Патент на изобретение №2157806
|
||||||||||||||||||||||||||
(54) СПОСОБЫ СИНТЕЗА ЗАМЕЩЕННЫХ СУЛЬФОКСИДОВ
(57) Реферат: Энантиоселективный синтез сульфоксида формулы I или его щелочной соли в виде одиночного энантиомера или в энантиомерно обогащенной форме, в которой Het1 является остатком формулы (а) или (б), а Het2 – остаток формулы (в) или (г), Х является -CH(R10)- или -СH6H2(R11)(R12) (другие обозначения см. в формуле изобретения), заключается в окислении прохирального сульфида формулы II в органическом растворителе окисляющим агентом в присутствии хирального комплексного соединения титана и основания. Способы простые, имеют одну стадию реакции, что делает их приемлемыми для крупномасштабного производства энантиомерных соединений с высоким выходом и высоким энантиомерным избытком. 5 с. и 13 з.п.ф-лы. ![]()
Область техники Настоящее изобретение относится к способу энантиоселективного синтеза одиночных энантиомеров замещенных сульфоксидов или упомянутых соединений в энантиомерно обогащенной форме. Такими замещенными сульфоксидами, которые могут быть получены новым способом, являются, например, одиночные энантиомеры омепразола, а также одиночные энантиомеры других структурно родственных сульфоксидов. Полученные продукты можно затем превратить посредством общепринятых способов в их фармацевтически приемлемые соли. Кроме того, изобретение относится к некоторым новым отдельным энантиомерным соединениям, которые могут быть получены новым способом, и к их применению в медицине. Предпосылки создания изобретения и предшествующий уровень техники Существует большое количество патентов и заявок на патент, в которых описаны различные замещенные 2-(2-пиридинилметилсульфонил)-1Н-бензимидазолы. Этот класс соединений обладает свойствами, которые делают эти соединения пригодными в качестве ингибиторов секреции желудочной кислоты. Так, например, соединение (5-метокси-2-[[(4-метокси-3,5- диметил-2-пиридинил)метил] сульфонил] бензимидазол), имеющее общее название омепразол и описанное в ЕР 5129, является пригодным в качестве противоязвенного средства. Другими представляющими интерес соединениями являются, например, соединения, имеющие общепринятые названия лансопразол, пантопразол, парипразол и леминопразол.
Эти соединения, а также структурно родственные сульфоксиды, имеют стереогенный центр у атома серы и поэтому существуют в виде двух оптических изомеров, т. е. энантиомеров. Если в молекуле есть другой стереогенный центр, эти соединения могут существовать в виде пар энантиомеров. Соответствующие сульфиды таких соединений, которые уже содержат стереогенный центр, являются не прохиральными соединениями, а хиральными соединениями. Однако атом серы в этих соединениях не имеет асимметрии и поэтому их относят в настоящем изобретении к прохиральным сульфидам.
Несмотря на то, что этот класс хиральных сульфоксидов обсуждается в научной литературе с 70-х годов, до сих пор не описано эффективного асимметричного способа для синтеза их одиночных энантиомеров. К одиночным энантиомерам фармакологически активных соединений, вследствие их улучшенных фармакокинетических и биологических свойств, был проявлен повышенный интерес. Поэтому существует большая потребность и необходимость в создании такого энатиоселективного способа, который можно использовать в крупном масштабе для производства одиночных энантиомеров фармакологически активных соединений, например таких как оптически чистые, замещенные 2-(2-пиридинилметилсульфинил) бензимидазолы.
Существуют разные способы разделения различных замещенных 2-(2-пиридинил)метилсульфинил) бензимидазолов, раскрытые в предшествующем уровне техники в данной области. Такие способы описаны, например, в DE 4035455 и W0 94/27988. Эти способы включают стадии синтеза, во время которых из рацемата соответствующих замещенных 2-(2-пиридинилметилсульфинил) бензимидазолов синтезируют диастереомерную смесь. Затем диостереомеры разделяют, и, в конечном счете, один из отделенных диастереомеров превращают на стадии гидролиза в оптически чистый сульфоксид.
Эти способы разделения, включающие диостеромерные промежуточные соединения, обладают, по крайней мере, тремя существенными недостатками, а именно:1) Замещенный 2-(2-пиридинилметилсульфинил) бензимидазол в виде рацемического промежуточного соединения затем, перед получением одиночных энантиомеров, должен быть подвергнут обработке на двух реакционных стадиях.
2) Описанные способы разделения включают сложные стадии выделения.
3) Существует большое количество потерь высокочистого материала в том случае, когда нежелательный стереоизомер, находящийся в форме противоположного диастереомера, отделяют и выбрасывают.
В предшествующем уровне техники описан, кроме того, энантиоселективный синтез одиночных энантиомеров сульфоксидного реагента Ro 18-5364 (5,7-дигидро-2-[[4-метокси-3- метил-2-пиридинил)метил] -сульфонил] -5 5,7,7-тетраметилинденo-[5,6 ] -имидaзoлa-6- -oдин) (см. Euro. J.Bioсhem. 166 (1987) 453). Описанный способ основан на энантиоселективном окислении соответствующего прохирального сульфида в упомянутый сульфоксид. Экспериментальные условия окисления устанавливают в соответствии с асимметричным способом окисления сульфида, разработанным Каганом и сотрудниками (Pitchen, P., Deshmukh, М. , Dunach, Е., Kagan Н.В. J. Am. Chem. Soc. 106 (1984), 8188). Авторы сообщают, что полученный сырой продукт сульфоксид, показывающий энантиомерный избыток составляющий 30%, можно очистить до, по существу, оптически чистого сульфоксида посредством нескольких стадий кристаллизации. Однако о выходах и количестве стадий кристаллизации не сообщается.
Интересно отметить, что попытки Заявителя повторить описанные выше экспериментальные условия получения одиночных энантиомеров Ro 18-5364 позволили получить сырой сульфоксид с энантиомерным избытком, составляющим только 16%.
Для того чтобы получить представляющие интерес оптически чистые 2-(2-пиридинилметилсульфинил) бензимидазолы, например один из одиночных энантиомеров омепразола, Заявитель получил при использовании вышеописанного способа сырые сульфоксиды с обычным энантиомерным избытком около 5% или даже ниже (см. ссылочный пример А, приведенный ниже).
В вышеупомянутом способе асимметричного окисления сульфидов в сульфоксиды, разработанном Каганом и сотрудниками (J.Amer. Chem. Soc. (1984), процитированном выше), окисление осуществляют с использованием в качестве окислителя третбутилгидропероксида в присутствии одного эквивалента хирального комплексного соединения, полученного из Ti(OiPr)4/(+) или (-)диэтилтартрата/воды при молярном отношении 1:2:1.
Каган и сотрудники сообщили, что сульфоксидные продукты с самой высокой энантиоселективностью могут быть получены, когда асимметричному окислению подвергают сульфиды, содержащие два заместителя очень разных размеров. Когда асимметричному окислению подвергают, например, арилметилсульфиды, можно получить арилметилсульфоксиды при энантиомерном избытке более чем 90%.
Однако, когда заместители, присоединенные к атому серы прохирального сульфида, имеют относительно одинаковые размеры, получают посредственную или плохую энантиоселективность. Когда, например, окислению в условиях, предложенных Каганом и сотрудниками, подвергают бензил-p-толилсульфоксид, то получают е.е., равный только 7%.
Были предприняты попытки усовершенствовать условия асимметричного окисления сульфидов. Например, Каган и сотрудники (Zha, S.; Samuel.; Kagan, Н.В. Tetrahedron (1987), 43, 5135) обнаружили, что повышенную энантиоселективность можно обычно получить, если в системе, указанной выше, заменить трет-бутилгидропероксид при окислении сульфида гидропероксидом кумола. Энантиомерный избыток, равный 96%, можно, например, получить при асимметричном окислении метил-p-толилсульфида.
Поэтому в предложенном способе асимметричного окисления сульфидов Каган использовал гидропероксид кумола с системой Ti(O-iPr)4/диэтилтартрат/вода (1:2:1) в метиленхлориде при -23oC. Авторы сообщают о снижении энантиоселективности, когда количество титанового реагента составляет менее чем 0,5 эквивалента (см. Tetrahedron (1987), указанный выше).
Используя этот усовершенствованный способ асимметрического окисления с одним эквивалентом титанового реагента для получения оптически чистых 2-(2-пиридинилметилсульфинил) бензимидазолов, например, одного из одиночных энантиомеров омепразола. Заявитель получил обычный энантиомерный избыток, составляющий 10% (см. Ссылочный пример B, приведенный ниже).
Реакционные условия и их применимость в отношении энантиомерного избытка, полученного для хиральных сульфоксидов, в общем также обсуждались Каганом и сотрудниками (см. Synlett (1990), 643). Так, например, было найдено, что для получения высокой энантиоселективности необходима температура -20oC и в некоторых случаях для получения самой высокой энантиоселективности Каган и сотрудники использовали такую низкую температуру, как -40oC. Кроме того, авторы установили, что изменение органического растворителя, используемого при окислении, например, метиленхлорида, на толуол, приведет к уменьшению энантиоселективности. В качестве предпочтительных растворителей для окисления обсуждались метиленхлорид и 1,2-дихлорэтан. Следует отметить, что ни низкие температуры, ни предложенные растворители не являются удовлетворительными с промышленной точки зрения.
Недавно Питченом и сотрудниками (Pitchen, P.; France, C.J.; Mc.Farlane, I. M. ; Newton, C.G.; Thompson, D.M.Tetrahedron Letters (1994), 35, 485) был разработан крупномасштабный асимметричный синтез ингибитора ацилхолестеринацил-трансферазы (АСАТ). Указанный ингибитор АСАТ под общепринятым названием “соединение RP 73163” представляет хиральный сульфоксид, содержащий одну 4,5-дифенил-2-имидазолильную группу и одну 5-(3,5-диметил-1-пиразолил)-1-пентильную группу в стереогенном центре, т.е. на атоме серы. Однако соединение, которое не является соединением в соответствии с настоящим изобретением типа замещенного 2-(2-пиридинилметилсульфинил) бензимидазола, имеет две больших замещающих группы, присоединенные к стереогенному центру, точно так же как и соединения, полученные в настоящем изобретении.
Сначала соответствующий прохиральный сульфид RP 73163, имеющий эти два больших заместителя у атома серы, окисляли с использованием вышеупомянутого способа асимметричного окисления, предложенного Каганом (см. Tetrahedron (1987), указанный выше). Сообщалось, что сульфоксид получили с хорошим химическим выходом, но энантиомерный избыток сульфоксида при этом был равен 0% (рацемическая смесь).
Однако эти обескураживающие результаты не явились неожиданными для химика, так как в литературе указывались самые высокие энантиоселективности для реакций, моделируемых тертратом титана в случае окисления стойких (например, циклических) сульфидов или сульфидов, имеющих два заместителя очень отличающихся размеров. Авторы сделали вывод, что на энантиоселективность этого типа окислений влияют, главным образом, стерические эффекты.
Принимая во внимание информацию, опубликованную в литературе, и для того чтобы иметь подходящий прохиральный субстрат для асимметричного окисления, Питчен и сотрудники (см. Tetrahedron Letters (1994), указанный выше), решили уменьшить размер одного из заместителей, присоединенных в сульфиде к атому серы. Выбранным промежуточным соединением для такого процесса может быть N-защищенный 4,5-дифенил-2-имидазолилметилсульфид, который получают после окисления в виде соответствующего сульфоксида. Энантиомерный избыток образованных сульфоксидов находится в диапазоне 98-99%. Однако при использовании промежуточного соединения синтетический способ становится еще более сложным, чем первоначально предложенный способ асимметричного окисления 2-[5-(3,5-диметилпиразол-1-ил) пентилтио] -4,5-дифенилимидазола. Если исходить из 4,5-дифенил-2-имидазолтиола, синтетический способ должен включать следующие стадии синтеза:1). Метилирование меркаптогруппы. 2). Присоединение защитной группы к одному из атомов азота в имидазольной составляющей. 3). Асимметричное окисление сульфида в сульфоксид. 4). Взаимодействие полученного производного, метилсульфоксида с сильным основанием, таким как диизопропиламид лития (LDA), для того чтобы забрать протон у метильной группы. 5). Алкилирование литиевой соли производной метилсульфоксида 4-хлор-1-иодбутаном с получением 5-хлорпентилсульфоксида. 6). Присоединение пиразолильной группы к н-пентильной цепи. 7). Удаление защитной группы. Ясно, что предложенный способ, усложненный оптимизацией размера заместителей, не подходит для получения продуктов, особенно в небольшом масштабе. Следует отметить, что способ в соответствии с настоящим изобретением, примененный к прохиральному сульфиду RP 73163, позволяет, к удивлению, получить RP 73163 с энантиомерным избытком > 85-90% (см. ссылочные примеры E и F, приведенные ниже). В литературе предшествующего уровня техники в данной области не раскрывается и не предлагается подходящий энантиоселективный способ, который можно применять в крупном масштабе для получения одиночных энантиомеров 2-(2-пиридинилметилсульфинил) бензимидазолов. Поэтому все еще существует большая потребность в таком энантиоселективном способе производства замещенных оптически чистых 2-(2-пиридинилметилсульфинил) бензимидазолов, а также других структурно родственных сульфоксидов.
Краткое описание изобретенияНастоящее изобретение предлагает новый способ энантиоселективного синтеза одиночных энантиомеров омепразола, других оптически чистых замещенных 2-(2-пиридинилметилсульфинил) бензимидазолов, а также структурно родственных сульфоксидов, в котором получают неожиданно высокую энантиоселективность. Новый способ отличается тем, что прохиральный сульфид асимметрично окисляют в одиночный энантиомер или энантиомерно обогащенную форму соответствующего сульфоксида. Новое асимметричное окисление к удивлению дает возможность получить представляющие интерес соединения с чрезвычайно высоким энантиомерным избытком, даже, если соответствующий прохиральный сульфид имеет заместители у атома серы примерно одинакового размера. Способ является простым, включает одну стадию реакции, что делает его приемлемым для крупномасштабного производства энантиомерных соединений с высоким выходом и высоким энантиомерным избытком.
Выражения “прохиральный(ые) сульфид(ы)” используют для сульфидов соответствующих сульфоксидов, полученных новым способом в соответствии с настоящим изобретением. Если соответствующий сульфид уже содержит стереогенный центр в молекуле, такой сульфид является не прохиральным соединением, а хиральным соединением. Так как атом серы сульфидов не имеет асимметрии, такое соединение в настоящем описании и формуле изобретения относят к прохиральному сульфиду.
Настоящее изобретение также относится к оптически чистым соединениям, полученным в соответствии с заявляемым способом, и некоторым новым отдельным энантиомерным соединениям.
Подробное описание изобретенияНастоящее изобретение относится к новому способу получения сульфоксида формулы I в виде одиночного энантиомера или в виде энантиомерно обогащенной формы ![]() в которой Het1 является или ![]() Het2 является или ![]() и X является или ![]() в которой N внутри бензольного кольца бензимидазольной составляющей означает, что один из атомов углерода, замещенных R6-R9, необязательно может быть заменен на атом азота без каких-либо заместителей; R1, R2 и R3 являются одинаковыми или разными и их выбирают из водорода, алкила, алкилтио, алкокси, необязательно замещенных фтором, алкоксиалкокси, диалкиламино, пиперидино, морфолино, галогеном, фенилалкилом и фенилалкокси; R4 и R5 являются одинаковыми или разными и их выбирают из водорода, алкила и аралкила; R6 является водородом, галогеном, трифторметилом, алкилом или алкокси; R6-R9 являются одинаковыми или разными и их выбирают из водорода, алкила, галогена, галоген-алкокси, алкилкарбонила, оксазолила, трифторалкила или соседние группы R6-R9, образуют кольцевые структуры, которые затем могут быть дополнительно замещены; R10 является водородом или вместе с R3 образует алкиленовую цепь, и R11 и R12 являются одинаковыми или разными и их выбирают из водорода, галогена и алкила. В вышеприведенных определениях алкильные группы, алкоксильные группы и их составляющие могут представлять разветвленные или прямые C1-C9-цепи или включают циклические алкильные группы, например циклоалкилалкильные. Сульфоксиды, полученные новым способом, представляют предпочтительно сульфоксиды формулы I в виде одиночного энантиомера или в виде энантиомерно обогащенной формы ![]() в которой Ar является или ![]() и R1-R10 являются такими, как они определены выше для формулы I. Наиболее предпочтительными сульфоксидами, полученными новым способом, являются сульфоксиды формул la-lh в виде одиночного энантиомера или в виде энантиомерно обогащенной формы ![]() ![]() ![]() ![]() ![]() ![]() ![]() ![]() Соединения, определенные вышеприведенными формулами I,I’ и Ia-Ih, могут быть превращены общепринятыми способами в их фармацевтически приемлемые соли. Способ настоящего изобретения характеризуется асимметричным окислением в органическом растворителе прохирального сульфида формулы Het1 – X – S – Het2 (II) в которой Het1 и Het2 являются такими, как они определены выше, окисляющим агентом и хиральным комплексным соединением титана, необязательно в присутствии основания. В соответствии с одним аспектом изобретения асимметричное окисление осуществляют в присутствии основания. Альтернативно, окисление осуществляют в отсутствии основания, если получение хирального комплексного соединения титана осуществляют конкретным способом в отношении порядка добавления, температуры, при которой осуществляют получение, и/или времени получения. Например, в соответствии с одним предпочтительным аспектом изобретения получение хирального комплексного соединения титана осуществляют в присутствии прохирального сульфида, т.е. прохиральный сульфид загружают в реакционный сосуд перед загрузкой компонентов, используемых для получения хирального комплексного соединения титана. В соответствии с другим предпочтительным аспектом изобретения получение хирального комплексного соединения титана осуществляют при повышенной температуре и/или в течение продолжительного времени получения. В соответствии с еще одним предпочтительным аспектом изобретения получение хирального комплексного соединения титана осуществляют при повышенной температуре и/или в течение продолжительного времени получения и в присутствии прохирального сульфида. В соответствии с наиболее предпочтительным аспектом изобретения асимметричное окисление осуществляют в присутствии основания и получение хирального комплексного соединения титана осуществляют при повышенной температуре и/или в течение продолжительного времени получения и в присутствии прохирального сульфида. Окисление осуществляют в органическом растворителе. Неожиданно, выбор растворителя не является существенным для энантиоселективного окисления, как это сообщалось Каганом и сотрудниками. Растворитель может быть выбран в соответствии с подходящими условиями с промышленной точки зрения, а также с точки зрения охраны окружающей среды. Подходящими органическими растворителями являются, например, толуол, этилацетат, метилэтилкетон, метилизобутилкетон, диэтилкарбонат, трет-бутилметиловый эфир, тетрагидрофуран, метиленхлорид и т. п. С точки зрения окружающей среды предпочтительными являются нехлорированные растворители. Окисление осуществляют предпочтительно в органическом растворителе при комнатной температуре или чуть выше комнатной температуры, например между 20-40oC. К удивлению, нет необходимости использовать температуру ниже -20oC, которая как описывалось Каганом и сотрудниками, является важной для достижения хорошей энантиоселективности. Такая низкая температура приводит к значительному времени реакции. Однако, если время реакции изменяется, температуру реакции можно выбрать ниже, а также выше предпочтительных температур 20-40oC. Подходящий температурный диапазон ограничен только зависимостью от разложения соединений и тем, что время протекания реакции значительно меньше при комнатной температуре, чем при – 20oC, поскольку представляющие интерес сульфиды при такой низкой температуре окисляются очень медленно. Окислителем, подходящим для использования в новом асимметричном окислении, может быть гидропероксид, например, такой, как трет-бутилгидропероксид или гидропероксид кумола, при этом последний является предпочтительным. Комплексное соединение титана, подходящее для катализа в способе изобретения, получают из хирального лиганда и соединения титана (IV), предпочтительно такого, как алкоксид титана (IV) и, необязательно, в присутствии воды. В особенности предпочтительным алкоксидом титана (IV) является изопропоксид титана (IV) или пропоксид титана (IV). Количество хирального комплексного соединения титана не является критическим. Предпочтительным является количество менее чем примерно 0,50 эквивалентов и в особенности предпочтительное количество составляет 0.05-0.30 эквивалентов. Неожиданно, в способах, в соответствии с настоящим изобретением, с превосходным результатом могут быть использованы даже очень незначительные количества комплексного соединения, например, такие как 0.04 эквивалента. Комплексное соединение титана может быть также получено путем взаимодействия тетрахлорида титана с хиральным лигандом в присутствии основания. Хиральный лиганд, используемый при получении комплексного соединения титана, является предпочтительно хиральным спиртом, например хиральным диолом. Диол может быть разветвленным или неразветвленным алкилдиолом или ароматическим диолом. Предпочтительными хиральными диолами являются эфиры винной кислоты, в особенности предпочтительными являются (+)-диэтил L-тартрат или (-)-диэтил D-тартрат. Как обсуждалось выше и более подробно ниже, хиральное комплексное соединение титана может быть получено в присутствии прохирального сульфида или до добавления прохирального сульфида в реакционный сосуд. Как упоминалось выше, в соответствии с одним аспектом изобретения, окисление осуществляют в присутствии основания. Удивительно высокую энантиоселективность наблюдают тогда, когда основание присутствует во время окисления. Эту заслуживающую внимания высокую энантиоселективность получают даже несмотря на то, что субстратами являются прохиральные сульфиды с заместителями у атома серы, имеющими приблизительно одинаковый размер. Основание может быть неорганическим или органическим основанием, например таким, как угольная кислота, амид или амин. Амин включает гуанидин или амидин. Предпочтительными являются органические основания и в особенности подходящими основаниями являются амины, предпочтительно триэтиламин или N,N-диизопропилэтиламин. Количество основания, добавляемого к реакционной смеси, не является критическим и его следует регулировать в зависимости от реакционной смеси. Эта конкретная особенность, состоящая в добавлении основания к реакционной смеси для увеличения энантиоселективности окисления, приведена в примерах двух экспериментов с 5-метокси-2-[[(4-метокси-3,5-диметил-2-пиридинил) метил]тио бензимидазолом, используемым в качестве прохирального сульфида в реакции (см. Сравнительные примеры D и Е). Условия реакции являются одинаковыми в обоих экспериментах за исключением добавления основания к реакционной смеси в одном из экспериментов. Ссылочный пример D осуществляют в соответствии с пунктом 1 настоящего изобретения, т.е. асимметричное окисление осуществляют в присутствии основания. Сравнительный пример C осуществляют в отсутствии основания без изменения параметров способа. Результаты показывают, что окисление без добавления основания в соответствии со Сравнительным примером C позволяет получить сульфоксидный продукт с энантиомерным избытком 23%, в то время как присутствие основания, такого как диизопропилэтиламин, в соответствии со Сравнительным примером D позволяет получить сульфоксидный продукт с энантиомерным избытком, равным 78%.
