Патент на изобретение №2297690
|
|||||||||||||||||||||||||||||||||||||||||||||||||||||||||||||||||||||||||||
(54) СПОСОБ ИЗГОТОВЛЕНИЯ ПОЛУПРОВОДНИКОВОЙ ГЕТЕРОСТРУКТУРЫ НА ОСНОВЕ СОЕДИНЕНИЙ A3B5 МЕТОДОМ ЖИДКОФАЗНОЙ ЭПИТАКСИИ
(57) Реферат:
Изобретение относится к способам изготовления полупроводниковых структур из соединений А3В5 методами эпитаксии. Сущность изобретения: способ изготовления полупроводниковой гетероструктуры методом эпитаксии включает выращивание эпитаксиального слоя заданной толщины h0, рассогласованного по параметру решетки с материалом, на котором осуществляют выращивание, при этом предварительно для данной ростовой системы строят экспериментальную градуировочную кривую зависимости максимальной толщины слоя hmax, при которой еще происходит его эпитаксиальный рост, от величины относительного рассогласования решеток f при известной механической прочности слоя, задаваемой коэффициентом Пуассона, строят расчетную градуировочную кривую зависимости минимальной толщины слоя hmin от величины относительного рассогласования решеток f при известной механической прочности слоя, задаваемой коэффициентом Пуассона, по определенному выражению, и при заданной толщине h0 выращиваемого слоя выбирают такое относительное рассогласование решеток сопрягаемых материалов f, при котором h0 удовлетворяет выражению: hmin
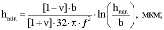
Изобретение относится к импульсной и высокочастотной микроэлектронной технике, а более конкретно к способам изготовления полупроводниковых структур из соединений А3B5, а также из соединений А2B6, А4В4 и А4В6 методами эпитаксии. Во многих типах полупроводниковых приборов и особенно в приборах мощной импульсной и высокочастотной техники для повышения их быстродействия требуется уменьшать времена жизни неравновесных носителей заряда (ННЗ) в базовых слоях прибора без потери рабочих напряжений (напряжения переключения в тиристорах и обратных рабочих напряжений в диодах) и заметного роста прямых падений. Для этих целей в слаболегированных частях приборной структуры создают эффективные рекомбинационные центры различными способами. Прежде всего, эффективные рекомбинационные центры создают легированием полупроводников примесями, ответственными за появление эффективных рекомбинационных центров, в процессе выращивания кристаллов или диффузионным методом, например, при легировании германия золотом, а также кремния золотом или платиной. Другой путь – генерация собственных точечных дефектов и дислокаций в слоях путем, например, имплантации электронов, протонов, ионов и т.д. При изготовлении приборов на основе бинарных полупроводников применение данных процессов затруднено из-за сложностей получения относительно чистого объемного (подложечного) материала, пригодного для силовой техники, что определяет преимущественное использование эпитаксиальных методов выращивания. Кроме того, в эпитаксиальных слоях нелегированного материала на основе соединений А3В5 и других многокомпонентных полупроводниковых соединений появление глубокоуровневых ловушек, как правило, связано с собственными дефектами. Поэтому при изготовлении структур быстродействующих приборов на основе нелегированных слоев многокомпонентных полупроводниковых соединений представляется уместным использовать свойства и особенности образования собственных точечных и линейных дефектов в данных эпитаксиальных слоях. Одним из способов изменения ансамбля собственных дефектов в эпитаксиальных пленках является изовалентное легирование (см., например, V.V.Chaldyshev and S.V.Novikov. Isovalent impurity doping of direct-gap III-V semiconductor layers. In: Semiconductor technology: Processing and novel fabrication techniques. Ed. by M.Levinshtein and M.Shur. John Wiley & Sons, Inc., 1997, p.165-194). При постепенном увеличении содержания изовалентных примесей в слоях сначала происходит улучшение кристаллического совершенства эпитаксиальных пленок и, как правило, уменьшение содержания электрически активных глубокоуровневых центров в них. Затем по мере увеличения концентрации изовалентного компонента в