|
(21), (22) Заявка: 2003133985/28, 18.04.2002
(24) Дата начала отсчета срока действия патента:
18.04.2002
(30) Конвенционный приоритет:
24.04.2001 (пп.1-8) EP 01201480.9
(43) Дата публикации заявки: 27.02.2005
(46) Опубликовано: 20.04.2007
(56) Список документов, цитированных в отчете о поиске:
US 5825726 А, 20.10.1998. JP 10-228754 А, 25.08.1998. JP 10-283717 А, 23.10.1998. RU 99113033 А, 27.04.2001.
(85) Дата перевода заявки PCT на национальную фазу:
24.11.2003
(86) Заявка PCT:
IB 02/01367 (18.04.2002)
(87) Публикация PCT:
WO 02/086887 (31.10.2002)
Адрес для переписки:
129010, Москва, ул. Б. Спасская, 25, стр.3, ООО “Юридическая фирма Городисский и Партнеры”, пат.пов. Ю.Д.Кузнецову, рег.№ 595
|
(72) Автор(ы):
ВЕЙЕНБЕРГ Паулус Г.П. (NL), НЕЙБУР Якоб Г. (NL)
(73) Патентообладатель(и):
КОНИНКЛЕЙКЕ ФИЛИПС ЭЛЕКТРОНИКС Н.В. (NL)
|
(54) УСТРОЙСТВО И СПОСОБ ДЛЯ ЗАПИСИ ИНФОРМАЦИИ
(57) Реферат:
Изобретение относится к оптической записи информации. Устройство имеет средство управления для записи и извлечения данных о расположении, которые служат индикатором расположения записанных информационных томов. Средство управления включает в себя модуль отображения для создания зоны отображения сессий. В зоне отображения сессий записываются блоки отображения сессий, которые содержат в элементах сессии данные о расположении закрытых сессий, т.е. сессий, которые были полностью записаны. Дополнительно устройство имеет блок обнаружения для извлечения блока отображения сессий из указанной зоны отображения сессий. Технический результат – повышение эффективности хранения и извлечения данных о расположении сессий на носителе записи. 3 н. и 5 з.п. ф-лы, 27 ил.
Изобретение относится к устройству для записи информации по меньшей мере в одном информационном томе на дорожке в области записи на носителе информации, причем информационный том содержит зону начала, зону данных и зону окончания, устройство содержит средство записи для записи меток, представляющих информацию, и средство управления для записи и извлечения данных о расположении, которые служат индикатором расположения записанного информационного тома.
Изобретение дополнительно относится к способу записи информации по меньшей мере в одном информационном томе на дорожке в области записи на носителе информации, причем информационный том содержит зону начала, зону данных и зону окончания, способ содержит этап записи меток, представляющих информацию, и данных о расположении, которые служат индикатором расположения записанного информационного тома.
Изобретение дополнительно относится к носителю информации, имеющему дорожку в области записи для записи по меньшей мере одного информационного тома, причем информационный том содержит зону начала, зону данных и зону окончания, дорожка содержит метки, представляющие информацию, и данные о расположении, которые служат индикатором расположения записанного информационного тома.
Устройство и способ записи информационных сигналов на носителе информации известны из патента США № 5341356 (PHN13661). Информация кодируется в информационных блоках, содержащих слова данных и слова исправления ошибок для исправления ошибок в пределах информационного блока. Устройство содержит средство записи для записи меток, представляющих информацию. Информация по меньшей мере одного информационного блока модулируется в модулированном сигнале и записывается на дорожке в предварительно определенных местах, обозначенных с помощью предварительно сформированной информации о расположении дорожки. Устройство записывает отформатированную информацию в последовательных томах, также называемых сессиями, при мультисессионной компоновке. Каждый том имеет зону начала, также называемую вводной, зону данных и зону окончания, также называемую выводной. Устройство имеет средство управления для записи и извлечения данных о расположении, которые служат индикатором расположения записанных информационных томов. В частности, в выводной зоне записывается указатель для определения расположения зоны начала сессии. Дополнительно вводная зона содержит информацию о расположении выводной зоны сессии, и, следовательно, зоны начала следующей сессии (если такая существует). Для определения расположения конкретной сессии устройство может определять расположение последней записанной сессии посредством определения границы незаписанной области и считывания последней выводной зоны, и затем следовать по цепочке сессий к началу записанной области. Альтернативно, устройство может считывать вводную зону первой сессии и следовать по цепочке сессий, считывая вводные зоны последовательных томов. Время доступа к определенной сессии определяется временем, требуемым для “перескакивания” по указанной цепочке сессий. В носителе информации с однократной записью, таком как записываемый компакт-диск (CD-R), данные о расположении не могут перезаписываться.
Задачей изобретения является обеспечение более гибкой системы записи данных о расположении.
Для этой цели устройство, описанное в начальном абзаце, отличается тем, что средство управления содержит средство отображения для записи по меньшей мере одного блока отображения сессий в зоне отображения сессий, при этом блок отображения сессий содержит данные о расположении закрытых сессий, закрытая сессия является полностью записанным информационным томом, и средство обнаружения для извлечения блока отображения сессий из указанной зоны отображения сессий. Способ, описанный в начальном абзаце, отличается тем, что данный способ содержит этап записи по меньшей мере одного блока отображения сессий в зоне отображения сессий, при этом блок отображения сессий содержит данные о расположении закрытых сессий, закрытая сессия является полностью записанным информационным томом, и этап извлечения блока отображения сессий из указанной зоны отображения сессий. Носитель информации, описанный в начальном абзаце, отличается тем, что данный носитель информации содержит по меньшей мере один блок отображения сессий в зоне отображения сессий, при этом блок отображения сессий содержит данные о расположении закрытых сессий, закрытая сессия является полностью записанным информационным томом. Преимуществом является то, что отображение записанной сессии доступно записывающему устройству. В частности, это выгодно для определения расположения записанных данных, например, файлов в компьютерном приложении, которые были удалены из пользовательских данных управления содержимым, например, согласно файловой системе UDF (универсальной дисковой файловой системе). Когда такой удаленный файл должен быть восстановлен, устройство может обратиться к ранее записанным сессиям для извлечения более ранних версий данных управления содержимым, которые все еще имеют данные о расположении удаленных данных.
Изобретение базируется на следующем понимании. Изобретатели увидели, что значительное количество времени ответа записывающего устройства на запрос доступа к раннее записанной сессии приходится на количество времени, которое требуется для извлечения данных о расположении сессии, к которой будет осуществлен доступ. Затем изобретатели увидели, что время ответа может быть уменьшено посредством записи информации о сессиях в области отображения сессий.
В варианте осуществления устройства средство отображения сконфигурировано для записи последовательных блоков отображения сессий, и последний записанный блок отображения сессий содержит последовательные элементы сессии для каждой закрытой сессии. Преимуществом является то, что самая свежая информация обо всех записанных сессиях доступна в одном блоке отображения сессий. Время ответа устройства при доступе к сессии уменьшается, потому что только последний записанный блок отображения сессий должен быть извлечен и обработан.
Эти и другие аспекты изобретения будут очевидны и объяснены дополнительно со ссылкой на варианты осуществления, описанные для примера в последующем описании со ссылкой на сопроводительные чертежи, на которых
фиг. 1а показывает носитель информации (вид сверху),
фиг. 1б показывает носитель информации (сечение),
фиг. 2 показывает записывающее устройство,
фиг. 3 показывает соответствие ADIP и блоков информации,
фиг. 4 показывает структуру слова ADIP,
фиг. 5 показывает структуру исправления ошибки ADIP,
фиг. 6 показывает правила модуляции ADIP,
фиг. 7 показывает таблицу физической информации диска,
фиг. 8 показывает время коррекции переднего фронта,
фиг. 9 показывает нумерацию секторов носителя информации,
фиг. 10 показывает структуру записанного односессионного диска,
фиг. 11 показывает внутреннюю область диска,
фиг. 12 показывает формат блока отображения сессий,
фиг. 13 показывает элемент сессии,
фиг. 14 показывает индикаторы области записи,
фиг. 15 показывает вводную зону,
фиг. 16 показывает структуру блока управляющих данных,
фиг. 17 показывает выводную зону,
фиг. 18 показывает внешнюю область диска,
фиг. 19 показывает размещение информационной зоны многосессионного диска,
фиг. 20 подробно показывает открытую сессию n,
фиг. 21 показывает общий формат блока управления диска (DCB),
фиг. 22 показывает формат DCB сессии (SDCB),
фиг. 23 показывает элемент зарезервированной области, и
фиг. 24 показывает элемент предыдущей сессии.
Соответствующие элементы на различных фигурах имеют одинаковые ссылочные номера.
