|
|
(21), (22) Заявка: 2005134770/28, 10.11.2005
(24) Дата начала отсчета срока действия патента:
10.11.2005
(46) Опубликовано: 20.04.2007
(56) Список документов, цитированных в отчете о поиске:
RU 2150104 C1, 27.05.2000. RU 99125835 A, 10.10.2001. RU 94007991 A1, 27.10.1995. SU 1293585 A1, 28.02.1987. EP 0359213 A2, 21.03.1990. US 5696586 A, 09.12.1997.
Адрес для переписки:
119991, Москва, ул. Косыгина, 4, Институт химической физики РАН, Патентный отдел
|
(72) Автор(ы):
Колесников Сергей Александрович (RU), Колесникова Екатерина Сергеевна (RU), Писаревский Юрий Владимирович (RU), Турутин Юрий Александрович (RU)
(73) Патентообладатель(и):
Институт химической физики им. Н.Н. Семенова РАН (ИХФ РАН) (RU), ООО “ЭКОХИМИЯ-ЭКОТОКСИМЕТРИЯ” (RU)
|
(54) ИНТЕРФЕРЕНЦИОННО-ПОЛЯРИЗАЦИОННЫЙ ФИЛЬТР ДЛЯ ГАЗОВОЙ СПЕКТРОСКОПИИ
(57) Реферат:
Изобретение относится к области оптических приборов, предназначенных для газового анализа путем исследования спектра поглощения измеряемого газа, и может быть использовано в оптических устройствах (газоанализаторах, спектрометрах) для селективного измерения концентрации газового компонента в газовой смеси. Интерференционно-поляризационный фильтр (ИПФ) содержит входной и выходной поляризаторы, между которыми последовательно расположены первый двулучепреломляющий элемент, фотоупругий модулятор или иной управляемый двулучепреломляющий элемент и второй двулучепреломляющий элемент, при этом оптические оси первого двулучепреломляющего элемента и модулятора параллельны, плоскость поляризации входного поляризатора ориентирована под углом 45° к оптической оси модулятора, а плоскость поляризации выходного поляризатора параллельна или перпендикулярна плоскости поляризации входного поляризатора, а оптическая ось второго двулучепреломляющего элемента параллельна или перпендикулярна оптической оси модулятора. Двулучепреломляющие элементы выполнены из различных материалов, обладающих различной дисперсией двулучепреломления, и их толщины подобраны таким образом, чтобы их общая спектральная дисперсия приводила к отличию рабочих точек модулятора в фильтре по измеряемому и сопутствующему газовым компонентам на /2 и к появлению сигнала измеряемого газового компонента на первой или второй гармонике частоты модуляции, а сигнала сопутствующего газового компонента – на второй или первой соответственно, что обеспечивает высокую селективность измерений концентрации анализируемого газового компонента в присутствии сопутствующего газового компонента. В состав ИПФ могут быть введены дополнительные элементы, обладающие оптической активностью или двойным лучепреломлением. Техническим результатом является повышение селективности измерений концентрации измеряемого газового компонента в присутствии сопутствующего газового компонента с близкими спектральными характеристиками. 10 з.п. ф-лы, 7 ил.
Изобретение относится к области оптических приборов, предназначенных для газового анализа путем исследования спектра поглощения измеряемого газа, и может быть использовано в оптических устройствах (газоанализаторах, спектрометрах) для селективного измерения концентрации газового компонента в газовой смеси.
Известны интерференционно-поляризационные фильтры (ИПФ), действие которых основано на интерференции поляризованных лучей света (А.Н.Зайдель и др., Техника и практика спектроскопии, М., «Наука», 1976, стр.246-251). ИПФ широко используются в газовой спектроскопии в устройствах селективного измерения концентрации газового компонента в газовой смеси (газоанализаторах, спектрометрах). Эти устройства характеризуются надежностью и простотой в эксплуатации, присущими оптическим методам газового анализа. Однако при наличии в анализируемой газовой смеси сопутствующих газовых компонентов, спектры поглощения которых перекрываются со спектром измеряемого газа, селективность измерений в устройствах с одним формирующим спектр двулучепреломляющим элементом в составе ИПФ (SU 1293585, G01N 21/61, опубл. 28.02.1987; Заявка РФ №94038824, G02B 5/30, опубл. 27.05.1997; Заявка РФ №99125835, G01J 3/00, опубл. 10.10.2001) недостаточна. Примерами пар газовых компонентов, для которых селективность одноэлементного ИПФ мала, могут служить С6Н6-С6Н5OH, С6Н6-С6Н5СН3, С6Н5OH-С6Н5СН3, CH2O-SO2, NH3-SO2 и т.п.
