|
|
(21), (22) Заявка: 2005125113/09, 08.08.2005
(24) Дата начала отсчета срока действия патента:
08.08.2005
(46) Опубликовано: 20.04.2007
(56) Список документов, цитированных в отчете о поиске:
RU 2105427 С1, 20.02.1998. RU 2065669 C1, 20.08.1996. US 3800079 А, 26.04.1974. RU 2097938 C1, 27.11.1997. RU 2204812 С1, 20.05.2003. US 4264929 А, 28.03.1981. GB 2125217 А, 29.02.1984. RU 2054753 С1, 20.02.1996.
Адрес для переписки:
111123, Москва, ш. Энтузиастов, 46/2, ФГУП “НПО “ОРИОН”, патентно-лицензионный отдел
|
(72) Автор(ы):
Бурлаков Игорь Дмитриевич (RU), Жегалов Станислав Иванович (RU), Сагинов Леонид Дмитриевич (RU), Свиридов Анатолий Николаевич (RU), Соляков Владимир Николаевич (RU), Филачев Анатолий Михайлович (RU)
(73) Патентообладатель(и):
Федеральное государственное унитарное предприятие “НПО “ОРИОН” ФГУП “НПО “ОРИОН” (RU)
|
(54) СПОСОБ КОРРЕКЦИИ НЕОДНОРОДНОСТИ МНОГОЭЛЕМЕНТНЫХ ФОТОПРИЕМНЫХ УСТРОЙСТВ СО СКАНИРОВАНИЕМ
(57) Реферат:
Изобретение относится к оптико-электронным системам формирования и обработки инфракрасных изображений и может использоваться в тепловизионных системах со сканирующими многорядными матричными фотоприемными устройствами (МФПУ). Технический результат – возможность коррекции неоднородности МФПУ со сканированием без использования источников эталонных сигналов достигается тем, что для проведения коррекции производится последовательная регистрация элементов сцены соседними фоточувствительными площадками при сканировании. При этом в диапазоне изменения входных сигналов от различных участков сцены определяется зависимость сигналов каждого элемента от сигналов соседнего элемента при регистрации одинаковых элементов сцены (пикселей). По этим зависимостям определяется корректирующая функция и последовательно осуществляется коррекция сигналов каждого последующего элемента МФПУ относительно предыдущего так, чтобы скорректированные сигналы всех элементов МФПУ были одинаковы при одинаковых световых сигналах во всем диапазоне сигналов сцены. 1 з.п. ф-лы, 2 ил.
Изобретение относится к оптико-электронным системам формирования и обработки инфракрасных изображений, для которых актуальна задача устранения неоднородности сигналов, обусловленной различиями в чувствительности к входному потоку и в темновом токе элементов фотоприемных устройств (ФПУ). Изобретение может использоваться в тепловизионных системах со сканированием при использовании многорядных ФПУ.
Известен способ [1, 2] коррекции неоднородности многоэлементных МФПУ в сканирующих тепловизорах (его рассматриваем в качестве аналога), заключающийся в том, что сканируют сцену, регистрируют отсчеты сигналов элементов ФПУ от наблюдаемой сцены, по отсчетам сигналов усреднением определяют строчные корректирующие коэффициенты, корректирование осуществляют умножением значений отсчетов сигналов на соответствующие элементам строчные корректирующие коэффициенты.
Недостатком способа является то, что используется только один корректирующий коэффициент для компенсации сигнала, однородность которого зависит от двух параметров – чувствительности элемента и от смещения, обусловленного, в частности, темновым током. В случае простых сцен, с плавным изменением яркости, для поддержания корректирующей способности достаточно скользящего по изображению окна усреднения. По мере движения окна корректирующие коэффициенты строк меняют значения от характерных для высокой яркости до соответствующих низкой яркости. С усложнением сцен компенсация неоднородности затрудняется необходимостью использования более сложных окон усреднения. Этот фактор ограничивает применимость способа.
Наиболее близким по технической сущности к заявляемому изобретению является способ [3] двухточечной коррекции, который обеспечивает компенсацию по чувствительности и по смещению независимо от сцены, так как использует для определения корректирующих коэффициентов сигналы двух эталонных источников – высокой и низкой интенсивности излучения. Способ заключается в том, что сканируют сцену и регистрируют отсчеты сигналов элементов фотоприемного устройства, сканируют эталонные источники и регистрируют отсчеты их сигналов, по отсчетам сигналов эталонных источников определяют корректирующие воздействия – коэффициенты для коррекции по чувствительности и смещению элементов фотоприемного устройства, корректируют отсчеты сигналов сцены – вычитают из значений отсчетов корректирующие коэффициенты по смещению и умножают разности на корректирующие коэффициенты по чувствительности.
Сущность способа состоит в следующем. При воздействии эталонного оптического сигнала низкого уровня, одинакового для всех элементов ФПУ, средние значения электрических сигналов низкого уровня для всех элементов МФПУ равны

