|
(21), (22) Заявка: 2005135223/28, 14.11.2005
(24) Дата начала отсчета срока действия патента:
14.11.2005
(46) Опубликовано: 20.04.2007
(56) Список документов, цитированных в отчете о поиске:
RU 2066465 C1, 10.09.1996. SU 1463046 A1, 23.04.1992. RU 2071087 C1, 27.12.1996. SU 896586 A, 07.01.1982. RU 2094784 C1, 27.10.1997. US 6452992 B1, 17.09.2002. US 5218208 A, 08.06.1993.
Адрес для переписки:
607188, Нижегородская обл., г. Саров, пр-т Мира, 37, ФГУП “РФЯЦ-ВНИИЭФ”, начальнику ОПИНТИ
|
(72) Автор(ы):
Антонов Виктор Николаевич (RU), Семенов Валентин Ильич (RU), Шмаров Альберт Евгеньевич (RU)
(73) Патентообладатель(и):
Российская Федерация, от имени которой выступает государственный заказчик – Федеральное агентство по атомной энергии (RU), Федеральное государственное унитарное предприятие “Российский федеральный ядерный центр – Всероссийский научно-исследовательский институт экспериментальной физики” – ФГУП “РФЯЦ-ВНИИЭФ” (RU)
|
(54) СПОСОБ ОПРЕДЕЛЕНИЯ ХАРАКТЕРИСТИК ЖЕСТКОГО ГАММА-ИЗЛУЧЕНИЯ МОЩНЫХ ИМПУЛЬСНЫХ ИСТОЧНИКОВ
(57) Реферат:
Изобретение относится к области ядерной и радиационной физики и может быть использовано для определения характеристик жесткого гамма-излучения, в частности флюенса и спектрального состава квантов тормозного излучения от мощных импульсных источников. Технический результат от реализации заявленного способа заключается в обеспечении возможности прецизионного определения относительной чувствительности каналов регистрации, упрощении процедуры измерения искомых характеристик и в расширении объема получаемой экспериментальной информации. Предложенный способ основан на многоканальной регистрации на выходах, соответствующих каналам детекторов электрических зарядов, индуцированных энергией излучения, поглощенной в одинаковых по форме и размерам чувствительных областях детекторов, причем в процессе регистрации осуществляют преобразование коллимированного потока гамма-излучения в потоки быстрых электронов и позитронов с использованием рабочего набора конверторов, установленных перед чувствительными областями детекторов и выполненных из материалов с различными атомными номерами из всего диапазона периодической таблицы, а также имеющих толщины, подобранные таким образом, чтобы формирующиеся при этом избирательные чувствительности каналов регистрации в различных областях энергий гамма-квантов равномерно перекрывали весь диапазон энергий гамма-излучения, при этом производят предварительную регистрацию импульса излучения исследуемого источника с использованием во всех каналах регистрации одинаковых по размерам конверторов, выполненных из одинакового материала, идентичного материалу одного из конверторов рабочего набора. 1 з.п. ф-лы, 4 ил.
Предлагаемое изобретение относится к области ядерной и радиационной физики и может быть использовано для определения характеристик жесткого гамма-излучения, в частности флюенса и спектрального состава квантов тормозного излучения мощных импульсных источников однократного действия, а также для определения изменения этих величин во времени в течение импульса излучения.
Аналогом заявляемого способа является активационный метод измерения характеристик жесткого гамма-излучения мощных импульсных источников (флюенса и спектрального состава квантов (формы спектра) тормозного излучения) [1]. Он заключается в одновременном использовании нескольких детекторов из активирующихся тормозным излучением материалов, наведенная активность которых после импульсного облучения определяется на специализированной радиометрической установке, аттестованной по чувствительности к внешнему фотонному излучению.
Основным недостатком активационного метода является слабая изученность сечений фотоядерных реакций из-за чрезвычайно низкой вероятности их протекания, что является причиной больших величин погрешностей этих сечений. В результате этот метод позволяет получать лишь грубые оценки интегральных флюенсов гамма-квантов с энергиями где – энергетический порог ядерного фотопоглощения для i-ого индикатора. Восстановление на основе этих оценок данных о спектральном составе квантов тормозного излучения из системы интегральных уравнений весьма сомнительно и, скорее всего, невозможно из-за высокой степени неопределенности получающегося результата.
Еще одним недостатком данного метода является то, что сечения активации для фотоядерных реакций имеют в основном резонансный характер в области энергий квантов 10-20 МэВ, что ограничивает возможность использования данного метода в области энергий ниже 10 МэВ.
Поэтому при практическом использовании способа-аналога измерения активационным методом сопровождались одновременными измерениями поглощенных доз по совершенно независимой методике [1]. Окончательные результаты получались только после совместного анализа экспериментальных данных обеих методик и последующих итерационных вычислительных процедур.
