором используют функции Гаусса со среднеквадратичными отклонениями по пространству
D=5 и по градациям яркости
R=0,1(2n-1), где n – глубина цвета на канал.
При осуществлении способа существенно, что определяют коэффициент усиления темных оттенков путем анализа признаков:
– доля оттенков в тенях,
– доля оттенков в первой половине теней,
– доля оттенков во второй половине теней,
– доля оттенков в полутонах,
– доля оттенков в светлых тонах,
– отношение максимума гистограммы в тенях к глобальному максимуму гистограммы,
– отношение максимума гистограммы в полутонах к глобальному максимуму гистограммы,
– отношение максимума гистограммы в светлых тонах к глобальному максимуму гистограммы,
– положение максимума гистограммы в тенях,
– положение максимума гистограммы в светлых тонах.
При осуществлении способа существенно, что вычисляют изображение деталей, при этом используют соотношение:
D=f(Vf,V)=(2n-1)kV/(Vf+b),
где D – яркость промежуточного изображения деталей, V – яркость исходного изображения, Vf – яркость изображения в результате билатеральной фильтрации яркости, b=3
R,
R – параметр билатерального фильтра, константа k=1,2, n – глубина цвета на канал.
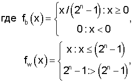
При осуществлении способа существенно корректируют темные оттенки в канале яркости, при этом используют соотношение:
V=fw(V+a(2n-1-V)fb(D-V)),
,

где D – яркость промежуточного изображения деталей, V – яркость исходного изображения, а – коэффициент усиления темных оттенков, n – глубина цвета на канал.
При осуществлении способа важно, что вычисляют изображение деталей и корректируют темные оттенки, при этом предварительно вычисляют двумерную таблицу перекодировки, в которой сохраняют скорректированные значения яркости в зависимости от яркости до коррекции, отраженной в номере строки таблицы и результата билатеральной фильтрации, отраженного в номере столбца таблицы.
Для лучшего понимания настоящего изобретения далее приводится его подробное описание с привлечением графических материалов.
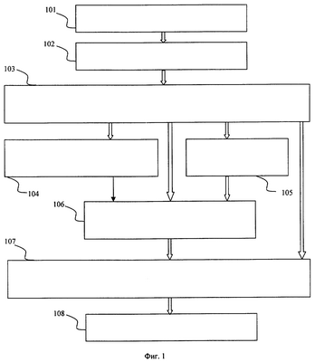
Фиг.1. Схема компонентов системы согласно изобретению.
Фиг.2. Блок-схема этапов коррекции согласно изобретению.
Фиг.3. Блок-схема глобального контрастирования.
Фиг.4. Блок-схема способа определения коэффициента усиления темных оттенков.
Фиг.5. Пример нормально экспонированной фотографии 5(а) и фотографии с контровым освещением 5(с) и их гистограмм яркости 5(b) и 5(d) соответственно.
Фиг.6. Таблица со значениями признаков и коэффициентами усиления темных оттенков для фотографий 5(а) и 5(с).
Фиг.7. Пример коррекции изображения, где (6а) – исходное изображение, 6(b) – результат коррекции, 6(с) – результат билатеральной фильтрации яркостной составляющей изображения, 6(d) – изображение деталей.
Фиг.8. Сравнение результатов предлагаемого способа коррекции исходного изображения 7(b) заявляемым способом 7(с) и способом, использующимся в коммерческой программе Adobe Photoshop CS пункт меню Shadow/Highlight 7(a).
Рассмотрим основные идеи, положенные в основу способа коррекции темных оттенков в данном изобретении на примере полутоновых фотографий с яркостями в диапазоне от 0 до 1.
Ряд фотографий, например, поврежденных сильным контровым освещением, имеют низкий динамический диапазон оттенков в темных областях. Для наблюдателя это приводит к тому, что детали в темных оттенках плохо различимы и являются более темными, чем на хорошо экспонированных фотографиях. Следовательно, для улучшения подобных фотографий необходимо увеличить локальный контраст и уровень яркости в темных оттенках. Пусть имеется изображение деталей D с высоким локальным контрастом, т.е. такое полутоновое изображение, детали на котором хорошо различимы. Тогда увеличить локальный контраст и усилить уровень сигнала в темных оттенках исходного полутонового изображения I можно с помощью следующего альфа-смешения I и D:

где
– альфа-канал в смысле прозрачности имеет значения, близкие к 1 в светлых тонах и близкие к 0 в темных тонах; коэффициент k регулирует усиление локального контраста в темных тонах. Данное соотношение смешивает исходное полутоновое изображение с частью изображения деталей. Раскрыв скобки можно записать данное соотношение в ином виде:

Человек распознает детали на изображении потому, что их яркость отличается от яркости фона в некоторой локальной области. Это утверждение аналогично простейшей физической модели формирования полутонового изображения I:

где L – освещенность (luminance) объектов изменяется относительно плавно, R – отражательная способность (reflectance) деталей объектов изменяется с высокой частотой (см. Horn, B.K.P. “Robot vision”, MIT Press, 1986 [12]).
Обычно локальный фон (или освещенность объекта сцены L) оценивают путем размытия изображения с помощью линейных ФНЧ, например Гауссова размытия. Однако это неверно с физической точки зрения, так как помимо слаборазличимых границ деталей объектов размываются и высококонтрастные границы между объектами, что дает плавное изменение L при переходе с объекта на объект с разной освещенностью. Идеальным решением для получения L является сегментация изображения на области с одинаковой освещенностью, однако данная задача на сегодняшний день является трудноразрешимой. Компромиссным вариантом является применение размытия с предохранением высококонтрастных границ.
Существует несколько типов фильтров с предохранением границ (edge preserving filters). В литературе они рассматриваются как фильтры для подавления шумов. Семейством простейших в реализации и эффективных с точки зрения временных затрат фильтров являются билатеральные (bilateral) фильтры (см. C.Tomasi, R.Manduchi “Bilateral Filtering for Gray and Color Images”, Proc. IEEE conf. on Computer Vision, 1998 [13]):

,
,
для всех (r,с) пикселов изображения, где I – яркость исходного изображения, If – яркость в результате билатеральной фильтрации, r – номер строки, с – номер столбца, S=3
D – размер пространственной маски фильтра, со среднеквадратичными отклонениями по пространству,
D – среднеквадратичное отклонение по пространству,
R – среднеквадратичное отклонение по градациям яркости,
D и
R являются параметрами фильтра.
В данном случае функции v и w являются функциями Гаусса, однако, следует отметить, что функции v и w могут быть иными, чем Гауссианы (см. J.J.Francis, G.de Jager “The Bilateral Median Filter”, Proc. of the 14th Annual Symposium of the Pattern Recognition Association of South Africa, 2003 [14]).
Вычислительная сложность билатерального фильтра в классическом виде (см. (4)) для изображения размера N×N есть O(N2S2), что требует значительных вычислительных затрат. Поэтому целесообразно применение сепарабельного билатерального фильтра, в котором фильтрация осуществляется сначала по строкам, а затем по столбцам изображения:


,
,
где I – яркость исходного изображения, Ir – яркость в результате билатеральной фильтрации по строкам, If – яркость в результате билатеральной фильтрации, r – номер строки, с – номер столбца, S=3
D – размер пространственной маски фильтра, со среднеквадратичными отклонениями по пространству,
D – среднеквадратичное отклонение по пространству,
R – среднеквадратичное отклонение по градациям яркости.
Вычислительная сложность сепарабельного билатерального фильтра составляет O(2·N2·S).
Согласно приведенным выше соображениям и формуле (3) изображение деталей является функцией отношения исходного полутонового изображения I и результата фильтрации билатерального фильтра If:

В качестве альфа-канала используют, например, само изображение или результат билатеральной фильтрации. В первом случае изображение получается чуть менее резким, но и менее шумным. Во втором случае изображение более четкое, но и уровень шумов немного увеличивается. В данном изобретении предпочтительным является первый случай.
Таким образом, формула (2) преобразуется к виду:

