Патент на изобретение №2297445
|
|||||||||||||||||||||||||||||||||||||||||||||||||||||||||||||||||||||||||||||||||||||||||||||||||||||||||||||||||||||||||||||||||||||||||||||||||||||||||||||||||||||||||||||||||||||||||||||||||||||||||||||||||||||||||||||||||||||||||||||||||||||||||||||||||||||||||||||||||||||||||||||||||||||||||||||||||||||||||||||||||||||||||||||||||||||||||||||||||||||||||||||||||||||||||||||||||||||||||||||||||||||||||||||||||||||||||||||||||||||||||||||||||||||||||
(54) КУСОК КОСМЕТИЧЕСКОГО МЫЛА, СОДЕРЖАЩИЙ ЛАТЕНТНЫЙ ПОДКИСЛИТЕЛЬ (ВАРИАНТЫ)
(57) Реферат:
Изобретение относится к масложировой промышленности, а именно к технологии изготовления косметических мыл. Кусок косметического мыла включает: мыла на основе жирной кислоты, анионное поверхностно-активное вещество, которое не является мылом, латентный подкислитель и свободную воду. При этом подкислитель выбирают из органических или неорганических соединений или их смесей, или комплексных соединений, которые не выделяют газ при изменении рН. Кроме того латентный подкислитель используют в эффективном количестве для достижения величины дельта рН водной суспензии больше 0,5. Все компоненты взяты при определенном соотношении для каждого из трех вариантов. Изобретение позволяет получить косметическое мыло, пригодное для очищения человеческого тела, которое является мягким для кожи. 3 н. и 26 з.п. ф-лы, 7 табл.
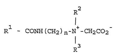
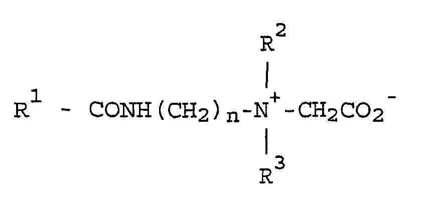
Настоящее изобретение относится к куску косметического мыла, пригодного для наружного применения для очищения человеческого тела, например для очищения кожи и волос. В частности, оно относится к композиции для кускового косметического мыла, которое является мягким для кожи и которое содержит по меньшей мере один латентный подкислитель. Все представленные ниже технические решения раскрывают композиции для стирального кускового моющего средства, которые содержат различные материалы-наполнители. Патент Соединенных Штатов № 4806273, выданный на имя Barone с соавт. 21 февраля 1989 г., и патент Соединенных Штатов № 5053159, выданный на имя Joshi 1 окт. 1991 г., раскрывают использование различных водонерастворимых наполнителей, таких как тальк, силикат кальция, силикат магния, сульфат кальция, диоксид кремния, бентонит, фосфат кальция и карбонат кальция, в синтетических кусковых стиральных моющих средствах. Патент Соединенных Штатов № 3178370, выданный на имя Okenfuss 13 апреля 1965 г., раскрывает композицию кускового стирального моющего средства, содержащую широкий ряд солей. Патент Соединенных Штатов № 4705644, выданный на имя Barone с соавт. 10 ноября 1987 г., также относится к кусковым синтетическим стиральным моющим средствам, которые содержат различные нерастворимые измельченные материалы, и указывает на то, что особенно целесообразными для использования в них материалами являются карбонат кальция и тальк. РСТ публикация № WO98/06810 на имя Hauwermeiren с соавт., опубликованная 19 февраля 1998 г., относится к композициям стиральных моющих средств, содержащим в качестве наполнителей соли, выбранные из сульфатов и хлоридов щелочных и щелочноземельных металлов, из которых сульфат натрия является предпочтительным наполнителем. РСТ публикация № WO 98/38269 на имя Ramanan с соавт., опубликованная 3 сент. 1998 г., раскрывает стиральное кусковое моющее средство с улучшенными физическими свойствами, обусловленными образованием комплексного соединения кальция и кремнийсодержащих материалов in situ. РСТ публикация № WO 98/53040 на имя Ramanan с соавт., опубликованная 26 ноября 1998 г., раскрывает стиральное кусковое мыло с улучшенной мыльной пеной и физическими свойствами, содержащее комплексное соединение металл-анионное сульфонатное поверхностно-активное вещество. Однако вышеуказанные патенты и публикации не раскрывают или не позволяют предположить мягкое для кожи косметическое кусковое мыло, содержащее эффективно действующее количество одного или несколько специфических латентных подкислителей, достаточное для того, чтобы обеспечить снижение рН в кусковом мыле в форме водной суспензии дельта рН примерно 0,5 или больше, либо величину Rys (определенную ниже) в интервале примерно от 0,70 до примерно 1,3. Дельта рН водной суспензии определена в данном описании как величина, полученная, когда рН 10%-ной водной суспензии кускового мыла с латентным подкислителем вычитают из рН водной суспензии кускового мыла без латентного подкислителя. Rys в данном описании определяют как отношение предела текучести куска мыла, содержащего латентный подкислитель, к пределу текучести куска мыла без латентного подкислителя, или Латентные подкислители ограничиваются органическими или неорганическими материалами, которые при введении в кусковое косметическое мыло по существу не превращают мыла или другие щелочные материалы, содержащиеся в кусковом мыле, в свободные кислоты и, таким образом, не снижают твердость куска мыла, о чем свидетельствуют измерения предела текучести. Поскольку кусковое мыло используют с водой, латентные подкислители неожиданно либо нейтрализуют жесткие мыла либо другие щелочные материалы, содержащиеся в косметическом кусковом мыле, или снижают рН кускового мыла в результате кислотно-щелочных взаимодействий, так чтобы создать мягкое очищающее действие для кожи без заметного снижения твердости куска. Латентные подкислители дополнительно ограничиваются соединениями, которые не выделяют газ при изменении рН и поэтому не включают, например, карбонаты, бикарбонаты, сульфиты и т.п. В одном аспекте настоящее изобретение относится к кусковому туалетному мылу, содержащему: (а) примерно от 0 до примерно 30 мас.%; предпочтительно от примерно 0 до примерно 20 мас.%; и более предпочтительно от примерно 0 до примерно 15 мас.%, мыла на основе жирной кислоты; (b) от примерно 15 до примерно 60%; предпочтительно от примерно 20 до примерно 55%; и более предпочтительно от примерно 25 до примерно 50 мас.% не являющегося мылом анионного поверхностно-активного вещества; и (с) латентный подкислитель в эффективном количестве для достижения величины дельта рН водной суспензии больше, чем примерно 0,5, предпочтительно больше чем примерно 1,0. В предпочтительном варианте содержание мыла на основе жирной кислоты составляет по меньшей мере, примерно 0,1 мас.%; предпочтительно больше, чем примерно 0,5 мас.%; и более предпочтительно более, чем примерно 1,0 мас.%. В другом аспекте настоящее изобретение относится к кусковому косметическому мылу, содержащему: (а) от примерно 30 до примерно 80 мас.%; предпочтительно от примерно 40 до примерно 70 мас.%; более предпочтительно от примерно 50% до примерно 60 мас.% мыла на основе жирной кислоты; (b) от примерно 5 до примерно 40 мас.%; предпочтительно от примерно 7 до примерно 30%; более предпочтительно от примерно 10 до примерно 20 мас.% не являющегося мылом анионного поверхностно-активного вещества; и (с) латентный подкислитель в эффективном количестве для достижения величины дельта рН водной суспензии больше, чем примерно 0,5, предпочтительно более, чем примерно 1,0. В другом аспекте настоящее изобретение относится к кусковому косметическому мылу, содержащему: (а) от примерно 40 до примерно 85 мас.%; предпочтительно от 50 до примерно 80 мас.%; более предпочтительно от примерно 60 до примерно 75 мас.% мыла на основе жирной кислоты; (b) от примерно 0 до примерно 10 мас.%; предпочтительно от примерно 0 до примерно 7 мас.%; более предпочтительно от примерно 0 до примерно 5 мас.% не являющегося мылом анионного поверхностно-активного вещества; и (с) латентный подкислитель в эффективном количестве для достижения величины дельта рН больше, чем примерно 0,5, предпочтительно больше, чем примерно 1,0. В предпочтительном варианте упомянутого аспекта настоящего изобретения содержание не являющегося мылом анионного поверхностно-активного вещества составляет больше, чем примерно 0,1 мас.