Альтернативно, способ изобретения можно осуществить в отсутствии основания. При таких условиях способы получения хирального комплексного соединения титана являются существенными.
Получение хирального комплексного соединения титана осуществляют предпочтительно в присутствии прохирального сульфида. При изменении порядка добавления по сравнению со способами, представленными в предшествующем уровне техники, энантиоселективность окисления неожиданно возрастает.
Другими существенными признаками при получении хирального комплексного соединения титана является то, что получение комплексного соединения осуществляют при повышенной температуре и/или в течение длительного времени. Использование повышенной температуры означает температуру выше комнатной, например, такую как 30-70oC, предпочтительно 40-60oC. Длительное время получения означает период времени более примерно 20 минут, предпочтительно 1-5 часов. Подходящий период времени для стадии получения продукта зависит от температуры получения и прохирального сульфида, необязательно присутствующего во время получения хирального комплексного соединения титана.
Продукты, образованные во время реакции окисления, могут быть экстрагированы водным раствором аммиака или другого N-содержащего основания для того, чтобы избежать осаждения и/или образования нерастворимых солей титана. Водную фазу полученной смеси отделяют от органической фазы и выделенную водную фазу нейтрализуют добавлением нейтрализующего реагента, что приводит к протонированию оптически активного сульфоксида.
Таким образом, другая предпочтительная особенность способа изобретения состоит в том, что соли титана, которые могут быть образованы во время процесса, можно сохранить в растворе путем добавления водного раствора аммиака. Общепринятая методика, описанная в литературе для вымывания солей титана, состоит в обработке реакционной смеси водной или водными растворами гидроксида натрия, приводящий к образованию геля, который очень трудно отфильтровать. Другой методикой вымывания солей титана, описанной в предшествующем уровне техники в данной области, является, например, применение 1М HCl, предложенной в работе Питчена и сотрудников (Tetrahedron Letters (1994), источник указан выше). Эта методика не может быть использована для продуктов, которые являются неустойчивыми в отношении кислоты, например таких как 2-(2-пиридинилметилсульфинил)- бензимидазолы, которые в кислых условиях почти сразу же разрушаются.
Полученный сырой продукт можно экстрагировать в органический растворитель. Его можно также кристаллизовать в органическом или водном растворителе, что приводит к получению оптически чистого продукта, например, такого как один из одиночных энантиомеров 2-(2-пиридинилметилсульфинил) бензимидазола в нейтральной форме. Кислотный протон в бензимидазольной составляющей может быть удален обработкой сырого продукта основанием, например NaOH, после которой осуществляют кристаллизацию образованной соли в растворителе, в результате такой обработки получают продукт, имеющий улучшенную оптическую чистоту.
Изобретение далее проиллюстрировано более подробно с помощью следующих примеров.
ПримерыПример 1. Асимметричный синтез натриевой соли (-)-5-метокси-2-[[(4-метокси-3,5-диметил-2-пиридинил)-метил]сульфинил] бензимидазола, (-)-(Ia)-Na.
59 г (180 ммолей) 5-Метокси-2-[[(4-метокси-3,5-диметил-2-пиридинил) метил] тио] бензимидазола растворили в 200 мл этилацетата. К раствору при комнатной температуре добавили 0.3 мл (17 ммолей) воды. К смеси добавили 37 г (180 ммолей) (+)-диэтил L-тартрата, 25 г (90 ммолей) изопропоксида титана (IV) и 16 мл (90 ммолей) диизопропилэтиламина. Затем в течение 90 минут при 34oC осуществляли добавление 30 мл (160 ммолей) гидропероксида кумола (80%). После охлаждения до комнатной температуры в течение 120 минут отобрали небольшую пробу смеси для хирального и ахирального хроматографического анализа. Смесь состояла из 82% сульфоксида с энантиомерным избытком (е. е.) 87%. Смесь разбавили 60 мл изооктана и 40 мл этилацетата, после чего продукт три раза экстрагировали водным раствором аммиака (12%), имеющим общий объем 480 мл. Смешанные водные фазы нейтрализовали добавлением 50 мл концентрированной уксусной кислоты. После этого осуществили экстракцию, выпаривание, добавление гидроксида натрия и кристаллизацию, после чего получили 32.7 г названного соединения с чистотой 95.2% (ахиральный анализ) и энантиомерным избытком (е. е. ) 99.8% (хиральный анализ). Общий выход составил 47.2%.
Пример 2.
Асимметричный синтез (+)-5-метокси-2-[[4-метокси-3,5- диметил-2-пиридинил)метил]сульфинил бензимидазола, (+)- (Iа).
К раствору (+)-диэтил L-тартрата (1.5 мл, 9.0 ммолей), растворенного в толуоле (10 мл), при перемешивании добавили изопропоксид титана (IV) (1.3 мл, 4.5 ммолей) и воду (41 мкл, 2.3 ммоля). Смесь перемешивали при комнатной температуре в течение 20 минут и затем добавили 5-метокси-2-[[(4-метокси-3,5-диметил-2-пиридинил) метил] тио] бензимидазол (3.0 г, 9 ммолей) и диизопропилэтиламин (0.45 мл, 2.6 ммоля). При 30oC добавили гидропероксид кумола (технический, 80%, 1.8 мл, 9.9 ммоля). Через 3 часа при 30oC смесь состояла из 2.1% сульфида, 8.8% сульфона и 86.8% сульфоксида с энантиомерным избытком 74%.
Пример 3.
Асимметричный синтез (+)-5-метокси-2-[[4-метокси-3,5- диметил-2-пиридинил)метил]сульфонил] бензимидазола, (+)-(Iа).
К смеси (+)-диэтил L-тартрата (4.2 г, 20 ммолей), изопропоксида титана (IV) (2.9 г, 10 ммолей) и этилацетата добавили воду (0.18 мл, 10 ммолей). Раствор перемешали в течение 20 минут, после чего вместе с KHCO3 (0.31 г, 3.1 ммоля) и гидропероксидом кумола (1.8 мл, 10 ммолей) добавили 5-метокси-2-[[(4-метокси-3,5-диметил-2-пиридинил)метил] тио] бензимидазол (3.4 г, 10 ммолей). Добавление осуществили при комнатной температуре. Через 1.5 часа осуществили анализ HPLC (высокоэффективной жидкостной хроматографией), который показал наличие 63.3% сульфоксида с энантиомерным избытком 38.9%.
Пример 4.
Асимметричный синтез натриевой соли (-)-5-метокси-2-[[(4-метокси-3,5- диметил-2-пиридинил)метил]тио] бензимидазола, (-)-(Ia)-Na.
При комнатной температуре к раствору (+)-диэтил L-тартрата (8.5 мл, 50 ммолей) и изопропоксида титана (IV) (7.4 мл, 25 ммолей) в 250 мл метиленхлорида добавили воду (0.45 мл, 25 ммолей). Через 20 минут добавили 5-метокси-2-[[(4-метокси-3,5-диметил-2-пиридинил)метил] тио] бензимидазол (8.2 г, 25 ммолей) и диизопропилэтиламин (1.3 мл, 7 ммолей) и раствор охладили до -20oC. После добавления кумолгидропероксида (5.1 мл 80% раствора, 28 ммолей) реакционную смесь в течение 66 часов выдерживали при +2oC. Добавили раствор гидроксида натрия 2х125 мл, затем, с помощью хлорида аммония, осуществили нейтрализацию водной фазы. После чего осуществили экстракцию, выпаривание, тонкослойную хроматографию, добавление гидроксида натрия и кристаллизацию, в результате чего получили 1.23 г (13.4%) названного соединения с энантиомерным избытком (е.е.) 99.8% (хиральный анализ).
Пример 5.
Асимметричный синтез (-)-5-метокси-2-[[(4-метокси-3,5-диметил-2-пиридинил) метил]сульфинил] бензимидазола, (-)-(Ia).
5-Метокси-2-[[(4-метокси-3,5-диметил-2-пиридинил) метил] тио] бензимидазол (4.0 г, 12.1 ммоля) суспендировали в толуоле (12 мл). При перемешивании при 50oC добавили (-)-диэтил D-тартрат (0.17 мл, 1.0 ммоля) и изопропоксид титана (IV) (0.15 мл, 0.50 ммолей). Смесь перемешивали в течение 50 минут при 50oC и затем приблизительно при 30oC добавили N,N-диизопропилэтиламин (0.085 мл, 0.50 ммолей). Затем добавили гидропероксид кумола (83%: 2.1 мл, 11.9 ммоля) и смесь перемешали в течение 15 минут при 30oC. Анализ сырой смеси показал, что она состоит из 3.6% сульфида, 2.7% сульфона и 93% сульфоксида с оптической чистотой, соответствующей энантиомерному избытку 91%. Продукт в чистом виде не получали.
Пример 6.
Асимметричный синтез (+)-5-метокси-2-[[(4-метокси-3,5-диметил-2-пиридинил)метил] сульфинил] бензимидазола, (+)-(Iа).
В метиленхлориде (50 мл) растворили (+)-диэтил L-тартрат (1.71 мл, 10 ммолей) и изопропоксид титана (IV) (1.5 мл, 5 ммолей). При перемешивании добавили воду (90 мк, 5 ммолей) и полученную смесь кипятили в колбе с обратным холодильником в течение 1 часа. Смесь охладили до комнатной температуры. После этого при комнатной температуре добавили 5-метокси-2-[[(4-метокси-3,5-диметил-2-пиридинил)метил] тио] бензимидазол (1.65 г, 5 ммолей) и гидропероксид кумола (80%, 1.05 г, 5.5 ммолей). Раствор в течение 90 минут перемешали при комнатной температуре. Анализ показал, что сырая смесь состоит из 42.8% сульфида, 4.1% сульфона и 48.3% сульфоксида с оптической чистотой, соответствующей энантиомерному избытку 43%. Продукт в чистом виде не получали.
Пример 7.
Асимметричный синтез (+)-5- метокси-2-[[(4-метокси-3,5-диметил-2-пиридинил)метил] сульфинил] бензимидазола, (+)-(Iа).
В метиленхлориде (50 мл) растворили 5-метокси-2-[[(4-метокси-3,5-диметил-2-пиридинил)метил]тио бензимидазол (1.65 г, 5 ммолей). При перемешивании добавили диэтил L-тартрат (1.71 мл, 10 ммолей), изопропоксид титана (IV) (1.5 мл, 5 ммолей) и воду (90 мл, 5 ммолей). Полученную смесь в течение 20 минут перемешали при комнатной температуре. Затем при комнатной температуре добавили гидропероксид кумола (80%, 1.05 г, 5.5 ммолей) и раствор перемешивали в течение 90 минут при комнатной температуре. Анализ показал, что сырая смесь состоит из 38.9% сульфида, 8.4% сульфона и 47.6% сульфоксида с оптической чистотой, соответствующей энантиомерному избытку 32%. Продукт в чистом виде не получали.
Пример 8.
Асимметричный синтез (+)-5-метокси-2-[[(4-метокси- 3,5-диметил-2-пиридинил)метил]сульфинил] бензимидазола, (+)-(Ia).
В толуоле (2.5 мл) суспендировали 5-метокси-2-[[(4-метокси-3,5- диметил-2-пиридинил)метил] тио] бензимидазол (0.5 г, 1,5 ммоля). При 50oC добавили 9.2 мкл воды (0.5 ммоля), (+)-диэтил L-тартрат (0.39 мл, 2.3 ммоля) и изопропоксид титана (IV) (0.27 мл, 0.91 ммоля). Смесь нагревали при 50oC в течение 90 минут, затем 0.25 мл раствора перенесли в пробирку. После этого в пробирку добавили 25 мкл гидропероксида кумола (80%), проведенный почти сразу после этого анализ показал, что смесь состояла из 41% желательного сульфоксида с оптической чистотой, соответствующей энантиомерному избытку 69.5%. Продукт в чистом виде не получали.
Пример 9.
Асимметричный синтез натриевой соли (-)-5-метокси-2-[[(4-метокси-3,5-диметил-2- пиридинил)метил]сульфинил] бензимидазола, (-)-(Ia)-Na.
В 7.5 л этилацетата растворили 1,6 кг (5.0 молей) 5-метокси-2-[[(4-метокси-З, 5-диметил-2-пиридинил)метил]тио] бензимидазола. К раствору добавили 31 мл (1.7 моля) воды. К смеси при комнатной температуре добавили 860 мл (5.0 моля) (+)-диэтил L-тартрата, 740 мл (2.5 моля) изопропоксида титана (IV) и 430 мл (2.5 моля) диизопропилэтиламина. Затем в течение 50 минут при 30oC добавляли 830 мл (4.5 моля) гидропероксида кумола (80%). Через час выдержки при 30oC реакция завершилась. Хиральный и ахиральный хроматографические анализы показали, что смесь состояла из 75% сульфоксида с энантиомерным избытком (е.е.) 80%, 19% непрореагировавшего сульфида и 3.8% сульфона. Смесь охладили до 10oC и после добавления 1.5 л изооктана и 0.5 л этилацетата продукт три раза экстрагировали водным раствором аммиака (12%), имеющим объем 14 л. Смешанные водные фазы нейтрализовали добавлением 1,5 л концентрированной уксусной кислоты.
Затем осуществили экстракцию, выпаривание, добавляли гидроксид натрия и кристаллизовали, получая 0.80 кг названного соединения с чистотой 99.3% (ахиральный анализ) и с энантиомерным избытком (е.е.) 99.8% (хиральный анализ). Общий выход составил 44%.
Пример 10.
Асимметричный синтез натриевой соли (+)-5-метокси-2-[[(4-метокси-3,5-диметил-2-пиридинил)метил]сульфинил бензимидазола, (+)-(Ia)-Na.
В 6.1 л этилацетата растворили 1,6 кг (5.0 молей) 5-метокси-2-[[(4-метокси-3,5- диметил-2-пиридинил)метил]тио] бензимидазола. К раствору добавили 31 мл (1.7 моля) воды. К смеси при комнатной температуре добавили 860 мл (5.0 молей) (-)-диэтил D-тартрата, 740 мл (2.5 моля) изопропоксида титана (IV) и 430 мл (2.5 моля) диизопропилэтиламина. Затем в течение 25 минут при 30oC добавляли 830 мл (4.5 моля) гидропероксида кумола (80%). Через 30 минут выдержки при 30oC реакцию завершили. Хиральный и ахиральный хроматографический анализы показали, что смесь состоит из 71% сульфоксида с энантиомерным избытком (е. е. ) 73%. Смесь охладили до 10oC и после добавления 1.7 л изооктана продукт три раза экстрагировали водным раствором аммиака (12%) при общем объеме 14 л. Смешанные водные фазы нейтрализовали добавлением 1.5 л концентрированной уксусной кислоты. Затем осуществили экстракцию, выпаривание, добавляли гидроксид натрия и кристаллизовали, получая 0.45 кг названного соединения с чистотой 99.9% (ахиральный анализ) и с энантиомерным избытком (е.е.) 99.8% (хиральный анализ). Общий выход составил 24.6%.
Пример 11.
Асимметричный синтез натриевой соли (+)-5-метокси-2- [[(4-метокси-3,5-диметил-2-пиридинил)метил]сульфинил] бензимидазола, (+)-(Ia)-Na.
6.2 кг (18.8 ммолей) Метокси-2-[[4-метокси-3,5-диметил-2-пиридинил) метил]тио] бензимидазола в толуоловой суспензии (25 л) нагрели до 54oC. При перемешивании добавили воду (44 мл, 2.4 моля), (-)-диэтил D-тартрат (2.35 кг, 11.4 моля) и изопропоксид титана (IV) (1,60 кг, 5.6 моля) и затем смесь перемешивали при 54oC в течение 50 минут. Установили температуру 30oC и после этого к раствору добавили N,N-диизопропилэтиламин (720 г, 5.6 моля). Затем добавили гидропероксид кумола (83.5%, 3.30 кг, 18.2 моля) и смесь перемешивали при 30oC в течение одного часа. Анализ показал, что сырая смесь состоит из 7% сульфида, 1.2% сульфона и 90.6% сульфоксида с оптической чистотой, соответствующей энантиомерному избытку 94.3%. Добавили водный раствор аммиака (12.5%, 20 л). Раствор три раза экстрагировали водным раствором аммиака (3х20л). К смешанным водным слоям добавили метилизобутилкетон (9 л). С помощью уксусной кислоты довели pH водного слоя и затем слой разделили. Дополнительной порцией метилизобутилкетона (9 л) экстрагировали водный слой. Чтобы получить натриевую соль, к раствору добавили водный раствор NaOH (49.6%, 1.07 кг, 13.2 ммоля) и ацетонитрил (70 л). После концентрирования раствора продукт начал кристаллизоваться. Выделили 3.83 кг (+)-энантиомера натриевой соли омепразола с оптической чистотой, соответствующей энантиомерному избытку 99.6%.