Фиг. 1а показывает имеющий форму диска носитель 11 информации, имеющий дорожку 9 и центральное отверстие 10. Дорожка 9, которая является расположением последовательности записанных (или которые должны быть записаны) меток, которые представляют информацию, расположена в соответствии со спиральным узором витков, составляющих по существу параллельные дорожки на информационном слое. Носитель информации, который может считываться оптическим образом, называется оптическим диском, и имеет информационный слой с возможностью записи. Примерами записываемого диска являются CD-R и перезаписываемый компакт-диск (CD-RW) и записываемые версии цифрового универсального диска (DVD), например, перезаписываемого формата DVD+RW. Дополнительные подробности о диске DVD могут быть найдены в документе: ECMA-267:120 mm DVD-Read-Only Disc – (1997). Информация представлена на информационном слое с помощью записи оптически обнаруживаемых меток вдоль дорожки, например, кристаллические или аморфные метки в материале с фазовым переходом. Дорожка 9 на записываемом носителе информации обозначена предварительно вытисненной структурой дорожки, которая обеспечивается во время изготовления пустого носителя информации. Структура дорожки составлена, например, с помощью предварительно сформированной сплошной спиральной канавки 14, которая дает возможность головке записи-считывания следовать за дорожкой во время сканирования. Структура дорожки содержит информацию о расположении, например адрес, для указания расположения единиц информации, обычно называемых блоками информации. Информация о расположении включает в себя определенные метки синхронизации для определения местонахождения начала таких блоков информации. Информация о расположении кодируется в кадрах модулированных вобуляций, как описано ниже.
Фиг. 1b – поперечное сечение по линии b-b носителя 11 информации записываемого типа, в котором прозрачная подложка 15 обеспечивается слоем 16 записи и защитным слоем 17. Защитный слой 17 может содержать дополнительный слой подложки, например, как в случае DVD, где слой записи находится в подложке толщиной 0,6 мм, а дополнительная подложка толщиной 0,6 мм присоединена к его оборотной стороне. Предварительно сформированная сплошная спиральная канавка 14 может быть реализована, как углубление или подъем материала подложки 15, или как изменение свойства материала по сравнению с его окружением.
Носитель 11 информации предназначен для хранения информации, представленной кадрами, содержащими модулированные сигналы. Кадр – предопределенный объем данных, которым предшествует сигнал синхронизации. Обычно такие кадры также содержат коды исправления ошибок, например слова четности. Некоторое количество таких кадров составляет блок информации, при этом блок информации содержит дополнительные слова исправления ошибок. Блок информации – наименьший элемент записи информации, из которого информация может быть надежно извлечена. Пример такой системы записи известен из системы DVD, в которой кадры содержат 172 слова данных и 10 слов четности, и 208 кадров составляют блок кода исправления ошибок (ECC).
В варианте осуществления носителя информации дорожка содержит мультисессионную информацию в соответствии с форматом, описанным ниже со ссылкой на фиг. 19 – 24.
Фиг. 2 показывает записывающее устройство для записи информации на носителе 11 информации записываемого или перезаписываемого типа, например CD-R или CD-RW. Устройство обеспечено средством записи для сканирования дорожки на носителе информации, причем данное средство включает в себя блок 21 привода для вращения носителя 11 информации, головку 22, блок 25 позиционирования для грубой установки головки 22 в радиальном направлении на дорожке и блок 20 управления. Головка 22 содержит оптическую систему известного типа для генерации лазерного луча 24, проходящего через оптические элементы и сфокусированного на пятне 23 лазерного луча на дорожке информационного слоя носителя информации. Лазерный луч 24 генерируется источником лазерного луча, например лазерным диодом. Головка дополнительно содержит (не показан) фокусирующий привод для перемещения фокуса лазерного луча 24 вдоль оптической оси указанного луча и привод слежения для точного позиционирования пятна 23 в радиальном направлении на центре дорожки. Привод слежения может содержать катушки индуктивности для радиального перемещения оптического элемента или, альтернативно, может быть сконфигурирован для изменения угла отражающего элемента. Для записи информации лучом управляют, чтобы с его помощью создать оптически обнаруживаемые метки на слое записи. Для считывания лазерный луч, отраженный от информационного слоя, обнаруживается датчиком обычного типа, например, четырехэлементным диодом, расположенным в головке 22 для генерации сигнала считывания и сигналов других датчиков, которые включают в себя сигнал ошибки слежения и ошибки фокусирования для управления указанными приводами слежения и фокусирования. Сигнал считывания обрабатывается блоком 30 обработки считывания обычного типа, который включает в себя демодулятор, блок обратного форматирования и блок вывода для извлечения информации. Соответственно средство извлечения для считывания информации включает в себя блок привода 21, головку 22, блок 25 позиционирования и блок 30 обработки считывания. Устройство содержит средство обработки записи для обработки входной информации для генерации сигнала записи на головку 22, причем данное средство содержит входной блок 27 и средство модулятора, содержащее блок 28 форматирования и модулятор 29. Блок 20 управления управляет записью и извлечением информации и может быть сконфигурирован для приема команд от пользователя или от главного компьютера. Блок 20 управления связан через линии 26 управления, например через системную шину, с указанным входным блоком 27, блоком 28 форматирования и модулятором 29, с блоком 30 обработки считывания, с приводом 21 диска и с блоком 25 позиционирования. Блок 20 управления содержит схемы управления, например, микропроцессор, память программ и управляющие логические элементы для выполнения процедур и функций согласно изобретению, как описано ниже со ссылкой на фиг. 3 – 24. Блок 20 управления может также быть воплощен как конечный автомат в логических схемах. Во время операции записи метки, представляющие информацию, формируются на носителе информации. Метки могут иметь любую оптически считываемую форму, например, быть в форме областей с коэффициентом отражения, отличным от их окружения, полученных при записи в таких материалах, как материалы, которые меняют цвет, химический состав или фазу, или в форме областей с направлением намагничивания, отличным от их окружения, полученных при записи в магнитооптическом материале. Запись и считывание информации для записи на оптических дисках и используемые правила форматирования, исправления ошибок и канального кодирования известны из предшествующего уровня техники, например из системы компакт-диска. Метки могут быть сформированы с помощью пятна 23, сгенерированного на слое записи с помощью луча 24 электромагнитного излучения, обычно испускаемого лазерным диодом. Пользовательская информация представлена на входном блоке 27, который может содержать средство сжатия входных сигналов, таких как аналоговый аудио и/или видео сигнал, или цифровой несжатый аудио/видео сигнал. Подходящее средство сжатия описано для аудиосигнала в документе WO 98/16014-A1 (PHN 16452), а для видеосигнала – в стандарте MPEG2 (стандарт сжатия движущегося изображения). Входной блок 27 обрабатывает аудио- и/или видеосигналы в элементы информации, которые передают к блоку 28 форматирования для добавления управляющих данных и для форматирования данных согласно формату записи (как описано ниже), например, добавляя коды исправления ошибок (ECC) и/или используя перемежение. Для компьютерных приложений элементы информации могут передаваться к блоку 28 форматирования непосредственно. Отформатированные данные с выхода блока 28 форматирования передают к блоку 29 модуляции, который содержит, например, канальный кодер, для генерации модулированного сигнала, который активирует головку 22. Дополнительно блок 29 модуляции содержит средство синхронизации, предназначенное для того, чтобы модулированный сигнал включал в себя последовательность синхронизирующих импульсов. Отформатированные элементы передаются на вход блока 29 модуляции, который содержит информацию адреса, и записываются в соответствующих адресуемых местах на носителе информации под управлением блока 20 управления. Блок управления сконфигурирован для записи и извлечения информации о расположении, служащей индикатором расположения записанных информационных томов. Данное устройство содержит средство отображения, включающее в себя блок 31 отображения, соединенный с блоком 20 управления, и средство обнаружения, включающее в себя блок 32 обнаружения, соединенный с блоком 20 управления и блоком 31 отображения. Блок 31 отображения имеет выход 33, присоединенный к блоку 28 форматирования для записи блоков отображения сессий в зоне отображения сессий, как описано ниже. Блок 32 обнаружения имеет вход 34, присоединенный к блоку 30 считывания для обнаружения блоков отображения сессий в зоне отображения сессий. Блок 32 обнаружения присоединен к блоку 31 отображения для передачи данных от обнаруженных блоков отображения сессий для генерации новых блоков отображения сессий, которые включают в себя существующие данные. Блок 31 отображения сконфигурирован для определения расположения записанного информационного тома, также названного сессией, в особенности начальный и конечный адреса каждой закрытой сессии. Сначала сессия открывается с помощью записи зоны открытия, затем пользовательские данные могут записываться с помощью множества команд записи, и наконец сессия закрывается с помощью заполнения всех оставшихся пустых областей и записи блоков управления сессии и закрывающей части в зоне окончания этого тома, как описано ниже.