%; предпочтительно больше, чем примерно 0,5 мас.%; и более предпочтительно больше, чем примерно 1,0 мас.%. Согласно другому аспекту настоящее изобретение относится к кусковому косметическому мылу, содержащему: (а) от примерно 0 до примерно 30 мас.%; предпочтительно – от примерно 0 до примерно 20 мас.%; и более предпочтительно – от примерно 0 до примерно 15 мас.% мыла на основе жирной кислоты; (b) от примерно 15 до примерно 60%; предпочтительно – от примерно 20 до примерно 55%; более предпочтительно – от примерно 25 до примерно 50 мас.%, не являющегося мылом анионного поверхностно-активного вещества; и (с) латентный подкислитель в эффективном количестве для достижения величины дельта рН водной суспензии больше, чем примерно 0,5, предпочтительно – больше, чем примерно 1,0. В предпочтительном варианте осуществления содержание мыла на основе жирной кислоты составляет по меньшей мере примерно 0,1 мас.%; предпочтительно больше, чем примерно 0,5 мас.%, более предпочтительно больше, чем примерно 1,0 мас.%. Предпочтительно латентный подкислитель содержится в концентрационном интервале от примерно 0,1 до примерно 20 мас.%, предпочтительно – от примерно 1 до примерно 10 мас.% Преимущественно мыла на основе жирной кислоты состоят из смеси С6-С22 мыл, предпочтительно – из смеси С12-С18 мыл. Предпочтительно не являющееся мылом анионное поверхностно-активное вещество выбрано из числа таких соединений, как С8-С14 ацилизетионаты; С8-С14 алкилсульфаты, С8-С14 алкилсульфосукцинаты, С8-С14 алкилсульфонаты; сульфонаты сложных эфиров С8-С14 жирных кислот, их производные и смеси, и т.п. Латентные подкислители могут представлять собой органические или неорганические соединения или их смеси или комплексные соединения, как упомянуто выше. Примеры целесообразных для использования органических соединений включают следующие соединения: ацетаты, пропионаты, гликоляты, лактаты, комплексное соединение глицина и хлоргидрата алюминия-циркония, и т.п. Предпочтительно латентным подкислителем является неорганическая соль. Преимущественно она выбрана из числа таких соединений, как сульфат алюминия, хлорид алюминия, хлоргидрат алюминия, трихлоргидрат алюминия-циркония, комплексное соединение трихлоргидрат алюминия-циркония и глицина, сульфат цинка, хлорид аммония, фосфат аммония, ацетат кальция, хлорид кальция, нитрат кальция, фосфат кальция, сульфат кальция, сульфат железа, хлорид магния, сульфат магния и т.п. Более предпочтительным латентным подкислителем является сульфат кальция. Предпочтительно отличающееся новизной кусковое мыло содержит количество свободной воды меньше, чем примерно 10 мас.%, предпочтительно меньше, чем примерно 7 мас.%, и наиболее предпочтительно меньше, чем примерно 3 мас.% Свободная вода определена в настоящем описании как такое количество воды, содержащееся в куске мыла, которое способно растворить кислотные соединения. Эта способность противоположна действию связанной воды, такой как вода кристаллизации нерастворенных материалов, когда связанная вода не способна растворять кислотный материал в той же степени, что и свободная вода. Предпочтительно отличающееся новизной кусковое мыло характеризуется величиной Rys в интервале от примерно 0,70 до примерно 1,3, предпочтительно от примерно 0,8 до примерно 1,2. В другом аспекте настоящее изобретение относится к косметическому кусковому мылу, содержащему: (а) от примерно 30 до примерно 80 мас.%, предпочтительно от примерно 40 до примерно 70 мас.%; более предпочтительно от примерно 50% до примерно 60 мас.% мыла на основе жирной кислоты; (b) от примерно 5 до примерно 40 мас.%; предпочтительно от примерно 7 до примерно 30%; более предпочтительно от примерно 10 до примерно 20 мас.% не являющегося мылом анионного поверхностно-активного вещества; и (с) латентный подкислитель в эффективном количестве для достижения величины дельта рН водной суспензии больше, чем примерно 0,5, предпочтительно больше, чем примерно 1,0. Предпочтительно отличающееся новизной кусковое мыло настоящего изобретения содержит количество свободной воды меньше, чем примерно 25 мас.%, предпочтительно меньше, чем примерно 20 мас.% и более предпочтительно – меньше, чем примерно 15 мас.%. В другом аспекте настоящее изобретение относится к косметическому кусковому мылу, содержащему: (а) от примерно 40 до примерно 85 мас.%; предпочтительно от примерно 50 до примерно 80 мас.%; более предпочтительно от примерно 60 до примерно 75 мас.%, мыла на основе жирной кислоты; (b) от примерно 0 до примерно 10 мас.%; предпочтительно от примерно 0 до примерно 7 мас.%; более предпочтительно от примерно 0 до примерно 5 мас.% не являющегося мылом анионного поверхностно-активного вещества; и (с) латентный подкислитель в эффективном количестве для достижения величины дельта рН больше, чем примерно 0,5, предпочтительно – больше, чем примерно 1,0. В предпочтительном варианте осуществления указанного аспекта настоящего изобретения содержание не являющегося мылом анионного поверхностно-активного вещества составляет больше, чем примерно 0,1 мас.%; предпочтительно больше, чем примерно 0,5 мас.%; и более предпочтительно больше, чем примерно 1,0 мас.%. Предпочтительно кусковое мыло согласно упомянутому аспекту настоящего изобретения содержит количество свободной воды в интервале от примерно 5 до примерно 30 мас.%, предпочтительно в интервале от примерно 7 до примерно 25 мас.%, наиболее предпочтительно в интервале о примерно 10 до примерно 20 мас.%. Поверхностно-активные вещества являются существенным компонентом отличающейся новизной композиции косметического кускового мыла. Они представляют собой соединения, которые содержат гидрофобные и гидрофильные части, которые действуют таким образом, чтобы снизить поверхностное натяжение водных растворов, в которых они растворены. Пригодные для использования поверхностно-активные вещества могут включать анионные, неионные, амфотерные и катионные поверхностно-активные вещества и их смеси. Анионные поверхностно-активные вещества: В рамках подходящих для использования анионных поверхностно-активных веществ отличающееся новизной косметическое туалетное мыло может содержать мыло, предпочтительно оно содержит по меньшей мере 0,1 мас.% мыла. Термин «мыло» использован в настоящем описании в его общепринятом смысле, т.е. соли щелочного металла или алканоламмония одноосновных алкан- или алкенкарбоновых кислот. Катионы натрия, калия, моно-, ди- и триэтаноламмония или их комбинации пригодны для использования в соответствии с настоящим изобретением. В общем в композициях настоящего изобретения используют натриевые мыла, но от примерно 1% до примерно 25% мыла могут составлять аммониевое, калиевое, магниевое, кальциевое мыла или их смеси. Мыла, которые могут быть использованы при осуществлении настоящего изобретения, представляют собой хорошо известные соли щелочных металлов алкановых или алкеновых кислот, содержащие примерно от 12 до 22 атомов углерода, предпочтительно примерно от 12 до примерно 18 атомов углерода. Они также могут быть описаны как карбоксилаты щелочных металлов алкиловых или алкеновых углеводородов, содержащие примерно от 12 до примерно 22 атомов углерода. Мыла, имеющие распределение жирных кислот кокосового масла, могут обеспечить нижний предел широкого интервала молекулярных масс. Те мыла, которые имеют распределение жирных кислот орехового или рапсового масла или их гидрированных производных, могут обеспечить верхний предел широкого интервала молекулярных масс. Предпочтительно использовать мыла, имеющие распределение жирных кислот таллового и растительного масел. Более предпочтительно растительное масло выбирают из группы, включающей пальмовое масло, кокосовое масло, пальмоядровое масло, пальмовый стеарин и гидрированное масло рисовых отрубей или их смеси, поскольку указанные масла находятся среди более легко доступных жиров. Особенно предпочтительным является кокосовое масло. Доля