Патент на изобретение №2297417
|
|||||||||||||||||||||||||||||||||||||||||||||||||||||||||||||||||||||||||||||||||||||||||||||||||||||||||||||||||||||||||||
(54) ПРОИЗВОДНЫЕ ПИРИДО(2,1-А)ИЗОХИНОЛИНА В КАЧЕСТВЕ ИНГИБИТОРОВ DPP-IV
(57) Реферат:
Описываются производные пиридо(2,1-а)изохинолина формулы (I):
где R1 означает (низш.)алкил, фенил, фенил, моно-, ди- или тризамещенный (низш.)алкилом или (низш.)алкокси, пирролил, пиридинил или (низш.)алкил, замещенный циклоалкилом или фенилом, R2, R3 и R4 каждый независимо означает водород, галоген, гидрокси, (низш.)алкокси или (низш.)алкенил, причем (низш.)алкокси и (низш.)алкенил необязательно замещены группами (низш.)алкоксикарбонил, фенил, фенил, замещенный ди(низш.)алкиламином или цианогруппой, замещенный (низш.)алкилом тиазолил, пиридинил или морфолино, R5 означает водород, (низш.)алкил или фенил, необязательно замещенный галогеном, (низш.)алкоксигруппой или гидрокси, R6 означает водород, (низш.)алкил или гидрокси(низш.)алкил, или R5 и R6 вместе с атомами углерода, к которым они присоединены, образуют фенантридин, R7 означает водород или (низш.)алкил. Описывается способ получения соединений формулы (I), фармацевтическая композиция. Соединения применяются для лечения или профилактики заболеваний, ассоциированных с ферментом DPP-IV, таких как диабет, прежде всего инсулиннезависимый сахарный диабет и нарушенная толерантность к глюкозе. 5 н. и 16 з.п. ф-лы, 1 табл.
(56) (продолжение): CLASS=”b560m”Photoaffinity labeling of the tetrabenazine binding sites of bovine chromaffin granule membranes. Biochemistry. Vol.24, No 14, july 2, 1985, p.3660-3667. Chemical Abstractes. Vol.78, no. 7, abstract 43232e, 9.02.1973. Chemical Abstractes. Vol.54, no. 13, abstract 13128a, 10.07.1960. RU 2144027 C1, 10.01.2000.
Новые производные пиридо[2,1-а]изохинолина Настоящее изобретение относится к новым производным пиридо[2,1-а]изохинолина, к их получению и их применению в качестве лекарственных средств. Изобретение прежде всего относится к соединениям формулы (I)
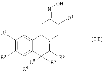
где R1 означает (низш.)алкил, арил, гетероарил или (ниш.)алкил, замещенный группами циклоалкил, арил или гетероарил, R2, R3 и R4 каждый независимо означает водород, галоген, гидрокси, (низш.)алкил, (низш.)алкокси или (низш.)алкенил, причем (низш.)алкил, (низш.)алкокси и (низш.)алкенил необязательно замещены группами (низш.)алкоксикарбонил, арил или гетероциклил, R5 означает водород, фтор, (низш.)алкил или арил, R6 означает водород, (низш.)алкил или гидрокси(низш.)алкил, или R5 и R6 вместе с атомами углерода, к которым они присоединены, образуют 5- или 6-членный насыщенный углеродный цикл, R7 означает водород, фтор или (низш.)алкил, и к их фармацевтически приемлемым солям. Фермент дипептидиламинопептидаза IV (ЕС.3.4.14.5, сокращенно DPP-IV) принимает участие в регуляции активности ряда гормонов. DPP-IV прежде всего эффективно и быстро гидролизует глюкагонподобный пептид 1 (GLP-1), который является одним из наиболее активных стимуляторов продуцирования и секреции инсулина. При ингибировании DPP-IV происходит стимуляция действия эндогенного GLP-1 и повышение концентрации инсулина. У пациентов с нарушенной толерантностью к глюкозе и сахарным диабетом типа 2 более повышенная концентрация инсулина снижает интенсивность гипергликемии и, соответственно, снижает риск повреждения ткани. Таким образом, ингибиторы DPP-IV предлагается использовать в качестве перспективных лекарственных средств для лечения нарушенной толерантности к глюкозе и сахарного диабета типа 2 (например, Vilhauer, WO 98/19998). В статье Buzas и др., Lab. Chim. Org. V, Fac. Sci., Orleans, Fr. Chim. Ther. 7(5), 404-407 (1992) описан синтез соединений, приведенных ниже в примерах 41 и 42, однако не описано из применение в медицине. Нами разработаны новые ингибиторы DPP-IV, которые чрезвычайно эффективно снижают уровень глюкозы в плазме (крови). Следовательно, соединения по настоящему изобретению могут применяться для лечения и/или профилактики диабета, прежде всего инсулиннезависимого сахарного диабета и/или нарушенной толерантности к глюкозе, а также других состояний, при которых лечебное действие оказывается благодаря усилению действия пептида, обычно инактивируемого ферментом DPP-IV. Неожиданно установлено, что соединения по настоящему изобретению могут также применяться для лечения и/или профилактики заболевания пищеварительного тракта, неспецифического язвенного колита, болезни Крона, ожирения и/или метаболического синдрома. Кроме того, соединения по настоящему изобретению можно использовать в качестве мочегонных агентов и для лечения и/или профилактики гипертензии. Неожиданно оказалось, что соединения по настоящему изобретению проявляют улучшенные терапевтические и фармакологические свойства, такие, например, в контексте фармакинетики и биодоступности, по сравнению с другими известными ингибиторами DPP-IV. Если не указано иное, термины, используемые в описании, имеют следующие значения. Термин «низш.», используемый в описании, означает группу, содержащую от одного до шести, предпочтительно от одного до четырех атомов углерода. Термин «галоген» означает фтор, хлор, бром и иод, прежде всего хлор. Термин «алкил», используемый отдельно или в комбинации с другими группами, означает разветвленный или прямой одновалентный насыщенный алифатический углеводородный радикал, содержащий от 1 до 20, предпочтительно от 1 до 16 атомов углерода, более предпочтительно от 1 до 10 атомов углерода. Термин «(низш.)