Патент на изобретение №2297618
|
||||||||||||||||||||||||||
(54) СПОСОБ ОПРЕДЕЛЕНИЯ РЕСУРСА МЕТАЛЛА ТРУБОПРОВОДА ИЛИ КОРПУСА СОСУДА
(57) Реферат:
Способ определения ресурса металла трубопровода или корпуса сосуда относится к методикам оценки ресурса металла труб трубопроводов и корпусов аппаратов и может быть использован в газовой, нефтяной, нефтехимической и других отраслях промышленности. Техническим результатом изобретения является повышение точности. Способ включает определение основных механических, геометрических параметров (предела текучести металла, внутреннего и внешнего диаметров, толщины стенки), основных параметров текучей среды (расхода, давления и температуры на входе и выходе трубопровода или сосуда, угла натекания потока на стенку, загрязненности механическими примесями) и определение ресурса металла трубопровода или корпуса сосуда по расчетной формуле.
Изобретение относится к методикам оценки ресурса металла труб трубопроводов и корпусов аппаратов, используемых в газовой, нефтяной, нефтехимической и других отраслях промышленности. Известен способ определения ресурса металла (патент РФ № 2139515 от 10.10.99 года, МПК7 G01N 3/00). Способ заключается в том, что часть образцов металла подвергают отжигу, термоупрочнению или операции нагартовки, все образцы подвергают испытаниям растяжением, по результатам механических испытаний строят кривые деформирования
и критерия повреждения:
Сравнивая значения текущей меры повреждения Р где
t – текущее время;
сравнивая расчетное значение меры повреждений P(t) с критерием повреждений Р=const, определяют полный ресурс или оставшуюся долю ресурса конструкции из данного металла. В процессе механических испытаний измеряют физические параметры образцов металла методами неразрушающего контроля, также этими методами исследуют конструкцию из данного металла для определения текущей меры повреждения Р и критерия повреждения Рr. Основным недостатком данного способа является то, что при определении ресурса металла не учитываются газогидродинамические и термодинамические параметры среды, которая на него будет воздействовать во время эксплуатации. В связи с этим определение ресурсного состояния металла данным способом не дает объективной оценки. Более близким к заявляемому способу по технической сущности является способ определения ресурса металла магистрального трубопровода (Патент РФ 2226681 С1 от 19.08.02, МПК7 G01N 3/00). Способ заключается в изготовлении образцов из металла труб, проведении механических испытаний и определении остаточного ресурса, причем образцы делят на две равные группы, одну из которых предварительно подвергают термообработке, а остаточный ресурс определяют по формуле
где T1 – время эксплуатации труб; PC – среднее давление, при котором эксплуатировались трубы; РH – давление, при котором будут эксплуатироваться трубы; Y0 – значение параметров (относительного удлинения Y1 – значение параметров ( YH – нормативное значение параметров ( В описанном способе учитываются средние величины давления РC, которое действовало на металл при эксплуатации трубопровода, и РH, которое будет действовать на металл при дальнейшей эксплуатации трубопровода, а также время T1 эксплуатации трубопровода. Это повышает объективность оценки ресурса металла по сравнению с аналогом. Однако данный способ определения ресурса металла не учитывает воздействие на него основных параметров потоков текучих сред. К этим параметрам относятся расход, давление и температура в начале трубопровода или на входе сосуда, а также на их выходе, угол натекания потока на рабочую поверхность, загрязненность механическими примесями потока. Общеизвестно, что указанные параметры потоков текучих сред разрушающе действуют на металл трубопроводов и корпуса сосудов. В связи с этим описанный выше способ определения ресурса металла не отражает объективную реальность и не является точным. Технической задачей настоящего изобретения является повышение точности определения ресурса металла трубопроводов и корпусов сосудов. Поставленная задача решается тем, что в способе определения ресурса металла трубопровода или корпуса сосуда, включающем определение основных механических, геометрических параметров (предела текучести металла, диаметров внутреннего и внешнего, толщины стенки) и определение ресурса, дополнительно определяют основные параметры текучей среды (расход, давление и температуру на входе и выходе трубопровода или сосуда, угол натекания потока на стенку, загрязненность механическими примесями), а ресурс определяется по формуле
где VM – объем металла в стенках трубопровода или корпуса сосуда, м3; [ 3,1536*107 – количество секунд в году; K – коэффициент загрязненности потока (чистый поток K=1; загрязненный поток K>1); U – напряжение металла под действием избыточного внутреннего давления в трубопроводе или корпусе сосуда, Н/м2;
Е – расход энергии на течение потока среды через трубопровод или сосуд, Дж/с. Дополнительное определение основных параметров текучей среды (расхода, давления и температуры на входе и выходе трубопровода или сосуда, угла натекания потока на стенку, загрязненности механическими примесями) позволяет учесть энергию потока, действующую на металл трубопровода или корпуса сосуда. Формула
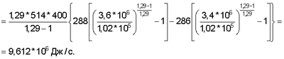