жирных кислот, содержащих по меньшей мере 12 атомов углерода, в мыле на основе кокосового масла, составляет примерно 85%. Эта доля будет больше, когда использованы смеси кокосового масла и таких жиров, как талловый, пальмовое масло или масла или жиры нетропических орехов, в которых основная длина цепи составляет С16 и выше. Предпочтительное мыло для использования в композициях настоящего изобретения, имеет по меньшей мере примерно 85% жирных кислот, содержащих примерно 12-18 атомов углерода. Кокосовое масло, используемое для мыла, может быть замещенным полностью или частично другими «высокоаллуровыми» маслами, то есть маслами или жирами, в которых по меньшей мере 50% всех жирных кислот состоят из лауриловой или миристиновой кислот и их смесей. Примерами указанных масел обычно являются масла тропических орехов класса кокосового масла. Например, они включают: пальмоядровое масло, масло бабассу, масло аурикарии, туковое масло, масло пальмы ореха cohune, масло ореха murumuru, масло ядра ореха jaboty, масло ядра ореха khakan, масло ореха дика и масло ucuhuba. Предпочтительным мылом является смесь от примерно 15% до примерно 20% кокосового масла и от примерно 80% до примерно 85% таллового масла. Упомянутые смеси содержат примерно 95% жирных кислот, имеющих примерно от 12 до примерно 18 атомов углерода. Как упомянуто выше, мыло может предпочтительно быть получено из кокосового масла, в этом случае содержание жирной кислоты составляет примерно 85% при длине ее цепи С12-С18. Мыла могут содержать ненасыщенность в соответствии с промышленно принятыми стандартами. Избыточной ненасыщенности обычно избегают. Мыла могут быть получены классическим способом кипячения в чане или современными непрерывными способами получения мыла, при которых природные жиры или масла, такие как талловое или кокосовое масло или их эквиваленты, омыляют гидроксидом щелочного металла с использованием методов, хорошо известных специалистам. В другом варианте мыла могут быть получены нейтрализацией жирных кислот, таких как лауриновая (С12), миристиновая (С14), пальмитиновая (С16) или стеариновая (С18) кислоты, гидроксидом или карбонатом щелочного металла. Сверхзамасливающий агент, такой как свободная жирная кислота, может быть добавлен в композицию согласно настоящему изобретению в количестве 2-10% от общего содержания активного вещества. Указанный уровень содержания свободных жирных кислот может быть достигнут добавлением свободных жирных кислот как таковых или добавлением нежирнокислотного сверхзамасливающего агента, который протонирует часть мыл на основе жирных кислот, содержащихся в форме свободной жирной кислоты. Пригодные для использования жирнокислотные сверхзамасливающие агенты включают жирные кислоты таллового, кокосового, пальмового и пальмоядрового масла. Могут быть использованы другие жирные кислоты, хотя жирные кислоты с низкой точкой плавления, особенно лауриновые, являются предпочтительными из-за легкости переработки. Предпочтительные содержания жирной кислоты составляют 3-8%, наиболее предпочтительно – порядка 5% от общего содержания активного вещества. Очищающие композиции настоящего изобретения могут содержать одно или более синтетических не являющихся мылом анионных моющих средств. Активное анионное моющее средство, которое может быть использовано, может быть алифатическим сульфонатом, таким как сульфонат первичного алкана (например, С8-С22), дисульфонат первичного алкана (например, С8-С22), С8-С22 алкенсульфонат, С8-С22 гидроксиалкансульфонат или сульфонат простого алкилглицерилового эфира (AGS); или ароматические сульфонаты, такие как алкилбензолсульфонат. Анионным также может быть алкилсульфат (например, С12-С18 алкилсульфат) или сульфат простого алкилового эфира (включая сульфаты простых алкилглицериловых эфиров). Среди сульфатов простых алкилэфиров находятся соединения, имеющие формулу: RO(CH2CH2O)nSO3M где R представляет собой алкил или алкенил, содержащий от 8 до 18 атомов углерода, предпочтительно от 12 до 18 атомов углерода, n имеет среднюю величину больше, чем 1,0, предпочтительно больше, чем 3; и М означает солюбилизирующий катион, такой как катион натрия, калия, аммония или замещенного аммония. Сульфаты простого лаурилового эфира аммония и натрия являются предпочтительными. Анионными также могут быть алкилсульфосукцинаты (включая моно- и диалкил, например, С6-С22 сульфосукцинаты); алкил и ацилтаураты; алкил и ацилсаркозинаты, сульфоацетаты, С8-С22 алкилфосфаты и фосфаты, сложные эфиры алкилфосфатов и сложные эфиры алкоксиалкилфосфатов, ациллактаты, С8-С22 моноалкилсукцинаты и малеаты, сульфоацетаты, алкилглюкозиды и ацилизетионаты и т.п. Сульфосукцинатами могут быть моноалкилсульфосукцинаты, имеющие формулу: R4O2CCH2CH(SO3M)CO2M; и сульфосукцинаты амид-МЭА формулы: R4CONHCH2CH2O2CCH2CH(SO3M)CO2M где R4 представляет собой С8-С22 алкил и М означает солюбилизирующий катион. Саркозинаты обычно обозначают формулой: R1CON(CH3)CH2CO2M где R1 представляет собой С8-С20 алкил и М означает солюбилизирующий катион. Таураты обычно обозначают формулой: R2CONR3CH2CH2SO3M где R2 представляет собой С8-С20 алкил, R3 выбран из С1-С4 алкилов и М означает солюбилизирующий катион. Отличающаяся новизной композиция кускового косметического мыла предпочтительно содержит не являющиеся мылами анионные поверхностно-активные вещества, предпочтительно С8-С14 ацилизетионаты. Указанные сложные эфиры получают реакцией между изетионатом щелочного металла и смешанными алифатическими жирными кислотами, содержащими от 6 до 12 атомов углерода и имеющими иодное число меньше 20. Ацилизетионатом может быть алкоксилированный изетионат, такой как описанный Ilardi с соавт. в патенте США 5393466, озаглавленном «Fatty Acid Esters of Polyalkoxylated isethonic acid», выданном 28 февраля 1995; включенном в настоящее описание в качестве ссылки. Упомянутое соединение имеет общую формулу: где R представляет собой алкильную группу, содержащую от 8 до 18 атомов углерода, m означает целое число от 1 до 4, X и Y представляют собой атомы водорода или алкильную группу, содержащую от 1 до 4 атомов углерода, и M+ означает такой одновалентный катион, как, например, катион натрия, калия или аммония. В другом варианте осуществления отличающегося новизной косметического кускового мыла используют меньше 5 мас.% любого из следующих анионных поверхностно-активных веществ: алкилсульфаты, алкилсульфонаты, алкилбензолсульфонаты, алкилалкоксисульфаты, ацилтауридиды, ацилсульфаты и амиды полигидроксижирных кислот, либо индивидуально, либо в виде их смеси. В упомянутом варианте осуществления предпочтительно используют меньше 1%, более предпочтительно – меньше 0,1 мас.% указанных поверхностно-активных веществ. Одно или несколько амфотерных поверхностно-активных веществ также может быть использовано в настоящем изобретении. Упомянутые поверхностно-активные вещества содержат по меньшей мере одну кислотную группу. Это может быть карбоксильная или сульфокислотная группа. Они включают четвертичный атом азота и поэтому представляют собой четвертичные амидокислоты. Они обычно должны включать алкильную или алкенильную группу, содержащую от 7 до 18 атомов углерода. Они обычно будут соответствовать общей структурной формуле: где R1 представляет собой алкил или алкенил, содержащий от 7 до 18 атомов углерода; каждый из радикалов R2 и R3 независимо представляет собой алкил, гидроксиалкил или карбоксиалкил, содержащий от 1 до 3 атомов углерода; n равно числу от 2 до 4; m равно числу от 0 до 1; X представляет собой алкилен, содержащий от 1 до 3 атомов углерода, необязательно замещенный гидроксилом, и Y представляет собой группу -СО2– или -SO3-. Пригодные для использования амфотерные поверхностно-активные вещества, определяемые вышеприведенной общей формулой, включают простые бетаины формулы: и амидобетаины формулы: где n означает 2 или 3. В обеих формулах значения радикалов R1, R2 и R3 те же, что даны ранее. R1, в частности, может представлять собой смесь С12 и С14 алкильных групп, образованных кокосовым маслом, так что по меньшей мере половина, предпочтительно по меньшей мере три четверти групп R1 содержат от 10 до 14 атомов углерода. R2 и R3 предпочтительно представляют собой метил. Дополнительная возможность заключается в том, что амфотерным детергентом является сульфобетаин формулы: или где m равно 2 или 3, или варианты представленных формул, в которых группа -(СН2)3SO3 – замещена группой В представленных формулах радикалы R1, R2 и R3 те же, что рассмотрены ранее. Подразумевается, что амфоацетаты и диамфоацетаты также охватываются возможными цвиттерионными и/или амфотерными соединениями, которые могут быть использованы, такими как, например, лауроамфоацетат натрия, кокоамфоацетат натрия и их смеси и т.