алкил», используемый отдельно или в комбинации с другими группами, означает разветвленный или прямой одновалентный алкильный радикал, содержащий от 1 до 6 атомов углерода, предпочтительно от 1 до 4 атомов углерода. Примеры (низш.)алкильных радикалов включают метил, этил, н-пропил, изопропил, н-бутил, втор-бутил, изобутил, трет-бутил, н-пентил, 3-метилбутил, н-гексил, 2-этилбутил и т.п. Термин «циклоалкил» означает одновалентный карбоциклический радикал, содержащий от 3 до 6 атомов углерода. Примеры циклоалкильных радикалов включают циклопропил, циклобутил, циклопентил и циклогексил, предпочтительно циклопропил. Термин «алкокси» означает группу R’-O-, где R’ означает алкил. Термин «(низш.)алкокси» означает группу R’-O-, где R’ означает (низш.)алкил. Примерами (низш.)алкоксигрупп являются, например, метокси, этокси, пропокси, изопропокси, бутокси, изобутокси и гексилокси, прежде всего метокси. Термин «(низш.)алкоксикарбонил» означает группу R’-O-C(O)-, где R’ означает (низш.)алкил. Термин «гетероциклил» означает 5- или 6-членный ароматический или насыщенный N-гетероциклический остаток, необязательно содержащий атом азота или кислорода, такой как имидазолил, пиразолил, тиазолил, фенил, пиридил, пиримидил, морфолино, пиперазино, пиперидино или пирролидино, предпочтительно пиридил, тиазолил или морфолино. Такие гетроциклические циклы необязательно и независимо моно-, ди- или тризамещены группами (низш.)алкил, (низш.)алкокси, галоген, циано, азидо, амино, ди(низш.)алкиламино или гидрокси. Предпочтительным заместителем является (низш.)алкил, более предпочтительно метил. Термин “арил” означает ароматический одновалентный моно- или поликарбоциклический радикал, такой как фенил или нафтил, предпочтительно фенил, необязательно и независимо моно-, ди- или тризамещены группой (низш.)алкил, (низш.)алкокси, галоген, циано, азидо, амино, ди(низш.)алкиламино или гидрокси. Термин «гетероарил» означает 5- или 6-членный ненасыщенный ароматический одновалентный циклический радикал, содержащий от одного до трех, предпочтительно один или два гетероатома, независимо выбранные из атомов азота, серы и кислорода, предпочтительно азота. Примеры гетероарильных радикалов включают пирролил, пиридинил и пиримидинил, предпочтительно пирролил и пиридинил. Указанные гетероарильные остатки независимо моно-, ди- или тризамещены группой галоген, амино, перфтор(низш.)алкил, (низш.)алкил или (низш.)алкокси. Термин «фармацевтически приемлемые соли» включает соли соединений формулы (I) неорганических или органических кислот, таких, как хлористоводородная кислота, бромистоводородная кислота, азотная кислота, серная кислота, фосфорная кислота, лимонная кислота, муравьиная кислота, малеиновая кислота, уксусная кислота, фумаровая кислота, янтарная кислота, винная кислота, метансульфоновая кислота, салициловая кислота, пара-толуолсульфоновая кислота и т.п., которые являются нетоксичными в организме пациента. Предпочтительными солями являются формиаты, малеаты, цитраты, гидрохлориды, гидробромиды, метансульфонаты, более предпочтительны гидрохлориды. Один вариант настоящего изобретения относится к соединению формулы (I), указанному выше, где R1 означает (низш.)алкил, арил или (низш.)алкил, замещенный группами циклоалкил или арил, R2, R3 и R4 каждый независимо означает водород, гидрокси, (низш.)алкил, (низш.)алкокси и (низш.)алкенил, причем (низш.)алкил, (низш.)алкокси или (низш.)алкенил необязательно замещены группами (низш.)алкоксикарбонил, арил или гетероциклил, R5 и R6 каждый независимо означает водород, (низш.)алкил, арил, или R5 и R6 вместе с атомами атомами углерода, к которым они присоединены, образуют пяти- или шестичленный насыщенный карбоциклический цикл, и к его фармацевтически приемлемым солям. Другой вариант настоящего изобретения относится к соединению формулы (I), указанному выше, где R1 означает (низш.)алкил, фенил или циклоалкил(низш.)алкил, R2, R3 и R4 каждый независимо означает водород, гидрокси, (низш.)алкокси или (низш.)алкокси, замещенный группами арил, гетероциклил или (низш.)алкоксикарбонил. Предпочтительно арильные остатки в R2, R3 и R4 означают фенил или фенил, замещенный группами ди(низш.)алкиламино или циано. Предпочтительно гетероциклильные остатки в R2, R3 и R4 означают морфолино, пиридил, тиазолил или тиазолил, замещенный группой (низш.)алкил. Предпочтительно (низш.)алкоксикарбонильные остатки в R2, R3 и R4 означают этоксикарбонилметокси. Еще один вариант настоящего изобретения относится к соединению формулы (I), указанному выше, где R1 означает (низш.)алкил, фенил, фенил, замещенный группой (низш.)алкил или (низш.)алкокси, или R1 означает гетероарил, такой как пирролил и пиридинил, или циклоалкил(низш.)алкил, R2, R3 и R4 каждый независимо означает водород, гидрокси, (низш.)алкокси или (низш.)алкокси, замещенный группами арил, гетероциклил или (низш.)алкоксикарбонил, R5 означает водород, (низш.)алкил или фенил, моно- или замещенный группой (низш.)алкил, (низш.)алкокси или галоген, R6 означает водород, (низш.)алкил или гидрокси(низш.)алкил, или R5 и R6 вместе с атомами углерода, к которым они присоединены, образуют пяти- или шестичленный насыщенный карбоциклический цикл, a R7 означает водород или (низш.)алкил. В еще одном варианте остаток R1 означает (низш.)алкил или (низш.)алкил, замещенный циклоалкилом, предпочтительно циклопропилом. Предпочтительно (низш.)алкильные остатки R1 означают н-пропил, н-бутил, изобутил, 3-метилбутил и 2-этилбутил, наиболее предпочтительны н-пропил, н-бутил и 3-метилбутил. Предпочтительно (низш.)