Пример 12.
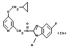
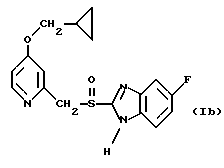
Асимметричный синтез (+)-5-фтор-2-[[(4- циклопропилметокси-2-пиридинил)метил]сульфинил] бензимидазола, (+)-(Ib).
При перемешивании к смеси (+)-диэтил L-тартрата (10.3 мл, 60 ммолей) и метиленхлорида (60 мл) добавили изопропоксид титана (IV) (8.9 мл, 30 ммолей) и воду (0.54 мл, 30 ммолей). Раствор перемешивали в течение 30 минут при комнатной температуре и затем ввели 5-фтор-2-[[(4-циклопропилметокси-2- пиридинил)метилтио] сульфинил] бензимидазол (9.9 г, 30 ммолей) и диизопропилэтиламин (1.5 мл, 8.7 ммолей). При комнатной температуре добавили гидропероксид кумола (технический, 80%, 6.9 мл, 33 ммоля). Через 3 часа при комнатной температуре смесь состояла из сырого сульфоксида с энантиомерным избытком (е.е.) 60%. После очистки на силикагеле с использованием в качестве элюента метанола/метиленхлорида и повторных кристаллизаций из этанола получили 1.1 г (11%) названного соединения с энантиомерным избытком 98.6%.
Пример 13.
Асимметричный синтез (-)-5-фтор-2-[[(4-циклопропилметокси-2-пиридинил) метил]сульфинил] бензимидизола, (-)-(Ib).
В толуоле (60 мл) суспендировали 5-фтор-2-[[(4-циклопропилметокси-2-пиридинил)метил] тио] бензимидазол (15.0 г, 45 ммолей). При перемешивании и температуре 50oC добавили воду (34 мкл, 1.9 ммоля) и изопропоксид титана (IV) (1.3 мл, 4.5 ммоля). Смесь перемешивали в течение 50 минут при 40oC и затем добавили N,N-диизопропилэтиламин (0.79 мл, 4,5 ммоля). Установили температуру 35oC и затем добавили гидропероксид кумола (83%, 8.1 мл, 45 ммолей). Смесь перемешивали при 35oC в течение 30 минут. Анализ показал, что сырая смесь состояла из 6.5% сульфида, 2.7% сульфона и 90% сульфоксида с оптической чистотой, соответствующей энантиомерному избытку 87.7%. Во время окисления продукт начал кристаллизоваться и его отделили фильтрацией от реакционной смеси. Получили 11.7 г желаемого продукта с оптической чистотой, соответствующей энантиомерному избытку 98.8%. Анализ показал, что продукт состоит из 2.2% сульфида и 0.9% сульфона. Выход: 71.2%.
Пример 14.
Асимметричный синтез (-)-5-фтор-2-[[(4-циклопропилметокси-2-пиридинил) метил]сульфинил] бензимидазола, (-)-(Ib).
С толуолом (30 мл) смешали 5.0 г (15 ммолей) 5-фтор-2-[[(4-циклопропилметокси-2-пиридинил)метил] тио] бензимидазола. К смеси добавили 32 мкл (1.8 ммоля) воды, 1.3 мл (7.6 ммоля) (-)-диэтил D-тартрата и 0.90 мл (3.0 ммоля) изопропоксида титана (IV). Смесь перемешали в течение 60 минут при 50oC и затем охладили до 30oC. После этого к раствору добавили 2.8 мл (15 ммолей) гидропероксида кумола (80%). Смесь перемешали в течение одного часа при 30oC и затем охладили до 0oС. К смеси добавили этилацетат (20 мл) и полученный раствор три раза экстрагировали водным раствором аммиака (12%) при общем объеме 60 мл. Смешанные водные слои нейтрализовали добавлением 17 мл концентрированной уксусной кислоты и затем экстрагировали этилацетатом (4х60 мл). Органический слой сушили над сульфатом магния и затем удалили, получив при этом сырой продукт с оптической чистотой, соответствующей энантиомерному избытку 59%. Остаток в виде масла (3.2 г) растворили в ацетоне (8 мл). Отфильтровали образованный осадок. Получили 1.6 г желаемого соединения в виде белого твердого вещества. Анализ показал, что оптическая чистота соответствует энантиомерному избытку 87%.
Пример 15.
Асимметричный синтез (+)-5-фтор-2-[[(4-циклопропилметокси- 2-пиридинил)метил]сульфонил] бензимидазола, (+)-(Ib).
В толуоле (15 л) суспендировали 5-фтор-2-[[(4- циклопропилметокси-2-пиридинил)метил] тио] бензимидазол (3.6 кг, 10.9 молей). При перемешивании и 40oC добавили воду (8.9 мл, 0.49 моля), (+)-диэтил L-тартрат (460 г, 2.2 моля) и изопропоксид титана (IV) (310 г, 1.09 моля). Смесь перемешивали в течение 50 минут при 40oC и затем добавили N,N-диизопропилэтиламин (190 мл, 1.09 моля). Установили температуру 30oC и затем добавили кумолгидропероксид (83%, 2.0 кг, 11 молей) и в течение 30 минут окисление завершилось. Анализ показал, что сырая смесь состоит из 8.9% сульфида, 3.3% сульфона и 87% сульфоксида с оптической чистотой, соответствующей энантиомерному избытку 86%. Во время окисления начал кристаллизоваться продукт и, с помощью фильтрации, его отделили от реакционной смеси. Получили 2.68 кг продукта с оптической чистотой, соответствующей энантиомерному избытку 96%. Анализ показал, что материал состоит из 2.3% сульфида и 1.7% сульфона. Продукт перекристаллизовали в метаноле/толуоле. Получили 1.66 кг (выход 44%) желаемого продукта с оптической чистотой 99.7%. Содержание сульфида и сульфона составило соответственно менее чем 0.1 и 0.3%.
Пример 16.
Асимметричный синтез (-)-5-фтор-2-[[(4-циклопропилметокси- 2-пиридинил)метил]сульфинил] бензимидазола, (+)-(Ib).
В толуоле (14.4 л) суспендировали 5-фтор-2-[[(4-циклопропилметокси-2-пиридинил)метил] тио] бензимидазол (3.6 кг, 10.9 молей). При перемешивании и температуре 40oC добавили воду (10 мл, 0.55 ммоля, (-)-диэтил D-тартрат (460 г, 2.2 моля) и изопропоксид титана (IV) (310 г, 1.10 моля). Смесь перемешивали в течение 50 минут при 40oC и затем добавили N,N-диизопропилэтиламин (190 мл, 1.1 моля). Установили температуру 35oC и затем добавили гидропероксид кумола (83%, 2.0 кг, 11 молей). Смесь перемешивали в течение 1 часа при 35oC. Анализ показал, что сырая смесь состоит из 8.7% сульфида, 4.8% сульфона и 85% сульфоксида с оптической чистотой, соответствующей энантиомерному избытку 78%. Во время окисления продукт начал кристаллизоваться и его отделили от реакционной смеси фильтрацией. Получили 2.78 кг продукта с оптической чистотой, соответствующей энантиомерному избытку 97%. Анализ показал, что продукт состоит из 1.9% сульфида и 2.5% сульфона. Продукт перекристаллизовывали в метаноле/толуоле. Получили 1.67 кг (выход: 44%) желаемого продукта в виде не совсем белых кристаллов (е.е.) 99.8%. Содержание сульфида и сульфона составило соответственно менее 0.1 и 0.6%.
Пример 17.
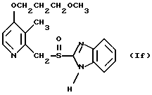
Асимметричный синтез (+)-5-карбометокси-6-метил-2[[3,4-диметокси-2-пиридинил)метил]сульфинил] бензимидазол, (+)-(Ic).
В толуоле (20 мл) суспендировали 3.4 г (9.1 ммоля) 5-карбометокси-6-метил-2-[[3,4-диметокси-2-пиридинил)метил] тио] бензимидазола. К смеси добавили 41 мкл (2.3 ммоля) воды, 1.7 мл (10 ммолей) (+)-диэтил L-тартрата и 1.3 г (4.6 ммоля) изопропоксида титана (IV). Смесь перемешивали в течение 60 минут при 50oC и затем добавили 0.78 мл (4.5 ммоля) N,N-диизопропилэтиламина. Смесь охладили до 30oC и добавили толуол (10 мл). Затем к смеси добавили 1.7 мл (80%, 9.2 ммоля) гидропероксида кумола. Через несколько минут добавили толуол (70 мл) и через один час при 30oC смесь состояла из 12.5% сульфида, 3.5% сульфона и 84% сульфоксида с оптической чистотой, соответствующей энантиомерному избытку 95.6%. Смесь охладили до комнатной температуры и отфильтровали образованный осадок. Получили 2.5 г сырого продукта, состоящего из желаемого соединения, в виде твердого вещества, которое имело оптическую чистоту, соответствующую энантиомерному избытку 98.2%.
Пример 18.
Асимметричный синтез (-)-5-карбометокси-6-метил-2- [[(3,4-диметокси-2-пиридинил)метил]сульфинил] бензимидазола, (-)-(Ic).
К смеси (-)-диэтил D-тартрата (8.6 мл, 50 ммолей) и метиленхлорида (50 мл) при перемешивании добавили изопропоксид титана (IV) (7.5 мл, 25 ммолей) и воду (0.45 мл, 25 ммолей). Раствор перемешивали в течение 30 минут при комнатной температуре и затем ввели 5-карбометокси-6-метил-2-[[(3,4-диметокси- 2-пиридинил)метил]тио] бензимидазол (9.3 г, 25 ммолей) и диизопропилэтиламин (1.25 мл, 7.2 ммоля). При комнатной температуре добавили гидропероксид кумола (технический, 80%, 5.1 мл, 27 ммолей) и в течение трех часов при комнатной температуре произошла реакция. Сырой продукт состоял из сырого сульфоксида с энантиомерным избытком (е.е.) 71%. После очистки на силикагеле метанолом/метиленхлоридом, используемым в качестве элюента, и последующих повторных перекристаллизаций из этанола получили 2.9 г (30%) названного соединения с энантиомерным избытком 99.4%.
Пример 19.
Асимметричный синтез (-)-5-карбометокси-6-метил-2-[[(3,4- диметокси-2-пиридинил)метил]сульфинил] бензимидазола, (-)-(Ic).
В метиленхлориде (100 мл) растворили 4.7 г (12.5 ммолей) 5-карбометокси-6-метил-2-[[(3,4-диметокси-2-пиридинил) метил] тио] бензимидазола. К раствору добавили 80 мкл (4,5 ммоля) воды, 3.2 мл (19 ммолей) (-)-диэтил D-тартрата и 2.2 мл (7.5 ммолей) изопропоксида титана (IV). Смесь перемешали в течение 60 минут при нагревании в колбе с обратным холодильником и затем охладили до комнатной температуры. Добавили 0.88 мл (5.0 ммолей) N,N-диизопропилэтиламина и смесь перемешали в течение 30 минут. Добавили 2.15 мл (12 ммолей) гидропероксида кумола (80%) и через два часа при комнатной температуре смесь состояла из 23% сульфида и 72% сульфоксида с оптической чистотой, соответствующей энантиомерному избытку 88%. К смеси добавили метиленхлорид (100 мл) и полученный раствор три раза экстрагировали водным раствором аммиака (12%) при общем объеме 300 мл. Смешанные водные слои нейтрализовали добавлением 50 мл концентрированной уксусной кислоты, после чего начали осаждаться белые кристаллы. Кристаллы отфильтровали, промыли диэтиловым эфиром и сушили до получения 2.34 г (48%) белых кристаллов названного соединения, состоящего из 1.5% сульфида и 1.8% сульфона с оптической чистотой, соответствующей энантиомерному избытку 92%.
Пример 20.
Асимметричный синтез (+)-5-карбометокси-6-метил-2- [[(3,4-диметокси-2-пиридинил)метил]сульфинил] бензимидазола, (+)-(Ic).
В метиленхлориде растворили 4.7 г (12.5 ммолей) 5-карбометокси-6-метил-2-[[(3,4-диметокси-2-пиридинил)метил] тио] бензимидазола. К раствору добавили 80 мкл (4.5 ммоля) воды, 3.2 мл (19 ммолей) (+)-диэтил L-тартрата и 2.2 мл (7.5 ммолей) изопропоксида титана (IV). Смесь перемешивали в течение 60 минут при нагревании в колбе с обратным холодильником и затем охладили до комнатной температуры. Добавили 1.1 мл (6.3 ммоля) N,N-диизопропилэтиламина и затем смесь перемешали в течение 30 минут. Затем добавили 2.15 мл (12 ммолей) гидропероксида кумола (80%) и через 2 часа при комнатной температуре смесь состояла из 19% сульфида и 77% сульфоксида с оптической чистотой, соответствующей энантиомерному избытку 90%. К смеси добавили метиленхлорид (100 мл) и полученный раствор три раза экстрагировали водным раствором аммиака (12%) при общем объеме 300 мл. Смешанные водные слои нейтрализовали добавлением концентрированной уксусной кислоты (50 мл), при этом получили белые кристаллы. Кристаллы отфильтровали, промыли диэтиловым эфиром и сушили до получения 3.29 г (68%) белых кристаллов названного соединения с оптической чистотой, соответствующей энантиомерному избытку 93%. Материал также состоял из 2.2% сульфида и 0.9% сульфона.
Пример 21.
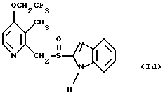
Асимметричный синтез (-)-2-[[(3-метил-4-(2,2,2-трифторэтокси)-2- пиридинил)метил]сульфинил] бензимидазола (-)-(Id).
В толуоле (50 мл) растворили 2.1 г (6.0 ммолей) 2-[[[3-метил-4-(2,2,2-трифторэтокси) -2-пиридинил] -метил] тио]- бензимидазола. К раствору добавили 65 мкл (3.6 ммоля) воды, 2.6 мл (15.0 ммолей) (-)-диэтил D-тартрата и 1.8 мл (6.0 ммолей) изопропоксида титана (IV). Смесь перемешивали в течение 60 минут при 50oC и затем охладили до комнатной температуры. Добавили 1.05 мл (6.0 ммолей) N,N-диизопропилэтиламина и 1.1 мл (6.0 ммолей) гидропероксида кумола (80%). После перемешивания в течение 16 часов при комнатной температуре смесь в соответствии с ахиральной высокоэффективной жидкостной хроматографией состояла из 11% сульфида, 7% сульфона и 78% сульфоксида. К смеси добавили 50 мл толуола и полученный раствор три раза экстрагировали водным раствором аммиака (12%) при общем объеме 150 мл. Смешанные водные слои нейтрализовали добавлением концентрированной уксусной кислоты (30 мл). После этого осуществили экстракцию, выпаривание и тонкослойную хроматографию, получая 1.2 г названного соединения с чистотой 99.9% (ахиральный анализ) и с энантиомерным избытком (е. е.) 55% (хиральный анализ). После обработки остатка ацетонитрила получили осадок, который удалили фильтрацией. После выпаривания фильтрата получили масло с повышенной оптической чистотой. Повторив эту процедуру два раза, получили 0.63 г (29%) желаемого соединения в виде масла с оптической чистотой, соответствующей энантиомерному избытку 99.5%.
Пример 22.
Асимметричный синтез (+)-2-[[[3-метил-4-(2,2,2-трифторэтокси)-2- пиридинил]метил]сульфинил] бензимидазола, (+)-(Id).
В 50 мл толуола растворили 2.1 г (6.0 ммолей) 2-[[[3-метил-4-(2,2,2-трифторэтокси)-2-пиридинил] метил] тио] бензимидазола. К раствору добавили 65 мкл (3.6 ммоля) воды, 2.6 мл (15.0 ммолей) (+)-диэтил L-тартрата и 1.8 мл (6.0 ммолей) изопропоксида титана (IV). Смесь перемешивали при 50oC в течение 60 минут и затем охладили до комнатной температуры. Добавили 1.05 мл (6.0 ммолей) N,N-диизопропилэтиламина и 1.1 мл (6.0 ммолей) гидропероксида кумола (80%). После перемешивания в течение 16 часов при комнатной температуре смесь, в соответствии с ахиральной высокоэффективной жидкостной хроматографией, состояла из 13% сульфида, 8% сульфона и 76% сульфоксида. К смеси добавили толуол (50 мл) и полученный раствор три раза экстрагировали водным раствором аммиака (12%) при общем объеме 150 мл. Смешанные водные слои нейтрализовали добавлением концентрированной уксусной кислоты (30 мл). После этого осуществили экстракцию, выпаривание и тонкослойную хроматографию, при этом получили 0.85 г названного соединения с чистотой 99.9% (ахиральный анализ) и с энантиомерным избытком (е.е.) 46% (хиральный анализ). После обработки остатка ацетонитрилом получили осадок, который удалили фильтрацией. После выпаривания фильтрата получили масло с повышенной оптической чистотой. Повторив эту процедуру два раза, получили 0.31 г (14%) желаемого соединения в виде масла с оптической чистотой, соответствующей энантиомерному избытку 99.6%.
Пример 23.
Асимметричный синтез (-)-5-дифторметокси-2-[[(3,4-диметокси-2-пиридинил)метил]сульфинил] бензимидазола, (-)-(Ie).
В метиленхлориде (25 мл) растворили 1.1 г (3.0 ммоля) 5-дифторметокси-2-[[(3,4-диметокси-2-пиридинил) метил]тио]- бензимидазола. К раствору добавили 20 мкл (1.1 ммоля) воды, 0.81 мл (4.7 ммоля) (-)-диэтил D-тартрата и 0.56 мл (1.9 ммоля) изопропоксида титана (IV). Смесь перемешивали в течение 60 минут при нагревании в колбе с обратным холодильником и затем охладили до комнатной температуры. После этого добавили 0.22 мл (1.3 ммоля) N,N-диизопропилэтиламина и затем 0.57 мл (80%, 3.1 ммоля) гидропероксида кумола (80%). Через 21 час при комнатной температуре смесь состояла из 10% сульфида и 89% сульфоксида с оптической чистотой, соответствующей энантиомерному избытку 86%. К смеси добавили метиленхлорид (25 мл) и полученный раствор три раза экстрагировали водным раствором аммиака (12%) при общем объеме 300 мл. Смешанные водные слои нейтрализовали добавлением 25 мл концентрированной уксусной кислоты и затем экстрагировали метиленхлоридом (3х100мл). Остаток в виде масла (1.16 г) растворили в горячем ацетонитриле (20 мл). Когда раствор охладили до комнатной температуры, образовался белый осадок и, после фильтрации, получили 0.35 г (29%) желаемого соединения. Из фильтрата путем его выпаривания получили 0.71 г желаемого соединения с невысокой оптической чистотой. Анализ показал, что оптическая чистота кристаллов и фильтрата отвечала соответственно энантиомерному избытку 97.4 и 75%.
Пример 24.
Асимметричный синтез (+)-5-дифторметокси-2-[[(3,4-диметокси-2-пиридинил)метил] сульфинил] бензимидазола, (-)-(Ie).