п. Одно или несколько неионных поверхностно-активных веществ также может быть использовано в композиции косметического кускового мыла настоящего изобретения. Неионные поверхностно-активные вещества, которые могут быть использованы, включают, в частности, продукты взаимодействия соединений, содержащих гидрофобную группу и реакционноспособный атом водорода, например, алифатических спиртов, кислот, амидов или алкилфенолов, с алкиленоксидами, особенно этиленоксидом как таковым, или с пропиленоксидом. Конкретными неионными детергентами являются продукты конденсации алкил(С6-С22)фенолов с этиленоксидом, продукты конденсации алифатических (С8-С18) первичных или вторичных линейных или разветвленных спиртов с этиленоксидом и продукты, полученные конденсацией этиленоксида с продуктами реакции пропиленоксида и этилендиамина. Другие так называемые неионные моющие соединения включают длинноцепочечные третичные аминоксиды, длинноцепочечные третичные фосфиноксиды и диалкилсульфоксид и т.п. Неионными поверхностно-активными веществами также могут быть амиды сахара, такие как полисахаридамид. В частности, поверхностно-активным веществом может быть один из лактобионамидов, описанных в патенте США № 5389279 на имя Au с соавт., озаглавленном «Композиции, включающие неионные гликолипидные поверхностно-активные вещества» (Composition Comprising Nonionic Glycolipid Surfactants) и выданном 14 февраля 1995; который включен в настоящее описание в качестве ссылки, или им может быть один из амидов сахара, описанных в патенте № 5009814 на имя Kelkenberg, озаглавленный «Использование N-полигидроксиалкиламидов жирных кислот в качестве загустителей для жидких водных поверхностно-активных систем» (Use of N-Poly Hydroxyalkyl Fatty Acid Amides as Thickening Agents for Liquid Aqueous Surfactant Systems), выданный 23 апреля 1991, включенный в настоящую заявку в качестве ссылки. Необязательным компонентом в композициях согласно изобретению является катионный кондиционирующий кожу агент, которым может быть катионный агент, придающий коже ощущения, или полимер, такой как, например, катионные целлюлозы. Катионная целлюлоза доступна от компании Amerchol Corp. (Edison, NJ, USA) в виде серии полимеров Polymer JR (торговая марка) и серии полимеров LR (торговая марка), в виде солей гидроксиэтилцеллюлозы, обработанной замещенным триметиламмонием эпоксидом, называемый в промышленности (CTFA) как Polyquaternium 10. Другой тип катионной целлюлозы включает полимерные четвертичные аммонийные соли гидроксиэтилцеллюлозы, обработанной замещенным лаурилдиметиламмонием эпоксидом, называемый в промышленности (CTFA) как Polyquaternium 24. Упомянутые материалы доступны от компании Amerchol Corp. (Edison, NJ, USA) под торговой маркой Polymer LM-200. Особенно целесообразным для использования типом катионного полисахаридного полимера, который может быть использован, является катионное производное гуаровой камеди, такое как гидроксипропилтриаммонийхлорид гуара (промышленно доступный от фирмы Rhone-Poulenc в виде серии продуктов торговой марки JAGUAR). Примерами являются JAGUAR C13S, который имеет низкую степень замещения катионных групп и высокую вязкость, JAGUAR C15, имеющий среднюю степень замещения и низкую вязкость, JAGUAR C17 (высокая степень замещения, высокая вязкость), JAGUAR C16, который представляет собой гидроксипропилированное катионное производное гуаровой камеди, содержащее низкое количество замещающих групп, а также катионных четвертичных аммонийных групп, и JAGUAR 162, который представляет собой высоко прозрачную гуаровую смолу средней вязкости, имеющую низкую степень замещения. Особенно предпочтительными катионными полимерами являются JAGUAR C13S, JAGUAR C15, JAGUAR C17, JAGUAR C16 и JAGUAR С162, особенно Jaguar C13S. Могут быть использованы другие катионные агенты, придающие коже ощущения, известные в данной области, при условии, что они совместимы с отличающимся новизной составом. Катионные поверхностно-активные вещества Одно или несколько катионных поверхностно-активных веществ также могут быть использованы в отличающейся новизной самовспенивающейся очищающей композиции. Примеры катионных детергентов являются четвертичные аммониевые соединения, такие как галогениды алкилдиметиламмония. Другие подходящие поверхностно-активные вещества, которые могут быть использованы, описаны в патенте США № 3723325 на имя Parran Jr., озаглавленного «Составы моющих средств, содержащие агенты, ускоряющие отложение частиц» (Detergent Compositions Containing Particle Deposition Enhancing Agents), выданного 27 марта 1973; и “Поверхностно-активные агенты и моющие средства” (Том I и II) (Surface Active Agents and Detergents) Schwartz, Perry & Berch, обе ссылки включены в настоящую заявку в качестве ссылок. Кроме того, отличающаяся новизной композиция косметического кускового мыла настоящего изобретения может включать от 0 до 15 мас.% необязательных ингредиентов, например, следующих: отдушки; отшелушивающие агенты, такие как этилендиаминтетраацетат тетранатрия (ЭДТА), EHDP или смеси, в количестве от 0,01 до 1%, предпочтительно от 0,01 до 0,05%; и окрашивающие агенты, замутнители и перламутровые добавки, такие как стеарат цинка, стеарат магния, TiO2, EGMS (моностеарат этиленгликоля) или Lytron 621 (сополимер стирол/акрилат) и т.п.; которые все используют для усиления внешневидовых или косметических свойств продукта. Композиции могут дополнительно включать антимикробные агенты, такие как простой 2-гидрокси-4,2′,4′-трихлордифениловый эфир (DP300); такие консерванты, как диметилолдиметилгидантоин (Glydant XL1000), парабены, сорбиновая кислота и т.д. и т.п. Композиции также могут включать моно- или диацилэтаноламиды кокосового масла, как усилители мыльной пены, а также могут быть успешно использованы сильно ионизирующие соли, такие как хлорид натрия и сульфат натрия. Такие антиоксиданты, как например, бутилирированный гидрокситолуол (ВНТ) и т.п. могут быть при необходимости преимущественно использованы в количествах примерно 0,01% или выше. Могут быть использованы влагоудерживающие вещества, такие как многоосновные спирты, например, глицерин, пропиленгликоль и т.п., и такие полиолы, как перечисленные ниже полиэтиленгликоли и т.п. Polyox WSR-205 PEG 14M Polyox WSR-N-60K PEG 45M или Polyox WSR-N-750 PEG 7M. Смягчающие кожу вещества могут быть преимущественно использованы при осуществлении настоящего изобретения. Смягчающие «композиции» могут представлять собой однокомпонентный агент, обеспечивающий благоприятное действие, или это может быть смесь двух или несколько соединений, из которых одно или все могут быть агентами благоприятного действия. Кроме того, сам по себе агент благоприятного действия может вести себя как носитель других компонентов, если возникнет желание ввести его в отличающееся новизной косметическое кусковое мыло. Могут быть использованы гидрофобные смягчающие вещества, гидрофильные смягчающие вещества или их смесь. Предпочтительно используют гидрофобные смягчающие вещества в избытке по отношению к гидрофильным смягчающим веществам в отличающейся новизной композиции косметического кускового мыла. Наиболее предпочтительно используют только одно или несколько гидрофобных смягчающих веществ. Гидрофобные смягчающие вещества содержатся в концентрации, превышающей примерно 5 мас.