Прототипом заявляемого способа определения характеристик жесткого гамма-излучения мощных импульсных источников – флюенса и спектрального состава квантов тормозного излучения является метод поглощающих фильтров [2], основанный на многоканальной регистрации электрического заряда на выходах детекторов, индуцированного энергией (и пропорционального ей) исходного тормозного гамма-излучения, поглощенной в одинаковых по форме и размерам чувствительных областях этих детекторов, расположенных за поглощающими гамма-излучение фильтрами различной толщины.
Используемые в способе-прототипе фильтры ослабляют проходящее через них гамма-излучение различным образом в различных диапазонах энергии гамма-квантов. Для формирования избирательной чувствительности каналов регистрации к различным энергетическим областям спектра тормозного излучения используются фильтры из материалов, имеющих наибольшую скорость изменения коэффициента ослабления потока гамма-квантов при изменении их энергии во всем энергетическом диапазоне регистрации.
Основным недостатком указанного способа является проблема учета вклада в регистрируемые сигналы фонового излучения, поскольку величина этого вклада варьируется в различных каналах регистрации в несколько десяток раз в соответствии с разницей в уровне ослабления первичного тормозного излучения в фильтрах. По этой причине возникают труднопреодолимые препятствия по надежному определению относительной чувствительности каналов регистрации, большая погрешность которой приводит, как и в способе-аналоге, к полной неопределенности искомого спектрального состава гамма-квантов при решении системы интегральных уравнений. А для получения значений флюенса гамма-квантов, как и в способе-аналоге, необходимы априорные данные о спектральном составе тормозного излучения.
Другим недостатком способа-прототипа является сложность реализации измерительного устройства, требующего для снижения уровня фонового гамма-излучения использовать массивное защитное сооружение, не позволяющее оперативно вносить изменения в постановку измерений. В случае необходимости внесения таких изменений все операции по разборке и последующей сборке конструкции необходимо повторять с использованием большегрузных технических устройств и с привлечением специально подготовленного технического персонала. Кроме того, каждая такая операция должна сопровождаться повторением всех процедур наладки и проверки измерительных трактов регистрации.
Таким образом, невозможность достижения технического результата на основе способа-аналога и способа-прототипа связана в итоге с большими погрешностями в определении относительной чувствительности каналов регистрации. Это приводит к практически полной неопределенности искомых характеристик жесткого гамма-излучения, в частности спектрального состава гамма-излучения, а для получения оценок флюенса гамма-квантов данные об их спектральном составе необходимо привлекать в качестве априорных.
Задача состоит в разработке способа определения характеристик жесткого гамма-излучения, в частности флюенса и спектрального состава тормозного излучения мощных импульсных источников, обладающего возможностью прецизионного определения относительной чувствительности каналов регистрации и позволяющего тем самым существенно повысить точность определения искомых характеристик тормозного излучения. Кроме того, необходимо упростить реализацию заявляемого способа таким образом, чтобы появилась возможность оперативного изменения геометрии измерений без привлечения специальной техники и дополнительного обслуживающего персонала.
Задача обусловлена необходимостью проведения обширных исследований в области ядерной и радиационной физики, а также исследований, связанных с изучением режимов работы сильноточных импульсных ускорительных установок.
Технический результат в заявляемом способе измерения характеристик жесткого тормозного гамма-излучения мощных импульсных источников (флюенса и спектрального состава тормозного излучения, а также изменения их во времени в течение импульса излучения) состоит в возможности прецизионного определения относительной чувствительности каналов регистрации, что в свою очередь обеспечит получение искомых характеристик тормозного излучения с существенно более высокой точностью.
Кроме того, заявляемый способ упрощает постановку измерения искомых характеристик благодаря использованию более компактного и мобильного измерительного устройства, что обеспечит возможность оперативного изменения геометрии измерений без привлечения специальной техники и дополнительного обслуживающего персонала.
Кроме того, технический результат состоит в расширении объема получаемой экспериментальной информации, поскольку наличие достоверных данных о таких характеристиках жесткого тормозного гамма-излучения мощных импульсных источников, как флюенс и его спектральный состав, а также изменение их во времени обеспечит получение надежных экспериментальных данных о характеристиках ускоренных заряженных частиц, приводящих к образованию тормозного излучения в мишенном устройстве ускорительных установок. Это обеспечит определение таких характеристик ускоренных заряженных частиц, как поток, спектральный состав и эффективный угол их падения на тормозную мишень, а также изменения этих величин во времени в течение импульса.