упругодеформированных слоях наблюдается постепенное увеличение концентрации и появление новых электрически активных глубокоуровневых дефектов. При дальнейшем увеличении рассогласования по параметру решетки слоя и подложки и достижении так называемых критических напряжений происходит частичная релаксация упругих напряжений с образованием дислокаций несоответствия (ДН). При некоторых еще больших значениях рассогласования происходит интенсивная пластическая деформация слоя твердого раствора, при этом остаточные внутренние напряжения достигают своего максимального значения, а плотность ДН резко возрастает; в этом случае, как правило, происходит частичное или полное разрушение слоя полупроводникового материала. Появление ДН в слоях обычно стимулирует генерацию дополнительных дефектов и, соответственно, глубокоуровневых ловушек. Кроме того, такие избыточные (дополнительные) дефекты, как ДН, могут иметь свойства ловушек для носителей заряда. Таким способом можно изменять времена жизни носителей заряда в полупроводниковых слоях и, соответственно, быстродействие приборов на их основе. Данный подход к изготовлению описанных ниже гетероэпитаксиальных структур универсален и применим в различных гетеросистемах, не только на основе соединений А3B5, но и А2B6, А4B4 или А4B6. Кроме того, такой способ применим вне зависимости от метода эпитаксиального выращивания, который выбирают в зависимости от требований конкретных приборных применений. Известны и широко используются эпитаксиальные методы получения монокристаллических слоев для изготовления различных полупроводниковых приборов. Основное распространение получили газофазная эпитаксия (ГФЭ), газофазная эпитаксия из металлорганических соединений (МОС-гидридный метод), молекулярно-пучковая (МПЭ) и жидкофазная эпитаксия (ЖФЭ). МОС-гидридный метод и метод МПЭ позволяют наносить с высокой точностью тонкие слои, что используется для изготовления низковольтных высокочастотных приборов (до 20 В). Скорость роста слоев в этих методах довольно низка, поэтому для выращивания слоев более 1 мкм требуются большие времена процесса, что, кроме того, увеличивает себестоимость технологического процесса. Для приборов силовой техники требуются довольно протяженные слои с низкой концентрацией примеси и высокой подвижностью носителей. Для этих целей подходят методы ЖФЭ и ГФЭ (хлоридный метод), однако метод ГФЭ дает недостаточно воспроизводимые результаты (особенно по толщинам слоев). Метод ЖФЭ привлекает крайне низкой себестоимостью технологического процесса, простотой оборудования и возможностью выращивания многокомпонентных соединений. Основным материалом быстродействующей полупроводниковой электроники до сих пор остается кремний. В последнее время ведущие мировые фирмы-производители кремниевых приборов начали чаще использовать альтернативные полупроводниковые материалы, поскольку кремний как материал уже не вполне удовлетворяет всем требованиям, предъявляемым к приборам, работающим на высоких частотах, включая высокую скорость переключения, низкое падение прямого напряжения, возможность работы при высоких температурах, а также радиационная стойкость. Поэтому появился закономерный интерес к другим материалам, более широкозонным, таким как GaAs, SiC, алмаз и др. Известен способ получения плавных GaAs высоковольтных p-i-n переходов методом жидкофазной эпитаксии (см. патент US №5733815, МПК H01L 21/20, опубликован 31.03.1998 г.), включающий нагрев исходной шихты до образования насыщенного раствора-расплава ее компонентов, взаимодействие раствора-расплава с газовой смесью, включающий водород, пары воды и продукты реакций между водородом и парами воды с раствором-расплавом и с двуокисью кремния, заполнение арсенид-галлиевой подложки полученным раствором-расплавом и их последующим принудительным охлаждением для выращивания эпитаксиального слоя GaAs. В известном способе за счет контролируемого введения паров воды в ростовую камеру во время процесса выращивания эпитаксиальной структуры удалось уменьшить эффективные времена жизни носителей заряда для GaAs p-i-n диодных структур до 15-60 