|
|
(21), (22) Заявка: 2004137055/04, 07.02.2001
(24) Дата начала отсчета срока действия патента:
07.02.2001
(30) Конвенционный приоритет:
09.02.2000 (пп.1-3) JP 2000-38099
(43) Дата публикации заявки: 27.05.2006
(46) Опубликовано: 20.04.2007
(56) Список документов, цитированных в отчете о поиске:
JP 3081224 А, 05.04.1991. RU 2056411 C1,20.03.1996. WO 96/38147 A1, 05.12.1996.
(62) Номер и дата подачи первоначальной заявки, из которой данная заявка выделена: 2002121245 07.02.2001
Адрес для переписки:
129010, Москва, ул. Б.Спасская, 25, стр.3, ООО “Юридическая фирма Городисский и Партнеры”, пат.пов. Е.Е.Назиной
|
(72) Автор(ы):
ТАКЕМУРА Макото (JP), ТАКАХАСИ Хисаси (JP), КАВАКАМИ Кацухиро (JP), НАМБА Кендзи (JP), ТАНАКА Маиуми (JP), МИЯУТИ Рие (JP)
(73) Патентообладатель(и):
ДАЙИТИ ФАРМАСЬЮТИКАЛ КО., ЛТД. (JP)
|
(54) СРЕДСТВО ПРОТИВ КИСЛОТОУСТОЙЧИВЫХ БАКТЕРИЙ, СОДЕРЖАЩЕЕ ГЕТЕРОЦИКЛИЧЕСКИЕ ПРОИЗВОДНЫЕ БЕНЗОКСАЗИНА В КАЧЕСТВЕ АКТИВНОГО КОМПОНЕНТА
(57) Реферат:
Изобретение относится к средству против кислотоустойчивых бактерий. Описывается средство против кислотоустойчивых бактерий, содержащее в качестве активного компонента соединение, представленное следующей общей формулой (1), его соль или его гидрат

где R2 представляет атом водорода; R3 представляет атом водорода; А1, А2 и А3 образуют неполную структуру

где А1 представляет неполную структуру

и где X2 и описанный выше R1 могут быть объединены с образованием шестичленной циклической структуры, включающей часть исходного ядра, причем образованное при этом кольцо может содержать атом кислорода и, кроме того, может иметь в качестве заместителя алкильную группу, имеющую 1-6 углеродных атомов; Х1 представляет атом галогена, атом водорода или аминогруппу; Y представляет атом водорода; Z представляет неполную структуру

Технический результат – средство проявляет высокую антибактериальную активность широкого спектра, а также обладает хорошей фармакокинетикой и безопасностью. 2 з.п. ф-лы, 9 табл.
Область техники, к которой относится настоящее изобретение
Настоящее изобретение относится к средству против кислотоустойчивых бактерий, содержащему в качестве активного компонента производное пиридонкарбоновой кислоты, его фармацевтически приемлемую соль или его гидрат, которое проявляет высокую антибактериальную активность в отношении Mycobacterium tuberculosis и атипичных кислотоустойчивых бактерий.
Предпосылки создания изобретения
Еще в недавние годы заболевание, вызываемое Mycobacterium tuberculosis (далее называемое туберкулез), было одним из самых опасных заболеваний в мире. Прогресс в лечении туберкулеза начался с созданием стрептомицина (SM), а затем было обнаружено противотуберкулезное действие п-аминосалициловой кислоты (PAS), изониазида (INH) и рифампицина (RFP). Благодаря их комбинированному применению в большинстве случаев стало возможным излечение туберкулеза, в результате чего с 1950-х годов последовало быстрое снижение уровня заболеваемости туберкулезом в развитых странах. Однако позже, с распространением ВИЧ-инфекции, уровень заболеваемости туберкулезом быстро повысился в Африке и Юго-восточной Азии, а в Японии и США сообщалось о распространении туберкулеза, устойчивого к многим лекарственным средствам. Кроме того, наметилась тенденция к увеличению с каждым годом количества больных инфекционными заболеваниями, вызываемыми атипичными кислотоустойчивыми бактериями, в частности комплексом Mycobacterium avium-intracellulare (M. avium-intra-cellulare complex: МАС).
Химиотерапевтические средства, используемые в настоящее время для лечения туберкулеза или заболеваний, вызываемых атипичными кислотоустойчивыми бактериями, включают RFP, INH, SM, PAS, этамбутол (ЕВ), канамицин (КМ), этионамид (ЕТН), пиразинамид (PZA), энвиомицин (EVM), капреомицин (CPRM), циклосерин (CS), протионамид (РТН), виомицин (VM) и тому подобное, причем указанные лекарственные средства обычно применяют, одновременно назначая несколько лекарственных средств.
Однако они проявляют неудовлетворительную эффективность и безопасность, например недостаточную антибактериальную активность в отношении полирезистентной Mycobacterium tuberculosis и токсичность по отношению к печени, почкам и т.д.
При таких обстоятельствах существует опасность осложнения и неустранимости патологии указанных инфекционных заболеваний и потому очень желательно незамедлительно создать эффективное лекарственное средство, проявляющее высокую антибактериальную активность и не проявляющее перекрестной резистентности.
Целью настоящего изобретения является создание пиридонкарбоновой кислоты, проявляющей высокую антибактериальную активность в отношении Mycobacterium tuberculosis и атипичных кислотоустойчивых бактерий и хорошие фармакокинетику и безопасность.
Во всех предшествующих заявках на патент, касающихся синтетических антибактериальных средств типа пиридонкарбоновой кислоты, описаны лекарственные средства против так называемых обычных бактерий, таких как грамотрицательные и грамположительные бактерии, но не описано действие против кислотоустойчивых бактерий.
Раскрытие сущности изобретения
Создатели настоящего изобретения провели обширные исследования с целью получения соединений, обладающих высокой антибактериальной активностью против кислотоустойчивых бактерий, таких как Mycobacterium tuberculosis и атипичные кислотоустойчивые бактерии, и проявляющих высокую безопасность. В результате они обнаружили, что пиридонкарбоновая кислота, представленная следующей ниже формулой (1), обладает высокой антибактериальной активностью в отношении кислотоустойчивых бактерий и таким образом сделали изобретение.
Более конкретно, настоящее изобретение относится к средству против кислотоустойчивых бактерий, содержащему соединение, представленное следующей общей формулой (1), его соль или гидрат в качестве активного компонента:

[где R1 представляет алкильную группу, имеющую 1-6 углеродных атомов, алкенильную группу, имеющую 2-6 углеродных атомов, галогеналкильную группу, имеющую 1-6 углеродных атомов, циклическую алкильную группу, имеющую 3-6 углеродных атомов, которые могут иметь заместитель(и), арильную группу, имеющую 6-10 углеродных атомов, которая может иметь заместитель(и), гетероарильную группу, которая может иметь заместитель(и) (группу, представляющую собой 5- или 6-членное кольцо и содержащую 1-4 гетероатома, необязательно выбранных из атома азота, атома кислорода и атома серы), алкоксигруппу, имеющую 1-6 углеродных атомов, или алкиламиногруппу, имеющую 1-6 углеродных атомов;
R2 представляет атом водорода или алкилтиогруппу, имеющую 1-6 углеродных атомов,
R1 и R2 могут быть объединены с образованием циклической структуры, включающей часть исходного ядра, причем кольцо может содержать атом серы в качестве кольцеобразующего атома и, кроме того, может иметь алкильную группу, имеющую 1-6 углеродных атомов, в качестве заместителя;
R3 представляет атом водорода, аминогруппу, тиольную группу, галогенметильную группу, алкильную группу, имеющую 1-6 углеродных атомов, алкенильную группу, имеющую 2-6 углеродных атомов, алкинильную группу, имеющую 2-6 углеродных атомов, или алкоксигруппу, имеющую 1-6 углеродных атомов,
из них аминогруппа может иметь в качестве заместителя(ей) одну или несколько групп, выбранных из формильной группы, алкильной группы, имеющей 1-6 углеродных атомов, и ацильной группы, имеющей 2-5 углеродных атомов;
А1 представляет атом азота или неполную структуру, представленную формулой (2)

(где Х2 представляет атом водорода, аминогруппу, атом галогена, цианогруппу, галогенметильную группу, галогенметоксигруппу, алкильную группу, имеющую 1-6 углеродных атомов, алкенильную группу, имеющую 2-6 углеродных атомов, алкинильную группу, имеющую 2-6 углеродных атомов, или алкоксигруппу, имеющую 1-6 углеродных атомов,
из них аминогруппа может иметь в качестве заместителя(ей) одну или несколько групп, выбранных из формильной группы, алкильной группы, имеющей 1-6 углеродных атомов, и ацильной группы, имеющей 2-5 углеродных атомов,
кроме того, Х2 и описанный выше R1 могут быть объединены с образованием циклической структуры, включающей часть исходного ядра, причем образованное при этом кольцо может содержать атом кислорода, атом азота или атом серы в качестве кольцеобразующего атома и, кроме того, может иметь алкильную группу, имеющую 1-6 углеродных атомов, или галогеналкильную группу, имеющую 1-6 углеродных атомов, в качестве заместителя);
А2 и А3 каждый представляют каждый атом азота или атом углерода, причем А1, А2 и А3 образуют неполную структуру

или неполную структуру

вместе с углеродными атомами, объединенными с ними;
Х1 представляет атом галогена, атом водорода или аминогруппу;
Y представляет атом водорода, фенильную группу, ацетоксиметильную группу, пивалоилоксиметильную группу, этоксикарбонильную группу, холиновую группу, диметиламиноэтильную группу, 5-инданильную группу, фталидинильную группу, 5-алкил-2-оксо-1,3-диоксол-4-илметильную группу, 3-ацетокси-2-оксобутильную группу, алкильную группу, имеющую 1-6 углеродных атомов, алкоксиметильную группу, имеющую 2-7 углеродных атомов, или фенилалкильную группу, которая составлена алкиленовой группой, имеющей 1-6 углеродных атомов, и фенильной группой;
Z представляет моноциклический, бициклический или трициклический гетероциклический заместитель, причем гетероциклический заместитель является насыщенным, частично насыщенным или ненасыщенным, может содержать один или несколько гетероатомов, выбранных из группы, состоящей из атома азота, атома кислорода и атома серы, и, кроме того, может образовывать бициклоструктуру или спироструктуру;
кроме того, гетероциклический заместитель может быть замещенным одной или несколькими группами, выбранными из группы, состоящей из атома галогена, аминогруппы, гидроксильной группы, карбамоильной группы, алкильной группы, имеющей 1-6 углеродных атомов, алкиламиногруппы, имеющей 1-6 углеродных атомов, арильной группы, имеющей 6-10 углеродных атомов, гетероарильной группы (которая представляет собой 5- или 6-членное кольцо и содержит 1-4 гетероатома, необязательно выбранных из атома азота, атома кислорода и атома серы), алкоксигруппу, имеющую 1-6 углеродных атомов, алкилтиогруппу, имеющую 1-6 углеродных атомов, галогеналкильную группу, имеющую 1-6 углеродных атомов, и аминоалкильную группу, имеющую 1-6 углеродных атомов, причем алкильная группа или алкильная часть алкиламиногруппы, алкоксигруппы, алкилтиогруппы, галогеналкильной группы и аминоалкильной группы может иметь циклическую структуру,
кроме того, может иметь в качестве заместителя(ей) одну или несколько групп, выбранных из группы, состоящей из атома галогена, алкильной группы, имеющей 1-6 углеродных атомов, алкоксигруппы, имеющей 1-6 углеродных атомов, арильной группы, имеющей 6-10 углеродных атомов, и гетероарильной группы (которая представляет собой 5- или 6-членное кольцо и содержит 1-4 гетероатома, необязательно выбранных из атома азота, атома кислорода и атома серы);
аминофрагмент аминогруппы, аминоалкильной группы и алкиламиногруппы может иметь одну или две алкильные группы, имеющие 1-6 углеродных атомов (алкильная группа может иметь циклическую структуру и может иметь одну или несколько групп, выбранных из группы, состоящей из гидроксильной группы, атома галогена, алкилтиогруппы, имеющей 1-6 углеродных атомов, и алкоксигруппы, имеющей 1-6 углеродных атомов, в качестве заместителя(ей)) (когда присутствуют две алкильные группы, они могут быть одинаковыми или разными), причем аминофрагмент может быть защищен защитной группой.
Все указанные выше арильные группы и гетероарильные группы могут иметь в качестве заместителя(ей) одну или несколько групп, выбранных из группы, состоящей из атома галогена, гидроксильной группы, тиольной группы, аминогруппы, нитрогруппы, цианогруппы, карбоксильной группы, карбамоильной группы, фенильной группы, алкильной группы, имеющей 1-6 углеродных атомов, алкоксигруппы, имеющей 1-6 углеродных атомов, алкилтиогруппы, имеющей 1-6 углеродных атомов, алкоксикарбонильной группы, имеющей 2-6 углеродных атомов, ацильной группы, имеющей 2-5 углеродных атомов, и гетероарильной группы (которая представляет собой 5- или 6-членное кольцо и содержит 1-4 гетероатома, необязательно выбранных из атома азота, атома кислорода и атома серы), причем указанные алкильная группа, алкоксигруппа, алкилтиогруппа, алкоксикарбонильная группа, ацильная группа, фенильная группа и гетероарильная группа (которая представляет собой 5- или 6-членное кольцо и содержит 1-4 гетероатома, необязательно выбранных из атома азота, атома кислорода и атома серы), могут иметь в качестве заместителя(ей) одну или несколько групп, выбранных из группы, состоящей из атома галогена, гидроксильной группы, алкоксигруппы, имеющей 1-6 углеродных атомов, и алкилтиогруппы, имеющей 1-6 углеродных атомов, и, кроме того, аминогруппа может иметь в качестве заместителя(ей) одну или две группы, выбранные из группы, состоящей из формильной группы, алкильной группы, имеющей 1-6 углеродных атомов, ацильной группы, имеющей 2-5 углеродных атомов, и алкоксикарбонильной группы, имеющей 2-5 углеродных атомов.
Кроме того, в соответствии с настоящим изобретением предлагаются:
средство против кислотоустойчивых бактерий, в котором соединение, представленное формулой (1), является соединением, представленным следующей формулой

или следующей формулой

(где А1, R1, R2, R3, Х1, Y и Z – такие, как определенные выше);
средство против кислотоустойчивых бактерий, в котором соединение, представленное формулой (1), является соединением, представленным следующей формулой

(где А1, R1, R2, R3, Х1, Y и Z – такие, как определенные выше);
средство против кислотоустойчивых бактерий, в котором
Y представляет атом водорода;
средство против кислотоустойчивых бактерий, в котором R1 представляет алкильную группу, имеющую 1-6 углеродных атомов, галогеналкильную группу, имеющую 1-6 углеродных атомов, циклическую алкильную группу, имеющую 3-6 углеродных атомов, которые могут иметь заместитель(и), или арильную группу, имеющую 6-10 углеродных атомов, которая может иметь заместитель(и);
средство против кислотоустойчивых бактерий, в котором R1 и R2 могут быть объединены с образованием циклической структуры, включающей часть исходного ядра (кольцо может содержать атом серы в качестве кольцеобразующего атома и, кроме того, может иметь алкильную группу, имеющую 1-6 углеродных атомов, в качестве заместителя);
средство против кислотоустойчивых бактерий, в котором R3 представляет атом водорода, аминогруппу или алкильную группу, имеющую 1-6 углеродных атомов;
средство против кислотоустойчивых бактерий, в котором А1 представляет атом азота или неполную структуру, представленную формулой (2)

(где Х2 представляет атом водорода, атом галогена, галогенметоксигруппу, алкильную группу, имеющую 1-6 углеродных атомов, или алкоксигруппу, имеющую 1-6 углеродных атомов,
Х2 и описанный выше R1 могут быть объединены с образованием циклической структуры, включающей часть исходного ядра, причем образованное при этом кольцо может содержать атом кислорода в качестве кольцеобразующего атома и, кроме того, может иметь алкильную группу, имеющую 1-6 углеродных атомов, в качестве заместителя);
средство против кислотоустойчивых бактерий, в котором Х1 представляет атом галогена или водород;
средство против кислотоустойчивых бактерий, в котором соединение, представленное формулой (1), представляет собой производное 6-карбокси-9-фтор-2,3-дигидро-3-(S)-метил-7-оксо-7Н-пиридо[1,2,3-de][1,4]бензоксазина, имеющее Z в положении 10;
средство против кислотоустойчивых бактерий, в котором соединение, представленное формулой (1), представляет собой производное 8-амино-6-карбокси-9-фтор-2,3-дигидро-3-(S)-метил-7-оксо-7Н-пиридо[1,2,3-de][1,4]бензоксазина, имеющее Z в положении 10;
средство против кислотоустойчивых бактерий, в котором соединение, представленное формулой (1), представляет собой производное 3-карбокси-6-фтор-1-[2-(S)-фтор-1-(R)-циклопропил]-1,4-дигидро-4-оксо-1,8-нафтиридина, имеющее Z в положении 7;
средство против кислотоустойчивых бактерий, в котором соединение, представленное формулой (1), представляет собой производное 3-карбокси-8-хлор-6-фтор-1-[2-(S)-фтор-1-(R)-циклопропил]-8-метокси-1,4-дигидро-4-оксохинолина, имеющее Z в положении 7;
средство против кислотоустойчивых бактерий, в котором соединение, представленное формулой (1), представляет собой производное 3-карбокси-6-фтор-1-[2-(S)-фтор-1-(R)-циклопропил]-8-метокси-1,4-дигидро-4-оксохинолина, имеющее Z в положении 7;
средство против кислотоустойчивых бактерий, в котором соединение, представленное формулой (1), представляет собой производное 3-карбокси-1-[2-(S)-фтор-1-(R)-циклопропил]-8-метокси-1,4-дигидро-4-оксохинолина, имеющее Z в положении 7;
средство против кислотоустойчивых бактерий, в котором соединение, представленное формулой (1), представляет собой производное 3-карбокси-6-фтор-1-[2-(S)-фтор-1-(R)-циклопропил]-8-дифторметокси-1,4-дигидро-4-оксохинолина, имеющее Z в положении 7;
средство против кислотоустойчивых бактерий, в котором соединение, представленное формулой (1), представляет собой производное 3-карбокси-1-[2-(S)-фтор-1-(R)-циклопропил]-8-дифторметокси-1,4-дигидро-4-оксохинолина, имеющее Z в положении 7;
средство против кислотоустойчивых бактерий, в котором соединение, представленное формулой (1), представляет собой производное 3-карбокси-6-фтор-1-[2-(S)-фтор-1-(R)-циклопропил]-8-метил-1,4-дигидро-4-оксохинолина, имеющее Z в положении 7;
средство против кислотоустойчивых бактерий, в котором соединение, представленное формулой (1), представляет собой производное 5-амино-3-карбокси-6-фтор-1-[2-(S)-фтор-1-(R)-циклопропил]-8-метокси-1,4-дигидро-4-оксохинолина, имеющее Z в положении 7;
средство против кислотоустойчивых бактерий, в котором соединение, представленное формулой (1), представляет собой производное 5-амино-3-карбокси-6-фтор-1-[2-(S)-фтор-1-(R)-циклопропил]-8-метил-1,4-дигидро-4-оксохинолина, имеющее Z в положении 7;
средство против кислотоустойчивых бактерий, в котором соединение, представленное формулой (1), представляет собой производное 5-амино-3-карбокси-6,8-дифтор-1-[2-(S)-фтор-1-(R)-циклопропил]-1,4-дигидро-4-оксохинолина, имеющее Z в положении 7;
средство против кислотоустойчивых бактерий, в котором соединение, представленное формулой (1), представляет собой производное 3-карбокси-8-хлор-6-фтор-1-циклопропил-1,4-дигидро-4-оксохинолина, имеющее Z в положении 7;
средство против кислотоустойчивых бактерий, в котором соединение, представленное формулой (1), представляет собой производное 3-карбокси-6-фтор-1-циклопропил-8-метокси-1,4-дигидро-4-оксохинолина, имеющее Z в положении 7;
средство против кислотоустойчивых бактерий, в котором соединение, представленное формулой (1), представляет собой производное 3-карбокси-1-циклопропил-8-метокси-1,4-дигидро-4-оксохинолина, имеющее Z в положении 7;
средство против кислотоустойчивых бактерий, в котором соединение, представленное формулой (1), представляет собой производное 3-карбокси-6-фтор-1-циклопропил-8-дифторметокси-1,4-дигидро-4-оксохинолина, имеющее Z в положении 7;
средство против кислотоустойчивых бактерий, в котором соединение, представленное формулой (1), представляет собой производное 3-карбокси-1-циклопропил-8-дифторметокси-1,4-дигидро-4-оксохинолина, имеющее Z в положении 7;
средство против кислотоустойчивых бактерий, в котором соединение, представленное формулой (1), представляет собой производное 3-карбокси-6-фтор-1-циклопропил-8-метил-1,4-дигидро-4-оксохинолина, имеющее Z в положении 7;
средство против кислотоустойчивых бактерий, в котором соединение, представленное формулой (1), представляет собой производное 5-амино-3-карбокси-6-фтор-1-циклопропил-8-метокси-1,4-дигидро-4-оксохинолина, имеющее Z в положении 7;
средство против кислотоустойчивых бактерий, в котором соединение, представленное формулой (1), представляет собой производное 5-амино-3-карбокси-6-фтор-1-циклопропил-8-метил-1,4-дигидро-4-оксохинолина, имеющее Z в положении 7;
средство против кислотоустойчивых бактерий, в котором соединение, представленное формулой (1), представляет собой производное 5-амино-3-карбокси-6,8-дифтор-1-циклопропил-1,4-дигидро-4-оксохинолина, имеющее Z в положении 7;
средство против кислотоустойчивых бактерий, в котором Z представляет гетероциклический заместитель, представленный следующей формулой (3):