является выражением ресурса – напряжения U металла, находящегося под действием избыточного внутреннего давления в трубопроводе или корпусе сосуда; – расхода Е энергии на течение потока среды через трубопровод или сосуд; – загрязненности K потока механическими примесями; – величины угла Напряжение U металла, находящегося под действием избыточного внутреннего давления среды, уменьшает энергию [ Расход энергии Е на течение потока среды через трубопровод или сосуд влияет на уменьшение энергии [ Это влияние зависит от угла На снижение энергии [ Кроме коэффициента K и остальные учитываемые параметры являются физическими величинами, которые имеют соответствующие размерности. Объективная закономерность, выраженная взаимосвязью этих параметров в формуле, приводит к определению времени ресурса Формула достаточно объективно отражает процесс уменьшения энергии [ Авторам не известны из существующего уровня техники способы определения ресурса металла трубопроводов и корпусов сосудов, в которых увеличение точности достигалось бы указанным выше способом. Практическая реализация предлагаемого способа определения ресурса металла трубопроводов и корпусов сосудов представлена двумя примерами для газопровода и нефтепровода. ПРИМЕР 1 Предлагаемый способ определения ресурса металла газопровода осуществляется следующим образом. Определяют основные механические и геометрические параметры газопровода: энергия связей между частицами металла, численно равная напряжению металла на разрыв [ Дополнительно определяют основные параметры текучей среды: расход газа G=400 кг/с; газовую постоянную R=514 Дж/(кг К); показатель адиабаты k=1,29; давление газа Р1=3,6*106 Па (Н/м2) на входе газопровода; давление газа P2=3,4*106 Па на выходе газопровода; температуру газа T1=288 К на входе газопровода; температуру газа Т2=286 К на выходе газопровода; коэффициент загрязненности потока К=1,11 (наличие от 1 до 3 мг механических примесей на 1 м3 газа); величину угла Наружное давление окружающей среды над газопроводом P0=1,02*105 Па. Напряжение U металла газопровода под действием избыточного внутреннего давления рассчитывается по формуле Расход Е энергии на течение потока газа через трубопровод рассчитывается по формуле Ресурс ПРИМЕР-2 Предлагаемый способ определения ресурса металла нефтепровода осуществляется следующим образом. Определяют основные механические и геометрические параметры нефтепровода: энергия связей между частицами металла, численно равная напряжению металла на разрыв [ Дополнительно определяют основные параметры текучей среды (нефти): расход G=800 кг/с; давление Р1=3,5*106 Па (Н/м2) на входе нефтепровода; давление Р2=2,9*106 Па на выходе нефтепровода; плотность Напряжение U металла нефтепровода под действием избыточного внутреннего давления рассчитывается по формуле Расход Е энергии на течение потока нефти через нефтепровод рассчитывается по формуле Ресурс металла
Формула изобретения
Способ определения ресурса металла трубопровода или корпуса сосуда, включающий определение основных механических, геометрических параметров (предела текучести металла, внутреннего и внешнего диаметров, толщины стенки) и определение ресурса, отличающийся тем, что дополнительно определяют основные параметры текучей среды (расход, давление и температуру на входе и выходе трубопровода или сосуда, угол натекания потока на стенку, загрязненность механическими примесями), а ресурс определяется по формуле
где VM – объем металла в стенке трубы или корпуса сосуда, м3; [ 3,1536·107 – количество секунд в году; K – коэффициент загрязненности потока (чистый поток K=1; загрязненный поток K>1); U – напряжение металла под действием избыточного внутреннего давления в трубопроводе или корпусе сосуда, Н/м2;
Е – расход энергии на течение потока среды через трубопровод или сосуд, Дж/с.
PC4A – Регистрация договора об уступке патента СССР или патента Российской Федерации на изобретение
Прежний патентообладатель:
(73) Патентообладатель:
Договор № РД0045786 зарегистрирован 20.01.2009
Извещение опубликовано: 27.02.2009 БИ: 06/2009
QB4A – Регистрация лицензионного договора на использование изобретения
Лицензиар(ы): Предприятие свободной экономической зоны АЛЬ ВАТАН ТРЕЙДИНГ – Ф.З.Е. (AE)
Вид лицензии*: ИЛ
Лицензиат(ы): МК ГАЗ ЭКВИПМЕНТ РЕСЕРЧ КАМПАНИ ЛИМИТЕД (CY)
Договор № РД0057870 зарегистрирован 07.12.2009
Извещение опубликовано: 20.01.2010 БИ: 02/2010
* ИЛ – исключительная лицензия НИЛ – неисключительная лицензия
TK4A – Поправки к публикациям сведений об изобретениях в бюллетенях “Изобретения (заявки и патенты)” и “Изобретения. Полезные модели”
Напечатано: Лицензиат: МК ГАЗ ЭКВИПМЕНТ РЕСЕРЧ КАМПАНИ ЛИМИТЕД
Следует читать: Лицензиат: МК ГАЗ ЭКВИПМЕНТ РИСЕРЧ КАМПАНИ ЛИМИТЕД
Номер и год публикации бюллетеня: 2-2010
Код раздела: QB4A
Извещение опубликовано: 10.02.2010 БИ: 04/2010
QB4A – Регистрация лицензионного договора на использование изобретения
Лицензиар(ы): МК ГАЗ ЭКВИПМЕНТ РЕСЕРЧ КАМПАНИ ЛИМИТЕД (CY)
Вид лицензии*: НИЛ
Лицензиат(ы): Закрытое акционерное общество “Группа компаний “РусГазИнжиниринг”
Договор № РД0060742 зарегистрирован 18.02.2010
Извещение опубликовано: 27.03.2010 БИ: 09/2010
* ИЛ – исключительная лицензия НИЛ – неисключительная лицензия
PC4A – Регистрация договора об уступке патента СССР или патента Российской Федерации на изобретение
Прежний патентообладатель:
(73) Патентообладатель:
Договор № РД0071708 зарегистрирован 27.10.2010
Извещение опубликовано: 10.12.2010 БИ: 34/2010
|
||||||||||||||||||||||||||

, для всех образцов и для всех состояний образцов определяют предел текучести [
], предел прочности 


– ядро повреждений в начальный момент времени;
– ядро повреждений;
) – расчетное повреждение;
, ударной вязкости образцов aH с круглыми KCU и острыми KCV надрезами) механических свойств термообработанного металла;
– величина угла натекания потока на поверхность стенки, градус;




=750 кг/м3; коэффициент загрязненности потока K=1,11; величину угла 


