|
|
(21), (22) Заявка: 2005140832/28, 26.12.2005
(24) Дата начала отсчета срока действия патента:
26.12.2005
(46) Опубликовано: 20.04.2007
(56) Список документов, цитированных в отчете о поиске:
SU 1195263 А, 30.11.1985. RU 2071063 C1, 27.12.1996. RU 94004918 A1, 10.11.1995. RU 2117304 C1, 10.08.1998. RU 2118826 C1, 10.09.1998. SU 1795375 A1, 15.02.1993. SU 1396068 A1, 15.05.1988. SU 1113749 А, 15.09.1984. US 3568044 А, 02.03.1971. GB 1164136 А, 17.09.1969. ЕР 1450167 A1, 25.08.2004.
Адрес для переписки:
443100, г.Самара, ул. Молодогвардейская, 244, Главный корпус СамГТУ, патентный отдел
|
(72) Автор(ы):
Нестеров Владимир Николаевич (RU), Мухин Василий Михайлович (RU)
(73) Патентообладатель(и):
Государственное образовательное учреждение высшего профессионального образования Самарский государственный технический университет (RU)
|
(54) ИЗМЕРИТЕЛЬНЫЙ ПРЕОБРАЗОВАТЕЛЬ
(57) Реферат:
Предложенное изобретение относится к измерительной технике и может быть использовано для измерения информативных изменений активных сопротивлений в условиях нестабильности источника питания и сопротивлений, составляющих преобразователь. Техническим результатом является упрощение устройства и повышение точности измерения за счет сокращения количества элементов в измерительной цепи. Измерительный преобразователь содержит два дифференциально включенных первичных преобразователя, соединенных последовательно в цепь с источником питания и третьим преобразователем, выполненным, например, в виде резистора, два измерительных усилителя, дифференциальный усилитель и блок деления. При этом входы первого измерительного усилителя подключены к смежным выводам последовательно включенных первичных преобразователей и выводу третьего преобразователя, соединенному с одним из полюсов источника питания, входы второго измерительного усилителя подключены к второму выводу третьего преобразователя, соединенному с соответствующим выводом одного из первичных преобразователей, и выводу второго первичного преобразователя, соединенному с вторым полюсом источника питания, выход первого измерительного усилителя подключен к прямому входу дифференциального усилителя, к инвертирующему входу которого подключен выход второго измерительного усилителя, а выходы дифференциального усилителя и второго измерительного усилителя подключены к соответствующим входам блока деления, выход которого является выходом измерительного преобразователя. 1 ил.
Изобретение относится к измерительной технике и может быть использовано для измерения информативных изменений активных сопротивлений в условиях нестабильности источника питания и сопротивлений, составляющих преобразователь.
Известен измерительный преобразователь [1], содержащий шестиплечий мост, состоящий из двух полумостовых ветвей, каждая из которых образована последовательно соединенными первым датчиком, резистором и вторым датчиком. Крайние выводы первого и второго датчиков каждой из ветвей образуют диагональ питания и соединены с выводами источника питания. Противоположные крайним выводы, соответственно, первого датчика первой ветви и второго датчика второй ветви, и аналогичные выводы, соответственно, второго датчика первой ветви и первого датчика второй ветви образуют измерительные диагонали, к которым, соответственно, подключены сумматор и дифференциальный усилитель, выходы которых подключены к устройству деления. Кроме того, резисторы, соединяющие в полумостовых ветвях соответствующие датчики, выполнены точными высокостабильными элементами.
Недостатком известного устройства является сложность из-за большого количества элементов шестиплечего моста, и, соответственно, высокая погрешность, обусловленная, кроме этого, стабильностью резисторов, включенных между датчиками. Анализ выражения погрешности для данного устройства, опубликованный в [2], показал ошибочность утверждения, что использование точных высокостабильных резисторов в плечах устройства позволяет уменьшить погрешность от нестабильности чувствительности моста вследствие изменения параметров элементов измерительной цепи от температуры и времени [1].