В метиленхлориде (25 мл) растворили 1.1 г (3.0 ммоля) 5-дифторметокси-2-[[(3,4-диметокси-2-пиридинил)метил] тио]- бензимидазола. К раствору добавили 20 мкл (1.1 ммоля) воды, 0.81 мл (4.7 ммоля) (+)-диэтил L-тартрата и 0.56 мл (1.9 ммоля) изопропоксида титана (IV). Смесь перемешивали в течение 60 минут при нагревании в колбе с обратным холодильником и затем охладили до комнатной температуры. После этого добавили 0.22 мл (1.3 ммоля) N,N-диизопропилэтиламина и затем 0.57 мл (80%, 3.1 ммоля) гидропероксида кумола (80%). Через 21 час при комнатной температуре смесь состояла из 8% сульфида и 92% сульфоксида с оптической чистотой, соответствующей энантиомерному избытку 87%. К смеси добавили метиленхлорид (25 мл) и полученный раствор три раза экстрагировали водным раствором аммиака (12%) при общем объеме 300 мл. Смешанные водные слои нейтрализовали добавлением 25 мл концентрированной уксусной кислоты и затем экстрагировали метиленхлоридом (3х100 мл). Растворитель удалили и остаток в виде масла (0.86 г) растворили в горячем ацетонитриле (20 мл). Когда раствор охладили до комнатной температуры, образовался белый осадок, который отфильтровали, получив 0.36 г (30%) желаемого соединения с невысокой оптической чистотой. Оптическая чистота кристаллов и фильтрата отвечала соответственно энантиомерному избытку 97.4 и 78%.
Пример 25.
Асимметричный синтез (-)-2-[[[4-метоксипропокси-3-метил-2-пиридинил]метил]сульфинил] бензимидазола, (-)-(If).
В 50 мл толуола растворили 2.1 г (6.3 ммоля) 2-[[[4-(3-метоксипропокси-3-метил-2-пиридинил]метил]тио] бензимидазола. К раствору добавили 40 мкл (2.2 ммоля) воды, 1.6 мл (9.4 ммоля) (-)-диэтил D-тартрата и 1.1 мл (3.8 ммоля) изопропоксида титана (IV). Смесь перемешивали в течение 60 минут при 50oC и затем охладили до комнатной температуры. Добавили 0.44 мл (2.6 ммоля) N, N-диизопропилэтиламина и 1.1 мл (6.0 ммолей) гидропероксида кумола (80%). После перемешивания в течение 2-х часов при комнатной температуре смесь в соответствии с ахиральной высокоэффективной жидкостной хроматографией состояла из 9% сульфида, 4% сульфона и 86% сульфоксида. К смеси добавили толуол (50 мл) и полученный раствор три раза экстрагировали водным раствором аммиака при общем объеме 150 мл. Смешанные водные слои нейтрализовали добавлением концентрированной уксусной кислоты (30 мл). После этого осуществили экстракцию, выпаривание и тонкослойную хроматографию, при этом получили 1.62 г названного соединения с чистотой 99.8% (ахиральный анализ) и энантиомерным избытком (е. е. ) 90% (хиральный анализ). После обработки материала ацетонитрилом образовался осадок, который можно было удалить фильтрацией. После концентрирования фильтрата получили 1.36 г (60%) названного соединения в виде масла с оптической чистотой, соответствующей энантиомерному избытку 91.5%.
Пример 26.
Асимметричный синтез (+)-2-[[[4-(3- метоксипропокси)-3-метил-2-пиридинил]метил]сульфинил] бензимидазола, (+)-(If).
В 50 мл толуола растворили 2.1 г (6.3 ммоля) 2-[[[4-(3-метоксипропокси)-3-метил-2-пиридинил] метил] тио] бензимидазола. К раствору добавили 40 мкл (2.2 ммоля) воды, 1.6 мл (3.8 ммоля) изопропоксида титана (IV). Смесь перемешивали в течение 60 минут при 50oC и затем охладили до комнатной температуры. К раствору добавили 0,44 мл (2.6 ммоля) N,N-диизопропилэтиламина и 1.1 мл (6.0 ммолей) гидропероксида кумола (80%). После перемешивания в течение 2-х часов при комнатной температуре смесь в соответствии с высокоэффективной жидкостной хроматографией состояла из 9% сульфида, 4% сульфона и 85% сульфоксида. К смеси добавили толуол (50 мл) и полученный раствор три раза экстрагировали водным раствором аммиака (12%) при общем объеме 150 мл. Смешанные водные слои нейтрализовали добавлением концентрированной уксусной кислоты (30 мл). После этого осуществили экстракцию, выпаривание и тонкослойную хроматографию, получая 1.63 г названного соединения с чистотой 99.9% (ахиральный анализ) и с энантиомерным избытком (е.е.) 91% (хиральный анализ). После обработки материала ацетонитрилом образовался осадок, который можно было удалить фильтрацией. После концентрирования фильтрата получили 1.1 г (49%) названного соединения в виде масла с оптической чистотой, соответствующей энантиомерному избытку 96%.
Пример 27.
Асимметричный синтез (-)-2- [2-(N-изобутил-N-метиламино) бензилсульфинил]-бензимидазола, (-)-(Ig).
В толуоле (6 мл) растворили 2.0 г (6.1 ммоля) 2-[2-(N-изобутил-N-метиламино)бензилтио] -бензимидазола. При 50oC и перемешивании добавили 40 мкл (2.2 моля) воды, 1.6 мл (9.3 ммоля) (+)-диэтил L-тартрата и 1.1 мл (3.7 ммоля) изопропоксида титана (IV). Полученную смесь перемешивали при 50oC в течение 1 часа и затем добавили 0.53 мл (3.0 ммол) N,N-диизопропилэтиламина. Затем реакционную смесь охладили до 30oC, после чего добавили 1.1 мл (6.1 ммоля) гидропероксида кумола (80%). Смесь перемешивали при 30oC в течение 50 минут. Анализ реакционной смеси показал, что оптическая чистота образованного сульфоксида соответствовала энантиомерному избытку 92%. Смесь охладили до комнатной температуры и разбавили небольшим количеством метиленхлорида. При использовании колоночной хроматографии силикагель элюировали 4% MeOH/CH2Cl2 (насыщенный NH3), получили масло, которое подвергли повторной хроматографии (силикагель, элюировали 20% EtOAc/гексаном). Полученный сырой продукт (1.6 г) в виде масла обработали небольшим количеством ацетонитрила для того, чтобы увеличить оптическую чистоту. Фильтрацией удалили образованный осадок (270 мг). Из фильтрата удалили растворитель, при этом получили 1,2 г желаемого соединения в виде масла. Оптическая чистота материала соответствовала энантиомерному избытку 96%.
Пример 28.
Асимметричный синтез (+)-2- [2-(N-изобутил-N-метиламино)бензилсульфинил] -бензимидазола, (+)-(Ig).
В толуоле (6 мл) растворили 2.0 г (6.1 ммоля) 2-[2-(N-изобутил-N-метиламино)бензилтио]-бензимидазола. При 50oC и перемешивании добавили 40 л (2.2 ммоля) воды, 1.6 мл (9.3 ммоля) (-)-диэтил D-тартрата и 1.1 мл (3.7 ммоля) изопропоксида титана (IV). Полученную смесь перемешивали при 50oC в течение 1 часа и затем добавили 0.53 мл (3.0 ммоля) N,N-диизопропилэтиламина. Затем реакционную смесь охладили до 30oC, после чего добавили 1.1 мл (9.1 ммоля) гидропероксида кумола (80%). Смесь перемешали при 30oC, после чего добавили 1.1 мл (6.1 ммоля) кумолгидропероксида (80%). Смесь перемешивали при 30oC в течение 50 минут. Анализ реакционной смеси показал, что оптическая чистота образованного сульфоксида соответствовала энантиомерному избытку 91%. Смесь охладили до комнатной температуры и разбавили количеством метиленхлорида. При использовании колоночной хроматографии [силикагель, элюировали 4% MeOH/CH2Cl2 (насыщенный NH3)] получили сырой продукт в виде масла. Этот материал обработали смесью этилацетата и гексана (10% EtOAc). Образованный осадок (140 мг) удалили фильтрацией. Из фильтрата удалили растворитель, при этом получили 0.95 г желаемого соединения в виде масла. Оптическая чистота материала соответствовала энантиомерному избытку 96%.
Пример 29.
Асимметричный синтез двух стереоизомеров 2-[(4-метокси-6,7,8,9-тетрагидро-5Н-циклогепта[b]пиридин-9-ил) сульфинил] бензимидазола, (Ih).
В последующем примере первый диастереомер вышеуказанного соединения, элюированного на прямой фазе (силикагель), назвали диастереомером а второй диастереомер представлен как диастереомер ![]() Синтез: В 20 мл толуола суспендировали 0.51 г (1.57 ммолей) рацемата 2-[(4-метокси-6,7,8,9-тетрагидро- – циклогепта[b]пиридин-9-ил)тио] бензимидазола. При комнатной температуре и перемешивании добавили 0.34 г (1.6 ммоля) (+)-диэтил L-тартрата, 7 мк (0.4 ммоля) воды и 0.22 г (0.78 ммоля) изопропоксида титана (IV). Смесь перемешивали при 50oC в течение 50 минут и затем при комнатной температуре добавили 100 мг (0.78 ммоля) N,N-диизопропилэтиламина. Затем в течение 5 минут при комнатной температуре добавляли 0.33 г (160 ммолей) гидропероксида кумола (80%), после чего раствор перемешивали при комнатной температуре в течение 24 часов. Стереоизомерный состав названного соединения в сырой смеси был таким, как указано далее. Отношение диастереомеров составило 4:3 в пользу диастереомера Оптическая чистота (-)-энантиомера диастереомера соответствовала энантиомерному избытку 76% и оптическая чистота (+)-энантиомера диастереомера соответствовала энантиомерному избытку) 68%. Полученную смесь промыли водой (3х25мл), сушили над Na2SO4 и растворитель удалили. С помощью флэш хроматографии остатка (метанол-метиленхлорид от 0 до 5%) получили 0.25 г (47%) энантиомерно обогащенного диастереомерного сульфоксида в виде сиропа.
Разделение диастереомеров. Разделение двух диастереомеров осуществили с использованием повторного хроматографического состава (метанол-метиленхлорид от 0 до 5%). Таким образом получили (-)-энантиомер диастереомера А в виде сиропа (0.14 г) с оптической чистотой, соответствующей энантиомерному избытку 77%. (+)-Энантиомер диастереомера В получили также в виде сиропа (0.085 г) с оптической чистотой, соответствующей энантиомерному избытку 68%, однако диастереомер В был загрязнен приблизительно 10% диастереомера ![]() Оптическая очистка. Оптическую чистоту (-)-энантиомера диастереомера увеличили путем добавления приблизительно 2 мл ацетонитрила к энантиомерно обогащенному составу диастереомера (0.14 г). После перемешивания в течение ночи образованный осадок (почти рацемический диастереомер А) отфильтровали и из фильтрата пленочным испарением удалили растворитель. Таким образом получили 85 мг (-)-энантиомера диастереомера в виде сиропа с оптической чистотой, соответствующей энантиомерному избытку 88%. Оптическую чистоту (+)-энантиомера диастереомера увеличили подобным способом.
Таким образом, посредством добавления ацетонитрила (2 мл) к энантиомерно обогащенному составу диастереомера (0.085 г), после которого осуществили перемешивание в течение ночи, получили осадок, который отфильтровали. В результате получили 0.050 г (+)-энатиомера диастереомера В с оптической чистотой, соответствующей энантиомерному избытку 95%.
Наилучшим способом осуществления настоящего изобретения, известным в настоящее время, является такой, который описан в Примере 11.
Сравнительный Пример А.
Окисление 5-метокси-2-[[(4-метокси-3,5-диметил-2-пиридинил)метил] тио] бензимидазола с использованием трет-бутилгидропероксида в нейтральных условиях. (Использованный способ тот же, что и способ, использованный в Euro. J. Biochem. 166 (1987) 453-459, и описанный в J. Am. Chem. Soc. 106 (1984) 8188.)К раствору (+)-диэтил L-тартрата (1.7 мл, 10 ммолей) и изопропоксида титана (IV)(1.5 мл, 5 ммолей) в 50 мл метиленхлорида при комнатной температуре добавили воду (90 мк, 5 ммолей). Через 20 минут в реакционной смеси растворили 5-метокси-2-[[(4-метокси-3,5-диметил-2-пиридинил)метил]тио] бензимидазол (6.6 г, 5 ммолей) и раствор охладили до -20oC. Добавили 3М раствор трет-бутилгидропероксида в толуоле (1.8 мл, 5.5 ммолей) и смесь выдерживали при -20oC в течение 120 часов. По истечении этого времени смесь состояла из 28% сульфида (исходный материал), 8.6% сульфона, 30.6% (-)-энантиомера сульфоксида и 28.1% (+)-энантиомера сульфоксида (т.е. 4%). В подобном эксперименте, проведенном при +8oC в течение 7 часов, смесь состояла из 32.4% сульфида, 8.7% сульфона, 24.6% (-)-энантиомера сульфоксида и 26.7% (+)-энантиомера сульфоксида (т.е. ![]() Сравнительный Пример В. Окисление 5-метокси-2-[[(4-метокси-3,5-диметил-2-пиридинил)метил] тио] бензимидазола с использованием гидропероксида кумола при -22oC без добавления основания. (Использованный способ окисления описан в Tetrahedron (1987), 43, 5/35.)Проводили эксперимент с использованием тех же самых условий, что и в ссылочном Примере А, за исключением того, что вместо трет-бутилгидропероксида использовали гидропероксид кумола. Через 120 часов при -22oC смесь состояла из 29% сульфида, 3.8% сульфона, 29.1% (-)-энантиомера сульфоксида и 35.5% (+)-энантиомера сульфоксида (т.е. ![]() Сравнительный Пример C. Окисление 5-метокси-2-[[(4-метокси-3,5-диметил-2-пиридинил)метил] тио] бензимидазола с использованием гидропероксида кумола в нейтральных условиях.
К раствору (+)-диэтил L-тратрата (8.5 мл, 50 ммолей) и изопропоксида титана (IV) (7.4 мл, 25 ммолей) в 50 мл метиленхлорида при комнатной температуре добавили воду (450 мкл, 25 ммолей). Через 20 минут добавили 5-метокси-2-[[(4-метокси-3,5-диметил-2-пиридинил) метил]тио] бензимидазол (8.2 г, 25 ммолей) и смесь разделили на три части. К одной из частей при комнатной температуре добавили гидропероксид кумола (1.7 мл, 80% растворителя, 9.2 ммоля) и через 3 часа 20 минут взяли пробу. Смесь состояла из 29.4% сульфида, 6.3% сульфона, 22% (-)-энантиомера сульфоксида и 35% (+)-энантиомера сульфоксида (т.е. ![]() Сравнительный Пример D. Окисление 5-метокси-2-[[(4-метокси-3,5-диметил-2-пиридинил)метил] тио] бензимидазола с использованием гидропероксида кумола при добавлении основания согласно одному из вариантов настоящего изобретения.
Эксперимент проводили с использованием тех же самых условий, которые описаны в Сравнительном Примере C. При этом различие состояло в том, что вместе с гидропероксидом кумола добавили один эквивалент диизопропилэтиламина. Через 3 часа 20 минут смесь состояла из 17.2% сульфида, 3,5% сульфона, 8.7% (-)-энантиомера сульфоксида и 69.3% (+)-энантиомера сульфоксида (т.е. э.и. = 78%).
Сравнительный Пример E.
Асимметричный синтез (+)-2-[5-(3,5-диметилпиразол-1-ил)пентилсульфинил] -4,5-дифенилимидазола.
В толуоле (20 мл) растворили 0.8 г (1.9 ммоля) 2-(5-(3,5-диметилпиразол-1-ил)пентилсульфинил] -4,5-дифенилимидазола. Раствор концентрировали на роторном испарителе до тех пор, пока не удалили половину объема. К смеси в указанном порядке добавили 20 мкл (1.1 ммоля) воды, 1,0 г (4.8 ммоля) (+)-диэтил L-тартрата и 0.45 г (1.9 ммоля) изопропоксида титана (IV). Смесь перемешали в течение 60 минут при 50oC и затем добавили 0.25 г (1.9 ммоля) N,N-диизопропилэтиламина. Затем смесь перемешали при комнатной температуре в течение 30 минут, после чего добавили 0.36 г (80%, 1.9 ммоля) гидропероксида кумола. Смесь перемешали в течение четырех часов при комнатной температуре и проведенный затем анализ показал, что реакция завершилась. Раствор промыли водой (2 мл) и затем удалили органический слой. Хроматографией на силикагеле (метанолметиленхлорид от 0 до 5%) очистили маслянистый остаток. Получили 0.7 г желаемого продукта в виде масла, которое имело оптическую чистоту, соответствующую энантиомерному избытку 87%.
Сравнительный Пример F.
Асимметричный синтез (-)-2-[5-(3,5-диметилпиразол-1-ил)пентилсульфинил] -4,5-дифенилимидазола.
В толуоле (40 мл) растворили 1.5 г (3.6 ммоля) 2-[5-(3,5-диметилпиразол-1-ил)пентилтио] -4,5-дифенилимидазола. Раствор концентрировали на роторном испарителе до тех пор, пока не удалили половину объема. К смеси в указанном порядке добавили 38 мкл (2.1 ммоля) воды, 1.85 г (9.0 ммолей) (-)-диэтил D-тартрата и 1.01 г (3.6 ммоля) изопропоксида титана (IV). Смесь перемешали в течение 60 минут при 50oC. Смесь разделили на две части и затем к одной половине смеси добавили 0.23 г (1.9 ммоля) N,N-диизопропилэтиламина. Затем эту смесь перемешали при комнатной температуре в течение 15 минут, после чего добавили 0.35 г (80%, 1.8 ммоля) гидропероксида кумола. Смесь перемешали в течение четырех часов при комнатной температуре и проведенный затем анализ показал, что реакция завершилась. Раствор перемешали с водой (2 мл) и затем удалили органический слой. Хроматографией на силикагеле (метанол-метиленхлорид от 0 до 5%) очистили маслянистый остаток. Получили 0.65 г желаемого продукта в виде масла, которое имело оптическую чистоту, соответствующую энантиомерному избытку 92%.
