|
|
(21), (22) Заявка: 2005105041/28, 22.07.2003
(24) Дата начала отсчета срока действия патента:
22.07.2003
(30) Конвенционный приоритет:
22.08.2002 EP 02405715.0
(43) Дата публикации заявки: 10.10.2005
(46) Опубликовано: 20.04.2007
(56) Список документов, цитированных в отчете о поиске:
WO 01/96819 A1, 20.12.2001. WO 01/18500 A1, 15.03.2001. ЕР 0373965 А2, 20.06.1990. US 6047589 А, 11.04.2000. RU 2125262 C1, 20.01.1999.
(85) Дата перевода заявки PCT на национальную фазу:
22.03.2005
(86) Заявка PCT:
CH 03/00492 (22.07.2003)
(87) Публикация PCT:
WO 2004/018976 (04.03.2004)
Адрес для переписки:
191036, Санкт-Петербург, а/я 24, “НЕВИНПАТ”, пат.пов. А.В.Поликарпову
|
(72) Автор(ы):
МАТТЕР Даниэль (CH), ЛУКЗИНГЕН Рольф (CH), КРАМЕР Беат (CH), САББАТТИНИ Бруно (CH)
(73) Патентообладатель(и):
ЭМС-ПАТЕНТ АГ (CH)
|
(54) СПОСОБ ИЗМЕРЕНИЯ ПОТРЕБЛЕНИЯ ГАЗА И ГАЗОВОЙ ЭНЕРГИИ И ГАЗОВЫЙ СЧЕТЧИК ДЛЯ ОСУЩЕСТВЛЕНИЯ СПОСОБА
(57) Реферат:
Предложенный газовый счетчик содержит тепловой датчик для определения массового расхода и тепловой датчик качества для определения типа газа. Тепловой датчик расхода и/или датчик качества газа представляют собой КМОП-анемометры с нагревательным элементом и температурными датчиками, расположенными до или после нагревательного элемента относительно направления газового потока, и могут являться одним датчиком. Варианты выполнения включают измерение теплового коэффициента: теплопроводности, теплоемкости, диффузионной способности, или вязкости газа или газовой смеси с целью определения типа газа. В присутствии негорючего газа или газовой смеси счетчик работает с калибровкой в единицах массы или единицах объема в стандартных условиях, а в присутствии горючего газа или газовой смеси – с калибровкой в единицах энергии. Изобретения обеспечивают повышение точности измерения потребляемой энергии благодаря автоматическому различению типа газа, распознаванию попыток манипуляций со счетчиком и автоматическому отслеживанию теплотворной способности без непосредственного ее измерения. 2 н. и 12 з.п. ф-лы, 4 ил.
ОБЛАСТЬ ТЕХНИКИ
Настоящее изобретение относится к измерению газовых потоков тепловыми датчиками. В частности, оно относится к способу и датчику для измерения массового расхода согласно ограничительным частям независимых пунктов формулы изобретения.
УРОВЕНЬ ТЕХНИКИ
В документе WO 01/96819 А1 раскрыт газовый счетчик, который откалиброван как счетчик энергии. Калибровка основана на том, что показания датчика, зависящие от расхода градуировочного газа или калибровочного газа, снимают и сохраняют в газовом счетчике в виде градуировочной кривой датчика или калибровочной кривой датчика. Калибровочную кривую или значения сигнала датчика умножают на коэффициент преобразования сигнала и коэффициент теплотворности для базовой газовой смеси так, чтобы полученное произведение выражало потребление газа в выходных единицах, а после интегрирования – в единицах энергии. С помощью дополнительных поправочных коэффициентов можно учесть фактическую теплотворность подаваемой газовой смеси в единицах энергии, по меньшей мере приблизительно. Измеренную теплотворность, усредненную по определенному временному промежутку, можно использовать как фактическую теплотворность. Недостатком является то, что для определения теплотворности необходимо использовать внешний блок.
В патенте ЕР 0373965 раскрыты способ и устройство для определения потребления газа или энергии на основе скорректированного сигнала массового расхода. В процессе коррекции сигнала учитываются теплопроводность, удельная теплоемкость и плотность газа. Скорректированный сигнал массового расхода и, следовательно, потребление газа или энергии зависят от типа газа и, в частности, одинаковы для воздуха, аргона, гелия, двуокиси углерода, метана и пропана. Недостаток заключается в том, что стандартный сигнал массового расхода такого типа нечувствителен к теплотворности газа или газовой смеси, поскольку горючие газы с различной теплотворностью (например, метан или пропан) создают одинаковые сигналы массового расхода, которые даже совпадают с сигналами для негорючих газов (например, гелия, аргона, двуокиси углерода или воздуха).
В патенте США №5311447 раскрыты способ и устройство для бессжигательного определения удельной теплотворности природного газа. С этой целью определяют значение удельной теплотворности, плотности или удельного содержания инертных газов на основе измеренных значений вязкости, теплопроводности, теплоемкости, оптического поглощения и т.д. с использованием эмпирических формул. Большая сложность измерений и вычислений неудобны при необходимости количественных измерений множества независимых значений, зависящих от типа газа, и их объединения при измерении объемного расхода в газовом расходометре для определения потребляемого количества энергии.