При реализации необходимо учесть глубину цвета обрабатываемого изображения и добавить к формуле (7) функции, препятствующие выходу за пределы допустимого диапазона яркостей.
Фиг.1 показывает схему взаимодействия основных компонентов системы. В оперативной памяти 101 хранится исходное цветное изображение размера N×M в цветовой системе RGB с глубиной цвета d по n=d/3 бит на канал. Если изображение хранится в оперативной памяти в цветовой системе, отличной от RGB, то требуется его предварительная конвертация в RGB. Для осуществления коррекции исходное изображение в цветовой системе RGB передается в модуль глобального контрастирования 102. Контрастированное изображение передается в модуль 103 конвертирования из цветовой системы RGB в трехкомпонентную цветовую систему, одна из составлящих которой является яркостью изображения, а две другие кодируют цвет. Далее изображение канала яркости передается в модули определения коэффициента усиления темных оттенков 104, в модуль билатеральной фильтрации 105 и в модуль коррекции темных оттенков 106. Цветовые составляющие передаются в модуль конвертирования в цветовую систему RGB 107. В модуле определения коэффициента усиления темных оттенков 104 вычисляется коэффициент усиления, который передается в модуль коррекции темных оттенков 106. В модуле билатеральной фильтрации осуществляется фильтрация канала яркости.
В модуль коррекции темных оттенков 106 передаются: из модуля определения коэффициента усиления темных оттенков 104 коэффициент усиления темных оттенков; из модуля конвертирования из цветовой системы RGB 103 изображение канала яркости; из модуля билатеральной фильтрации 105 результат фильтрации изображения канала яркости. Изображение скорректированного яркостного канала передается в модуль конвертирования в цветовую систему RGB 107. Скорректированное изображение выводится на устройство отображения 108. Устройством отображения может быть печатающее устройство, например принтер или монитор.
На фиг.2 приведена блок-схема этапов коррекции. На шаге 201 выполняют вычисление глобальной гистограммы Н яркостей пикселов изображения. На шаге 202 принимают решение о необходимости глобального контрастирования. Если два минимальных значения яркости или два максимальных значения яркости равны 0 (Н[0]==0 and H[1]==0) or (H[2n-3]==0 and Н[2n-2]==0), то выполняют глобальное контрастирование изображения (шаг 203). Блок-схема глобального контрастирования приведена на фиг.3. В процессе глобального контрастирования гистограмму Н вычисляют заново.
На шаге 204 изображение из цветовой системы RGB конвертируют в трехкомпонентную цветовую систему, одна из составляющих которой является яркостью изображения. Наиболее предпочтительной в данном изобретении является цветовая система HSV (цветовой тон, насыщенность, яркость). Для конвертирования используют алгоритм, описанный в J.D.Foley, A.van Dam, S.K.Feiner, J.F.Hughes “Computer graphics: principles and practice”, 2nd edition, Addison-Wesley pub., 1990 [15].
На шаге 205 по гистограмме Н вычисляют признаки и на их основе определяют коэффициент усиления темных оттенков а, а
[0, 1]. На шаге 206 составляющую V подвергают билатеральной фильтрации по формулам (5) с параметрами фильтра (среднеквадратичными отклонениями)
D=5,
R=0,1(2n-1). В результате фильтрации получают изображение Vf. На шаге 207 вычисляют изображение деталей D=f(Vf,V). Одним из наиболее предпочтительных вариантов f(Vf,V) является:

где b=3
R, k зависит от
R для данного
R k=1,2.
На шаге 208 выполняют коррекцию темных оттенков в канале V:

,
.
Необходимо отметить, что шаги 207 и 208 могут быть объединены в один и время их выполнения уменьшено за счет предварительного вычисления и хранения двумерной таблицы перекодировки (2-D Look-Up Table). 2-D LUT хранит скорректированные значения яркости в зависимости от исходной яркости, отраженной в номере строки таблицы и результата билатеральной фильтрации, отраженной в номере столбца таблицы. Таким образом уменьшается и общее время коррекции. Если размер оперативной памяти ограничен и нет возможности хранить матрицу размера (2n-1)×(2n-1), то можно построить 2-D LUT с прореживанием и вычислять скорректированные значения с помощью билинейной интерполяции по ближайшим значениям из прореженной таблицы. Например, для n=8 использование 2-D LUT размера 52×52 или 86×86 с последующей билинейной интерполяцией визуально неотличимо от использования 2-D LUT размера 256×256.
На шаге 209 изображение из цветовой системы HSV конвертируют в цветовую систему RGB.
На фиг.3 приведена блок-схема глобального контрастирования. На шаге 301 определяют нижнюю границу диапазона контрастирования:

где T1 и T2 – пороговые значения, причем порог T2 вводят, чтобы избежать излишнего ошибочного затемнения изображения,
На шаге 302 определяют верхнюю границу диапазона контрастирования:

На шаге 303 выполняют линейное растяжение значений RGB изображения на весь допустимый диапазон:

На шаге 303 модифицируют глобальную гистограмму яркостей Н.
На фиг.4 приведена блок-схема алгоритма определения коэффициента усиления темных оттенков а, реализующая простейший древовидный классификатор.
Предварительно по глобальной гистограмме яркостей Н вычисляют признаки. Весь диапазон яркостей разбивают на 3 поддиапазона:
,
,
.
Также вычисляют глобальный максимум гистограммы:

Вычисляют следующие признаки, нормированные в диапазон [0, 1].
Доля темных тонов:

Доля средних тонов:

Доля светлых тонов:

Доля оттенков в первой половине темных тонов:

Доля оттенков во второй половине темных тонов:

Отношение максимума гистограммы в темных тонах к глобальному максимуму гистограммы:

Отношение максимума гистограммы в средних тонах к глобальному максимуму гистограммы:

Отношение максимума гистограммы в светлых тонах к глобальному максимуму гистограммы:

Положение максимума гистограммы в темных тонах:

Положение максимума гистограммы в светлых тонах:

Выбор признаков и классификатора обусловлен следующими соображениями. Для фотографий с контровым освещением характерны большие пики в темных и/или светлых тонах и провал в средних тонах. Для недостаточно экспонированных фото, снятых при использовании вспышки, характерен большой пик в темных тонах. Общим фактом для всех фото с низким локальным контрастом в темных тонах является асимметрия гистограммы в области темных тонов: центр массгистограммы в темных тонах смещен ближе к началу диапазона яркостей.
Фиг.5 показывает гистограмму нормально экспонированной фотографии 5(а) и фотографии с сильным контровым освещением 5(с), а также их глобальные гистограммы яркости (5(b) и 5(d), соответственно). В таблице на фиг.6 приведены значения признаков и получающегося в результате работы классификатора коэффициента усиления темных оттенков для фотографий с фиг.5(а) и 5(с).
На фиг.7 показан пример коррекции: а – исходное изображение, b – улучшенное изображение предлагаемым способом, с – результат работы билатерального фильтра, d – изображение деталей, вычисленное по формуле (8).
Фиг.8 демонстрирует одно из преимуществ предлагаемого способа улучшения темных оттенков перед способом, используемым в Adobe Photoshop CS (пункт меню Shadow/Highlight): 8(a) – результат работы Photoshop CS Shadow/Highlight, 8(b) – первоначальная необработанная фотография, 8(с) – улучшенная предлагаемым способом фотография, 8(d) – графики изменения яркости вдоль отрезка прямой АВ. Применение Adobe Photoshop CS Shadow/Highlight приводит к возникновению хорошо заметного ореола вдоль контрастных границ, при применении предложенного способа коррекции изображений ореол отсутствует.
Предлагаемый способ может быть реализован в аппаратуре получения или печати изображений или в программных продуктах.
Предлагаемый способ применим для повышения качества изображений при их печати на фотопринтере.
При незначительных изменениях он также может быть использован для повышения качества захватываемых изображений в цифровых фотокамерах, мобильных телефонах с цифровыми фотокамерами, цифровых видеокамерах.
1. Система коррекции темных оттенков на цифровых фотографиях, содержащая модуль глобального контрастирования, модуль конвертирования из цветовой системы RGB, модуль определения коэффициента усиления темных оттенков, модуль билатеральной фильтрации, модуль коррекции темных оттенков, модуль конвертирования в цветовую систему RGB, оперативную память, в которой хранится исходное изображение, устройство отображения, на которое выводится результат коррекции, причем выход модуля глобального контрастирования связан с входом модуля конвертирования из цветовой системы RGB, выход для передачи канала яркости модуля конвертирования из цветовой системы RGB связан с входами модуля определения коэффициента усиления темных оттенков, модуля билатеральной фильтрации и модуля коррекции темных оттенков, а выход для передачи каналов цветности модуля конвертирования из цветовой системы RGB связан с входом модуля конвертирования в цветовую систему RGB, выход модуля определения коэффициента усиления темных оттенков связан с входом модуля коррекции темных оттенков, выход модуля билатеральной фильтрации связан с входом модуля коррекции темных оттенков, выход модуля коррекции темных оттенков связан с входом модуля конвертирования в цветовую систему RGB, выход модуля конвертирования в цветовую систему RGB связан с входом устройства отображения, при этом модуль глобального контрастирования выполнен с возможностью коррекции глобального контраста изображения, модуль конвертирования из цветовой системы RGB выполнен с возможностью конвертирования изображения из цветовой системы RGB в трехкомпонентную цветовую систему, одна из