ВыводыПримеры показывают, что самый высокий энантиомерный избыток получают в том случае, если принимают во внимание все признаки изобретения. В соответствии с одним вариантом изобретения для высокой энантиоселективности является важным добавлением во время окисления основания. Но высокий энантиомерный избыток можно также получить в соответствии с другими вариантами изобретения, если изменить порядок добавления компонентов в реакционный сосуд, и альтернативно во время получения хирального комплексного соединения титана принимать во внимание время и/или температуру. Получение хирального комплексного соединения титана осуществляют предпочтительно в присутствии прохирального сульфида, в течение длительного времени и при повышенной температуре. Определение энантиомерного избытка в Примерах и Сравнительных Примерах Значение энантиомерного избытка в каждом примере, приведенном выше, показывает относительные количества каждого полученного энантиомера. Значение определяют как разность между относительными процентными содержаниями двух энантиомеров. Таким образом, например, когда процентное содержание (-)-энантиомера образованного сульфоксида составляет 97.5% и процентное содержание (+)-энантиомера составляет 2.5%, энантиомерный избыток (-)-энантиомера равен 95%. Энантиомерный состав полученного сульфоксида определяли хиральной высокоэффективной жидкостной хроматографией (HPLC) с использованием или колонки Chiralpak ADR или колонки Chiral AGPR при следующих условиях, определенных для каждого соединения: Соединение формулы (Ia) Колонка – Chiralpak AD 50х4.6 мм Элюент – Изогексан (100 мл), этанол (100 мл) и уксусная кислота (10 л) Скорость потока – 0.5 мл/мин Объем впрыскивания – 50 мкл Длина волны – 302 нм Время удерживания (-)-энантиомера – 4.0 мин Время удерживания (+)-энантиомера – 5.8 мин Соединение формулы (Ib) Колонка – Chiralpak AD 50х4.6 мм Элюент – Изогексан (125 мл), 2-пропанол (25 мл), этанол (50 мл) и уксусная кислота (30 мл) Скорость потока – 0.4 мл/мин Объем впрыскивания – 50 мкл Длина волны – 287 нм Время удерживания (+)-энантиомера – 6.5 мин Время удерживания (-)-энантиомера – 13.8 мин Соединение формулы (Ic) Колонка – Chiralpak AD 50х4.6 мм Элюент – Изогексан (100 мл), этанол (100 мл) и уксусная кислота (10 мл) Скорость потока – 0.4 мл/мин Объем впрыскивания – 50 мкл Длина волны – 30 нм Время удерживания (+)-энантиомера – 6.4 мин Время удерживания (-)-энантиомера – 9.4 мин Соединение формулы (Id) Колонка – Chiral AGP 100х4.0 мм Элюент – Натрийфосфатный буферный раствор (pH 7.0) 1=0.025 (500 мл) и ацетонитрил (70 мл) Скорость потока – 0.5 мл/мин Объем впрыскивания – 20 мкл Длина волны – 210 нм Время удерживания (+)-энантиомера – 6.2 мин Время удерживания (-)-энантиомера – 7.2 мин Соединение формулы (Ie) Колонка – Chiralpak AD 50х4.6 мм Элюент – Изогексан (150 мл), этанол (50 мл) и уксусная кислота (10 мкл) Скорость потока – 0.5 мл/мин Объем впрыскивания – 50 мкл Длина волны – 290 нм Время удерживания (-)-энантиомера – 9.5 мин Время удерживания (+)-энантиомера – 13.3 мин Соединение формулы (If) Колонка – Chiral AGP 100х4.0 мм Элюент – Натрийфосфатный буферный раствор (pH 7.0) 1=0.025 (430 мл) и ацетонитрил (70 мл) Скорость потока – 0.5 мл/мин Объем впрыскивания – 20 мкл Длина волны – 210 нм Время удерживания (+)-энантиомера – 4.1 мин Время удерживания (-)-энантиомера – 6.8 мин Соединение формулы (Ig) Колонка – Chiralpak AD 50х4.6 мм Элюент – Изогексан (200 мл) и этанол (10 мл) Скорость потока – 0.5 мл/мин Объем впрыскивания – 50 мкл Длина волны – 285 нм Время удерживания (-)-энантиомера – 9.0 мин Время удерживания (+)-энантиомера – 9.8 мин Соединение формулы (Ih) Колонка – Chiralpak AD 50х4.6 мм Элюент – Изогексан (150 мл) и 2-пропанол (50 мл) Скорость потока – 0.4 мл/мин Объем впрыскивания – 50 мкл Длина волны – 285 нм Время удерживания (-)-энантиомера диастереомера 6.9 мин.
Время удерживания (+)-энантиомера диастереомера 8.1 мин.
Время удерживания (+)-энантиомера диастереомера 8.8 мин.
Время удерживания (-)-энантиомера диастереомера 11.0 мин.
Первый диастереомер соединения (lh), элюированного на прямой фазе (ахиральная силикагельная хроматография (см. ниже)), назван диастереомером а второй диастереомер – диастереомером ![]() Сравнительные Примеры E и F В Сравнительных Примерах E и F энантиомерный состав продуктов определяли хиральной HPLC с использованием следующих условий: Колонка – Chiral AD 50х4.6 мм Элюент – Изогексан (200 мл), этанол (5 мл) и уксусная кислота (10 мкл) Скорость потока – 1 мл/мин Объем впрыскивания – 50 мкл Длина волны – 280 нм Время удерживания (+)-энантиомера – 13.5 мин Время удерживания (-)-энантиомера – 17.3 мин Следует отметить, что в Примерах, относящихся к одиночным энантиомерам омепразола или его щелочным солям, знак оптического вращения одиночной энантиомерной формы омепразола, определенной в воде, является противоположным такому знаку, который определяет упомянутое соединение в его нейтральной форме в хлороформе. Формула изобретения
![]() в которой Het1 является ![]() или ![]() Het2 является ![]() X является ![]() где N внутри бензольного кольца бензимидазольной составляющей означает, что один из атомов углерода, замещенных R6 – R9, необязательно может быть заменен на атом азота без каких-либо заместителей; R1, R2 и R3 являются одинаковыми или разными и их выбирают из водорода, алкила, алкилтио, алкокси, необязательно замещенных фтором, алкоксиалкокси, диалкиламино, пиперидино, морфолино, галогеном, фенилалкилом и фенилалкокси; R4 и R5 являются одинаковыми или разными и их выбирают из водорода, алкила и аралкила; R’6 является водородом; R6 – R9 являются одинаковыми или разными и их выбирают из водорода, алкила, алкоксила, галогена, галогеналкоксила, алкилкарбонила, алкоксикарбонила, или соседние группы R6 – R9, образуют кольцевые структуры; R10 является водородом или вместе с R3 образует алкиленовую цепь; где алкильные группы, алкоксигруппы и их составляющие могут быть разветвленными или прямыми C1 – C9цепями или включать циклические алкильные группы, например, циклоалкильные, отличающийся тем, что прохиральный сульфид формулы II Het1 – X – S – Het2, в которой Het1 и Het2 являются такими, как они определены выше, окисляют в органическом растворителе окисляющим агентом в присутствии хирального комплексного соединения титана и основания, и полученный сульфоксид необязательно превращают в его фармацевтически приемлемую соль обычными способами. 2. Способ энантиоселективного синтеза сульфоксида соединения формулы I или в виде одиночного энантиомера или в энантиомерно обогащенной форме ![]() в которой Het1 является ![]() или ![]() Het2 является ![]() X является ![]() где N внутри бензольного кольца бензимидазольной составляющей означает, что один из атомов углерода, замещенных R6 – R9, необязательно может быть заменен на атом азота без каких-либо заместителей; R1, R2 и R3 являются одинаковыми или разными и их выбирают из водорода, алкила, алкилтио, алкокси, необязательно замещенных фтором, алкоксиалкокси, диалкиламино, пиперидино, морфолино, галогеном, фенилалкилом и фенилалкокси; R4 и R5 являются одинаковыми или разными и их выбирают из водорода, алкила и аралкила; R’6 является водородом; R6 – R9 являются одинаковыми или разными и их выбирают из водорода, алкила, алкоксила, галогена, галогеналкоксила, алкилкарбонила, алкоксикарбонила, или соседние группы R6 – R9, образуют кольцевые структуры; R10 является водородом или вместе с R3 образует алкиленовую цепь; где алкильные группы, алкоксигруппы и их составляющие могут быть разветвленными или прямыми C1 – C9цепями или включать циклические алкильные группы, например циклоалкильные, отличающийся тем, что прохиральный сульфид формулы II Het1 – X – S – Het2, в которой Het1 и Het2 являются такими, как они определены выше, окисляют в органическом растворителе окисляющим агентом в присутствии хирального комплексного соединения титана и необязательно в присутствии основания, где комплексное соединение титана получают в присутствии прохирального сульфида и полученный сульфоксид необязательно превращают в его фармацевтически приемлемую соль обычными способами. 3. Способ энантиоселективного синтеза сульфоксида соединения формулы I или в виде одиночного энантиомера или в энантиомерно обогащенной форме ![]() в которой Het1 является ![]() или ![]() Het2 является ![]() X является ![]() где N внутри бензольного кольца бензимидазольной составляющей означает, что один из атомов углерода, замещенных R6 – R9, необязательно может быть заменен на атом азота без каких-либо заместителей; R1, R2 и R3 являются одинаковыми или разными и их выбирают из водорода, алкила, алкилтио, алкокси, необязательно замещенных фтором, алкоксиалкокси, диалкиламино, пиперидино, морфолино, галогеном, фенилалкилом и фенилалкокси; R4 и R5 являются одинаковыми или разными и их выбирают из водорода, алкила и аралкила; R’6 является водородом; R6 – R9 являются одинаковыми или разными и их выбирают из водорода, алкила, алкоксила, галогена, галогеналкоксила, алкилкарбонила, алкоксикарбонила, или соседние группы R6 – R9, образуют кольцевые структуры; R10 является водородом или вместе с R3 образует алкиленовую цепь; где алкильные группы, алкоксигруппы и их составляющие могут быть разветвленными или прямыми C1 – C9цепями или включать циклические алкильные группы, например циклоалкильные, отличающийся тем, что прохиральный сульфид формулы II Het1 – X – S – Het2, в которой Het1 и Het2 являются такими, как они определены выше, окисляют в органическом растворителе окисляющим агентом в присутствии хирального комплексного соединения титана, необязательно в присутствии основания, где комплексное соединение титана получают при повышенной температуре и/или в течение продолжительного периода получения, и полученный сульфоксид необязательно превращают в его фармацевтически приемлемую соль обычными способами. 4. Способ энантиоселективного синтеза сульфоксида соединения формулы I или в виде одиночного энантиомера или в энантиомерно обогащенной форме I ![]() в которой Het1 является ![]() или ![]() Het2 является ![]() X является ![]() где N внутри бензольного кольца бензимидазольной составляющей означает, что один из атомов углерода, замещенных R6 – R9, необязательно может быть заменен на атом азота без каких-либо заместителей; R1, R2 и R3 являются одинаковыми или разными и их выбирают из водорода, алкила, алкилтио, алкокси, необязательно замещенных фтором, алкоксиалкокси, диалкиламино, пиперидино, морфолино, галогеном, фенилалкилом и фенилалкокси; R4 и R5 являются одинаковыми или разными и их выбирают из водорода, алкила и аралкила; R’6 является водородом; R6 – R9 являются одинаковыми или разными и их выбирают из водорода, алкила, алкоксила, галогена, галогеналкоксила, алкилкарбонила, алкоксикарбонила, или соседние группы R6 – R9, образуют кольцевые структуры; R10 является водородом или вместе с R3 образует алкиленовую цепь; где алкильные группы, алкоксигруппы и их составляющие могут быть разветвленными или прямыми C1 – C9 цепями или включать циклические алкильные группы, например циклоалкильные, отличающийся тем, что прохиральный сульфид формулы II Het1 – X – S – Het2, в которой Het1 и Het2 являются такими, как они определены выше, окисляют в органическом растворителе окисляющим агентом в присутствии хирального комплексного соединения титана, необязательно в присутствии основания, где комплексное соединение титана получают в присутствии прохирального сульфида при повышенной температуре и/или в течение продолжительного периода получения, и полученный сульфоксид необязательно превращают в его фармацевтически приемлемую соль обычными способами. 5. Способ по любому из пп. 1, или 2, или 3, или 4, в котором полученные сульфоксиды представляют сульфоксиды, определенные формулой I’, в виде одиночного энантиомера или в энантиомерно обогащенной форме: ![]() в которой Ar является ![]() или ![]() R1 – R10 являются такими, как они определены в любом из пп.1 – 4. 6. Способ по любому из пп.1, или 2, или 3, или 4, в котором полученные сульфоксиды представляют сульфоксиды согласно любой из формул Ia – Ih в виде одиночного энантиомера или в энантиомерно обогащенной форме ![]() ![]() ![]() ![]() ![]() ![]() ![]() ![]() 7. Способ по п. 1, или 2, или 3, или 4, отличающийся тем, что прохиральный сульфид формулы II окисляют окисляющим агентом в форме гидропероксида кумола. 8. Способ по п.1, или 2, или 3, или 4, отличающийся тем, что комплексное соединение титана получают из соединения титана (IV), предпочтительно из алкоксида титана (IV), более предпочтительно из изопропоксида титана (IV). 9. Способ по п.1, или 2, или 3, или 4, отличающийся тем, что хиральный лиганд в комплексном соединении титана представляет хиральный разветвленный или неразветвленный алкилдиол или ароматический диол, предпочтительно хиральный сложный эфир винной кислоты, наиболее предпочтительно (+)-диэтил L-тартрат и (-)-диэтил D-тартрат. 10. Способ по п.1, или 2, или 3, или 4, отличающийся тем, что количество хирального комплексного соединения титана составляет 0,05 – 0,50 эквивалентов. 11. Способ по п.1, или 2, или 3, или 4, отличающийся тем, что окисление проводят при температуре 20 – 40oC, предпочтительно при комнатной температуре. 12. Способ по п.1, или 2, или 3, или 4, отличающийся тем, что органический растворитель выбирают из группы, состоящей из толуола и этилацетата. 13. Способ по п.1, или 2, или 3, или 4, отличающийся тем, что окисление проводят в присутствии основания, выбранного из группы органических оснований, предпочтительно амина, наиболее предпочтительно триэтиламина и N,N-диизопропилэтиламина. 14. Способ по п.3 или 4, отличающийся тем, что продолжительность времени получения хирального комплексного соединения титана составляет 1 – 5 ч и повышенная температура равна 30 – 40oC. 15. Способ по п.1, или 2, или 3, или 4, отличающийся тем, что он дополнительно включает стадию обработки образованного продукта водным раствором аммиака. 16. Способ по п.1, или 2, или 3, или 4, отличающийся тем, что он дополнительно включает стадии кристаллизации полученного неочищенного продукта. 17. Способ по п.1, или 2, или 3, или 4, отличающийся тем, что полученный сульфоксид представляет собой (+)-5-метокси-2-[[(4-метокси-3,5-диметил-2-пиридинил)метил] сульфинил] -1H-бензимидазол, (-)5-метокси-2-[[(4-метокси-3,5-диметил-2-пиридинил)метил] сульфинил]-1H-бензимидазол или их фармацевтически приемлемую соль в соответствии с любым из пп.1 – 16. 18. Сульфоксид соединения формулы I, выбранный из группы: один из одиночных энантиомеров 2-[[[4-(3-метоксипропокси)-3-метил-2-пиридинил]метил]сульфинил]-1H-бензимидазола; один из одиночных энантиомеров 2-[2-(N-изобутил-N-метиламино)бензилсульфинил]-1H-бензимидазола; один из одиночных энантиомеров более липофильного диастереомера 2-[[4-метокси-6,7,8,9-тетрагидро-5Hциклогепта (b) пиридин-9-ил]сульфинил]-1H-бензимидазола; один из одиночных энантиомеров менее липофильного диастереомера 2-[[4-метокси-6,7,8,9-тетрагидро-5Hциклогепта (b) пиридин-9-ил]сульфинил]-1H-бензимидазола, или их фармацевтически приемлемые соли. |
||||||||||||||||||||||||||


бензимидазол), имеющее общее название омепразол и описанное в ЕР 5129, является пригодным в качестве противоязвенного средства. Другими представляющими интерес соединениями являются, например, соединения, имеющие общепринятые названия лансопразол, пантопразол, парипразол и леминопразол.
Эти соединения, а также структурно родственные сульфоксиды, имеют стереогенный центр у атома серы и поэтому существуют в виде двух оптических изомеров, т. е. энантиомеров. Если в молекуле есть другой стереогенный центр, эти соединения могут существовать в виде пар энантиомеров. Соответствующие сульфиды таких соединений, которые уже содержат стереогенный центр, являются не прохиральными соединениями, а хиральными соединениями. Однако атом серы в этих соединениях не имеет асимметрии и поэтому их относят в настоящем изобретении к прохиральным сульфидам.
Несмотря на то, что этот класс хиральных сульфоксидов обсуждается в научной литературе с 70-х годов, до сих пор не описано эффективного асимметричного способа для синтеза их одиночных энантиомеров. К одиночным энантиомерам фармакологически активных соединений, вследствие их улучшенных фармакокинетических и биологических свойств, был проявлен повышенный интерес. Поэтому существует большая потребность и необходимость в создании такого энатиоселективного способа, который можно использовать в крупном масштабе для производства одиночных энантиомеров фармакологически активных соединений, например таких как оптически чистые, замещенные 2-(2-пиридинилметилсульфинил)
бензимидазолы.
Существуют разные способы разделения различных замещенных 2-(2-пиридинил)метилсульфинил)
бензимидазолов, раскрытые в предшествующем уровне техники в данной области. Такие способы описаны, например, в DE 4035455 и W0 94/27988. Эти способы включают стадии синтеза, во время которых из рацемата соответствующих замещенных 2-(2-пиридинилметилсульфинил)
бензимидазолов синтезируют диастереомерную смесь. Затем диостереомеры разделяют, и, в конечном счете, один из отделенных диастереомеров превращают на стадии гидролиза в оптически чистый сульфоксид.
Эти способы разделения, включающие диостеромерные промежуточные соединения, обладают, по крайней мере, тремя существенными недостатками, а именно:
бензимидазол в виде рацемического промежуточного соединения затем, перед получением одиночных энантиомеров, должен быть подвергнут обработке на двух реакционных стадиях.
2) Описанные способы разделения включают сложные стадии выделения.
3) Существует большое количество потерь высокочистого материала в том случае, когда нежелательный стереоизомер, находящийся в форме противоположного диастереомера, отделяют и выбрасывают.
В предшествующем уровне техники описан, кроме того, энантиоселективный синтез одиночных энантиомеров сульфоксидного реагента Ro 18-5364 (5,7-дигидро-2-[[4-метокси-3- метил-2-пиридинил)метил] -сульфонил] -5 5,7,7-тетраметилинденo-[5,6
] -имидaзoлa-6-
-oдин) (см. Euro. J.Bioсhem. 166 (1987) 453). Описанный способ основан на энантиоселективном окислении соответствующего прохирального сульфида в упомянутый сульфоксид. Экспериментальные условия окисления устанавливают в соответствии с асимметричным способом окисления сульфида, разработанным Каганом и сотрудниками (Pitchen, P., Deshmukh, М. , Dunach, Е., Kagan Н.В. J. Am. Chem. Soc. 106 (1984), 8188). Авторы сообщают, что полученный сырой продукт сульфоксид, показывающий энантиомерный избыток
составляющий 30%, можно очистить до, по существу, оптически чистого сульфоксида
посредством нескольких стадий кристаллизации. Однако о выходах и количестве стадий кристаллизации не сообщается.
Интересно отметить, что попытки Заявителя повторить описанные выше экспериментальные условия получения одиночных энантиомеров Ro 18-5364 позволили получить сырой сульфоксид с энантиомерным избытком, составляющим только 16%.
Для того чтобы получить представляющие интерес оптически чистые 2-(2-пиридинилметилсульфинил)
бензимидазолы, например один из одиночных энантиомеров омепразола, Заявитель получил при использовании вышеописанного способа сырые сульфоксиды с обычным энантиомерным избытком около 5% или даже ниже (см. ссылочный пример А, приведенный ниже).
В вышеупомянутом способе асимметричного окисления сульфидов в сульфоксиды, разработанном Каганом и сотрудниками (J.Amer. Chem. Soc. (1984), процитированном выше), окисление осуществляют с использованием в качестве окислителя третбутилгидропероксида в присутствии одного эквивалента хирального комплексного соединения, полученного из Ti(OiPr)4/(+) или (-)диэтилтартрата/воды при молярном отношении 1:2:1.
Каган и сотрудники сообщили, что сульфоксидные продукты с самой высокой энантиоселективностью могут быть получены, когда асимметричному окислению подвергают сульфиды, содержащие два заместителя очень разных размеров. Когда асимметричному окислению подвергают, например, арилметилсульфиды, можно получить арилметилсульфоксиды при энантиомерном избытке
более чем 90%.
Однако, когда заместители, присоединенные к атому серы прохирального сульфида, имеют относительно одинаковые размеры, получают посредственную или плохую энантиоселективность. Когда, например, окислению в условиях, предложенных Каганом и сотрудниками, подвергают бензил-p-толилсульфоксид, то получают е.е., равный только 7%.
Были предприняты попытки усовершенствовать условия асимметричного окисления сульфидов. Например, Каган и сотрудники (Zha, S.; Samuel.; Kagan, Н.В. Tetrahedron (1987), 43, 5135) обнаружили, что повышенную энантиоселективность можно обычно получить, если в системе, указанной выше, заменить трет-бутилгидропероксид при окислении сульфида гидропероксидом кумола. Энантиомерный избыток, равный 96%, можно, например, получить при асимметричном окислении метил-p-толилсульфида.