В варианте осуществления устройства блок отображения сконфигурирован для записи последовательных блоков отображения сессий. Когда сессия завершается, записывается следующий блок отображения сессий, который содержит элемент сессии для каждой закрытой сессии, как описано ниже со ссылкой на фиг. 12 и 13.
Практический вариант осуществления системы для записи информации согласно изобретению является следующим. Система определяет механические, физические и оптические характеристики записываемых оптических дисков диаметром 120 мм с емкостью 4,7 Гбайт и 9,4 Гбайт. Она определяет качество записанных и незаписанных сигналов, формат данных и способ записи, таким образом допуская обмен информацией с помощью таких дисков. Данные могут записываться однократно и считываться многократно, используя необратимый способ. Эти диски идентифицируются как DVD+R. Форма дорожки является следующей. Область записи, называемая “информационной зоной”, должна содержать дорожки, сформированные одной спиральной канавкой. Каждая дорожка должна формироваться оборотом на 360° непрерывной спирали. Записи должны быть сделаны в данной канавке. Дорожки в информационной зоне содержат фазово-модулированное синусоидальное отклонение от номинальной средней линии, называемое вобуляцией, которая содержит информацию адресации, которая называется “адрес на предварительно сформированной сплошной спиральной канавке” или ADIP. Дорожки должны быть непрерывными в информационной зоне. Дорожки должны начинаться с радиуса 22,0 мм как максимум и заканчиваться как минимум на радиусе 58,50 мм. Траектория дорожки должна быть непрерывной спиралью от внутренней части (начало “вводной зоны”) к внешней части (конец “выводной зоны”), когда диск вращается против часовой стрелки, если смотреть со стороны оптической головки. Шаг дорожки – расстояние, измеренное между усредненными средними линиями смежных дорожек, измеренное в радиальном направлении. Шаг дорожки должен быть 0,74 мкм ± 0,03 мкм. Среднее значение шага дорожки по информационной зоне должно быть 0,74 мкм ± 0,01 мкм. Вобуляция дорожек – синусоидальное отклонение от номинальной средней линии, с длиной волны 4,2656 мкм ± 0,0450 мкм (эквивалентно 32 канальным битам). Суммарное значение коэффициента нелинейных искажений (THD) генератора для генерации волновой синусоидальной вобуляции должно быть -40 децибелов. Данная вобуляция модулируется по фазе с помощью инвертирования циклов вобуляции. Информацию, которая содержится в модуляции вобуляции, называют “адрес на предварительно сформированной сплошной спиральной канавке” или ADIP.
Фиг. 3 показывает выравнивание ADIP и блоков информации. Блоки 37 информации, подлежащие записи на диск, должны быть выровнены с информацией 39 ADIP, модулированной в вобуляции 38. Показано, что 93 вобуляции соответствуют 2 кадрам синхронизации, которые являются началом блока информации. Из каждых 93 вобуляций, 8 вобуляций модулируют по фазе с помощью информации ADIP. Дополнительно 1 вообуляция равняется 32 канальным битам (= 32Т) и один элемент ADIP = 8 модулированным вобуляциям на 2 кадра синхронизации.
Фиг. 4 показывает структуру слова ADIP. 52 элемента ADIP сгруппированы в одно слово ADIP. Это означает, что одно слово ADIP передает 4 × 13 × 2 кадра синхронизации = 4 физических сектора. Каждое слово ADIP состоит из: 1 элемент синхронизации ADIP + 51 элемент данных ADIP. Элемент синхронизации ADIP = 4 инвертированные вобуляции для слова синхронизации + 4 монотонные вобуляции. Элемент данных ADIP = 1 инвертированная вобуляция для бита синхронизации + 3 монотонные вобуляции + 4 вобуляции, представляющие один бит данных (см. 0).
Информация, содержащаяся в битах данных слова ADIP, является следующей:
бит 1: этот бит зарезервирован и должен быть установлен в ноль;
биты 2-23: эти 22 бита содержат физический адрес.
Информационный разряд 2 – старший значащий бит (MSB) и информационный разряд 23 – младший значащий бит (LSB). Адреса увеличиваются на единицу для каждого следующего слова ADIP. Первый адрес в информационной зоне должен быть таким, что физический адрес (00C000) расположен на радиусе мм;
биты 24-31: эти 8 битов содержат вспомогательную информацию о диске, например, информацию управления записью. В зоне данных и выводной зоне диска вспомогательные байты должны быть установлены в (00). Во вводной зоне диска вспомогательные байты должны использоваться следующим образом: биты 24-31 из 256 последовательных слов ADIP должны формировать один вспомогательный кадр ADIP с 256 байтами информации. Первый байт каждого вспомогательного кадра ADIP должен быть расположен в слове ADIP с физическим адресом, который кратен 256 (физический адрес = (xxxx00)). Содержимое этих 256 байтов определено на фиг.7;
биты 32-51: эти 20 битов содержат биты четности для исправления ошибок для ADIP информации.
Фиг. 5 показывает структуру исправления ошибок ADIP. Для исправления ошибок ADIP биты данных ADIP сгруппированы в слоги из 4 битов. Отображение информационных разрядов в массив слогов описано на фиг.5. Бит 0 – фиктивный бит, который должен рассматриваться, как установленный в ноль для блока коррекции ошибок.
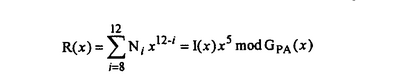
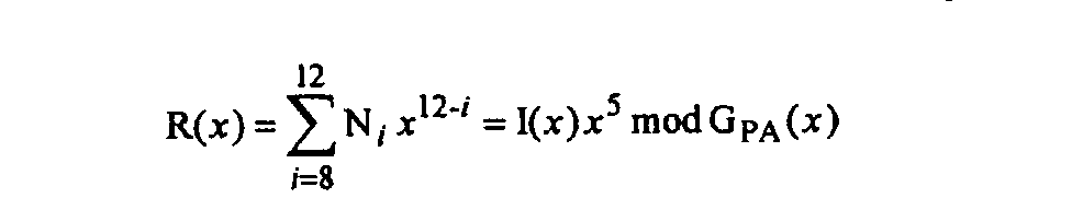
Создается основанный на слоге код Рида-Соломона (13,8,6), из которого 5 слогов четности с N8 по N12 определяются полиномиальным остатком R (x):

где

– первообразный корень 0010 из примитивного многочлена P(x) = x4 + x + 1.
Все биты 5 слогов четности с N8 по N12 должны быть инвертированы перед записью.
Фиг. 6 показывает правила модуляции ADIP. Элементы ADIP модулируются посредством инвертирования некоторых из 8 циклов вобуляций. Фиг. 6a показывает модуляцию слова синхронизации ADIP, фиг. 6b показывает модуляцию нулевого бита ADIP и фиг. 6c показывает модуляцию единичного бита ADIP, на которых
– PW – положительная вобуляция, начало движения по которой направлено к внутренней части диска;
– NW – отрицательная вобуляция, начало движения по которой направлено к внешней стороне диска;
– все монотонные вобуляции обозначены как PW.
Фиг. 7 показывает таблицу физической информации диска.
Физическая информация диска кодируется в ADIP как описано выше. Эта информация должна содержать 256 байтов, показанных на фиг. 7. Она содержит информацию о диске и значения, используемые для алгоритма оптимального управления мощностью (OPC) для определения оптимального уровня мощности лазера для записи. Данная информация копируется в записываемую зону, которая называется “управляющими данными”, во время инициализации диска. Содержимое этих данных следующее.
Байт 0 – категория диска и номер версии.
Биты b7 – b4 должны определять категорию диска, они должны быть установлены в 1010, указывая диск DVD+R.
Биты b3 – b0 должны определять номер версии, они должны быть установлены в 0000, указывая данную версию.
Байт 1 – размер диска и максимальная скорость передачи.
Биты b7 – b4 должны определять размер диска, они должны быть установлены в 0000, указывая на диск диаметром 120 мм.
Биты b3 – b0 должны определять максимальную скорость передачи при чтении, они должны быть установлены в 1111, указывая, что максимальная скорость передачи при чтении не указана.
Байт 2 – структура диска.
Биты b7 – b4 должны быть установлены в 0000.
Биты b3 – b0 определяют тип слоя (слоев) записи: они должны быть установлены в 0010, указывая слой записи с однократной записью.
Байт 3 – плотность записи.
Биты b7 – b4 должны определять среднюю длину канальных битов в информационной зоне, они должны быть установлены в 0000, указывая 0,133 мкм.
Биты b3 – b0 должны определять средний шаг дорожки, они должны быть установлены в 0000, указывая средний шаг дорожки 0,74 мкм.
Байты 4 – 15 – распределение зоны данных.
Байт 4 должен быть установлен в (00).
Байты 5 – 7 должны быть установлены в (030000), определяя PSN 196608 первого физического сектора зоны данных.
Байт 8 должен быть установлен в (00).