нс; при этом время выключения диодов составляло 30-70 нс, что, отметим, на настоящее время сравнимо с параметрами выключения лучших кремниевых диодных выпрямителей при комнатной температуре. Таким образом, данный известный способ позволяет создавать высоковольтные GaAs структуры, однако не обеспечивает изготовление диодов на их основе, существенно превосходящих по быстродействию лучшие кремниевые аналоги. Это может быть связано с тем, что при данном известном способе изготовления диодных GaAs p-i-n структур количества создаваемых дополнительных рекомбинационных центров с их свойствами (сечения захвата основных и неосновных носителей энергии активации) недостаточно для еще большего повышения быстродействия диодов. В работе (Л.С.Берман, В.Г.Данильченко, В.И.Корольков, Ф.Ю.Солдатенков. – Глубокоуровневые центры в нелегированных слоях p-GaAs, выращенных методом жидкофазной эпитаксии. – ФТП, 2000, т.34, вып.5, стр.558-561) был применен другой способ повышения быстродействия приборов на основе слаболегированного GaAs. Показано, что в результате замены водорода на аргон во время проведения ростового процесса происходит изменение спектра глубокоуровневых ловушек в слоях слаболегированного GaAs, ответственных за рекомбинацию ННЗ, за счет изменения ансамбля собственных точечных дефектов в эпитаксиальных слоях, а именно – появление дефекта EL2, имеющего большие сечения захвата носителей заряда, что приводит к резкому уменьшению эффективных времен жизни ННЗ (с 200-250 нс до 25-30 нс). Несмотря на существенное уменьшение времен жизни ННЗ в слоях GaAs, полученных известным способом, данный способ не обеспечивает изготовление достаточно быстродействующих приборов. Известен способ регулирования быстродействия GaAs приборов при помощи облучения гамма-квантами (В.Г.Данильченко, В.И.Корольков, Ю.Н.Лузин, С.И.Пономарев, А.В.Рожков, Г.И.Цвилев. – Использование облучения Известен способ изготовления быстродействующих силовых GaAs диодов с барьером Шоттки (см. патент US №5622877, МПК H01L 21/265, опубликован 22.04.1997 г.), включающий изготовление GaAs слоя с концентрацией доноров менее 5·1015 см-3 толщиной более 3 мкм на сильнолегированном GaAs, с концентрацией доноров более чем 1·1018 см-3, химическое осаждение на указанный слой барьерного электрода в виде эпитаксиального слоя никеля толщиной от 0.05 до 0.5 мкм, нанесение проводящего металлического слоя на указанный барьерный электрод и формирование омического контакта на сильнолегированном GaAs. Задачей заявляемого изобретения являлась разработка такого способа изготовления полупроводниковой гетероструктуры методом жидкофазной эпитаксии, который бы обеспечил генерацию достаточного количества эффективных рекомбинационных центров в базовых слоях прибора, воспроизводимого получения полупроводниковых приборов с малыми временами выключения для импульсной и высокочастотной электронной техники. Поставленная задача решается тем, что способ изготовления полупроводниковой гетероструктуры методом эпитаксии включает выращивание эпитаксиального слоя заданной толщины h0, рассогласованного по параметру решетки с материалом, на котором осуществляют выращивание упомянутого слоя, при этом предварительно для данной ростовой системы строят экспериментальную градуировочную кривую зависимости максимальной толщины слоя hmax, при которой еще происходит его эпитаксиальный рост, от величины относительного рассогласования решеток f при известной механической прочности слоя, задаваемой коэффициентом Пуассона
где b – модуль вектора Бюргерса, мкм;