алкил, замещенный циклоалкилом, означает циклопропилметил. В другом варианте остаток R1 означает арил, предпочтительно фенил. Арильные остатки R1 независимо моно-, ди- или тризамещены группой (низш.)алкил, (низш.)алкокси или гидрокси, предпочтительно (низш.)алкил или (низш.)алкокси. Предпочтительно арильные остатки R1 не замещены. В еще одном варианте остаток R1 означает гетероарил, выбранный из группы, включающей пиридинил, пиримидинил и пирролил. Предпочтительными гетероарильными остатками R1 являются пиридинил или пирролил. Указанные гетероарильные остатки R1 независимо моно-, ди- или тризамещены группой (низш.)алкил, (низш.)алкокси или гидрокси, предпочтительно (низш.)алкил или (низш.)алкокси. Предпочтительно гетероарилиные остатки R1 не замещены. Наиболее предпочтительно R1 означает (низш.)алкил, предпочтительно н-бутил или незамещенный фенил. В другом предпочтительном варианте R2 означает (низш.)алкокси, предпочтительно метокси, водород или гидрокси. Наиболее предпочтительно остаток R2 означает метокси. В еще одном варианте остаток R3 означает (низш.)алкокси, предпочтительно метокси, этокси, пропокси, н-бутокси и изобутокси, водород, гидрокси, или (низш.)алкокси, предпочтительно метокси или этокси, замещенный группами арил, гетероциклил или (низш.)алкоксикарбонил. Предпочтительные арильные заместители в R3 означают незамещенный фенил или фенил, монозамещенный группой ди(низш.)алкиламино, предпочтительно диметиламино, или группой циано. Наиболее предпочтительным арильным заместителем в R3 является незамещенный фенил. Более предпочтительно остатки R3 означают (низш.)алкокси, предпочтительно метокси, водород или гидрокси. Наиболее предпочтительно остаток R3 означает метокси или гидрокси, прежде всего предпочтителен метокси. В еще одном предпочтительном варианте R4 означает (низш.)алкокси, предпочтительно метокси, водород или гидрокси. Наиболее предпочтительно остаток R4 означает водород. В еще одном варианте R5 означает водород, (низш.)алкил, предпочтительно метил или арил. Предпочтительные арильные остатки R5 означают незамещенный фенил или фенил, независимо моно-, ди- или тризамещенный группой (низш.)алкил, (низш.)алкокси или галоген. Наиболее предпочтительный арильный остаток R5 означает незамещенный фенил. В еще одном варианте R6 означает водород, (низш.)алкил, предпочтительно метил или гидрокси(низш.)алкил, предпочтительно 2-гидроксиэтил. Предпочтительно R6 означает водород. В другом варианте R5 и R6 означают водород или вместе с атомами углерода, к которым они присоединены, образуют шестичленный насыщенный карбоциклический цикл. В еще одном варианте R7 означает водород, а в другом варианте R7 означает (низш.)алкил, предпочтительно метил. Предпочтительными вариантами настоящего изобретения являются соединения формулы (I), а также фармацевтически приемлемые соли соединений формулы (I). Предпочтительные соединения формулы (I) выбирают из группы, включающей рац-9,10-диметокси-3 рац-9,10-диметокси-3 рац-3 рац-7 гидрохлорид рац-3 гидрохлорид рац-9,10-диметокси-3 гидрохлорид рац-7 гидрохлорид рац-2 гидрохлорид рац-2 рац-2 рац-2 рац-9,10-диметокси-3 и их фармацевтически приемлемые соли. Кроме того, предпочтительные соединения общей формулы (I) выбирают из группы, включающей: рац-9,10-диметокси-3 рац-9,10-диметокси-3 рац-9,10-диметокси-3 гидрохлорид рац-9,10-диметокси-3 гидрохлорид рац-9,10-диметокси-3 гидрохлорид рац-9,10-диметокси-3 гидрохлорид рац-9,10-диметокси-3 гидрохлорид рац-9,10-диметокси-3 гидрохлорид рац-9,10-диметокси-3 рац-4-(2 рац-3 рац-3 рац-3 рац-3 рац-3 рац-3 рац-7 рац-7 рац-3 рац-7 рац-9,10-диметокси-3 рац-9,10-диметокси-3 9,10-диметокси-3 9,10-диметокси-3 9,10-диметокси-3 9,10-диметокси-3 (6S)-(2-амино-3-бутил-9,10-диметокси-1,3,4,6,7,11b-гексагидро-2Н-пиридо[2,1-а]изохинолин-6-ил)метанол, гидрохлорид рац-4-(2 гидрохлорид рац-4-(2 гидрохлорид рац-3 гидрохлорид рац-3 гидрохлорид рац-3 гидрохлорид рац-3 гидрохлорид рац-3 гидрохлорид рац-3 гидрохлорид рац-3 гидрохлорид рац-3 гидрохлорид рац-3 гидрохлорид рац-3 гидрохлорид рац-3 гидрохлорид рац-7 гидрохлорид рац-7 гидрохлорид рац-3 и их фармацевтически приемлемые соли. Кроме того, предпочтительные соединения общей формулы (I) выбирают из группы, включающей: рац-9,10-диметокси-3 рац-7 гидрохлорид рац-3 гидрохлорид рац-7 гидрохлорид рац-2 рац-2 рац-9,10-диметокси-3 и их фармацевтически приемлемые соли. Более предпочтительные соединения общей формулы (I) выбирают из группы, включающей: рац-9,10-диметокси-3 рац-9,10-диметокси-3 рац-9,10-диметокси-3 9,10-диметокси-3 9,10-диметокси-3 9,10-диметокси-3 9,10-диметокси-3 и их фармацевтически приемлемые соли. Наиболее предпочтительные соединения общей формулы (I) выбирают из группы, включающей: 9,10-диметокси-3 9,10-диметокси-3 9,10-диметокси-3 9,10-диметокси-3 и их фармацевтически приемлемые соли. Соединения формулы (I) могут содержать один или более асимметрических атомов углерода и могут существовать в форме оптически чистых энантиомеров или рацематов. Изобретение включает все указанные формы. Соединения общей формулы (I) можно модифицировать по функциональным группам с образованием производных, которые могут превращаться в исходные соединения in vivo. Настоящее изобретение относится также к способу получения соединений формулы (I), указанных выше, который включает восстановление оксима формулы (II)