Байты 9 – 11 должны быть установлены в (26053F), определяя PSN 2491711, как последний возможный физический сектор зоны данных.
Байты 12 – 15 должны быть установлены в (00).
Байт 16 – должен быть установлен в (00).
Байты 17 – 18 зарезервированы. Эти байты зарезервированы и должны быть установлены в (00).
Байты 19 – 26 – идентификатор изготовителя дисков. Эти 8 байтов должны идентифицировать изготовителя диска. Конечные, не используемые байты должны быть установлены в (00).
Байты 27 – 29 – идентификатор типа носителя. Изготовители дисков могут изготавливать различные типы носителей, которые должны определяться этими 3 байтами. Определенный тип диска обозначен в этой области.
Байт 30 – номер модификации изделия. Этот байт должен идентифицировать номер модификации изделия в двоичном виде. Все диски с тем же самым идентификатором изготовителя диска и тем же самым идентификатором изделия, независимо от номера модификации изделия, должны иметь те же самые свойства записи (допускаются только незначительные различия: номера модификации изделия должны быть несущественны для записывающих устройств). Если не используется, этот байт должен быть установлен в (00).
Байт 31 – количество используемых байтов информации физического формата. Этот байт формирует одно 8-битное двоичное число, указывающее количество байтов, фактически используемое для информации физического формата. Он должен быть установлен в (36), указывая, что используются только первые 54 байта информации физического формата.
Байт 32 – базовая скорость записи. Этот байт указывает самую низкую возможную скорость записи диска, которая упоминается также как базовая скорость, как число n, такое, что n = 10 × Vref (n округляется к целому значению). Он должен быть установлен в (23), указывая базовую скорость записи 3,49 м/с.
Байт 33 – максимальная скорость записи. Этот байт указывает самую высокую возможную скорость записи диска, как число n, такое, что n = 10 × Vref (n округляется к целому значению). Он должен быть установлен в (54), указывая максимальную скорость записи 8,44 м/с.
Байт 34 – длина волны IND. Этот байт должен определять длину волны лазера в нанометрах, с которой оптимальные параметры записи в следующих байтах были определены, как число n, такое, что n = длина волны – 600.
Байт 35 зарезервирован.
Байт 36 – максимальная мощность считывания, Pr, при базовой скорости. Этот байт должен определять максимальную мощность Pr считывания в милливаттах при базовой скорости как число n, такое, что n = 20 × (Pr – 0,7).
Байт 37 – PIND при базовой скорости. PIND – начальное значение для определения Ppo, используемого в алгоритме OPC. Этот байт должен определять показательное значение PIND Ppo в милливаттах при базовой скорости как число n, такое, что n = 20 × (PIND – 5).
Байт 38 – target при базовой скорости. Этот байт должен определять целевое значение для , target при базовой скорости, используемое в алгоритме OPC как число n, такое, что
n = 10 × target.
Байт 39 – максимальная мощность считывания, Pr при максимальной скорости. Этот байт должен определять максимальную мощность Pr считывания в милливаттах при максимальной скорости как число n, такое, что
n = 20 ×(Pr – 0,7).
Байт 40 – PIND при максимальной скорости. PIND – начальное значение для определения Ppo, используемого в алгоритме OPC. Этот байт должен определять показательное значение PIND Ppo в милливаттах при максимальной скорости как число n, такое, что
n = 20 ×(PIND – 5).
Байт 41 – target при максимальной скорости. Этот байт должен определять целевое значение для , target при максимальной скорости, используемой в алгоритме OPC, как число n, такое, что
n = 10 × target.
Байт 42 – Ttop ( 4) длительность первого импульса для текущей метки (ТМ) 4 при базовой скорости. Этот байт должен определять длительность первого импульса последовательности импульсов, когда текущая метка является меткой 4T или большей меткой для записи при базовой скорости. Значение выражено в долях тактового периода канального бита как число n, такое, что
n = 16 × Ttop/Tw и 4 n 40.
Байт 43 – Ttop (= 3) длительность первого импульса для текущей метки = 3 при базовой скорости. Этот байт должен определять длительность первого импульса последовательности импульсов, когда текущей меткой является метка 3T для записи при базовой скорости. Значение выражено в долях тактового периода канального бита как число n, такое, что
n = 16 × Ttop/Tw и 4 n 40.
Байт 44 – Tmp длительность последовательности импульсов при базовой скорости. Этот байт должен определять длительность со 2-ого импульса по последний импульс последовательности импульсов для записи при базовой скорости. Значение выражено в долях тактового периода канального бита как число n, такое, что
n = 16 × Tmp/Tw и 4 n 16.
Байт 45 – Tlp длительность последнего импульса при базовой скорости. Этот байт должен определять длительность последнего импульса последовательности импульсов для записи при базовой скорости. Значение выражено в долях тактового периода канального бита как число n, такое, что
n = 16 × Tlp/Tw и 4 n 24.
Байт 46 – dTtop опережение первого импульса при базовой скорости. Этот байт должен определять опережение первого импульса последовательности импульсов относительно заднего фронта второго канального бита импульса данных для записи при базовой скорости. Значение выражено в долях тактового периода канального бита как число n, такое, что
n = 16 × dTtop/Tw и 0 n 24.
Байт 47 – dTle коррекция переднего фронта первого импульса для предыдущего пробела (отсутствия сигнала) (ПОС)= 3 при базовой скорости. Биты 7 – 4 из этого байта должны определять коррекцию переднего фронта для 1-ого импульса последовательности импульсов, когда предыдущий пробел был пробелом 3T для записи при базовой скорости. Значение выражено в долях тактового периода канального бита в соответствии с фиг. 8.
Байт 48 – Ttop ( 4) длительность первого импульса для текущей метки 4 при максимальной скорости. Этот байт должен определять длительность первого импульса последовательности импульсов, когда текущая метка является меткой 4T или большей меткой для записи при максимальной скорости. Значение выражено в долях тактового периода канального бита как число n, такое, что
n =16 × Ttop/ Tw и 4 n 40.
Байт 49 – Ttop (3) длительность первого импульса для текущей метки = 3 при максимальной скорости. Этот байт должен определять длительность первого импульса последовательности импульсов, когда текущая метка является меткой 3T для записи при максимальной скорости. Значение выражено в долях тактового периода канального бита как число n, такое, что
n =16 × Ttop/Tw и 4 n 40.
Байт 50 – Tmp длительность последовательности импульсов при максимальной скорости. Этот байт должен определять длительность со 2-ого импульса до последнего импульса последовательности импульсов для записи при максимальной скорости. Значение выражено в долях тактового периода канального бита как число n, такое, что
n =16 × Tmp/Tw и 4 n 16.
Байт 51 – Tlp длительность последнего импульса при максимальной скорости. Этот байт должен определять длительность последнего импульса последовательности импульсов для записи при максимальной скорости. Значение выражено в долях тактового периода канального бита как число n, такое, что
n = 16 × Tlp/Tw и 4 n 24.
Байт 52 – dTtop опережение первого импульса при максимальной скорости. Этот байт должен определять опережение первого импульса последовательности импульсов относительно заднего фронта второго канального бита импульса данных для записи при максимальной скорости. Значение выражено в долях тактового периода канального бита как число n, такое, что
n = 16 × Ttop/Tw и 0 n 24.
Байт 53 – dTle коррекция переднего фронта первого импульса для предыдущего пробела = 3 при максимальной скорости. Биты 7 – 4 из этого байта должны определять коррекцию переднего фронта для 1-ого импульса последовательности импульсов, когда предыдущий пробел был пробелом 3T для записи при максимальной скорости. Значение выражено в долях тактового периода канального бита согласно фиг. 8.
Байты 54 – 255 зарезервированы – все (00). Все эти байты должны быть установлены в (00).
Фиг. 8 показывает время коррекции переднего фронта. Параметр называют dTle и он описан выше на фиг. 7 в байте 47. Биты с 3 по 0 этого байта должны быть установлены в 0000. Неуказанные комбинации битов не должны использоваться.
Фиг. 9 показывает нумерацию секторов носителя информации. Область записи называют информационной зоной. Информационная зона должна содержать всю информацию на диске, значимую для обмена данными. Информационная зона может содержать одну или более сессий. Каждая сессия должна быть разделена на три части: вводная зона / зона открытия, зона данных и выводная зона / зона закрытия. На двусторонних дисках существует одна информационная зона на каждой стороне. Зоны данных предназначены для записи пользовательских данных. Вводная зона содержит информацию управления. Выводная зона делает возможным непрерывный плавный вывод и также содержит информацию управления. Внутренняя и внешняя области диска предназначены для тестирования диска. Описание дается для односессионного диска. В таком диске вводная зона, зона данных и выводная зона составляют область записи, в которой информация записывается, используя необратимый эффект. Структура многосессионного диска будет определена позже.