f=(а1-а2)/а2 – относительное рассогласование решеток; а1 и а2 – параметры решеток сопрягаемых материалов гетероструктуры; и при заданной толщине h0 выращиваемого слоя выбирают такое относительное рассогласование решеток сопрягаемых материалов f, при котором h0 удовлетворяет выражению: hmin В результате заявляемым способом выращивают такую приборную гетероэпитаксиальную структуру, в которой толщина h0 и параметр решетки слоя соотносятся таким образом, что превышаются критические величины напряжений из-за несоответствия постоянных решетки слоя и подложки, на котором производится рост, приводящие к началу пластической деформации данного упруго деформированного слоя. При этом напряжения в структуре не достигают величин критических скалывающих напряжений, приводящих к интенсивной пластической деформации и, соответственно, к неэпитаксиальному, немонокристаллическому росту или механическому разрушению этого слоя. В основу заявляемого способа положен сравнительно простой прием уменьшения эффективных времен жизни ННЗ путем контролируемого создания дополнительных собственных дефектов в базовых слоях полупроводниковых приборов, возникающих из-за рассогласования по параметру решетки сопрягаемых материалов, из которых изготавливают гетероструктуры. Это решается путем контроля величины рассогласования по параметру решетки гетерокомпозиции и толщины гетероэпитаксиального слоя. Простейший случай такой гетероструктуры – эпитаксиальный слой твердого раствора на основе бинарного соединения с изовалентным замещением одного из компонентов, выращенный на подложке данного бинарного соединения. Для этого случая вычисление hmin упрощается, поскольку выражения для относительного рассогласования f и коэффициента Пуассона Выращивание эпитаксиального слоя заявляемым способом может быть осуществлено методом жидкофазной эпитаксии, при котором выращивание эпитаксиального слоя осуществляют путем нагрева исходной шихты до образования насыщенного раствора-расплава ее компонентов, взаимодействия раствора-расплава с газовой смесью, включающей водород, пары воды и продукты реакций между водородом и парами воды с упомянутым раствором-расплавом и с двуокисью кремния, заполнения поверхности по меньшей мере одной подложки полученным раствором-расплавом с их последующим принудительным охлаждением до комнатной температуры. Выращивание слоя может быть осуществлено в кассете сливного типа, изготовленной, например, из кварца. Выращивание эпитаксиального слоя заявляемым способом может быть осуществлено методом жидкофазной эпитаксии в графитовой кассете, например, поршневого типа, при котором выращивание эпитаксиального слоя осуществляют путем нагрева исходной шихты до образования насыщенного раствора-расплава ее компонентов (включая добавки одного или нескольких редкоземельных элементов в количестве не более 0,1 ат.%), проведения отжига раствора-расплава, создания пересыщения путем принудительного охлаждения раствора-расплава, заполнения поверхности подложки полученным раствором-расплавом с последующим принудительным охлаждением до выбранной температуры, при которой прекращают рост данного слоя либо сдергиванием расплава со слоя, либо путем замещения данного расплава другим. Выращивание эпитаксиального слоя заявляемым способом может быть осуществлено также методом молекулярно-пучковой эпитаксии, или методом газофазной эпитаксии, или иным методом эпитаксиального выращивания. Эпитаксиальный слой может быть выращен на монокристаллическом GaAs в виде тройного соединения A3 хGa1-xAs, где А3 – элемент 3-й группы периодической системы элементов, или тройного соединения InxGa1-xAs, или в виде тройного соединения GaAs1-xB5 x, где В5 – элемент 5-й группы периодической системы элементов, или в виде тройного соединения GaAs1-xSbx, или в виде четверного соединения А3 xGa1-xAs1-yB5 у. Гетероэпитаксиальный слой твердого раствора GaAs может быть выращен на подложке GaAs р-типа проводимости, легированной Zn до концентрации (1-5) Изготовление приборной структуры может быть осуществлено либо путем наращивания одного или нескольких легированных эпитаксиальных слоев на описываемый слаболегированный эпитаксиальный слой, либо путем создания барьера Шоттки на нем. В настоящее время наилучшими по быстродействию и совокупности других приборных характеристик являются приборы, изготовленные из GaAs. Поэтому предложенный способ был опробован на примере гетероэпитаксиальных систем на базе твердых растворов GaAs и высоковольтных приборов на их основе, таких как диоды и оптотиристоры. Пример 1. Получали диодные p-i-n структуры на основе гетероэпитаксиального слоя InxGa1-xAs, выращенного на подложке