|
|
(21), (22) Заявка: 2006126298/28, 19.07.2006
(24) Дата начала отсчета срока действия патента:
19.07.2006
(46) Опубликовано: 20.04.2007
(56) Список документов, цитированных в отчете о поиске:
RU 2027158 C1, 20.01.1995. SU 1213366 A, 23.02.1986. SU 1216687 A1, 07.03.1986. SU 480935 A1, 15.08.1975. US 4445457 A, 01.05.1984.
Адрес для переписки:
620100, г.Екатеринбург, а/я 760, В.Н. Макарову
|
(72) Автор(ы):
Макаров Владимир Николаевич (RU), Митяшин Александр Васильевич (RU)
(73) Патентообладатель(и):
Макаров Владимир Николаевич (RU)
|
(54) СПОСОБ ИЗМЕРЕНИЯ ПЕРЕПАДА ДАВЛЕНИЯ
(57) Реферат:
Изобретение относится к измерительной технике, в частности к способам измерения перепадов давлений, например, при измерении малых скоростей воздушных или газовых потоков. Два пневмовхода дифференциального датчика давления подключают к точкам отбора давления измеряемой среды через делитель пневмосигнала, состоящий из двух постоянных и одного переменного пневмосопротивлений. Входной постоянный пневмосигнал преобразуют в переменный путем его деления на переменную величину, для чего величину переменного пневмосопротивления делителя пневмосигнала изменяют по закону периодической функции времени управляющим сигналом синхронизатора. Выходной электрический переменный сигнал дифференциального датчика давления усиливают и подают на синхронный детектор. По результату детектирования судят о величине перепада давления. Способ прост в реализации, обеспечивает высокую точность измерений и не требует больших затрат энергии. 1 ил.
Изобретение относится к измерительной технике, к способам измерения перепадов давлений, когда требуется измерять малые величины давлений, например, при измерении малых скоростей воздушных или газовых потоков.
Известен способ измерения перепада давления путем подключения двух пневмовходов дифференциального датчика давления к точкам отбора давления измеряемой среды, усиление и преобразование выходного сигнала дифференциального датчика, по результатам которого судят о величине перепада давления (Петунин А.Н. Методы и техника измерений параметров газового потока. М.: Машиностроение, 1972. – С.158-169). Способ осуществляют с помощью дифференциального датчика, работающего совместно с усилительно-преобразовательной аппаратурой. Однако способ не позволяет снизить пороговый уровень измеряемых перепадов давлений из-за наличия аддитивной составляющей температурной погрешности, проявляющейся в виде дрейфа показаний.
Известен способ измерения перепада давления путем подключения двух пневмовходов дифференциального датчика давления к точкам отбора давления измеряемой среды, формирования управляющего сигнала в виде периодической функции времени, преобразования входного постоянного пневмосигнала в переменный, усиления и синхронного детектирования выходного сигнала дифференциального датчика, по результатам которого судят о величине перепада давления (патент РФ 2027158 – прототип). Способ уменьшает влияние аддитивной составляющей температурной погрешности, проявляющейся в виде дрейфа показаний, и позволяет измерять малые перепады давлений, порядка единиц и десятков Паскаля. Однако преобразование входного постоянного пневмосигнала в переменный в этом способе осуществляют путем поочередного подключения пневмовходов датчика то к первой, то ко второй точке отбора давления. Такое переключение пневмовходов осуществляют двумя двухпозиционными пневмопереключателями, которые являются сложными устройствами и потребляют во время работы большое количество энергии, что затрудняет использование способа в портативных измерительных устройствах и предполагает только его стационарное использование. Кроме того, работа пневмопереключателей создает во входных пневмоцепях устройства большие коммутационные всплески пневмосигнала, что снижает точность измерений.
Задача – уменьшение аддитивной температурной дрейфовой составляющей погрешности измерений, возможность реализации способа в портативных измерительных устройствах.
Технический результат – уменьшение коммутационных всплесков пневмосигнала, повышение точности измерений, упрощение способа, снижение затрат энергии на преобразование постоянного пневмосигнала в переменный.