Фиг. 10 показывает структуру записываемого односессионного диска. Информационная зона односторонних дисков и каждой стороны двусторонних дисков подразделяется на внутреннюю область диска, вводную зону, зону данных, выводную зону и внешнюю область диска. Радиусы указаны для зон с помощью номинальных значений центра первой (или последней) дорожки зоны. Показаны номера физических секторов (PSN) первого физического сектора каждой зоны. Зона данных должна иметь первый PSN (030000). Номера PSN увеличиваются на 1 для каждого следующего физического сектора во всей информационной зоне.
Фиг. 11 показывает внутреннюю область диска. Внутренняя область диска – самая внутренняя зона диска, которая используется диском для выполнения тестирования диска и алгоритмов OPC. Номер физического сектора первого и последнего физического сектора каждой части указан в шестнадцатеричном и десятичном представлении, а количество физических секторов в каждой части обозначено в десятичном виде. Показано следующее разделение.
– Начальная зона: эта зона должна оставаться пустой.
– Внутренняя зона тестирования диска: 16384 физических сектора, которые зарезервированы для тестирования диска и OPC.
– Внутренняя зона счетчика диска: 4096 физических секторов, зарезервированных для подсчета количества алгоритмов OPC, выполненных во внутренней зоне тестирования диска. Всякий раз, когда блок ECC или его часть записываются во внутренней зоне тестирования диска, блок ECC должен быть помечен посредством записи 4 физических секторов во внутренней зоне счетчика диска.
– Внутренняя зона администрирования диска: 4096 физических секторов, которые используются для дополнительной зависящей от диска информации. Первые 16 физических секторов этой зоны должны быть заполнены основными данными, установленными в (00). Внутренняя зона администрирования диска содержит информацию об устройстве, например идентификатор устройства, и данные, которые определяются изготовителем устройства.
– Зона отображения сессий: 4096 физических секторов для хранения информации о расположении сессий и записей на диске. Первые 16 физических секторов этой зоны должны быть заполнены всеми основными данными, установленными в (00). Эта зона состоит из 2 частей:
часть 1: состоит из 191 блока ECC, которые называют блоками отображения сессий (SEM), которые используются для хранения расположения всех закрытых сессий,
часть 2: состоит из 1024 физических секторов, сгруппированных в модулях по 4 сектора, причем каждый модуль соответствует одному слову ADIP. Эти модули должны использоваться в качестве индикаторов области записи.
Фиг. 12 показывает формат блока отображения сессий (SEM). Всякий раз, когда сессия закрывается, следующий блок ECC должен записываться в зоне отображения сессий сразу после последнего SEM с расположением всех закрытых сессий. Первый блок ECC в зоне отображения сессий должен использоваться в качестве запускающего для второго блока ECC. Если все 191 блоков использовали, то дополнительные сессии все еще можно добавить, однако устройство должно будет применять процедуру поиска для того, чтобы найти дополнительные сессии. Данная фигура показывает следующее содержимое SEM для каждого физического сектора:
Физический сектор 0 / байты D0 – D3 – описатель содержимого. Эти байты идентифицируют DCB сессии и должны быть установлены в (544F4300), представляя символы “SDC” и номер версии 0.
Физический сектор 0 / байты D4 – D7 – зарезервированы. Должны быть установлены в (00).
Физический сектор 0 / байты D8 – D39 – идентификатор устройства. Эти байты должны содержать идентификатор устройства.
Физический сектор 0 / байты D40 – D63 – зарезервированы. Должны быть установлены в (00).
Физический сектор 0 / байты D64 – D2047 – элементы сессии. Эти байты сгруппированы в модули по 16 байтов каждый. Каждый модуль из 16 байтов может содержать элемент сессии согласно фиг. 13. Все неиспользуемые байты должны быть установлены в (00).
Фиг. 13 показывает элемент сессии. Блок отображения сессий (SEM) должен содержать элемент сессии для каждой закрытой сессии на диске. Элементы сессии должны упорядочиваться по увеличению номеров и адресов следующим образом:
байт B0 – B2: эти 3 байта идентифицируют тип элемента и должны быть установлены в (53.53.4E), представляя символы “SSN”,
байт B3: этот байт должен определять последовательный номер сессии, указанной в этом элементе,
байты B4 – B7: эти 4 байта должны определять PSN первого физического сектора в зоне данных сессии, указанной в этом элементе,
байты B8 – B11: эти 4 байта должны определять PSN последнего физического сектора в зоне данных сессии, указанной в этом элементе,
байты B12 – B15: эти 4 байта зарезервированы и должны быть установлены в (00).
Фиг. 14 показывает индикаторы области записи (RAI). Последняя часть зоны SEM для записи блоков 61 SEM показана схематично. Область 60 отображения расположена в конце зоны SEM. Следующая зона, т.е. защитная зона 62, показана с правой стороны. Область отображения записывают, начиная c самого старшего адреса. Записанная часть 64 указывает записанные секции области записи и незаписанная часть 63 указывает незаписанные секции. Для ускорения доступа к диску записывающее устройство должно знать, в какой секции диска может быть найден последний записанный блок ECC. Для этой цели область отображения определяют на основе записанных областей с размером 4 физических сектора, причем каждая область соответствует одному слову ADIP. Эти области должны быть записаны случайными сигналами EFM (модулированными посредством преобразования первичного 8-разрядного кода в 14-разрядный). Промежутки между записанными словами ADIP не разрешаются. Для этой цели зарезервированы 1024 физических сектора, позволяя делить диск максимально на 256 секций. Индикаторы области записи должны использоваться от внешней стороны зоны SEM к внутренней стороне зоны SEM. Посредством “высокочастотного обнаружения” устройство записи может найти местоположение начала индикаторов области записи и определить секцию, в которой может быть найден последний записанный блок ECC. Каждая секция из 640 блоков ECC между PSN =(030000) и PSN =(26053F) соответствует одному индикатору области записи. Все секции до последнего записанного блока ECC включительно должны быть обозначены своим индикатором области записи. В математической форме: если первый индикатор области записи составлен из физических секторов с PSNRAI по PSNRAI + 3, тогда последний записанный блок ECC может быть найден между:
PSN ={(02A47C)-(PSNRAI)}×(A0)+(030000) и
PSN ={(02A47C)-(PSNRAI)}×(A0)+(030280)
или в десятичном обозначении:
PSN ={173180-PSNRAI}× 160 + 196608 и
PSN ={173180-PSNRAI}× 160 + 197248.
Фиг. 15 показывает вводную зону. Вводная зона расположена с внутренней стороны информационной зоны. Неиспользованный диск не имеет данных, записанных во вводной зоне. После завершения диска или закрытия первой сессии должна записываться вводная зона, как описано ниже. Фиг. 15 показывает зоны и адреса следующим образом (примечания, как для фиг. 11).
– Зона защиты 1: зона защиты используется для создания минимального объема вводной зоны, требуемой для совместимости. Эта зона должна содержать 14 848 физических секторов, заполненных основными данными, установленными в (00).
– Зарезервированная зона 1: 4096 физических секторов зарезервированы и должны быть установлены в (00).
– Зарезервированная зона 2: 64 физических сектора зарезервированы и должны быть установлены в (00).
– Внутренняя зона идентификации диска: 256 физических секторов, зарезервированных для информации, согласованной сторонами, которые обмениваются данными. Каждый набор из 16 физических секторов из одного блока ECC является или управляющим блоком диска (DCB), или записан основными данными со всеми (00). Каждый блок ECC в этой зоне, следующий после блока, записанного основными данными со всеми (00), должен также записываться основными данными со всеми (00).
– Зарезервированная зона 3: 64 физических сектора зарезервированы и должны быть установлены в (00).
– Зона эталонного кода: записанная зона эталонного кода должна состоять из 32 физических секторов двух блоков ECC, которые генерируют определенную комбинацию канальных битов на диске. Это должно быть достигнуто, устанавливая в значение (AC) все 2048 байтов основных данных каждого соответствующего кадра данных. Кроме того, скремблирование не должно применяться к этим кадрам данных, за исключением первых 160 байтов основных данных первого кадра данных каждого блока ECC.
– Буферная зона 1: эта зона должна состоять из 480 физических секторов из 30 блоков ECC. Все основные данные кадров данных в этой зоне должны быть установлены в (00).
– Зона управляющих данных: эта зона должна состоять из 3072 физических секторов из 192 блоков ECC. Содержимое 16 физических секторов каждого блока ECC повторяется 192 раза.
– Буферная зона 2: эта записанная зона должна состоять из 512 физических секторов из 32 блоков ECC. Все основные данные кадров данных в этой зоне должны быть установлены в (00).