В известном ИПФ (Заявка РФ №94007971, G 01 N 21/61, опубл. 27.10.1995) световой поток проходит через два параллельных оптических канала, каждый из которых содержит двулучепреломляющий элемент, причем двулучепреломляющие элементы выполнены из одного материала и соотношение их толщин составляет l1/l2=2s, где s – целочисленный коэффициент кратности. Введение дополнительного оптического канала компенсирует уровень дрейфа нулевого сигнала и паразитного сигнала, возникающего в модуляторе ИПФ, но не улучшает селективности измерений.
В одном из вариантов известного ИПФ по заявке РФ №99125835, G01J 3/00, опубликованной 10.10.2001, фильтр содержит один двулучепреломляющий элемент, но он состоит из двух двулучепреломляющих кристаллов, расположенных рядом друг с другом таким образом, что поляризованное излучение поступает на оба кристалла одновременно и в равных пропорциях. Такая конструкция устраняет проблему асимметрии в спектре поглощения измеряемого газа и проблему изменений чувствительности детектора, но незначительно влияет на селективность измерений. Другой вариант ИПФ по этой же заявке содержит, в дополнение к указанному двулучепреломляющему элементу, еще две четвертьволновые пластинки. Однако четвертьволновые пластинки в данном случае предназначены для получения круговой поляризации излучения при использовании линейных поляризаторов и их влияние на селективность измерений также незначительно.
Наиболее близким техническим решением к предлагаемому изобретению является ИПФ, содержащий последовательно расположенные входной поляризатор, первый двулучепреломляющий элемент, фотоупругий модулятор, второй (дополнительный) двулучепреломляющий элемент и выходной поляризатор (RU 2150104, G01N 21/61, опубл. 27.05.2000 – прототип). Оптические оси первого двулучепреломляющего элемента и фотоупругого модулятора параллельны, плоскость поляризации входного поляризатора ориентирована под углом 45° к оптической оси модулятора, а плоскость поляризации выходного поляризатора параллельна или перпендикулярна плоскости поляризации входного поляризатора. Толщина второго двупреломляющего элемента больше четырех толщин первого двупреломляющего элемента, но не кратна его толщине. Оптическая ось второго двулучепреломляющего элемента составляет 90° или 180° с плоскостью поляризации выходного поляризатора.
Однако роль второго двулучепреломляющего элемента в известном ИПФ, выбранном за прототип, при такой ориентации его оптической оси в улучшении селективности измерений незначительна. Для данного ИПФ присутствие в газовой смеси кроме компонента, концентрацию которого необходимо определить (измеряемого газового компонента), также и сопутствующего газового компонента со спектральными характеристиками, близкими к характеристикам измеряемого компонента, заметно повлияет на результат измерения.
Технический результат заявляемого изобретения состоит в существенном повышении селективности измерений концентрации измеряемого газового компонента (ИГК) в газовой смеси в присутствии сопутствующего газового компонента (СГК) с близкими спектральными характеристиками.
Указанный технический результат достигается предлагаемым ИПФ, содержащим входной и выходной поляризаторы, между которыми последовательно расположены первый двулучепреломляющий элемент, фотоупругий модулятор или иной управляемый двулучепреломляющий элемент и второй двулучепреломляющий элемент, при этом оптические оси первого двулучепреломляющего элемента и модулятора параллельны, плоскость поляризации входного поляризатора ориентирована под углом 45° к оптической оси модулятора, а плоскость поляризации выходного поляризатора параллельна или перпендикулярна плоскости поляризации входного поляризатора, в котором, согласно изобретению, оптическая ось второго двулучепреломляющего элемента параллельна или перпендикулярна оптической оси модулятора, причем двулучепреломляющие элементы выполнены из различных материалов и их толщины подобраны таким образом, чтобы их общая спектральная дисперсия приводила к отличию рабочих точек модулятора в фильтре по измеряемому и сопутствующему газовым компонентам на /2 и к появлению сигнала ИГК на первой или второй гармонике частоты модуляции, а сигнала СГК – на второй или первой соответственно.