(где R4, R5 и R6 независимо представляют каждый атом водорода или алкильную группу, имеющую 1-6 углеродных атомов,
алкильная группа может иметь в качестве заместителя(ей) одну или несколько групп, выбранных из группы, состоящей из гидроксильной группы, атома галогена, аминогруппы, карбамоильной группы, алкилтиогруппы, имеющей 1-6 углеродных атомов, алкоксигруппы, имеющей 1-6 углеродных атомов, алкиламиногруппы, имеющей 1-6 углеродных атомов, галогеналкильной группы, имеющей 1-6 углеродных атомов, и аминоалкильной группы, имеющей 1-6 углеродных атомов,
алкильная группа или алкильная часть алкиламиногруппы, алкоксигруппы, алкилтиогруппы, галогеналкильной группы и аминоалкильной группы может иметь циклическую структуру,
кроме того, может иметь в качестве заместителя(ей) одну или несколько групп, выбранных из группы, состоящей из атома галогена, алкильной группы, имеющей 1-6 углеродных атомов, и алкоксигруппы, имеющей 1-6 углеродных атомов.
Аминофрагмент аминогруппы, аминоалкильной группы и алкил-аминогруппы может иметь одну или две алкильные группы, имеющие 1-6 углеродных атомов (алкильная группа может иметь циклическую структуру и может иметь одну или несколько групп, выбранных из группы, состоящей из гидроксильной группы, атома галогена, алкилтиогруппы, имеющей 1-6 углеродных атомов, и алкоксигруппы, имеющей 1-6 углеродных атомов, в качестве заместителя(ей)) (когда присутствуют две алкильные группы, они могут быть одинаковыми или разными), причем аминофрагмент может быть защищен защитной группой;
R5′ и R6′ каждый независимо представляют атом водорода, арильную группу, имеющую 6-10 углеродных атомов, или гетероарильную группу (которая представляет собой 5- или 6-членное кольцо и содержит 1-4 гетероатома, необязательно выбранных из атома азота, атома кислорода и атома серы) в качестве заместителя(ей),
арильная группа и гетероарильная группа могут иметь в качестве заместителя(ей) одну или несколько групп, выбранных из группы, состоящей из атома галогена, гидроксильной группы, тиольной группы, аминогруппы, нитрогруппы, цианогруппы, карбоксильной группы, карбамоильной группы, фенильной группы, алкильной группы, имеющей 1-6 углеродных атомов, алкоксигруппы, имеющей 1-6 углеродных атомов, алкилтиогруппы, имеющей 1-6 углеродных атомов, алкоксикарбонильной группы, имеющей 2-6 углеродных атомов, ацильной группы, имеющей 2-5 углеродных атомов, и гетероарильной группы (которая представляет собой 5- или 6-членное кольцо и содержит 1-4 гетероатома, необязательно выбранных из атома азота, атома кислорода и атома серы),
среди них алкильная группа, алкоксигруппа, алкилтиогруппа, алкоксикарбонильная группа, ацильная группа, фенильная группа и гетероарильная группа могут иметь в качестве заместителя(ей) одну или несколько групп, выбранных из группы, состоящей из атома галогена, гидроксильной группы, алкоксигруппы, имеющей 1-6 углеродных атомов, и алкилтиогруппы, имеющей 1-6 углеродных атомов, и, кроме того, аминогруппа может иметь в качестве заместителя(ей) одну или две группы, выбранные из группы, состоящей из формильной группы, алкильной группы, имеющей 1-6 углеродных атомов, ацильной группы, имеющей 2-5 углеродных атомов, и алкоксикарбонильной группы, имеющей 2-5 углеродных атомов;
R7 и R8 каждый независимо представляют атом водорода или алкильную группу, имеющую 1-6 углеродных атомов;
любые две группы, выбранные из R4, R5, R5′, R6, R6′, R7 и R8, могут быть объединены с образованием циклической структуры, содержащей бициклоструктуру или спироструктуру, и могут содержать один или несколько гетероатомов, необязательно выбранных из атома кислорода, атома азота или атома серы, в качестве кольцеобразующего атома(ов).
Образованное при этом кольцо может иметь в качестве заместителя(ей) одну или несколько групп, выбранных из группы, состоящей из атома галогена, гидроксильной группы, алкильной группы, имеющей 1-6 углеродных атомов, алкоксигруппы, имеющей 1-6 углеродных атомов, и алкилтиогруппы, имеющей 1-6 углеродных атомов, и, кроме того, аминогруппа может иметь в качестве заместителя(ей) одну или две группы, выбранные из группы, состоящей из формильной группы, алкильной группы, имеющей 1-6 углеродных атомов, ацильной группы, имеющей 2-5 углеродных атомов, и алкоксикарбонильной группы, имеющей 2-5 углеродных атомов);
средство против кислотоустойчивых бактерий, в котором Z представляет гетероциклический заместитель, представленный следующей формулой (4):

(где R11 и R11′ каждый независимо представляют атом водорода или алкильную группу, имеющую 1-6 углеродных атомов,
алкильная группа может иметь циклическую структуру и может иметь в качестве заместителя(ей) одну или несколько групп, выбранных из группы, состоящей из гидроксильной группы, атома галогена, аминогруппы, карбамоильной группы, алкилтиогруппы, имеющей 1-6 углеродных атомов, алкоксигруппы, имеющей 1-6 углеродных атомов, алкиламиногруппы, имеющей 1-6 углеродных атомов, галогеналкильной группы, имеющей 1-6 углеродных атомов, и аминоалкильной группы, имеющей 1-6 углеродных атомов;
R9, R10 и R10′ каждый независимо представляют атом водорода, атом галогена, аминогруппу, гидроксильную группу, карбамоильную группу, алкильную группу, имеющую 1-6 углеродных атомов, алкиламиногруппу, имеющую 1-6 углеродных атомов, арильную группу, имеющую 6-10 углеродных атомов, гетероарильную группу (которая представляет собой 5- или 6-членное кольцо и содержит 1-4 гетероатома, необязательно выбранных из атома азота, атома кислорода и атома серы), алкоксигруппу, имеющую 1-6 углеродных атомов, алкилтиогруппу, имеющую 1-6 углеродных атомов, галогеналкильную группу, имеющую 1-6 углеродных атомов, и аминоалкильную группу, имеющую 1-6 углеродных атомов,
алкильная группа или алкильная часть алкиламиногруппы, алкоксигруппы, алкилтиогруппы, галогеналкильной группы и аминоалкильной группы может иметь циклическую структуру,
кроме того, может иметь в качестве заместителя(ей) одну или несколько групп, выбранных из группы, состоящей из атома галогена, алкильной группы, имеющей 1-6 углеродных атомов, и алкоксигруппы, имеющей 1-6 углеродных атомов,
аминофрагмент аминогруппы, аминоалкильной группы и алкиламиногруппы может иметь одну или две алкильные группы, имеющие 1-6 углеродных атомов (алкильная группа может иметь циклическую структуру и может иметь одну или несколько групп, выбранных из группы, состоящей из гидроксильной группы, атома галогена, алкилтиогруппы, имеющей 1-6 углеродных атомов, и алкоксигруппы, имеющей 1-6 углеродных атомов, в качестве заместителя(ей)) (когда присутствуют две алкильные группы, они могут быть одинаковыми или разными), причем аминофрагмент может быть защищен защитной группой;
арильная группа и гетероарильная группа могут иметь в качестве заместителя(ей) одну или несколько групп, выбранных из группы, состоящей из атома галогена, гидроксильной группы, тиольной группы, аминогруппы, нитрогруппы, цианогруппы, карбоксильной группы, карбамоильной группы, фенильной группы, алкильной группы, имеющей 1-6 углеродных атомов, алкоксигруппы, имеющей 1-6 углеродных атомов, алкилтиогруппы, имеющей 1-6 углеродных атомов, алкоксикарбонильной группы, имеющей 2-6 углеродных атомов, ацильной группы, имеющей 2-5 углеродных атомов, и гетероарильной группы (которая представляет собой 5- или 6-членное кольцо и содержит 1-4 гетероатома, необязательно выбранных из атома азота, атома кислорода и атома серы),
среди них алкильная группа, алкоксигруппа, алкилтиогруппа, алкоксикарбонильная группа, ацильная группа, фенильная группа и гетероарильная группа могут иметь в качестве заместителя(ей) одну или несколько групп, выбранных из группы, состоящей из атома галогена, гидроксильной группы, алкоксигруппы, имеющей 1-6 углеродных атомов, и алкилтиогруппы, имеющей 1-6 углеродных атомов, и, кроме того, аминогруппа может иметь в качестве заместителя(ей) одну или две группы, выбранные из группы, состоящей из формильной группы, алкильной группы, имеющей 1-6 углеродных атомов, ацильной группы, имеющей 2-5 углеродных атомов, и алкоксикарбонильной группы, имеющей 2-5 углеродных атомов;
R7, R7′, R8 и R8′ каждый независимо представляют атом водорода или алкильную группу, имеющую 1-6 углеродных атомов;
любые две группы, выбранные из R7, R7′, R5′, R8, R8′, R9, R10 и R10′ могут быть объединены с образованием циклической структуры, содержащей бициклоструктуру или спироструктуру, и могут содержать один или несколько гетероатомов, необязательно выбранных из атома кислорода, атома азота или атома серы, в качестве кольцеобразующего атома(ов),
образованное при этом кольцо может иметь в качестве заместителя(ей) одну или несколько групп, выбранных из группы, состоящей из атома галогена, гидроксильной группы, алкильной группы, имеющей 1-6 углеродных атомов, алкоксигруппы, имеющей 1-6 углеродных атомов, и алкилтиогруппы, имеющей 1-6 углеродных атомов, и, кроме того, аминогруппа может иметь в качестве заместителя(ей) одну или две группы, выбранные из группы, состоящей из формильной группы, алкильной группы, имеющей 1-6 углеродных атомов, ацильной группы, имеющей 2-5 углеродных атомов, и алкоксикарбонильной группы, имеющей 2-5 углеродных атомов);
средство против кислотоустойчивых бактерий, в котором Z представляет гетероциклический заместитель, представленный следующей формулой (5):

(где R11 и R11′ каждый независимо представляют атом водорода или алкильную группу, имеющую 1-6 углеродных атомов,
алкильная группа может иметь циклическую структуру и может иметь в качестве заместителя(ей) одну или несколько групп, выбранных из группы, состоящей из гидроксильной группы, атома галогена, аминогруппы, карбамоильной группы, алкилтиогруппы, имеющей 1-6 углеродных атомов, алкоксигруппы, имеющей 1-6 углеродных атомов, алкиламиногруппы, имеющей 1-6 углеродных атомов, галогеналкильной группы, имеющей 1-6 углеродных атомов, и аминоалкильной группы, имеющей 1-6 углеродных атомов;
R9, R10 и R10′ каждый независимо представляют атом водорода, атом галогена, аминогруппу, гидроксильную группу, карбамоильную группу, алкильную группу, имеющую 1-6 углеродных атомов, алкиламиногруппу, имеющую 1-6 углеродных атомов, арильную группу, имеющую 6-10 углеродных атомов, гетероарильную группу (которая представляет собой 5- или 6-членное кольцо и содержит 1-4 гетероатома, необязательно выбранных из атома азота, атома кислорода и атома серы), алкоксигруппу, имеющую 1-6 углеродных атомов, алкилтиогруппу, имеющую 1-6 углеродных атомов, галогеналкильную группу, имеющую 1-6 углеродных атомов, и аминоалкильную группу, имеющую 1-6 углеродных атомов,
алкильная группа или алкильная часть алкиламиногруппы, алкоксигруппы, алкилтиогруппы, галогеналкильной группы и аминоалкильной группы может иметь циклическую структуру,
кроме того, может иметь в качестве заместителя(ей) одну или несколько групп, выбранных из группы, состоящей из атома галогена, алкильной группы, имеющей 1-6 углеродных атомов, и алкоксигруппы, имеющей 1-6 углеродных атомов.
Аминофрагмент аминогруппы, аминоалкильной группы и алкиламиногруппы может иметь одну или две алкильные группы, имеющие 1-6 углеродных атомов (алкильная группа может иметь циклическую структуру и может иметь одну или несколько групп, выбранных из группы, состоящей из гидроксильной группы, атома галогена, алкилтиогруппы, имеющей 1-6 углеродных атомов, и алкоксигруппы, имеющей 1-6 углеродных атомов, в качестве заместителя(ей)) (когда присутствуют две алкильные группы, они могут быть одинаковыми или разными), причем аминофрагмент может быть защищен защитной группой;
R12 и R12′ каждый независимо представляют атом водорода, алкильную группу, имеющую 1-6 углеродных атомов, арильную группу, имеющую 6-10 углеродных атомов, или гетероарильную группу (которая представляет собой 5- или 6-членное кольцо и содержит 1-4 гетероатома, необязательно выбранных из атома азота, атома кислорода и атома серы).
Арильная группа и гетероарильная группа могут иметь в качестве заместителя(ей) одну или несколько групп, выбранных из группы, состоящей из атома галогена, гидроксильной группы, тиольной группы, аминогруппы, нитрогруппы, цианогруппы, карбоксильной группы, карбамоильной группы, фенильной группы, алкильной группы, имеющей 1-6 углеродных атомов, алкоксигруппы, имеющей 1-6 углеродных атомов, алкилтиогруппы, имеющей 1-6 углеродных атомов, алкоксикарбонильной группы, имеющей 2-6 углеродных атомов, ацильной группы, имеющей 2-5 углеродных атомов, и гетероарильной группы (которая представляет собой 5- или 6-членное кольцо и содержит 1-4 гетероатома, необязательно выбранных из атома азота, атома кислорода и атома серы),
среди них алкильная группа, алкоксигруппа, алкилтиогруппа, алкоксикарбонильная группа, ацильная группа, фенильная группа и гетероарильная группа могут иметь в качестве заместителя(ей) одну или несколько групп, выбранных из группы, состоящей из атома галогена, гидроксильной группы, алкоксигруппы, имеющей 1-6 углеродных атомов, и алкилтиогруппы, имеющей 1-6 углеродных атомов, и, кроме того, аминогруппа может иметь в качестве заместителя(ей) одну или две группы, выбранные из группы, состоящей из формильной группы, алкильной группы, имеющей 1-6 углеродных атомов, ацильной группы, имеющей 2-5 углеродных атомов, и алкоксикарбонильной группы, имеющей 2-5 углеродных атомов;
R7, R7′, R8 и R8′ каждый независимо представляют атом водорода или алкильную группу, имеющую 1-6 углеродных атомов.
Любые две группы, выбранные из R7, R7′, R8, R8′, R9, R10, R10′, R12 и R12′ могут быть объединены с образованием циклической структуры, содержащей бициклоструктуру или спироструктуру, и могут содержать один или несколько гетероатомов, необязательно выбранных из атома кислорода, атома азота или атома серы, в качестве кольцеобразующего атома(ов),
образованное при этом кольцо может иметь в качестве заместителя(ей) одну или несколько групп, выбранных из группы, состоящей из атома галогена, гидроксильной группы, алкильной группы, имеющей 1-6 углеродных атомов, алкоксигруппы, имеющей 1-6 углеродных атомов, и алкилтиогруппы, имеющей 1-6 углеродных атомов, и, кроме того, аминогруппа может иметь в качестве заместителя(ей) одну или две группы, выбранные из группы, состоящей из формильной группы, алкильной группы, имеющей 1-6 углеродных атомов, ацильной группы, имеющей 2-5 углеродных атомов, и алкоксикарбонильной группы, имеющей 2-5 углеродных атомов);
средство против кислотоустойчивых бактерий, в котором Z представляет гетероциклический заместитель, представленный следующей формулой (6):

(где R13 и R13′ каждый независимо представляют атом водорода или алкильную группу, имеющую 1-6 углеродных атомов,
алкильная группа может иметь циклическую структуру и может иметь в качестве заместителя(ей) одну или несколько групп, выбранных из группы, состоящей из гидроксильной группы, атома галогена, аминогруппы, карбамоильной группы, алкилтиогруппы, имеющей 1-6 углеродных атомов, алкоксигруппы, имеющей 1-6 углеродных атомов, алкиламиногруппы, имеющей 1-6 углеродных атомов, галогеналкильной группы, имеющей 1-6 углеродных атомов, и аминоалкильной группы, имеющей 1-6 углеродных атомов;
R14, R15, R16 и R16′ каждый независимо представляют атом водорода, атом галогена, аминогруппу, гидроксильную группу, карбамоильную группу, алкильную группу, имеющую 1-6 углеродных атомов, алкиламиногруппу, имеющую 1-6 углеродных атомов, арильную группу, имеющую 6-10 углеродных атомов, гетероарильную группу (которая представляет собой 5- или 6-членное кольцо и содержит 1-4 гетероатома, необязательно выбранных из атома азота, атома кислорода и атома серы), алкоксигруппу, имеющую 1-6 углеродных атомов, алкилтиогруппу, имеющую 1-6 углеродных атомов, галогеналкильную группу, имеющую 1-6 углеродных атомов, и аминоалкильную группу, имеющую 1-6 углеродных атомов,
алкильная группа или алкильная часть алкиламиногруппы, алкоксигруппы, алкилтиогруппы, галогеналкильной группы и аминоалкильной группы может иметь циклическую структуру,
кроме того, может иметь в качестве заместителя(ей) одну или несколько групп, выбранных из группы, состоящей из атома галогена, алкильной группы, имеющей 1-6 углеродных атомов, и алкоксигруппы, имеющей 1-6 углеродных атомов,
аминофрагмент аминогруппы, аминоалкильной группы и алкиламиногруппы может иметь одну или две алкильные группы, имеющие 1-6 углеродных атомов (алкильная группа может иметь циклическую структуру и может иметь одну или несколько групп, выбранных из группы, состоящей из гидроксильной группы, атома галогена, алкилтиогруппы, имеющей 1-6 углеродных атомов, и алкоксигруппы, имеющей 1-6 углеродных атомов, в качестве заместителя(ей)) (когда присутствуют две алкильные группы, они могут быть одинаковыми или разными), причем аминофрагмент может быть защищен защитной группой.
Арильная группа и гетероарильная группа могут иметь в качестве заместителя(ей) одну или несколько групп, выбранных из группы, состоящей из атома галогена, гидроксильной группы, тиольной группы, аминогруппы, нитрогруппы, цианогруппы, карбоксильной группы, карбамоильной группы, фенильной группы, алкильной группы, имеющей 1-6 углеродных атомов, алкоксигруппы, имеющей 1-6 углеродных атомов, алкилтиогруппы, имеющей 1-6 углеродных атомов, алкоксикарбонильной группы, имеющей 2-6 углеродных атомов, ацильной группы, имеющей 2-5 углеродных атомов, и гетероарильной группы (которая представляет собой 5- или 6-членное кольцо и содержит 1-4 гетероатома, необязательно выбранных из атома азота, атома кислорода и атома серы),
среди них алкильная группа, алкоксигруппа, алкилтиогруппа, алкоксикарбонильная группа, ацильная группа, фенильная группа и гетероарильная группа могут иметь в качестве заместителя(ей) одну или несколько групп, выбранных из группы, состоящей из атома галогена, гидроксильной группы, алкоксигруппы, имеющей 1-6 углеродных атомов, и алкилтиогруппы, имеющей 1-6 углеродных атомов, и, кроме того, аминогруппа может иметь в качестве заместителя(ей) одну или две группы, выбранные из группы, состоящей из формильной группы, алкильной группы, имеющей 1-6 углеродных атомов, ацильной группы, имеющей 2-5 углеродных атомов, и алкоксикарбонильной группы, имеющей 2-5 углеродных атомов.
Любые две группы, выбранные из R14, R14′, R15, R16 и R16′ могут быть объединены с образованием циклической структуры, содержащей бициклоструктуру или спироструктуру, и могут содержать один или несколько гетероатомов, необязательно выбранных из атома кислорода, атома азота или атома серы, в качестве кольцеобразующего атома(ов),
образованное при этом кольцо может иметь в качестве заместителя(ей) одну или несколько групп, выбранных из группы, состоящей из атома галогена, гидроксильной группы, алкильной группы, имеющей 1-6 углеродных атомов, алкоксигруппы, имеющей 1-6 углеродных атомов, и алкилтиогруппы, имеющей 1-6 углеродных атомов, и, кроме того, аминогруппа может иметь в качестве заместителя(ей) одну или две группы, выбранные из группы, состоящей из формильной группы, алкильной группы, имеющей 1-6 углеродных атомов, ацильной группы, имеющей 2-5 углеродных атомов, и алкоксикарбонильной группы, имеющей 2-5 углеродных атомов);
средство против кислотоустойчивых бактерий, в котором Z представляет гетероциклический заместитель, представленный следующей формулой (7):