GaAs методом ЖФЭ. Для диодов на напряжения пробоя 300-500 В необходимы слои слаболегированного материала толщиной около 50 мкм (по данному используемому способу получения). По предварительно построенным градуировочным кривым (по приведенной выше формуле для hmin, a hmax для данной системы определили как hmax 9.66+777·exp(-1303·f), определяли диапазон подходящих величин рассогласования f слоя и подложки – от 7.2·10-4 до 2.2·10-3. Затем по относительному рассогласованию f определяли состав слоя твердого раствора x и по известным термодинамическим соотношениям определяли состав жидкой фазы (раствора-расплава) при температуре начала кристаллизации для выбранного состава твердой фазы x (см. М.Б.Паниш, М.Илегемс. Фазовые равновесия в тройных системах III-V. В сб. статей “Материалы для оптоэлектроники”. – М.: Мир, 1976, стр.39-92; или В.М.Андреев, Л.М.Долгинов, Д.Н.Третьяков. Жидкостная эпитаксия в технологии полупроводниковых приборов. Под ред. Ж.И.Алферова. – М.: Советское радио, 1975, 328 с.). Была выбрана величина рассогласования f=1.8·10-3 (х=0.025). Для получения слоя твердого раствора InxGa1-xAs с х=0.025 толщиной 50 мкм при заданной температуре начала кристаллизации 900°С выбрали зазор между подложками 0.45 мм. В кварцевом реакторе в кварцевой кассете сливного типа в атмосфере водорода с точкой росы около -70°С проводили предварительный двухступенчатый отжиг раствора-расплава – 15 часов при температуре 700°С и 3 часа при температуре начала кристаллизации слоя (900°С) и потоке водорода через реактор 130 мл/мин, после чего данный раствор-расплав приводили в контакт с подложками GaAs р+-типа и начинали кристаллизацию эпитаксиального слоя, имеющего p-i-n структуру, путем принудительного охлаждения ростовой системы со скоростью около 0.5°С/мин до комнатной температуры. Из полученных эпитаксиальных структур со слоями InGaAs были изготовлены диоды с помощью стандартных методов фотолитографии, травления, напыления и вжигания контактов. Измерения характеристик приборов проводились в непрерывном и импульсном режимах при комнатной температуре (20°С). Параметры диода, включающего InGaAs p-i-n структуру, приведены в таблице 1 (№ партии 1). Пример 2. Для сравнения с p-i-n структурами, получаемыми по предложенному способу (пример 1), изготавливали p-i-n структуры, в которых толщина эпитаксиального слоя h и относительное рассогласование f лежали вне диапазона, предлагаемого в данном способе. Выращивание структур той же толщины проводили так же, как в примере 1, но вместо слоя InxGa1-xAs с выбранной величиной относительного рассогласования f на подложках GaAs выращивали слои GaAs и InxGa1-xAs, для которых величина f лежала вне диапазона, предлагаемого в данном способе. Для получения слоя GaAs толщиной 50 мкм при температуре начала кристаллизации 900°С выбрали зазор 0.8 мм, а для получения слоя InxGa1-xAs с х=0.009 (f=6.45·10-4) толщиной 50 мкм при той же температуре начала кристаллизации выбрали зазор 0.6 мм. Из полученных эпитаксиальных структур были изготовлены диоды так же, как в примере 1. Измерения характеристик приборов проводились так же, как в примере 1. Параметры диода, включающего GaAs или InxGa1-xAs p-i-n структуру, приведены в таблице 1, № партии 2 и 3):
где: UR – максимальные напряжения обратного смещения (reverse bias); UF – напряжения прямого смещения (forward bias); IDC – прямой ток (direct current); IR – токи утечки при обратном смещении (leakage current); Как видно из данных, приведенных в таблице, применение заявленного способа изготовления эпитаксиальных структур позволяет значительно повысить быстродействие существующих приборов (образцы партий 1 по сравнению с 2); получены высоковольтные p-i-n диоды (партия 1), превосходящие по быстродействию лучшие кремниевые p-i-n диоды, диоды из карбида кремния, а также диоды из GaAs с барьером Шоттки, которые являются лучшими по быстродействию (и совокупности других характеристик) высоковольтными выпрямительными диодами в мире. В соседних ячейках кварцевой кассеты одновременно можно выращивать несколько эпитаксиальных структур, в том числе