где R1, R2, R3, R4, R5, R6 и R7 имеют значения, указанные выше, и необязательно последующее превращение в его фармацевтически приемлемую соль. Гидрирование вышеуказанного оксима формулы (II) проводят известными методами. Например, реакцию проводят в присутствии катализатора, такого как никель Ренея, платина или палладий, в инертном растворителе, таком как этанол, при температуре от приблизительно 20°С до 80°С. Гидроксигруппы в соединениях формулы (II) могут присутствовать в защищенной форме, например, в форме бензилового эфира. Такие защитные группы можно удалить известным методом, например, в случае бензилового эфира каталитическим гидрированием. Оксимы формулы (II) являются известными соединениями или их можно получить из кетонов формулы III известными методами, представленными в примерах, или аналогично тому, как описано ниже. Соединения формулы (III)
где R1, R2, R3, R4, R5, R6 и R7 имеют значения, указанные выше, можно получить при взаимодействии соединения формулы (IV)
где R2, R3, R4, R5, R6 и R7 имеют значения, указанные выше, с соединением формулы (V)
где R1 имеет значения, указанные выше, или с соединением формулы (VI)
где R1 имеет значения, указанные выше. Соединения формулы (IV) являются известными соединениями или их можно получить окислением соединений формулы (VIII)
где R2, R3, R4, R5, R6 и R7 имеют значения, указанные выше, известными методами, представленными в примерах, или аналогично тому, как описано ниже. В другом варианте соединения формулы (VII)
где R1, R2, R4, R5, R6 и R7 имеют значения, указанные выше, а Р означает аминозащитную группу, вводят в реакцию со спиртом R-OH, где R означает (низш.)алкил, замещенный группой арил, гетероциклил или (низш.)алкоксикарбонил, в присутствии трифенилфосфина и ди-трет-бутилазодикарбоксилата, а затем удаляют защитную группу. В еще одном варианте изобретения соединения формулы (III), где R1 означает арил или гетероарил, получают при взаимодействии соединения формулы (III), где R2, R3, R4, R5, R6 и R7 имеют значения, указанные выше, а R1 означает водород (R1=Н), с арилгалогенидом или, соответственно, с гетроарилгалогенидом R-X, где R означает арил или гетероарил, а Х означает хлор, бром, иод или трифлат, в присутствии катализатора на основе палладия, такого как ацетат палладия, или комплекс тетракис-трифенилфосфин/палладий, лиганда, такого как три-трет-бутилфосфин или другие фосфины, и основания, такого, как трет-бутоксид натрия, в инертном растворителе, таком как ТГФ, при умеренной температуре от 20°С до 100°С (аналогично методу, описанному J.M.Fox, X.Huang, A.Chieffi, S.L.Buchwald, J. Am. Chem. Soc., 122, 1360-1370 (2000), и M.Kawatsura и J.F.Hartwig, J. Am. Chem. Soc., 121, 1473-1478 (1999)). Предпочтительными аминозащитными группами являются трет-бутилоксикарбонил (Boc), бензилоксикарбонил (Z) и 9-флуоренилметилоксикарбонил (Fmoc), прежде всего предпочтителен трет-бутилоксикарбонил (Boc). Удаление защитной группы проводят известными методами. Кроме того, изобретение относится к соединениям формулы (I), описанным выше, которые получены способом, описанным выше. Как описано выше, соединения формулы (I) по настоящему изобретению могут применяться в качестве лекарственных средств для лечения и/или профилактики заболеваний, ассоциированных с ферментом DPP-IV, таких как диабет, прежде всего инсулиннезависимый сахарный диабет, нарушенная толерантность к глюкозе, заболевание пищеварительного тракта, неспецифический язвенный колит, болезнь Крона, ожирение и/или метаболический синдром, предпочтительно инсулиннезависимый сахарный диабет и нарушенная толерантность к глюкозе. Кроме того, соединения по настоящему изобретению можно использовать в качестве мочегонных агентов или для лечения и/или профилактики гипертензии. Изобретение также относится к фармацевтическим композициям, включающим указанное выше соединение и фармацевтически приемлемый носитель и/или адъювант. Кроме того, изобретение относится к вышеуказанным соединениям для применения в качестве терапевтически активных веществ, прежде всего в качестве терапевтически активных веществ для лечения и/или профилактики заболеваний, ассоциированных с ферментом DPP-IV, таких как диабет, прежде всего инсулиннезависимый сахарный диабет, нарушенная толерантность к глюкозе, заболевание пищеварительного тракта, неспецифический язвенный колит, болезнь Крона, ожирение и/или метаболический синдром, предпочтительно инсулиннезависимый сахарный диабет и нарушенная толерантность к глюкозе. Кроме того, изобретение относится к вышеуказанным соединениям для применения в качестве мочегонных агентов или для лечения и/или профилактики гипертензии. В еще одном варианте изобретение относится к способу лечения и/или профилактики заболеваний, ассоциированных с ферментом DPP-IV, таких как диабет, прежде всего инсулиннезависимый сахарный диабет, нарушенная толерантность к глюкозе, заболевание пищеварительного тракта, неспецифический язвенный колит, болезнь Крона, ожирение и/или метаболический синдром, предпочтительно инсулиннезависимый сахарный диабет и нарушенная толерантность к глюкозе, причем указанный способ включает введение вышеуказанного соединения человеку или животному. Кроме того, изобретение относится к способу лечения и/или профилактики, указанному выше, где заболевание означает гипертензию или где лечебное действие достигается при использовании мочегонного агента. Кроме того, изобретение относится к применению вышеуказанных соединений для лечения и/или профилактики заболеваний, ассоциированных с ферментом DPP-IV, таких как диабет, прежде всего инсулиннезависимый сахарный диабет, нарушение усвоения глюкозы, заболевание пищеварительного тракта, неспецифический язвенный колит, болезнь Крона, ожирение и/или метаболический синдром, предпочтительно инсулиннезависимый сахарный диабет