Фиг. 16 показывает структуру блока управляющих данных. Первые 2048 байтов составляют информацию физического формата, содержимое которого показано на фиг. 7. Следующие 2048 байтов составляет информация производителя диска. Последние 14 × 2048 байтов доступны для информации поставщика контента (информационно значимого наполнения). В варианте осуществления устройства 28672 байта информации поставщика контента установлены в ноль (00). Данные, принимаемые от главного компьютера, блокируются и не записываются в этой области. Это предохраняет данные конфиденциального характера, подлежащие записи на него, например, ключей расшифровки для декодирования видеоинформации видеодиска DVD. Информация физического формата содержит информацию о формате и диске. Информация в байтах от 0 до 255 должна копироваться со вспомогательных данных ADIP во время завершения диска или закрытия первой сессии, и должна отражать фактическое состояние диска или первой сессии (например, фактический конец зоны данных). Все 256 байтов имеют такое же описание и содержимое, как информация физического диска, описанная на фиг. 7, кроме следующих байтов.
Байт 0 – категория диска и номер версии.
Биты b7 – b4 должны определять категорию диска, указывая на диск DVD + R.
Биты b3 – b0 должны определять номер версии системного описания.
Байт 1 – устанавливает размеры диска и максимальную скорость передачи.
Биты b7 – b4 должны определять размер диска, они должны быть установлены в 0000, указывая диск диаметром 120 мм.
Биты b3 – b0 должны определять максимальную скорость передачи при считывании.
Эти биты могут быть установлены в одно из следующих значений, в зависимости от максимальной скорости считывания, необходимой приложениям:
0000: максимальная скорость передачи 2,52 Мбит/с
0001: максимальная скорость передачи 5,04 Мбит/с
0010: максимальная скорость передачи 10,08 Мбит/с
1111: максимальная скорость передачи не определена.
Все другие комбинации зарезервированы и не должны использоваться.
Байт 2 – структура диска.
Биты b7 – b4 должны быть установлены в 0000.
Биты b3 – b0 должны определять тип слоя (слоев) записи: они должны быть установлены в 0010, указывая слой записи с однократной записью.
Байты 4 – 15 – распределение зоны данных.
Байт 4 должен быть установлен в (00).
Байты 5 – 7 должны быть установлены в (030000), чтобы определять номер физического сектора (PSN), равный 196608, для первого физического сектора зоны данных.
Байт 8 должен быть установлен в (00).
Байты 9 – 11 должны определять номер последнего физического сектора зоны данных для первой сессии.
Байты 12 – 15 должны быть установлены в (00).
Байты 256 – 2047 – зарезервированы. Эти оставшиеся байты не имеют никакого отношения к информации ADIP и должны быть установлены в ноль (00).
Фиг. 17 показывает выводную зону. Наверху показана зона 70 данных, предназначенная для записи пользовательских данных. Зона данных имеет 2295104 физических секторов области пользовательских данных. Радиус начала зоны данных определяется физическим адресом ADIP (00C000). После зоны данных следует выводная зона. Выводная зона расположена с внешней стороны информационной зоны. Фиг. 17 показывает следующие части.
– Буферная зона 3: эта записываемая зона должна состоять из 768 физических секторов. Последний возможный адрес начала буферной зоны 3 – (260540). Все основные данные кадров данных в этой зоне должны быть установлены в (00).
– Внешняя зона идентификации диска: 256 физических секторов, зарезервированных для информации, согласованной сторонами, обменивающимися данными. Каждый набор из 16 физических секторов одного блока ECC является или управляющим блоком диска (DCB), или записывается основными данными, равными (00). Содержимое этой зоны должно быть эквивалентно содержимому последней внутренней зоны идентификации сессии (или содержимому внутренней зоны идентификации диска в случае односессионного диска).
– Зона защиты 2: данная зона защиты используется в качестве защиты для отделения записываемой зоны тестирования от информационных зон, содержащих пользовательские данные. Эта зона должна быть заполнена основными данными, установленными в (00). Эта зона должна содержать как минимум 4096 физических секторов.
– Внешняя область диска: внешняя область диска – наиболее удаленная зона диска, которая используется диском для выполнения тестирования диска и алгоритмов OPC.
Фиг. 18 показывает внешнюю область диска, начиная с зоны защиты 2. Показаны следующие части.
– Внешняя зона администрирования диска: 4096 физических секторов, которые используются для дополнительной зависящей от диска информации. Первые 16 физических секторов этой зоны должны быть заполнены основными данными, которые все установлены в (00). Эта зона может использоваться тем же самым способом, как внутренняя зона администрирования диска (см. 0).
– Внешняя зона счетчика диска: 4096 физических секторов, зарезервированных для подсчета количества алгоритмов OPC, выполненных во внешней зоне тестирования диска.
– Внешняя зона тестирования диска: 16384 физических сектора, зарезервированные для тестирования диска и алгоритмов OPC. Всякий раз, когда блок ECC или его часть записывается во внешней зоне тестирования диска, блок ECC должен быть помечен посредством записи 4 физических секторов во внешней зоне счетчика диска.
– Зона защиты 3: эта зона должна оставаться пустой.
Фиг. 19 показывает распределение информационной зоны мультисессионного диска. На таком диске может существовать больше, чем одна сессия; показаны сессия 1, сессия 2 и последняя сессия N. Сессию с зонами открытия и закрытия называют закрытой сессией. Первой сессии будет предшествовать вводная зона вместо зоны открытия, за заключительной сессией должна следовать выводная зона вместо зоны закрытия. Когда выводная зона была записана, диск называют “завершенным”, и дополнительные записи на диск не должны позволяться. Сессию без зон открытия и закрытия называют открытой сессией. Все сессии должны быть закрытыми сессиями, за исключением последней, которая может быть открытой сессией. Пользовательские данные могут добавляться только к открытой сессии. Если все сессии закрыты, то можно добавить новую открытую сессию. Первая закрытая сессия на диске должна иметь вводную зону, как описано на фиг. 15. Последующие закрытые сессии должны иметь зону открытия, как определено ниже. Каждая закрытая сессия должна иметь зону закрытия, как определено ниже, за исключением заключительной сессии, которая должна иметь выводную зону, как описано по отношению к фиг. 17.
Каждая новая сессия, которая располагается после первой сессии, которая начинается в PSN 30000, должна начинаться с зоны открытия. Зона состоит из буферной зоны A, внутренней зоны идентификации сессии, зоны данных управления сессии и буферной зоны B. Все физические сектора в зоне открытия должны иметь биты b27 – b26 кадра данных, установленные в два ноля, идентифицируя зону открытия, как будто это зона данных, как описано со ссылкой на фиг. 9. Буферная зона состоит из 64 физических секторов, которые должны быть установлены в (00). Внутренняя зона идентификации сессии состоит из 256 физических секторов, зарезервированных для информации, согласованной сторонами, которые обмениваются данными. Каждый набор из 16 физических секторов из одного блока ECC является или блоком управления диска (DCB) (см. фиг. 21), или записан основными данными со всеми (00). Каждый блок ECC в этой зоне, который следует за блоком, записанным всеми (00) основными данными, должен также быть записан основными данными со всеми (00). Зона данных управления сессии состоит из 640 физических секторов из 40 блоков ECC. Содержимое 16 физических секторов каждого блока ECC повторяется 40 раз. Структура блока управляющих данных должна быть такой, как показано на фиг. 16. Наконец буферная зона B состоит из 64 физических секторов, которые должны быть установлены в (00).
Каждая сессия должна заканчиваться зоной закрытия, состоящей из двух частей: буферной зоны C и внешней зоны идентификации сессии. Все физические сектора в зоне закрытия должны иметь биты b27 – b26 кадра данных, установленные в два ноля, идентифицируя зону закрытия, как будто это зона данных. Буферная зона C состоит из 768 физических секторов, которые должны быть установлены в (00). Внешняя зона идентификации сессии состоит из 256 физических секторов, зарезервированных для информации, согласованной сторонами, которые обмениваются данными. Каждый набор из 16 физических секторов из одного блока ECC является или блоком управления диска (DCB) (см. фиг. 21), или записан основными данными со всеми (00). Содержимое этой зоны должно быть эквивалентно содержимому последней внутренней зоны идентификации.
Однократно записываемые носители информации согласно изобретению, например, диски DVD+R, будут записываться последовательно от внутренней части диска к внешней части диска. Совместимость с устройствами только для воспроизведения может достигаться, только когда диск имеет вводную зону, все сессии были закрыты, и между началом вводной зоны и концом последней зоны закрытия или выводной зоны нет пустых областей.