Технический результат в заявляемом способе достигается тем, что в отличие от известного способа, основанного на многоканальной регистрации на выходах детекторов электрического заряда, индуцированного энергией (и пропорционального ей) исходного тормозного гамма-излучения, поглощенной в одинаковых по форме и размерам чувствительных областях этих детекторов, и определении с учетом зарегистрированных величин характеристик исследуемого тормозного излучения, в предлагаемом способе в процессе регистрации осуществляют преобразование коллимированного потока тормозного гамма-излучения в потоки быстрых электронов и позитронов с использованием рабочего набора конверторов, установленных перед чувствительными областями детекторов и изготовленных из материалов с различными атомными номерами из всего диапазона периодической таблицы, а также имеющих толщины, подобранные таким образом, чтобы формирующиеся при этом избирательные чувствительности каналов регистрации в различных областях энергий гамма-квантов равномерно перекрывали весь диапазон энергий тормозного излучения, при этом производят предварительную регистрацию импульса излучения исследуемого источника с использованием во всех каналах регистрации одинаковых по размерам конверторов, выполненных из одинакового материала, идентичного материалу одного из конверторов рабочего набора.
Таким образом, в заявляемом способе осуществляется многоканальная регистрация электрического заряда на выходах соответствующих каналам детекторов, индуцированного энергией (и пропорционального ей) вторичного электронного и позитронного излучений, как результата преобразования на рабочем наборе конверторов исходного тормозного излучения, поглощенной в одинаковых по форме и размерам чувствительных областях детекторов, расположенных за конверторами рабочего набора. Конверторы выполнены из материалов с различными атомными номерами из всего диапазона периодической таблицы. Толщины конверторов рабочего набора подобраны таким образом, чтобы формирующиеся при этом избирательные чувствительности каналов регистрации в различных областях энергий гамма-квантов равномерно перекрывали весь диапазон энергий тормозного излучения. При этом для прецизионного определения относительной чувствительности каналов регистрации производят предварительную регистрацию импульса гамма-излучения исследуемого источника с использованием во всех каналах регистрации одинаковых по размерам конверторов из одного и того же материала, из которого изготовлен один из конверторов рабочего набора.
Кроме того, в каналах регистрации могут быть использованы сцинтилляционные детекторы либо полупроводниковые детекторы.
То есть в отличие от метода поглощающих фильтров, регистрирующего тормозное гамма-излучение, прошедшее сквозь фильтры, посредством установленных за ними детекторов, в предлагаемом способе используется принцип конвертирования коллимированного потока этого гамма-излучения в материале конвертора в потоки быстрых электронов и позитронов с последующей их регистрацией, например, сцинтилляционными детекторами с одинаковыми по форме и размерам сцинтилляторами. При этом избирательные чувствительности каналов регистрации (сцинтилляционные детекторы+высокочастотные кабельные линии+осциллографические регистраторы) в нужных энергетических областях спектра гамма-квантов формируются рабочим набором конверторов из материалов с соответствующими атомными номерами (из всего диапазона периодической таблицы) и толщинами. Конкретный тип материала и размеры конвертора для каждого канала регистрации подбираются в оптимизационных расчетах при проведении прямого численного моделирования экспериментов в реальной геометрии измерений таким образом, чтобы избирательные чувствительности каналов регистрации равномерно перекрывали весь энергетический диапазон исследуемого гамма-излучения. Сама процедура прецизионного определения относительной чувствительности каналов регистрации заключается в проведении предварительного калибровочного эксперимента с использованием во всех каналах регистрации совершенно одинаковых конверторов из одного и того же материала, из которого изготовлен один из конверторов рабочего набора. Отношение амплитуд импульсов, зарегистрированных в различных двух каналах, и будет представлять собой их относительную чувствительность. Для уменьшения вклада в сигналы детекторов от первичного гамма-излучения необходимо использовать тонкие сцинтилляторы, имеющие высокую чувствительность к заряженным частицам и низкую чувствительность к гамма-излучению.
В основе существенного повышения точности измерений лежат следующие физические предпосылки.
Обозначим чувствительность i-ого канала регистрации (из общего их числа n) к поглощенной в чувствительной области детектора, например, сцинтилляторе энергии быстрых электронов (позитронов) в виде (в единицах Кл/МэВ). Конкретное значение чувствительности детектора сначала в единицах Кл·см2/квант определяется в градуировочном эксперименте на рабочем эталоне мощности экспозиционной дозы с радиоизотопным источником гамма-квантов, например, 60Со со средней энергией Е =1.25 МэВ и известным хранителю эталона значением эквивалентной плотности потока этих гамма-квантов, создающей такую же мощность экспозиционной дозы на измерительной позиции. Затем расчетным образом, например, с использованием предварительно протестированных монте-карловских программ [3] определяется чувствительность i-ого детектора к поглощенной в сцинтилляторе энергии в единицах МэВ·см2/квант. С использованием этих двух величин переход к единицам Кл/МэВ легко осуществим. Тогда чувствительность канала с i-ым конвертором из рабочего набора к гамма-квантам с произвольной энергией Е составит

где S – площадь плоской грани конвертора (см2), a (E )i (МэВ/квант) – энергия быстрых электронов и позитронов, поглощенная в объеме сцинтиллятора при падении на переднюю плоскую поверхность i-ого конвертора единичного потока гамма-квантов с энергией Е .