и нарушение усвоения глюкозы. Кроме того, изобретение относится к применению, указанному выше, где заболевание означает гипертензию, или к применению в качестве мочегонного агента. Кроме того, изобретение относится к применению вышеуказанных соединений для получения лекарственных средств, предназначенных для лечения и/или профилактики заболеваний, ассоциированных с ферментом DPP-IV, таких как диабет, прежде всего инсулиннезависимый сахарный диабет, нарушенная толерантность к глюкозе, заболевание пищеварительного тракта, неспецифический язвенный колит, болезнь Крона, ожирение и/или метаболический синдром, предпочтительно инсулиннезависимый сахарный диабет и нарушенная толерантность к глюкозе. Такие лекарственные средства включают соединения, указанные выше. Кроме того, изобретение относится к применению, указанному выше, где заболевание означает гипертензию, или к применению для получения мочегонных агентов. В связи с указанными выше способами и применениями предпочтительными заболевания являются: диабет, прежде всего инсулиннезависимый сахарный диабет, нарушенная толерантность к глюкозе, ожирение и/или метаболический синдром, предпочтительно инсулиннезависимый сахарный диабет и/или нарушенная толерантность к глюкозе. Соединения формулы (I) получают по методам, описанным ниже, по методам, приведенным в примерах, или аналогичными методами. Оптимальные условия отдельных стадий реакции известны специалисту в данной области. Исходные материалы являются коммерческими препаратами или их получают аналогично тому, как описано выше, указано в примерах или известными методами. Активность соединений формулы (I) определяют по следующей методике. Активность ингибиторов DPP-IV определяют при использовании нативного DPP-IV человека, выделенного из плазмы (крови) человека, или рекомбинантного DPP-IV человека. Обработанную цитратом плазму (крови) человека, полученную от различных доноров, объединяют, фильтруют через мембрану с диаметром пор 0,2 мкм в стерильных условиях, аликвотные части объемом 1 мл быстро замораживают и хранят при -120°С до проведения анализа. При колориметрическом анализе в качестве источника фермента DPP-IV используют от 5 до 10 мкл плазмы (крови) человека, а при флуориметрическом анализе 1,0 мкл плазмы (крови) человека, при этом общий объем реакционной смеси составляет 100 мкл кДНК, кодирующую аминокислотную последовательность 31-766 DPP-IV, не содержащую N-концевого домена и трансмембранного домена, клонируют в дрожжах (Pichia pastoris). DPP-IV человека экспрессируют и выделяют из культуральной среды хроматографией на колонке, включая гельпроникающую и анионо- и катионообменную хроматографию. По результатам электрофореза в ДДС-ПААГ при окрашивании кумаси голубым степень очистки полученного препарата фермента составляет >95%. При колориметрическом анализе DPP-IV в качестве источника фермента используют 20 нг рекомбинантного DPP-IV человека, а при флуориметрическом анализе 2 нг рекомбинантного DPP-IV человека в общем объеме реакционной смеси 100 мкл. При флуорогенном анализе в качестве субстрата используют ала-про-7-амидо-4-трифторметилкумарин (фирма Calbiochem, кат. №125510). Исходный 20 мМ раствор субстрата в 10% ДМФА/Н2О хранят при -20°С. При определении IC50 конечная концентрация субстрата составляет 50 мкМ. При определении кинетических параметров, таких как Km, Vmax, Кi, концентрация субстрата составляет от 10 мкМ до 500 мкМ. При колориметрическом анализе в качестве субстрата используют ала-про-pNA·HCl (фирма Bachem L-1115). Исходный 10 мМ раствор субстрата в 10% МеОН/Н2О хранят при -20°С. При определении IC50 конечная концентрация субстрата составляет 200 мкМ. При определении кинетических параметров, таких как Кm, Vmax, Кi, концентрация субстрата составляет от 100 мкМ до 2000 мкМ. Флуоресценцию определяли на люминесцентном спектрофлуориметре LS 50В (фирма Perkin Elmer) при волне возбуждения 400 нм и волне испускания 505 нм, причем измерение проводят каждые 15 с в течение от 10 до 30 мин. Константы исходной скорости рассчитывают методом оптимальной линейной регрессии. Поглощение pNA, высвождающегося из колориметрического сустрата, определяют на спектрометре SrectraCount (фирма Packard) при 405 нм, причем измерение проводят каждые 2 мин в течение от 30 до 100 мин. Константы исходной скорости рассчитывают методом оптимальной линейной регрессии. Активность DPP-IV определяют в 96-луночных планшетах при 37°С в общем обхеме реакционной смеси 100 мкл. Буферный раствор для анализа включает 50 мМ трис/HCl, рН 7,8, содержащий 9,1 мг/мл БСА и 100 мМ NaCl. Анализируемые соединения растворяют в 100% ДМСО и разбавляют до требуемой концентрации 10% ДМСО/Н2О. Конечная концентрация ДМСО в реакционной смеси составляет 1%. (об./об.). При этой концентрации инактивация фермента под действием ДМСО составляет <5%. Соединения анализируют с использованием предварительной инкубации с ферментом (37°С, 10 мин) и без предварительной инкубации. Реакцию инициируют добавлением субстрата с последующим перемешиванием. Величины IC50 анализируемых соединений рассчитывают методом нелинейной регрессии при ингибировании DPP-IV по меньшей мере при пяти концентрациях анализируемого соединения. Кинетические параметры ферментативной реакции рассчитывают по меньшей мере при пяти различных концентрациях субстрата и по меньшей мере при пяти различных концентрациях анализируемого соединения. Как показано в таблице, предпочтительные соединения по настоящему изобретению характеризуются значениями IC50 от 1 нМ до 10 мкМ, более предпочтительные 1-100 нМ.