составляющих которой является яркостью изображения, а две другие кодируют цвет, модуль конвертирования в цветовую систему RGB выполнен с возможностью конвертирования из трехкомпонентной цветовой системы, одна из составляющих которой является яркостью изображения, а две другие кодируют цвет, обратно в цветовую систему RGB, модуль определения коэффициента усиления темных оттенков выполнен с возможностью вычислять глобальную гистограмму яркости изображения и определять коэффициент усиления темных оттенков на основе анализа признаков, вычисленных из глобальной гистограммы яркости изображения, модуль билатеральной фильтрации выполнен с возможностью выполнять билатеральную фильтрацию канала яркости изображения, модуль коррекции темных оттенков выполнен с возможностью корректировать темные оттенки в канале яркости изображения.
2. Система по п.1, отличающаяся тем, что устройство отображения выполнено в виде принтера, монитора или аналогичного по функциям устройства отображения.
3. Способ коррекции темных оттенков на цветных цифровых изображениях, включающий следующие операции: осуществляют коррекцию глобального контраста в модуле глобального контрастирования изображения и передают результат в модуль конвертирования из цветовой системы RGB, в модуле конвертирования из цветовой системы RGB конвертируют изображение из цветовой системы RGB в трехкомпонентную цветовую систему, одна из составляющих которой является яркостью изображения, а две другие кодируют цвет, и передают канал яркости в модуль определения коэффициента усиления темных оттенков, в модуль билатеральной фильтрации, в модуль коррекции темных оттенков, а каналы цветности передают в модуль конвертирования в цветовую систему RGB, определяют в модуле определения коэффициента темных оттенков коэффициент усиления темных оттенков путем анализа признаков, вычисляемых из глобальной гистограммы яркостей, и передают данный коэффициент в модуль коррекции темных оттенков, проводят билатеральную фильтрацию канала яркости в модуле билатеральной фильтрации и передают результат в модуль коррекции темных оттенков, вычисляют в модуле коррекции темных оттенков изображение деталей, являющееся функцией отношения изображений яркости и результата билатеральной фильтрации, корректируют в модуле коррекции темных оттенков темные оттенки в канале яркости путем добавления к каналу яркости произведения разности изображения деталей и яркости на инверсию яркости изображения и коэффициент усиления темных оттенков, в результате получают скорректированные значения яркости, которые передают в модуль конвертирования в цветовую систему RGB, конвертируют изображения в исходную цветовую систему RGB в модуле конвертирования в цветовую систему RGB и передают результат в устройство отображения.
4. Способ по п.3, отличающийся тем, что изображение из цветовой системы RGB конвертируют в трехкомпонентную цветовую систему HSV.
5. Способ по п.3, отличающийся тем, что проводят билатеральную фильтрацию канала яркости с использованием сеперабельного билатерального фильтра, в котором фильтрацию осуществляют сначала по строкам, а затем по столбцам изображения.
6. Способ по п.5, отличающийся тем, что проводят билатеральную фильтрацию канала яркости с использованием сеперабельного билатерального фильтра, в котором используют функции Гаусса со среднеквадратичными отклонениями
D=5 и
R=0,1(2n-1), где n – глубина цвета на канал.
7. Способ по п.3, отличающийся тем, что определяют коэффициент усиления темных оттенков путем анализа признаков: доля оттенков в тенях, доля оттенков в первой половине теней, доля оттенков во второй половине теней, доля оттенков в полутонах, доля оттенков в светлых тонах, отношение максимума гистограммы в тенях к глобальному максимуму гистограммы, отношение максимума гистограммы в полутонах к глобальному максимуму гистограммы, отношение максимума гистограммы в светлых тонах к глобальному максимуму гистограммы, положение максимума гистограммы в тенях, положение максимума гистограммы в светлых тонах.
8. Способ по п.3, отличающийся тем, что вычисляют изображение деталей, при этом используют соотношение:
константа k=1,2, n – глубина цвета на канал.
9. Способ по п.3, отличающийся тем, что корректируют темные оттенки в канале яркости, при этом используют соотношение:
n – глубина цвета на канал.
10. Способ по п.3, отличающийся тем, что вычисляют изображение деталей и корректируют темные оттенки, при этом предварительно вычисляют двумерную таблицу перекодировки, в которой сохраняют скорректированные значения яркости в зависимости от яркости до коррекции, отраженной в номере строки таблицы, и результата билатеральной фильтрации, отраженного в номере столбца таблицы.