Предлагаемый ИПФ может содержать дополнительный двулучепреломляющий элемент, расположенный перед первым двулучепреломляющим элементом или после второго двулучепреломляющего элемента, при этом материал и толщина дополнительного элемента подобраны таким образом, чтобы разность хода обыкновенного и необыкновенного лучей в нем составляла целое число полуволн в спектральной области СГК и отличалась на четверть длины волны в спектральной области ИГК, при этом плоскость поляризации входного или, соответственно, выходного поляризатора ориентирована параллельно оси модулятора, а ориентация указанного дополнительного двулучепреломляющего элемента установлена такой, чтобы обеспечить максимальное отношение уровня сигнала ИГК к сигналу СГК на первой или второй гармонике частоты модуляции, что позволяет достигать еще более высокий указанный технический результат.
ИПФ может содержать два дополнительных двулучепреломляющих элемента, расположенных перед первым и после второго двулучепреломляющих элементов, при этом материалы и толщины дополнительных элементов подобраны таким образом, чтобы разность хода обыкновенного и необыкновенного лучей в них составляла для одного из дополнительных элементов целое число полуволн в спектральной области одного из СГК, а для другого – целое число полуволн в спектральной области другого СГК и отличалась на четверть длины волны в спектральной области ИГК, при этом плоскости поляризации входного и выходного поляризаторов ориентированы параллельно оси модулятора, а ориентация дополнительных двулучепреломляющих элементов установлена такой, чтобы обеспечить максимальное отношение уровня сигнала ИГК к сигналу соответствующего СГК на первой или второй гармонике частоты модуляции, чем достигается высокая селективность измерений концентрации ИГК в газовой смеси по отношению к двум СГК.
Дополнительный двулучепреломляющий элемент в ИПФ может быть расположен перед фотоупругим модулятором или после него, при этом перед первым и/или после второго (основных) двулучепреломняющих элементов также могут быть помещены, а могут и отсутствовать, один или два дополнительных двулучепреломляющих элемента, материал и толщина дополнительного двулучепреломляющего элемента, расположенного перед фотоупругим модулятором или после него, подобраны таким образом, чтобы разность хода обыкновенного и необыкновенного лучей в нем составляла целое число полуволн в спектральной области СГК и отличалась на половину длины волны в спектральной области ИГК, при этом ориентация указанного дополнительного двулучепреломляющего элемента установлена такой, чтобы обеспечить максимальное отношение уровня сигнала ИГК к сигналу СГК на первой или второй гармонике частоты модуляции, чем достигается высокая селективность измерений концентрации ИГК в газовой смеси по отношению к одному или нескольким СГК (до трех) в зависимости от количества помещенных в ИПФ дополнительных двулучепреломляющих элементов.
ИПФ может содержать два дополнительных двулучепреломляющих элемента, расположенных перед фотоупругим модулятором и после него, при этом перед первым и/или после второго (основных) двулучепреломляющих элементов также могут быть помещены, а могут и отсутствовать, один или два дополнительных двулучепреломляющих элемента, материалы и толщины дополнительных двулучепреломляющих элементов, расположенных перед фотоупругим модулятором и после него, подобраны таким образом, чтобы разность хода обыкновенного и необыкновенного лучей в них составляла для одного из дополнительных элементов целое число полуволн в спектральной области одного из СГК, а для другого – целое число полуволн в спектральной области другого СГК и отличалась на половину длины волны в спектральной области ИГК, при этом ориентация указанных дополнительных двулучепреломляющих элементов установлена такой, чтобы обеспечить максимальное отношение уровня сигнала ИГК к сигналу соответствующего СГК на первой или второй гармонике частоты модуляции, чем достигается высокая селективность измерений концентрации ИГК в газовой смеси по отношению к двум или более СГК (до четырех) в зависимости от количества помещенных в ИПФ дополнительных двулучепреломляющих элементов.
ИПФ может содержать дополнительный элемент, обладающий оптической активностью, который расположен после входного поляризатора или перед выходным поляризатором, при этом перед первым и/или после второго (основных) двулучепреломляющих элементов могут быть помещены, а могут и отсутствовать, один или два дополнительных двулучепреломляющих элемента, материал и толщина оптически активного элемента подобрана таким образом, чтобы вращение плоскости поляризации в нем в спектральной области ИГК и в спектральной области СГК отличалось на 45°, при этом ориентация входного или соответственно выходного поляризатора установлена такой, чтобы обнулить сигнал СГК на той гармонике частоты модуляции, на которой наблюдается сигнал ИГК, чем достигается высокая селективность измерений концентрации ИГК в газовой смеси по отношению к одному или нескольким СГК (до трех) в зависимости от количества помещенных в ИПФ дополнительных элементов.