где – среднее значение сигнала низкого уровня от i-го элемента,
i=1,2,…,N, N – число элементов МФПУ;
Т – интервал усреднения, t – номера отсчетов сигнала;
– сигнал i-го элемента на t-м отсчете;
Аi и Bi – чувствительность и смещение i-го элемента;
Рн – поток эталонного излучения низкого уровня;
Еi – усредненный на интервале Т шум элемента, Т выбирают достаточно большим, чтобы можно было пренебречь влиянием этой составляющей.
При воздействии эталонного оптического сигнала высокого уровня, одинакового для всех элементов МФПУ, средние значения электрических сигналов высокого уровня равны

где Рв – поток эталонного излучения высокого уровня.
При воздействии произвольных сигналов сцены текущие сигналы отдельных элементов Si(t) равны

Корректирование сигналов сцены осуществляется заменой исходных сигналов сцены Si(t) на скорректированные сигналы сцены , определяемые следующим образом:

где Рвн=(Рв-Рн) – разность эталонных потоков высокого и низкого уровней, i=1,2,…,N.
Корректирующими неоднородность коэффициентами являются – коэффициенты по смещению, и – по чувствительности. Применение этих коэффициентов к сигналам сцены – вычитание из сигналов коэффициентов по смещению и умножение разностей на коэффициенты по чувствительности – обеспечивает однородность скорректированных сигналов: одну и ту же по всем элементам чувствительность – величина 1/ Pвн, и одно и то же смещение, равное (-Pн/ Pвн).
Основным недостатком является то, что использование источников эталонных сигналов сопряжено с необходимостью их подстройки под сцену. Способ обеспечивает коррекцию при условии линейной зависимости сигналов элементов от оптического потока на их входе. Для того чтобы в пределах динамического диапазона наблюдаемой сцены отклонения от линейной зависимости были минимальными, диапазон значений эталонных потоков согласовывается с диапазоном значений сигналов сцены. Кроме того, требуется поддерживать однородность засветки элементов МФПУ эталонными источниками, так как от равномерности засветки зависит точность определения корректирующих коэффициентов. В некоторых случаях наличие эталонных источников неприемлемо по условиям размещения их в аппаратуре.
Целью настоящего изобретения является получение возможности коррекции неоднородности многоэлементных фотоприемных устройств со сканированием по линейной, двухточечной и нелинейной схемам коррекции без использования источников эталонных сигналов.
Цель достигается благодаря тому, что сканируют сцену и регистрируют отсчеты сигналов элементов фотоприемного устройства, определяют по отсчетам наблюдаемой сцены корректирующие воздействия, корректируют отсчеты сигналов сцены. Сцену сканируют в последовательности, обеспечивающей попадание потоков одних и тех же элементов сцены на соседние элементы фотоприемного устройства и попадание потоков соседних элементов сцены на один и тот же элемент устройства, для каждой пары соседних элементов фотоприемного устройства, i-го и i+1-го, по множеству пар отсчетов сигналов Si(t) и Si+1(t), i N, N – множество элементов фотоприемного устройства и t – параметр времени, где каждая пара отсчетов соответствует одному и тому же состоянию элемента сцены, с помощью аппроксимации определяют корректирующие воздействия – функции связи сигналов соседних элементов