(где R13 и R13′ каждый независимо представляют атом водорода или алкильную группу, имеющую 1-6 углеродных атомов,
алкильная группа может иметь циклическую структуру и может иметь в качестве заместителя(ей) одну или несколько групп, выбранных из группы, состоящей из гидроксильной группы, атома галогена, аминогруппы, карбамоильной группы, алкилтиогруппы, имеющей 1-6 углеродных атомов, алкоксигруппы, имеющей 1-6 углеродных атомов, алкиламиногруппы, имеющей 1-6 углеродных атомов, галогеналкильной группы, имеющей 1-6 углеродных атомов, и аминоалкильной группы, имеющей 1-6 углеродных атомов;
R14, R15, R15′, R16 и R16′ каждый независимо представляют атом водорода, атом галогена, аминогруппу, гидроксильную группу, карбамоильную группу, алкильную группу, имеющую 1-6 углеродных атомов, алкиламиногруппу, имеющую 1-6 углеродных атомов, арильную группу, имеющую 6-10 углеродных атомов, гетероарильную группу (которая представляет собой 5- или 6-членное кольцо и содержит 1-4 гетероатома, необязательно выбранных из атома азота, атома кислорода и атома серы), алкоксигруппу, имеющую 1-6 углеродных атомов, алкилтиогруппу, имеющую 1-6 углеродных атомов, галогеналкильную группу, имеющую 1-6 углеродных атомов, и аминоалкильную группу, имеющую 1-6 углеродных атомов,
алкильная группа или алкильная часть алкиламиногруппы, алкоксигруппы, алкилтиогруппы, галогеналкильной группы и аминоалкильной группы может иметь циклическую структуру,
кроме того, может иметь в качестве заместителя(ей) одну или несколько групп, выбранных из группы, состоящей из атома галогена, алкильной группы, имеющей 1-6 углеродных атомов, и алкоксигруппы, имеющей 1-6 углеродных атомов,
аминофрагмент аминогруппы, аминоалкильной группы и алкиламиногруппы может иметь одну или две алкильные группы, имеющие 1-6 углеродных атомов (алкильная группа может иметь циклическую структуру и может иметь одну или несколько групп, выбранных из группы, состоящей из гидроксильной группы, атома галогена, алкилтиогруппы, имеющей 1-6 углеродных атомов, и алкоксигруппы, имеющей 1-6 углеродных атомов, в качестве заместителя(ей)) (когда присутствуют две алкильные группы, они могут быть одинаковыми или разными), причем аминофрагмент может быть защищен защитной группой;
R17 и R17′ каждый независимо представляют атом водорода, алкильную группу, имеющую 1-6 углеродных атомов, арильную группу, имеющую 6-10 углеродных атомов, или гетероарильную группу (которая представляет собой 5- или 6-членное кольцо и содержит 1-4 гетероатома, необязательно выбранных из атома азота, атома кислорода и атома серы).
Арильная группа и гетероарильная группа могут иметь в качестве заместителя(ей) одну или несколько групп, выбранных из группы, состоящей из атома галогена, гидроксильной группы, тиольной группы, аминогруппы, нитрогруппы, цианогруппы, карбоксильной группы, карбамоильной группы, фенильной группы, алкильной группы, имеющей 1-6 углеродных атомов, алкоксигруппы, имеющей 1-6 углеродных атомов, алкилтиогруппы, имеющей 1-6 углеродных атомов, алкоксикарбонильной группы, имеющей 2-6 углеродных атомов, ацильной группы, имеющей 2-5 углеродных атомов, и гетероарильной группы (которая представляет собой 5- или 6-членное кольцо и содержит 1-4 гетероатома, необязательно выбранных из атома азота, атома кислорода и атома серы),
среди них алкильная группа, алкоксигруппа, алкилтиогруппа, алкоксикарбонильная группа, ацильная группа, фенильная группа и гетероарильная группа могут иметь в качестве заместителя(ей) одну или несколько групп, выбранных из группы, состоящей из атома галогена, гидроксильной группы, алкоксигруппы, имеющей 1-6 углеродных атомов, и алкилтиогруппы, имеющей 1-6 углеродных атомов, и, кроме того, аминогруппа может иметь в качестве заместителя(ей) одну или две группы, выбранные из группы, состоящей из формильной группы, алкильной группы, имеющей 1-6 углеродных атомов, ацильной группы, имеющей 2-5 углеродных атомов, и алкоксикарбонильной группы, имеющей 2-5 углеродных атомов;
любые две группы, выбранные из R14, R14′, R15, R16, R16′, R17 и R17′ могут быть объединены с образованием циклической структуры, содержащей бициклоструктуру или спироструктуру, и могут содержать один или несколько гетероатомов, необязательно выбранных из атома кислорода, атома азота или атома серы, в качестве кольцеобразующего атома(ов),
образованное при этом кольцо может иметь в качестве заместителя(ей) одну или несколько групп, выбранных из группы, состоящей из атома галогена, гидроксильной группы, алкильной группы, имеющей 1-6 углеродных атомов, алкоксигруппы, имеющей 1-6 углеродных атомов, и алкилтиогруппы, имеющей 1-6 углеродных атомов, и, кроме того, аминогруппа может иметь в качестве заместителя(ей) одну или две группы, выбранные из группы, состоящей из формильной группы, алкильной группы, имеющей 1-6 углеродных атомов, ацильной группы, имеющей 2-5 углеродных атомов, и алкоксикарбонильной группы, имеющей 2-5 углеродных атомов).
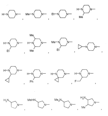
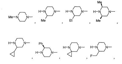
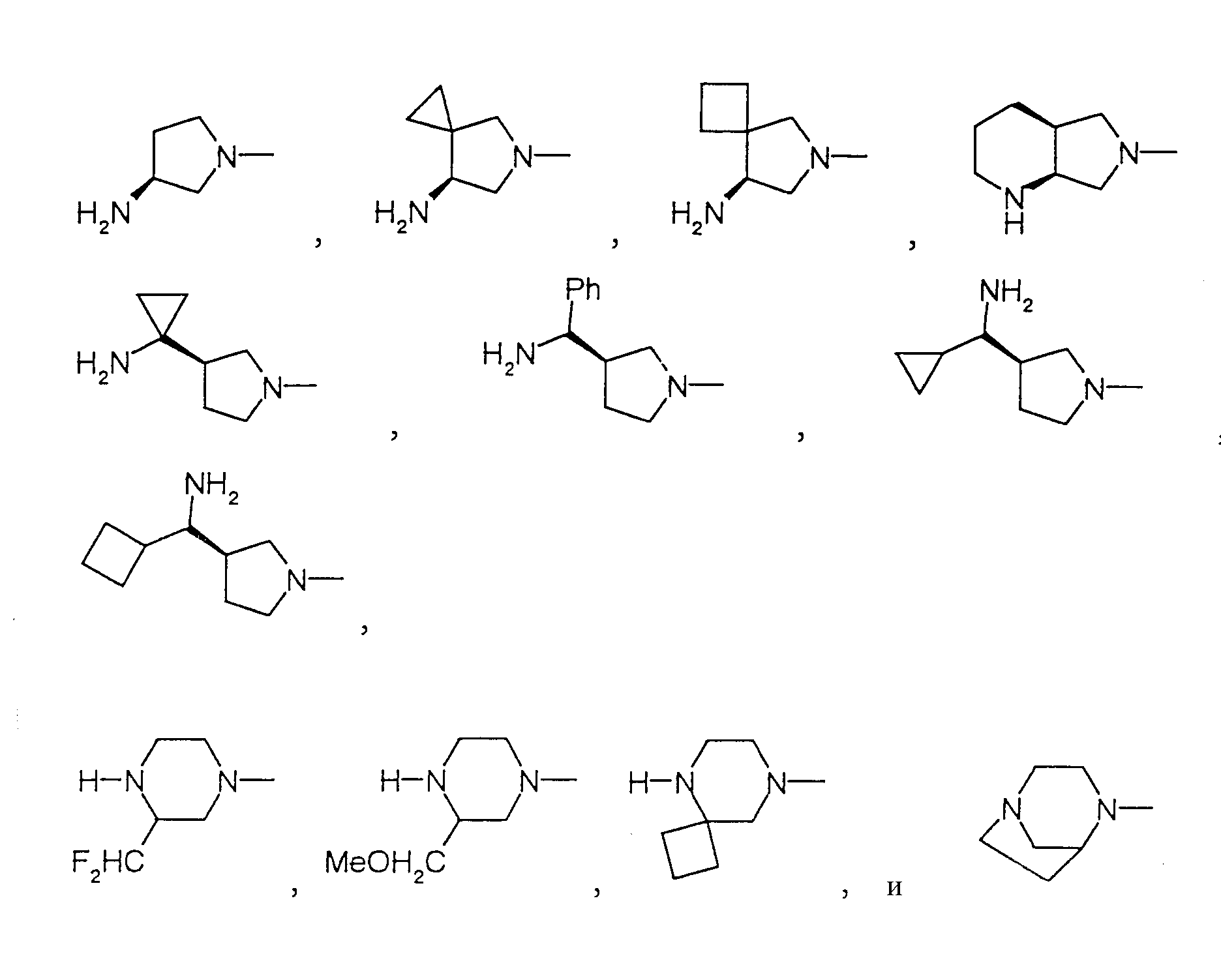
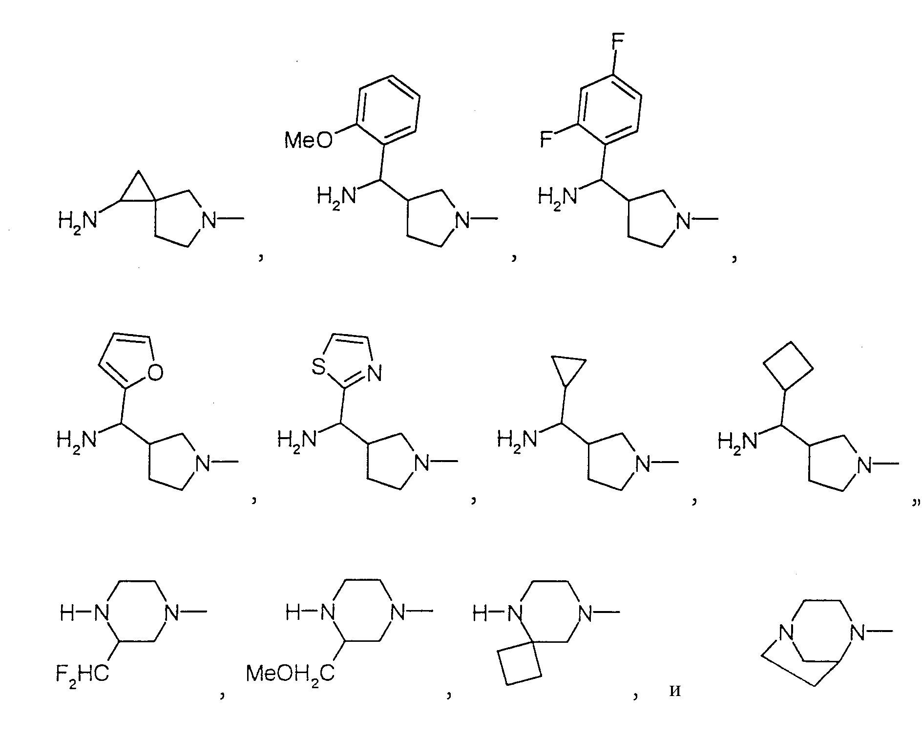
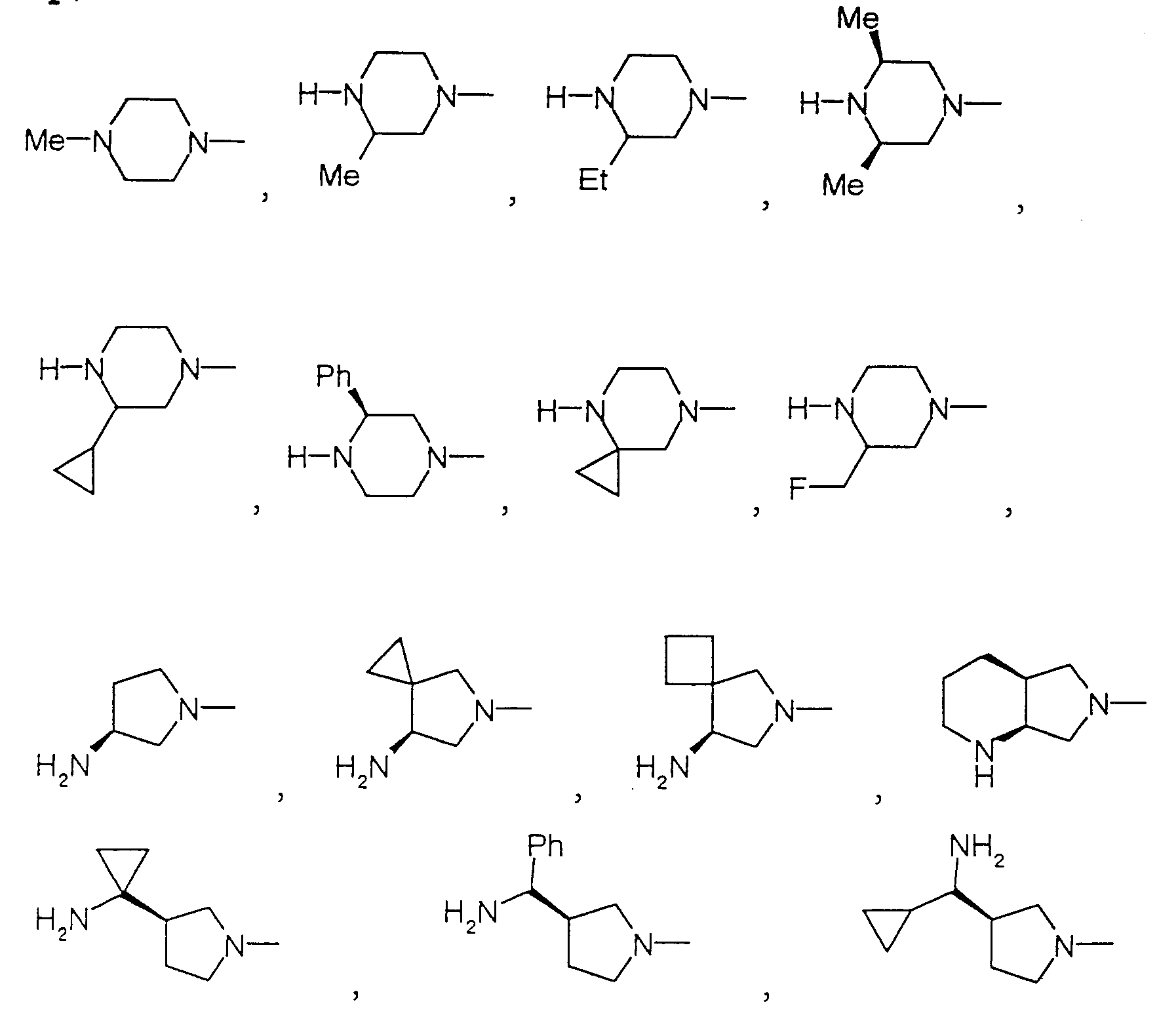
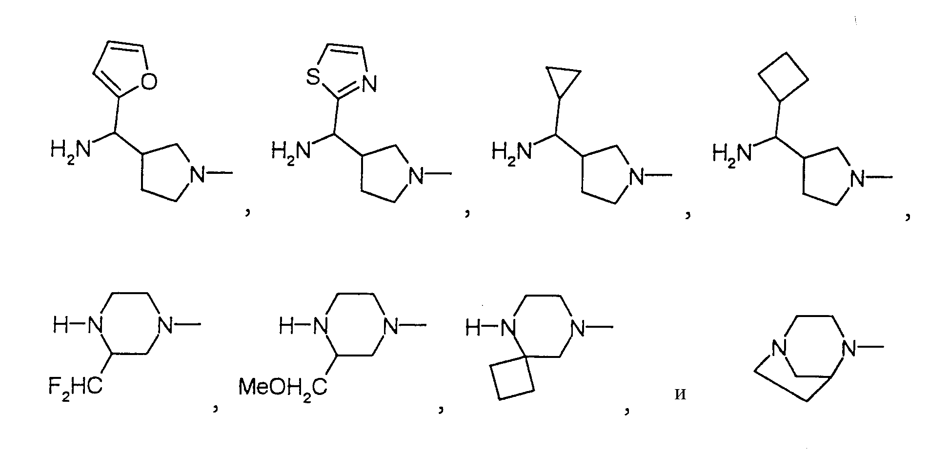
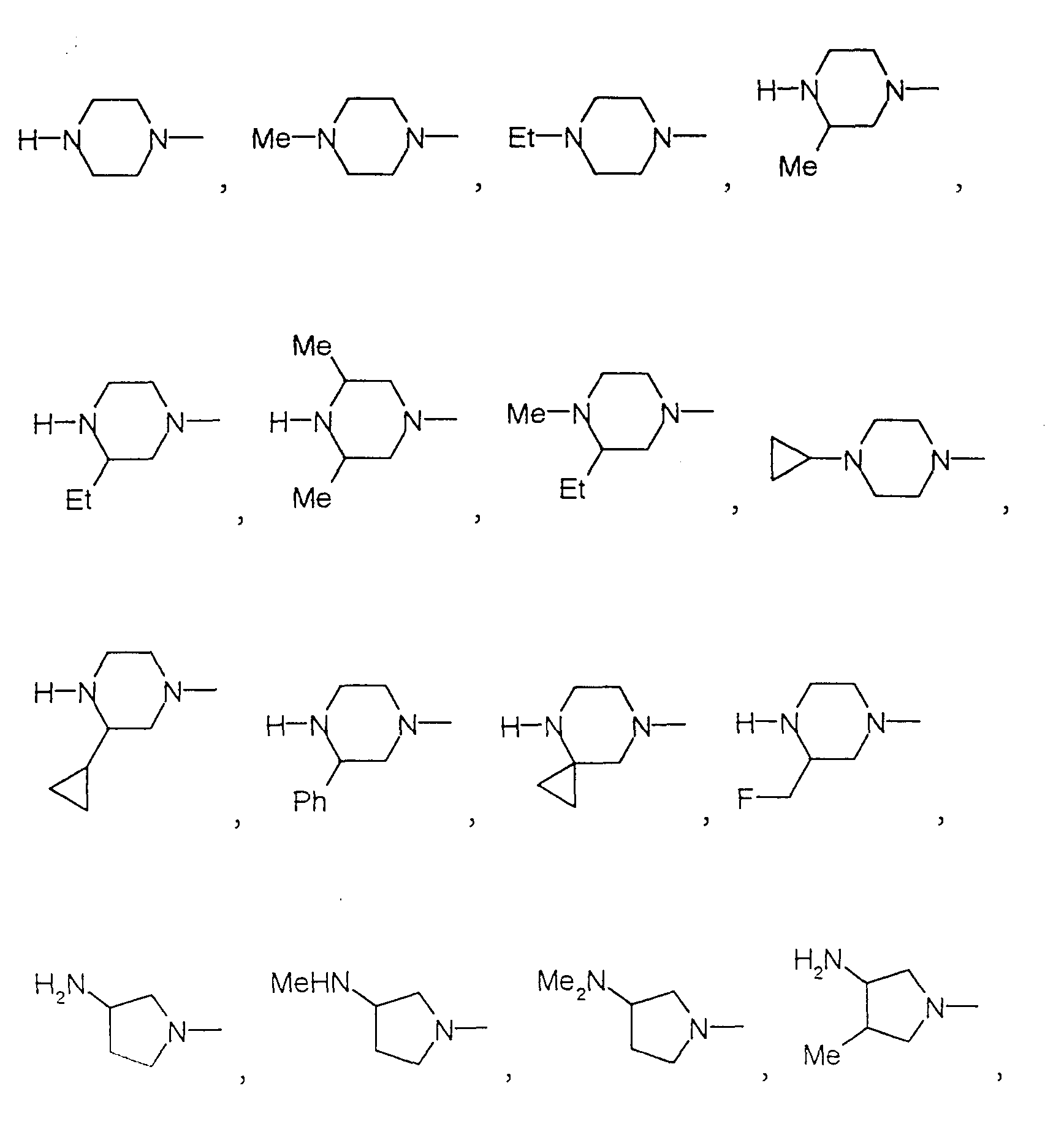
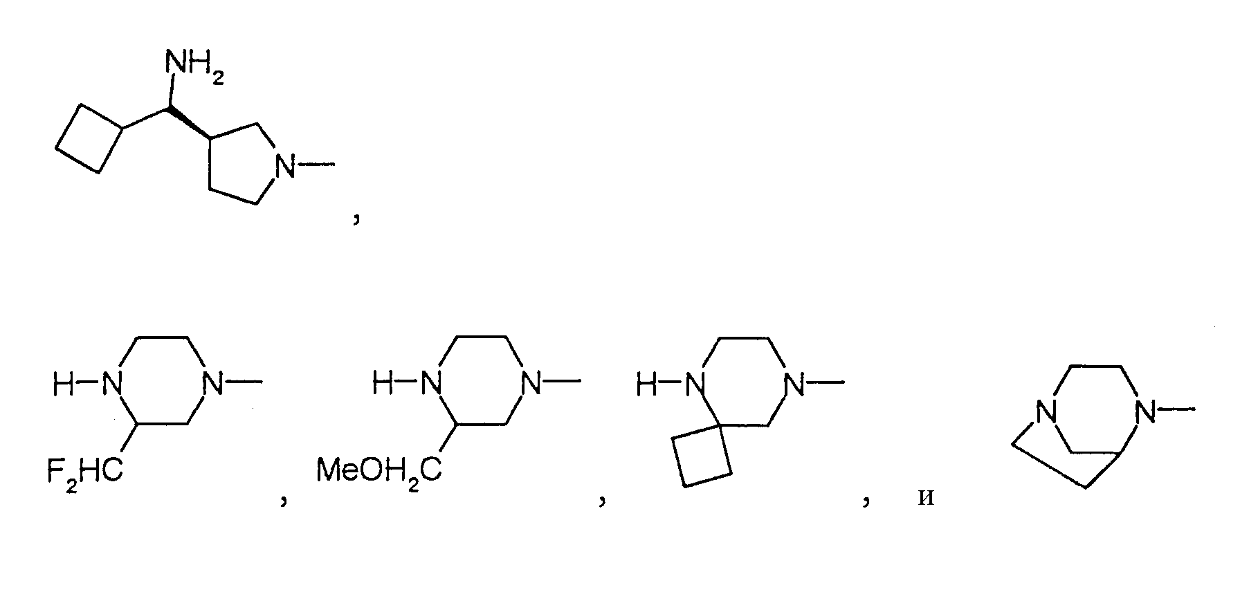
Средство против кислотоустойчивых бактерий, в котором в соединении, представленном формулой (1), Z представляет гетероциклический заместитель, выбранный из следующих групп:



Средство против кислотоустойчивых бактерий, в котором в соединении, представленном формулой (1), Z представляет гетероциклический заместитель, выбранный из следующих групп:


и тому подобное.
Среди соединений, представленных формулой (1)

(где А1, А2, R1, R2, R3, Х1, Y и Z – такие, как определенные выше),
предпочтительными являются соединения, представленные формулой