Поэтому в предложенном способе асимметричного окисления сульфидов Каган использовал гидропероксид кумола с системой Ti(O-iPr)4/диэтилтартрат/вода (1:2:1) в метиленхлориде при -23oC. Авторы сообщают о снижении энантиоселективности, когда количество титанового реагента составляет менее чем 0,5 эквивалента (см. Tetrahedron (1987), указанный выше).
Используя этот усовершенствованный способ асимметрического окисления с одним эквивалентом титанового реагента для получения оптически чистых 2-(2-пиридинилметилсульфинил)
бензимидазолов, например, одного из одиночных энантиомеров омепразола. Заявитель получил обычный энантиомерный избыток, составляющий 10% (см. Ссылочный пример B, приведенный ниже).
Реакционные условия и их применимость в отношении энантиомерного избытка, полученного для хиральных сульфоксидов, в общем также обсуждались Каганом и сотрудниками (см. Synlett (1990), 643). Так, например, было найдено, что для получения высокой энантиоселективности необходима температура -20oC и в некоторых случаях для получения самой высокой энантиоселективности Каган и сотрудники использовали такую низкую температуру, как -40oC. Кроме того, авторы установили, что изменение органического растворителя, используемого при окислении, например, метиленхлорида, на толуол, приведет к уменьшению энантиоселективности. В качестве предпочтительных растворителей для окисления обсуждались метиленхлорид и 1,2-дихлорэтан. Следует отметить, что ни низкие температуры, ни предложенные растворители не являются удовлетворительными с промышленной точки зрения.
Недавно Питченом и сотрудниками (Pitchen, P.; France, C.J.; Mc.Farlane, I. M. ; Newton, C.G.; Thompson, D.M.Tetrahedron Letters (1994), 35, 485) был разработан крупномасштабный асимметричный синтез ингибитора ацилхолестеринацил-трансферазы (АСАТ). Указанный ингибитор АСАТ под общепринятым названием “соединение RP 73163” представляет хиральный сульфоксид, содержащий одну 4,5-дифенил-2-имидазолильную группу и одну 5-(3,5-диметил-1-пиразолил)-1-пентильную группу в стереогенном центре, т.е. на атоме серы. Однако соединение, которое не является соединением в соответствии с настоящим изобретением типа замещенного 2-(2-пиридинилметилсульфинил)
бензимидазола, имеет две больших замещающих группы, присоединенные к стереогенному центру, точно так же как и соединения, полученные в настоящем изобретении.
Сначала соответствующий прохиральный сульфид RP 73163, имеющий эти два больших заместителя у атома серы, окисляли с использованием вышеупомянутого способа асимметричного окисления, предложенного Каганом (см. Tetrahedron (1987), указанный выше). Сообщалось, что сульфоксид получили с хорошим химическим выходом, но энантиомерный избыток сульфоксида при этом был равен 0% (рацемическая смесь).
Однако эти обескураживающие результаты не явились неожиданными для химика, так как в литературе указывались самые высокие энантиоселективности для реакций, моделируемых тертратом титана в случае окисления стойких (например, циклических) сульфидов или сульфидов, имеющих два заместителя очень отличающихся размеров. Авторы сделали вывод, что на энантиоселективность этого типа окислений влияют, главным образом, стерические эффекты.
Принимая во внимание информацию, опубликованную в литературе, и для того чтобы иметь подходящий прохиральный субстрат для асимметричного окисления, Питчен и сотрудники (см. Tetrahedron Letters (1994), указанный выше), решили уменьшить размер одного из заместителей, присоединенных в сульфиде к атому серы. Выбранным промежуточным соединением для такого процесса может быть N-защищенный 4,5-дифенил-2-имидазолилметилсульфид, который получают после окисления в виде соответствующего сульфоксида. Энантиомерный избыток образованных сульфоксидов находится в диапазоне 98-99%. Однако при использовании промежуточного соединения синтетический способ становится еще более сложным, чем первоначально предложенный способ асимметричного окисления 2-[5-(3,5-диметилпиразол-1-ил) пентилтио] -4,5-дифенилимидазола. Если исходить из 4,5-дифенил-2-имидазолтиола, синтетический способ должен включать следующие стадии синтеза:
бензимидазолов. Поэтому все еще существует большая потребность в таком энантиоселективном способе производства замещенных оптически чистых 2-(2-пиридинилметилсульфинил)
бензимидазолов, а также других структурно родственных сульфоксидов.
Краткое описание изобретения
бензимидазолов, а также структурно родственных сульфоксидов, в котором получают неожиданно высокую энантиоселективность. Новый способ отличается тем, что прохиральный сульфид асимметрично окисляют в одиночный энантиомер или энантиомерно обогащенную форму соответствующего сульфоксида. Новое асимметричное окисление к удивлению дает возможность получить представляющие интерес соединения с чрезвычайно высоким энантиомерным избытком, даже, если соответствующий прохиральный сульфид имеет заместители у атома серы примерно одинакового размера. Способ является простым, включает одну стадию реакции, что делает его приемлемым для крупномасштабного производства энантиомерных соединений с высоким выходом и высоким энантиомерным избытком.
Выражения “прохиральный(ые) сульфид(ы)” используют для сульфидов соответствующих сульфоксидов, полученных новым способом в соответствии с настоящим изобретением. Если соответствующий сульфид уже содержит стереогенный центр в молекуле, такой сульфид является не прохиральным соединением, а хиральным соединением. Так как атом серы сульфидов не имеет асимметрии, такое соединение в настоящем описании и формуле изобретения относят к прохиральному сульфиду.
Настоящее изобретение также относится к оптически чистым соединениям, полученным в соответствии с заявляемым способом, и некоторым новым отдельным энантиомерным соединениям.
Подробное описание изобретения
или 
или 
или 

или 








бензимидазолом, используемым в качестве прохирального сульфида в реакции (см. Сравнительные примеры D и Е). Условия реакции являются одинаковыми в обоих экспериментах за исключением добавления основания к реакционной смеси в одном из экспериментов. Ссылочный пример D осуществляют в соответствии с пунктом 1 настоящего изобретения, т.е. асимметричное окисление осуществляют в присутствии основания. Сравнительный пример C осуществляют в отсутствии основания без изменения параметров способа. Результаты показывают, что окисление без добавления основания в соответствии со Сравнительным примером C позволяет получить сульфоксидный продукт с энантиомерным избытком
23%, в то время как присутствие основания, такого как диизопропилэтиламин, в соответствии со Сравнительным примером D позволяет получить сульфоксидный продукт с энантиомерным избытком, равным 78%.
Альтернативно, способ изобретения можно осуществить в отсутствии основания. При таких условиях способы получения хирального комплексного соединения титана являются существенными.
Получение хирального комплексного соединения титана осуществляют предпочтительно в присутствии прохирального сульфида. При изменении порядка добавления по сравнению со способами, представленными в предшествующем уровне техники, энантиоселективность окисления неожиданно возрастает.
Другими существенными признаками при получении хирального комплексного соединения титана является то, что получение комплексного соединения осуществляют при повышенной температуре и/или в течение длительного времени. Использование повышенной температуры означает температуру выше комнатной, например, такую как 30-70oC, предпочтительно 40-60oC. Длительное время получения означает период времени более примерно 20 минут, предпочтительно 1-5 часов. Подходящий период времени для стадии получения продукта зависит от температуры получения и прохирального сульфида, необязательно присутствующего во время получения хирального комплексного соединения титана.
Продукты, образованные во время реакции окисления, могут быть экстрагированы водным раствором аммиака или другого N-содержащего основания для того, чтобы избежать осаждения и/или образования нерастворимых солей титана. Водную фазу полученной смеси отделяют от органической фазы и выделенную водную фазу нейтрализуют добавлением нейтрализующего реагента, что приводит к протонированию оптически активного сульфоксида.
Таким образом, другая предпочтительная особенность способа изобретения состоит в том, что соли титана, которые могут быть образованы во время процесса, можно сохранить в растворе путем добавления водного раствора аммиака. Общепринятая методика, описанная в литературе для вымывания солей титана, состоит в обработке реакционной смеси водной или водными растворами гидроксида натрия, приводящий к образованию геля, который очень трудно отфильтровать. Другой методикой вымывания солей титана, описанной в предшествующем уровне техники в данной области, является, например, применение 1М HCl, предложенной в работе Питчена и сотрудников (Tetrahedron Letters (1994), источник указан выше). Эта методика не может быть использована для продуктов, которые являются неустойчивыми в отношении кислоты, например таких как 2-(2-пиридинилметилсульфинил)-
бензимидазолы, которые в кислых условиях почти сразу же разрушаются.
Полученный сырой продукт можно экстрагировать в органический растворитель. Его можно также кристаллизовать в органическом или водном растворителе, что приводит к получению оптически чистого продукта, например, такого как один из одиночных энантиомеров 2-(2-пиридинилметилсульфинил)
бензимидазола в нейтральной форме. Кислотный протон в бензимидазольной составляющей может быть удален обработкой сырого продукта основанием, например NaOH, после которой осуществляют кристаллизацию образованной соли в растворителе, в результате такой обработки получают продукт, имеющий улучшенную оптическую чистоту.
Изобретение далее проиллюстрировано более подробно с помощью следующих примеров.
Примеры
бензимидазола, (-)-(Ia)-Na.
59 г (180 ммолей) 5-Метокси-2-[[(4-метокси-3,5-диметил-2-пиридинил) метил] тио]
бензимидазола растворили в 200 мл этилацетата. К раствору при комнатной температуре добавили 0.3 мл (17 ммолей) воды. К смеси добавили 37 г (180 ммолей) (+)-диэтил L-тартрата, 25 г (90 ммолей) изопропоксида титана (IV) и 16 мл (90 ммолей) диизопропилэтиламина. Затем в течение 90 минут при 34oC осуществляли добавление 30 мл (160 ммолей) гидропероксида кумола (80%). После охлаждения до комнатной температуры в течение 120 минут отобрали небольшую пробу смеси для хирального и ахирального хроматографического анализа. Смесь состояла из 82% сульфоксида с энантиомерным избытком (е. е.) 87%. Смесь разбавили 60 мл изооктана и 40 мл этилацетата, после чего продукт три раза экстрагировали водным раствором аммиака (12%), имеющим общий объем 480 мл. Смешанные водные фазы нейтрализовали добавлением 50 мл концентрированной уксусной кислоты. После этого осуществили экстракцию, выпаривание, добавление гидроксида натрия и кристаллизацию, после чего получили 32.7 г названного соединения с чистотой 95.2% (ахиральный анализ) и энантиомерным избытком (е. е. ) 99.8% (хиральный анализ). Общий выход составил 47.2%.
Пример 2.
Асимметричный синтез (+)-5-метокси-2-[[4-метокси-3,5- диметил-2-пиридинил)метил]сульфинил
бензимидазола, (+)- (Iа).
К раствору (+)-диэтил L-тартрата (1.5 мл, 9.0 ммолей), растворенного в толуоле (10 мл), при перемешивании добавили изопропоксид титана (IV) (1.3 мл, 4.5 ммолей) и воду (41 мкл, 2.3 ммоля). Смесь перемешивали при комнатной температуре в течение 20 минут и затем добавили 5-метокси-2-[[(4-метокси-3,5-диметил-2-пиридинил) метил] тио]
бензимидазол (3.0 г, 9 ммолей) и диизопропилэтиламин (0.45 мл, 2.6 ммоля). При 30oC добавили гидропероксид кумола (технический, 80%, 1.8 мл, 9.9 ммоля). Через 3 часа при 30oC смесь состояла из 2.1% сульфида, 8.8% сульфона и 86.8% сульфоксида с энантиомерным избытком 74%.
Пример 3.
Асимметричный синтез (+)-5-метокси-2-[[4-метокси-3,5- диметил-2-пиридинил)метил]сульфонил]
бензимидазола, (+)-(Iа).
К смеси (+)-диэтил L-тартрата (4.2 г, 20 ммолей), изопропоксида титана (IV) (2.9 г, 10 ммолей) и этилацетата добавили воду (0.18 мл, 10 ммолей). Раствор перемешали в течение 20 минут, после чего вместе с KHCO3 (0.31 г, 3.1 ммоля) и гидропероксидом кумола (1.8 мл, 10 ммолей) добавили 5-метокси-2-[[(4-метокси-3,5-диметил-2-пиридинил)метил] тио]
бензимидазол (3.4 г, 10 ммолей). Добавление осуществили при комнатной температуре. Через 1.5 часа осуществили анализ HPLC (высокоэффективной жидкостной хроматографией), который показал наличие 63.3% сульфоксида с энантиомерным избытком 38.9%.
Пример 4.
Асимметричный синтез натриевой соли (-)-5-метокси-2-[[(4-метокси-3,5- диметил-2-пиридинил)метил]тио]
бензимидазола, (-)-(Ia)-Na.
При комнатной температуре к раствору (+)-диэтил L-тартрата (8.5 мл, 50 ммолей) и изопропоксида титана (IV) (7.4 мл, 25 ммолей) в 250 мл метиленхлорида добавили воду (0.45 мл, 25 ммолей). Через 20 минут добавили 5-метокси-2-[[(4-метокси-3,5-диметил-2-пиридинил)метил] тио]
бензимидазол (8.2 г, 25 ммолей) и диизопропилэтиламин (1.3 мл, 7 ммолей) и раствор охладили до -20oC. После добавления кумолгидропероксида (5.1 мл 80% раствора, 28 ммолей) реакционную смесь в течение 66 часов выдерживали при +2oC. Добавили раствор гидроксида натрия 2х125 мл, затем, с помощью хлорида аммония, осуществили нейтрализацию водной фазы. После чего осуществили экстракцию, выпаривание, тонкослойную хроматографию, добавление гидроксида натрия и кристаллизацию, в результате чего получили 1.23 г (13.4%) названного соединения с энантиомерным избытком (е.е.) 99.8% (хиральный анализ).
Пример 5.
Асимметричный синтез (-)-5-метокси-2-[[(4-метокси-3,5-диметил-2-пиридинил) метил]сульфинил]
бензимидазола, (-)-(Ia).
5-Метокси-2-[[(4-метокси-3,5-диметил-2-пиридинил) метил] тио]
бензимидазол (4.0 г, 12.1 ммоля) суспендировали в толуоле (12 мл). При перемешивании при 50oC добавили (-)-диэтил D-тартрат (0.17 мл, 1.0 ммоля) и изопропоксид титана (IV) (0.15 мл, 0.50 ммолей). Смесь перемешивали в течение 50 минут при 50oC и затем приблизительно при 30oC добавили N,N-диизопропилэтиламин (0.085 мл, 0.50 ммолей). Затем добавили гидропероксид кумола (83%: 2.1 мл, 11.9 ммоля) и смесь перемешали в течение 15 минут при 30oC. Анализ сырой смеси показал, что она состоит из 3.6% сульфида, 2.7% сульфона и 93% сульфоксида с оптической чистотой, соответствующей энантиомерному избытку 91%. Продукт в чистом виде не получали.
Пример 6.
Асимметричный синтез (+)-5-метокси-2-[[(4-метокси-3,5-диметил-2-пиридинил)метил] сульфинил]
бензимидазола, (+)-(Iа).
В метиленхлориде (50 мл) растворили (+)-диэтил L-тартрат (1.71 мл, 10 ммолей) и изопропоксид титана (IV) (1.5 мл, 5 ммолей). При перемешивании добавили воду (90 мк, 5 ммолей) и полученную смесь кипятили в колбе с обратным холодильником в течение 1 часа. Смесь охладили до комнатной температуры. После этого при комнатной температуре добавили 5-метокси-2-[[(4-метокси-3,5-диметил-2-пиридинил)метил] тио]
бензимидазол (1.65 г, 5 ммолей) и гидропероксид кумола (80%, 1.05 г, 5.5 ммолей). Раствор в течение 90 минут перемешали при комнатной температуре. Анализ показал, что сырая смесь состоит из 42.8% сульфида, 4.1% сульфона и 48.3% сульфоксида с оптической чистотой, соответствующей энантиомерному избытку 43%. Продукт в чистом виде не получали.
Пример 7.
Асимметричный синтез (+)-5- метокси-2-[[(4-метокси-3,5-диметил-2-пиридинил)метил] сульфинил]
бензимидазола, (+)-(Iа).
В метиленхлориде (50 мл) растворили 5-метокси-2-[[(4-метокси-3,5-диметил-2-пиридинил)метил]тио
бензимидазол (1.65 г, 5 ммолей). При перемешивании добавили диэтил L-тартрат (1.71 мл, 10 ммолей), изопропоксид титана (IV) (1.5 мл, 5 ммолей) и воду (90 мл, 5 ммолей). Полученную смесь в течение 20 минут перемешали при комнатной температуре. Затем при комнатной температуре добавили гидропероксид кумола (80%, 1.05 г, 5.5 ммолей) и раствор перемешивали в течение 90 минут при комнатной температуре. Анализ показал, что сырая смесь состоит из 38.9% сульфида, 8.4% сульфона и 47.6% сульфоксида с оптической чистотой, соответствующей энантиомерному избытку 32%. Продукт в чистом виде не получали.
Пример 8.
Асимметричный синтез (+)-5-метокси-2-[[(4-метокси- 3,5-диметил-2-пиридинил)метил]сульфинил]
бензимидазола, (+)-(Ia).
В толуоле (2.5 мл) суспендировали 5-метокси-2-[[(4-метокси-3,5- диметил-2-пиридинил)метил] тио]
бензимидазол (0.5 г, 1,5 ммоля). При 50oC добавили 9.2 мкл воды (0.5 ммоля), (+)-диэтил L-тартрат (0.39 мл, 2.3 ммоля) и изопропоксид титана (IV) (0.27 мл, 0.91 ммоля). Смесь нагревали при 50oC в течение 90 минут, затем 0.25 мл раствора перенесли в пробирку. После этого в пробирку добавили 25 мкл гидропероксида кумола (80%), проведенный почти сразу после этого анализ показал, что смесь состояла из 41% желательного сульфоксида с оптической чистотой, соответствующей энантиомерному избытку 69.5%. Продукт в чистом виде не получали.
Пример 9.
Асимметричный синтез натриевой соли (-)-5-метокси-2-[[(4-метокси-3,5-диметил-2- пиридинил)метил]сульфинил]
бензимидазола, (-)-(Ia)-Na.
В 7.5 л этилацетата растворили 1,6 кг (5.0 молей) 5-метокси-2-[[(4-метокси-З, 5-диметил-2-пиридинил)метил]тио]
бензимидазола. К раствору добавили 31 мл (1.7 моля) воды. К смеси при комнатной температуре добавили 860 мл (5.0 моля) (+)-диэтил L-тартрата, 740 мл (2.5 моля) изопропоксида титана (IV) и 430 мл (2.5 моля) диизопропилэтиламина. Затем в течение 50 минут при 30oC добавляли 830 мл (4.5 моля) гидропероксида кумола (80%). Через час выдержки при 30oC реакция завершилась. Хиральный и ахиральный хроматографические анализы показали, что смесь состояла из 75% сульфоксида с энантиомерным избытком (е.е.) 80%, 19% непрореагировавшего сульфида и 3.8% сульфона. Смесь охладили до 10oC и после добавления 1.5 л изооктана и 0.5 л этилацетата продукт три раза экстрагировали водным раствором аммиака (12%), имеющим объем 14 л. Смешанные водные фазы нейтрализовали добавлением 1,5 л концентрированной уксусной кислоты.
Затем осуществили экстракцию, выпаривание, добавляли гидроксид натрия и кристаллизовали, получая 0.80 кг названного соединения с чистотой 99.3% (ахиральный анализ) и с энантиомерным избытком (е.е.) 99.8% (хиральный анализ). Общий выход составил 44%.
Пример 10.