Соединения формулы (I) и/или их фармацевтически приемлемые соли могут использоваться в качестве лекарственных средств, например, в форме фармацевтических препаратов для энтерального, парентерального и местного введения. Соединения можно вводить, например, пероральным способом, например, в форме таблеток, таблеток в оболочке, драже, твердых и мягких желатиновых капсул, растворов, эмульсий или суспензий, ректальным способом в форме суппозиториев, парентеральным способом, например, в форме инъекционных растворов или растворов для вливания, местным способом, например, в форме мазей, кремов или масел. Предпочтителен пероральный способ. Фармацевтические препараты получают известным способом, например, переработкой указанных соединений формулы I и/или их фармацевтически приемлемых солей, необязательно в комбинации с другими терапевтически ценными соединениями, в смеси с пригодными, нетоксичными, инертными и терапевтически приемлемыми твердыми или жидкими носителями и при необходимости фармацевтическими адъювантами, в готовую галеновую форму. Пригодные носители включают как неорганические, так и органические материалы. Так, например, при получении таблеток, таблеток в оболочке, драже и твердых желатиновых капсул в качестве носителей используются лактоза, кукурузный крахмал или его производные, тальк, стеариновая кислота или ее соли. Пригодными носителями для мягких желатиновых капсул являются, например, растительные масла, воски, жиры и полутвердые или жидкие полиолы (причем в зависимости от природы активного соединения в случае мягких желатиновых капсул обычно не требуется никаких носителей). Пригодными носителями для получения растворов и сиропов являются, например, вода, полиолы, сахароза, инвертированый сахар и т.п. Пригодными носителями для инъекционных растворов являются, например, вода, спирты, полиолы, глицерин и растительные масла. Пригодными носителями для суппозиториев являются, например, природные или отвержденные масла, воски, жиры и полужидкие или жидкие полиолы. Пригодными носителями для препаратов местного применения являются глицериды, полусинтетические и синтетические глицериды, гидрогенированные масла, жидкие воски, жидкие парафины, жидкие высшие спирты, стеролы, полиэтиленгликоли и производные целлюлозы. В качестве фармацевтических адъювантов используются различные стабилизаторы, консерванты, смачивающие и эмульгирующие агенты, агенты, улучшающие консистенцию, ароматизаторы, соли для регуляции осмотического давления, буферные вещества, солюбилизирующие агенты, красители, маскирующие агенты и антиоксиданты. Дозы соединения формулы I могут варьировать в зависимости от излечиваемого заболевания, возраста и относительного состояния здоровья пациента, способа введения, и должны соответствовать индивидуальным требованиям в каждом конкретном случае. Для взрослых пациентов суточная доза составляет от приблизительно 1 до 1000 мг, предпочтительно от приблизительно 1 до 100 мг. В зависимости от тяжести заболевания и конкретного фармакокинетического профиля соединение можно вводить в виде одной или нескольких стандартных доз, например, от 1 до 3 стандартных доз. Фармацевтические препараты обычно содержат приблизительно 1-500 мг, предпочтительно 1-100 мг соединения формулы I. Изобретение иллюстрируется следующими примерами, не ограничивающими его объем. Примеры Сокращения: МС масс-спектрометрия, термин ISP = ion spray (ионное распыление, положительный ион) соответствует термину ESI (electrospray, электрораспыление, положительный ион), tкип. температура кипения, tпл. температура плавления, КТ – комнатная температура. Пример 1 рац-3 (I) К раствору 6,8 г 3,4-дигидро-6,7-диметоксиизохинолина в 70 мл этанола добавляли 11,4 г иодида (2-ацетилгексил)триметиламмония и кипятили с обратным холодильником в течение 1,5 ч. Реакционную смесь охлаждали и обрабатывали раствором 6,8 г гидроксида калия в 70 мл воды. Этанол упаривали, водный раствор трижды порциями по 80 мл экстрагировали дихлорметаном. Объединенные органические слои сушили над безводным сульфатом натрия и упаривали. Твердый остаток красного цвета очищали хроматографией на силикагеле (элюент: гексан/этилацетат, 4:1), продукт кристаллизовали из изопропилового эфира, при этом получали 7,0 г рац-3 (II) Раствор 5,5 г гидрохлорида гидроксиламина в 50 мл воды и 20 мл этанола подщелачивали (до рН 9) добавлением 7,27 мл 1н. гидроксида натрия и добавляли раствор 3,35 г рац-3 (III) К суспензии 1,5 г оксима рац-3 Примеры 2-18 Следующие соединения получали аналогично тому, как описано в примере 1. 2. рац-9,10-диметокси-3 3. рац-9,10-диметокси-3 4. рац-9,10-диметокси-3 5. рац-9,10-диметокси-3 6. рац-3 7. рац-3 8. рац-3 9. рац-3 10. рац-3 11. рац-3 12. рац-3 13. рац-3 14. рац-3 15. рац-2 16. рац-2 17. рац-7 18. рац-7 Не описанные ранее эдукты, использованные в примерах 1-18 (соединения формулы II и III), можно получить по описанным ниже или аналогичным методикам. Производные оксима (соединения формулы II) Следующие соединения получали аналогично тому, как описано в примере 1 при получении оксима рац-3 оксим рац-9,10-диметокси-3 оксим рац-3 оксим рац-3 оксим рац-3 оксим рац-7 оксим рац-3 оксим рац-3 оксим рац-7-бутил-11,12-диметокси-1,2,3,4,4а,6,7,9,9а,13b-декагидропиридо[1,2-f]фенантридин-8-она, tпл. 122-125°С. Производные кетона (соединения формулы III) Следующие соединения получали аналогично тому, как описано в примере 1 при получении рац-3 рац-3 рац-3 рац-3 рац-7 рац-3 К раствору 3 г 3,4-дигидро-6,7-диметоксиизохинолина в 10 мл этанола добавляли 2,45 г 3-[(диметиламино)метил]-4-циклопропил-2-бутанона и смесь перемешивали при комнатной температуре в течение 18 ч. Твердое вещество отделяли