|
(21), (22) Заявка: 2006100794/28, 10.01.2006
(24) Дата начала отсчета срока действия патента:
10.01.2006
(46) Опубликовано: 27.04.2007
(56) Список документов, цитированных в отчете о поиске:
RU 54209 U1, 10.06.2006. RU 2004117291 А, 20.11.2005. RU 2210004 С1, 10.08.2003. RU 2263322 С1, 27.10.2005. SU 1252734 А1, 23.08.1986. US 4595988 А, 17.06.1986. JP 11-344514 А, 14.12.1999.
Адрес для переписки:
634050, г.Томск, пр. Ленина, 30, Томский политехнический университет, отдел интеллектуальной и промышленной собственности
|
(72) Автор(ы):
Гольдштейн Ефрем Иосифович (RU), Кац Илья Маркович (RU)
(73) Патентообладатель(и):
Государственное образовательное учреждение высшего профессионального образования Томский политехнический университет (RU)
|
(54) СПОСОБ ФУНКЦИОНАЛЬНОГО КОНТРОЛЯ СТАТИЧЕСКИХ И ДИНАМИЧЕСКИХ ЭЛЕМЕНТОВ ТРЕХФАЗНЫХ ЭЛЕКТРОТЕХНИЧЕСКИХ И ЭЛЕКТРОМЕХАНИЧЕСКИХ СИСТЕМ
(57) Реферат:
Предложенное изобретение относится к области электромеханики, а именно к применению средств обработки информации в электромеханике, и может быть использовано для функционального контроля трехфазных трансформаторов, линий электропередач и асинхронных двигателей с короткозамкнутым ротором. Задачей изобретения является создание простого, быстрого и универсального способа функционального контроля указанных выше объектов. Предложенный способ заключается в том, что производят аналого-цифровое преобразование сигналов токов и напряжений трех фаз с выходов трансформаторов тока и напряжения, далее оцифрованные сигналы токов iA(tj), iB(tj), iC(tj) и напряжений uA(tj), uB(tj), uC(tj), измеренные в момент времени tj, запоминают с помощью кольцевой памяти, одновременно с этим по данным сигналам и сигналам iA(tj-1), iB(tj-1), iC(tj-1) и uA(tj-1), uB(tj-1), uC(tj-1), измеренным в момент времени tj-1, в течение одного периода входного напряжения/тока, определяют значения диагностических коэффициентов для каждой из фаз Ф, далее сравнивают полученные значения диагностических коэффициентов со значениями образцовых коэффициентов Н А, Н В, Н С, полученных по аналогичной процедуре для заведомо исправной нагрузки, кроме того, при настойке системы вводят в блок памяти значение допустимой разности образцовых коэффициентов  Н, сравнивают их с измеренными значениями и делают вывод о состоянии контролируемого объекта. 1 ил., 3 табл.
Изобретение относится к области электромеханики, а именно к применению средств обработки информации в электромеханике, и может быть использовано для функционального контроля трехфазных трансформаторов, линий электропередач и асинхронных двигателей с короткозамкнутым ротором.
В настоящее время аналоги не известны.
Задачей изобретения является создание простого, быстрого и универсального способа функционального контроля линий электропередач, трансформаторов и асинхронных двигателей в рабочем режиме.
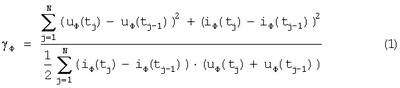
Это достигается тем, что производят аналого-цифровое преобразование сигналов токов и напряжений трех фаз с выходов трансформаторов тока и напряжения. Далее оцифрованные сигналы токов iA(tj), iB(tj), iC(tj) и напряжений uA(tj), uB(tj), uC(tj), измеренные в момент времени tj, запоминают с помощью кольцевой памяти. Одновременно с этим по данным сигналам и сигналам iA(tj-1), iB(tj-1), iC(tj-1) и uA(tj-1), uB(tj-1), uC(tj-1), измеренным в момент времени tj-1, в течение одного периода входного напряжения/тока, определяют значения диагностических коэффициентов для каждой из фаз

где Ф – значение диагностического коэффициента для одной из фаз;
iФ(tj-1) и uФ(tj-1) – мгновенные значения токов и напряжений одной из фаз, измеренные в момент времени tj-1;
iФ(tj) и uФ(tj) – мгновенные значения токов и напряжений одной из фаз, измеренные в момент времени tj;
N – число дискретных значений выходного сигнала напряжения/тока аналого-цифрового преобразователя на периоде входного сигнала.
Далее сравнивают полученные значения диагностических коэффициентов со значениями образцовых коэффициентов Н А, Н В, Н С, полученных по аналогичной процедуре для заведомо исправной нагрузки, которые введены в блок памяти на стадии настройки системы функционального контроля. Кроме того, при настройке системы вводят в блок памяти значение допустимой разности образцовых коэффициентов  Н, определенной по выражениям