%, более предпочтительно – примерно 10 мас.%. Термин «смягчающее вещество» определен как вещество, которое смягчает или улучшает эластичность, внешний вид и молодость кожи (stratum corneum) либо за счет увеличения содержания влаги в ней, добавления или замещения липидов и других питательных веществ кожи; либо за счет действия обоих факторов, и сохраняет ее мягкой замедлением снижения содержания в ней воды. Пригодные для использования смягчающие вещества включают следующее: (а) силиконовые масла и их модификации, такие как линейные и циклические полидиметилсилоксаны; амино, алкил, алкиларил и арилсиликоновые масла; (b) жиры и масла, включающие такие натуральные жиры и масла, как масла жожоба, соевое, подсолнечное, рисовых отрубей, авокадо, миндальное, оливковое, кунжутное, персиковое, касторовое, кокосовое, норковый жир; масло какао, говяжий талловый жир, лярд; отвержденные масла, полученные гидрированием вышеперечисленных масел; и такие синтетические моно-, ди- и триглицериды, как глицерид миристиновой кислоты и глицерид 2-этилгексановой кислоты; (с) такие воски, как карнаубский, спермацет, пчелиный, ланолин и их производные; (е) гидрофобные и гидрофильные растительные экстракты; (е) такие углеводороды, как жидкие парафины, вазелин, микрокристаллический воск, церезин, сквален, пристан и минеральное масло; (f) высшие жирные кислоты, такие как лауриновая, миристиновая, пальмитиновая, стеариновая, бегеновая, олеиновая, линолевая, линоленовая, ланолиновая, изостеариновая, арахидоновая, и полиненасыщенные жирные кислоты (ПНЖК(PUFA)); (g) высшие спирты, такие как лауриловый, цетиловый, стеариловый, олеиловый, бегениловый, холестерин и 2-гексидеканол; (h) сложные эфиры, такие как цетилоктаноат, миристиллактат, цетиллактат, изопропилмиристат, миристилмиристат, изопропилпальмитат, изопропиладипат, бутилстеарат, децилолеат, холестеринизостеарат, глицеринмоностеарат, глицериндистеарат, глицеринтристеарат, алкиллактат, алкилцитрат и алкилтартрат; (i) эфирные масла и их экстракты, такие как ментоловое, жасминовое, камфорное, кедровое, масло горького апельсина, рутовое, терпентиновое, коричное, бергамотовое, цитрусовое анису, аирное, хвойное, лавандовое, лавровое, гвоздичное, hiba, эвкалиптовое, лимонное, starflower, тимьяновое, мяты перечной, розовое, шалфейное, кунжутное, имбирное, базиликовое, можжевеловое, лемонграссовое, розмариновое, розового дерева, авокадо, виноградное, масло из семян винограда, масло мирры, огуречное, крессводяное, календулы, масло из цветов бузины, гераниевое, lindenblossom, амарантовое, морских водорослей, ginko, женьшеня, из семян моркови, гуараны, масло чайного дерева, жожобы, окопника, овсяных хлопьев, какао, неролиевое, ванильное, зеленого чая, мяты болотной, алоэ вера, ментоловое, цинеоловое, евгеноловое, цитраль, цитронелловое, борнеол, линалоол, гераниол, масло энотеры, камфорное, тимоловое, спирантол, пенен, лимоненовое и терпенсодержащее масла; (j) липиды, такие как холестерин, керамиды, сложные эфиры сукрозы и псевдокерамиды, как описано в описании Европейского патента № 556957; (k) витамины, минералы и питательные вещества для кожи, такие как молоко, витамины А, Е и К; сложные алкиловые эфиры витаминов, включающие сложные алкиловые эфиры витамина С; компоненты на основе магния, кальция, меди, цинка и других металлов; (l) солнцезащитные средства, такие как октилметоксилциннамат (Parsol MCX) и бутилметоксибензоилметан (Parsol 1789); (m) фосфолипиды; (n) противостарители, такие как альфа-гидроксикислоты, бета-гидроксикислоты; и (o) смеси любых из вышеперечисленных компонентов и т.п. Предпочтительные смягчающие агенты благоприятного действия выбраны из таких соединений, как жирные кислоты, масла на основе триглицеридов, минеральные масла, вазелин и их смеси. Дополнительными предпочтительными смягчающими агентами являются жирные кислоты. За исключением рабочих и сравнительных примеров, или где иначе пояснено, все цифровые величины в настоящем описании, указывающие количества материалов, следует понимать как модифицированные словом “примерно”. Следующие примеры будут более полно пояснять варианты осуществления изобретения. Все части, проценты и соотношения, упомянутые в данном описании и прилагаемой формуле изобретения, являются массовыми, если не указано иначе. Ниже описаны методы физических испытаний: Пример 1 Определение рН водной суспензии Различные новые и сравнительные соединения включают в составы на основе трех отдельных оснований для кускового косметического мыла, 1, 2 и 3, в количестве 10 мас.% и рН их водной суспензии (смотри ниже метод определения) сравнивают с контрольным величинами, показанными в таблице 1. Латентные подкислители, отличающиеся новизной, обозначены «I», а сравнительные соединения обозначены «С». Также измерили рН 1 мас.% водных растворов и результаты представили в таблице 1. Рецептуры основ косметического кускового мыла 1, 2 и 3 представлены в таблице 2. Основы готовят смешением всех ингредиентов за исключением латентного подкислителя в течение примерно 30-40 минут при температурах 180-230°F. После этого добавляют латентный подкислитель и смешивают еще в течение нескольких минут до образования однородной смеси. Критическим фактором является то, что латентный подкислитель не добавляют при высоком содержании свободной воды. Латентный подкислитель также может быть добавлен в смесительную камеру после того, как загрузка охлаждена и отверждена в распылительной сушке или на охладительном валке. После этого осуществляют экструзию и штампование на куски.
Найдено, что некоторые соли определенных кислотных катионов металлов, таких как Fe3+, Fe2+, Al3+, Cr2+, Cu2+ и Ni2+, включающие сульфаты, нитраты, хлориды, фосфаты и ацетаты, обеспечивают эффект латентного подкисления. Кроме того, другие соли некоторых сопряженных кислот слабых оснований, такие как аммоний и другие соли катионов II Группы, таких как кальций и магний, также обеспечивают эффект латентного подкисления. Неожиданно оказалось, что некоторые соли, такие как отличающийся новизной согласно изобретению сульфат кальция, который дает щелочную реакцию в водном растворе, обеспечивает эффект латентного подкисления в одном или нескольких составах косметического кускового мыла.
Пример 2 Предел текучести (твердость) и рН водной суспензии оценивают по результатам измерений на нескольких кусках, имеющих основу 1 и 2, составленных с различными латентными подкислителями по изобретению и сравнительными соединениями при содержании 5 и 10 мас.%. Установлено, что существует существенное падение рН для латентного подкислителя по изобретению сульфата кальция в сравнении с сульфатом натрия. Кроме того, хотя рН падает, твердость куска по изобретению изменяется очень мало. Результаты представлены в таблицах 3 и 4. В кусковом мыле по изобретению 2-4 использованы различные латентные подкислители в количестве 10 мас.% рН водной суспензии резко снижается по сравнению со сравнительными составами 1-3. Снижение рН возрастает с увеличением концентрации латентного подкислителя. Во всех случаях твердость куска мыла не показывает значительного падения по сравнению с кусками мыла с различным содержанием латентных подкислителей.
Пример 3 Результаты испытания регулированного нанесения на руку (FCAT) Кусковое мыло с основой состава 1 с 5% и 10 мас.% латентного подкислителя сульфата кальция сравнивают с контрольным составом на основе 1 без сульфата кальция, и состав кускового мыла с основой 2 с 5% и 10 мас.% латентного подкислителя сульфата кальция сравнивают с контрольным составом на основе 2 без сульфата кальция в отдельных опытах по FCAT. Результаты представлены в таблице 5 и 6 соответственно, а описание процедуры FCAT дано ниже.