фильтрованием, промывали водой и перекристаллизовывали из гексана, при этом получали 2,6 г рац-3 Использованный выше эдукт, рац-3-циклопропилметил-4-диметиламинобутан-2-он (соединение формулы VI), можно получить по описанной ниже или аналогичной методике. (I) К раствору 7 г натрия в 160 мл этанола при комнатной температуре при перемешивании добавляли по каплям 36,2 г этилового эфира 3-оксомасляной кислоты. Затем добавляли 45,1 г (бромметил)циклопропана и смесь кипятили с обратным холодильником в течение 2 ч. Реакционную смесь охлаждали до комнатной температуры, затем выливали в 500 мл воды, трижды экстрагировали диэтиловым эфиром, экстракт сушили над безводным сульфатом натрия, растворитель упаривали, а остаток очищали перегонкой, при этом получали 38,9 г этилового эфира 2-ацетилциклопропилпропионовой кислоты, tкип. 35-36°С/0,3 мбар. (II) К раствору 11,6 г этилового эфира 2-ацетилциклопропилпропионовой кислоты при комнатной температуре добавляли раствор 3,9 г гидроксида калия в 30 мл воды. Реакционную смесь перемешивали при комнатной температуре в течение 4 ч, нейтрализовали добавлением 5,2 мл конц. соляной кислоты, а затем добавляли 5,16 г гидрохлорида диметиламина и 4,82 мл 36,5% раствора формальдегида. К полученной смеси при комнатной температуре в течение 1 ч при перемешивании добавляли 5,24 мл конц. соляной кислоты, смесь перемешивали при КТ в течение 18 ч, затем дважды экстрагировали диэтиловым эфиром, экстракт сушили над безводным сульфатом натрия и растворитель упаривали. Остаток очищали хроматографией на силикагеле (элюент:дихлорметан/метанол/25% гидроксид аммония, 0-10%) и полученный продукт перегоняли (с дефлегматором), при этом получали 2,9 г рац-3-циклопропилметил-4-диметиламинобутан-2-она, tкип. 95°С/11 мбар. Пример 19 К раствору 380 мг рац-3 Примеры 20-42 Следующие соединения получали аналогично тому, как описано в примере 19: 20. гидрохлорид рац-3 21. гидрохлорид рац-9,10-диметокси-3 22. гидрохлорид рац-9,10-диметокси-3 23. гидрохлорид рац-9,10-диметокси-3 24. гидрохлорид рац-9,10-диметокси-3 25. гидрохлорид рац-3 26. гидрохлорид рац-3 27. гидрохлорид рац-3 28. гидрохлорид рац-3 29. гидрохлорид рац-3 30. гидрохлорид рац-3 31. гидрохлорид рац-3 32. гидрохлорид рац-3 33. гидрохлорид рац-3 34. гидрохлорид рац-2 35. гидрохлорид рац-2 36. гидрохлорид рац-7 37. гидрохлорид рац-7 38. гидрохлорид рац-2 39. гидрохлорид рац-2 40. гидрохлорид рац-3 41. гидрохлорид рац-3 42. гидрохлорид рац-3 Пример 43 К раствору 500 мг оксима рац-9-бензилокси-3 Эдукты, использованные в примере 43, получали аналогично, тому, как описано в примере 1 при получении оксима рац-3 оксим рац-9-бензилокси-3 рац-9-бензилоху-3 Примеры 44 и 45 Следующие соединения получали аналогично тому, как описанно в примере 1: 44. рац-9,10-диметокси-3 45. рац-2 Не описанные выше эдукты, использованные в примерах 44 и 45 (соединения формул II и III), можно получить по описанным ниже или аналогичным методикам. Производные оксима (соединения формулы II) Следующее соединение получали аналогично тому, как описано в примере 1 при получении рац-3 оксим рац-9,10-диметокси-3 Производные кетона (соединения формулы III) Следующие соединения получали аналогично тому, как описано в примере 1 при получении рац-3 рац-9,10-диметокси-3 3 Пример 46 Смесь 4,82 г рац-3 Пример 47 Гидрохлорид рац-3 (I) К раствору 4,50 г рац-2 (II) К смеси 100 мг трет-бутилового эфира рац-(3 Примеры 48-59 Следующие соединения получали аналогично тому, как описано в примере 47: 48. гидрохлорид рац-3 49. гидрохлорид рац-3 50. дигидрохлорид рац-9-бутокси-3 51. гидрохлорид рац-3 52. гидрохлорид рац-9-бензилоксу-3 53. гидрохлорид рац-3 54. гидрохлорид рац-4-[2-(2 55. гидрохлорид рац-3 56. гидрохлорид рац-3 57. тригидрохлорид рац-3 58. этиловый эфир гидрохлорида рац-(2 59. гидрохлорид рац-3 Пример 60 рац-9,10-Диметокси-3 (I) Этиловый эфир 2-амино-9,10-диметокси-1,6,7,11b-тетрагидро-4Н-пиридо[2,1-а]изохинолин-3-карбоновой кислоты Раствор этилового эфира 3-(1-этоксикарбонилметил-6,7-диметокси-3,4-дигидро-1Н-изохинолин-2-ил)пропионовой кислоты (Helv. Chim. Acta, 41, 119 (1958); 17,1 г, 45,0 ммоля) в циклогексане (340 мл) обрабатывали этилатом натрия (9,67 г, 135 ммолей), нагревали на масляной бане, и образующийся в ходе реакции этанол удаляли перегонкой в течение 30 мин, при этом добавляли циклогексан, поддерживая объем реакционной смеси постоянным. Реакционную смесь охлаждали, нейтрализовали уксусной кислотой и концентрировали. Остаток растворяли в дихлорметане/воде, 1:1, и добавляли конц. гидроксид аммония до рН 10. Органический слой отделяли, сушили (MgSO4) и упаривали. Остаток растворяли в метаноле (270 мл) и добавляли ацетат аммония (42,3 г, 548 ммолей). Реакционную смесь перемешивали при КТ в течение 90 мин, упаривали, остаток распределяли между дихлорметаном и 1 М раствором гидроксида натрия. Органический слой сушили (MgSO4), упаривали и очищали хроматографией (SiO2, CH2Cl2/MeOH/NH4OH 97,5:2,5:0,25), при этом получали указанное в заголовке соединение (9,90 г, 66%) в виде твердого вещества светло-желтого цвета. МС (ISP): 333,2 (М+Н)+. (II) Этиловый эфир рац-3 К раствору этилового эфира 2-амино-9,10-диметокси-1,6,7,11b-тетрагидро-4Н-пиридо[2,1-а]изохинолин-3-карбоновой кислоты (1,00 г, 3,01 ммоля) в тетрагидрофуране (9 мл) при 0°С добавляли трифторуксусную кислоту (18 мл), а затем, через 30 мин к гомогенному раствору добавляли боргидрид натрия (237 мг, 6,02 ммоля) и перемешивали в течение еще 45 мин. Реакционную смесь выливали в 2 М раствор гидроксида натрия и экстрагировали дихлорметаном. Органический слой сушили (MgSO4) и упаривали. Остаток растворяли в дихлорметане (10 мл), добавляли