Асимметричный синтез натриевой соли (+)-5-метокси-2-[[(4-метокси-3,5-диметил-2-пиридинил)метил]сульфинил
бензимидазола, (+)-(Ia)-Na.
В 6.1 л этилацетата растворили 1,6 кг (5.0 молей) 5-метокси-2-[[(4-метокси-3,5- диметил-2-пиридинил)метил]тио]
бензимидазола. К раствору добавили 31 мл (1.7 моля) воды. К смеси при комнатной температуре добавили 860 мл (5.0 молей) (-)-диэтил D-тартрата, 740 мл (2.5 моля) изопропоксида титана (IV) и 430 мл (2.5 моля) диизопропилэтиламина. Затем в течение 25 минут при 30oC добавляли 830 мл (4.5 моля) гидропероксида кумола (80%). Через 30 минут выдержки при 30oC реакцию завершили. Хиральный и ахиральный хроматографический анализы показали, что смесь состоит из 71% сульфоксида с энантиомерным избытком (е. е. ) 73%. Смесь охладили до 10oC и после добавления 1.7 л изооктана продукт три раза экстрагировали водным раствором аммиака (12%) при общем объеме 14 л. Смешанные водные фазы нейтрализовали добавлением 1.5 л концентрированной уксусной кислоты. Затем осуществили экстракцию, выпаривание, добавляли гидроксид натрия и кристаллизовали, получая 0.45 кг названного соединения с чистотой 99.9% (ахиральный анализ) и с энантиомерным избытком (е.е.) 99.8% (хиральный анализ). Общий выход составил 24.6%.
Пример 11.
Асимметричный синтез натриевой соли (+)-5-метокси-2- [[(4-метокси-3,5-диметил-2-пиридинил)метил]сульфинил]
бензимидазола, (+)-(Ia)-Na.
6.2 кг (18.8 ммолей) Метокси-2-[[4-метокси-3,5-диметил-2-пиридинил) метил]тио]
бензимидазола в толуоловой суспензии (25 л) нагрели до 54oC. При перемешивании добавили воду (44 мл, 2.4 моля), (-)-диэтил D-тартрат (2.35 кг, 11.4 моля) и изопропоксид титана (IV) (1,60 кг, 5.6 моля) и затем смесь перемешивали при 54oC в течение 50 минут. Установили температуру 30oC и после этого к раствору добавили N,N-диизопропилэтиламин (720 г, 5.6 моля). Затем добавили гидропероксид кумола (83.5%, 3.30 кг, 18.2 моля) и смесь перемешивали при 30oC в течение одного часа. Анализ показал, что сырая смесь состоит из 7% сульфида, 1.2% сульфона и 90.6% сульфоксида с оптической чистотой, соответствующей энантиомерному избытку 94.3%. Добавили водный раствор аммиака (12.5%, 20 л). Раствор три раза экстрагировали водным раствором аммиака (3х20л). К смешанным водным слоям добавили метилизобутилкетон (9 л). С помощью уксусной кислоты довели pH водного слоя и затем слой разделили. Дополнительной порцией метилизобутилкетона (9 л) экстрагировали водный слой. Чтобы получить натриевую соль, к раствору добавили водный раствор NaOH (49.6%, 1.07 кг, 13.2 ммоля) и ацетонитрил (70 л). После концентрирования раствора продукт начал кристаллизоваться. Выделили 3.83 кг (+)-энантиомера натриевой соли омепразола с оптической чистотой, соответствующей энантиомерному избытку 99.6%.
Пример 12.
Асимметричный синтез (+)-5-фтор-2-[[(4- циклопропилметокси-2-пиридинил)метил]сульфинил]
бензимидазола, (+)-(Ib).
При перемешивании к смеси (+)-диэтил L-тартрата (10.3 мл, 60 ммолей) и метиленхлорида (60 мл) добавили изопропоксид титана (IV) (8.9 мл, 30 ммолей) и воду (0.54 мл, 30 ммолей). Раствор перемешивали в течение 30 минут при комнатной температуре и затем ввели 5-фтор-2-[[(4-циклопропилметокси-2- пиридинил)метилтио] сульфинил]
бензимидазол (9.9 г, 30 ммолей) и диизопропилэтиламин (1.5 мл, 8.7 ммолей). При комнатной температуре добавили гидропероксид кумола (технический, 80%, 6.9 мл, 33 ммоля). Через 3 часа при комнатной температуре смесь состояла из сырого сульфоксида с энантиомерным избытком (е.е.) 60%. После очистки на силикагеле с использованием в качестве элюента метанола/метиленхлорида и повторных кристаллизаций из этанола получили 1.1 г (11%) названного соединения с энантиомерным избытком 98.6%.
Пример 13.
Асимметричный синтез (-)-5-фтор-2-[[(4-циклопропилметокси-2-пиридинил) метил]сульфинил]
бензимидизола, (-)-(Ib).
В толуоле (60 мл) суспендировали 5-фтор-2-[[(4-циклопропилметокси-2-пиридинил)метил] тио]
бензимидазол (15.0 г, 45 ммолей). При перемешивании и температуре 50oC добавили воду (34 мкл, 1.9 ммоля) и изопропоксид титана (IV) (1.3 мл, 4.5 ммоля). Смесь перемешивали в течение 50 минут при 40oC и затем добавили N,N-диизопропилэтиламин (0.79 мл, 4,5 ммоля). Установили температуру 35oC и затем добавили гидропероксид кумола (83%, 8.1 мл, 45 ммолей). Смесь перемешивали при 35oC в течение 30 минут. Анализ показал, что сырая смесь состояла из 6.5% сульфида, 2.7% сульфона и 90% сульфоксида с оптической чистотой, соответствующей энантиомерному избытку 87.7%. Во время окисления продукт начал кристаллизоваться и его отделили фильтрацией от реакционной смеси. Получили 11.7 г желаемого продукта с оптической чистотой, соответствующей энантиомерному избытку 98.8%. Анализ показал, что продукт состоит из 2.2% сульфида и 0.9% сульфона. Выход: 71.2%.
Пример 14.
Асимметричный синтез (-)-5-фтор-2-[[(4-циклопропилметокси-2-пиридинил) метил]сульфинил]
бензимидазола, (-)-(Ib).
С толуолом (30 мл) смешали 5.0 г (15 ммолей) 5-фтор-2-[[(4-циклопропилметокси-2-пиридинил)метил] тио]
бензимидазола. К смеси добавили 32 мкл (1.8 ммоля) воды, 1.3 мл (7.6 ммоля) (-)-диэтил D-тартрата и 0.90 мл (3.0 ммоля) изопропоксида титана (IV). Смесь перемешали в течение 60 минут при 50oC и затем охладили до 30oC. После этого к раствору добавили 2.8 мл (15 ммолей) гидропероксида кумола (80%). Смесь перемешали в течение одного часа при 30oC и затем охладили до 0oС. К смеси добавили этилацетат (20 мл) и полученный раствор три раза экстрагировали водным раствором аммиака (12%) при общем объеме 60 мл. Смешанные водные слои нейтрализовали добавлением 17 мл концентрированной уксусной кислоты и затем экстрагировали этилацетатом (4х60 мл). Органический слой сушили над сульфатом магния и затем удалили, получив при этом сырой продукт с оптической чистотой, соответствующей энантиомерному избытку 59%. Остаток в виде масла (3.2 г) растворили в ацетоне (8 мл). Отфильтровали образованный осадок. Получили 1.6 г желаемого соединения в виде белого твердого вещества. Анализ показал, что оптическая чистота соответствует энантиомерному избытку 87%.
Пример 15.
Асимметричный синтез (+)-5-фтор-2-[[(4-циклопропилметокси- 2-пиридинил)метил]сульфонил]
бензимидазола, (+)-(Ib).
В толуоле (15 л) суспендировали 5-фтор-2-[[(4- циклопропилметокси-2-пиридинил)метил] тио]
бензимидазол (3.6 кг, 10.9 молей). При перемешивании и 40oC добавили воду (8.9 мл, 0.49 моля), (+)-диэтил L-тартрат (460 г, 2.2 моля) и изопропоксид титана (IV) (310 г, 1.09 моля). Смесь перемешивали в течение 50 минут при 40oC и затем добавили N,N-диизопропилэтиламин (190 мл, 1.09 моля). Установили температуру 30oC и затем добавили кумолгидропероксид (83%, 2.0 кг, 11 молей) и в течение 30 минут окисление завершилось. Анализ показал, что сырая смесь состоит из 8.9% сульфида, 3.3% сульфона и 87% сульфоксида с оптической чистотой, соответствующей энантиомерному избытку 86%. Во время окисления начал кристаллизоваться продукт и, с помощью фильтрации, его отделили от реакционной смеси. Получили 2.68 кг продукта с оптической чистотой, соответствующей энантиомерному избытку 96%. Анализ показал, что материал состоит из 2.3% сульфида и 1.7% сульфона. Продукт перекристаллизовали в метаноле/толуоле. Получили 1.66 кг (выход 44%) желаемого продукта с оптической чистотой 99.7%. Содержание сульфида и сульфона составило соответственно менее чем 0.1 и 0.3%.
Пример 16.
Асимметричный синтез (-)-5-фтор-2-[[(4-циклопропилметокси- 2-пиридинил)метил]сульфинил]
бензимидазола, (+)-(Ib).
В толуоле (14.4 л) суспендировали 5-фтор-2-[[(4-циклопропилметокси-2-пиридинил)метил] тио]
бензимидазол (3.6 кг, 10.9 молей). При перемешивании и температуре 40oC добавили воду (10 мл, 0.55 ммоля, (-)-диэтил D-тартрат (460 г, 2.2 моля) и изопропоксид титана (IV) (310 г, 1.10 моля). Смесь перемешивали в течение 50 минут при 40oC и затем добавили N,N-диизопропилэтиламин (190 мл, 1.1 моля). Установили температуру 35oC и затем добавили гидропероксид кумола (83%, 2.0 кг, 11 молей). Смесь перемешивали в течение 1 часа при 35oC. Анализ показал, что сырая смесь состоит из 8.7% сульфида, 4.8% сульфона и 85% сульфоксида с оптической чистотой, соответствующей энантиомерному избытку 78%. Во время окисления продукт начал кристаллизоваться и его отделили от реакционной смеси фильтрацией. Получили 2.78 кг продукта с оптической чистотой, соответствующей энантиомерному избытку 97%. Анализ показал, что продукт состоит из 1.9% сульфида и 2.5% сульфона. Продукт перекристаллизовывали в метаноле/толуоле. Получили 1.67 кг (выход: 44%) желаемого продукта в виде не совсем белых кристаллов (е.е.) 99.8%. Содержание сульфида и сульфона составило соответственно менее 0.1 и 0.6%.
Пример 17.
Асимметричный синтез (+)-5-карбометокси-6-метил-2[[3,4-диметокси-2-пиридинил)метил]сульфинил]
бензимидазол, (+)-(Ic).
В толуоле (20 мл) суспендировали 3.4 г (9.1 ммоля) 5-карбометокси-6-метил-2-[[3,4-диметокси-2-пиридинил)метил] тио]
бензимидазола. К смеси добавили 41 мкл (2.3 ммоля) воды, 1.7 мл (10 ммолей) (+)-диэтил L-тартрата и 1.3 г (4.6 ммоля) изопропоксида титана (IV). Смесь перемешивали в течение 60 минут при 50oC и затем добавили 0.78 мл (4.5 ммоля) N,N-диизопропилэтиламина. Смесь охладили до 30oC и добавили толуол (10 мл). Затем к смеси добавили 1.7 мл (80%, 9.2 ммоля) гидропероксида кумола. Через несколько минут добавили толуол (70 мл) и через один час при 30oC смесь состояла из 12.5% сульфида, 3.5% сульфона и 84% сульфоксида с оптической чистотой, соответствующей энантиомерному избытку 95.6%. Смесь охладили до комнатной температуры и отфильтровали образованный осадок. Получили 2.5 г сырого продукта, состоящего из желаемого соединения, в виде твердого вещества, которое имело оптическую чистоту, соответствующую энантиомерному избытку 98.2%.
Пример 18.
Асимметричный синтез (-)-5-карбометокси-6-метил-2- [[(3,4-диметокси-2-пиридинил)метил]сульфинил]
бензимидазола, (-)-(Ic).
К смеси (-)-диэтил D-тартрата (8.6 мл, 50 ммолей) и метиленхлорида (50 мл) при перемешивании добавили изопропоксид титана (IV) (7.5 мл, 25 ммолей) и воду (0.45 мл, 25 ммолей). Раствор перемешивали в течение 30 минут при комнатной температуре и затем ввели 5-карбометокси-6-метил-2-[[(3,4-диметокси- 2-пиридинил)метил]тио]
бензимидазол (9.3 г, 25 ммолей) и диизопропилэтиламин (1.25 мл, 7.2 ммоля). При комнатной температуре добавили гидропероксид кумола (технический, 80%, 5.1 мл, 27 ммолей) и в течение трех часов при комнатной температуре произошла реакция. Сырой продукт состоял из сырого сульфоксида с энантиомерным избытком (е.е.) 71%. После очистки на силикагеле метанолом/метиленхлоридом, используемым в качестве элюента, и последующих повторных перекристаллизаций из этанола получили 2.9 г (30%) названного соединения с энантиомерным избытком 99.4%.
Пример 19.
Асимметричный синтез (-)-5-карбометокси-6-метил-2-[[(3,4- диметокси-2-пиридинил)метил]сульфинил]
бензимидазола, (-)-(Ic).
В метиленхлориде (100 мл) растворили 4.7 г (12.5 ммолей) 5-карбометокси-6-метил-2-[[(3,4-диметокси-2-пиридинил) метил] тио]
бензимидазола. К раствору добавили 80 мкл (4,5 ммоля) воды, 3.2 мл (19 ммолей) (-)-диэтил D-тартрата и 2.2 мл (7.5 ммолей) изопропоксида титана (IV). Смесь перемешали в течение 60 минут при нагревании в колбе с обратным холодильником и затем охладили до комнатной температуры. Добавили 0.88 мл (5.0 ммолей) N,N-диизопропилэтиламина и смесь перемешали в течение 30 минут. Добавили 2.15 мл (12 ммолей) гидропероксида кумола (80%) и через два часа при комнатной температуре смесь состояла из 23% сульфида и 72% сульфоксида с оптической чистотой, соответствующей энантиомерному избытку 88%. К смеси добавили метиленхлорид (100 мл) и полученный раствор три раза экстрагировали водным раствором аммиака (12%) при общем объеме 300 мл. Смешанные водные слои нейтрализовали добавлением 50 мл концентрированной уксусной кислоты, после чего начали осаждаться белые кристаллы. Кристаллы отфильтровали, промыли диэтиловым эфиром и сушили до получения 2.34 г (48%) белых кристаллов названного соединения, состоящего из 1.5% сульфида и 1.8% сульфона с оптической чистотой, соответствующей энантиомерному избытку 92%.
Пример 20.
Асимметричный синтез (+)-5-карбометокси-6-метил-2- [[(3,4-диметокси-2-пиридинил)метил]сульфинил]
бензимидазола, (+)-(Ic).
В метиленхлориде растворили 4.7 г (12.5 ммолей) 5-карбометокси-6-метил-2-[[(3,4-диметокси-2-пиридинил)метил] тио]
бензимидазола. К раствору добавили 80 мкл (4.5 ммоля) воды, 3.2 мл (19 ммолей) (+)-диэтил L-тартрата и 2.2 мл (7.5 ммолей) изопропоксида титана (IV). Смесь перемешивали в течение 60 минут при нагревании в колбе с обратным холодильником и затем охладили до комнатной температуры. Добавили 1.1 мл (6.3 ммоля) N,N-диизопропилэтиламина и затем смесь перемешали в течение 30 минут. Затем добавили 2.15 мл (12 ммолей) гидропероксида кумола (80%) и через 2 часа при комнатной температуре смесь состояла из 19% сульфида и 77% сульфоксида с оптической чистотой, соответствующей энантиомерному избытку 90%. К смеси добавили метиленхлорид (100 мл) и полученный раствор три раза экстрагировали водным раствором аммиака (12%) при общем объеме 300 мл. Смешанные водные слои нейтрализовали добавлением концентрированной уксусной кислоты (50 мл), при этом получили белые кристаллы. Кристаллы отфильтровали, промыли диэтиловым эфиром и сушили до получения 3.29 г (68%) белых кристаллов названного соединения с оптической чистотой, соответствующей энантиомерному избытку 93%. Материал также состоял из 2.2% сульфида и 0.9% сульфона.
Пример 21.
Асимметричный синтез (-)-2-[[(3-метил-4-(2,2,2-трифторэтокси)-2- пиридинил)метил]сульфинил]
бензимидазола (-)-(Id).
В толуоле (50 мл) растворили 2.1 г (6.0 ммолей) 2-[[[3-метил-4-(2,2,2-трифторэтокси) -2-пиридинил] -метил] тио]-
бензимидазола. К раствору добавили 65 мкл (3.6 ммоля) воды, 2.6 мл (15.0 ммолей) (-)-диэтил D-тартрата и 1.8 мл (6.0 ммолей) изопропоксида титана (IV). Смесь перемешивали в течение 60 минут при 50oC и затем охладили до комнатной температуры. Добавили 1.05 мл (6.0 ммолей) N,N-диизопропилэтиламина и 1.1 мл (6.0 ммолей) гидропероксида кумола (80%). После перемешивания в течение 16 часов при комнатной температуре смесь в соответствии с ахиральной высокоэффективной жидкостной хроматографией состояла из 11% сульфида, 7% сульфона и 78% сульфоксида. К смеси добавили 50 мл толуола и полученный раствор три раза экстрагировали водным раствором аммиака (12%) при общем объеме 150 мл. Смешанные водные слои нейтрализовали добавлением концентрированной уксусной кислоты (30 мл). После этого осуществили экстракцию, выпаривание и тонкослойную хроматографию, получая 1.2 г названного соединения с чистотой 99.9% (ахиральный анализ) и с энантиомерным избытком (е. е.) 55% (хиральный анализ). После обработки остатка ацетонитрила получили осадок, который удалили фильтрацией. После выпаривания фильтрата получили масло с повышенной оптической чистотой. Повторив эту процедуру два раза, получили 0.63 г (29%) желаемого соединения в виде масла с оптической чистотой, соответствующей энантиомерному избытку 99.5%.
Пример 22.
Асимметричный синтез (+)-2-[[[3-метил-4-(2,2,2-трифторэтокси)-2- пиридинил]метил]сульфинил]
бензимидазола, (+)-(Id).
В 50 мл толуола растворили 2.1 г (6.0 ммолей) 2-[[[3-метил-4-(2,2,2-трифторэтокси)-2-пиридинил] метил] тио]
бензимидазола. К раствору добавили 65 мкл (3.6 ммоля) воды, 2.6 мл (15.0 ммолей) (+)-диэтил L-тартрата и 1.8 мл (6.0 ммолей) изопропоксида титана (IV). Смесь перемешивали при 50oC в течение 60 минут и затем охладили до комнатной температуры. Добавили 1.05 мл (6.0 ммолей) N,N-диизопропилэтиламина и 1.1 мл (6.0 ммолей) гидропероксида кумола (80%). После перемешивания в течение 16 часов при комнатной температуре смесь, в соответствии с ахиральной высокоэффективной жидкостной хроматографией, состояла из 13% сульфида, 8% сульфона и 76% сульфоксида. К смеси добавили толуол (50 мл) и полученный раствор три раза экстрагировали водным раствором аммиака (12%) при общем объеме 150 мл. Смешанные водные слои нейтрализовали добавлением концентрированной уксусной кислоты (30 мл). После этого осуществили экстракцию, выпаривание и тонкослойную хроматографию, при этом получили 0.85 г названного соединения с чистотой 99.9% (ахиральный анализ) и с энантиомерным избытком (е.е.) 46% (хиральный анализ). После обработки остатка ацетонитрилом получили осадок, который удалили фильтрацией. После выпаривания фильтрата получили масло с повышенной оптической чистотой. Повторив эту процедуру два раза, получили 0.31 г (14%) желаемого соединения в виде масла с оптической чистотой, соответствующей энантиомерному избытку 99.6%.