Климатические условия: Для исследования основы 1 климатические условия в процессе испытаний включали наружные высокие температуры в интервале от -2,8 до 8,4°С в дневное время и от -14,2 до -5,7°С в ночное время. Для исследования основы 2 климатические условия в процессе испытания включали наружные высокие температуры в интервале от 1,6 до 13,5°С в дневное время и от -14,2 до 2,6°С в ночное время. Средние точки Dew лежали в интервале от -14,5 до -2,6°С, что указывает на то, что в процессе обоих типов испытаний условия были холодные/сухие. В один из дней проведения испытаний куска 1 зафиксирован снегопад. Общее впечатление о мягкости куска: Пониженные значения визуальной сухости, визуального покраснения кожи и TEWL и повышенные значения корнеометра и Skicon свидетельствуют о повышенной мягкости. Основа 1 + 5% CaSO4 и основа 1 + 10% CaSO4 мягче, чем контрольная основа 1. Основа 2 + 10% CaSO4 мягче, чем основа 2 + 5% CaSO4, которая мягче, чем контрольная основа 2. Описание метода испытания: Метод измерения рН водной суспензии Девять грамм формулы основы и один грамм латентного подкислителя (или сравнительного соединения) смешивают вместе с 90 г воды до образования 10%-й суспензии. Затем измеряют рН суспензии при 25°С. Метод расчета предела текучести с устройством для резки сыра Приблизительную величину предела текучести можно определить методом, аналогичным нарезке сыра. Основой измерения является то, что проникновение проволоки в материал с постоянной силой прекратится, когда сила, действующая на проволоку вследствие напряжения, уравновесит массу. Равновесная сила составляет: Масса, действующая на проволоку, = сила, действующая на проволоку вследствие напряжения материала m g + K ys 1 D где m = масса, действующая на проволоку (реальная масса, используемая при расчете, равна массе, приложенной к устройству, плюс 56 грамм, так как рука создает дополнительную массу на образце); g = гравитационная постоянная, 9,8 м/сек2; ys = предел текучести; l = длина проволоки, проникающей в мыло через 1 минуту; D = диаметр проволоки (берем D = 0,6 мм для нашего устройства); К = геометрическая константа. Конечное уравнение имеет вид: ys = (3/8) m g/(l D). Методика: Вырезают квадратный кусок мыла и помещают его на устройство для определения предела текучести. Помещают груз на устройство для измерения предела текучести, поддерживая его рукой. 400 г составляет приблизительную массу, хотя может понадобиться меньше для очень мягкого материала. Мягко опускают руку так, чтобы проволока лишь касалась мыла, и приводят руку в действие. Останавливают вертикальное перемещение руки через одну минуту и продавливают мыло через проволоку горизонтально, чтобы отрезать от образца клин. Снимают груз с устройства и затем измеряют длину разреза образца. Проволока будет продолжать резать мыло с более медленной скоростью, но авторы использовали в качестве конечной величины длину разреза через одну минуту. Измеряют температуру мыла в процессе проведения испытания. Расчет образца: Вес 400 г используют на устройстве определения предела текучести и измеряют 22 мм срез, где проволока разрезала мыло через 1 минуту. Принимая диаметр проволоки равным 0,6 мм, приблизительный предел текучести составляет Метод клинического испытание регулированного нанесения на руку (FCAT) Этот метод контролированного мытья аналогичен тому, что описан Ertel с соавт. (“А forearm controlled application technique for estimating the relative mildness of personal cleansing products”, J.Soc.Cosmet.Chem., 46, 67 (1995)). Субъекты докладывают об испытательной установке для стадии кондиционирования при исследовании, которая предусматривает использование установленного, поставляемого на рынок, персонального моющего очищающего средства для общего пользования дома, в течение до четырех дней до начала фазы нанесения продукта. На 1-й день стадии нанесения продукта делают визуальную оценку для определения квалификации субъекта. Субъекты должны иметь оценки сухости >1,0 и оценки покраснения кожи > 0,5 и не должны иметь порезов и потертостей на или вблизи участков испытаний, предназначенных для включения в фазу нанесения продукта. Субъектов, квалифицированных для участия в фазе нанесения продукта, инструктируют затем прекратить использование кондиционирующего продукта и любых других продуктов ухода за кожей на внутренней части руки за исключением испытуемых составов для очистки кожи, которые наносят в течение периодов мытья. Квалифицированным субъектам выделяют затем четыре участка (круглых) для оценки диаметром 3,0 см, отмеченных на каждой руке с использованием безопасного для кожи карандаша (всего восемь участков). Визуальные оценки покраснения кожи и сухости осуществляют сразу же перед первым мытьем в каждом сеансе и вновь в полдень последнего дня (день 5-й). Методика мытья кусковыми продуктами 1. Обе руки моют одновременно. Участки испытания обрабатывают последовательно, начиная с участка, ближайшего к области сгиба, кончая участком, самым близким к запястью. 2. Участки, ближайшие к области сгиба внутренней части обеих, правой и левой, рук, смачивают теплой водой (90-100°F). 3. Увлажненным masslinn полотенцем проводят круговыми движениями по смоченному испытуемому куску мыла приблизительно в течение 6 секунд специалистом, осуществляющим испытание, в результате чего распределяется 0,2-0,5 г продукта. 4. Участок промывают указанным продуктом в течение 10 секунд, а затем следует 90-секундная фаза удерживания кожей. 5. Вышеописанные операции (1-4) повторяют для каждого участка испытаний. Затем участки промывают в течение пятнадцати секунд и промокают досуха. 6. По окончании все процедуры повторяют (два мытья/сеанс). Для жидких продуктов: техник готовит жидкие продукты непосредственно перед сеансом мытья, распределяя от 0,1 г до 0,5 г продукта либо непосредственно на кожу, либо увлажняя masslinn полотенце или другой материал для нанесения продукта. Затем используют описанную выше методику мытья. Методы оценки Перед началом фазы нанесения продукта и непосредственно перед каждым сеансом мытья для оценки сухости и покраснения кожи осуществляют визуальные оценки линии отсчета. Конечную визуальную оценку осуществляют в полдень последнего дня. Мытье места испытания прекращают, если клиническая сухость или оценка покраснения кожи достигает >4,0, или по требованию субъекта. Если только испытания прекращают на одной руке, на второй руке продолжают мытье согласно схеме. Один и тот же испытатель в условиях, постоянных в течение проведения всего исследования, будет осуществлять все визуальные оценки. Шкала оценок от 0 до 6, представленная в таблице 7, использована для оценки участков испытания на сухость и покраснение кожи. Чтобы сохранить объективность оценки испытателя к продукту, визуальные оценки осуществляют в отдельной области, отдаленной от области нанесения продукта.
Инструментальные показания снимают в первый (линия отсчета) и последний день исследования. На каждом участке испытания делают три измерения Skicon и одно с помощью Servo-Med Evaporimeter (транс-эпидермальная потеря воды, TEWL) на базовой линии (перед началом первого мытья) и в конце сеанса (через три часа после последнего мытья в пятницу, или через три часа после мытья, когда субъект получает последнюю оценку 4 или больше). Субъекты должны достичь равновесного состояния в комнате инструментальных измерений минимум в течение 30 минут, со свободными руками. Субъектов с линией отсчета TEWL измерений >10, что может свидетельствовать о разрушении кожного барьера, не включают в фазу исследования, связанную с нанесением продукта. Анализ результатов Эффекты внутри испытываемого продукта Данный протокол принимает в качестве рабочего исходного положения точку зрения, изложенную Ertel с соавт. (Ertel, K.D., G.H. Keswick, P.B. Bryant. Forearm controlled Application technique for estimating the relative mildness of personal cleansing products., J.Soc. Cosmet. Chem., 46, 67 (1995)), что соотношение между сухостью и покраснением кожи является линейным. Следовательно, будут использованы параметрические статистические методы. Эффекты каждого испытываемого продукта будут рассмотрены сравнением клинических оценок в каждой точке времени в зависимости от клинической оценки базовой линии с использованием спаренной т-пробы. Статистическую значимость определяют при уровне степени достоверности 90% (р-величина 0,10) для определения того, являются ли результаты обработки статистически отличными от их оценки базовой линии и в каком направлении. (G.W. Snedecor and W.G. Cochran, Statistical Methods. Ames, Iowa. The Iowa State University Press, 1980, pp.84-86). Эффекты между испытываемыми продуктами Для всех обработок величины разности статистически сравнивают, используя анализ среднего отклонения у участников эксперимента, действуя в виде блока для сравнения степени “отклонения от базовой линии” среди обработок. Следуя опубликованному модельному подходу Ertel с соавт., анализ среднего отклонения установленных эффектов предназначен принимать во внимание меняющиеся состояния кожи наряду с поверхностью ладонной части руки, а также различия между сторонами (левая рука в зависимости от правой руки). Общая модель имеет вид: response ijklm = где