ИПФ может содержать дополнительный элемент, обладающий оптической активностью, который расположен после входного поляризатора или перед выходным поляризатором, при этом перед фотоупругим модулятором и/или после него помещены один или два дополнительных двулучепреломляющих элемента, а перед первым и/или после второго (основных) двулучепреломляющих элементов могут быть помещены, а могут и отсутствовать, один или два дополнительных двулучепреломляющих элемента, материал и толщина оптически активного элемента подобрана таким образом, чтобы вращение плоскости поляризации в нем в спектральной области ИГК и в спектральной области СГК отличалось на 45°, при этом ориентация входного или, соответственно, выходного поляризатора установлена такой, чтобы обнулить сигнал СГК на той гармонике частоты модуляции, на которой наблюдается сигнал ИГК, чем достигается высокая селективность измерений концентрации ИГК в газовой смеси по отношению к одному или нескольким СГК (до пяти) в зависимости от количества помещенных в ИПФ дополнительных элементов.
ИПФ может содержать два дополнительных элемента, обладающих оптической активностью, которые расположены после входного поляризатора и перед выходным поляризатором, при этом перед первым и/или после второго (основных) двулучепреломляющих элементов могут быть помещены, а могут и отсутствовать, один или два дополнительных двулучепреломляющих элемента, материалы и толщины оптически активных элементов подобраны таким образом, чтобы вращение плоскости поляризации в них в спектральной области ИГК и для одного из указанных элементов в спектральной области одного из СГК, а для другого в спектральной области другого СГК отличалось на 45°, при этом ориентация входного и выходного поляризаторов установлена такой, чтобы обнулить сигналы соответствующих СГК на той гармонике частоты модуляции, на которой наблюдается сигнал ИГК, чем достигается высокая селективность измерений концентрации ИГК в газовой смеси по отношению к двум или более СГК (до четырех) в зависимости от количества помещенных в ИПФ дополнительных элементов.
ИПФ может содержать два дополнительных элемента, обладающих оптической активностью, которые расположены после входного поляризатора и перед выходным поляризатором, при этом перед фотоупругим модулятором и/или после него помещены один или два дополнительных двулучепреломляющих элемента, а перед первым и/или после второго (основных) двулучепреломляющих элементов могут быть помещены, а могут и отсутствовать, один или два дополнительных двулучепреломляющих элемента, материалы и толщины оптически активных элементов подобраны таким образом, чтобы вращение плоскости поляризации в них в спектральной области ИГК и для одного из указанных элементов в спектральной области одного из СГК, а для другого в спектральной области другого СГК отличалось на 45°, при этом ориентация входного и выходного поляризаторов установлена такой, чтобы обнулить сигналы соответствующих СГК на той гармонике частоты модуляции, на которой наблюдается сигнал ИГК, чем достигается высокая селективность измерений концентрации ИГК в газовой смеси по отношению к двум или более СГК (до шести) в зависимости от количества помещенных в ИПФ дополнительных элементов.
Схема предлагаемого ИПФ представлена на фиг.1а). ИПФ содержит входной поляризатор 1, первый двулучепреломляющий элемент 2, фотоупругий модулятор 3, второй двулучепреломляющий элемент 4, выходной поляризатор 5. Плоскости поляризации поляризаторов 1 и 5 могут быть параллельны или перпендикулярны друг другу. Оптические оси двулучепреломляющих элементов 2 и 4, а также фотоупругого модулятора 3, расположены в плоскости YZ, перпендикулярной направлению распространения света. Оптическая ось C2 элемента 2 и ось фотоупругого модулятора С3 образуют угол 45° с плоскостью поляризации входного поляризатора 1. В отличие от известных ИПФ, в том числе от прототипа, оптическая ось C4 второго двулучепреломляющего элемента 4 либо параллельна оптической оси С2 (ориентация на сложение разности фаз  обыкновенной и необыкновенной волн в элементах 2 и 4), либо перпендикулярна ей (ориентация на вычитание). Элементы 2 и 4 выполняются из различных материалов, обладающих различной дисперсией двулучепреломления. Расположение модулятора между элементами 2 и 4 предпочтительно с точки зрения снижения паразитных сигналов, возникающих вследствие неидеальности модулятора и двулучепреломляющих элементов, а также из-за отражения и переотражения света от граней элементов ИПФ.