или формулой

Заместитель R1 представляет алкильную группу, имеющую 1-6 углеродных атомов, алкенильную группу, имеющую 2-6 углеродных атомов, галогеналкильную группу, имеющую 1-6 углеродных атомов, циклическую алкильную группу, имеющую 3-6 углеродных атомов, которые могут иметь заместитель(и), арильную группу, имеющую 6-10 углеродных атомов, которая может иметь заместитель(и), гетероарильную группу, которая может иметь заместитель(и), алкоксигруппу, имеющую 1-6 углеродных атомов, или алкиламиногруппу, имеющую 1-6 углеродных атомов.
Алкильная группа, имеющая 1-6 углеродных атомов, предпочтительно представляет собой этильную группу. Алкенильная группа, имеющая 2-6 углеродных атомов, предпочтительно представляет собой винильную группу или 1-изопропенильную группу. Галогеналкильная группа, имеющая 1-6 углеродных атомов, предпочтительно представляет собой 2-фторэтильную группу. Циклическая алкильная группа, имеющая 3-6 углеродных атомов, предпочтительно представляет собой циклопропильную группу, а предпочтительным заместителем циклической алкильной группы является атом галогена. Атом галогена предпочтительно является атомом фтора.
Примером арильной группы, которая может иметь заместитель(и), является фенильная группа, имеющая в качестве заместителя(ей) 1-3 группы, выбранные из группы, состоящей из атома галогена, такого как атом фтора, атом хлора, атом брома и т.д., гидроксильной группы, аминогруппы, нитрогруппы, алкильной группы, имеющей 1-6 углеродных атомов, алкоксигруппы, имеющей 1-6 углеродных атомов, и тому подобного. Предпочтительными являются фенильная группа, 2-фторфенильная группа, 4-фторфенильная группа, 2,4-дифторфенильная группа, 2-фтор-4-гидроксифенильная группа, 3-амино-4,6-дифторфенильная группа и 4,6-дифтор-3-метиламинофенильная группа.
Примерами гетероарильной группы, которая может иметь заместитель(и), являются пиридильная группа, пиримидиновая группа и тому подобное. Заместителем в кольце предпочтительно является алкильная группа, галоген или тому подобное. Из них более предпочтительной является 6-амино-3,5-дифтор-2-пиридильная группа.
Алкоксигруппа, имеющая 1-6 углеродных атомов, предпочтительно представляет собой метоксигруппу. Алкиламиногруппа, имеющая 1-6 углеродных атомов, предпочтительно представляет собой метиламиногруппу.
Заместитель R1 предпочтительно представляет собой циклическую алкильную группу или галогенциклоалкильную группу. Из них предпочтительной является циклопропильная группа или 2-галогенциклопропильная группа. Более предпочтительным атомом галогена является атом фтора.
Заместитель R2 представляет собой атом водорода или алкилтиогруппу, имеющую 1-6 углеродных атомов, а предпочтительно R2 представляет атом водорода. Кроме того, R1 и R2 могут быть объединены с образованием циклической структуры, включающей часть исходного ядра (кольцо может содержать атом серы в качестве кольцеобразующего атома и, кроме того, может иметь алкильную группу, имеющую 1-6 углеродных атомов, в качестве заместителя).
Заместитель R3 представляет собой атом водорода, аминогруппу (которая может иметь в качестве заместителя(ей) одну или несколько групп, выбранных из формильной группы, алкильной группы, имеющей 1-6 углеродных атомов, и ацильной группы, имеющей 2-5 углеродных атомов), тиольную группу, галогенметильную группу, алкильную группу, имеющую 1-6 углеродных атомов, алкенильную группу, имеющую 2-6 углеродных атомов, алкинильную группу, имеющую 2-6 углеродных атомов, или алкоксигруппу, имеющую 1-6 углеродных атомов. Из них предпочтительными являются атом водорода, аминогруппа или алкильная группа, имеющая 1-6 углеродных атомов.
А1 представляет атом азота или неполную структуру, представленную формулой (2)

(где Х2 – такой, как определенный выше). Все они обладают преимуществами настоящего изобретения, но в случае, когда А1 представляет неполную структуру формулы (2),
Х2 предпочтительно представляет атом водорода, атом галогена, галогенметоксигруппу, алкильную группу, имеющую 1-6 углеродных атомов, или алкоксигруппу, имеющую 1-6 углеродных атомов. Кроме того, Х2 может быть объединен с описанным выше R1 с образованием циклической структуры, включающей часть исходного ядра, причем образованное при этом кольцо предпочтительно содержит атом кислорода в качестве кольцеобразующего атома и, кроме того, заместитель, который может иметь кольцо, предпочтительно представляет собой метильную группу или галогенметильную группу. Причем галогенметильная группа предпочтительно представляет собой монофторметильную группу.
Заместитель Х1 представляет собой атом галогена, атом водорода или аминогруппу. Предпочтительным атомом галогена является атом фтора.
Y представляет атом водорода, фенильную группу, ацетоксиметильную группу, пивалоилоксиметильную группу, этоксикарбонильную группу, холиновую группу, диметиламиноэтильную группу, 5-инданильную группу, фталидинильную группу, 5-алкил-2-оксо-1,3-диоксол-4-илметильную группу, 3-ацетокси-2-оксобутильную группу, алкильную группу, имеющую 1-6 углеродных атомов, алкоксиметильную группу, имеющую 2-7 углеродных атомов, или фенилалкильную группу, которая составлена алкиленовой группой, имеющей 1-6 углеродных атомов, и фенильной группой. Из них предпочтительным является атом водорода.
Z представляет насыщенный, частично насыщенный или ненасыщенный гетероциклический заместитель, который является моноциклическим, бициклическим или трициклическим, может содержать один или несколько гетероатомов, выбранных из группы, состоящей из атома азота, атома кислорода и атома серы, и может образовывать бициклоструктуру или спироструктуру. Гетероциклический заместитель может быть объединен с исходным ядром через любой атом, составляющий кольцо, и предпочтительные примеры включают гетероциклические заместители, присоединенные через атом азота, которые представлены
следующей формулой (3)

(где R4, R5, R5′, R6, R6′, R7 и R8 – такие, как определенные выше),
или следующей формулой (4)

(где R7, R7′, R8, R8′, R9, R10, R10′, R11 и R11′ – такие, как определенные выше),
или следующей формулой (5)

(где R7, R7′, R8, R8′, R9, R10, R10′, R11, R11′, R12 и R12′ – такие, как определенные выше),
или следующей формулой (6)

(где R13, R13′, R14, R14′, R15, R16 и R16′ – такие, как определенные выше),
или следующей формулой (7)

(где R13, R13′, R14, R14′, R15, R16, R16′, R17 и R17′ – такие, как определенные выше).
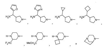
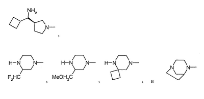
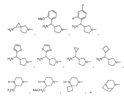
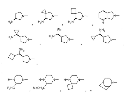
Кроме того, предпочтительные примеры включают следующие группы:



И еще, более предпочтительные примеры включают следующие группы:


Кроме того, конкретные примеры предпочтительных соединений, обладающих преимуществами настоящего изобретения, включают следующие соединения:
производное 6-карбокси-9-фтор-2,3-дигидро-3-(S)-метил-7-оксо-7Н-пиридо[1,2,3-de][1,4]бензоксазина, имеющее Z в положении 10,
производное 8-амино-6-карбокси-9-фтор-2,3-дигидро-3-(S)-метил-7-оксо-7Н-пиридо[1,2,3-de][1.4]бензоксазина, имеющее Z в положении 10,
производное 3-карбокси-6-фтор-1-[2-(S)-фтор-1-(R)-циклопропил]-1,4-дигидро-4-оксо-1,8-нафтиридина, имеющее Z в положении 7,
производное 3-карбокси-8-хлор-6-фтор-1-[2-(S)-фтор-1-(R)-циклопропил]-1,4-дигидро-4-оксохинолина, имеющее Z в положении 7,
производное 3-карбокси-6-фтор-1-[2-(S)-фтор-1-(R)-циклопропил]-8-метокси-1,4-дигидро-4-оксохинолина, имеющее Z в положении 7,
производное 3-карбокси-1-[2-(S)-фтор-1-(R)-циклопропил]-8-метокси-1,4-дигидро-4-оксохинолина, имеющее Z в положении 7,
производное 3-карбокси-6-фтор-1-[2-(S)-фтор-1-(R)-циклопропил]-8-дифторметокси-1,4-дигидро-4-оксохинолина, имеющее Z в положении 7,
производное 3-карбокси-1-[2-(S)-фтор-1-(R)-циклопропил]-8-дифторметокси-1,4-дигидро-4-оксохинолина, имеющее Z в положении 7,
производное 3-карбокси-6-фтор-1-[2-(S)-фтор-1-(R)-циклопропил]-8-метил-1,4-дигидро-4-оксохинолина, имеющее Z в положении 7,
производное 5-амино-3-карбокси-6-фтор-1-[2-(S)-фтор-1-(R)-циклопропил]-8-метокси-1,4-дигидро-4-оксохинолина, имеющее Z в положении 7,
производное 5-амино-3-карбокси-6-фтор-1-[2-(S)-фтор-1-(R)-циклопропил]-8-метил-1,4-дигидро-4-оксохинолина, имеющее Z в положении 7,
производное 5-амино-3-карбокси-6,8-дифтор-1-[2-(S)-фтор-1-(R)-циклопропил]-1,4-дигидро-4-оксохинолина, имеющее Z в положении 7,
производное 3-карбокси-8-хлор-6-фтор-1-циклопропил-1,4-дигидро-4-оксохинолина, имеющее Z в положении 7,
производное 3-карбокси-6-фтор-1-циклопропил-8-метокси-1,4-дигидро-4-оксохинолина, имеющее Z в положении 7,
производное 3-карбокси-1-циклопропил-8-метокси-1,4-дигидро-4-оксохинолина, имеющее Z в положении 7,
производное 3-карбокси-6-фтор-1-циклопропил-8-дифтор-метокси-1,4-дигидро-4-оксохинолина, имеющее Z в положении 7,
производное 3-карбокси-1-циклопропил-8-дифторметокси-1,4-дигидро-4-оксохинолина, имеющее Z в положении 7,
производное 3-карбокси-6-фтор-1-циклопропил-8-метил-1,4-дигидро-4-оксохинолина, имеющее Z в положении 7,
производное 5-амино-3-карбокси-6-фтор-1-циклопропил-8-метокси-1,4-дигидро-4-оксохинолина, имеющее Z в положении 7,
производное 5-амино-3-карбокси-6-фтор-1-циклопропил-8-метил-1,4-дигидро-4-оксохинолина, имеющее Z в положении 7,
производное 5-амино-3-карбокси-6,8-дифтор-1-циклопропил-1,4-дигидро-4-оксохинолина, имеющее Z в положении 7 (причем заместитель Z, который имеют указанные производные, является таким, как определенный выше).
Кроме того, конкретные примеры более предпочтительных соединений, обладающих преимуществами настоящего изобретения, включают соединения, показанные в таблице 1 (в таблице 1 соединения, показанные в круглых скобках, являются соединениями, замещенными фторциклопропильной группой).
Таблица 1