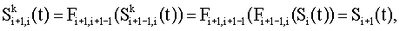
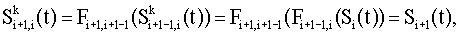
так, чтобы эти функции имели наименьшее среднеквадратичное отклонение на множествах пар отсчетов Si(t) и Si+1(t) и отображали любое значение из диапазонов переменных si, соответствующих диапазону сигнала Si(t), в значения переменных si+1, соответствующих значениям из диапазонов сигналов Si+1(t), корректируют отсчеты сигналов сцены Si(t) их заменой на , где Si(t) – отсчеты сигналов i-го элемента, – скорректированные сигналы i-го элемента относительно j-го элемента, i, j N,

где Fj,i(S((t)) – корректирующее воздействие – функция коррекции сигнала Si(t) относительно j-го элемента, которую получают последовательностью применения – начальный аргумент Si(t), функций связей Fi+1,i(), Fi+2,i+1(),…,Fj,j-1() сигналов пар соседних элементов i+1,i; i+2,i+1;…j,j-1, составляющих путь от элемента i к элементу j, для i=j .
Сущность способа заключается в следующем.
Условие сканирования сцены – попадание потоков одних и тех же элементов сцены на соседние элементы фотоприемного устройства – позволяет из последовательностей отсчетов Si(t) и Si+1(t) выбрать пары отсчетов от одних и тех же элементов сцены при одинаковом их состоянии (одинаковых потоках) и по множеству таких пар определить с помощью аппроксимации корректирующие воздействия – функции связи соседних элементов Fi+1,i(),
которые отображают значения отсчетов i-го элемента на значения отсчетов элемента i+1. Отображение означает, что значению si отсчета сигнала Si(t), которому соответствует некоторое значение потока Р на его входе, ставится в соответствие значение si+1 отсчета сигнала Si+1(t), которому соответствует то же самое значение потока Р на его входе.
Условие сканирования – попадание потоков соседних элементов сцены на один и тот же элемент фотоприемного устройства – обеспечивает полноту множества функций связи элементов Fi+1,i() такую, что для всех путей, связывающих с любым элементом фотоприемного устройства все остальные элементы устройства, будут определены функции связи всех пар соседних элементов этих путей.
Выполнение процедуры корректирования элементов фотоприемного устройства относительно j-го элемента состоит в определении значений функций коррекции Fj,i(Si(t)) сигналов Si(t), i,j N, определение каждой осуществляется последовательностью применений функций связи (последовательностью корректирующих воздействий) на пути от i-го к j-му элементу.
Первое в последовательности применений функций связи – применение функции Fi+1,i(Si(t)) – дает значение – скорректированное значение сигнала Si(t) относительно элемента i+1,

Так как функция связи определяется на последовательности элементов сцены, общей для i-го и i+1-го элементов МФПУ, то подстановка в функцию аргумента Si(t), которому соответствует некоторое значение потока элемента сцены, в качестве результата функции дает значение Si+1(t), которому соответствует то же значение потока.
Аналогично, для последующих применений, 1=1,2,…,j-1,

которые определяют – скорректированные относительно элементов i+1 значения сигнала Si(t), и которые, следуя определениям функций связи, равны Si(t). Начальному аргументу применения функций – Si(t), которому соответствует некоторое значение потока элемента сцены, функции связи ставят в соответствие значения Si+l(t), которым соответствует то же самое значение потока, что и сигналу Si(t).
Это значит, что скорректированные по отношению к одному из элементов фотоприемного устройства сигналы остальных элементов будут одинаковы при одинаковых сигналах сцены по всем элементам МФПУ, что соответствует цели коррекции.
В случае небольших изменений сигналов в пределах сцены зависимости Si+1(t) от Si(t) близки к линейным и аппроксимируются прямыми