Пропускание света ИПФ (без учета потерь на поглощение и отражение) определяется выражением:

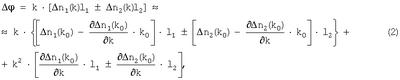
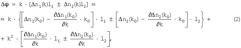
Для ИПФ с двумя двулучепреломляющими элементами, имеющими разность показателей преломления обыкновенного и необыкновенного лучей n1 и n2 и толщину l1 и l2 соответственно, с учетом дисперсии и без учета переменного во времени фазового сдвига между обыкновенной и необыкновенной волнами в модуляторе:

где k – волновое число света; k0 – некоторое среднее волновое число рабочего спектра проходящего через ИПФ света, знаки “+” или “-” соответствуют параллельности или перпендикулярности оптических осей элементов. Средний период спектра ИПФ по волновому числу, определяемый коэффициентом при k, должен коррелировать с характерным периодом спектра ИГК (пример, см. фиг.1б)).
Заявляемый ИПФ содержит также управляемый двулучепреломляющий элемент – фотоупругий модулятор 3, что позволяет изменять во времени степень корреляции со спектром ИГК. В результате при использовании ИПФ в газоанализаторе (спектрометре) сигнал, пропорциональный концентрации ИГК, получается в виде переменной составляющей интенсивности проходящего света. Формирование сигнала ИГК иллюстрируется схемой на фиг.2а). В зависимости от положения рабочей точки модулятора 3 по сигналу ИГК частота сигнала может быть первой или второй гармоникой частоты модуляции. Таким образом, селективная регистрация сигнала на первой (или второй) гармонике частоты модуляции в газоанализаторе (спектрометре) обеспечит селективность газовых измерений, если рабочие точки измеряемого и сопутствующего газовых компонентов в ИПФ отличаются на /2 (фиг.2б)). Этого можно достигнуть деформацией спектра ИПФ дисперсионной поправкой с k2 (2) путем выбора материалов ( n1, n2) и соотношения толщин (l1, l2) двулучепреломляющих элементов 2 и 4.
Предлагаемый ИПФ отличается универсальностью и применим даже для газовых компонентов, налагающиеся спектры которых имеют близкие характерные периоды. Еще более высокие результаты по совокупности селективности и чувствительности измерений можно получить, модифицируя ИПФ дополнительными поляризационными элементами.
При введении в ИПФ дополнительного элемента 6, обладающего оптической активностью и располагаемого после входного поляризатора или перед выходным поляризатором (см. фиг.3а), где оптически активный элемент 6 расположен после входного поляризатора 1), спектр пропускания ИПФ при параллельных поляризаторах будет определяться выражением:

где = (k)l3 – угол поворота плоскости поляризации оптически активным элементом 6, – удельный угол вращения плоскости поляризации, l3 – толщина оптически активного элемента 6. Так как вращение плоскости поляризации оптически активным элементом 6 обладает спектральной дисперсией, то в окрестности спектральных точек, где угол поворота составит = /4+m /2 (m – целое число), осцилляции в спектре пропускания ИПФ будут подавлены. Подбирая материал и толщину оптически активного элемента, а также ориентацию входного (выходного) поляризатора, одну из этих точек можно поместить в пределах спектра СГК, в то же время обеспечив =m /2 на спектральном участке ИГК (пример, фиг.3б)). В таком случае сигнал СГК можно обнулить, тогда как уровень сигнала ИГК снижается незначительно.
Аналогичный результат (подавление осцилляций ИПФ на участке спектра СГК и, как следствие, уменьшение уровня его сигнала) может быть достигнут введением в ИПФ дополнительного двулучепреломляющего элемента 7 перед первым двулучепреломляющим элементом 2 или после второго двулучепреломляющего элемента 4. Рассмотрим случай, представленный на схеме фиг.4а), где дополнительный двулучепреломляющий элемент 7 помещен перед первым двулучепреломляющим элементом 2 (после входного поляризатора 1). Плоскость поляризации входного поляризатора 1 параллельна осям модулятора и первого двулучепреломляющего элемента 2, а оптическая ось дополнительного двулучепреломляющего элемента 7 расположена под углом 45° к оси модулятора 3. Так как ориентация плоскости поляризации входного поляризатора относительно модулятора выбрана нерабочей, подавление осцилляций в спектре ИПФ происходит в точках, где разность хода обыкновенного и необыкновенного лучей в дополнительном двулучепреломляющем элементе 7 составляет целое число полуволн:

где n4 и l4 – разность показателей преломления обыкновенного и необыкновенного лучей и толщина дополнительного двулучепреломляющего элемента 7, m – целое число. Подбирая материал и толщину элемента 7, одну из этих точек можно поместить в пределах спектра СГК, в то же время обеспечив  4=m· + /2 на спектральном участке ИГК (пример, см. фиг.4б)). В таком случае сигнал СГК можно значительно снизить относительно сигнала ИГК.