Соединение, представленное формулой (1), может быть получено различными способами, примеры которых описаны в выложенных заявках на патент Японии №№ 95176/1991, 239857/1994, 300416/1995, 333337/1996 и т.д.
В случае, когда соединение формулы (1) по настоящему изобретению имеет структуру, при которой существуют стереоизомеры, такие как энантиомеры или диастереомеры, предпочтительно вводить человеку и животным средство, содержащее стереохимически индивидуальное соединение. Следует понимать, что «стереохимически индивидуальное соединение» означает не только соединение, не содержащее другого энантиомера или диастереомера, но и соединение, которое считается химически чистым. То есть понятно, что соединение может содержать другой стереоизомер до такого количества, при котором изомер не влияет на физические константы и физиологическую активность.
Примеры защитных групп, обычно используемых для аминогруппы соединения по настоящему изобретению, включают алкоксикарбонильные группы, такие как трет-бутоксикарбонильная группа, 2,2,2-трихлорэтоксикарбонильная группа и тому подобное; аралкилоксикарбонильные группы, такие как бензилоксикарбонильная группа, п-метоксибензилоксикарбонильная группа, п-нитробензилоксикарбонильная группа и тому подобное; ацильные группы, такие как ацетильная группа, метоксиацетильная группа, трифторацетильная группа, хлорацетильная группа, пивалоильная группа, формильная группа, бензоильная группа и тому подобное; алкильные или аралкильные группы, такие как трет-бутильная группа, бензильная группа, п-нитробензильная группа, п-метоксибензильная группа, трифенилметильная группа и тому подобное; простые эфиры, такие как метоксиметильная группа, трет-бутоксиметильная группа, тетрагидропиранильная группа, 2,2,2-трихлорэтоксиметильная группа и тому подобное; замещенные силильные группы, такие как триметилсилильная группа, изопропилдиметилсилильная группа, трет-бутилдиметилсилильная группа, трибензилсилильная группа, трет-бутилдифенилсилильная группа и тому подобное.
Соединение по настоящему изобретению может находиться в свободной форме, в форме его кислотно-аддитивной соли или в форме соли по карбоксильной группе. Примеры кислотно-аддитивной соли включают соли неорганических кислот, такие как гидрохлорид, сульфат, нитрат, гидробромид, гидроиодид, фосфат и тому подобное, и соли органических кислот, такие как метансульфонат, бензолсульфонат, толуолсульфонат (сульфонаты), ацетат, цитрат, малеат, фумарат, лактат (карбоксилаты) и тому подобное.
Далее, соль по карбоксильной группе может быть органической или неорганической солью и ее примеры включают соли щелочных металлов, такие как литиевая соль, натриевая соль, калиевая соль и т.д., соли щелочно-земельных металлов, такие как магниевая соль, кальциевая соль и т.д., аммонийную соль, триэтиламиновую соль, N-метилглюкаминовую соль, трис(гидроксиметил)аминометановую соль и тому подобное.
Кроме того, свободная форма, кислотно-аддитивная соль и соль по карбоксильной группе производного пиридонкарбоновой кислоты могут существовать в виде гидрата.
С другой стороны, в качестве синтетического промежуточного соединения или пролекарства используется производное пиридонкарбоновой кислоты, в котором этерифицирован фрагмент карбоновой кислоты. Например, алкиловые эфиры, бензиловые эфиры, алкоксиалкиловые эфиры и фениловые эфиры используются как синтетические промежуточные соединения.
Сложный эфир, используемый в качестве пролекарства, является эфиром, который легко расщепляется в живом организме с образованием свободной карбоновой кислоты. Примеры включают ацетоксиметиловый эфир, пивалоилоксиметиловый эфир, этоксикарбониловый эфир, холиновый эфир, диметиламиноэтиловый эфир, 5-инданиловый эфир и оксоалкиловые эфиры, такие как фталидиниловый эфир, 5-алкил-2-оксо-1,3-диоксол-4-илметиловый эфир и 3-ацетокси-2-оксобутиловый эфир.
В случае, когда соединение по настоящему изобретению применяют в качестве лекарственного средства для человека, доза находится в пределах от 50 мг до 1 г, предпочтительно от 100 мг до 300 мг, в сутки для взрослого человека.
Суточная доза может быть введена за один раз или с разделением на 2-4 дозы. При необходимости суточная доза может иногда превышать указанную максимальную величину.
Примеры кислотоустойчивых бактерий, в отношении которых соединения по настоящему изобретению являются эффективными, включают туберкулезные бациллы, такие как Mycobacterium tuberculosis, Mycobacterium bovis и Mycobacterium africanum; и атипичные кислотоустойчивые бактерии, такие как Mycobacterium kansasii, Mycobacterium marinum, Mycobacterium scroflaceum, Mycobacterium avium, Mycobacterium intracellulare, Mycobacterium xenopi, Mycobacterium fortuitum и Mycobacterium chelonae, и тому подобное.
Заболевания, вызываемые указанными кислотоустойчивыми возбудителями, классифицируют на туберкулёз, заболевания, вызываемые атипичными кислотоустойчивыми бактериями, и лепру, обусловленную инфицирующими бактериями. Инфекцию, вызванную Mycobacterium tuberculosis, обнаруживают, кроме легких, в полости грудной клетки, в трахеях и бронхах, в лимфатических узлах, в виде системной диссеминации, в суставах, мягких оболочках мозга, головном мозге, пищеварительных органах (кишках, печени), коже, молочной железе, глазах, барабанной полости, глотке, мочевых путях, мужских половых органах, женских половых органах и тому подобном. Основным инфицируемым органом заболеваний, вызываемых атипичными кислотоустойчивыми бактериями (заболеваний, вызываемых нетуберкулезными кислотоустойчивыми бактериями), является легкое, а другие примеры включают очаговый лимфаденит, кожную мягкую ткань, сустав, системную диссеминацию и тому подобное.
Антибактериальный препарат, содержащий соединение по настоящему изобретению, может быть изготовлен традиционными методами изготовления различных лекарственных форм с выбором подходящей лекарственной формы в соответствии со способом введения. В качестве примеров лекарственных форм для перорального введения антибактериальных средств, содержащих соединение по настоящему изобретению, можно назвать, например, таблетки, порошки, гранулы, капсулы, растворы, сиропы, эликсиры, масляные или водные суспензии и тому подобное.
В лекарственных формах для инъекций иногда могут быть использованы стабилизаторы, антисептики и солюбилизирующие вещества. После того как раствор, который может содержать указанные индифферентные вещества, помещен в контейнер, он может быть подвергнут лиофилизации или тому подобному для получения твердого препарата, который может быть растворен при использовании. Один контейнер может содержать разовую дозу или несколько доз.
Примеры лекарственных форм для наружного применения включают растворы, суспензии, эмульсии, мази, гели, кремы, лосьоны, аэрозоли и тому подобное.
Твердые лекарственные формы могут содержать вместе с активным соединением фармацевтически приемлемые добавки, при этом для получения требуемых лекарственных средств указанное соединение может при необходимости быть смешано, например, с наполнителями, твердыми разбавителями, связывающими веществами, разрыхлителями, ускорителями растворения, увлажняющими веществами, смазывающими веществами и тому подобным.
Жидкие лекарственные формы включают растворы, суспензии, эмульсии и тому подобное. Иногда они могут содержать в качестве добавок стабилизаторы суспензии, эмульгаторы и тому подобное.
Способы введения соединения по настоящему изобретению животным могут, например, включать способ введения его перорально либо непосредственно, либо в виде смеси с кормом, способ приготовления его раствора и затем введения полученного раствора перорально либо непосредственно, либо в смеси с водой или кормом и способ введения его путем инъекции.
Лекарственные средства для введения соединения по настоящему изобретению животным могут быть изготовлены в форме порошков, мелких гранул, солюбилизированных порошков, сиропов, растворов или инъекционных растворов обычными в данной области техники методами.
Примеры состава для изготовления лекарственных средств показаны в таблице 2.
| Таблица 2 |
| Пример 1 состава (капсула) |
|
| Соединение по настоящему изобретению |
100,0 мг |
| Кукурузный крахмал |
23,0 мг |
| Кальций-КМЦ |
22,5 мг |
| Гидроксиметилцеллюлоза |
3,0 мг |
| Стеарат магния |
1,5 мг |
| Итого |
150,0 мг |
| Пример 2 состава (раствор) |
|
| Соединение по настоящему изобретению |
1-10 г |
| Уксусная кислота или гидроксид натрия |
0,5-2 г |
| Этил п-гидроксибензоат |
0,1 г |
| Дистиллированная вода |
87,9-98,4 г |
| Итого |
100 г |
| Пример 3 состава (порошок для смешивания с кормом) |
|
| Соединение по настоящему изобретению |
1-10г |
| Кукурузный крахмал |
98,5-89,5 г |
| Легкая безводная кремниевая кислота |
0,5 г |
| Итого |
100 г |
Наилучший способ осуществления изобретения
Примеры
Далее настоящее изобретение объясняется подробно на примерах и ссылочных примерах, но следует понимать, что настоящее изобретение не ограничивается ими.
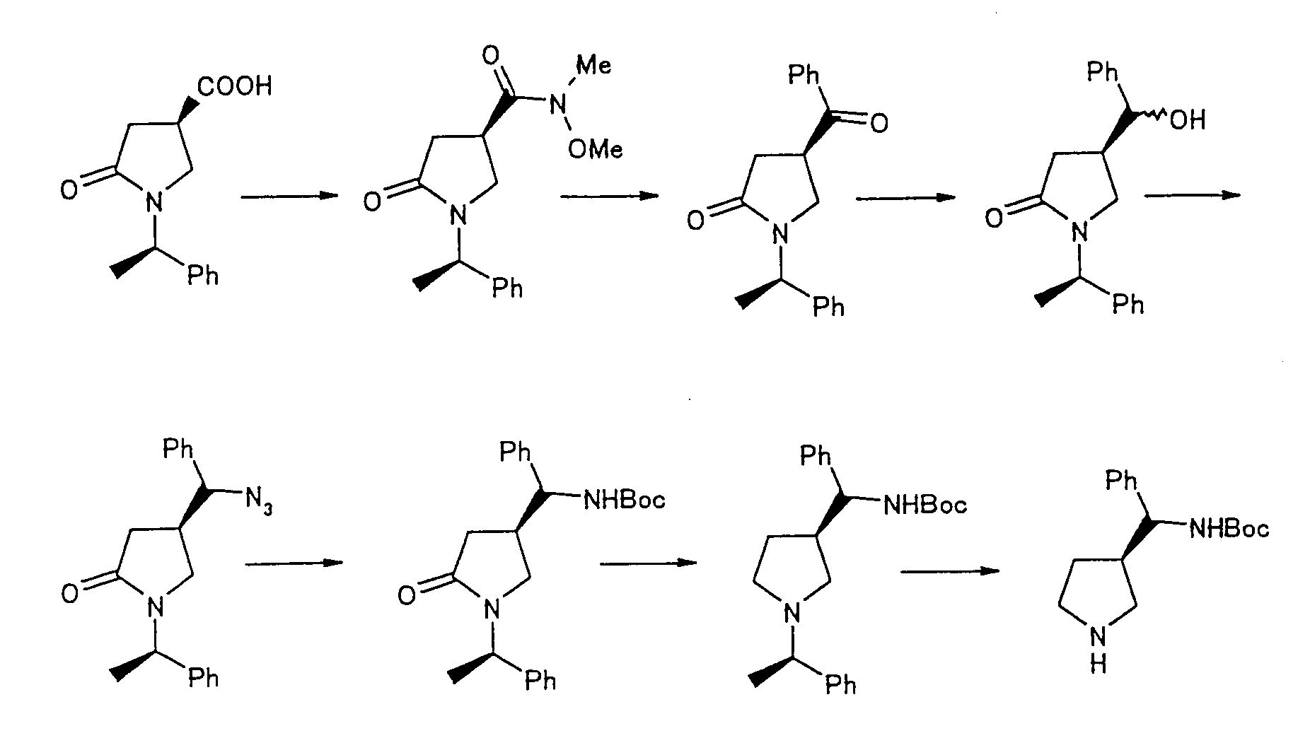
Ссылочный пример 1 
[Ссылочный пример 1-1]
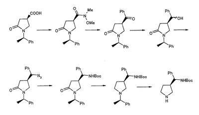
N-Метил-N-метокси-1-[1-(R)-фенилэтил]-5-оксопирролидин-3-(R)-карбоксамид
К дихлорметановому раствору (200 мл) 1-[1-(R)-фенилэтил]-5-оксопирролидин-3-(R)-карбоновой кислоты (11,66 г, 0,05 моль) добавляли оксалилхлорид (6,54 мл, 0,075 моль) и диметилформамид (3 капли) при охлаждении льдом с последующим перемешиванием при комнатной температуре в течение ночи. После удаления при пониженном давлении растворителя добавляли толуол (100 мл), и опять удаляли растворитель при пониженном давлении. К остатку добавляли дихлорметан (200 мл) и N,O-метилгидроксиламингидрохлорид (5,47 г, 0,055 моль), и затем к полученной смеси добавляли дихлорметановый раствор (50 мл) триэтиламина (17,4 мл, 0,125 моль) при охлаждении льдом и перемешивании в течение 15 минут. После перемешивания при охлаждении льдом в течение 30 минут смесь перемешивали при комнатной температуре 3 часа. Реакционный раствор промывали последовательно 10%-ным водным раствором лимонной кислоты (100 мл), водой (100 мл) и насыщенным водным раствором гидрокарбоната натрия (100 мл) и затем сушили над безводным сульфатом натрия. После удаления при пониженном давлении растворителя остаток подвергали хроматографии на колонке с силикагелем. Элюирование смесью хлороформ/метанол (50/1-20/1) дало указанное в заголовке соединение (11,32 г, 82%) в виде коричневого масла.
1Н-ЯМР (400 МГц, CDCl3) : 1,54 (3H, д, J=6,84 Гц), 2,65 (1H, дд, J=9,77, 7,09 Гц), 2,77 (1H, дд, J=8,79, 7,09 Гц), 3,12-3,18 (1H, м), 3,20 (3H, с), 3,37-3,48 (1H, м), 3,55-3,64 (1H, м), 3,65 (3H, s), 5,50 (1H, q, J=6,84 Гц), 7,28-7,37 (5H, м).
[Ссылочный пример 1-2]
4-(R)-Фенилкарбонил-1-[1-(R)-фенилэтил]-2-пирролидон
В атмосфере азота фенилмагнийбромид (3 н. раствор в диэтиловом эфире, 15 мл) добавляли по каплям к тетрагидрофурановому раствору (50 мл) N-метил-N-метокси-1-[1-(R)-фенилэтил]-5-оксопирролидин-3-(R)-карбоксамида (2,49 г, 9,0 ммоль) с последующим перемешиванием при комнатной температуре в течение 30 минут. К реакционному раствору добавляли 1 моль/л хлороводородную кислоту (50 мл) при охлаждении льдом, и смесь экстрагировали этилацетатом (8 мл × 2). Органический слой промывали насыщенным солевым раствором (100 мл) и сушили над безводным сульфатом натрия. После удаления растворителя при пониженном давлении остаток подвергали хроматографии на колонке с силикагелем. Элюирование смесью н-гексан/этилацетат (1/1) дало указанное в заголовке соединение (2,36 г, 89%) в виде бледно-желтого масла.
1Н-ЯМР (400 МГц, CDCl3) : 1,55 (3H, д, J=6,83 Гц), 2,79 (1H, дд, J=17,09, 9,77 Гц), 2,81 (1H, дд, J=17,09, 7,81 Гц), 3,23 (1H, дд, J=9,76, 8,79 Гц), 3,71 (1H, дд, J=9,76, 6,35 Гц), 3,97-4,05 (1H, м), 5,54 (1H, кв, J=6,83 Гц), 7,27-7,38 (5H, м), 7,42-7,50 (2H, м), 7,55-7,61 (1H, м), 7,88-7,90 (2H, м).
[Ссылочный пример 1-3]
4-(R)-[1-Гидрокси-1-фенилметил]-1-[1-(R)-фенилэтил]-2-пирролидон [F1], [F2]
К раствору 4-(R)-фенилкарбонил-1-[1-(R)-фенилэтил]-2-пирролидона (2,17 г, 7,40 ммоль) в абсолютном этаноле (40 мл) добавляли боргидрид натрия (280 мг) при охлаждении льдом с последующим перемешиванием при той же температуре в течение 1 часа. К реакционному раствору добавляли 10%-ную лимонную кислоту (50 мл) при охлаждении льдом и затем удаляли при пониженном давлении этанол. Остаток экстрагировали хлороформом (80 мл × 2), и после промывания насыщенным солевым раствором (100 мл) органический слой сушили над безводным сульфатом натрия. После удаления растворителя при пониженном давлении остаток подвергали хроматографии на колонке с силикагелем. Элюирование элюентами от смеси н-гексан/этилацетат (1/3) до этилацетата (100%) дало указанное в заголовке соединение, имеющее низкую полярность [F1] (892 мг, 41%), и указанное в заголовке соединение, имеющее высокую полярность [F2] (1,163 г, 53%), в виде бледно-желтых масел.
[F1]:
1Н-ЯМР (400 МГц, CDCl3) : 1,46 (3H, д, J=6,84 Гц), 2,03-2,14 (2H, м), 2,44-2,54 (1H, м), 3,05-3,09 (1H, м), 3,36-3,40 (1H, м), 3,47 (1H, шс), 4,45 (1H, д, J=7,81 Гц), 5,38 (1H, кв, J=6,84 Гц), 7,22-7,31 (10H, м).
[F2]:
1Н-ЯМР (400 МГц, CDCl3) :1,37 (3H, д, J=7,32 Гц), 2,26-2,32 (1H, м), 2,40-2,55 (2H, м), 2,73-2,77 (1H, м), 3,00-3,04 (1H, м), 4,32 (1H, шс), 4,42 (1H, д, J=6,8 Гц), 5,33 (1H, кв, J=7,32 Гц), 7,15-7,27 (10H, м).
[Ссылочный пример 1-4]
4-(R)-[1-Азидо-1-фенилметил]-1-[1-(R)-фенилэтил]-2-пирролидон [F1], [F2]
При охлаждении льдом добавляли триэтиламин (0,46 мл) и метансульфонилхлорид (217 мкл, 2,80 ммоль) к дихлорметановому (10 мл) раствору 4-(R)-[1-гидрокси-1-фенилметил]-1-[1-(R)-фенилэтил]-2-пирролидона [F1] (738 мг, 2,50 ммоль) с последующим перемешиванием при той же температуре в течение 1 часа. К реакционному раствору добавляли 10%-ную лимонную кислоту (20 мл) при охлаждении льдом, и смесь экстрагировали хлороформом (30 мл х 2). После промывки насыщенным солевым раствором (100 мл) органический слой сушили над безводным сульфатом натрия. Удаляли при пониженном давлении растворитель, и остаток растворяли в N,N-диметилфорамиде (10 мл). Затем добавляли азид натрия (488 мг, 7,50 ммоль) с последующим перемешиванием при 60°С в течение 1,5 часов. После охлаждения при стоянии к реакционному раствору добавляли воду (50 мл), и полученную смесь экстрагировали этилацетатом (70 мл × 3). Органический слой промывали насыщенным солевым раствором (150 мл) и сушили над безводным сульфатом натрия. После удаления растворителя при пониженном давлении остаток подвергали хроматографии на колонке с силикагелем. Элюирование смесью н-гексан/этилацетат (3/2) дало указанное в заголовке соединение (701 мг, 87%) в виде бесцветного масла.
Такую же реакцию осуществляли для получения 4-(R)-[1-гидрокси-1-фенилметил]-1-[1-(R)-фенилэтил]-2-пирролидона [F2] (77%).
[F1]:
1Н-ЯМР (400 МГц, CDCl3) : 1,46 (3Н, д, J=7,32 Гц), 2,53-2,66 (3H, м), 2,82 (1H, дд, J=9,76, 7,81 Гц), 2,94 (1H, дд, J=9,76, 5,86 Гц), 4,37 (1H, д, J=7,81 Гц), 5,47 (1H, кв, J=7,32 Гц), 7,21-7,42 (10H, м).
[F2]:
1Н-ЯМР (400 МГц, CDCl3) : 1,54 (3H, д, J=7,33 Гц), 2,14 (1H, дд, J=17,09, 7,81 Гц), 2,26 (1H, дд, J=17,09, 8,78 Гц), 2,55-2,65 (1H, м), 3,14 (1H, дд, J=10,26, 7,81 Гц), 3,32 (1H, дд, J=10,26, 6,34 Гц), 4,36 (1H, д, J=9,28 Гц), 5,49 (1H, кв, J=7,33 Гц), 7,26-7,43 (10H, м).
[Ссылочный пример 1-5]
4-(R)-[1-трет-Бутоксикарбониламино-1-фенилметил]-1-[1-(R)-фенилэтил]-2-пирролидон [F1], [F2]
К этанольному (30 мл) раствору 4-(R)-[1-азидо-1-фенилметил]-1-[1-(R)-фенилэтил]-2-пирролидона [F1] (641 мг, 2,0 ммоль) добавляли катализатор 10% палладий на углероде (содержание воды 53,8%, 600 мг), и осуществляли каталитическое гидрирование при комнатной температуре и нормальном давлении в течение 6 часов. Реакционный раствор фильтровали, и растворитель удаляли при пониженном давлении. Остаток растворяли в дихлорметане (20 мл), и к полученному раствору добавляли ди-трет-бутилдикарбонат (655 мг) и триэтиламин (560 мкл) с последующим перемешиванием при комнатной температуре в течение 13 часов. К реакционному раствору добавляли хлороформ (50 мл), полученную смесь промывали 10%-ной лимонной кислотой (8 мл) и водой (8 мл), и затем органический слой сушили над безводным сульфатом натрия. После удаления растворителя при пониженном давлении остаток подвергали хроматографии на колонке с силикагелем. Элюирование смесью н-гексан/этилацетат (от 1,1 до 2/3) дало указанное в заголовке соединение (629 мг, 80%) в виде бесцветных кристаллов.
Такую же реакцию осуществляли для получения 4-(R)-[1-азидо-1-фенилметил]-1-[1-(R)-фенилэтил]-2-пирролидона [F2] (76%).
[F1]:
1Н-ЯМР (400 МГц, CDCl3) : 1,41 (9H, с), 1,46 (3H, д, J=7,32 Гц), 2,47-2,76 (3H, м), 2,76-2,89 (1H, м), 2,95-3,08 (1H, м), 4,62-4,73 (1H, м), 4,99-5,11 (1H, м), 5,47 (1H, кв, J=7,32 Гц), 7,20-7,34 (10H, м),
[F2]:
1Н-ЯМР (400 МГц, CDCl3) : 1,37 (9H, с), 1,51 (3H, д, J=7,32 Гц), 2,08-2,26 (2H, м), 2,52-2,65 (1H, м), 3,06-3,18 (1H, м), 3,24-3,32 (1H, м), 4,52-4,66 (1H, м), 5,01-5,11 (1H, м), 5,47 (1H, кв, J=7,32 Гц), 7,19-7,35 (10H, м).
[Ссылочный пример 1-6]
3-(R)-[1-трет-Бутоксикарбониламино-1-фенилметил]-1-[1-(R)-фенилэтил]пирролидин [F1]
В атмосфере азота 1 моль/л боран-тетрагидрофурановый комплекс (4,6 мл) добавляли по каплям к тетрагидрофурановому раствору (10 мл) 4-(R)-[1-трет-бутоксикарбониламино-1-фенил-метил]-1-[1-(R)-фенилэтил]-2-пирролидона [F1] (600 мг, 1,52 ммоль) при охлаждении льдом с последующим перемешиванием при комнатной температуре в течение 13 часов. После удаления растворителя при пониженном давлении к остатку добавляли этанол (15 мл) с 80%-ным содержанием воды и триэтиламин (3 мл), и смесь кипятили с обратным холодильником в течение 5 часов. После охлаждения при стоянии удаляли при пониженном давлении растворитель, и к остатку добавляли хлороформ (30 мл). Раствор промывали водой (10 мл) и насыщенным солевым раствором (10 мл) и сушили над безводным сульфатом натрия. После удаления растворителя при пониженном давлении остаток подвергали хроматографии на колонке с силикагелем. Элюирование смесью хлороформ/метанол (20/1) дало указанное в заголовке соединение (510 мг, 88%) в виде бесцветных кристаллов.
Такую же реакцию осуществляли для получения 4-(R)-[1-трет-бутоксикарбониламино-1-фенилметил]-1-[1-(R)-фенилэтил]-2-пирролидона [F2] (86%).
[F1]:
1Н-ЯМР (400 МГц, CDCl3) : 1,34 (3H, д, J=6,35 Гц), 1,47 (9H, с), 1,60-1,78 (2Н, м), 2,18-2,39 (3H, м), 2,42-2,54 (1H, м), 2,83-2,95 (1H, м), 3,11 (1H, кв, J=6,35 Гц), 4,47-4,57 (1H, м), 6,06-6,18 (1H, м), 7,16-7,33 (10H, м).
[F2]:
1Н-ЯМР (400 МГц, CDCl3) : 1,41 (3H, д, J=6,35 Гц), 1,46 (9H, с), 1,67-1,78 (1H, м), 1,89-2,02 (1H, м), 2,04-2,17 (1H, м), 2,17-2,28 (1H, м), 2,37-2,50 (2H, м), 3,01-3,19 (2H, м), 4,48-4,58 (1H, м), 6,62-6,73 (1H, м), 7,07-7,34 (10H, м).
[Ссылочный пример 1-7]
3-(R)-[1-трет-Бутоксикарбониламино-1-фенилметил]пирролидин [F1]
К этанольному (20 мл) раствору 3-(R)-[1-трет-бутокси-карбониламино-1-фенилметил]-1-[1-(R)-фенилэтил]пирролидина [F1] (495 мг, 1,30 ммоль) добавляли катализатор 10% палладий на углероде (содержание воды 53,8%, 500 мг), и осуществляли каталитическое гидрирование c нагреванием при внешней температуре 50°С и нормальном давлении в течение 4 часов. Реакционный раствор фильтровали, и растворитель удаляли при пониженном давлении с получением неочищенного указанного в заголовке соединения (359 мг, количественный) в виде бесцветных кристаллов.
Такую же реакцию осуществляли для получения 3-(R)-[1-трет-бутоксикарбониламино-1-фенилметил]-1-[1-(R)-фенилэтил]-пирролидина [F2] (количественный).
Ссылочный пример 2


[Ссылочный пример 2-1]
1-Циклопропил-2-пропен-1-он
В токе азота циклопропилметилкетон (6,33 г, 75,2 ммоль) растворяли в безводном тетрагидрофуране (75 мл). К полученному раствору добавляли по каплям при перемешивании и охлаждении льдом раствор, приготовленный растворением N-метиланилинийтрифторацетата (25,0 г, 113 ммоль) в 37%-ном водном растворе формальдегида (10,2 мл) при охлаждении льдом. После указанного добавления реакционный раствор кипятили с обратным холодильником в течение 7 часов. После охлаждения при стоянии к реакционному раствору добавляли диэтиловый эфир (100 мл), и полученную смесь перемешивали. Органический слой отделяли, и водный слой экстрагировали диэтиловым эфиром (50 мл). При охлаждении льдом к объединенному органическому слою постепенно добавляли насыщенный водный раствор бикарбоната натрия (100 мл), и после перемешивания отделяли органический слой. Отделенный органический слой промывали насыщенным солевым раствором (100 мл). Слой сушили над безводным сульфатом натрия, и после фильтрования фильтрат концентрировали при пониженном давлении 150 мм рт. столба до массы 8,01 г с получением желтого масла, содержавшего указанное в заголовке соединение. Полученный продукт использовали в следующей реакции без очистки.
1Н-ЯМР (400 МГц, CDCl3) : 0,90-0,96 (2H, м), 1,08-1,13 (2H, м), 2,14-2,25 (1H, м), 5,82 (1H, дд, J=10,74, 1,47 Гц), 6,29 (1H, дд, J=17,57, 1,47 Гц), 6,47 (1H, дд, J=17,57, 10,74 Гц).
[Ссылочный пример 2-2]
Циклопропил [1-[1-(R)-фенилэтил]-пирролидин-3-ил]кетон
В безводном дихлорэтане (350 мл) растворяли продукт (8,01 г), содержавший 1-циклопропил-2-пропен-1-он, описанный в ссылочном примере 2-1, и N-(н-бутоксиметил)-N-[1-(R)-фенилэтил]триметилсилилметиламин (23,2 г, 79,9 ммоль), после чего добавляли по каплям трифторуксусную кислоту (500 мкл). После перемешивания при комнатной температуре в течение 12 часов реакционный раствор промывали насыщенным раствором бикарбоната натрия (100 мл) и затем насыщенным солевым раствором (100 мл). Раствор сушили над безводным сульфатом натрия, и после фильтрования фильтрат концентрировали при пониженном давлении. Полученный остаток подвергали флэш-хроматографии на силикагеле с получением указанного в заголовке соединения (9,08 г, 49,6%) в виде бесцветного масла из фракции, элюированной смесью н-гексан/этилацетат=2/1. Между прочим, указанный продукт был получен в виде диастереомерной смеси (1:1).
1Н-ЯМР (400 МГц, CDCl3) : 0,83-0,88 (2H, м), 0,99-1,02 (2H, м), 1,38 (3Hx1/2, д, J=2,93 Гц), 1,40 (3Hx1/2, д, J=2,44 Гц), 1,62-1,76 (1H, м), 1,90-2,17 (2H, м), 2,35-2,93 (4H, м), 3,22-3,26 (2H, м), 7,23-7,34 (5H, м).
[Ссылочный пример 2-3]
3-[1-(трет-Бутоксикарбонил)амино-1-циклопропил]метил-1-[1-(R)-фенилэтил]пирролидин
Циклопропил [1-[1-(R)-фенилэтил]пирролидин-3-ил]кетон (1,563 г, 7,793 моль) растворяли в абсолютном метаноле (25 мл). К полученному раствору добавляли ацетат аммония (5,236 г, 67,93 ммоль), цианборгидрид натрия (435,2 мг, 6,925 ммоль) и порошковидные молекулярные сита 4Å (1,86 г) с последующим перемешиванием при комнатной температуре в течение 16 часов в токе азота. Реакционный раствор фильтровали через целит, и затем удаляли растворитель при пониженном давлении. Остаток растворяли в дихлорметане (100 мл), и раствор промывали насыщенным бикарбонатом натрия (50 мл) и затем насыщенным солевым раствором (50 мл), после чего сушили над безводным сульфатом натрия. После фильтрования растворитель удаляли при пониженном давлении. Полученный остаток растворяли в безводном дихлорметане (25 мл), и затем к полученному раствору добавляли по каплям при охлаждении дихлорметановый (5 мл) раствор ди-трет-бутилдикарбоната (2,225 г, 10,19 ммоль). Реакционный раствор перемешивали при комнатной температуре в течение 2 часов и затем концентрировали при пониженном давлении. Полученный остаток подвергали флэш-хроматографии на силикагеле с получением указанного в заголовке соединения (1,299 г, 55,5%) в виде бесцветного масла из фракции, элюированной смесью хлороформ/метанол=10/1. Между прочим, указанный продукт был получен в виде смеси четырех видов оптических изомеров.
1Н-ЯМР (400 МГц, CDCl3) : 0,20-0,30, 0,35-0,52, 0,68-0,78 (4H, м), 1,36 (3Hx1/4, д, J=5,86 Гц), 1,39 (3Hx3/4, д, J=5,86 Гц), 1,43 (9Hx1/4, с), 1,45 (9Hx3/4, с), 1,61-1,74 (1H, м), 2,25-2,76, 2,80-3,07, 3,18-3,26 (9H, м), 5,28 (1H, шс), 7,23-7,34 (5H, м).
[Ссылочный пример 2-4]
1-Бензилоксикарбонил-3-[1-(трет-бутоксикарбонил)амино-1-циклопропил]метилпирролидин (F1, F2, F3 и F4)
В безводном дихлорметане (20 мл) растворяли 3-[1-(трет-бутоксикарбонил)амино-1-циклопропил]метил-1-[1-(R)-фенилэтил]-пирролидин (1,234 г, 3,582 ммоль). При охлаждении льдом к полученному раствору добавляли бензилхлорформиат (1278 мкл, 8,955 ммоль). После перемешивания при комнатной температуре в течение 8 часов реакционный раствор концентрировали при пониженном давлении. Полученный остаток подвергали флэш-хроматографии на силикагеле с получением указанного в заголовке соединения (959 мг, 71,5%) в виде бесцветного масла из фракции, элюированной смесью н-гексан/этилацетат=2/1.
Затем указанный продукт подвергали препаративной ВЭЖХ с использованием хиральной колонки для разделения и очистки четырех видов оптических изомеров F1, F2, F3 и F4.
Условия разделения для ВЭЖХ:
Колонка: CHIRALPAKAD (Daicel Chemical Industries, Ltd.), 2 см × 25 см
Подвижная фаза: н-гексан/2-пропанол = 80:20 (об./об.)
Скорость потока: 5,0 мл/минуту
Температура: комнатная температура
Детектирование: УФ (254 нм)
Время удерживания каждого оптического изомера
F1: 18 минут; F2: 23 минуты; F3: 26 минут; F4: 30 минут
Изомер F1: бесцветный аморфный, 229 мг (17,0%);
1Н-ЯМР (400 МГц, CDCl3) : 0,27-0,32 (2H, м), 0,41-0,45 (1H, м), 0,54-0,61 (1H, м), 0,72-0,79 (1H, м), 1,43 (9H, с), 1,66-1,78 (1H, м), 1,99-2,08 (1H, м), 2,30-2,36 (1H, м), 2,90-3,03 (1H, м), 3,12-3,26 (1H, м), 3,28-3,36 (1H, м), 3,49-3,72 (2H, м), 4,50 (1H, шс), 5,13 (2H, с), 7,30-7,37 (5H, м).
Изомер F2: бесцветный аморфный, 96 мг (7,2%);
1Н-ЯМР (400 МГц, CDCl3) : 0,29-0,37 (2H, м), 0,40-0,45 (1H, м), 0,57-0,62 (1H, м), 0,76-0,79 (1H, м), 1,43 (9H, с), 1,68-1,78 (1H, м), 2,04-2,09 (1H, м), 2,36-2,40 (1H, м), 2,95-3,09 (1H, м), 3,16 (1H, т, J=10,74 Гц), 3,31-3,39 (1H, м), 3.54-3,68 (2Н, м), 4,47 (1Н, шс), 5,13 (2Н, с), 7,29-7,37(5Н, м).
Изомер F3: бесцветный аморфный, 140 мг (10,4%);
1Н-ЯМР (400 МГц, CDCl3) : 0,27-0,39 (2Н, м), 0,41-0,45 (1Н, м), 0,54-0,62 (1H, м), 0,72-0,80 (1H, м), 1,43 (9H, с), 1,66-1,79 (1H, м), 2,04-2,09 (1H, м), 2,37-2,40 (1H, м), 2,95-3,08 (1H, м), 3,16 (1H, т, J=10,74 Гц), 3,32-3,39 (1H, м), 3,54-3,68 (2H, м), 4,48 (1H, шс), 5,13 (2H, с), 7,30-7,37 (5H, м).
Изомер F4: бесцветный аморфный, 296 мг (22,1%);
1Н-ЯМР (400 МГц, CDCl3) : 0,27-0,33 (2H, м), 0,41-0,45 (1H, м), 0,54-0,62 (1H, м), 0,72-0,80 (1H, м), 1,43 (9H, с), 1,68-1,78 (1H, м), 1,99-2,09 (1H, м), 2,29-2,39 (1H, м), 2,90-3,03 (1H, м), 3,12-3,26 (1H, м), 3,28-3,37 (1H, м), 3,49-3,73 (2H, м), 4,50 (1H, шс), 5,13 (2H, с), 7,30-7,37 (5H, м).
Анализ приведенных выше данных 1Н-ЯМР четырех видов оптических изомеров показывает, что соотношения F1 и F4 и F2 и F3 соответственно являются энантиомерными.
Ссылочный пример 3