где, в качестве допустимой разности  Н принимают наибольшее значение из разностей  1,  2 и  3.
Сравнение диагностических коэффициентов для каждой фаз производят по выражению

где  Ф – разность значений расчетного и образцового диагностического коэффициента для одной из фаз.
При этом условием исправности контролируемого объекта является выполнение неравенства

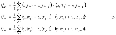
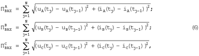
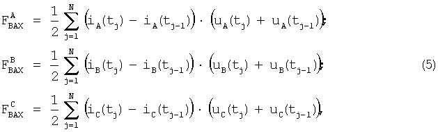
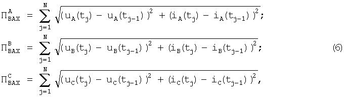
Известно, что определение площади вольтамперной характеристики (FВАХ) и ее периметра (ПВАХ


где в (5) и (6)
iA(tj-1), iB(tj-1), iC(tj-1) и uA(tj-1), uB(tj-1), uC(tj-1) – мгновенные значение токов и напряжений фаз А, В, С, измеренные в момент времени tj-1;
iA(tj), iB(tj), iC(tj) и uA(tj), uB(tj) и uC(tj) – мгновенные значение токов и напряжений фаз А, В, С, измеренные в момент времени tj;
N – число дискретных значений выходного сигнала напряжения/тока аналого-цифрового преобразователя на периоде входного сигнала.
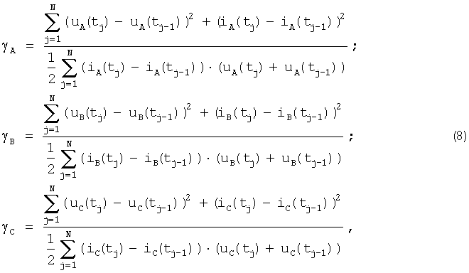
На основе выражений (5) и (6) для каждой из фаз можно определить значения диагностических коэффициентов A> B и C характеризующие вольтамперные характеристики по следующим выражениям:

Если с определенной периодичностью вести сопоставление текущих значений разностей диагностических коэффициентов со значением допустимой разности, то при их резком различии может быть сделан вывод о неисправности электрооборудования.
Таким образом, предлагаемый способ позволяет производить функциональный контроль работающего электрооборудования по массивам мгновенных значений токов и напряжений трех фаз путем их измерения в течение одного периода тока/напряжения, вычисления диагностических коэффициентов и сравнения их. Универсальность способа заключается в том, что диагностические коэффициенты находятся по одинаковым процедурам для любого типа вышеперечисленного электрооборудования, а за образцовые коэффициенты принимают значения коэффициентов, вычисленных для заведомо исправного конкретного электрооборудования, работающего в нормальном режиме.
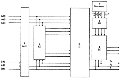
На чертеже приведена функциональная блок-схема способа.
В таблице 1 приведены числовые результаты расчета оценочных коэффициентов, площадей и периметров вольтамперных характеристик для случая работы трансформатора 110/35 кВ в нормальном режиме и при несимметрии напряжения на питающих шинах.
В таблице 2 приведены числовые результаты расчета оценочных коэффициентов, площадей и периметров вольтамперных характеристик фазы А для случая работы электроцентробежных насосов в нормальном режиме.
В таблице 3 приведены числовые результаты расчета оценочных коэффициентов, площадей и периметров вольтамперных характеристик для случая работы линии электропередачи 220 кВ в нормальном режиме и при замыканиях фаз А и В.
Предложенный способ диагностики может быть реализован, например, с помощью функциональной блок-схемы, которая представлена на чертеже. Она содержит аналого-цифровой преобразователь (АЦП) 1; блок кольцевой памяти (КП) 2; программатор вычисления диагностических коэффициентов (П) 3; блок сравнения (БС) 4; блок ввода образцовых коэффициентов (Блок ввода) 5; блок памяти (БП) 6.
К входам аналого-цифрового преобразователя (АЦП) 1 присоединены трансформаторы тока и напряжения (не показаны). Выходы преобразователя (АЦП) 1 связаны с входами блока кольцевой памяти (КП) 2 и с входами программатора (П) 3. Выходы блока кольцевой памяти (КП) 2 связаны с входами программатора (П) 3. Выходы программатора (П) 3 соединены с входами блока сравнения (БС) 4 и с входами сегментных индикаторов (не показаны). Выходы блока ввода образцовых коэффициентов (Блок ввода) 5 соединены с входами блока памяти (БП) 6. Выходы блока памяти (БП) 6 соединены с входами блока сравнения (БС) 4. Выходы блока сравнения (БС) 4 соединены с входами сегментных индикаторов (не показаны).
В качестве аналого-цифрового преобразователя (АЦП) 1 может быть выбран, например, аналого-цифровой преобразователь серии МАХ 186 (12 бит). Блок кольцевой памяти (КП) 2 и блок памяти (БП) 6 могут быть реализованы на внешней перезаписываемой памяти данных Amtel AT25L256 (32 кБайта). Программатор (П) 3 может быть выполнен на микроконтроллере серии 51 производителя Atmel AT89S53.
Рассмотрим несколько режимов работы трансформатора 110/35 кВ, установленного на подстанции Томской энергосистемы.
При поступлении аналоговых сигналов токов и напряжений трех фаз с трансформаторов тока и напряжения (не показаны) на вход аналого-цифрового преобразователя 1 происходит их преобразование в цифровой сигнал при числе дискретных значений выходного сигнала аналого-цифрового преобразователя на периоде входного сигнала N=24. Оцифрованные сигналы токов iА(tj), iB(tj), iC(tj) и напряжений uA(tj), uB(tj), uC(tj), измеренные в момент времени tj, поступают одновременно на вход блока кольцевой памяти (КП) 2 и на вход программатора (П) 3. В блоке кольцевой памяти (КП)2 запоминают текущие значения токов iA(tj), iB(tj), iC(tj) и напряжений uA(tj), uB(tj), uC(tj) для использования их в последующий момент времени. С выходов блока кольцевой памяти (КП) 2 сигналы iA(tj-1), iB(tj-1), iC(tj-1) и uA(tj-1), uB(tj-1), uC(tj-1), соответствующие моменту времени tj-1, поступают на вход программатора (П) 3. Одновременно с этим, на соответствующие входы программатора (П) 3 поступают сигналы токов с выходов аналого-цифрового преобразователя (АЦП) 1. В программаторе (П) 3 по следующим выражениям производят расчет диагностических коэффициентов:

где N – число дискретных значений выходного сигнала напряжения/тока аналого-цифрового преобразователя на периоде входного сигнала (N=24).
С выходов программатора (П) 3 сигнал поступает на входы блока сравнения (БС) 4 и на соответствующие входы сегментных индикаторов (не показаны). С помощью блока ввода образцовых коэффициентов (Блок ввода) 5 задают значения образцовых коэффициентов и значение допустимой разности  Н. С него сигнал поступает на вход блока памяти (БП) 6. С выходов блока памяти (БП) 6 сигнал поступает на блок сравнения (БС) 4, где по соотношениям (3) происходит вычисление значений  Ф и их сравнение с допустимыми значениями  Н. С выхода блока сравнения (БС) 4 сигнал об исправности или неисправности контролируемой трехфазной системы и значения диагностических коэффициентов для каждой фазы поступают на соответствующие входы сегментных индикаторов (не показаны).
В табл.1 приведены результаты расчетов коэффициентов для трансформатора 110/35 кВ, работающего в нормальном режиме и при несимметрии питающего напряжения на зажимах данного трансформатора. В случае нормального режима производят настройку системы диагностики путем расчета по выражениям (8) значений образцовых диагностических коэффициентов Н А, Н В, Н С и допустимой разности  Н

где , ^, – образцовые диагностические коэффициенты, рассчитанные для нормального режима работы трансформатора.
В качестве допустимой разности  Н принимают наибольшее значение из разностей  1,  2 и  2.
Эти значения вводятся в блок памяти (БП) 6 с помощью блока ввода 5.
Оценку исправности системы для каждой фазы производятся по условию, что разность значений расчетного и образцового диагностических коэффициентов для одной из фаз меньше или равна их допустимой разности  Н.
Затем по выражениям (3) находят разности значений расчетного и образцового диагностического коэффициента для каждой из фаз:

Так как значение  С больше допустимой разности  Н, то система выдает сигнал о неисправности в фазе С.
В табл.2 приведен пример расчетов оценочных коэффициентов для работающих в нормальном режиме электроцентробежных насосов. По причине отсутствия данных по другим фазам расчеты, аналогичные для случаев, описанных в табл.1, не могут быть проведены, однако мы можем судить об исправности данного оборудования путем сопоставления диагностических коэффициентов, рассчитанных для ряда аналогичного оборудования, работающего в нормальном режиме.
В табл.3 приведен пример расчетов коэффициентов для линии электропередачи, работающей в нормальном и аварийных режимах. В данном случае допустимая разность коэффициентов  Н=334. В случае замыкания фазы А, разности значений расчетных и образцовых диагностических коэффициентов равны  А=9550,  В=255,  С=103. Система диагностики выдает сигнал о неисправности в фазе А, так как значение  А больше допустимого значения. В случае замыкания фаз А и В, разности значений расчетных и образцовых диагностических коэффициентов равны  А=8434,  В=13911,  С=327. Система диагностики выдает сигнал о неисправности в фазах А и В, так как значения  А и  В больше допустимого значения.
Как видно из табл.1, табл.2, табл.3, значения коэффициентов в нормальном режиме работы для всех фаз примерно одинаковы. При отклонениях режима работы оборудования от нормального происходит резкое изменение значений диагностических коэффициентов у соответствующих фаз.
Таблица 1. СПОСОБ ФУНКЦИОНАЛЬНОГО КОНТРОЛЯ СТАТИЧЕСКИХ И ДИНАМИЧЕСКИХ ЭЛЕМЕНТОВ ТРЕХФАЗНЫХ ЭЛЕКТРОТЕХНИЧЕСКИХ И ЭЛЕКТРОМЕХАНИЧЕСКИХ СИСТЕМ |
| Фаза |
 |
F*107 |
П*105 |
Примечания |
| А |
13280 |
1,252 |
4.077 |
Нормальный режим работы трансформатора |
| В |
9919 |
1.455 |
3.799 |
| С |
7273 |
1.521 |
3.326 |
| А |
15080 |
1.21 |
4.271 |
Несимметрия напряжения на питающих шинах трансформатора |
| В |
9650 |
1.548 |
3.865 |
| С |
1188 |
6.495 |
6.495 |
| Таблица 2. |
| Фаза |
 |
F*104 |
П*103 |
Примечания |
| А |
113 |
2.258 |
1.558 |
Скважина №221 |
| Нормальный режим |
| А |
149 |
1.266 |
1.586 |
Скважина №2716 |
| Нормальный режим |
| Таблица 3. |
| Фаза |
 |
F*107 |
П*105 |
Примечания |
| А |
13971 |
3.988 |
7.47 |
Нормальный режим работы ЛЭП |
| В |
14029 |
4.174 |
7.668 |
| С |
13695 |
4.473 |
8.35 |
| А |
4421 |
-9.189 |
6.374 |
Замыкание фазы А на Землю |
| В |
13774 |
4.988 |
7.608 |
| С |
13592 |
4.172 |
8.355 |
| А |
5537 |
-7.195 |
6.312 |
Замыкание фаз А и В |
| В |
118 |
-7.848 |
6.509 |
| С |
13644 |
5.768 |
7.611 |
Формула изобретения
Способ функционального контроля статических и динамических элементов трехфазных электротехнических и электромеханических систем, отличающийся тем, что производят аналого-цифровое преобразование сигналов токов и напряжений трех фаз с выходов трансформаторов тока и напряжения, далее оцифрованные сигналы токов iA(tj), iB(tj), iC(tj) и напряжений uA(tj), uB(tj), uC(tj), измеренные в момент времени tj, запоминают с помощью кольцевой памяти, одновременно с этим по данным сигналам и сигналам iA(tj-1), iB(tj-1), iC(tj-1) и uA(tj-1), uB(tj-1), uC(tj-1), измеренным в момент времени tj-1, в течение одного периода входного напряжения/тока, определяют значения диагностических коэффициентов для каждой из фаз

где Ф – значение диагностического коэффициента для одной из фаз;
iФ(tj-1) и uФ(tj-1) – мгновенные значения токов и напряжений одной из фаз, измеренные в момент времени tj-1;
iФ(tj) и uФ(tj) – мгновенные значения токов и напряжений одной из фаз, измеренные в момент времени tj;
N – число дискретных значений выходного сигнала напряжения/тока аналого-цифрового преобразователя на периоде входного сигнала,
далее сравнивают полученные значения диагностических коэффициентов со значениями образцовых коэффициентов Н А, Н В, Н С, полученных по аналогичной процедуре для заведомо исправной нагрузки, которые введены в блок памяти на стадии настройки системы функционального контроля, кроме того, при настройке системы вводят в блок памяти значение допустимой разности образцовых коэффициентов  Н, определенной по выражениям



где в качестве допустимой разности  Н принимают наибольшее значение из разностей  1,  2 и  3;
сравнение диагностических коэффициентов для каждой фазы производят по выражению
 Ф=| Ф– H Ф|,
где  Ф – разность значений расчетного и образцового диагностического коэффициента для одной из фаз;
при этом условием исправности контролируемого объекта является выполнение неравенства
 Ф  Н.
РИСУНКИ
MM4A – Досрочное прекращение действия патента СССР или патента Российской Федерации на изобретение из-за неуплаты в установленный срок пошлины за поддержание патента в силе
Дата прекращения действия патента: 11.01.2008
Извещение опубликовано: 10.11.2009 БИ: 31/2009
|