Несколько иной-механизм селекции газовых компонентов осуществляется в предлагаемом ИПФ при ином расположении дополнительного двулучепреломляющего элемента 7, а именно при его расположении перед или после фотоупругого модулятора 3 (см фиг.5а)). Рассмотрим пример ориентации оптической оси дополнительного двулучепреломляющего элемента 7 (C7) под углом 45° к параллельным осям модулятора 3 и первого двулучепреломляющего элемента 2. Тогда в окрестности спектральных точек, в которых разность хода обыкновенного и необыкновенного лучей в дополнительном двулучепреломляющем элементе 7 составит четное число полуволн (целое число волн):

фазовый сдвиг  ИПФ будет соответствовать сложению:   = 1+ 2, а в точках, в которых разность хода составит нечетное число полуволн:

– вычитанию:   /2= 1– 2 фазовых сдвигов первого и второго двулучепреломляющих элементов 2 и 4. Таким образом, в спектре ИПФ будут присутствовать два характерных периода, соответствующих  += 1+ 2 и  –= 1– 2 (пример, см фиг.5б)), превалирующих в различных спектральных областях. Тогда, если, подбирая материал и толщину элемента 7, обеспечить разность хода обыкновенного и необыкновенного лучей в нем равным целому числу полуволн в спектральной области СГК и отличие на половину длины волны в спектральной области ИГК, можно изменить (снизить) степень корреляции спектра ИПФ со спектром СГК, сохранив ее для спектра ИГК. В результате можно значительно снизить величину сигнала СГК относительно сигнала ИГК.
При размещении дополнительного двулучепреломляющего элемента 7 в любом из возможных мест осуществляется подстройка ИПФ по селективности к СГК путем поворота указанного дополнительного элемента 7 вокруг оси, параллельной направлению распространения света. При этом, в сравнении с 45°-ной ориентацией, спектр ИПФ модифицируется как по положению минимумов осцилляций с периодом, коррелирующим со спектром СГК, так и, в некоторой степени, по рабочей точке модулятора 3. Возможность такой подстройки позволяет снизить требования к точности изготовления основных двулучепреломляющих элементов 2 и 4.
Путем каскадирования дополнительных двулучепреломляющих элементов и/или оптически активных элементов достигается возможность построения ИПФ, селективного по нескольким сопутствующим газовым компонентам. Пример максимального по составу ИПФ с возможностью относительно независимой настройки селективности по сопутствующим компонентам приведен на фиг.6. В его схеме, кроме выбора материалов и толщин дополнительных оптически активных 6, 11 и двулучепреломляющих 7, 8, 9, 10 элементов, подстройка селективности может осуществляться поворотом входного и выходного поляризаторов 1, 5, а также элементов 7, 8, 10, 11. Эти 6 степеней свободы в принципе позволяют выделить один компонент на фоне шести мешающих компонентов в многокомпонентной газовой смеси.
В качестве примера реализации предлагаемого устройства на фиг.7 а) приведена схема ИПФ для измерения концентрации фенола в присутствии толуола и бензола. Проблема селективного измерения фенола корреляционным методом заключается не только в значительной корреляции его УФ-спектра со спектрами толуола и бензола (см фиг.7б)), но и в том, что предельно-допустимая концентрация (ПДК) бензола в атмосферном воздухе значительно выше ПДК фенола. Селективность по бензолу, линии поглощения которого относительно далеки от спектральной области фенола, обеспечивается оптически активным элементом 6 и подстраивается поворотом выходного поляризатора 5. Избирательность по толуолу обеспечивается как двулучепреломляющим элементом 7, введенным с целью обеспечения подстройки газоанализатора, так и подбором рабочей точки модулятора 3 путем выбора материала и соотношения толщин двулучепреломляющих элементов 2 и 4. Сигнал фенола регистрируется на первой гармонике частоты фотоупругого модулятора 3, тогда как значительный сигнал толуола проявляется на второй гармонике, а сигнал бензола обнуляется на первой гармонике и мал на второй. Уровни регистрируемых сигналов толуола и бензола меньше сигнала фенола соответственно в 15 и 30 раз при одинаковой (в ppm) концентрации.
Таким образом, предложен ИПФ, который, благодаря разнесению рабочих точек модулятора в фильтре по измеряемому и сопутствующему газовым компонентам на /2 и разделению сигналов измеряемого и сопутствующего газовых компонентов по гармоникам частоты модуляции, обеспечивает существенное повышение селективности измерений. Введение в ИПФ дополнительных двулучепреломляющих и/или оптически активных элементов позволяет либо усилить эффект повышения селективности измерений (при введении одного дополнительного элемента), либо обеспечить высокую селективность измерений одного компонента газовой смеси по отношению к нескольким (до шести) сопутствующим компонентам.