В документе WO 01/18500 раскрыт усовершенствованный массовый расходомер с двумя анемометрами на комплементарной структуре металл-окисел-проводник (КМОП-анемометрами). В неподвижном газе измеряют теплопроводность при постоянном нагреве и при импульсном нагреве, измеряют теплоемкость, идентифицируют газ и, на основе значения удельной теплоемкости совместно с измерением массового расхода, определяют полную теплотворную способность газа. Относительно высокая сложность этого способа вновь является недостатком при определении потребляемой энергии на основе различных значений массового расхода и удельной теплоемкости. Кроме того, для достаточно точного определения подаваемой энергии значение удельной теплоемкости необходимо измерять непрерывно и с большой точностью.
СУЩНОСТЬ ИЗОБРЕТЕНИЯ
Целью настоящего изобретения является создание способа и устройства для определения расхода газа при достижении лучшей возможности калибровки. Эта цель достигнута в настоящем изобретении посредством признаков, изложенных в независимых пунктах формулы изобретения.
В своем первом аспекте настоящее изобретение относится к способу измерения потребления газа с помощью газового счетчика, в частности для измерения отмеряемой подачи газовой энергии в частной, общественной или промышленной сфере, причем значения сигнала датчика по существу пропорциональны расходу газа, определяемому газовым счетчиком посредством теплового датчика расхода газа, а значения сигнала датчика выводятся в виде значений энергии на основе калибровки газового счетчика в качестве счетчика энергии, причем тип газа определяется газовым счетчиком в той степени, в какой негорючую газовую смесь удается отличить от горючей газовой смеси, газовым счетчиком в присутствии негорючей газовой смеси управляют с использованием калибровки в единицах массы или единицах объема в стандартных условиях, а в присутствии смеси горючего газа – с использованием калибровки в единицах энергии. Работа в качестве счетчика энергии включает также калибровку и работу в качестве выходного счетчика, выдающего выходные значения. Предлагаемые в настоящем изобретении способ и газовый счетчик обеспечивают различные преимущества. Надежность измерения энергии значительно повышается, поскольку в процессе протекания газа при незначительном усложнении устройства производится строгая дифференциация между высококачественным полезным газом и негорючим газом. В частности, производится автоматическая дифференциация между негорючим калибровочным газом, обычно азотом или воздухом, и измеряемой базовой газовой смесью или газом, а автоматическое отключение происходит не по значению массы или объема, а по значению энергии. Одна и та же дифференциация эффективна в режиме неработающей системы, в процессе ее работы, в процессе манипуляции счетчиком или в других ситуациях, в результате чего устраняется фальсификация измерения энергии при контакте с воздухом или в аналогичной ситуации. Работа при калибровке по массе, объему или энергии предусматривает, в частности, вывод и/или отображение сигнала в соответствующих единицах.
В первом варианте выполнения настоящего изобретения по меньшей мере один параметр газовой смеси, зависящий от типа газа, в частности тепловой коэффициент, такой как удельная теплопроводность и/или теплоемкость с или вязкость , определяют с помощью теплового датчика качества газа и, путем сравнения с известными значениями этого параметра для известных газов или газовых смесей, газовую смесь идентифицируют как горючую или негорючую. Поэтому достаточно приблизительного знания типа или состава газа, чтобы можно было принять цифровое решение относительно признания газа горючим/негорючим и активировать соответствующую калибровку.
Преимущество варианта выполнения настоящего изобретения по п.3 заключается в особенно простой конфигурации датчика и в простом вычислении сигнала. В результате суммирования температурных сигналов, сигнал определения параметра, зависящего от типа газа, или термодинамического коэффициента не зависит от направления потока и от возможной асимметрии расположения температурных датчиков. Кроме того, удается достичь большего сигнала, чем при использовании только температурного датчика, который расположен выше относительно направления потока.
Преимущество вариантов выполнения настоящего изобретения по п.п.4 и 5 заключается в том, что для высоконадежной идентификации присутствующего газа или газовой смеси в качестве горючих и, следовательно, пригодных для подачи отмеряемой энергии или негорючих и, следовательно, пригодных для подачи без измерения расхода используется простое вычислительное устройство.
Преимущество вариантов выполнения настоящего изобретения по п.6 заключается в том, что текущие требования к газовому счетчику можно значительно снизить без потери точности измерений.
Преимущество варианта выполнения настоящего изобретения по п.7 заключается в том, что полное потребление энергии газа или подачу энергии правильно определяют при переключении между калибровкой в единицах энергии и других единицах измерения потока, например массы или объема.
Преимущество варианта выполнения настоящего изобретения по п.8 заключается в том, что в качестве опции измерение расхода газа непрерывно продолжают в единицах массы или в единицах объема в стандартных условиях, например, для определения полного объемного расхода или его суммируют только в случае потока из негорючих газов, например, чтобы в случае, когда циркуляция газа прекращена, генерировать дополнительное управляющее значение для подачи горючих газов, или после каждого переключения калибровки датчик заново инициализируют для документирования прерывания снабжения энергией.