При падении на все детекторы потока гамма-квантов, дифференциальная энергетическая зависимость флюенса которых описывается выражением вида

где П – полный флюенс квантов в диапазоне энергий от нуля до , измеряемый в единицах квант/см2, a f(E ) – функция распределения гамма-квантов по энергии, имеющая размерность МэВ-1, нормированная на единицу в соответствии с условием

и определяющая форму спектра гамма-квантов, величина заряда (в Кл), регистрируемого по каналу с i-ым конвертором, составит

где величина
представляет собой по определению среднюю энергию быстрых электронов и позитронов, поглощенную в объеме сцинтиллятора при падении на переднюю плоскую поверхность i-ого конвертора единичного потока гамма-квантов с функцией f(E ) распределения их по энергии.
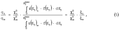
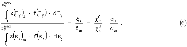
Тогда отношения измеренных электрических зарядов qi/qm, где m – фиксированный номер конвертора и соответствующего канала регистрации, относительно которого будут определяться чувствительности всех остальных каналов регистрации, определяются следующими выражениями с одной неизвестной функцией f(E )

откуда следует

Выбор материала конверторов всех каналов регистрации (т.е. материала конвертора фиксированного канала регистрации с номером m) для проведения предварительного калибровочного эксперимента определяется только технологичностью материала, из которого легче всего изготовить совершенно одинаковые по форме и размерам конверторы.
Величина электрического заряда на выходе детектора полностью соответствует амплитуде зарегистрированного сигнала лишь в случае отсутствия отражений на концах кабельных линий. При паспортном допуске на волновое сопротивление, например, коаксиального кабеля РК75-9-13 =(75±3) Ом и использовании сопротивлений нагрузки строго фиксированной величины Rнаг=75 Ом во всех каналах регистрации коэффициенты отражений сигналов на входах осциллографов могут варьироваться в пределах Следовательно, соответствие между снимаемыми с детекторов и регистрируемыми на осциллографах зарядами также выполняется с точностью до ±2%.
Другим источником погрешностей при определении отношений в (6) является так называемый коэффициент режима, используемый для перехода от абсолютной чувствительности детектора, определенной в градуировочных измерениях, например, на эталонном источнике 60Со при напряжении Uград=100 В, к чувствительности при рабочем напряжении на детекторах Uраб=1.8 кВ. Процедура определения коэффициентов режима, например, для фотоэлементов СДФ7 надежно отработана, а погрешность измерений этих коэффициентов не превышает ±2.5%.
Таким образом, в любом случае погрешность определения правой части уравнений (6) не может быть сделана менее ±4.5%. Именно это обстоятельство является основным ограничителем точности определения функции распределения f(E ) из уравнений (6), а заявляемый способ в таком виде не имеет решающего преимущества перед способом-аналогом и способом-прототипом.
Вместе с тем, в отличие от способа-аналога и способа-прототипа в заявляемом способе изначально заложена возможность радикального улучшения ситуации путем проведения калибровочного эксперимента с использованием во всех каналах регистрации совершенно одинаковых по форме и размерам конверторов из одного и того же материала, из которого изготовлен один из конверторов рабочего набора, например конвертор с номером m. В этом случае (Е )i= (Е )m для всех i, и из соотношений (6) следует

Подставив полученные значения для (6), получим

Из соотношений (8) видно, что в результате проведения предварительного калибровочного эксперимента можно «построить» каналы регистрации строго одинаковой чувствительности (при этом даже систематические погрешности определения чувствительности используемых в измерительных каналах осциллографических регистраторов полностью компенсируются). Перепишем соотношения (8) в окончательном виде

Погрешности определения функции распределения f(E ) из системы уравнений (9) определяются напрямую погрешностями зависимостей (Е )i, получаемых расчетным способом, например, по монте-карловским программам, а также неявным образом погрешностями измерения правой части уравнений (9). Практика показывает, что погрешность определения функции распределения f(E ) при различных способах решения системы интегральных уравнений (9) ухудшается примерно на порядок по сравнению с погрешностями правых частей этих уравнений. Экспериментальные погрешности определения отношения в заявляемом способе могут быть получены с высокой точностью ( 0.5%), и в этом смысле заявляемый способ в отличие от способа-аналога и способа-прототипа по своим возможностям полностью соответствует дифференциальным методам измерений.