Формула изобретения
1. Интерференционно-поляризационный фильтр, содержащий входной и выходной поляризаторы, между которыми последовательно расположены первый двулучепреломляющий элемент, фотоупругий модулятор или иной управляемый двулучепреломляющий элемент и второй двулучепреломляющий элемент, при этом оптические оси первого двулучепреломляющего элемента и модулятора параллельны, плоскость поляризации входного поляризатора ориентирована под углом 45° к оптической оси модулятора, а плоскость поляризации выходного поляризатора параллельна или перпендикулярна плоскости поляризации входного поляризатора, отличающийся тем, что оптическая ось второго двулучепреломляющего элемента параллельна или перпендикулярна оптической оси модулятора, причем двулучепреломляющие элементы выполнены из различных материалов и их толщины подобраны таким образом, чтобы их общая спектральная дисперсия приводила к отличию рабочих точек модулятора в фильтре по измеряемому и сопутствующему газовым компонентам на /2 и к появлению сигнала измеряемого газового компонента на первой или второй гармонике частоты модуляции, а сигнала сопутствующего газового компонента – на второй или первой, соответственно.
2. Интерференционно-поляризационный фильтр по п.1, отличающийся тем, что он содержит дополнительный двулучепреломляющий элемент, расположенный перед первым двулучепреломляющим элементом или после второго двулучепреломляющего элемента, материал и толщина дополнительного элемента подобраны таким образом, чтобы разность хода обыкновенного и необыкновенного лучей в нем составляла целое число полуволн в спектральной области сопутствующего газового компонента и отличалась на четверть длины волны в спектральной области измеряемого газового компонента, при этом плоскость поляризации входного или, соответственно, выходного поляризатора ориентирована параллельно оси модулятора, а ориентация указанного дополнительного двулучепреломляющего элемента установлена такой, чтобы обеспечить максимальное отношение уровня сигнала измеряемого газового компонента к сигналу сопутствующего газового компонента на первой или второй гармонике частоты модуляции.
3. Интерференционно-поляризационный фильтр по п.1, отличающийся тем, что он содержит два дополнительных двулучепреломляющих элемента, расположенных перед первым и после второго двулучепреломляющих элементов, материалы и толщины дополнительных элементов подобраны таким образом, чтобы разность хода обыкновенного и необыкновенного лучей в них составляла для одного из дополнительных элементов целое число полуволн в спектральной области одного из сопутствующих газовых компонентов, а для другого – целое число полуволн в спектральной области другого сопутствующего газового компонента и отличалась на четверть длины волны в спектральной области измеряемого газового компонента, при этом плоскости поляризации входного и выходного поляризаторов ориентированы параллельно оси модулятора, а ориентация дополнительных двулучепреломляющих элементов установлена такой, чтобы обеспечить максимальное отношение уровня сигнала измеряемого газового компонента к сигналу соответствующего сопутствующего газового компонента на первой или второй гармонике частоты модуляции.
4. Интерференционно-поляризационный фильтр по п.1, или 2, или 3, отличающийся тем, что он содержит дополнительный двулучепреломляющий элемент, расположенный перед фотоупругим модулятором или после него, материал и толщина указанного дополнительного элемента подобраны таким образом, чтобы разность хода обыкновенного и необыкновенного лучей в нем составляла целое число полуволн в спектральной области сопутствующего газового компонента и отличалась на половину длины волны в спектральной области измеряемого газового компонента, при этом ориентация указанного дополнительного двулучепреломляющего элемента установлена такой, чтобы обеспечить максимальное отношение уровня сигнала измеряемого газового компонента к сигналу сопутствующего газового компонента на первой или второй гармонике частоты модуляции.
5. Интерференционно-поляризационный фильтр по п.1, или 2, или 3, отличающийся тем, что он содержит два дополнительных двулучепреломляющих элемента, расположенных перед фотоупругим модулятором и после него, материалы и толщины указанных дополнительных элементов подобраны таким образом, чтобы разность хода обыкновенного и необыкновенного лучей в них составляла для одного из дополнительных элементов целое число полуволн в спектральной области одного из сопутствующих газовых компонентов, а для другого – целое число полуволн в спектральной области другого сопутствующего газового компонента и отличалась на половину длины волны в спектральной области измеряемого газового компонента, при этом ориентация указанных дополнительных двулучепреломляющих элементов установлена такой, чтобы обеспечить максимальное отношение уровня сигнала измеряемого газового компонента к сигналу соответствующего сопутствующего газового компонента на первой или второй гармонике частоты модуляции.