эпитаксиальные слои InxGa1-xAs или GaAs1-xSbx, отличающиеся по составу х и по толщине. Пример 3. Получали диодные структуры на основе слаболегированного гетероэпитаксиального слоя GaAs1-xSbx, выращенного на подложке GaAs методом ЖФЭ в графитовой кассете поршневого типа. Для диодов на напряжения пробоя 50-250 В необходимы слои слаболегированного материала (по данному используемому способу получения) толщиной около 20 мкм. По предварительно построенным градуировочным кривым (по формулам для hmin и hmax) определяли диапазон подходящих величин рассогласования f слоя и подложки – от 1·10-3 до 3.7·10-3. Была выбрана величина рассогласования f=1.3·10-3. После определения состава твердой фазы x, соответствующей величине рассогласования, по известным термодинамическим соотношениям (см. ссылки в примере 1) определили состав жидкой фазы (раствора-расплава) при температуре начала кристаллизации для выбранного состава твердой фазы x. При использовании поршневой кассеты с величиной ростового зазора 1 мм для получения слоя GaAs1-xSbx толщиной около 20 мкм выбирали температурный диапазон выращивания от 750°С до 700°С. В шихту добавляли навеску Sc в размере 0.01 ат.%. В кварцевом реакторе в графитовой кассете поршневого типа в атмосфере водорода с точкой росы около -70°С проводили предварительный отжиг насыщенного раствора-расплава – 2 часа при температуре начала кристаллизации слоя (750°С), охлаждали раствор-расплав на 5°С, после чего данный раствор-расплав приводили в контакт с подложкой GaAs n-типа и начинали кристаллизацию слаболегированного эпитаксиального слоя GaAs n-типа проводимости путем принудительного охлаждения ростовой системы со скоростью около 0.5°С/мин до температуры 700°С, при которой прекращали рост слоя путем замены данного расплава другим (следующим, содержащим Ga, As и Ge), то есть начав выращивание другого по составу слоя, а именно сильнолегированного слоя GaAs р-типа проводимости. Таким образом, получали диодную n+-n0-р+ структуру в ходе единого эпитаксиального процесса. Из полученных эпитаксиальных структур со слоями GaAsSb с концентрацией свободных электронов в слаболегированном слое около 2·1015 см-3 были изготовлены диоды так же, как указано в примере 1. Измерения характеристик приборов проводились так же, как в примере 1. Параметры диода с базовым слоем GaAsSb приведены в таблице 2 (№ партии 1). Пример 4. Для сравнения с диодными структурами, получаемыми по предложенному способу (пример 3), изготавливали диодные структуры, в которых толщина эпитаксиального слоя h и относительное рассогласование f лежали вне диапазона, предлагаемого в данном способе. Выращивание структур той же толщины проводили так же, как в примере 3, но вместо слоя GaAs1-xSbx с выбранной величиной относительного рассогласования f на подложках GaAs выращивали, для которых величина f лежала вне диапазона, предлагаемого в данном способе, а именно слои GaAs. Из полученных эпитаксиальных структур со слоями GaAs с концентрацией свободных электронов в слаболегированном слое около 2·1015 см-3 были изготовлены диоды по той же схеме, как в примере 1. Измерения характеристик приборов проводились так же, как в примере 1. Параметры диода, включающего GaAs n+-n0-p+ структуру, приведены в таблице 2 (№ партии 2):
Где: UR – максимальные напряжения обратного смещения (reverse bias); UF – напряжения прямого смещения (forward bias); IDC – прямой ток (direct current); IR – токи утечки при обратном смещении (leakage current); Как видно из данных, приведенных в таблице, применение заявленного способа изготовления эпитаксиальных структур позволяет значительно повысить быстродействие существующих приборов (образцы партии 1 по сравнению с 2). Слаболегированные слои GaAs1-xSbx или InxGa1-xAs, различные по составу и толщине, n- или р-типа проводимости, можно выращивать на подложках GaAs n+– или р+-типа проводимости, или на полуизолирующих подложках, в различных комбинациях в зависимости от приборных приложений. Существует возможность дополнительного повышения быстродействия приборов на основе данных слоев, изготавливая барьеры Шоттки.