Определение функции f(E ) из (9) существенно облегчается тем обстоятельством, что ее поиск можно вести методом подбора из узкого класса функций, а именно функций распределения от моноэнергетических электронов с фиксированными значениями энергии , если измерения проводятся на электронном ускорителе. Указанные функции распределения также определяются расчетным способом по монте-карловским программам.
Если полученный в эксперименте набор значений не совпадает с левыми частями системы уравнений (9) ни при каком конкретном значении энергии электронов , то искомое решение этой системы уравнений определяется в виде суперпозиции функций 

где набор коэффициентов aj удовлетворяет условию нормировки и подбирается таким образом, чтобы полученная при этом из уравнения (10) функция распределения f(E ) удовлетворяла системе уравнений (9) лучше всех других функций. Полученный при этом набор коэффициентов aj будет представлять собой функцию распределения электронов по энергии. Полный флюенс тормозных гамма-квантов П легко определяется затем из соотношения (4).
В способе-прототипе величина погрешности определения правой части уравнений (9) возрастает до 10% из-за, как уже указывалось выше, дополнительных трудностей учета фона, имеющего разный и существенно различающийся уровень для различных каналов регистрации. Поэтому погрешность искомой функции распределения f(E ) в известном способе становится близкой к 100%, что говорит о ее полной неопределенности. А для оценки величины полного флюенса П из уравнения (4) в известном способе требуется наличие априорной информации об этой функции распределения f(E ).
В отличие от известного способа, в котором детекторы размещаются за фильтрами различной толщины, в заявляемом способе детекторы компактно размещаются в прямом потоке коллимированного тормозного излучения с заведомо одинаковыми фоновыми условиями, что не создает трудностей учета вклада фонового излучения в сигналы детекторов путем проведения дополнительного измерения с закрытым коллиматором. Поэтому погрешность определения искомой функции распределения f(E ) может быть сделана примерно на порядок меньше, т.е. ±10%, в строгом соответствии с тем, что погрешность правой части уравнений (9) в заявляемом способе при проведении процедуры «самокалибровки» становится на порядок меньше. На практике, по всей видимости, эта погрешность будет несколько больше, в том числе и благодаря тому, что в реальных ускорительных установках спектральный состав тормозного излучения f(E ) определяется не только энергией электронов, но и углом их падения на мишень. Угловые распределения падающих электронов недостаточно изучены, что потребует проведения расчетов функций распределения для ряда фиксированных углов е, падения электронов на поверхность тормозной мишени ускорителя. При этом описанная процедура подбора весовых коэффициентов aj будет использоваться без изменения для более широкого набора функций , полученных для различных углов падения электронов е. Несмотря на эти дополнительные сложности, указанная величина погрешности функции f(E ) в полной мере соответствует представлениям о современном уровне ядерно-физического эксперимента и является заведомо достаточной для решения подавляющего числа задач, возникающих при проведении исследований на ускорительных установках.
То есть на основе анализа экспериментальных погрешностей известного и заявляемого способов показано, что предложенный подход обоснован с точки зрения повышения точности определения искомых характеристик.
Реализация же заявляемого способа сводится к тщательному подбору рабочего набора конверторов и их использованию в соответствии с заявленным порядком.
Таким образом, спектральный состав жесткого тормозного излучения (функция f(E )) в заявляемом способе из измеренных отношений зарядов определяется подбором из набора функций (получаемых расчетным способом по монте-карловским программам) таким образом, чтобы все уравнения системы (9) одновременно обратились в тождество в пределах экспериментальных погрешностей величин . Флюенс гамма-квантов П на измерительной позиции определяется затем из любого из уравнений системы (4), в которых величина П является единственной неизвестной величиной.
Упрощение постановки измерений характеристик жесткого тормозного излучения в отличие от известного способа в заявляемом способе основано на следующих предпосылках.
Как уже указывалось выше, в известном способе измерений характеристик жесткого тормозного излучения детекторы устанавливаются за фильтрами различной толщины, из-за чего создается сильно различающийся уровень фонового излучения в различных каналах регистрации. Для того чтобы максимально снизить уровень этого фонового излучения в местах размещения детекторов, экспериментаторы вынуждены наращивать массу защитного сооружения вокруг детекторов, пытаясь в максимальной степени ослабить сильнопроникающее рассеянное гамма-излучение. При этом общая масса измерительного устройства и защитного сооружения достигает нескольких тонн. При постановке измерений сборка такого сооружения требует использования специальной большегрузной техники и дополнительного специально подготовленного технического персонала. В случае необходимости внесения каких-либо изменений в постановку измерений, например, при изменении угла регистрации гамма-излучения разборка и повторная сборка этих массивных сооружений требует больших трудовых затрат. Кроме того, в этом случае приходится повторять всю дорогостоящую работу по сборке и наладке трактов регистрации, которую могут выполнять только высококвалифицированные специалисты.