[Ссылочный пример 3-1]
1-[1-(R)-Фенилэтил]-5-оксопирролидин-3-(R)-(N-метил-N-метокси)карбоксамид
К дихлорметановому раствору (200 мл) 1-[1-(R)-фенилэтил]-5-оксопирролидин-3-(R)-карбоновой кислоты (11,7 г, 50,0 ммоль) добавляли оксалилхлорид (6,54 мл, 75,0 ммоль) и диметилформамид (3 капли) при охлаждении льдом с последующим перемешиванием при комнатной температуре в течение ночи. После удаления растворителя при пониженном давлении добавляли толуол (100 мл) и опять удаляли растворитель при пониженном давлении. К остатку добавляли дихлорметан (200 мл) и N,O-метилгидроксиламингидрохлорид (5,47 г, 55,5 ммоль), и затем к полученной смеси добавляли дихлорметановый раствор (50 мл) триэтиламина (17,4 мл, 125 ммоль) при охлаждении льдом и перемешивании в течение 15 минут. После перемешивания при охлаждении льдом в течение 30 минут смесь перемешивали при комнатной температуре 3 часа. Реакционный раствор промывали последовательно 10%-ным водным раствором лимонной кислоты (100 мл), водой (100 мл) и насыщенным водным раствором гидрокарбоната натрия (100 мл) и затем сушили над безводным сульфатом натрия. После удаления растворителя при пониженном давлении остаток подвергали хроматографии на колонке с силикагелем с получением указанного в заголовке соединения (11,3 г, 82%) в виде коричневого масла из фракции, элюированной смесью хлороформ/метанол (50/1-20/1).
1Н-ЯМР (400 МГц, CDCl3) : 1,54 (3H, д, J=6,84 Гц), 2,65 (1H, дд, J=9,77, 7,09 Гц), 2,77 (1H, дд, J=8,79, 7,09 Гц), 3,12-3,18 (1H, м), 3,20 (3H, с), 3,37-3,48 (1H, м), 3,55-3,64 (1H, м), 3,65 (3H, с), 5,50 (1H, кв, J=6,84 Гц), 7,28-7,37 (5H, м).
[Ссылочный пример 3-2]
4-(R)-Циклобутилкарбонил-1-[1-(R)-фенилэтил]-2-пирролидон
В атмосфере азота циклобутилмагнийхлорид (1 моль/л тетрагидрофурановый раствор, 28 мл), полученный из хлорциклобутана, добавляли по каплям к тетрагидрофурановому раствору (50 мл) 1-[1-(R)-фенилэтил]-5-оксопирролидин-3-(R)-(N-метил-N-метокси)карбоксамида (1,93 г, 7,00 ммоль) с последующим перемешиванием при комнатной температуре в течение 30 минут. К реакционному раствору добавляли 1 моль/л хлороводородную кислоту (50 мл) при охлаждении льдом, и затем смесь экстрагировали этилацетатом (80 мл × 2). Органический слой промывали насыщенным солевым раствором (100 мл) и сушили над безводным сульфатом натрия. После удаления растворителя при пониженном давлении остаток подвергали хроматографии на колонке с силикагелем с получением указанного в заголовке соединения (1,47 г, 78%) в виде бледно-желтого масла из фракции, элюированной смесью н-гексан/этил-ацетат=1/2.
1Н-ЯМР (400 МГц, CDCl3) : 1,53 (3Н, д, J=7,33 Гц), 1,78-1,89 (1Н, м), 1,92-2,06 (1H, м), 2,06-2,31 (4H, м), 2,58-2,65 (2H, м), 3,05 (1H, дд, J=9,28, 8,79 Гц), 3,13-3,21 (1H, м), 3,31 (1H, квинтет, J=8,30), 3,53 (1H, дд, J=9,28, 6,83 Гц), 5,48 (1H, кв, J=7,33 Гц), 7,27-7,37 (5H, м).
[Ссылочный пример 3-3]
4-(R)-(1-Циклобутил-1-гидрокси)метил-1-[1-(R)-фенилэтил]-2-пирролидон
К этанольному (40 мл) раствору 4-(R)-циклобутилкарбонил-1-[1-(R)-фенилэтил]-2-пирролидона (2,12 г, 7,80 ммоль) добавляли боргидрид натрия (295 мг) при охлаждении льдом с последующим перемешиванием при той же температуре в течение 1 часа. К реакционному раствору добавляли 10%-ную лимонную кислоту (50 мл) при охлаждении льдом и затем удаляли при пониженном давлении этанол. Остаток экстрагировали хлороформом (80 мл × 2), и после промывания насыщенным солевым раствором (100 мл) органический слой сушили над безводным сульфатом натрия. После удаления растворителя при пониженном давлении остаток подвергали хроматографии на колонке с силикагелем с получением указанного в заголовке соединения (2,10 г, 98%) в виде бледно-желтого масла (смесь изомеров) из фракций, элюированных элюентами от смеси н-гексан/этилацетат (1/3) до этилацетата.
1Н-ЯМР (400 МГц, CDCl3) : 1,50 (3H, д, J=6,83 Гц), 1,68-2,01 (6H, м), 2,14-2,45 (3H, м), 2,45-2,56 (1H, м), 2,91-3,05 (1H, м), 3,19-3,31 (1H, м), 3,41-3,49 (1H, м), 5,42-5,49 (1H, м), 7,24-7,36 (5H, м).
[Ссылочный пример 3-4]
4-(R)-(1-Азидо-1-циклобутил)метил-1-[1-(R)-фенилэтил]-2-пирролидон
При охлаждении льдом добавляли триэтиламин (1,36 мл, 9,80 ммоль) и затем метансульфонилхлорид (460 мкл, 8,30 ммоль) к дихлорметановому (35 мл) раствору 4-(R)-(1-циклобутил-1-гидрокси)метил-1-[1-(R)-фенилэтил]-2-пирролидона (2,05 г, 7,50 ммоль) с последующим перемешиванием при той же температуре в течение 1 часа. К реакционному раствору добавляли 10%-ную лимонную кислоту (35 мл) при охлаждении льдом, и смесь экстрагировали хлороформом (50 мл × 2). После промывки насыщенным солевым раствором (150 мл) органический слой сушили над безводным сульфатом натрия. Удаляли растворитель при пониженном давлении, и остаток растворяли в N,N-диметилфорамиде (30 мл) и добавляли азид натрия (1,46 г, 22,5 ммоль) с последующим перемешиванием при 60°С в течение 3 часов. После охлаждения при стоянии к реакционному раствору добавляли воду (150 мл), и полученную смесь экстрагировали этилацетатом (150 мл × 3). Органический слой промывали насыщенным солевым раствором (150 мл) и сушили над безводным сульфатом натрия. После удаления растворителя при пониженном давлении остаток подвергали хроматографии на колонке с силикагелем с получением указанного в заголовке соединения, имеющего низкую полярность (изомер В1) (898 мг, 40%) в виде бесцветного масла из фракции, элюированной смесью н-гексан/этилацетат=3/2, и указанного в заголовке соединения, имеющего высокую полярность (изомер В2)(847 мг, 38%), в виде бесцветных кристаллов из фракции, элюированной смесью н-гексан/этилацетат=2/3.
Изомер В1
1Н-ЯМР (400 МГц, CDCl3) : 1,52 (3H, д, J=6,83 Гц), 1,72-2,01 (5H, м), 2,07-2,17 (1H, м), 2,26-2,41 (3H, м), 2,45-2,56 (1H, м), 2,98 (1H, дд, J=9,77, 7,81 Гц), 3,14 (1H, дд J=9,77, 7,32 Гц), 3,32 (1H, дд, J=8,76, 3,91 Гц), 5,47 (1H, кв, J=6,83 Гц), 7,25-7,35 (5H, м).
Изомер В2
1Н-ЯМР (400 МГц, CDCl3) : 1,52 (3H, д, J=6,83 Гц), 1,75-2,03 (5H, м), 2,03-2,17 (1H, м), 2,19-2,38 (2H, м), 2,40-2,56 (2H, м), 2,99 (1H, дд, J=9,77, 8,30 Гц), 3,14 (1H, дд, J=9,77, 7,32 Гц), 3,30 (1H, дд, J=8,30, 6,34 Гц), 5,47 (1H, кв, J=6,83 Гц), 7,25-7,35 (5H, м).
[Ссылочный пример 3-5]
4-(R)-[1-(трет-Бутоксикарбонил)амино-1-циклобутил]метил-1-[1-(R)-фенилэтил]-2-пирролидон (изомер В1)
К этанольному (50 мл) раствору 4-(R)-(1-азидо-1-циклобутил)метил-1-[1-(R)-фенилэтил]-2-пирролидона (изомер В1) (835 мг, 2,80 ммоль) добавляли катализатор 10% палладий на углероде (содержание воды 53,8%, 850 мг) и осуществляли каталитическое гидрирование при комнатной температуре и нормальном давлении в течение 5 часов. Реакционный раствор фильтровали, и растворитель удаляли при пониженном давлении. Остаток растворяли в дихлорметане (20 мл), и к полученному раствору добавляли ди-трет-бутилдикарбонат (917 мг) и триэтиламин (780 мкл) с последующим перемешиванием при комнатной температуре в течение 15 часов. К реакционному раствору добавляли хлороформ (50 мл), полученную смесь промывали 10%-ной лимонной кислотой (80 мл), и водой (80 мл), и затем органический слой сушили над безводным сульфатом натрия. После удаления растворителя при пониженном давлении остаток подвергали хроматографии на колонке с силикагелем с получением указанного в заголовке соединения (809 мг, 78%) в виде белого аморфного вещества из фракций, элюированных смесью н-гексан/этилацетат (от 3/2 до 1/1).
1Н-ЯМР (400 МГц, CDCl3) : 1,44 (9H, с), 1,48 (3H, д, J=7,32 Гц), 1,66-1,98 (6H, м), 2,17-2,43 (4H, м), 2,94-3,03 (1H, м), 3,09-3,18 (1H, м), 3,59-3,68 (1H, м), 4,46-4,58 (1H, м), 5,46 (1H, кв, J=7,32Гц), 7,27-7,35 (5H, м).
[Ссылочный пример 3-6]
3-(R)-[1-(трет-Бутоксикарбонил)амино-1-циклобутил)метил-1-[1-(R)-фенилэтил]пирролидин (изомер В1)
В атмосфере азота 1 моль/л раствор боран-тетрагидрофуранового комплекса (5,6 мл) добавляли по каплям к тетрагидрофурановому раствору (15 мл) 4-(R)-[1-(трет-бутоксикарбонил)-амино-1-циклобутил]метил-1-[1-(R)-фенилэтил]-2-пирролидона (изомер В1) (700 мг, 1,88 ммоль) при охлаждении льдом с последующим перемешиванием при комнатной температуре в течение 13 часов. После удаления растворителя при пониженном давлении к остатку добавляли этанол (15 мл) с 80%-ным содержанием воды и триэтиламин (3 мл), и смесь кипятили с обратным холодильником в течение 4 часов. После охлаждения при стоянии удаляли при пониженном давлении растворитель, и к остатку добавляли хлороформ (30 мл). Раствор промывали водой (10 мл) и насыщенным солевым раствором (10 мл) и затем сушили над безводным сульфатом натрия. После удаления растворителя при пониженном давлении остаток подвергали хроматографии на колонке с силикагелем с получением указанного в заголовке соединения (565 мг, 84%) в виде бесцветных кристаллов из фракции, элюированной смесью хлороформ/метанол=20/1.
1Н-ЯМР (400 МГц, CDCl3) : 1,36 (3H, д, J=6,84 Гц), 1,45 (9H, с), 1,66-1,95 (7H, м), 2,05-2,22 (2H, м), 2,22-2,34 (1H, м), 2,34-2,45 (2H, м), 3,15 (1H, кв, J=6,84 Гц), 3,43-3,53 (1H, м), 4,54-4,62 (1H, м), 7,21-7,31 (5H, м).
[Ссылочный пример 3-7]
3-(R)-[1-(трет-Бутоксикарбонил)амино-1-циклобутил]метилпирролидин (изомер В1)
К этанольному (30 мл) раствору 3-(R)-[1-(трет-бутоксикарбонил)амино-1-циклобутил]метил-1-[1-(R)-фенилэтил]-пирролидина (изомер В1) (516 мг, 1,44 ммоль) добавляли катализатор 10% палладий на углероде (содержание воды 53,8%, 500 мг) и осуществляли каталитическое гидрирование c нагреванием при внешней температуре 50°С и нормальном давлении в течение 5 часов. Реакционный раствор фильтровали, и растворитель удаляли при пониженном давлении с получением указанного в заголовке соединения (366 мг, количественный) в виде бесцветных кристаллов.
[Ссылочный пример 4]
6-Фтор-1-[2-(S)-фтор-1-(R)-циклопропил]-1,4-дигидро-8-метокси-7-(4-метилпиперазин-1-ил)-4-оксохинолин-3-карбоновая кислота (соединение 15)
К безводному диметилсульфоксиду (18 мл) добавляли 1-метилпиперазин (1,55 мл, 14,0 ммоль) и триэтиламин (1,95 мл, 14 ммоль), и к полученной смеси добавляли 6,7-дифтор-1-[2-(S)-фтор-1-(R)-циклопропил]-1,4-дигидро-8-метокси-4-оксохинолин-3-карбоновая кислота-BF2 хелат (3,61 г, 10,0 ммоль) с последующим перемешиванием при комнатной температуре в течение 22 часов. После концентрирования реакционного раствора при пониженном давлении остаток суспендировали в растворе (110 мл) этанол/вода=9/1 и затем добавляли туда триэтиламин (2 мл), после чего смесь кипятили с обратным холодильником в течение 2 часов. После охлаждения при стоянии реакционный раствор концентрировали при пониженном давлении. К остатку добавляли по каплям при охлаждении концентрированную хлороводородную кислоту (20 мл), и затем смесь перемешивали при комнатной температуре в течение 30 минут. К реакционному раствору добавляли 1 моль/л хлороводородную кислоту (5 мл), и полученный желтый кислый водный раствор промывали хлороформом (50 мл × 4). Затем раствор доводили до рН 12,0 добавлением водного раствора гидроксида натрия. Основный раствор доводили до рН 7,4 добавлением 1 моль/л хлористо-водородной кислоты и затем экстрагировали хлороформом (150 мл × 5). После сушки над безводным сульфатом натрия растворитель удаляли при пониженном давлении. Полученный остаток перекристаллизовывали из изопропилового спирта с получением указанного в заголовке соединения (2,98 г, 7,58 ммоль, 76%) в виде желтых кристаллов.
1Н-ЯМР (400 МГц, 0,1 моль/л-NaOD) : 1,37-1,53 (2H, м), 2,17 (3H, c), 2,43-2,48 (4H, м), 3,17-3,22 (4H, м), 3,63-3,68 (3H, м), 3,90-3,94 (1H, м), 4,82 (1H, дм, J=62,0 Гц), 7,59 (1H, д, J=12,7 Гц), 8,40 (1H, c).
ИК (KBr диск): 2931, 2841, 2817, 2796, 1898, 1768, 1722, 1622, 1603, 1512, 1462, 1435, 1394, 1315, 1290, 1242, 1227, 1207cм-1.
Температура плавления: 192-194°С
Элементный анализ: FW393,39 при С19Н21F2N3О4
Вычислено: С 58,01%; Н 5,38%; N 10,68%
Найдено: С 58,02%; Н 5,42%; N 10,41%
[Ссылочный пример 5]
7-(3,5-цис-Диметилпиперазин-1-ил)-6-фтор-1-[2-(S)-фтор-1-(R)-циклопропил]-1,4-дигидро-8-метокси-4-оксохинолин-3-карбоновая кислота (соединение 16)
К безводному диметилсульфоксиду (10 мл) добавляли цис-2,6-диметилпиперазин (1,14 г, 10,0 ммоль) и триэтиламин (1,05 мл, 7,5 ммоль), и к полученной смеси добавляли 6,7-дифтор-1-[2-(S)-фтор-1-(R)-циклопропил]-1,4-дигидро-8-метокси-4-оксохинолин-3-карбоновая кислота-BF2 хелат (1,81 г, 5,00 ммоль) с последующим перемешиванием при комнатной температуре в течение 5 дней. После концентрирования реакционного раствора при пониженном давлении остаток суспендировали в растворе (50 мл) этанол/вода=9/1 и затем добавляли туда триэтиламин (1 мл), после чего смесь кипятили с обратным холодильником в течение 3 часов. После охлаждения при стоянии реакционный раствор концентрировали при пониженном давлении. К остатку добавляли по каплям при охлаждении концентрированную хлористо-водородную кислоту (10 мл), и затем смесь перемешивали при комнатной температуре в течение 30 минут. К реакционному раствору добавляли 1 моль/л хлористо-водородной кислоты (5 мл), и полученный желтый кислый водный раствор промывали хлороформом (50 мл × 4). Затем раствор доводили до рН 12,0 добавлением водного раствора гидроксида натрия. Основный раствор доводили до рН 7,4 добавлением 1 моль/л хлористо-водородной кислоты и затем экстрагировали хлороформом (150 мл × 3). После сушки над безводным сульфатом натрия растворитель удаляли при пониженном давлении. Полученный остаток перекристаллизовывали из этанола с получением указанного в заголовке соединения (1,27 г, 3,12 ммоль, 62%) в виде желтых кристаллов.
1Н-ЯМР (400 МГц, 0,1 моль/л-NaOD) : 1,06 (3H, c), 1,07 (3H, c), 1,50-1,68 (2H, м), 2,77 (1H, т, J=11,0 Гц), 2,87 (1H, т, 10,0 Гц), 2,99-3,06 (2H, м), 3,28-3,35 (2H, м), 3,75 (3H, c), 4,02-4,07 (1H, м), 4,97 (1H, дм, J=64,1 Гц), 7,72 (1H, д, J=12,7 Гц), 8,50 (1H, c).
Температура плавления: 129-131°С
Элементный анализ: FW425,43 при С20Н23F2N3О4·1Н2О
Вычислено: С 56,46%; Н 5,92%; N 9,88%
Найдено: С 56,72%; Н 5,92%; N 9,85%
Ссылочный пример 6