имеющими наименьшее среднеквадратичное отклонение

от измеренных зависимостей Si+1(t) от Si(t).
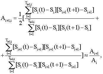
Корректирующие воздействия: коэффициенты линейных зависимостей Ai+1,i – отношение чувствительностей соседних элементов, и Bi+1,i – относительное смещение соседних элементов, определяются по формулам


где Ti+1,i, – множество пар отсчетов Si(t) и Si+1(t) по одним и тем же элементам сцены, упорядоченное по времени: значению t=1 соответствует первый по времени отсчет, t=2 – следующий и так далее до Ti+1,i-го отсчета;
Si и Si+1 – средние значения сигналов i-го и i+1-го элементов на интервале Тi+1,i. При увеличении интервала отношение Ai+1,i стремится к Ai+1/Ai.
Формулы для определения отношений чувствительностей и относительных смещений пар соседних элементов получены из линейной регрессии отсчетов сигналов Si(t) по отсчетам Si+1(t) и линейной регрессии отсчетов Si+1(t) по Si(t). Для устранения смещения величин Ai+1,i по отношению к Аi+1/Аi из-за накопления шума в формулах используется перемножение соседних, некоррелированных по шуму, отсчетов.
Скорректированные относительно элемента j сигналы элементов i=1,2,…,N определяются по исходным, некорректированным сигналам Si(t) и коэффициентам Ai+l,i+l-1 и Вi+l,i+l-1, 1=1,2,…,j-i, следующим образом:

На фиг.1 приведена, в сопоставлении с реализацией способа-прототипа [3], схема варианта устройства, реализующего предлагаемый способ,
где
1 – эталон сигнала низкого уровня;
2 – эталон сигнала высокого уровня;
3 – сканер;
4 – эталонный сигнал низкого уровня;
5 – сигнал сцены;
6 – эталонный сигнал высокого уровня;
7 – фотоприемное устройство;
8 – аналого-цифровой преобразователь сигналов;
9 – определитель корректирующих коэффициентов;
10 – корректор сигналов сцены.
Пунктиром выделены устройства и сигналы, необходимые при использовании способа-прототипа и не нужные для заявляемого способа. В предлагаемом способе корректирующие коэффициенты Ai+1,i и Вi+1,i определяются по сигналам сцены определителем корректирующих коэффициентов. В прототипе этот блок определяет корректирующие коэффициенты по чувствительности и смещению с использованием эталонных источников. В предлагаемом способе корректор сигналов сцены определяет скорректированные относительно элемента j сигналы элементов i=1,2,…,N по исходным, некорректированным сигналам Si(t) и коэффициентам Ai+l,i+l-1 и Bi+l,i+l-1, l=1,2,…,j-i и заменяет Si(t) на . В прототипе в корректоре вычитают из значений отсчетов сцены корректирующие коэффициенты по смещению и умножают разности на корректирующий коэффициент по чувствительности и этим скорректированным значением заменяют исходные значения отсчетов сцены.
Условие сканирования сцены в последовательности, обеспечивающей попадание потоков одних и тех же элементов сцены на соседние элементы фотоприемного устройства и попадание потоков соседних элементов сцены на один и тот же элемент устройства, поясним с помощью фиг.2, где представлен вариант расположения фоточувствительных элементов для многорядной линейки формата 4×N. Изображение сканируется в направлении, перпендикулярном линейкам фоточувствительных элементов A, B,…F, каждый пиксель изображения сцены регистрируется последовательно элементами Ai, Вi, Сi, Di, а соседний пиксель – элементами Еi, Fi, Gi, Нi. При этом сигналы элементов Аi, Вi, Сi, Di могут быть скорректированы по отношению к сигналам любого элемента этой группы, а сигналы элементов Еi, Fi, Gi, Hi могут быть скорректированы по отношению также любого элемента из этой группы. При втором сканировании изображение может быть сдвинуто на половину шага элементов в линейках. При этом последовательность пикселей, регистрируемых в первом сканировании элементами Ai, Bi, Сi, Di, будет регистрироваться элементами Еi, Fi, Gi, Hi. Таким образом, можно скорректировать сигналы элементов Еi, Fi, Gi, Hi по отношению к элементам Аi, Вi, Сi, Di, а также сигналы элементов Аi+1, Bi+1, Ci+1, Di+1 по отношению к элементам Ei, Fi, Gi, Нi и таким образом все элементы МФПУ связываются отношениями коррекции.
Источники информации
1. Патент РФ 2113065. Способ выравнивания неравномерной чувствительности фотоприемников сканирующих линеек тепловизоров, Белоконев В.М., Дегтярев Е.В., Рудый И.В., Малышев И.А., Павлова В.А., Тетерин В.В., Демеш О.В., Кабанов В.Ф. – Опубл. 10.06.98, Бюллетень №16.
2. Павлова В.А. и др. “Иконический подход к решению проблемы коррекции неоднородностей чувствительности многоэлементных МФПУ в сканирующих тепловизорах”, “Оптический журнал”, том 64, №2, 1997.
3. David L.Perry, Eustase L.Dereniak. Linear theory of nonuniformity correction in infrared staring sensors. – “OPTICAL ENGINEERING”, August 1993, Vol.32, №8, 1854-1859.
Формула изобретения
1. Способ коррекции неоднородности многоэлементных фотоприемных устройств со сканированием, заключающийся в том, что сканируют сцену и регистрируют отсчеты сигналов элементов фотоприемного устройства, корректируют отсчеты сигналов сцены, отличающийся тем, что для проведения коррекции сканируют в последовательности, обеспечивающей попадание потоков одних и тех же элементов сцены на соседние элементы фотоприемного устройства и попадание потоков соседних элементов сцены на один и тот же элемент устройства, для каждой пары соседних элементов фотоприемного устройства, i-го и (i+1)-го, по множеству пар отсчетов сигналов Si(t) и Si+1(t), i N, N – множество элементов фотоприемного устройства и t – параметр времени, и каждая пара отсчетов соответствует одному и тому же состоянию элемента сцены, с помощью аппроксимации определяют корректирующие воздействия – функции связи сигналов соседних элементов так, чтобы эти функции имели наименьшее среднеквадратичное отклонение на множествах пар отсчетов Si(t) и Si+1(t) и отображали любое значение из диапазонов переменных si, соответствующих диапазонам сигналов Si(t), в значения переменных si+1, соответствующие значениям из диапазонов сигналов Si+1(t), корректируют отсчеты сигналов Si(t) их заменой на где Si(t) – отсчеты сигналов i-го элемента, скорректированные сигналы i-го элемента относительно j-го элемента, i,j N,