Т = эффект вследствие обработки i; S = эффект вследствие обработки участка j; А = эффект вследствие стороны (руки), k, по которой ведут обработку; Р = эффект вследствие субъекта 1; l = термин взаимодействия участок * сторона;
со всеми эффектами, отличающимися от ошибки, смоделированной как установленные эффекты. Если определены общие статистически значительные разницы, сравнения парных обработок могут быть осуществлены сравнением величин наименьших квадратов с использованием либо метода наименьшего значимого различия Фишера (Fisher’s Least Significant Difference (LSD)) или метода Dunnett (если сравнительные обработки к общей контрольной). Наименьшие квадраты средних величин являются более точными оценками, чем обычные средние величины, в том, что они соответствуют другим терминам в модели и уточняют незначительные расхождения, которые иногда могут иметь место из-за отсутствующих данных. Кроме того, для каждого свойства анализ живучести даст свойства при обработке для сеансов мытья. Анализ включит количество сеансов мытья, которым участок обработки субъекта действительно моется в процессе исследования. Если участок обработки прекращают мыть, то время живучести участка определяют при такой оценке. Рассматривают генерализованный график установленной функции живучести для каждой группы обработки. Статистические данные результатов испытаний в логарифмическом виде обрабатывают на компьютере для определения гомогенности групп обработки. Указанный тест дает сведения о том, являются ли функции живучести одинаковыми для каждой из групп обработки. 2. Транс-эпидермальная потеря воды (TEWL) Для количественного определения степеней транс-эпидермальной потери воды используют эвапориметр ServoMed Evaporimeter Model EP 1D, (ServoMed Inc, Broomall, Pa) с использованием методик, аналогичных тем, что описаны Murahata с соавт. (“The use of Trans-epidermal water loss to measure and predict the irritation response to surfactants” Int. J. Cos. Science 8, 225 (1986)). TEWL обеспечивает количественное измерение целостности функции кожного барьера stratum corneum и относительный эффект очищающих средств. Рабочий принцип прибора основан на законе Фика, где (1/А)(dm/dt) = -D (dp/dx), где А = площадь поверхности (м2); m = масса транспортируемой воды (г); t = время (час); D = константа, 0,0877 г-1ч-1 (мм Hg)-1 связан с коэффициентом диффузии воды; р = парциальное давление паров воды в воздухе (мм Hg); х = расстояние сенсора от поверхности кожи (м). Скорость испарения, dm/dt, пропорциональна градиенту парциального давления, dp/dx. Скорость испарения можно определить измерением парциальных давлений в двух точках, чье расстояние над кожей различно и известно, и где указанные точки находятся внутри интервала 15-20 мм над поверхностью кожи. Общие клинические требования следующие: 1. Всех участников испытаний приводят в равновесное состояние минимум в течение пятнадцати минут перед измерениями в испытательной комнате, в которой температуру регулируют до 21±1°С, а относительную влажность RH – 50±5% соответственно. 2. Измеряют участки испытаний или маркируют их таким образом, что измерения до и после обработок можно осуществить приблизительно на одном месте на коже. 3. Пробу наносят таким образом, что сенсоры находятся перпендикулярно участку измерения, с использованием минимального давления. Калибровка пробы достигается калибровочным набором (№ 2110), который наносят прибором. Набор инструментов должен находиться в термоизолированном ящике, чтобы обеспечить равномерное распределение температуры вокруг инструментальной пробы и калибровочной колбы. Растворами трех солей, используемыми для калибрования, являются растворы LiCl, Mg(NO3)2 и K2SO4. Предварительно взвешенные количества соли высокой степени чистоты наносят инструментом. Концентрации растворов таковы, что три раствора обеспечивают RH Г 11,2%, Г 54,2% и Г 97% соответственно при 21°С. Общие принципы использования прибора следующие: 1. Для нормальных исследований показания прибора снимают с переключателем селектора, установленным в интервале 1-100 г/м2ч. 2. Защитный колпачок снимают с датчика и измерительную головку устанавливают так, чтобы тефлоновая капсула располагалась перпендикулярно оцениваемому участку, обеспечивая приложение минимального давления от головки датчика. Чтобы отклонения от нулевой точки были минимальными, головку датчика следует поддерживать прилагаемой резиновой изолирующей пробкой. 3. Время приведения субъекта в равновесное состояние перед определением составляет 15 минут в комнате с регулируемой температурой/относительной влажностью (21±1°С и 50±5% RH соответственно). 4. Датчику позволяют стабилизировать положение на участке испытания минимум в течение 30 секунд перед получением данных. Когда существуют воздушная тяга и повреждение кожного барьера высоко, то рекомендуют увеличить продолжительность стабилизации. 5. Данные снимают в течение 15 секунд после периода стабилизации. 3. Гидратация Корнеометр кожный гигрометр (Corneometer Skin Hygrometer (Diastron Ltd., Hampshire, England)) является устройством, широко используемым в косметической промышленности. Он позволяет осуществить высокочастотные электрические измерения переменного напряжения емкостного сопротивления кожи безопасным методом с помощью электрода, наносимого на поверхность кожи. Установлено, что измеренные параметры меняются с гидратацией кожи. Однако они также могут меняться в зависимости от многих других факторов, таких как температура кожи, активность потовых желез и состав любого наносимого продукта. Корнеометр может только дать сведения о направлении изменений в содержании воды верхнего слоя stratum corneum в благоприятных обстоятельствах, но даже здесь количественная интерпретация может привести к вводящему в заблуждение ответу. Широко используемым вариантом является измеритель емкостного сопротивления кожи Skicon (Skicon Skin conductance Meter (I.B.S. Co Ltd. Shizuoka-ken, Japan). Перечень требований для любого прибора следующий: 1. Субъекты должны быть приведены в равновесное состояние до комнатных условий, которые поддерживают при заданной температуре и относительной влажности (21±1°С, и 50±5% RH соответственно) минимум в течение 15 минут с открытыми руками. Воздушные потоки должны быть минимизированы. 2. Физические и психологические нарушения внимания должны быть минимальными, например, разговоры и движение вокруг. 3. Следует избегать потребления горячих напитков или любых продуктов, содержащих кофеин, в течение, по меньшей мере, 1 часа перед проведением измерений. 4. Участники теста должны избегать курения в течение, по меньшей мере, 30 минут перед проведением измерений. Рабочая методика 1. Датчик следует нанести слегка, так, чтобы отпечаток на поверхности кожи от наружного корпуса был минимальным. Поверхность измерения приводится в действие пружиной и, таким образом, датчик должен быть прижат с достаточным давлением, чтобы черный цилиндр полностью исчез внутри наружного корпуса. 2. Датчик должен располагаться перпендикулярно поверхности кожи. 3. Оператор должен избегать контакта датчика с волосками на участке измерения. 4. Датчик должен оставаться в контакте с кожей до тех пор, пока не появится звуковой сигнал от прибора (примерно 1 секунда), а затем его можно убрать. Последующие измерения могут быть сделаны сразу же при условии, что известно, что поверхность датчика чистая. 5. Минимум 3 отдельных измерения должны быть сделаны в разных точках площади испытания и усредненная величина должна представлять среднюю величину гидратации участка. 6. Для чистки датчика между измерениями следует использовать сухой бумажный материал. 4. Оценка чувствительности группы испытуемых Протокол указанной оценки используют для дифференциации сенсорных свойств кусков мыла и составляется группой экспертов по сенсорике. Методология отличается от той, что первоначально предложена Tragon, и включает стадию формирования языка. Группа испытуемых моется каждым из максимум десяти кусков только один раз каждым, и будет использовать продукты максимум до двух в день. Каждая группа испытуемых моет свои руки, используя свои обычные привычки мытья, максимум до 10 секунд, после чего они смывают продукт со своей кожи под струей воды. Участники испытаний представляют в количественной форме различные свойства продукта, используя линейную шкалу вопросника, на различных стадиях процесса мытья. Ключевые свойства для оценки включают следующие: а) ощущение от куска; b) ощущение от мыльной пены и внешний вид рук во время процесса начального намыливания; с) ощущение продукт/мыльная пена на руке во время мытья; d) смываемость; е) ощущение влажной кожи после смывания; f) ощущение сухой кожи через 2 минуты. Использована вода жесткостью 40 млн.ч., выраженная в млн.ч. CaCO3. Хотя настоящее изобретение описано в отношении конкретных вариантов его осуществления, очевидно, что многочисленные другие формы и модификации настоящего изобретения будут очевидны специалистам в данной области. Прилагаемая формула изобретения и настоящее изобретение обычно должны толковаться как охватывающие все указанные очевидные формы и модификации, которые составляют настоящее существо и объем притязаний настоящего изобретения.