Наиболее близким по технической сущности к заявленному является измерительный преобразователь [2] также содержащий шестиплечий мост, состоящий из двух полумостовых ветвей, каждая из которых образована последовательно соединенными первым датчиком, резистором и вторым датчиком. Крайние выводы первого и второго датчиков каждой из ветвей образуют диагональ питания и соединены с выводами источника питания. Преобразователь содержит также два измерительных усилителя, подключенных своими входами, соответственно к первой и второй измерительной диагонали моста, а выходами к соответствующим входам сумматора и дифференциального усилителя, выходы которых соединены с соответствующими входами устройства деления, а резисторы, соединяющие в полумостовых ветвях соответствующие датчики, выполнены из того же материала и по той же технологии, что и датчики.
Недостатком известного устройства является сложность из-за большого количества элементов шестиплечего моста, и, соответственно, погрешность, обусловленная большим количеством элементов в измерительной цепи.
Техническим результатом является упрощение устройства и повышение точности измерения за счет сокращения количества элементов в измерительной цепи.
Технический результат достигается тем, что в известном устройстве, содержащем два дифференциально включенных первичных преобразователя, соединенных последовательно в цепь с источником питания и третьим преобразователем, выполненным, например, в виде резистора, два измерительных усилителя, дифференциальный усилитель и блок деления, входы первого измерительного усилителя подключены к смежным выводам последовательно включенных первичных преобразователей и выводу третьего преобразователя, соединенному с одним из полюсов источника питания, входы второго измерительного усилителя подключены к второму выводу третьего преобразователя, соединенному с соответствующим выводом одного из первичных преобразователей, и выводу второго первичного преобразователя, соединенному с вторым полюсом источника питания, выход первого измерительного усилителя подключен к прямому входу дифференциального усилителя, к инвертирующему входу которого подключен выход второго измерительного усилителя, а выходы дифференциального усилителя и второго измерительного усилителя подключены к соответствующим входам блока деления, выход которого является выходом измерительного преобразователя.
В результате вследствие соответствующего включения двух первичных преобразователей и третьего преобразователя функция сложения соответствующих напряжений, являющихся информативными сигналами, реализуется в первичной измерительной цепи, что упрощает устройство и за счет уменьшения числа элементов в первичной измерительной цепи, и за счет устранения лишнего сумматора. Уменьшение количества элементов в преобразователе, в свою очередь, приводит к потенциальному повышению его точности, т.к. каждый дополнительный элемент является источником соответствующей компоненты в суммарном выражении погрешности измерительного преобразователя.
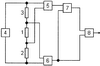
На чертеже показана схема измерительного преобразователя.
Измерительный преобразователь содержит два дифференциально включенных первичных преобразователя 1 и 2, третий преобразователь 3, выполненный, например, в виде резистора, которые соединены последовательно в цепь с источником 4 питания, два измерительных усилителя 5 и 6, дифференциальный усилитель 7 и блок 8 деления. Входы первого измерительного усилителя 5 подключены к смежным выводам последовательно включенных первичных преобразователей 1 и 2 и выводу третьего преобразователя 3, соединенному с одним из полюсов источника 4 питания, входы второго измерительного усилителя 6 подключены к второму выводу третьего преобразователя 3, соединенному с соответствующим выводом одного из первичных преобразователей 1, и выводу второго первичного преобразователя 2, соединенному с вторым полюсом источника 4 питания. Выход первого измерительного усилителя 5 подключен к прямому входу дифференциального усилителя 7, к инвертирующему входу которого подключен выход второго измерительного усилителя 6, а выходы дифференциального усилителя 7 и второго измерительного усилителя 6 подключены к соответствующим входам блока 8 деления, выход которого является выходом измерительного преобразователя.
Устройство работает следующим образом.