Преимущество вариантов выполнения настоящего изобретения по п.9 заключается в том, что попытку манипуляции газовым счетчиком можно легко обнаружить.
Преимущество варианта выполнения настоящего изобретения по п.10 заключается в том, что автоматическое слежение за значениями тепловых параметров осуществляется без какого-либо внешнего или внутреннего определения текущего значения удельной теплоемкости газа или газовой смеси.
В своем втором аспекте настоящее изобретение относится к газовому счетчику с тепловым датчиком массового расхода, предназначенному для определения подаваемой в виде газа энергии согласно ранее описанному способу. Газовый счетчик содержит тепловой датчик расхода, калиброван как измеритель энергии в единицах энергии и, кроме того, калиброван как массовый расходомер в единицах массы или в единицах объема в стандартных условиях, содержит датчик качества газа, который генерирует сигнал различения, в частности параметр, зависящий от типа газа, или тепловой коэффициент, позволяющий отличить горючую газовую смесь от негорючей газовой смеси, и может переключаться на основе сигнала различения и работать либо в качестве счетчика энергии, либо в качестве массового расходомера. Поэтому для целей калибровки в процессе хранения или когда он не работает, газовый счетчик калибруют в качестве массового расходомера или, при дополнительном измерении плотности, в качестве объемного расходомера, а для измерительных целей – в качестве счетчика энергии. При работе системы, если обнаружено присутствие воздуха, никакого измерения энергии не производится. Вместо этого может производиться измерение расхода в единицах массы или объема.
Варианты выполнения настоящего изобретения по п.п.12-15 отличаются особой простотой конструкции и работы газового счетчика. В частности, попытки манипуляции газовым счетчиком в процессе работы системы можно легко обнаружить по обнаружению периодического контакта с воздухом.
Дополнительные варианты выполнения настоящего изобретения, его преимущества и применения раскрыты в зависимых пунктах формулы изобретения, в описании и показаны на соответствующих чертежах.
КРАТКОЕ ОПИСАНИЕ ЧЕРТЕЖЕЙ
На фиг.1 показано сечение трубы, по которой протекает поток газа, и тепловой датчик расхода, который является компонентом газового счетчика с двойной калибровкой согласно настоящему изобретению – как счетчика количества газа и счетчика энергии;
на фиг.2 показаны суммарные температурные сигналы, предназначенные для определения тепловых коэффициентов, зависящих от вида газа;
на фиг.3 показана калибровочная кривая для перехода от калибровочного газа к базовой газовой смеси (полезный газ);
на фиг.4 показана таблица с параметрами природного газа.
На чертежах одинаковые элементы обозначены одинаковыми позициями.
СПОСОБЫ РЕАЛИЗАЦИИ НАСТОЯЩЕГО ИЗОБРЕТЕНИЯ
На фиг.1 показан газовый счетчик, содержащий счетчик тепловой энергии или массовый расходомер 1а, 1b, 7, который включает датчик 1а, расположенный в канале протекания потока или трубе 2, мембрану 1b и блок 7 измерения и оценки. Газ 3 с профилем 4 распределения скоростей протекает по трубе 2. На датчик 1а действует поток со скоростью v, которую измеряют. Газовый счетчик 1 содержит нагревательный элемент 6, первый температурный датчик 5а, расположенный до него относительно направления потока, и второй температурный датчик 5b, расположенный после него относительно направления потока. На основе температурных сигналов T1, T2 от температурных датчиков 5а, 5b можно известным образом определить сигнал SM, соответствующий расходу в единицах массы или объема в стандартных условиях. Базовый режим работы основан на том факте, что распределение температуры в потоке 4, которое создается нагревательным элементом 6, становится асимметричным, и разность T1-Т2 температур около температурных датчиков 5а, 5b используется в качестве меры скорости v потока или массового расхода dm/dT. С хорошим приближением сигнал SM массового расхода пропорционален разности T1-T2 температур. В настоящем случае, помимо этого, измерительное устройство 7 на основе сигнала SM массового расхода или, в общем случае, сигнала S датчика 1а расхода определяет сигналы SE значения энергии и выводит их на основе калибровки газового счетчика 1 в качестве счетчика энергии. Калибровка в качестве счетчика энергии раскрыта в документе WO 01/96819 А1, содержание которого включено в настоящее описание путем ссылки. Аналогично, три статьи авторов J.Robadey и F.Mayer и др., относящиеся к КМОП-анемометру, на которые в этом документе даны ссылки, включены в настоящее описание путем ссылки. Описанный там КМОП-анемометр особенно хорошо подходит для использования в качестве датчика 1а.
Согласно настоящему изобретению, тип газа определяется газовым счетчиком 1 так, что негорючую газовую смесь 3 отличают от горючей газовой смеси 3, и газовый счетчик 1 в присутствии негорючей газовой смеси 3 работает с калибровкой в единицах массы или единицах объема в стандартных условиях, например литров в минуту (л/мин), а в присутствии горючей газовой смеси 3 – с калибровкой в единицах энергии или выходных единицах, например кВт·ч.