В заявляемом способе детекторы в измерительном устройстве размещаются таким образом, что находятся в прямом потоке тормозного гамма-излучения с заведомо одинаковыми фоновыми условиями. Вклад фонового излучения в сигналы детекторов легко определяется путем проведения дополнительного измерения с заглушенным коллиматором измерительного устройства. Эта особенность заявляемого способа позволяет примерно на порядок уменьшить массу защитного материала и разработать мобильное измерительное устройство, после установки которого на транспортную платформу его перемещение по измерительному залу и юстировку может осуществлять вручную персонал, непосредственно участвующий в измерениях. При этом в отличие от известного метода не требуется проводить повторную работу по наладке измерительного комплекса, поскольку все тракты регистрации остаются в неприкосновенности.
Расширение информативных возможностей заявляемого способа непосредственно связано с кардинальным повышением точности измерения характеристик тормозного излучения и наличием однозначной связи между характеристиками пучков ускоренных заряженных частиц и измеряемыми характеристиками формируемого ими в мишенном устройстве тормозного излучения. Однозначная связь спектральных распределений тормозного излучения и спектральных, а также угловых распределений ускоренных электронов выражена уравнением (10). Соотношение между потоком электронов, упавших на мишень, и флюенсом П тормозных гамма-квантов в месте установки детекторов может быть легко получено расчетным способом по тем же самым монте-карловским программам в виде коэффициента преобразования электронного излучения в тормозное

где е – поток электронов на поверхности мишени.
Таким образом, в отличие от известного способа заявляемый способ определения характеристик излучения обеспечит качественно новую возможность определения не только полного флюенса П тормозного излучения на позиции измерения и его спектрального состава (функции f(E )), но также потока электронов (в соответствии с выражением (11)), их спектрального состава (т.е. набор коэффициентов aj в выражении (10)) и эффективный угол их падения е на тормозную мишень ускорителя.
Кроме того, в заявляемом способе производится жесткая временная привязка (с погрешностью не более 0.1 нс) получаемых по разным каналам регистрации сигналов, что позволит определить изменения характеристик тормозного гамма-излучения и электронного излучения во времени в течение импульса. Для этого весь временной интервал регистрации Т, равный длительности зарегистрированного импульса тока с детектора, делится на фиксированное число k временных интервалов, например, равное длительности t=T/k. Интегрированием токового сигнала в пределах каждого такого интервала времени определяется доля заряда , где l меняется от 1 до k, для i-ого канала регистрации и l-ого номера временного интервала. С использованием этих парциальных зарядов для каждого временного интервала l отдельно повторяются все процедуры определения характеристик тормозного гамма-излучения, а затем и характеристик заряженных частиц аналогично описанным выше, что обеспечивает получение искомых временных зависимостей.
Кроме того, в заявляемом способе во всех каналах регистрации могут быть использованы и сцинтилляционные детекторы, и полупроводниковые детекторы. Эти два типа детекторов являются наиболее изученными и доступными, что обеспечит отсутствие каких-либо принципиальных трудностей при практической реализации предлагаемого способа.
На фиг.1 схематично изображено многоканальное измерительное устройство (ИУ) для определения дифференциальной энергетической зависимости выхода тормозного излучения мощных импульсных источников, реализующее заявляемый способ с использованием сцинтилляционных детекторов. На фиг.1 позициями обозначены: 1 – мишенное устройство ускорителя электронов, 2 – полиэтиленовый фильтр, 3 – коллимирующий отсек ИУ, 4 – защитный отсек ИУ, 5 – детекторный отсек ИУ, 6 – фоточувствительный элемент сцинтилляционного детектора, 7 – тонкостенный воздушный световод со светоотражающей внутренней поверхностью, 8 – конвертор, 9 – пластмассовый сцинтиллятор на основе полистирола, 10 – разъем детектора, 11 – транспортная платформа.
На фиг.2 изображены зависимости левых частей уравнений (9) от энергии падающих электронов на тормозную мишень ускорителя, рассчитанные с использованием монте-карловских программ для случая, когда в качестве номера m выбран номер канала регистрации с железным конвертором.
На фиг.3 изображены те же самые зависимости, каждая из которых приводится в виде двух плавных кривых, расстояние между которыми соответствует величине экспериментальных погрешностей измеренных зарядов (см. уравнение 9) ±4.5%.
На фиг.4 изображены те же самые зависимости, каждая из которых приводится в виде двух плавных кривых, расстояние между которыми соответствует величине экспериментальных погрешностей измеренных зарядов , (см. уравнение 9) ±9%.