При работе устройства изменяются информативные параметры дифференциально включенных первичных преобразователей 1 и 2, например, (z± z) для преобразователя 1 и (z- z) для преобразователя 2, где z – начальное значение параметра, a z – информативное приращение параметра.
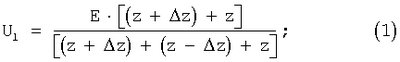
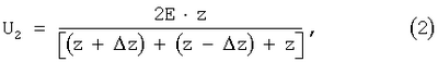
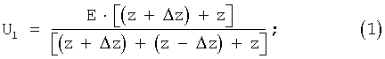
Измерительные усилители 5 и 6 выбраны таким образом, что их входные сопротивления стремятся к бесконечности, а параметры идентичны. Тогда сигналы на входах измерительных усилителей 5 и 6 определяются, соответственно, выражениями:


где Е – ЭДС источника 4 питания; z – номинальное значение параметра преобразователя 3 и, соответственно, начальное значение параметров первичных преобразователей 1 и 2.
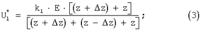
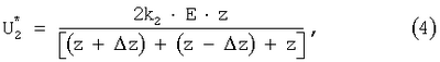
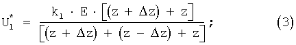
Соответственно, на выходах измерительных усилителей 5 и 6 сигналы определяются выражениями:


где k1 и k2 – коэффициенты передачи по напряжению, соответственно, измерительных усилителей 5 и 6.
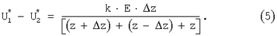
Сигналы (3) и (4) поступают на соответствующие входы дифференциального усилителя 7, на выходе которого, при выполнении условия k1=k2=k, получаем:

Далее сигналы (4) и (5) поступают на соответствующие входы блока 8 деления, на выходе которого, при k1=k2=k, получаем:

Как следует из выражения (6), функция преобразования полученного измерительного преобразователя не зависит от нестабильности параметров источника питания и является линейной.
Сокращение вдвое числа первичных преобразователей и резисторов в измерительной цепи, устранение из устройства сумматора, упрощает измерительный преобразователь и создает возможности для уменьшения его суммарной погрешности, т.к. каждый дополнительный элемент в схеме является потенциальным источником погрешности. Кроме того, сокращение числа дифференциально включенных первичных преобразователей (датчиков) расширяет функциональные возможности устройства, т.к. в некоторых случаях установка четырех дифференциально включенных первичных преобразователей (датчиков) вызывает практические затруднения.
Источники информации
1. А.с. 1195263 СССР, кл. G 01 R 17/10, G 01 В 7/18, 1985, бюл. №44.
Формула изобретения
Измерительный преобразователь, содержащий два дифференциально включенных первичных преобразователя, соединенных последовательно в цепь с источником питания и третьим преобразователем, выполненным, например, в виде резистора, два измерительных усилителя, дифференциальный усилитель и блок деления, отличающийся тем, что входы первого измерительного усилителя подключены к смежным выводам последовательно включенных первичных преобразователей и выводу третьего преобразователя, соединенному с одним из полюсов источника питания, входы второго измерительного усилителя подключены к второму выводу третьего преобразователя, соединенному с соответствующим выводом одного из первичных преобразователей, и выводу второго первичного преобразователя, соединенному с вторым полюсом источника питания, выход первого измерительного усилителя подключен к прямому входу дифференциального усилителя, к инвертирующему входу которого подключен выход второго измерительного усилителя, а выходы дифференциального усилителя и второго измерительного усилителя подключены к соответствующим входам блока деления, выход которого является выходом измерительного преобразователя.
РИСУНКИ
MM4A – Досрочное прекращение действия патента СССР или патента Российской Федерации на изобретение из-за неуплаты в установленный срок пошлины за поддержание патента в силе
Дата прекращения действия патента: 27.12.2007
Извещение опубликовано: 20.05.2009 БИ: 14/2009
|
|