Для возможности работы газового счетчика 1 в качестве счетчика энергии или массового расходомера, вместо датчика 1а расхода с двумя температурными датчиками 5а, 5b и, в частности вместо КМОП-анемометра 1а в общем случае может также использоваться тепловой датчик расхода, в котором газ 3 проходит над чувствительным элементом, имеющим средство нагрева для изменения температуры, и чувствительное средство для определения температуры газа, при этом зависимое от потока изменение температуры, в свою очередь, является мерой массового расхода. Альтернативно, тепловой датчик 1а расхода может также работать при наличии только одного температурного датчика 5а, который расположен ниже относительно направления потока. В общем случае, массовый расход dm/dt может быть выражен в единицах массы или единицах объема в стандартных условиях, например в кг/мин, или может быть определен через плотность из объемного расхода dV/dT согласно выражению dm/dt= *dV/dT. В газовом счетчике 1 вывод сигнала подразумевает использование сигнального дисплея и/или передачу сигнала в считывающий центральный блок оценки (не показан).
Согласно WO 01/96819 А1, сигнал S датчика измеряют с использованием калибровочного газа 3, обычно азота N2 или воздуха, при этом указанный сигнал датчика по существу пропорционален объемному расходу d(VN2,n)/dt в стандартных условиях для калибровочного газа 3. Путем обратного преобразования Sd(VN2,n)/dt определяют калибровочную кривую датчика F(S), ранее обозначенную как Fn(Sd(VN2,n)/dt), и записывают ее в блок 7 оценки газового счетчика 1. После этого в процессе работы сигнал S датчика калибруют с помощью калибровочной кривой F(S) датчика по отношению к (некорректированному) сигналу Sm массового расхода, который пропорционален F(S) или же просто Sm=F(S). Поэтому калибровка расхода может быть выражена калибровочной кривой F(S) датчика для калибровочного газа при нормальных условиях. Сигнал Sm массового расхода зависит от типа газа. Поэтому девиации сигнала Sm массового расхода относительно точного идеального значения для базовой смеси, обычно природного газа или, в общем случае, смеси углеводородов СН, корректируется с помощью коэффициента коррекции сигнала или коэффициента fN2-CH коррекции сигнала датчика (фиг.3). Следовательно, справедливо соотношение SM=Sm·fN2-CH=F(S), где SM – корректированный сигнал массового расхода. Наконец, сигнал SE энергии определяется умножением на теплотворность НCH (калориметрическое значение на единицу расхода, то есть на объем в стандартных условиях или на массу) для смеси базового газа и интегрированием:
SE= SM·HCH·dt=fN2-CH·HCH· F(S).
Однако, начиная с этой калибровки энергии для базовой газовой смеси СН, далее отпадает необходимость в проведении измерения текущей теплотворности газовой смеси. Согласно WO 01/96819 А1, встроенное автоматическое слежение за теплотворностью в случае девиаций текущей газовой смеси 3 от базовой газовой смеси СН производится именно в тепловом датчике 1а расхода, в частности в КМОП-анемометре. Поэтому достаточно приблизительно знать тип и/или состав газа 3 и принять цифровое решение относительно того, подается ли горючий, или отмеряемый, газ 3, или измеряется только поток негорючего или по меньшей мере неотмеряемого газа; в первом случае относительно достоверное измерение энергии, которое относится к текущей теплотворности, производится без измерения самой теплотворности.
Согласно WO 01/96819 А1 или неопубликованной заявке ЕР 018105460, полностью включенной в настоящее описание путем ссылки, для упомянутых величин S, F(S), fN2-CH и НCH и величин, которые можно вывести из них, может также использоваться соответствующее усреднение по времени.
Предпочтительно, чтобы по меньшей мере один тепловой параметр, например (теплопроводность), с (теплоемкость), (диффузионная способность), (вязкость), зависящий от типа газа в газовой смеси 3, определялся с помощью теплового датчика 1а качества газа и сравнивался с известными значениями параметров , с, , для известных газов или газовых смесей, в результате чего газовая смесь 3 идентифицируется как горючая или негорючая.
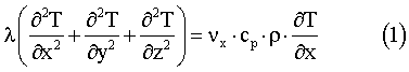
Ниже подробно анализируется измерение теплопроводности тепловым датчиком 1а расхода. Можно считать исследуемый газ 3 по существу несжимаемым, поскольку относительное изменение плотности  / 1/2 (v/c0)2, где v – скорость потока и с – скорость звука, для типичных параметров v=3 м/с и c0 300 м/с имеет порядок 10-4 и, следовательно, незначительно. Для несжимаемых газов 3, то есть, когда v<с, и в пренебрежении вязким рассеянием, теплопередача, включая конвекцию, может быть получена из стационарного уравнения теплопроводности путем добавления конвекционного члена. Для потокового канала 2 в отсутствие источника тепла и при заданных условиях результирующее уравнение теплового баланса в направлении оси х имеет вид:

где Т=T(x,y,z) – стационарное температурное поле в газе 3, – теплопроводность, vx – скорость потока в направлении оси х, cр – теплоемкость и – плотность газа 3. Для незначительной конвекции vx 0 теплопроводность может быть определена путем интегрирования уравнения для стационарной диффузии

при использовании правильных граничных значений для постоянных интегрирования (тепловой поток j 0, источники теплоты в газе 3 отсутствуют). Если конвекцией нельзя пренебречь, т.е. vx>0, обратная тепловая диффузионная способность -x=cр / , может быть определена из уравнения (1), если известна vx.