Пример 23.
Асимметричный синтез (-)-5-дифторметокси-2-[[(3,4-диметокси-2-пиридинил)метил]сульфинил]
бензимидазола, (-)-(Ie).
В метиленхлориде (25 мл) растворили 1.1 г (3.0 ммоля) 5-дифторметокси-2-[[(3,4-диметокси-2-пиридинил) метил]тио]-
бензимидазола. К раствору добавили 20 мкл (1.1 ммоля) воды, 0.81 мл (4.7 ммоля) (-)-диэтил D-тартрата и 0.56 мл (1.9 ммоля) изопропоксида титана (IV). Смесь перемешивали в течение 60 минут при нагревании в колбе с обратным холодильником и затем охладили до комнатной температуры. После этого добавили 0.22 мл (1.3 ммоля) N,N-диизопропилэтиламина и затем 0.57 мл (80%, 3.1 ммоля) гидропероксида кумола (80%). Через 21 час при комнатной температуре смесь состояла из 10% сульфида и 89% сульфоксида с оптической чистотой, соответствующей энантиомерному избытку 86%. К смеси добавили метиленхлорид (25 мл) и полученный раствор три раза экстрагировали водным раствором аммиака (12%) при общем объеме 300 мл. Смешанные водные слои нейтрализовали добавлением 25 мл концентрированной уксусной кислоты и затем экстрагировали метиленхлоридом (3х100мл). Остаток в виде масла (1.16 г) растворили в горячем ацетонитриле (20 мл). Когда раствор охладили до комнатной температуры, образовался белый осадок и, после фильтрации, получили 0.35 г (29%) желаемого соединения. Из фильтрата путем его выпаривания получили 0.71 г желаемого соединения с невысокой оптической чистотой. Анализ показал, что оптическая чистота кристаллов и фильтрата отвечала соответственно энантиомерному избытку 97.4 и 75%.
Пример 24.
Асимметричный синтез (+)-5-дифторметокси-2-[[(3,4-диметокси-2-пиридинил)метил] сульфинил]
бензимидазола, (-)-(Ie).
В метиленхлориде (25 мл) растворили 1.1 г (3.0 ммоля) 5-дифторметокси-2-[[(3,4-диметокси-2-пиридинил)метил] тио]-
бензимидазола. К раствору добавили 20 мкл (1.1 ммоля) воды, 0.81 мл (4.7 ммоля) (+)-диэтил L-тартрата и 0.56 мл (1.9 ммоля) изопропоксида титана (IV). Смесь перемешивали в течение 60 минут при нагревании в колбе с обратным холодильником и затем охладили до комнатной температуры. После этого добавили 0.22 мл (1.3 ммоля) N,N-диизопропилэтиламина и затем 0.57 мл (80%, 3.1 ммоля) гидропероксида кумола (80%). Через 21 час при комнатной температуре смесь состояла из 8% сульфида и 92% сульфоксида с оптической чистотой, соответствующей энантиомерному избытку 87%. К смеси добавили метиленхлорид (25 мл) и полученный раствор три раза экстрагировали водным раствором аммиака (12%) при общем объеме 300 мл. Смешанные водные слои нейтрализовали добавлением 25 мл концентрированной уксусной кислоты и затем экстрагировали метиленхлоридом (3х100 мл). Растворитель удалили и остаток в виде масла (0.86 г) растворили в горячем ацетонитриле (20 мл). Когда раствор охладили до комнатной температуры, образовался белый осадок, который отфильтровали, получив 0.36 г (30%) желаемого соединения с невысокой оптической чистотой. Оптическая чистота кристаллов и фильтрата отвечала соответственно энантиомерному избытку 97.4 и 78%.
Пример 25.
Асимметричный синтез (-)-2-[[[4-метоксипропокси-3-метил-2-пиридинил]метил]сульфинил]
бензимидазола, (-)-(If).
В 50 мл толуола растворили 2.1 г (6.3 ммоля) 2-[[[4-(3-метоксипропокси-3-метил-2-пиридинил]метил]тио]
бензимидазола. К раствору добавили 40 мкл (2.2 ммоля) воды, 1.6 мл (9.4 ммоля) (-)-диэтил D-тартрата и 1.1 мл (3.8 ммоля) изопропоксида титана (IV). Смесь перемешивали в течение 60 минут при 50oC и затем охладили до комнатной температуры. Добавили 0.44 мл (2.6 ммоля) N, N-диизопропилэтиламина и 1.1 мл (6.0 ммолей) гидропероксида кумола (80%). После перемешивания в течение 2-х часов при комнатной температуре смесь в соответствии с ахиральной высокоэффективной жидкостной хроматографией состояла из 9% сульфида, 4% сульфона и 86% сульфоксида. К смеси добавили толуол (50 мл) и полученный раствор три раза экстрагировали водным раствором аммиака при общем объеме 150 мл. Смешанные водные слои нейтрализовали добавлением концентрированной уксусной кислоты (30 мл). После этого осуществили экстракцию, выпаривание и тонкослойную хроматографию, при этом получили 1.62 г названного соединения с чистотой 99.8% (ахиральный анализ) и энантиомерным избытком (е. е. ) 90% (хиральный анализ). После обработки материала ацетонитрилом образовался осадок, который можно было удалить фильтрацией. После концентрирования фильтрата получили 1.36 г (60%) названного соединения в виде масла с оптической чистотой, соответствующей энантиомерному избытку 91.5%.
Пример 26.
Асимметричный синтез (+)-2-[[[4-(3- метоксипропокси)-3-метил-2-пиридинил]метил]сульфинил]
бензимидазола, (+)-(If).
В 50 мл толуола растворили 2.1 г (6.3 ммоля) 2-[[[4-(3-метоксипропокси)-3-метил-2-пиридинил] метил] тио]
бензимидазола. К раствору добавили 40 мкл (2.2 ммоля) воды, 1.6 мл (3.8 ммоля) изопропоксида титана (IV). Смесь перемешивали в течение 60 минут при 50oC и затем охладили до комнатной температуры. К раствору добавили 0,44 мл (2.6 ммоля) N,N-диизопропилэтиламина и 1.1 мл (6.0 ммолей) гидропероксида кумола (80%). После перемешивания в течение 2-х часов при комнатной температуре смесь в соответствии с высокоэффективной жидкостной хроматографией состояла из 9% сульфида, 4% сульфона и 85% сульфоксида. К смеси добавили толуол (50 мл) и полученный раствор три раза экстрагировали водным раствором аммиака (12%) при общем объеме 150 мл. Смешанные водные слои нейтрализовали добавлением концентрированной уксусной кислоты (30 мл). После этого осуществили экстракцию, выпаривание и тонкослойную хроматографию, получая 1.63 г названного соединения с чистотой 99.9% (ахиральный анализ) и с энантиомерным избытком (е.е.) 91% (хиральный анализ). После обработки материала ацетонитрилом образовался осадок, который можно было удалить фильтрацией. После концентрирования фильтрата получили 1.1 г (49%) названного соединения в виде масла с оптической чистотой, соответствующей энантиомерному избытку 96%.
Пример 27.
Асимметричный синтез (-)-2- [2-(N-изобутил-N-метиламино) бензилсульфинил]-бензимидазола, (-)-(Ig).
В толуоле (6 мл) растворили 2.0 г (6.1 ммоля) 2-[2-(N-изобутил-N-метиламино)бензилтио] -бензимидазола. При 50oC и перемешивании добавили 40 мкл (2.2 моля) воды, 1.6 мл (9.3 ммоля) (+)-диэтил L-тартрата и 1.1 мл (3.7 ммоля) изопропоксида титана (IV). Полученную смесь перемешивали при 50oC в течение 1 часа и затем добавили 0.53 мл (3.0 ммол) N,N-диизопропилэтиламина. Затем реакционную смесь охладили до 30oC, после чего добавили 1.1 мл (6.1 ммоля) гидропероксида кумола (80%). Смесь перемешивали при 30oC в течение 50 минут. Анализ реакционной смеси показал, что оптическая чистота образованного сульфоксида соответствовала энантиомерному избытку 92%. Смесь охладили до комнатной температуры и разбавили небольшим количеством метиленхлорида. При использовании колоночной хроматографии силикагель элюировали 4% MeOH/CH2Cl2 (насыщенный NH3), получили масло, которое подвергли повторной хроматографии (силикагель, элюировали 20% EtOAc/гексаном). Полученный сырой продукт (1.6 г) в виде масла обработали небольшим количеством ацетонитрила для того, чтобы увеличить оптическую чистоту. Фильтрацией удалили образованный осадок (270 мг). Из фильтрата удалили растворитель, при этом получили 1,2 г желаемого соединения в виде масла. Оптическая чистота материала соответствовала энантиомерному избытку 96%.
Пример 28.
Асимметричный синтез (+)-2- [2-(N-изобутил-N-метиламино)бензилсульфинил] -бензимидазола, (+)-(Ig).
В толуоле (6 мл) растворили 2.0 г (6.1 ммоля) 2-[2-(N-изобутил-N-метиламино)бензилтио]-бензимидазола. При 50oC и перемешивании добавили 40 л (2.2 ммоля) воды, 1.6 мл (9.3 ммоля) (-)-диэтил D-тартрата и 1.1 мл (3.7 ммоля) изопропоксида титана (IV). Полученную смесь перемешивали при 50oC в течение 1 часа и затем добавили 0.53 мл (3.0 ммоля) N,N-диизопропилэтиламина. Затем реакционную смесь охладили до 30oC, после чего добавили 1.1 мл (9.1 ммоля) гидропероксида кумола (80%). Смесь перемешали при 30oC, после чего добавили 1.1 мл (6.1 ммоля) кумолгидропероксида (80%). Смесь перемешивали при 30oC в течение 50 минут. Анализ реакционной смеси показал, что оптическая чистота образованного сульфоксида соответствовала энантиомерному избытку 91%. Смесь охладили до комнатной температуры и разбавили количеством метиленхлорида. При использовании колоночной хроматографии [силикагель, элюировали 4% MeOH/CH2Cl2 (насыщенный NH3)] получили сырой продукт в виде масла. Этот материал обработали смесью этилацетата и гексана (10% EtOAc). Образованный осадок (140 мг) удалили фильтрацией. Из фильтрата удалили растворитель, при этом получили 0.95 г желаемого соединения в виде масла. Оптическая чистота материала соответствовала энантиомерному избытку 96%.
Пример 29.
Асимметричный синтез двух стереоизомеров 2-[(4-метокси-6,7,8,9-тетрагидро-5Н-циклогепта[b]пиридин-9-ил) сульфинил]
бензимидазола, (Ih).
В последующем примере первый диастереомер вышеуказанного соединения, элюированного на прямой фазе (силикагель), назвали диастереомером
а второй диастереомер представлен как диастереомер 
– циклогепта[b]пиридин-9-ил)тио]
бензимидазола. При комнатной температуре и перемешивании добавили 0.34 г (1.6 ммоля) (+)-диэтил L-тартрата, 7 мк (0.4 ммоля) воды и 0.22 г (0.78 ммоля) изопропоксида титана (IV). Смесь перемешивали при 50oC в течение 50 минут и затем при комнатной температуре добавили 100 мг (0.78 ммоля) N,N-диизопропилэтиламина. Затем в течение 5 минут при комнатной температуре добавляли 0.33 г (160 ммолей) гидропероксида кумола (80%), после чего раствор перемешивали при комнатной температуре в течение 24 часов. Стереоизомерный состав названного соединения в сырой смеси был таким, как указано далее. Отношение диастереомеров составило 4:3 в пользу диастереомера
Оптическая чистота (-)-энантиомера диастереомера
соответствовала энантиомерному избытку 76% и оптическая чистота (+)-энантиомера диастереомера
соответствовала энантиомерному избытку) 68%. Полученную смесь промыли водой (3х25мл), сушили над Na2SO4 и растворитель удалили. С помощью флэш хроматографии остатка (метанол-метиленхлорид от 0 до 5%) получили 0.25 г (47%) энантиомерно обогащенного диастереомерного сульфоксида в виде сиропа.
Разделение диастереомеров. Разделение двух диастереомеров осуществили с использованием повторного хроматографического состава (метанол-метиленхлорид от 0 до 5%). Таким образом получили (-)-энантиомер диастереомера А в виде сиропа (0.14 г) с оптической чистотой, соответствующей энантиомерному избытку 77%. (+)-Энантиомер диастереомера В получили также в виде сиропа (0.085 г) с оптической чистотой, соответствующей энантиомерному избытку 68%, однако диастереомер В был загрязнен приблизительно 10% диастереомера 
увеличили путем добавления приблизительно 2 мл ацетонитрила к энантиомерно обогащенному составу диастереомера
(0.14 г). После перемешивания в течение ночи образованный осадок (почти рацемический диастереомер А) отфильтровали и из фильтрата пленочным испарением удалили растворитель. Таким образом получили 85 мг (-)-энантиомера диастереомера
в виде сиропа с оптической чистотой, соответствующей энантиомерному избытку 88%. Оптическую чистоту (+)-энантиомера диастереомера
увеличили подобным способом.
Таким образом, посредством добавления ацетонитрила (2 мл) к энантиомерно обогащенному составу диастереомера
(0.085 г), после которого осуществили перемешивание в течение ночи, получили осадок, который отфильтровали. В результате получили 0.050 г (+)-энатиомера диастереомера В с оптической чистотой, соответствующей энантиомерному избытку 95%.
Наилучшим способом осуществления настоящего изобретения, известным в настоящее время, является такой, который описан в Примере 11.
Сравнительный Пример А.
Окисление 5-метокси-2-[[(4-метокси-3,5-диметил-2-пиридинил)метил] тио]
бензимидазола с использованием трет-бутилгидропероксида в нейтральных условиях. (Использованный способ тот же, что и способ, использованный в Euro. J. Biochem. 166 (1987) 453-459, и описанный в J. Am. Chem. Soc. 106 (1984) 8188.)
бензимидазол (6.6 г, 5 ммолей) и раствор охладили до -20oC. Добавили 3М раствор трет-бутилгидропероксида в толуоле (1.8 мл, 5.5 ммолей) и смесь выдерживали при -20oC в течение 120 часов. По истечении этого времени смесь состояла из 28% сульфида (исходный материал), 8.6% сульфона, 30.6% (-)-энантиомера сульфоксида и 28.1% (+)-энантиомера сульфоксида (т.е.
4%). В подобном эксперименте, проведенном при +8oC в течение 7 часов, смесь состояла из 32.4% сульфида, 8.7% сульфона, 24.6% (-)-энантиомера сульфоксида и 26.7% (+)-энантиомера сульфоксида (т.е. 
бензимидазола с использованием гидропероксида кумола при -22oC без добавления основания. (Использованный способ окисления описан в Tetrahedron (1987), 43, 5/35.)
бензимидазола с использованием гидропероксида кумола в нейтральных условиях.
К раствору (+)-диэтил L-тратрата (8.5 мл, 50 ммолей) и изопропоксида титана (IV) (7.4 мл, 25 ммолей) в 50 мл метиленхлорида при комнатной температуре добавили воду (450 мкл, 25 ммолей). Через 20 минут добавили 5-метокси-2-[[(4-метокси-3,5-диметил-2-пиридинил) метил]тио]
бензимидазол (8.2 г, 25 ммолей) и смесь разделили на три части. К одной из частей при комнатной температуре добавили гидропероксид кумола (1.7 мл, 80% растворителя, 9.2 ммоля) и через 3 часа 20 минут взяли пробу. Смесь состояла из 29.4% сульфида, 6.3% сульфона, 22% (-)-энантиомера сульфоксида и 35% (+)-энантиомера сульфоксида (т.е. 
бензимидазола с использованием гидропероксида кумола при добавлении основания согласно одному из вариантов настоящего изобретения.
Эксперимент проводили с использованием тех же самых условий, которые описаны в Сравнительном Примере C. При этом различие состояло в том, что вместе с гидропероксидом кумола добавили один эквивалент диизопропилэтиламина. Через 3 часа 20 минут смесь состояла из 17.2% сульфида, 3,5% сульфона, 8.7% (-)-энантиомера сульфоксида и 69.3% (+)-энантиомера сульфоксида (т.е. э.и. = 78%).
Сравнительный Пример E.
Асимметричный синтез (+)-2-[5-(3,5-диметилпиразол-1-ил)пентилсульфинил] -4,5-дифенилимидазола.
В толуоле (20 мл) растворили 0.8 г (1.9 ммоля) 2-(5-(3,5-диметилпиразол-1-ил)пентилсульфинил] -4,5-дифенилимидазола. Раствор концентрировали на роторном испарителе до тех пор, пока не удалили половину объема. К смеси в указанном порядке добавили 20 мкл (1.1 ммоля) воды, 1,0 г (4.8 ммоля) (+)-диэтил L-тартрата и 0.45 г (1.9 ммоля) изопропоксида титана (IV). Смесь перемешали в течение 60 минут при 50oC и затем добавили 0.25 г (1.9 ммоля) N,N-диизопропилэтиламина. Затем смесь перемешали при комнатной температуре в течение 30 минут, после чего добавили 0.36 г (80%, 1.9 ммоля) гидропероксида кумола. Смесь перемешали в течение четырех часов при комнатной температуре и проведенный затем анализ показал, что реакция завершилась. Раствор промыли водой (2 мл) и затем удалили органический слой. Хроматографией на силикагеле (метанолметиленхлорид от 0 до 5%) очистили маслянистый остаток. Получили 0.7 г желаемого продукта в виде масла, которое имело оптическую чистоту, соответствующую энантиомерному избытку 87%.
Сравнительный Пример F.
Асимметричный синтез (-)-2-[5-(3,5-диметилпиразол-1-ил)пентилсульфинил] -4,5-дифенилимидазола.
В толуоле (40 мл) растворили 1.5 г (3.6 ммоля) 2-[5-(3,5-диметилпиразол-1-ил)пентилтио] -4,5-дифенилимидазола. Раствор концентрировали на роторном испарителе до тех пор, пока не удалили половину объема. К смеси в указанном порядке добавили 38 мкл (2.1 ммоля) воды, 1.85 г (9.0 ммолей) (-)-диэтил D-тартрата и 1.01 г (3.6 ммоля) изопропоксида титана (IV). Смесь перемешали в течение 60 минут при 50oC. Смесь разделили на две части и затем к одной половине смеси добавили 0.23 г (1.9 ммоля) N,N-диизопропилэтиламина. Затем эту смесь перемешали при комнатной температуре в течение 15 минут, после чего добавили 0.35 г (80%, 1.8 ммоля) гидропероксида кумола. Смесь перемешали в течение четырех часов при комнатной температуре и проведенный затем анализ показал, что реакция завершилась. Раствор перемешали с водой (2 мл) и затем удалили органический слой. Хроматографией на силикагеле (метанол-метиленхлорид от 0 до 5%) очистили маслянистый остаток. Получили 0.65 г желаемого продукта в виде масла, которое имело оптическую чистоту, соответствующую энантиомерному избытку 92%.
Выводы
6.9 мин.
Время удерживания (+)-энантиомера диастереомера
8.1 мин.
Время удерживания (+)-энантиомера диастереомера
8.8 мин.
Время удерживания (-)-энантиомера диастереомера
11.0 мин.
Первый диастереомер соединения (lh), элюированного на прямой фазе (ахиральная силикагельная хроматография (см. ниже)), назван диастереомером
а второй диастереомер – диастереомером 






