где Fj,i(Si(t)) – функция коррекции сигнала Si(t) относительно j-го элемента, которую получают последовательным применением аргументов функций связей Fi+1,i(), Fi+2,i+1(), …, Fj,j-1() сигналов пар соседних элементов i+1,i; i+2,i+1; …j,j-1, составляющих путь от элемента i к элементу j, для i=j =Si(t), где Si(t) – аргумент первой функции, а аргументом каждой последующей функции является результат предыдущей функции, от Fi+1,i() до Fi,j-1().
2. Способ по п.1, отличающийся тем, что функции Fi+1,i() являются линейными зависимостями

имеющими наименьшее среднеквадратичное отклонение

от измеренных зависимостей Si+1(t) от Si(t), корректирующие воздействия: коэффициенты линейных зависимостей Ai+1,i – отношение чувствительностей соседних элементов и Вi+1,i – относительное смещение соседних элементов определяются по формулам


где Тi+1,i – множество пар отсчетов Si(t) и Si+1(t) по одним и тем же элементам сцены, упорядоченное по времени: значению t=1 соответствует первый по времени отсчет, t=2 – следующий и так далее до Тi+1,i-го отсчета; Si и Si+1 – средние значения сигналов i-го и (i+1)-го элементов на интервале Тi+1,i, скорректированные относительно элемента j сигналы элементов i=1, 2,…, N определяются по исходным некорректированным сигналам S, (t) и коэффициентам Ai+l,i+l-1 и Вi+l,i+l-1, 1=1, 2,…,j-i, следующим образом:

РИСУНКИ
|
|