Уравнение (1) было решено методом конечных элементов в отношении датчика 1а расхода на фиг.1 в КМОП-конфигурации для типичных газовых компонентов природного газа (пропана С3Н8, этана С2Н6, двуокиси углерода CO2, метана СН4, азота N2 и гелия Не) с использованием для них известных тепловых коэффициентов , cр, . На фиг.2 полученная в результате сумма температур T1+T2 для этих компонентов природного газа построена в зависимости от скорости потока vx. Сумма температур T1+T2 для малой величины vx (приблизительно в диапазоне 0…20 мл/мин, в частности 0…5 мл/мин) является явно идентифицируемой, поскольку лежащие в ее основе теплопроводности (см. фиг.4) имеют значительно отличающиеся значения. Поэтому для обычного датчика 1а расхода достаточно использовать просто суммарный сигнал от температурных датчиков 5а, 5b в качестве меры типа газа и, в частности, в качестве сигнала для отличия горючего газа 3 от негорючего или неотмеряемого газа 3. Кроме того, можно определить тепловой коэффициент , с, только из температурного сигнала первого температурного датчика 5а и даже только из меньше меняющегося температурного сигнала второго температурного датчика 5b. В частности, тепловой коэффициент всегда можно определить на основе переноса теплоты в направлении потока независимо от того, какой температурный датчик 5а, 5b является первым, то есть расположенным выше относительно направления потока, а какой – ниже. Кроме того, для более высоких скоростей потока vx>0 температурные кривые T1+T2 или только T1 (не показаны) зависят от типа газа и являются различимыми, поскольку лежащие в их основе диффузионная способность и/или теплоемкость cр или, в общем случае, с отличаются. Как указано выше, согласно WO 01/18500, теплопроводность может быть также измерена в неподвижном газе при постоянной отдаче тепла и, независимо, теплоемкость с или с* может быть измерена для случая импульсной отдачи тепла. С этой целью используется нагревательное средство с постоянной отдачей тепла или подающее тепловые импульсы, которое позволяет измерять, по меньшей мере временно, независимую от потока теплопроводность или теплоемкость с.
На фиг.4 приведена таблица с тепловыми коэффициентами , cр, и плотностями для типичных компонентов природного газа, метана, этана, пропана, кислорода, водорода, моноокиси углерода (горючие газы) и двуокиси углерода, азота, воды и гелия (негорючие газы). В предпочтительном варианте выполнения настоящего изобретения измеренная теплопроводность была проверена на соответствие абсолютному значению теплопроводности 0,026 Вт/мК для азота, кислорода или воздуха, в частности 0,0260 Вт/мК для азота, 0,0263 Вт/мК для кислорода, 0,0261 Вт/мК для воздуха, и 0,0168 Вт/мК для двуокиси углерода, причем учитывался заданный допуск ±10%, предпочтительно ±5% и особенно предпочтительно ±2%. В случае соответствия газовая смесь 3 признавалась негорючей, и вывод 8 сигнала газового счетчика 1 осуществлялся с использованием шкалы 8b, которая была откалибрована в единицах массы или единицах объема в стандартных условиях, например л/мин. В случае несоответствия, газовая смесь 3 признавалась горючей, и вывод 8 сигнала газового счетчика 1 осуществлялся с помощью шкалы 8а, которая была откалибрована в единицах энергии, например кВт·ч.
Альтернативно или дополнительно, измеренная теплоемкость с или cр сравнивалась с пороговым значением, соответствующим абсолютной величине 1300 Дж/кг К, причем учитывался заданный допуск ±10%, предпочтительно ±5% и особенно предпочтительно ±2%. В случае величины ниже пороговой газовая смесь 3 признавалась негорючей, и вывод 8 сигнала газового счетчика 1 осуществлялся с помощью шкалы 8b, которая была откалибрована в единицах массы или единицах объема в стандартных условиях. В случае несоответствия, газовая смесь 3 признавалась горючей, и вывод 8 сигнала газового счетчика 1 осуществлялся с помощью шкалы 8а, которая была откалибрована в единицах энергии.
Предпочтительно, чтобы периодически проводилась проверка, находится ли газовый счетчик 1 в контакте с горючим газом 3, в частности с природным газом, или с негорючим газом, в частности с азотом или воздухом. Интервалы между измерениями для определения сигналов S: Sm, SM SE от датчика, в присутствии негорючей газовой смеси 3 выбирались большими, в частности они составляли 1 минуту или больше, а в присутствии горючей газовой смеси 3 – малыми, в частности 10 с и менее.