[Ссылочный пример 6-1]
Карбобензилоксиглицил-(2S)-фенилглицинметиловый эфир
Гидрокарбонат натрия (2,82 г) добавляли к смешанному раствору гидрохлорида (S)-(+)-2-фенилглицинметилового эфира (1,84 г, 9,1 ммоль) в воде (12 мл) и тетрагидрофуруане (12 мл), и затем к полученной смеси добавляли по каплям при охлаждении льдом раствор карбобензилоксиглицинсукцинимида (3,06 г, 10 ммоль) в ТГФ (10 мл). После перемешивания при той же температуре в течение 30 минут смесь перемешивали при комнатной температуре еще 20 минут. После удаления при пониженном давлении растворителя к остатку добавляли этилацетат, и, промыв органический слой водой, сушили его над безводным сульфатом натрия. Удаляли при пониженном давлении растворитель с получением указанного в заголовке соединения (3,56 г, количественный).
1Н-ЯМР (400 МГц, 0,1 моль/л-NaOD) : 3,72 (3H, c), 3,84-4,01 (2H, м), 5,14 (2H, c), 5,40 (1H, шс), 5,56 (1H, д, J=7,20 Гц), 7,02 (1H, шс), 7,33 (10H, c).
[Ссылочный пример 6-2]
2,5-Диоксо-(3S)-фенилпиперазин
К этанольному (300 мл) раствору карбобензилоксиглицил-(2S)-фенилглицилметилового эфира (2) (18 г, 50,51 ммоль) добавляли 10% палладий на углероде (содержание воды 50%, 18 г) и осуществляли каталитическое восстановление при 50°С при 1 атм в течение 18 часов. Отфильтровывали палладий на углероде и растворитель из фильтрата удаляли выпариванием с получением указанного в заголовке соединения в виде неочищенного продукта. Полученный продукт использовали в следующей реакции без очистки.
[Ссылочный пример 6-3]
1,4-ди-трет-Бутоксикарбонил-(2S)-фенилпиперазин
К суспензии описанного выше 2,5-диоксо-(3S)-фенилпиперазина (3) в ТГФ (200 мл) добавляли по каплям тетрагидрофурановый раствор (250 мл) 1 моль/л боран-тетрагидрофуранового комплекса при охлаждении льдом, после чего смесь перемешивали при комнатной температуре в течение 15 часов. После добавления метанола (примерно 10 мл) при охлаждении льдом смесь перемешивали при комнатной температуре в течение 30 минут. Удалив при пониженном давлении растворитель, остаток суспендировали в смешанном растворителе (300 мл) этанол/вода (4/1), после чего к суспензии добавляли триэтиламин (50 мл), и затем смесь кипятили с обратным холодильником в течение 3 часов. После охлаждения при стоянии реакционный раствор концентрировали при пониженном давлении. Остаток растворяли в смешанном растворителе (500 мл) тетрагидрофуран/дихлорметан (1/1). После добавления триэтиламина (примерно 50 мл) добавляли к смеси ди-трет-бутил-дикарбонат (30 г) и каталитическое количество 4-диметиламино-пиридина с последующим перемешиванием при комнатной температуре в течение 5 часов. Удалив при пониженном давлении растворитель, растворяли остаток в хлороформе и затем промывали раствор 10%-ным водным раствором лимонной кислоты (50 мл × 3). Органический слой сушили над безводным сульфатом натрия и затем удаляли растворитель при пониженном давлении. Полученный остаток подвергали хроматографии на колонке с силикагелем, причем элюирование смесью гексан/этилацетат (7/1) дало указанное в заголовке соединение (5,04 г, 28% от соединения (2)) в виде бесцветных кристаллов.
1Н-ЯМР (400 МГц, 0,1 моль/л-NaOD) : 1,43 (9H, c), 1,46 (9H, c), 2,90-3,15 (2H, м), 3,30-3,39 (1H, м), 3,92-4,03 (2H, м), 4,38-4,50 (1H, м), 5,35 (1H, шс), 7,21-7,40 (5H, м).
[Пример 1]
6-Фтор-1-[(1R,2S)-2-фторциклопропил]-7-(3-фторметилпиперазин-1-ил)-1,4-дигидро-8-метокси-4-оксохинолин-3-карбоновая кислота (соединение 19)
К диметилсульфоксиду (2 мл) добавляли 3-фторметилпиперазин (184 мг, 1,56 ммоль), и затем к полученной смеси добавляли триэтиламин (619 мкл, 4,44 ммоль) и 6,7-дифтор-1-[(1R,2S)-2-фторциклопропил]-1,4-дигидро-8-метокси-4-оксохинолин-3-карбоновая кислота-BF2 хелат (668 мг, 1,85 ммоль). После перемешивания при комнатной температуре в течение 15 часов удаляли при пониженном давлении растворитель и триэтиламин. Остаток суспендировали в смешанном растворителе (100 мл) этанол/вода (9/1), и затем добавляли туда триэтиламин (1 мл), после чего смесь кипятили с обратным холодильником в течение 1 часа. После охлаждения при стоянии реакционный раствор концентрировали при пониженном давлении. К остатку, чтобы растворить его, добавляли по каплям при охлаждении концентрированную хлористо-водородную кислоту (примерно 10 мл), и затем раствор промывали хлороформом (100 мл × 3). После этого раствор доводили до рН 11,0 добавлением водного раствора гидроксида натрия и затем регулировали его до рН 7,4 добавлением концентрированной хлористо-водородной кислоты и 1 моль/л хлористо-водородной кислоты. Водный слой экстрагировали хлороформом (150 мл × 3). После сушки над безводным сульфатом натрия удаляли при пониженном давлении растворитель. Полученный остаток разделяли и очищали препаративной ТСХ и затем перекристаллизовывали из смеси метанол-диэтиловый эфир с получением указанного в заголовке соединения (293 мг, 46%) в виде бледно-желтых кристаллов.
Температура плавления: 153-156°С
1Н-ЯМР (400 МГц, 0,1 моль/л-NaOD) : 1,50-1,67 (2H, м), 2,98-3,43 (7H, м), 3,76-3,82 (3H, м), 4,04-4,06 (1H, м), 4,43-4,58 (2Н, м), 4,96 (1Н, дм, J=67,28 Гц), 7,71-7,76 (1Н, м), 8,51 (1Н, с).
Элементный анализ: при С19Н20F3N3О4·0,25Н2О
Вычислено: С 54,87%; Н 4,97%; N 10,10%
Найдено: С 54,84%; Н 4,92%; N 10,02%
[Пример 2]
6-Фтор-1-[(1R,2S)-2-фторциклопропил]-7-(3,3′-дифторметилпиперазин-1-ил)-1,4-дигидро-8-метокси-4-оксохинолин-3-карбоновая кислота (соединение 20)
К диметилсульфоксиду (1,5 мл) добавляли 3,3′-дифторметилпиперазин (146 мг, 1,07 ммоль), и затем к полученной смеси добавляли триэтиламин (460 мкл, 3,30 ммоль) и 6,7-дифтор-1-[(1R,2S)-2-фторциклопропил]-1,4-дигидро-8-метокси-4-оксохинолин-3-карбоновая кислота-BF2 хелат (361 мг, 1,00 ммоль). После перемешивания при комнатной температуре в течение 14 часов удаляли при пониженном давлении растворитель и триэтиламин. Остаток суспендировали в смешанном растворителе (20 мл) этанол/вода (9/1), и затем добавляли туда триэтиламин (1 мл), после чего смесь кипятили с обратным холодильником в течение 2 часов. После охлаждения при стоянии реакционный раствор концентрировали при пониженном давлении. К остатку, чтобы растворить его, добавляли по каплям при охлаждении концентрированную хлористо-водородную кислоту (примерно 5 мл), и затем раствор промывали хлороформом (50 мл × 3). После этого раствор доводили до рН 11,0 добавлением водного раствора гидроксида натрия и затем регулировали его до рН 7,4 добавлением концентрированной хлористо-водородной кислоты и 1 моль/л хлористо-водородной кислоты. Водный слой экстрагировали хлороформом (100 мл × 3). После сушки над безводным сульфатом натрия растворитель удаляли при пониженном давлении. Полученный остаток разделяли и очищали препаративной ТСХ и затем перекристаллизовывали из смеси изопропиловый спирт-диэтиловый эфир с получением указанного в заголовке соединения (65 мг, 15%) в виде бледно-желтых кристаллов.
Температура плавления: 164-166°С
1Н-ЯМР (400 МГц, 0,1 моль/л-NaOD) : 1,53-1,65 (2H, м), 2,99-3,56 (7H, м), 3,82 (3H, д, J=3,41 Гц), 4,06-4,08 (1H, м), 4,96 (1H, дм, J=64,59 Гц), 5,95 (1H, т, J=55,21 Гц), 7,75 (1H, д, J=12,68 Гц), 8,51 (1H, с).
Элементный анализ: при С19Н19F4N3О4·0,25Н2О
Вычислено: С 52,60%; Н 4,53%; N 9,68%
Найдено: С 52,75%; Н 4,54%; N 9,60%
[Пример 3]
6-Фтор-1-[(1R,2S)-2-фторциклопропил]-1,4-дигидро-8-метокси-7-(3-метоксиметилпиперазин-1-ил)-4-оксохинолин-3-карбоновая кислота (соединение 21)
К диметилсульфоксиду (3 мл) добавляли 3-метоксиметилпиперазин (399 мг, 3,06 ммоль), и затем к полученной смеси добавляли триэтиламин (853 мкл, 6,12 ммоль) и 6,7-дифтор-1-[(1R,2S)-2-фторциклопропил]-1,4-дигидро-8-метокси-4-оксохинолин-3-карбоновая кислота-BF2 хелат (921 мг, 2,55 ммоль). После перемешивания при комнатной температуре в течение 11,5 часов удаляли при пониженном давлении растворитель и триэтиламин. Остаток суспендировали в смешанном растворителе (100 мл) этанол/вода (9/1), и затем добавляли туда триэтиламин (2 мл), после чего смесь кипятили с обратным холодильником в течение 3 часов. После охлаждения при стоянии реакционный раствор концентрировали при пониженном давлении. К остатку, чтобы растворить его, добавляли по каплям при охлаждении концентрированную хлористо-водородную кислоту (примерно 10 мл), и затем раствор промывали хлороформом (100 мл × 3). После этого раствор доводили до рН 11,0 добавлением водного раствора гидроксида натрия, и затем регулировали его до рН 7,4 добавлением концентрированной хлористо-водородной кислоты и 1 моль/л хлористо-водородной кислоты. Водный слой экстрагировали хлороформом (150 мл × 3). После сушки над безводным сульфатом натрия удаляли при пониженном давлении растворитель. Полученный остаток разделяли и очищали препаративной ТСХ и затем перекристаллизовывали из смеси метанол-диэтиловый эфир с получением указанного в заголовке соединения (680 мг, 63%) в виде бледно-желтых кристаллов.
Температура плавления: 92-95°С
1Н-ЯМР (400 МГц, 0,1 моль/л-NaOD) : 1,50-1,63 (2Н, м), 2,97-3,47 (9H, м), 3,39-3,41 (3H, м), 3,77-3,81 (3H, м), 4,03-4,05 (1H, м), 4,95 (1H, дм, J=64,35 Гц), 7,72 (1H, д, J=12,19 Гц), 8,50 (1H, c).
Элементный анализ: при С20Н23F2N3О5·0,5Н2О
Вычислено: С 55,55%; Н 5,59%; N 9,72%
Найдено: С 55,41%; Н 5,61%; N 9,63%
[Пример 4]
7-{4,7-Диазаспиро[2.5]октан-7-ил}-6-фтор-1-[(1R,2S)-2-фторциклопропил]-1,4-дигидро-8-метокси-4-оксохинолин-3-карбоновая кислота (соединение 22)
К диметилсульфоксиду (0,5 мл) добавляли 4,7-диазаспиро-[2.5]октан (61,2 мг, 0,546 ммоль), и затем к полученной смеси добавляли 6,7-дифтор-1-[(1R,2S)-2-фторциклопропил]-1,4-дигидро-8-метокси-4-оксохинолин-3-карбоновая кислота-BF2 хелат (179 мг, 0,496 ммоль) и триэтиламин (251 мкл, 1,64 ммоль). После перемешивания при комнатной температуре в течение 15 часов удаляли при пониженном давлении растворитель и триэтиламин. Остаток суспендировали в смешанном растворителе (20 мл) этанол/вода (9/1), и затем добавляли туда триэтиламин (1 мл), после чего смесь кипятили с обратным холодильником в течение 3 часов. После охлаждения при стоянии реакционный раствор концентрировали при пониженном давлении. К остатку, чтобы растворить его, добавляли по каплям при охлаждении концентрированную хлористо-водородную кислоту (примерно 2 мл), и затем добавляли 1 моль/л хлористо-водородной кислоты (примерно 2 мл), после чего раствор промывали хлороформом (50 мл × 3). После этого раствор доводили до рН 11,0 добавлением водного раствора гидроксида натрия, и затем регулировали его до рН 7,4 добавлением концентрированной хлористо-водородной кислоты и 1 моль/л хлористо-водородной кислоты. Водный слой экстрагировали хлороформом (50 мл × 3). После сушки над безводным сульфатом натрия удаляли при пониженном давлении растворитель. Полученный остаток разделяли и очищали препаративной ТСХ и затем перекристаллизовывали из смеси изопропиловый спирт-диэтиловый эфир с получением указанного в заголовке соединения (40,0 мг, 20%) в виде бледно-желтых кристаллов.
Температура плавления: 164-167°С (разлож.)
1Н-ЯМР (400 МГц, 0,1 моль/л-NaOD) : 0,64-0,67 (4H, м), 1,50-1,68 (2H, м), 3,02-3,19 (3H, м), 3,21-3,40 (3H, м), 3,83 (3H, c), 4,01-4,05 (1H, м), 4,95 (1H, дм, J=60,25 Гц), 7,72 (1H, д, J=12,98 Гц), 8,49 (1H, c).
Элементный анализ: при С20Н21F2N3О4·1Н2О
Вычислено: С 56,73%; Н 5,48%; N 9,92%
Найдено: С 57,11%; Н 5,29%; N 9,63%
[Пример 5]
7-{5,8-Диазаспиро[3.5]нонан-7-ил}-6-фтор-1-[(1R,2S)-
2-фторциклопропил]-1,4-дигидро-8-метокси-4-оксохинолин-
3-карбоновая кислота (соединение 23)
К диметилсульфоксиду (1,5 мл) добавляли 5,8-диазаспиро-[3.5]нонан (171 мг, 1,36 ммоль), и затем к полученной смеси добавляли 6,7-дифтор-1-[(1R,2S)-2-фторциклопропил]-1,4-дигидро-8-метокси-4-оксохинолин-3-карбоновая кислота-BF2 хелат (491 мг, 1,36 ммоль) и триэтиламин (626 мкл, 4,49 ммоль). После перемешивания при 40°С в течение 22 часов удаляли при пониженном давлении растворитель и триэтиламин. Остаток суспендировали в смешанном растворителе (20 мл) этанол/вода (9/1), и затем добавляли туда триэтиламин (0,5 мл), после чего смесь кипятили с обратным холодильником в течение 2 часов. После охлаждения при стоянии реакционный раствор концентрировали при пониженном давлении. К остатку, чтобы растворить его, добавляли по каплям при охлаждении концентрированную хлористо-водородную кислоту (примерно 2 мл), и затем добавляли 1 моль/л хлористо-водородную кислоту (примерно 2 мл), после чего раствор промывали хлороформом (50 мл × 3). После этого раствор доводили до рН 12,0 добавлением водного раствора гидроксида натрия, и затем регулировали его до рН 7,4 добавлением концентрированной хлористо-водородной кислоты и 1 моль/л хлористо-водородной кислоты. Водный слой экстрагировали хлороформом (100 мл × 4). После сушки над безводным сульфатом натрия удаляли при пониженном давлении растворитель. Полученный остаток разделяли и очищали препаративной ТСХ и затем перекристаллизовывали из смеси изопропиловый спирт-диэтиловый эфир с получением указанного в заголовке соединения (67,2 мг, 12%) в виде бледно-желтых кристаллов.
Температура плавления: 138-140°С (разлож.)
1Н-ЯМР (400 МГц, 0,1 моль/л-NaOD) : 1,51-2,07 (8H, м), 2,90-2,92 (2H, м), 3,26-3,31 (4H, м), 3,78 (3H, c), 4,06-4,07 (1H, м), 4,97 (1H, дм, J=63,11 Гц), 7,74 (1H, д, J=13,31 Гц), 8,51 (1H, c).
Элементный анализ: при С21Н23F2N3О4·1,5Н2О
Вычислено: С 56,50%; Н 5,87%; N 9,41%
Найдено: С 56,52%; Н 5,55%; N 9,24%
[Пример 6]
7-(3-Циклопропилпиперазин-1-ил)-6-фтор-1-[(1R,2S)-
2-фторциклопропил]-1,4-дигидро-8-метокси-4-оксохинолин-
3-карбоновая кислота (соединение 24)
К диметилсульфоксиду (0,5 мл) добавляли 3-циклопропилпиперазин (60,3 мг, 0,478 ммоль), и затем к полученной смеси добавляли триэтиламин (220 мкл, 1,58 ммоль) и 6,7-дифтор-1-[(1R,2S)-2-фторциклопропил]-1,4-дигидро-8-метокси-4-оксохинолинкарбоновая кислота-BF2 хелат (173 мг, 0,478 ммоль). После перемешивания при 40°С в течение 12 часов удаляли при пониженном давлении растворитель и триэтиламин. Остаток суспендировали в смешанном растворителе (20 мл) этанол/вода (9/1), и затем добавляли туда триэтиламин (0,5 мл), после чего смесь кипятили с обратным холодильником в течение 2 часов. После охлаждения при стоянии реакционный раствор концентрировали при пониженном давлении. К остатку, чтобы растворить его, добавляли по каплям при охлаждении концентрированную хлористо-водородную кислоту (примерно 5 мл), и затем раствор промывали хлороформом (50 мл × 3). После этого раствор доводили до рН 11,0 добавлением водного раствора гидроксида натрия, и затем регулировали его до рН 7,4 добавлением концентрированной хлористо-водородной кислоты и 1 моль/л хлористо-водородной кислоты. Водный слой экстрагировали хлороформом (100 мл × 4). После сушки над безводным сульфатом натрия удаляли при пониженном давлении растворитель. Полученный остаток разделяли и очищали препаративной ТСХ и затем перекристаллизовывали из смеси изопропиловый спирт-диэтиловый эфир с получением указанного в заголовке соединения (36,4 мг, 18%) в виде бледно-желтых кристаллов.
Температура плавления: 136-139°С
1Н-ЯМР (400 МГц, 0,1 моль/л-NaOD) : 0,26-0,28 (2H, м), 0,50-0,52 (2H, м), 0,78-0,80 (1H, м), 1,51-1,60 (2H, м), 2,07-2,09 (1H, м), 2,93-3,46 (6H, м), 3,78 (3H, д, J=7,57 Гц), 4,06-4,07 (1H, м), 4,95 (1H, дм J=61,89 Гц), 7,73 (1H, д, J=10,13 Гц), 8,50 (1H, c).
Элементный анализ: при С21Н23F2N3О4·1,25Н2О
Вычислено: С 57,07%; Н 5,82%; N 9,51%
Найдено: С 57,16%; Н 5,57%; N 9,43%
[Пример 7]
1-Циклопропил-6-фтор-1,4-дигидро-8-метокси-7-[(3S)-фенилпиперазин-1-ил)-4-оксохинолин-3-карбоновая кислота (соединение 25)
Трифторуксусную кислоту (3 мл) добавляли к дихлорметановому (2 мл) раствору 1,4-ди-трет-бутоксикарбонил-(2S)-фенилпиперазина (507 мг, 1,40 ммоль), и затем реакционный раствор перемешивали при комнатной температуре в течение 15 минут. Удаляли при пониженном давлении растворитель реакционного раствора и трифторуксусную кислоту и остаток растворяли в диметилсульфоксиде (4 мл). Затем к полученной смеси добавляли 1-циклопропил-6,7-дифтор-1,4-дигидро-8-метокси-4-оксохинолин-3-карбоновая кислота-BF2 хелат (343 мг, 1,00 ммоль) и триэтиламин (1 мл). После перемешивания при комнатной температуре в течение 70 часов удаляли при пониженном давлении растворитель и триэтиламин. Остаток суспендировали в смешанном растворителе (100 мл) этанол/вода (4/1), и затем добавляли туда триэтиламин (10 мл), после чего смесь кипятили с обратным холодильником в течение 6 часов. После охлаждения при стоянии реакционный раствор концентрировали при пониженном давлении. К остатку, чтобы растворить его, добавляли по каплям при охлаждении концентрированную хлористо-водородную кислоту (примерно 10 мл), и затем раствор перемешивали при комнатной температуре в течение 5 минут. После этого раствор доводили до рН 12,0 добавлением водного раствора гидроксида натрия, и затем регулировали его до рН 7,2 добавлением концентрированной хлористо-водородной кислоты и 1 моль/л хлористо-водородной кислоты. Водный слой экстрагировали хлороформом (100 мл × 3). После сушки над безводным сульфатом натрия удаляли при пониженном давлении растворитель. Полученный остаток перекристаллизовывали из смеси 28% водный аммиак-этанол с получением указанного в заголовке соединения (280 мг, 64%) в виде бледно-желтых кристаллов.