Тормозное излучение образуется в мишенном устройстве ускорителя (фиг.1) (поз.1) под действием импульсного пучка ускоренных электронов длительностью в несколько десяток наносекунд и с максимальной граничной энергией до 40 МэВ и падает на измерительное устройство, состоящее из нескольких отсеков.
Полиэтиленовый фильтр толщиной 4 см (поз.2) играет роль дополнительного замедлителя и рассеивателя быстрых электронов, прошедших сквозь мишень ускорителя и летящих в сторону измерительного устройства, предотвращая попадание основной их доли на детекторы и уменьшая тем самым вклад от них в сигналы детекторов до пренебрежимо малых значений 0.1%.
Коллимирующий отсек (поз. 3) формирует строгую параллельность пучка тормозного гамма-излучения, необходимую для обеспечения условий нормального падения гамма-квантов на плоскую поверхность конверторов (поз.8).
Защитный отсек (поз.4) предназначен для защиты детекторов от бокового падения на них фонового гамма-излучения, рассеянного на воздухе и стенах измерительного зала.
Детекторный отсек (поз.5) предназначен для размещения в нем набора сцинтилляционных детекторов. При этом корпус фотоэлемента (поз.6) каждого детектора крепится за защитным отсеком (поз.4) и выводится тем самым из прямого потока гамма-квантов. Таким образом, в прямом потоке тормозного гамма-излучения оказываются только сцинтилляторы (поз.9) вместе с укрепленными на них конверторами (поз.8). Для улучшения сбора фотонов люминесцентного излучения сцинтиллятора на фотокатод чувствительного фотоэлемента используется легкая конструкция (поз.7) из тонкого оргстекла (толщиной 1 мм), покрытая изнутри светоотражающим материалом, а снаружи светонепроницаемой черной бумагой.
Транспортная платформа (поз.11) предназначена для установки, перемещения и юстировки измерительного устройства. Масса измерительного устройства не превышает 500 кг, что делает его вполне доступным для перемещения с использованием транспортной платформы вручную.
Оптимальное число детекторов, обеспечивающее достаточную точность, равно пяти-шести. Все они размещаются по кругу в детекторном отсеке аналогично детектору (поз.6), изображенному на фиг.1. В соответствии с этим в разработанном измерительном устройстве используются пять независимых каналов регистрации, состоящих из сцинтилляционных детекторов на основе сильноточных фотоэлементов СДФ7 и пластмассовых сцинтилляторов на основе полистирола, кабельных коаксиальных линий РК75-9-13 и осциллографических регистраторов TDS 3052.
Во всех детекторах используются одинаковые тонкие сцинтилляторы цилиндрической формы диаметром 20 мм и толщиной 4 мм. В качестве материалов конверторов рабочего набора используются материалы с атомными номерами, равномерно перекрывающими весь диапазон периодической таблицы. Конверторы, имеющие цилиндрическую форму и крепящиеся плоскими гранями вплотную к сцинтилляторам, имеют диаметры, равные диаметру сцинтилляторов, и различные толщины, конкретные значения которых подбираются в оптимизационных расчетах таким образом, чтобы сформировать требуемые избирательные чувствительности каналов регистрации в энергетических диапазонах, равномерно покрывающих весь энергетический спектр тормозного излучения. В данном случае используются конверторы из полиэтилена толщиной 4 мм, алюминия толщиной 4 мм, железа толщиной 2 мм, кадмия толщиной 3 мм и свинца толщиной 4 мм. При этом для прецизионного определения относительной чувствительности каналов регистрации производят предварительную регистрацию импульса излучения исследуемого источника с использованием во всех каналах регистрации одинаковых конверторов, изготовленных из железа, как наиболее технологичного материала, из которого легче всего изготовить абсолютно одинаковые по размерам конверторы.
Степень влияния погрешности определения отношения на погрешности определения функции распределения f(E ) из системы уравнений (9) и сравнительные возможности способа-прототипа и заявляемого способа демонстрируют результаты прямого численного моделирования.
С этой целью с использованием монте-карловских программ для всех пяти детекторов разработанного измерительного устройства были рассчитаны левые части уравнений (9), зависимости которых от энергии падающих на мишень ускорителя электронов для всех пяти каналов регистрации изображены на фиг 2.
Расчеты проводились в реальной геометрии размещения детекторов в детекторном отсеке разработанного измерительного устройства с учетом вклада в сигналы детекторов рассеянных гамма-квантов и вторичных электронов и позитронов, образующихся на различных конструкционных деталях измерительного устройства. На фиг.2 ясно видны энергетические диапазоны, в которых каждый из каналов регистрации имеет наибольшую чувствительность по сравнению со всеми другими. Так, например, в диапазоне энергий ускоренных электронов до 5 МэВ наибольшую чувствительность показывает канал регистрации с полиэтиленовым конвертором, в диапазоне энергий от 5 до 10 – канал регистрации с алюминиевым конвертором и т.д.