Значения потребляемой газовой энергии могут суммироваться в газовом счетчике 1, и, когда происходит переключение калибровки на единицы массы или объема в стандартных условиях, суммарное значение может временно сохраняться, а после возврата назад к единицам энергии использоваться в качестве исходного. С другой стороны, значение SM расхода при переключении к единицам энергии может продолжать увеличиваться и, в частности, выводиться, или суммарный расход может временно запоминаться и, в частности, выводиться, а при возврате к единицам массы или единицам объема в стандартных условиях может использоваться в качестве исходного значения, или же перед использованием в качестве исходного значения оно может быть сброшено в 0.
С помощью индикатора или дисплея 9 можно отобразить, находится ли газовый счетчик 1 в контакте с воздухом, природным газом или смесью воздуха и природного газа. Кроме того, согласно установкам по умолчанию газового счетчика 1, могут отображаться единицы массы или единицы объема в стандартных условиях, а единицы энергии могут отображаться только после первого контакта с полезным газом, в частности с природным газом. Кроме того, при первой инициализации газового счетчика 1, в частности при сборке, калибровка может автоматически переключаться от единиц массы или единиц объема в стандартных условиях для воздуха к единицам энергии для природного газа. Наконец, при контакте с воздухом, природным газом и вновь с воздухом, может срабатывать индикатор 10 манипуляции с газовым счетчиком 1.
Кроме того, изобретение охватывает также газовый счетчик 1, предназначенный для реализации вышеописанного способа. Предпочтительно, чтобы тепловой датчик 1а расхода газа и датчик 1а качества газа имели одинаковую конструкцию и, в частности, были одним и тем же датчиком. В газовом счетчике 1 сигналы S: Sm, SM SE, датчика и тепловые коэффициенты, , cр, , газовой смеси 3 измеряются одним и тем же тепловым датчиком 1а, в частности КМОП-анемометром 1а с нагревательным проводом 6 и по меньшей мере с одним температурным датчиком 5а, расположенным до провода 6 относительно потока, а кроме того, в качестве опции – по меньшей мере с одним температурным датчиком 5b, расположенным ниже провода 6 относительно потока. Тепловой датчик 1а расхода газа может работать в качестве датчика 1а качества газа, если измеренный коэффициент массового расхода падает ниже заданного порогового значения. Альтернативно, датчик 1а качества газа может быть расположен в области с постоянной скоростью потока, в частности в области по существу неподвижного газа 3.
Согласно фиг.1, газовый счетчик 1 содержит индикатор или дисплей 9 для отображения качества газа, в частности для отображения присутствия калибровочного газа 3 или полезного газа 3, предпочтительно воздуха, природного газа или смеси воздуха/природного газа, индикатор 10 манипуляций со счетчиком, который может быть активирован при изменении контакта с негорючим газом 3, в частности на контакт с калибровочным газом 3, горючим газом или полезным газом 3 и вновь с негорючим газом 3, в особенности с окружающим газом 3, и блок 7 измерения и оценки, предназначенный для определения значения потребленной энергии SE и значения массового расхода SM, и предпочтительно отдельную память 7b, 7с для хранения данных SE о потреблении энергии и значений SM расхода в единицах массы или единицах объема в стандартных условиях. Вычислительный блок 7а содержит также память для хранения известных тепловых коэффициентов , cр, , плотностей или вязкости для известных газов, и вычислительное средство, предназначенное для сравнения измеренных тепловых коэффициентов , cр, , плотностей или вязкости с хранимыми данными и с данными, полученными интерполяцией на основе хранимых данных, и вычислительное средство, предназначенное для идентификации газовой смеси 3 в качестве горючей, т.е. отмеряемой, или негорючей, т.е. неотмеряемой.