Этот технический результат достигается тем, что в способе измерения перепада давления путем подключения двух пневмовходов дифференциального датчика давления к точкам отбора давления измеряемой среды, формирования управляющего сигнала в виде периодической функции времени, преобразования входного постоянного пневмосигнала в переменный, усиления и синхронного детектирования выходного сигнала дифференциального датчика, по результатам которого судят о величине перепада давления, авторами предложено преобразование входного пневмосигнала в переменный осуществлять путем его деления на переменную величину, изменяемую по закону периодической функции времени, для чего между точками отбора давления измеряемой среды и пневмовходами дифференциального датчика давления установить делитель пневмосигнала, состоящий из одного или нескольких постоянных пневмосопротивлений и одного переменного, величину которого изменяют управляющим сигналом.
Замена коммутации пневмосигналов их делением на переменную величину позволила в заявляемом способе уменьшить величину коммутационных всплесков пневмосигнала и тем самым повысить точность измерений. Использование для этой цели простого устройства (делителя пневмосигнала) упрощает и удешевляет способ по сравнению с прототипом, где используют двухпозиционные пневмопереключатели. Как показали проведенные авторами эксперименты, управление величиной пневмосопротивления может быть осуществлено с использованием одного стандартного 9-вольтового элемента питания (типа «Корунд»). Это дает возможность использовать заявляемый способ в портативных измерительных устройствах.
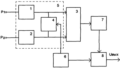
Структурная схема устройства, реализующего заявляемый способ, содержит:
1 и 2 – постоянные пневмосопротивления;
3 – дифференциальный датчик давления;
4 – переменное пневмосопротивление;
5 – делитель пневмосигнала;
6 – синхронизатор;
7 – усилитель-преобразователь;
8 – синхронный детектор.
Способ осуществляют следующим образом. В измеряемый поток газа или воздуха помещают входной конец пневмометрической трубки (точки отбора давления измеряемой среды P1 и Р2), каналы которой являются постоянными пневмосопротивлениями 1 и 2. На выходном конце трубки возникает постоянный сигнал перепада давления. Между выходными каналами пневмометрической трубки и входными каналами дифференциального датчика давления 3 устанавливают переменное пневмосопротивление 4, которое вместе с пневмосопротивлениями 1 и 2 образует делитель пневмосигнала 5. Переменное пневмосопротивление может быть выполнено в виде пар «сопло-заслонка», «шарик-конус», «шарик-цилиндр» и др., их проходное сечение (величина пневмосопротивления) изменяют управляющим сигналом синхронизатора 6 по закону периодической функции времени. Диапазон изменения величины переменного пневмосопротивления 4 подбирают экспериментально таким образом, чтобы при минимальной его величине постоянные пневмосопротивления 1 и 2 намного превышали ее, а при максимальной величине пневмосопротивления 4 – были намного меньше. Это приводит к получению максимальной амплитуды переменного пневмосигнала на входе датчика 3, что обеспечивает компенсацию температурной дрейфовой составляющей погрешности измерений наилучшим образом. Выходной электрический переменный сигнал дифференциального датчика 3 усиливают и преобразуют в блоке 7. Затем этот сигнал подают на вход синхронного детектора 8, работой которого также управляет синхронизатор 6. По выходному сигналу детектора 8 Uвых. судят о величине перепада давления P1-P2.
Преобразование постоянного входного пневмосигнала в переменный обеспечивает в заявляемом способе, как и в прототипе, уменьшение аддитивной температурной дрейфовой составляющей погрешности измерений, но используя при этом более простые средства и потребляя меньше энергии. При этом способ позволяет измерять перепады давления порядка десятых и сотых долей Паскаля и может быть использован в портативных измерительных устройствах с одним стандартным 9-вольтовым элементом питания (типа «Корунд») для измерения малых скоростей воздуха или газа (от 0,1 м/с и выше).
Формула изобретения
Способ измерения перепада давления путем подключения двух пневмовходов дифференциального датчика давления к точкам отбора давления измеряемой среды, формирования управляющего сигнала в виде периодической функции времени, преобразования входного постоянного пневмосигнала в переменный, усиления и синхронного детектирования выходного сигнала дифференциального датчика, по результатам которого судят о величине перепада давления, отличающийся тем, что преобразование входного пневмосигнала в переменный осуществляют путем его деления на переменную величину, изменяемую по закону периодической функции времени, для чего между точками отбора давления измеряемой среды и пневмовходами дифференциального датчика давления устанавливают делитель пневмосигнала, состоящий из одного или нескольких постоянных пневмосопротивлений и одного переменного, величину которого изменяют управляющим сигналом.
РИСУНКИ
|
|