Рассмотрим три случая возможных значений погрешности величины , характерных для рассматриваемых способов измерений.
Если погрешность измерений зарядов не превышает 0.5%, как в заявляемом способе измерений с использованием процедуры «самокалибровки» каналов регистрации, то искомая функция распределения гамма-квантов по энергии f(E ) будет подобрана с такой точностью, что определенные на ее основе зависимости левых частей уравнений (9) будут отличаться от приведенных на фиг.2 зависимостей на величину, не большую, чем фактически размеры изображенных на кривых специальных символов, а все уравнения системы (9) превращаются в тождество с такой же погрешностью. Именно в этом случае появляется качественно новая возможность определения не только характеристик тормозного излучения, но также и характеристик электронов, падающих на тормозную мишень ускорителя. При этом дополнительное увеличение точности получаемых результатов может быть достигнуто за счет увеличения количества детекторов и, соответственно, числа каналов регистрации. Как уже указывалось, в разработанном измерительном устройстве используется пять детекторов как некоторый компромисс между достаточной для решения многих практических задач точностью измерений и простотой реализации заявляемого способа, а также приемлемым уровнем сложности обработки их результатов.
Если измерения заявляемым способом проводятся без процедуры «самокалибровки», погрешность измерений зарядов не может быть сделана лучше 4.5%. Эта ситуация показана на фиг.3 в виде коридоров ошибок шириной±4.5% для каждой зависимости. Очевидно, в этом случае речь может идти лишь о более или менее надежном определении среднего значения энергии ускоренных электронов . Однако полученной информации о спектральном составе тормозного излучения вполне достаточно для надежного определения флюенса гамма-квантов П на измерительной позиции (см. соотношение (4)).
На фиг.4 отображена последняя третья ситуация, когда погрешности достигают величины ±9% (с доверительной вероятностью 0.95). Видно, что в этом случае вообще не может идти речь об измерении функции распределения тормозных квантов (функции f(E )), а для определения флюенса гамма-квантов П необходимо наличие, как и в способе-прототипе, априорной информации о форме спектра гамма-излучения. Либо, как в способе-аналоге, необходимо привлекать результаты измерений другими методами и использовать сложные математические процедуры обработки и восстановления результатов.
Таким образом, достижение технического результата в заявляемом способе осуществляется благодаря кардинальному повышению точности определения относительной чувствительности каналов регистрации (что невозможно как в способе-аналоге, так и в способе-прототипе) за счет проведения процедуры их «самокалибровки» в предварительном эксперименте с использованием рабочего набора конверторов, что позволяет получить искомые характеристики излучения, а именно флюенс и спектральный состав тормозного излучения с существенно более высокой точностью. При этом обеспечено упрощение способа измерения и расширены его информативные возможности.
Источники информации
1. Ю.М.Одинцов, А.А.Крыжановский, Г.Н.Маслов и др. Определение спектра тормозного излучения ускорителя ЛИУ-30 активационным методом. ВАНТ. Сер.: Физика ядерных реакторов. Вып.3-4, стр.35-42, 1999.
2. А.И.Веретенников, В.М.Горбачев, Б.А.Предеин. Методы исследования импульсных излучений. Москва, Энергоатомиздат, стр.108-110, 1985.
Формула изобретения
1. Способ определения характеристик жесткого гамма-излучения мощных импульсных источников, основанный на многоканальной регистрации на выходах, соответствующих каналам детекторов электрических зарядов, индуцированных энергией излучения, поглощенной в одинаковых по форме и размерам чувствительных областях детекторов, и определении с учетом зарегистрированных величин характеристик исследуемого гамма-излучения, отличающийся тем, что в процессе регистрации осуществляют преобразование коллимированного потока гамма-излучения в потоки быстрых электронов и позитронов с использованием рабочего набора конверторов, установленных перед чувствительными областями детекторов и выполненных из материалов с различными атомными номерами из всего диапазона периодической таблицы, а также имеющих толщины, подобранные таким образом, чтобы формирующиеся при этом избирательные чувствительности каналов регистрации в различных областях энергий гамма-квантов равномерно перекрывали весь диапазон энергий гамма-излучения, при этом производят предварительную регистрацию импульса излучения исследуемого источника с использованием во всех каналах регистрации одинаковых по размерам конверторов, выполненных из одинакового материала, идентичного материалу одного из конверторов рабочего набора.
2. Способ по п.1, отличающийся тем, что в каналах регистрации используют сцинтилляционные или полупроводниковые детекторы.
РИСУНКИ
|