УСЛОВНЫЕ ОБОЗНАЧЕНИЯ
| 1 |
Газовый счетчик |
| 1а |
Тепловой датчик массового расхода, КМОП-датчик |
| 1b |
Мембрана |
| 2 |
Канал потока, труба |
| 3 |
Газ; природный газ, градуировочный газ, калибровочный газ |
| 4 |
Профиль потока |
| 5а, 5b |
Первый, второй температурные датчики, термоэлементы |
| 6 |
Нагревательный элемент, нагревательный провод |
| 7 |
Блок измерения и оценки |
| 7а |
Вычислительный блок |
| 7b |
Память для хранения значений потребленной энергии |
| 7с |
Память для хранения значений расхода газа |
| 8 |
Вывод сигнала, дисплей |
| 8а |
Шкала, калиброванная в единицах массы/единицах объема в стандартных условиях |
| 8b |
Шкала, калиброванная в единицах энергии |
| 9 |
Индикатор качества газа, дисплей |
| 10 |
Индикатор манипуляций со счетчиком, дисплей |
| СН |
Природный газ, базовая газовая смесь |
| fN2-CH |
Коэффициент коррекции сигнала датчика |
| F(S) |
Калибровочная кривая для датчика |
| НCH |
Теплотворность, теплотворная способность |
 |
Теплопроводность |
| с, cр |
Удельная теплоемкость |
 |
Плотность |
 |
Диффузионная способность |
 |
Вязкость |
| S |
Сигнал датчика |
| Sm |
Сигнал массового расхода для градуировочного газа или калибровочного газа |
| SM |
Сигнал массового расхода для базовой газовой смеси |
| SE |
Сигнал значения энергии |
| T1, T2 |
Температуры |
| v, vx |
Скорость потока |
| dV/dT |
Объемный расход |
Формула изобретения
1. Способ измерения потребления газа с помощью газового счетчика (1), в частности для измерения отмеряемой подачи газовой энергии в частной, общественной или промышленной сфере, при котором сигналы (S) датчика, которые пропорциональны расходу, определяются газовым счетчиком (1) с помощью теплового датчика (1а) расхода и выводятся как сигналы (SE) значений энергии на основе калибровки газового счетчика (1) в качестве счетчика энергии, отличающийся тем, что
а) газовый счетчик (1) определяет тип газа или газовой смеси, различая негорючий газ или газовую смесь (3) и горючий газ или газовую смесь, и
б) газовый счетчик (1) в присутствии негорючего газа или газовой смеси (3) работает с калибровкой в единицах массы или единицах объема в стандартных условиях (л/мин), а в присутствии горючего газа или газовой смеси (3) – с калибровкой в единицах энергии (кВт·ч).
2. Способ по п.1, отличающийся тем, что
а) посредством теплового датчика (1а) качества газа определяют по меньшей мере один параметр ( , с, , ) газа или газовой смеси (3), зависящий от типа газа или газовой смеси, в частности тепловой коэффициент ( , с, ), такой, как, например, теплопроводность ( ) и/или теплоемкость (с), диффузионная способность или вязкость , и
б) идентифицируют газ или газовую смесь (3) как горючую или негорючую путем сравнения с известными значениями этого параметра ( , с, , ) для известных газов или газовых смесей.
3. Способ по п.2, отличающийся тем, что
а) тепловой датчик (1а) расхода и датчик (1а) качества газа являются одним датчиком, имеющим конструкцию с нагревательным элементом (6) и по меньшей мере одним температурным датчиком (5а, 5b), расположенным до или после нагревательного элемента относительно проходящего над ними потока газа или газовой смеси, и
б) по разности температурных сигналов от температурных датчиков (5а, 5b) определяют сигнал (Sм) массового расхода, а по сумме температурных сигналов (T1+Т2) или по температурному сигналу одного температурного датчика (5а) определяют тепловой коэффициент ( , с, ), зависящий от типа газа или газовой смеси.
4. Способ по одному из предыдущих пунктов, отличающийся тем, что
а) измеренную теплопроводность ( ) проверяют на соответствие значению теплопроводности 0,026 Вт/мК азота, кислорода или воздуха, в частности 0,0260 Вт/мК для азота, 0,0263 Вт/мК для кислорода, 0,0261 Вт/мК для воздуха, или значению теплопроводности 0,0168 Вт/мК двуокиси углерода, с учетом заданного допуска ±10%, предпочтительно ±5% и особенно предпочтительно ±2%,
б) в случае соответствия газ или газовую смесь (3) идентифицируют как негорючую и вывод (8) сигнала газового счетчика (1) осуществляют с помощью шкалы (8b), которая откалибрована в единицах массы или единицах объема в стандартных условиях (л/мин), и
в) в случае несоответствия газ или газовую смесь (3) идентифицируют как горючую и вывод (8) сигнала газового счетчика (1) осуществляют с помощью шкалы (8а), которая откалибрована в единицах энергии (кВт ч).
5. Способ по п.1, отличающийся тем, что
а) измеренную теплоемкость (с) сравнивают с пороговым значением 1300 Дж/кг К с учетом заданного допуска ±10%, предпочтительно ±5% и особенно предпочтительно ±2%,
б) если измеренное значение ниже порогового, то газ или газовую смесь (3) идентифицируют как негорючую и вывод (8) сигнала газового счетчика (1) осуществляют с помощью шкалы (8b), которая откалибрована в единицах массы или единицах объема в стандартных условиях (л/мин), и
в) если измеренное значение выше порогового, то газовую смесь (3) идентифицируют как горючую и вывод (8) сигнала газового счетчика (1) осуществляют с помощью шкалы (8а), которая откалибрована в единицах энергии (кВт·ч).
6. Способ по п.1, отличающийся тем, что
а) периодически проверяют, находится ли газовый счетчик (1) в контакте с горючим газом или газовой смесью (3), в частности с природным газом, или с негорючим газом или газовой смесью, в частности с азотом или воздухом, и/или
б) устанавливают интервалы между измерениями для определения сигналов (S) датчика, большими в присутствии негорючего газа или газовой смеси (3), в частности 1 мин и более, а в присутствии горючего газа или газовой смеси (3) – малыми, в частности 10 с и менее.