Температура плавления: 114-121°С
1Н-ЯМР (400 МГц, 0,1 моль/л-NaOD) : 0,60-0,70 (1H, м), 0,71-0,77 (1H, м), 0,95-1,07 (2H, м), 2,95-3,35 (6H, м), 3,66 (3H, c), 3,71-3,95 (2H, м), 7,08-7,33 (5H, м), 7,66 (1H, д, J=12,70 Гц), 8,46 (1H, с).
Элементный анализ: при С24Н24FN3О4·0,25Н2О
Вычислено: С 65,22%; Н 5,59%; N 9,51%
Найдено: С 65,09%; Н 5,51%; N 9,46%
[Пример 8]
6-Фтор-1-[(1R,2S)-2-фторциклопропил]-1,4-дигидро-8-метокси-7-[(3S)-фенилпиперазин-1-ил)-4-оксохинолин-3-карбоновой кислоты гидрохлорид (соединение 26)
Трифторуксусную кислоту (3 мл) добавляли к дихлорметановому (2 мл) раствору 1,4-ди-трет-бутоксикарбонил-(2S)-фенилпиперазина (695 мг, 1,92 ммоль), и затем реакционный раствор перемешивали при комнатной температуре в течение 15 минут. Удаляли при пониженном давлении растворитель реакционного раствора и трифторуксусную кислоту, и остаток растворяли в диметилсульфоксиде (5 мл). Затем к полученной смеси добавляли 6,7-дифтор-1-[(1R,2S)-2-фторциклопропил]-1,4-дигидро-8-метокси-4-оксохинолин-3-карбоновая кислота-BF2 хелат (433 мг, 1,20 ммоль) и триэтиламин (1 мл). После перемешивания при комнатной температуре в течение 15 часов удаляли при пониженном давлении растворитель и триэтиламин. Остаток суспендировали в смешанном растворителе (100 мл) этанол/вода (4/1), и затем добавляли туда триэтиламин (10 мл), после чего смесь кипятили с обратным холодильником в течение 2 часов. После охлаждения при стоянии реакционный раствор концентрировали при пониженном давлении. К остатку, чтобы растворить его, добавляли по каплям при охлаждении концентрированную хлористо-водородную кислоту (примерно 10 мл), и затем раствор перемешивали при комнатной температуре в течение 5 минут. После этого раствор доводили до рН 12,0 добавлением водного раствора гидроксида натрия, и затем регулировали его до рН 7,3 добавлением концентрированной хлористо-водородной кислоты и 1 моль/л хлористо-водородной кислоты. Водный слой экстрагировали хлороформом (100 мл × 3). После сушки над безводным сульфатом натрия удаляли при пониженном давлении растворитель. Полученный остаток отделяли и очищали препаративной ТСХ и затем преобразовывали в гидрохлорид, использовав эквивалентное количество 1 моль/л хлористо-водородной кислоты. Соль перекристаллизовывали из смеси этанолдиэтиловый эфир с получением указанного в заголовке соединения (345 мг, 60%) в виде бледно-желтых кристаллов.
Температура плавления: 194-203°С
1Н-ЯМР (400 МГц, 0,1 моль/л-NaOD) : 1,26-1,35 (1H, м), 1,40-1,51 (1H, м), 2,88-3,06 (3H, м), 3,09-3,32 (3H, м), 3,64 (3H, c), 3,75-3,90 (2H, м), 4,60-4,70 (0,5H, м), 7,12-7,30 (5H, м), 7,63 (1H, д, J=12,70 Гц), 8,44 (1H, c).
Элементный анализ: при С24Н23F2N3О4·HCl·1,75Н2О
Вычислено: С 55,07%; Н 5,30%; N 8,03%
Найдено: С 55,04%; Н 5,24%; N 7,96%
[Пример 9]
9-Фтор-2,3-дигидро-3-(S)-метил-7-оксо-10-[3-(S)-фенил-1-пиперазинил]-7Н-пиридо[1,2,3-de][1,4]бензоксазин-6-карбоновая кислота (соединение 27)
Трифторуксусную кислоту (3 мл) добавляли к дихлорметановому (2 мл) раствору 1,4-ди-трет-бутоксикарбонил-(2S)-фенилпиперазина (544 мг, 1,50 ммоль), и затем реакционный раствор перемешивали при комнатной температуре в течение 15 минут. Удаляли при пониженном давлении растворитель реакционного раствора и трифторуксусную кислоту, и остаток растворяли в диметилсульфоксиде (4 мл). Затем к полученной смеси добавляли 9,10-дифтор-2,3-дигидро-(3S)-метил-7-оксо-7Н-пиридо[1.2.3-de]-[1,4]бензоксазин-6-карбоновая кислота-BF2 хелат (411 мг, 1,25 ммоль) и триэтиламин (1 мл). После перемешивания при комнатной температуре в течение 21 часа удаляли при пониженном давлении растворитель и триэтиламин. Остаток суспендировали в смешанном растворителе (100 мл) этанол/вода (4/1), и затем добавляли туда триэтиламин (10 мл), после чего смесь кипятили с обратным холодильником в течение 3 часов. После охлаждения при стоянии реакционный раствор концентрировали при пониженном давлении. К остатку, чтобы растворить его, добавляли по каплям при охлаждении концентрированную хлористо-водородную кислоту (примерно 10 мл), и затем раствор перемешивали при комнатной температуре в течение 5 минут с последующей промывкой хлороформом (100 мл × 3). После этого раствор доводили до рН 12,0 добавлением водного раствора гидроксида натрия, и затем регулировали его до рН 7,4 добавлением концентрированной хлористо-водородной кислоты и 1 моль/л хлористо-водородной кислоты. Водный слой экстрагировали хлороформом (150 мл × 3). После сушки над безводным сульфатом натрия удаляли при пониженном давлении растворитель. Полученный остаток перекристаллизовывали из этанола с получением указанного в заголовке соединения (290 мг, 55%) в виде желтых кристаллов.
Температура плавления: 238-244°С
1Н-ЯМР (400 МГц, 0,1 моль/л-NaOD) : 1,48 (3H, c), 3,10-3,12 (2H, м), 3,25-3,32 (4H, м), 3,98-4,00 (1H, м), 4,32-4,35 (1H, м), 4,47-4,51 (1H, м), 4,57-4,59 (1H, м), 7,37-7,54 (6H, м), 8,34 (1H, c).
Элементный анализ: при С23Н22FN3О4·0,25Н2О
Вычислено: С 64,55%; Н 5,30%; N 9,82%
Найдено: С 64,71%; Н 5,23%; N 9,86%
[Пример 10]
7-{1,4-Диазабицикло[3.2.1]октан-4-ил}-6-фтор-1-[(1R,2S)-
2-фторциклопропил]-1,4-дигидро-8-метокси-4-оксохинолин-
3-карбоновая кислота (соединение 28)
К диметилсульфоксиду (4 мл) добавляли 1,4-диазабицикло-[3.2.1]октандигидрохлорид (828 мг, 4,47 ммоль), и затем к полученной смеси добавляли триэтиламин (1,87 мл, 13,4 ммоль) и 6,7-дифтор-1-[(1R,2S)-2-фторциклопропил]-1,4-дигидро-8-метокси-4-оксохинолин-3-карбоновая кислота-BF2 хелат (1,35 г, 3,73 ммоль). После перемешивания при комнатной температуре в течение 15 часов и при 40°С в течение 9 часов удаляли при пониженном давлении растворитель и триэтиламин. Остаток суспендировали в смешанном растворителе (100 мл) этанол/вода (9/1), и затем добавляли туда триэтиламин (3 мл), после чего смесь кипятили с обратным холодильником в течение 3 часов. После охлаждения при стоянии реакционный раствор концентрировали при пониженном давлении. К остатку, чтобы растворить его, добавляли по каплям при охлаждении концентрированную хлористо-водородную кислоту (примерно 20 мл), и затем раствор промывали хлороформом (100 мл × 3). После этого раствор доводили до рН 11,0 добавлением водного раствора гидроксида натрия, и затем регулировали его до рН 7,4 добавлением концентрированной хлористо-водородной кислоты и 1 моль/л хлористо-водородной кислоты. Водный слой экстрагировали хлороформом (100 мл × 3) и смесью хлороформ/метанол (8/2) (100 мл × 2). После сушки над безводным сульфатом натрия удаляли при пониженном давлении растворитель. Полученный остаток перекристаллизовывали из смеси изопропиловый спирт-диэтиловый эфир с получением указанного в заголовке соединения (646 мг, 43%) в виде бледно-желтых кристаллов.
Температура плавления: 195-198°С (разл.)
1Н-ЯМР (400 МГц, 0,1 моль/л-NaOD) : 1,40-1,65 (2H, м), 2,05-2,18 (2H, м), 2,57-2,74 (2H, м), 2,91-3,26 (5H, м), 3,58-3,60 (1H, м), 3,75 (3H, д, J=3,66 Гц), 4,05-4,07 (2H, м), 4,95 (1H, ддм, J=17,94, 61,89 Гц), 7,70 (1H, д, J=11,48 Гц), 8,48 (1H, д, J=19,53 Гц).
Элементный анализ: при С20Н21F2N3О4·0,5Н2О
Вычислено: С 57,97%; Н 5,35%; N 10,14%
Найдено: С 58,26%; Н 5,28%; N 10,07%
Антибактериальную активность соединений по настоящему изобретению оценивали методом, описанным в литературе Anti- microb. Agents and Chemother., 38, 2877 (1994), и результаты показаны в таблицах 3-8 в виде MIC (мкг/мл). В таблицах “OFLX” является аббревиатурой названия “OFLOXAIN”.
| Таблица 3 |
| Антибактериальная активность в отношении M.avium и M.intracellulare |
| |
M.avium__________________ |
M.intracellulare__________ |
| N-357 |
N-458 |
N-444 |
N-472 |
N-294 |
N-313 |
N-338 |
N-345 |
| OFLX |
3,13 |
3,13 |
25 |
50 |
12,5 |
6,25 |
25 |
25 |
| RFP |
50 |
100 |
12,5 |
12,5 |
3,13 |
0,78 |
3,13 |
3,13 |
| Соед.1 |
0.10 |
0,20 |
0,20 |
1,56 |
0,39 |
0,10 |
0,39 |
0,39 |
| Соед.2 |
0,20 |
0,20 |
0,39 |
0,78 |
0,39 |
0,20 |
0,39 |
0,78 |
| Соед.3 |
0,39 |
0,78 |
1,56 |
6,25 |
1,56 |
0,39 |
1,56 |
1,56 |
| Соед.4 |
0,20 |
0,39 |
0,78 |
1,56 |
1,56 |
0,39 |
1,56 |
3,13 |
| Соед.5 |
0,39 |
0,78 |
1,56 |
6,25 |
1,56 |
0,78 |
1,56 |
3,13 |
| Соед.6 |
0,39 |
0,78 |
1,56 |
3,13 |
0,78 |
0,78 |
1,56 |
3,13 |
| Соед.7 |
0,39 |
0,78 |
1,56 |
6,25 |
0,78 |
0,2 |
0,39 |
1,56 |
| Соед.8 |
1,56 |
0,78 |
1,56 |
3,13 |
1,56 |
0,39 |
1,56 |
1,56 |
| Соед.9 |
0,10 |
0,10 |
0,10 |
0,78 |
0,39 |
0,10 |
0,39 |
0,39 |
| Соед.10 |
0,05 |
0,10 |
0,39 |
0,39 |
0,39 |
0,10 |
0,39 |
0,78 |
| Соед.11 |
0,39 |
0,39 |
1,56 |
3,13 |
1,56 |
0,39 |
1,56 |
3,13 |
| Соед.12 |
0,20 |
0,39 |
0,39 |
1,56 |
0,78 |
0,20 |
0,39 |
0,39 |
| Соед.13 |
0,39 |
0,20 |
0,78 |
1,56 |
1,56 |
0,39 |
1,56 |
3,13 |
| Соед.14 |
1,56 |
1,56 |
3,13 |
6,25 |
3,13 |
0,78 |
0,25 |
6,25 |
| Соед.15 |
0,39 |
0,20 |
0,78 |
1,56 |
1,56 |
0,39 |
1,56 |
3,13 |
| Таблица 4 |
| Антибактериальная активность в отношении M.avium и M.intracellulare |
| |
M.avium___________________ |
M.intracellulare_____________ |
| N-357 |
N-458 |
N-444 |
N-472 |
N-294 |
N-313 |
N-338 |
N-345 |
| OFLX |
4,0 |
4,0 |
32 |
128 |
8,0 |
1,0 |
2,0 |
2,0 |
| Соед. 16 |
0,50 |
0,50 |
1,0 |
4,0 |
1,0 |
0,12 |
0,50 |
0,50 |
| Соед. 17 |
1,0 |
1,0 |
2,0 |
8,0 |
2,0 |
0,25 |
1,0 |
1,0 |
| Соед. 18 |
0,50 |
1,0 |
2,0 |
8,0 |
2,0 |
0,25 |
0,50 |
0,50 |
| Таблица 5 |
Антибактериальная активность в отношении Micobacterium tuberculosis (чувствительной к RFP) |
| |
M.tuberculosis____________________________________________ |
| H37Rv |
Kurono |
No.40 |
No.41 |
No.43 |
No.68 |
| OFLX |
0,39 |
0,39 |
0,39 |
0,10 |
6,25 |
0,39 |
| RFP |
0,2 |
0,10 |
0,10 |
0,05 |
3,13 |
3,13 |
| Соед. 1 |
0,025 |
0,013 |
0,025 |
<0,003 |
0,20 |
0,025 |
| Соед. 2 |
0,025 |
0,013 |
0,025 |
0,006 |
0,10 |
0,025 |
| Соед. 3 |
0,10 |
0,05 |
0,10 |
0,006 |
0,78 |
0,10 |
| Соед. 4 |
0,025 |
0,013 |
0,025 |
<0,003 |
0,20 |
0,025 |
| Соед. 5 |
0,10 |
0,05 |
0,10 |
0,025 |
0,78 |
0,10 |
| Соед. 6 |
0,10 |
0,05 |
0,10 |
0,013 |
0,78 |
0,05 |
| Соед. 7 |
|
|
|
|
|
|
| Соед. 8 |
0,10 |
0,05 |
0,10 |
0,006 |
0,78 |
0,20 |
| Соед. 9 |
0,025 |
0,013 |
0,013 |
<0,003 |
0,10 |
0,025 |
| Соед. 10 |
0,013 |
0,006 |
0,006 |
<0,003 |
0,05 |
0,013 |
| Соед. 11 |
0,05 |
0,05 |
0,05 |
0,013 |
0,39 |
0,05 |
| Соед. 12 |
0,025 |
0,025 |
0,025 |
0,006 |
0,10 |
0,05 |
| Соед. 13 |
0,05 |
0,05 |
0,05 |
|
1,56 |
0,10 |
| Соед. 14 |
0,20 |
0,10 |
0,20 |
|
1,56 |
0,20 |
| Соед. 15 |
0,10 |
0,05 |
0,05 |
0,025 |
0,39 |
0,10 |
| Таблица 6 |
| Антибактериальная активность в отношении Micobacteriumtuberculosis (чувствительной к RFP) 2 |
| |
M.tuberculosis___________________________________________ |
| H37Rv |
Kurono |
No.40 |
No.41 |
No.43 |
No.68 |
| OFLX |
1,0 |
0,50 |
1,0 |
0,25 |
8,0 |
1,0 |
| Соед. 16 |
0,12 |
0,12 |
0,12 |
0,03 |
1,0 |
0,12 |
| Соед. 17 |
0,12 |
0,12 |
0,12 |
0,06 |
2,0 |
0,25 |
| Соед. 18 |
0,12 |
0,12 |
0,12 |
0,06 |
1,0 |
0,25 |
| Таблица 7 |
Антибактериальная активность в отношении Micobacterium tuberculosis (резистентной к RFP) |
| |
Резистентная к RFP M.tuberculosis_________________________ |
| No.44 |
No.45 |
No.47 |
No.50 |
No.51 |
No.56 |
No.71 |
No.97 |
| OFLX |
1,56 |
25 |
3,13 |
0,78 |
6,25 |
12,5 |
3,13 |
12,5 |
| RFP |
>100 |
>100 |
>100 |
>100 |
>100 |
>100 |
>100 |
>100 |
| Соед.1 |
0,05 |
0,78 |
0,20 |
0,05 |
1,56 |
6,25 |
0,20 |
0,20 |
| Соед.2 |
0,025 |
0,39 |
0,10 |
0,05 |
0,05 |
3,13 |
0,10 |
0,20 |
| Соед.3 |
0,10 |
3,13 |
0,78 |
0,78 |
1,56 |
6,25 |
0,78 |
3,13 |
| Соед.4 |
0,25 |
0,78 |
0,20 |
0,20 |
0,20 |
6,25 |
0,20 |
0,78 |
| Соед.5 |
0,20 |
12,5 |
1,56 |
0,20 |
12,5 |
50 |
1,56 |
3,13 |
| Соед.6 |
0,20 |
3,13 |
0,39 |
0,10 |
6,25 |
50 |
0,39 |
0,78 |
| Соед.7 |
|
|
|
|
|
|
|
|
| Соед.8 |
0,20 |
1,56 |
0,39 |
0,39 |
0,78 |
6,25 |
0,39 |
3,13 |
| Соед.9 |
0,05 |
0,78 |
0,20 |
0,05 |
1,56 |
3,13 |
0,2 |
0,20 |
| Соед.10 |
0,006 |
0,20 |
0,05 |
0,025 |
0,05 |
1,56 |
0,05 |
0,10 |
| Соед.11 |
0,10 |
1,56 |
0,78 |
0,39 |
1,56 |
6,25 |
0,39 |
3,13 |
| Соед.12 |
0,05 |
0,78 |
0,10 |
0,10 |
0,20 |
1,56 |
0,20 |
0,39 |
| Соед.13 |
0,10 |
0,78 |
|
0,10 |
|
12,5 |
0,39 |
0,78 |
| Соед.14 |
0,78 |
6,25 |
|
0,39 |
|
6,25 |
1,56 |
3,13 |
| Соед.15 |
0,20 |
1,56 |
0,39 |
0,20 |
|
6,25 |
0,39 |
1,56 |
| Таблица 8 |
| Антибактериальная активность в отношении Micobacterium tuberculosis (резистентной к RFP) 2 |
| |
Резистентная к RFP M.tuberculosis________________________ |
| No.44 |
No.45 |
No.47 |
No.50 |
No.51 |
No.56 |
No.71 |
No.97 |
| OFLX |
2,0 |
3,20 |
8,0 |
1,0 |
4,0 |
16 |
4,0 |
16 |
| |
|
|
|
|
|
|
|
|
| Соед.16 |
0,25 |
4,0 |
0,50 |
0,12 |
0,5 |
64 |
0,50 |
1,0 |
| Соед.17 |
0,50 |
8,0 |
1,0 |
0,25 |
1,0 |
32 |
1,0 |
2,0 |
| Соед.18 |
0,25 |
4,0 |
1,0 |
0,25 |
0,50 |
64 |
1,0 |
2,0 |
| Соед.19 |
0,39 |
3,13 |
|
0,2 |
0,78 |
50 |
1,56 |
1,56 |
| Соед.20 |
0,39 |
6,25 |
|
0,39 |
0,78 |
50 |
1,56 |
1,56 |
| Соед.21 |
0,39 |
3,13 |
|
0,39 |
0,78 |
25 |
1,56 |
1,56 |
| Соед.22 |
0,78 |
25 |
|
0,78 |
1,56 |
100 |
3,13 |
6,25 |
| Соед.23 |
1,56 |
25 |
|
1,56 |
6,25 |
100 |
12,5 |
12,5 |
| Соед.24 |
0,78 |
12,5 |
|
0,39 |
1,56 |
50 |
3,13 |
3,13 |
| Соед.25 |
0,2 |
1,56 |
|
0,1 |
0,2 |
6,25 |
0,39 |
0,78 |
| Соед.26 |
0,1 |
1,56 |
|
0,1 |
0,2 |
12,5 |
0,78 |
0,78 |
| Соед.27 |
0,1 |
1,56 |
|
0,1 |
0,2 |
6,25 |
0,39 |
0,78 |
| Соед.28 |
0,2 |
3,13 |
|
0,2 |
0,78 |
12,5 |
1,56 |
1,56 |
Испытание на острую токсичность на мышах
Методика испытания
В качестве животных для испытания использовали мышей-самцов Slc:ddY 5-недельного возраста. Для растворения соединений использовали 0,1 моль/л NaOH (в физиологическом растворе). Мышам вводили объемную дозу 10 мл/кг внутривенно со скоростью 0,1 мл/30 секунд.
Испытание на микронуклеусе в периферической крови
Методика испытания
Используемые животные и способ введения аналогичны тем, которые использованы в испытании на острую токсичность. Образцы приготавливали путем взятия проб крови по 5 мкл каждая из хвостовой вены через 24 и 48 часов после введения, нанесения капель крови на предметное стекло, на которое предварительно был нанесен 0,1%-ный раствор акридинового оранжевого, немедленного закрытия предметного стекла покровным стеклом и выдержки в холодильнике в течение 24 часов. Под флюоресцентным микроскопом в образце крови определяли 1000 ретикулоцитов (RC) на отдельную пробу периферической крови и подсчитывали среди них ретикулоциты, имеющие микронуклеус (MNRS).
Результаты испытания на острую токсичность на мышах и испытания на микронуклеусе в периферической крови показаны в таблице 9.
| Таблица 9 |
| Соед № |
Концентрация (мг/кг) |
Смертность (мертвых/испытание) |
MNRC(%) среднее±ср.кв.__ |
| 24 часа |
48 часов |
| 15 |
50 |
0/5 |
0,20±0,04 |
0,14±0,04 |
| 16 |
150 |
0/5 |
0,05±0,03 |
0,12±0,02 |
| 27 |
100 |
0/5 |
0,20±0,03 |
0,18±0,04 |
После введения соединений 15, 16 и 27 из соединений, проявляющих высокую активность против атипичных кислотоустойчивых бактерий и Micobacterium tuberculosis, все мыши остались живыми и острая токсичность указанных соединений была относительно низкой. Кроме того, соединение 15, 16 или 27 показало низкую индукцию микронуклеуса (необработанная контрольная группа: 0,12±0,08).
Промышленное применение
Соединения по настоящему изобретению проявляют высокую антибактериальную активность широкого спектра, показывая, в частности, высокую антибактериальную активность даже в отношении резистентной к рифампицину (RFP) Micobacterium tuberculosis, а также обладают хорошей фармакокинетикой и безопасностью. Следовательно, они полезны как соединения против кислотоустойчивых бактерий.
Формула изобретения
1. Средство против кислотоустойчивых бактерий, содержащее в качестве активного компонента соединение, представленное следующей общей формулой (1), его соль или его гидрат

где R2 представляет атом водорода;
R3 представляет атом водорода;
А1, А2 и А3 образуют неполную структуру

где А1 представляет неполную структуру

и где X2 и описанный выше R1 могут быть объединены с образованием шестичленной циклической структуры, включающей часть исходного ядра, причем образованное при этом кольцо может содержать атом кислорода и, кроме того, может иметь в качестве заместителя алкильную группу, имеющую 1-6 углеродных атомов;
X1 представляет атом галогена, атом водорода или аминогруппу;
Y представляет атом водорода;
Z представляет неполную структуру

2. Средство против кислотоустойчивых бактерий по п.1, в котором соединение представлено формулой:

где X1 определен в п.1, его соль или его гидрат.
3. Средство против кислотоустойчивых бактерий по п.2, в котором соединением является 9-фтор-2,3-дигидро-3-(S)-метил-7-оксо-10-[3-(S)-фенил-1-пиперазинил]-7Н-пиридо[1,2,3-de][1,4]бензоксазин-6-карбоновая кислота, ее соль или гидрат.
|
|