Фиг. 20 подробно показывает открытую сессию n. Новые данные можно добавлять к диску, добавляя данные к открытой сессии. Если все сессии были закрыты, то должна быть открыта новая сессия. Новая сессия открывается посредством записи буферной зоны А и SDCB (блока управления сессии диска, см. фиг. 22) в первом блоке ECC внутренней зоны идентификации сессии. Дополнительно должна записываться буферная зона B зоны открытия. Первая сессия на пустом диске открывается с помощью записи зарезервированной зоны 2 плюс SDCB в первом блоке ECC внутренней зоны идентификации диска и дополнительно должна записываться буферная зона 2 вводной зоны в случае, когда первая сессия должна записываться на пустом диске. Пользовательские данные, добавленные к зоне данных, должны быть немедленно связаны с предварительно записанными пользовательскими данными в зоне данных или с предварительно записанными данными в одной из зарезервированных областей. Если записанной области предшествует зарезервированная область, то дополнительный блок ECC необходим в качестве запускающего блока для первого блока ECC записанной области. Дополнительный блок ECC нужно рассматривать как являющийся частью записанной области, и следовательно, как не принадлежащий предыдущей зарезервированной области.
Когда пользовательские данные больше не должны записываться, сессия может быть закрыта. Когда требуется совместимость с устройствами DVD-RO (цифровой многофункциональный диск только для воспроизведения), все сессии на диске должны быть закрыты. Сессия закрывается посредством записи всех оставшихся частей во вводной зоне / зоне открытия и добавления зоны закрытия. Во вводной зоне или зоне открытия должна быть записана зона управляющих данных. В каждой зоне открытия должна быть записана зона управляющих данных сессии с 40 блоками ECC согласно формату, как описано выше по отношению к фиг. 15 со следующими установками для информации физического формата.
Байт 0 – категория диска и номер версии.
Биты b7 – b4 должны определять категорию диска, они должны быть установлены в предопределенное значение, указывая диск DVD+R.
Биты b3 – b0 должны определять номер версии, они должны быть установлены в предопределенное значение, указывая данную версию стандарта.
Байт 1 – устанавливает размеры диска и максимальную скорость передачи.
Биты b7 – b4 должны определять размер диска, они должны быть установлены в 0000, указывая диск диаметром 120 мм.
Биты b3 – b0 должны определять максимальную скорость передачи при чтении. Эти биты могут быть установлены в одно из следующих значений (в зависимости от максимальной скорости считывания, необходимой приложениям):
0000: они определяют максимальную скорость передачи 2,52 Мбит/с,
0001: они определяют максимальную скорость передачи 5,04 Мбит/с,
0010: они определяют максимальную скорость передачи 10,08 Мбит/с,
1111: они определяют, что максимальная скорость передачи не определена.
Все другие комбинации зарезервированы и не должны использоваться.
Байт 2 – структура диска.
Биты b7 – b4 должны быть установлены в 0000.
Биты b3 – b0 должны определять тип слоя (слоев) записи: они должны быть установлены в 0010, указывая слой записи, записываемый один раз.
Байт 3 – плотность записи.
Биты b7 – b4 должны определять среднюю длину канального бита в информационной зоне, они должны быть установлены в 0000, указывая 0,133 мкм.
Биты b3 – b0 должны определять средний шаг дорожки, они должны быть установлены в 0000, указывая средний шаг дорожки 0,74 мкм.
Байты 4 – 15 – распределение зоны данных.
Байт 4 должен быть установлен в (00).
Байты 5 – 7 должны определять номер сектора первого физического сектора зоны данных текущей сессии.
Байт 8 должен быть установлен в (00).
Байты 9 – 11 должны определять номер последнего физического сектора зоны данных текущей сессии.
Байты 12 – 15 должны быть установлены в (00).
Байты 16 – 255 – зарезервированы – все (00). Эти байты не должны копироваться из информации ADIP, а должны устанавливаться в (00).
Байты 256 – 2047 – зарезервированы – все (00). Эти оставшиеся байты не имеют никакого отношения к информации ADIP и они все должны быть установлены в (00).
Информация производителя диска и информация поставщика контента, как описано выше.
Зона закрытия определяется следующим образом. При закрытии сессии буферная зона C должна записываться вместе с внешней зоной идентификации сессии.
Когда сессии больше не должны записываться, пользователь может решить завершить диск. Когда диск завершается, вместо зоны закрытия должна быть записана выводная зона, как описано выше по отношению к фиг. 17. После завершения диска добавление данных больше невозможно.
Фиг. 21 показывает общий формат блока управления диска. Блоки ECC управления диска (DCB) обеспечены как структура на диске, которая включает в себя дополнительную информацию для обмена между участниками обмена данными. Блоки DCB записываются во внутреннюю и внешнюю зоны идентификации диска или сессии. Все DCB должны иметь один и тот же формат для первых 40 байтов данных. Специальный DCB определяют для того, чтобы отразить состояние сессии (сессий). Если блок управления диска должен быть обновлен, то измененный DCB должен записываться сразу после последнего записанного DCB во внутренней зоне идентификации сессии. Когда сессия была закрыта, блоки DCB больше не могут обновляться. Основные данные каждого блока управления диска определены следующим образом (см. фиг. 21).
Байты D0 – D3 – описатель содержимого
– если установлены в (00000000), то DCB не используется. Описатель содержимого всех последующих DCB во внутренней или внешней зоне идентификации должен быть установлен в (00000000). Все оставшиеся байты, D4 – D2 047 для физического сектора 0 и D0 – D2 047 для физических секторов 1 – 15, должны быть установлены в (00);
– если установлены в (53444300), то этот DCB является DCB сессии (SDCB), как определено ниже;
– все другие значения для описателя содержимого зарезервированы.
Каждый новый DCB, который добавляют к внутреннему или внешнему блоку идентификации, должен записываться в первое доступное незаписанное расположение DCB.
Каждый DCB с описателем содержимого, не установленным в (00000000), во внутренней зоне идентификации сессии будет иметь идентичный DCB во внешней зоне идентификации в соответствующей сессии. Порядок блоков DCB во внутренней зоне идентификации должен быть таким же, как порядок во внешней зоне идентификации.
Байты D4 – D7 – действия при неизвестном описателе содержимого.
– Эти биты обеспечиваются для определения требуемого действия, когда содержимое и использование DCB неизвестно (т.е. описатель содержимого не установлен в известное определенное значение). Эти байты формируют поле, состоящее из 32 отдельных битов.
Биты b31 – b4 зарезервированы. Все эти биты должны быть установлены в ноль.
Бит b3 – перезапись DCB, если установлен в единицу, то замена текущего DCB не должна разрешаться, иначе он должен быть установлен в ноль.
Бит b2 – форматирование, если установлен в единицу, то переформатирование диска не должно разрешаться или невозможно, иначе он должен быть установлен в ноль.
Бит b1 – защита DCB от считывания, если установлен в единицу, то информация в этом DCB предназначена для использования только диском и не будет перемещаться вне диска, иначе он должен быть установлен в ноль.
Бит b0 – запись зоны данных, если установлен в единицу, то запись в зоне данных не должна разрешаться, иначе он должен быть установлен в ноль.
Байты D8 – D39 – идентификатор устройства.
– Байты D8 – D39 должны содержать уникальный описатель, идентифицирующий устройство, которое записало DCB. Формат этого уникального идентификатора устройства должен быть следующим: байты D8 – D23 должны идентифицировать изготовителя устройства. Байты D24 – D35 должны идентифицировать имя модели / номер типа устройства. Байты D36 – D39 должны содержать уникальный серийный номер устройства. Эти 4 байта должны формировать одно 32-битное двоичное число.
– Байты D40 – D2047 определяются описателем содержимого. Эти байты определяются с помощью описания для DCB с фактическим значением описателя содержимого.
Физический сектор 1 – 15: байты D0 – D2047 – определяются описателем содержимого. Эти байты определяются с помощью описания формата для DCB с фактическим значением описателя содержимого.
Фиг. 22 показывает формат блока управления сессии диска (SDCB). И вводная зона / начальная зона, и выводная зона / зона закрытия сессии должны содержать SDCB, который содержит отображение сессий. Блоки SDCB во внутренней и внешней зонах идентификации сессии должны быть идентичны и иметь следующее содержимое.
Физический сектор 0 / байты D0 – D3 – описатель содержимого. Эти байты идентифицируют DCB сессии и должны быть установлены в (53444300), представляя символы “SDC” и номер версии 0.
Физический сектор 0 / байты D4 – D7 – действия при неизвестном описателе содержимого. Эти байты должны быть установлены в (0000000D), указывая, что если этот DCB неизвестен системе, то DCB не должен заменяться, диск не может быть повторно отформатирован, запись в зоне данных не должна быть разрешена, хотя передача информации DCB с диска на главный компьютер разрешена.
Физический сектор 0 / байты D8 – D39 – идентификатор устройства. Эти байты должны содержать идентификатор устройства, как определено выше по отношению к фиг. 21, байты D8 – D39.
Физический сектор 0 / байты D40 – D41 – номер сессии. Эти байты должны определять последовательный номер сессии, которому принадлежит данный SDCB. Первая сессия должна иметь последовательный номер 1, и каждый последующий номер сессии должен увеличиваться на единицу.