7. Способ по п.1, отличающийся тем, что в газовом счетчике (1) определяют суммарное значение потребленной газовой энергии, а когда происходит переключение калибровки на единицы массы или единицы объема в стандартных условиях (л/мин), суммарное значение временно сохраняют и после обратного переключения на единицы энергии (кВт·ч) используют в качестве исходного значения.
8. Способ по п.1, отличающийся тем, что в газовом счетчике (1) определяют суммарное значение расхода (Sм) в единицах массы или единицах объема в стандартных условиях (л/мин), и
а) значение расхода (Sм) при переключении калибровки на единицы энергии (кВт·ч) продолжают увеличивать и, в частности, выводить, или
б) суммарный расход временно сохраняют и, в частности, выводят, а при возврате к единицам массы или единицам объема в стандартных условиях (л/мин) используют в качестве исходного значения или сбрасывают в нуль в качестве исходного значения.
9. Способ по п.1, отличающийся тем, что
а) с помощью индикатора или дисплея (9) отображают, находится ли газовый счетчик (1) в контакте с воздухом, природным газом или смесью воздуха и природного газа, и/или
б) согласно установкам газового счетчика (1) по умолчанию, отображают единицы массы или единицы объема в стандартных условиях (л/мин), а единицы энергии (кВт·ч) отображают только после первого контакта с горючим газом или газовой смесью, в частности с природным газом, и/или
в) при первой инициализации газового счетчика (1), в частности при сборке, калибровку автоматически переключают с единиц массы или единиц объема в стандартных условиях (л/мин) для воздуха на единицы энергии (кВт·ч) для природного газа, и/или
г) при контакте с воздухом, природным газом и вновь с воздухом срабатывает индикатор (10) манипуляций с газовым счетчиком (1).
10. Способ по п.1, отличающийся тем, что при калибровке газового счетчика (1) в качестве измерителя энергии определяют сигналы (S) датчика, зависящие от расхода калибровочного газа (3), и запоминают их в газовом счетчике (1) в виде калибровочной кривой (F(S)) датчика, при этом калибровочную кривую (F(S)) датчика корректируют на коэффициент (fN2-CH) преобразования и коэффициент теплотворности (НCH) для базовой газовой смеси (СН), так что полученное в результате произведение отображает потребление газа в единицах энергии (кВт·ч) или в единицах выхода.
11. Газовый счетчик (1) для измерения потребления газа, в частности отмеряемой подачи газовой энергии в частной, общественной или промышленной сфере, который содержит тепловой датчик (1а) расхода газа и откалиброван в единицах энергии (кВт·ч) как измеритель энергии, отличающийся тем, что
а) газовый счетчик (1) дополнительно откалиброван как массовый расходомер в единицах массы или единицах объема в стандартных условиях (л/мин),
б) газовый счетчик (1) содержит датчик (1а) качества газа, который генерирует сигнал различения, в частности параметр ( , с, , ), зависящий от типа газа или газовой смеси, для различения горючего газа или газовой смеси (3) и негорючего газа или газовой смеси (3), и
в) газовый счетчик (1) может переключаться на основе сигнала различения между работой в качестве измерителя энергии и работой в качестве массового расходомера.
12. Газовый счетчик (1) по п.11, отличающийся тем, что
а) тепловой датчик (1а) расхода газа и датчик (1а) качества газа имеют одинаковую конструкцию и/или
б) тепловой датчик (1а) расхода газа и/или датчик (1а) качества газа представляют собой КМОП-анемометры (1а) с нагревательным элементом (6) и температурными датчиками (5а, 5b), которые расположены до него и после него относительно направления потока.
13. Газовый счетчик (1) по одному из пп.11 и 12, отличающийся тем, что
а) тепловой датчик (1а) расхода газа может работать в качестве датчика (1а) качества газа, если измеренный коэффициент массового расхода падает ниже заданного порогового значения, или
б) датчик (1а) качества газа расположен в области с постоянной скоростью потока, в частности в области, по существу, неподвижного газа (3).
14. Газовый счетчик (1) по одному из пп.11 и 12, отличающийся тем, что он
а) содержит индикатор или дисплей (9) для отображения качества газа, в частности для отображения присутствия калибровочного газа (3), или горючего газа, или газовой смеси (3), предпочтительно воздуха, природного газа или смеси воздуха/природного газа, и/или
б) содержит индикатор (10) манипуляций, который может быть приведен в действие при изменении контакта с негорючим газом или газовой смесью (3), в частности с калибровочным газом (3), горючим газом или газовой смесью (3), и вновь с негорючим газом или газовой смесью (3), в частности с газом (3) окружающей среды, и/или
в) содержит блок (7) измерения и оценки для определения значений (SE) потребленной энергии и/или значений (SM) массового расхода, и/или
г) содержит отдельную память (7b, 7 с) для хранения значений потребленной энергии (SE) и значений (SM) массового расхода или значений расхода в единицах объема в стандартных условиях.
РИСУНКИ
|
|