Формула изобретения
1. Способ изготовления полупроводниковой гетероструктуры на основе соединений А3B5 методом жидкофазной эпитаксии путем выращивания эпитаксиального слоя заданной толщины h0, рассогласованного по параметру решетки с материалом, на котором осуществляют выращивание упомянутого слоя, отличающийся тем, что предварительно для данной ростовой системы строят экспериментальную градуировочную кривую – зависимости максимальной толщины слоя hmax, при которой еще происходит его эпитаксиальный рост, от величины относительного рассогласования решеток f, строят расчетную градуировочную кривую зависимости минимальной толщины слоя hmin от величины относительного рассогласования решеток f по выражению
где b – модуль вектора Бюргерса, мкм;
f=(a1-a2)/a2 – относительное рассогласование решеток; a1 и а2 – параметры решеток сопрягаемых материалов гетероструктуры, и при заданной толщине h0 выращиваемого слоя выбирают такое относительное рассогласование решеток сопрягаемых материалов f, при котором h0 удовлетворяет выражению hmin 2. Способ по п.1, отличающийся тем, что выращивание упомянутого эпитаксиального слоя осуществляют путем нагрева исходной шихты до образования насыщенного раствора-расплава ее компонентов, взаимодействия раствора-расплава с газовой смесью, включающей водород, пары воды и продукты реакций между водородом и парами воды с упомянутым раствором-расплавом и с двуокисью кремния, заполнения поверхности по меньшей мере одной подложки полученным раствором-расплавом с их последующим принудительным охлаждением до комнатной температуры. 3. Способ по п.2, отличающийся тем, что упомянутый эпитаксиальный слой выращивают в кассете сливного типа. 4. Способ по п.3, отличающийся тем, что выращивание производят в упомянутой кассете сливного типа, изготовленной из кварца. 5. Способ по п.1, отличающийся тем, что упомянутый эпитаксиальный слой выращивают в графитовой кассете поршневого типа. 6. Способ по п.5, отличающийся тем, что выращивание упомянутого эпитаксиального слоя осуществляют путем нагрева до образования насыщенного раствора-расплава ее компонентов исходной шихты, включающей не менее одного редкоземельного элемента в количестве не более 0,1 ат.%, отжига полученного раствора-расплава, создание пересыщения путем охлаждения насыщенного раствора-расплава, заполнения поверхности подложки полученным раствором-расплавом с их последующим принудительным охлаждением до температуры прекращения роста эпитаксиального слоя путем сдергивания расплава с поверхности упомянутого эпитаксиального слоя или путем замены данного раствора-расплава следующим раствором-расплавом. 7. Способ по п.1, отличающийся тем, что упомянутый эпитаксиальный слой выращивают на подложке из монокристаллическоого GaAs в виде тройного соединения A3 xGa1-xAs, где А3 – элемент 3-й группы Периодической системы элементов; x – состав твердого раствора. 8. Способ по п.1, отличающийся тем, что упомянутый эпитаксиальный слой выращивают в виде тройного соединения InxGa1-xAs. 9. Способ по п.1, отличающийся тем, что упомянутый эпитаксиальный слой выращивают на подложке из монокристаллического GaAs в виде тройного соединения GaAs1-xB5 x, где В5 – элемент 5-й группы Периодической системы элементов. 10. Способ по п.9, отличающийся тем, что упомянутый эпитаксиальный слой выращивают в виде тройного соединения GaAs1-xSbx. 11. Способ по п.1, отличающийся тем, что упомянутый эпитаксиальный слой выращивают на подложке GaAs р-типа проводимости, легированной Zn до концентрации (1-5) 12. Способ по п.1, отличающийся тем, что упомянутый эпитаксиальный слой выращивают на подложке GaAs n-типа проводимости, легированной Sn или Si до концентрации (0,5-5,0) 13. Способ по п.1, отличающийся тем, что упомянутый эпитаксиальный слой выращивают на полуизолирующей подложке GaAs, нелегированной или легированной Cr.
|
|||||||||||||||||||||||||||||||||||||||||||||||||||||||||||||||||||||||||||

-квантами для регулирования быстродействия высоковольтных арсенид-галлиевых приборов. – Электронная техника. Сер. Электровакуумные и газоразрядные приборы, 1981, вып.5 (88), стр.30-32). В известном способе в результате облучения гамма-квантами Со60 возникают радиационные дефекты, уменьшающие времена жизни ННЗ, что позволило уменьшить времена восстановления высоковольтных GaAs диодов с 200-250 нс до 40-50 нс, что не является удовлетворительной величиной в настоящее время. Кроме того, к недостаткам можно отнести существенное возрастание прямых падений напряжения с увеличением дозы облучения.
, строят расчетную градуировочную кривую зависимости минимальной толщины слоя hmin от величины относительного рассогласования решеток f при известной механической прочности слоя, задаваемой коэффициентом Пуассона 
1018 см-3, или на подложке GaAs n-типа проводимости, легированной Sn или Si до концентрации (0,5-5,0)
rr,
10