Физический сектор 0 / байты D42 – D63 – зарезервированы. Эти байты зарезервированы и должны быть установлены в (00).
Физический сектор 0 / байты D64 – D95 – идентификатор диска. В SDCB во внутренней зоне идентификации диска во вводной зоне первой сессии эти 32 байта должны быть записаны случайным, статистически уникальным 256-битным двоичным числом при инициализации диска (открытии первой сессии). В SDCB во внутренней зоне идентификации сессии в зоне открытия каждой последующей сессии все байты D64 – D95 должны быть установлены в (00).
Физический сектор 0 / байты D96 – D127 – поле, зависящее от приложения. Это поле должно состоять из 32 байтов, и оно зарезервировано для использования приложением для хранения такой информации, как специфическая информация защиты от копирования. Если значение этих байтов не определено приложением, то эти байты должны быть установлены в (00).
В каждой сессии эти байты могут устанавливаться независимо.
Физический сектор 0 / байты D128 – D2047 – элементы сессии (SES). Эти байты сгруппированы в модули из 16 байтов каждый. Каждый модуль из 16 байтов может содержать один из двух различных типов элементов SES:
– элемент зарезервированной области, который определяет зарезервированные области в текущей сессии,
– элемент предыдущей сессии, который определяет начальный и конечный адреса предыдущих сессий. Все неиспользуемые байты должны быть установлены в (00).
Фиг. 23 показывает элемент зарезервированной области. SDCB может содержать больше, чем 1 элемент зарезервированной области. Если нет зарезервированных областей, то элементов зарезервированной области не должно быть. Если новую зарезервированную область нужно добавить к существующей открытой сессии, то новый SDCB записывается во внутренней зоне идентификации текущей сессии сразу после последнего SDCB. Последний записанный SDCB во внутренней зоне идентификации является правильным SDCB. Зарезервированные области в сессии не должны накладываться. Элементы зарезервированной области должны упорядочиваться по увеличению адресов. Данная фигура показывает структуру элемента зарезервированной области следующим образом.
Байты B0 – B2: эти 3 байта идентифицируют тип элемента и должны быть установлены в (525356), представляя символы “RSV”.
Байт B3: этот байт должен определять последовательный номер зарезервированной области. Первая зарезервированная область в сессии должна иметь последовательный номер 1, и каждый последующий номер зарезервированной области должен увеличиваться на единицу.
Байты B4 – B7: эти 4 байта должны определять PSN первого физического сектора, принадлежащего зарезервированной области, указанной в этом элементе.
Байты B8 – B11: эти 4 байта должны определять PSN последнего физического сектора, принадлежащего зарезервированной области, указанной в этом элементе.
Байты B12 – B15: эти 4 байта зарезервированы и должны быть установлены в (00).
Фиг. 24 показывает элемент предыдущей сессии. SDCB должен содержать элемент предыдущей сессии для каждой сессии, предшествующей текущей сессии. SDCB первой сессии не должен содержать элемент предыдущей сессии. Элементы предыдущей сессии будут упорядочиваться по увеличению адресов. Данная фигура показывает размещение элемента предыдущей сессии следующим образом.
Байты B0 – B2: эти 3 байта идентифицируют тип элемента и должны быть установлены в (53534E), представляя символы “SSN”.
Байт B3: этот байт должен определять последовательный номер предыдущей сессии, указанной в этом элементе.
Байты B4 – B7: эти 4 байта должны определять PSN первого физического сектора в зоне данных предыдущей сессии, указанной в этом элементе.
Байты B8 – B11: эти 4 байта должны определять PSN последнего физического сектора в зоне данных предыдущей сессии, указанной в этом элементе.
Байты B12 – B15: эти 4 байта зарезервированы и должны быть установлены в (00).
Хотя данное изобретение объяснялось главным образом с помощью вариантов осуществления, используя формат DVD+R, подобные варианты осуществления подходят для других оптических систем записи. Также в качестве носителя информации был описан оптический диск, но могут использоваться другие носители, такие как магнитный диск или лента. Следует отметить, что в этом документе слово “содержит” не исключает присутствия других элементов или этапов, кроме перечисленных, и описание элемента в единственном числе не исключает присутствия множества таких элементов, что любые упоминаемые обозначения не ограничивают объем формулы изобретения, что изобретение может быть реализовано и с помощью аппаратных средств, и с помощью программного обеспечения, и что некоторые “средства” могут быть представлены одним и тем же элементом аппаратных средств. Дополнительно объем изобретения не ограничен вариантами осуществления, и изобретение заключается в каждом новом признаке или комбинации признаков, описанных выше.
Формула изобретения
1. Устройство для записи информации по меньшей мере в одном информационном томе на дорожке в области записи на носителе информации, причем информационный том содержит зону начала, зону данных и зону окончания, устройство содержит средство (22) записи для записи меток, представляющих информацию, и средство (20) управления для записи и извлечения данных о расположении, которые служат индикатором расположения записанного информационного тома, отличающееся тем, что средство управления содержит средство (31) отображения для записи последовательных блоков отображения сессий (SEM) в зоне отображения сессий и средство (32) обнаружения для извлечения блока отображения сессий (SEM) из зоны отображения сессий, при этом зона отображения сессий расположена во внутренней области носителя информации, блок отображения сессий (SEM) представляет собой один блок кода исправления ошибок (ЕСС), содержащий в последовательных элементах сессии (SES) данные о расположении каждой закрытой сессии на момент записи упомянутого блока отображения сессий, каждый элемент сессии содержит данные о расположении одной закрытой сессии, которая представляет собой полностью записанный информационный том, при этом средство (31) отображения выполнено с возможностью записи блока отображения сессий непосредственно после последнего блока отображения сессий всякий раз, когда сессия закрывается.
2. Устройство по п.1, отличающееся тем, что блок отображения сессий (SEM) содержит по меньшей мере один элемент сессии (SES), причем элемент сессии содержит начальный и конечный адреса соответствующей закрытой сессии.
3. Устройство по п.2, отличающееся тем, что элемент сессии (SES) содержит номер сессии, идентифицирующий данную сессию.
4. Устройство по п.1, отличающееся тем, что блок отображения сессий (SEM) содержит идентификатор устройства, указывающий устройство, которое сделало запись этого блока отображения сессий.
5. Устройство по п.1, отличающееся тем, что зона отображения сессий имеет длину, равную 191 блоку ЕСС, при этом один блок ЕСС содержит информацию и код исправления ошибок, предназначенный для исправления ошибок, появляющихся при извлечении информации.
6. Устройство по п.5, отличающееся тем, что средство отображения сконфигурировано для записи буферной зоны, имеющей размер, равный блоку ЕСС, заполненной основными данными, имеющими нулевое значение, расположенной непосредственно перед зоной отображения сессий, и для управления последовательными индикаторами области записи в зоне индикаторов области записи, расположенной непосредственно после зоны отображения сессий.
7. Способ записи информации по меньшей мере в одном информационном томе на дорожке в области записи на носителе информации, причем информационный том содержит зону начала, зону данных и зону окончания, способ содержит этап, на котором записывают метки, представляющие информацию, и данные о расположении, которые служат индикатором расположения записанного информационного тома, отличающийся тем, что содержит этапы, на которых
записывают последовательные блоки отображения сессий (SEM) в зоне отображения сессий и
извлекают блоки отображения сессий (SEM) из зоны отображения сессий,
при этом зона отображения сессий расположена во внутренний области носителя информации, блок отображения сессий (SEM) представляет собой один блок кода исправления ошибок (ЕСС), содержащий в последовательных элементах сессии (SES) данные о расположении каждой закрытой сессии на момент записи упомянутого блока отображения сессий, каждый элемент сессии содержит данные о расположении одной закрытой сессии, которая представляет собой полностью записанный информационный том,
причем на этапе записи записывают блок отображения сессий непосредственно после последнего блока отображения сессий всякий раз, когда сессия закрывается.
8. Носитель информации, имеющий дорожку в области записи для записи по меньшей мере одного информационного тома, причем информационный том содержит зону начала, зону данных и зону окончания, дорожка содержит метки, представляющие информацию, и данные о расположении, которые служат индикатором расположения записанного информационного тома, отличающийся тем, что содержит последовательные блоки отображения сессий (SEM) в зоне отображения сессий, при этом зона отображения сессий расположена во внутренней области носителя информации, блок отображения сессий (SEM) представляет собой один блок кода исправления ошибок (ЕСС), содержащий в последовательных элементах сессии (SES) данные о расположении каждой закрытой сессии на момент записи упомянутого блока отображения сессий, каждый элемент сессии содержит данные о расположении одной закрытой сессии, которая представляет собой полностью записанный информационный том,
причем последующий блок отображения сессий следует непосредственно после предшествующего блока отображения сессий всякий раз, когда сессия закрывается.
РИСУНКИ
|