6. Интерференционно-поляризационный фильтр по п.1, или 2, или 3, отличающийся тем, что он содержит дополнительный элемент, обладающий оптической активностью, который расположен после входного поляризатора или перед выходным поляризатором, материал и толщина оптически активного элемента подобраны таким образом, чтобы вращение плоскости поляризации в нем в спектральной области измеряемого газового компонента и в спектральной области сопутствующего газового компонента отличалось на 45°, при этом ориентация входного или, соответственно, выходного поляризатора установлена такой, чтобы обнулить сигнал сопутствующего газового компонента на той гармонике частоты модуляции, на которой наблюдается сигнал измеряемого газового компонента.
7. Интерференционно-поляризационный фильтр по п.4, отличающийся тем, что он содержит дополнительный элемент, обладающий оптической активностью, который расположен после входного поляризатора или перед выходным поляризатором, материал и толщина оптически активного элемента подобраны таким образом, чтобы вращение плоскости поляризации в нем в спектральной области измеряемого газового компонента и в спектральной области сопутствующего газового компонента отличалось на 45°, при этом ориентация входного или, соответственно, выходного поляризатора установлена такой, чтобы обнулить сигнал сопутствующего газового компонента на той гармонике частоты модуляции, на которой наблюдается сигнал измеряемого газового компонента.
8. Интерференционно-поляризационный фильтр по п.5, отличающийся тем, что он содержит дополнительный элемент, обладающий оптической активностью, который расположен после входного поляризатора или перед выходным поляризатором, материал и толщина оптически активного элемента подобраны таким образом, чтобы вращение плоскости поляризации в нем в спектральной области измеряемого газового компонента и в спектральной области сопутствующего газового компонента отличалось на 45°, при этом ориентация входного или, соответственно, выходного поляризатора установлена такой, чтобы обнулить сигнал сопутствующего газового компонента на той гармонике частоты модуляции, на которой наблюдается сигнал измеряемого газового компонента.
9. Интерференционно-поляризационный фильтр по п.1, или 2, или 3, отличающийся тем, что он содержит два дополнительных элемента, обладающих оптической активностью, которые расположены после входного и перед выходным поляризаторами, материалы и толщины оптически активных элементов подобраны таким образом, чтобы вращение плоскости поляризации в них в спектральной области измеряемого газового компонента и для одного из указанных элементов – в спектральной области одного из сопутствующих газовых компонентов, а для другого – в спектральной области другого сопутствующего газового компонента, отличалось на 45°, при этом ориентация входного и выходного поляризаторов установлена такой, чтобы обнулить сигналы соответствующих сопутствующих газовых компонентов на той гармонике частоты модуляции, на которой наблюдается сигнал измеряемого газового компонента.
10. Интерференционно-поляризационный фильтр по п.4, отличающийся тем, что он содержит два дополнительных элемента, обладающих оптической активностью, которые расположены после входного и перед выходным поляризаторами, материалы и толщины оптически активных элементов подобраны таким образом, чтобы вращение плоскости поляризации в них в спектральной области измеряемого газового компонента и для одного из указанных элементов – в спектральной области одного из сопутствующих газовых компонентов, а для другого – в спектральной области другого сопутствующего газового компонента, отличалось на 45°, при этом ориентация входного и выходного поляризаторов установлена такой, чтобы обнулить сигналы соответствующих сопутствующих газовых компонентов на той гармонике частоты модуляции, на которой наблюдается сигнал измеряемого газового компонента.
11. Интерференционно-поляризационный фильтр по п.5, отличающийся тем, что он содержит два дополнительных элемента, обладающих оптической активностью, которые расположены после входного и перед выходным поляризаторами, материалы и толщины оптически активных элементов подобраны таким образом, чтобы вращение плоскости поляризации в них в спектральной области измеряемого газового компонента и для одного из указанных элементов – в спектральной области одного из сопутствующих газовых компонентов, а для другого – в спектральной области другого сопутствующего газового компонента, отличалось на 45°, при этом ориентация входного и выходного поляризаторов установлена такой, чтобы обнулить сигналы соответствующих сопутствующих газовых компонентов на той гармонике частоты модуляции, на которой наблюдается сигнал измеряемого газового компонента.
РИСУНКИ
|
|