Формула изобретения
1. Кусок косметического мыла, включающий (a) от 0 до 30 мас.% мыла на основе жирной кислоты; (b) от 15 до 60 мас.% не являющегося мылом анионного поверхностно-активного вещества; (c) латентный подкислитель в эффективном количестве для достижения величины дельта рН водной суспензии больше 0,5, причем указанный подкислитель выбирают из органических или неорганических соединений, или их смесей, или комплексных соединений, которые не выделяют газ при изменении рН; (d) количество свободной воды меньше чем примерно 10 мас.%, предпочтительно меньше чем 7 мас.%, более предпочтительно меньше чем 3 мас.%. 2. Кусок косметического мыла по п.1, который содержит от 0 до 20 мас.% мыла на основе жирной кислоты, предпочтительно от 0 до 15 мас.% мыла на основе жирной кислоты. 3. Кусок косметического мыла по п.1, который содержит от 20 до 55 мас.% не являющегося мылом анионного поверхностно-активного вещества, предпочтительно от 25 до 50 мас.% не являющегося мылом анионного поверхностно-активного вещества. 4. Кусок косметического мыла по п.1, в котором содержится по меньшей мере 0,1 мас.% мыла на основе жирной кислоты. 5. Кусок косметического мыла по п.1, который содержит латентный подкислитель в эффективном количестве до достижения величины дельта рН водной суспензии больше, чем 1,0. 6. Кусок косметического мыла по п.1, в котором латентный подкислитель содержится в концентрационном диапазоне от 0,1 до 20 мас.%, предпочтительно от 1 до 10 мас.%. 7. Кусок косметического мыла по п.1, в котором мыла на основе жирных мыл включают смесь С6-С22 мыл, предпочтительно смесь С12-С18 мыл. 8. Кусок косметического мыла по п.1, в котором не являющееся мылом анионное поверхностно-активное вещество выбрано из числа таких соединений, как С8-С14 ацилизетионаты; С8-С14 алкилсульфаты, С8-С14 алкилсульфосукцинаты, С8-С14 алкилсульфонаты; сульфонаты сложных эфиров С8-С14 жирных кислот, их производные и смеси. 9. Кусок косметического мыла по п.1, в котором латентным подкислителем является неорганическая соль, предпочтительно выбранная из числа таких соединений, как сульфат алюминия, хлорид алюминия, хлорид аммония, фосфат аммония, хлоргидрат алюминия, трихлоргидрат алюминия-циркония, комплексное соединение глицина и трихлоргидрат алюминия-циркония, сульфат цинка, ацетат кальция, хлорид кальция, нитрат кальция, фосфат кальция, сульфат кальция, сульфат железа, хлорид магния и сульфат магния. 10. Кусок косметического мыла по п.1, в котором отношение предела текучести куска мыла, содержащего латентный подкислитель, к пределу текучести куска мыла без латентного подкислителя (величина Rys) находится в интервале от 0,70 до 1,3, предпочтительно от 0,8 до 1,2. 11. Кусок косметического мыла, включающий (a) от 30 до 80 мас.% мыла на основе жирной кислоты; (b) от 5 до 40 мас.% не являющегося мылом анионного поверхностно-активного вещества, и (c) латентный подкислитель в эффективном количестве для достижения величины дельта рН водной суспензии больше чем 0,5, причем указанный подкислитель выбирают из органических или неорганических соединений, или их смесей, или комплексных соединений, которые не выделяют газ при изменении рН; (d) количество свободной воды меньше чем 25 мас.%, предпочтительно меньше чем 20 мас.%, и более предпочтительно меньше чем 15 мас.%. 12. Кусок косметического мыла по п.11, который содержит от 40 до 70 мас.% мыла на основе жирной кислоты, предпочтительно от 50 до 60 мас.% мыла на основе жирной кислоты. 13. Кусок косметического мыла по п.11, который содержит от 7 до 30 мас.% не являющегося мылом анионного поверхностно-активного вещества, предпочтительно от 10 до 20 мас.% не являющегося мылом анионного поверхностно-активного вещества. 14. Кусок косметического мыла по п.11, который содержит латентный подкислитель в эффективном количестве до достижения величины дельта рН водной суспензии больше чем 1,0. 15. Кусок косметического мыла по п.11, в котором латентный подкислитель содержится в концентрационном диапазоне от 0,1 до 20 мас.%, предпочтительно от 1 до 10 мас.%. 16. Кусок косметического мыла по п.11, в котором мыла на основе жирных мыл включают смесь С6-С22 мыл, предпочтительно смесь С12-С18 мыл. 17. Кусок косметического мыла по п.11, в котором не являющееся мылом анионное поверхностно-активное вещество выбрано из числа таких соединений, как С8-С14 ацилизетионаты; С8-С14 алкилсульфаты, С8-С14 алкилсульфосукцинаты, С8-С14 алкилсульфонаты; сульфонаты сложных эфиров С8-С14 жирных кислот, их производные и смеси. 18. Кусок косметического мыла по п.11, в котором отношение предела текучести куска мыла, содержащего латентный подкислитель, к пределу текучести куска мыла без латентного подкислителя (величина Rys) находится в интервале от 0,70 до 1,3, предпочтительно от 0,8 до 1,2. 19. Кусок косметического мыла по п.11, в котором латентным подкислителем является неорганическая соль, предпочтительно выбранная из числа таких соединений, как сульфат алюминия, хлорид алюминия, хлорид аммония, фосфат аммония, хлоргидрат алюминия, трихлоргидрат алюминия-циркония, комплексное соединение глицина и трихлоргидрат алюминия-циркония, сульфат цинка, ацетат кальция, хлорид кальция, нитрат кальция, фосфат кальция, сульфат кальция, сульфат железа, хлорид магния и сульфат магния. 20. Кусок косметического мыла, включающий (a) от 40 до 85 мас.% мыла на основе жирной кислоты; (b) от 0 до 10 мас.% не являющегося мылом анионного поверхностно-активного вещества, и (c) латентный подкислитель в эффективном количестве для достижения величины дельта рН водной суспензии больше чем 0,5, причем указанный подкислитель выбирают из органических или неорганических соединений, или их смесей, или комплексных соединений, которые не выделяют газ при изменении рН; (d) количество свободной воды в интервале от 5 до 30 мас.%, предпочтительно от 7 до 25 мас.% и более предпочтительно от 10 до 20 мас.%. 21. Кусок косметического мыла по п.20, который содержит от 50 до 80 мас.% мыла на основе жирной кислоты, предпочтительно от 60 до 75 мас.% мыла на основе жирной кислоты. 22. Кусок косметического мыла по п.20, который содержит от 0 до 7 мас.% не являющегося мылом анионного поверхностно-активного вещества, предпочтительно от 0 до 5 мас.% не являющегося мылом анионного поверхностно-активного вещества. 23. Кусок косметического мыла по п.20, который содержит латентный подкислитель в эффективном количестве до достижения величины дельта рН водной суспензии больше чем 1,0. 24. Кусок косметического мыла по п.20, в котором латентный подкислитель содержится в концентрационном диапазоне от 0,1 до 20 мас.%, предпочтительно от 1 до 10 мас.%. 25. Кусок косметического мыла по п.20, в котором мыла на основе жирных мыл включают смесь С6-С22 мыл, предпочтительно смесь С12-С18 мыл. 26. Кусок косметического мыла по п.20, в котором не являющееся мылом анионное поверхностно-активное вещество выбрано из числа таких соединений, как С8-С14 ацилизетионаты; С8-С14 алкилсульфаты; С8-С14 алкилсульфосукцинаты, С8-С14 алкилсульфонаты; сульфонаты сложных эфиров С8-С14 жирных кислот, их производные и смеси. 27. Кусок косметического мыла по п.20, в котором латентным подкислителем является неорганическая соль, предпочтительно выбранная из числа таких соединений, как сульфат алюминия, хлорид алюминия, хлорид аммония, фосфат аммония, хлоргидрат алюминия, трихлоргидрат алюминия-циркония, комплексное соединение глицина и трихлоргидрат алюминия-циркония, сульфат цинка, ацетат кальция, хлорид кальция, нитрат кальция, фосфат кальция, сульфат кальция, сульфат железа, хлорид магния и сульфат магния. 28. Кусок косметического мыла по п.20, в котором отношение предела текучести куска мыла, содержащего латентный подкислитель, к пределу текучести куска мыла без латентного подкислителя (величина Rys) находится в интервале от 0,70 до 1,3, предпочтительно от 0,8 до 1,2. 29. Кусок косметического мыла по п.20, в котором содержится по меньшей мере 0,1 мас.% не являющегося мылом анионного моющего средства.
|
|||||||||||||||||||||||||||||||||||||||||||||||||||||||||||||||||||||||||||||||||||||||||||||||||||||||||||||||||||||||||||||||||||||||||||||||||||||||||||||||||||||||||||||||||||||||||||||||||||||||||||||||||||||||||||||||||||||||||||||||||||||||||||||||||||||||||||||||||||||||||||||||||||||||||||||||||||||||||||||||||||||||||||||||||||||||||||||||||||||||||||||||||||||||||||||||||||||||||||||||||||||||||||||||||||||||||||||||||||||||||||||||||||||||||










+ Ti + Sj + Ak + Pl + ljk +
ijklm