ди-трет-бутилдикарбонат (711 мг, 319 ммолей), раствор перемешивали при КТ в течение 16 ч, упаривали, остаток очищали хроматографией (SiO2, CH2Cl2/MeOH/NH4OH 97,5:2,5:0,25), при этом получали указанное в заголовке соединение (1,14 г, 87%) в виде твердого вещества светло-желтого цвета МС (ISP): 435,4 (М+Н)+. (III) Бензиловый эфир рац-(2 Раствор этилового эфира рац-2 (IV) трет-Бутиловый эфир рац-(3 Раствор бензилового эфира рац-(2 (V) трет-Бутиловый эфир рац-(9,10-диметокси-3 К раствору трет-бутилового эфира рац-(3 (VI) рац-9,10-Диметокси-3 трет-Бутиловый эфир рац-(9,10-диметокси-3 Примеры 61 и 62 Следующие соединения получали аналогично тому, как описано в примере 1: 61. рац-9,10-диметокси-3 62. рац-9,10-диметокси-3 Не описанные выше эдукты, использованные в примерах 61 и 62 (соединения формулы II, III и V), можно получить по описанным ниже или аналогичным методикам. Производное оксима (соединение формулы II) Следующее соединение получали аналогично тому, как описано в примере 1 при получении оксима рац-3 оксим рац-9,10-диметокси-3 Производное кетона (соединение формулы III) Следующее соединение получали аналогично тому, как описано в примере 1 при получении рац-3 рац-9,10-диметокси-3 Производное иодида аммония (соединение формулы V) Смесь 4-метилфенилацетона (3,01 г), параформальдегида (0,489 г) и гидрохлорида диметиламина (1,49 г) в МеОН (2 мл) перемешивали при кипячении с обратным холодильником в течение 3 ч. Реакционную смесь разбавляли 20 мл воды и продукт экстрагировали двумя порциями эфира. Затем добавляли 1 М раствор NaOH и водный слой экстрагировали двумя порциями эфира. Объединенные органические слои сушили (Na2SO4), растворитель выпаривали, при этом получали 4-диметиламино-3-пара-толилбутан-2-он (соединение формулы VI) в виде жидкости желтоватого цвета, МС (ISP): 206,2 (М+Н)+. 4-Диметиламино-3-пара-толилбутан-2-он растворяли в AcOEt (17 мл) и добавляли иодметан (1,46 мл). Через 1 ч образовавшееся твердое вещество отделяли фильтрованием, промывали AcOEt и высушивали в вакууме, при этом получали 2,61 г иодида триметил-(3-оксо-2-пара-толилбутил)аммония в виде твердого вещества грязно-белого цвета. МС (ISP): 220,3 М+. Примеры 63 и 64 (I) В колбу, которую предварительно трижды вакуумировали и продували аргоном, в атмосфере аргона помещали 21,5 мг ацетата палладия, 276 мг трет-бутоксида натрия, 23 мг три-трет-бутилфосфина и 2 мл тетрагидрофурана. К полученному раствору добавляли 177 мг 4-бромоксилена и 250 мг рац-9,10-диметокси-1,3,4,6,7,11b-гексагидро-2Н-бензо[а]хинолизин-2-она (D.Beke, С.Szantay, Chem. Ber. 95, 2132 (1962)) в 1 мл тетрагидрофурана. Реакционную смесь перемешивали при комнатной температуре в атмосфере аргона в течение ночи. Реакционную смесь разбавляли диэтиловым эфиром, промывали водой и насыщенным раствором хлорида натрия. Органический слой сушили над сульфатом натрия, фильтровали и растворитель выпаривали. Остаток очищали хроматографией на колонке с силикагелем (элюент: диэтиловый эфир), при этом получали 92,0 мг рац-9,10-диметокси-3 1H ЯМР (CDCl3): (II) К суспензии 86 мг рац-9,10-диметокси-3 63. Гидрохлорид рац-9,10-диметокси-3 Указанное соединение (14,4 мг) получали в виде твердого вещества светло-желтого цвета, которое при хроматографии элюировалось в первой фракции. МС (ISP): 367,3 (М+Н)+. 1Н ЯМР(CDCl3): 64. Гидрохлорид рац-9,10-диметокси-3 Указанное соединение (39,5 мг) получали в виде твердого вещества светло-желтого цвета, которое при хроматографии элюировалось во второй фракции. МС (ISP): 367,3 (М+Н)+. 1H ЯМР(CDCl3): Примеры 65-68 Следующие соединения получали аналогично тому, как описано в примерах 63 и 64. 65. Гидрохлорид рац-9,10-диметокси-3 Указанное соединение получали в виде твердого вещества светло-желтого цвета, которое при хроматографии элюировалось в первой фракции. МС (ISP): 369,3 (М+Н)+. 1H ЯМР(CDCl3): 66. Гидрохлорид рац-9,10-диметокси-3 Указанное соединение получали в виде твердого вещества светло-желтого цвета, которое при хроматографии элюировалось во второй фракции. МС (ISP): 369,3 (М+Н)+. 1Н ЯМР(CDCl3): 67. Гидрохлорид рац-9,10-диметокси-3 Указанное соединение получали в виде твердого вещества светло-желтого цвета, которое при хроматографии элюировалось в первой фракции. МС (ISP): 340,3 (М+Н)+. 1Н ЯМР(CDCl3): 68. Гидрохлорид рац-9,10-диметокси-3 Указанное соединение получали в виде твердого вещества светло-желтого цвета, которое при хроматографии элюировалось во второй фракции. МС (ISP): 340,3 (М+Н)+. 1H ЯМР(CDCl3): Следующие соединения получали аналогично тому, как описано в примерах 63 и 64 при получении рац-9,10-диметокси-3 рац-9,10-диметокси-3 1H ЯМР (CDCl3): рац-9,10-диметокси-3 1Н ЯМР(CDCl3): Примеры 69-81 Следующие соединения получали аналогично тому, как описано в примере 1: 69. рац-4-(2 70. рац-3 71. рац-3 72. рац-3 73. рац-3 74. рац-3 75. рац-3 76. рац-7 77. рац-7 78. рац-3 79. рац-7 80. рац-9,10-диметокси-3 81. рац-9,10-диметокси-3 Производные оксима (соединение формулы II) Следующие соединения получали аналогично тому, как описано в примере 1 при получения оксима рац-3 оксим рац-3 оксим рац-7 оксим рац-3-бутил-7-(3,4-диметоксифенил)-9,10-диметокси-6-метил-1,3,4,6,7,11b-гексагидропиридо[2,1-а]изохинолин-2-она, МС (ISP): 483,5 (М+Н)+. Производные кетона (соединения формулы III) Следующие соединения получали аналогично тому, как описано в примере 1 при получении рац-3 рац-3 рац-3 рац-3 рац-3 рац-3 рац-3 рац-7-бутил-11,12-диметокси-1,2,3,4,4а,6,7,9,9а,13b-декагидропиридо [1,2-f]фенантридин-8-он, МС (ISP): 372,5 (М+Н)+, рац-3 рац-7 Синтез дигидроизохинолинов (соединений формулы IV) Соединения получали аналогично тому, как описано в статье N.Sotomayor, Е.Dominguez и Е.Lete; Tetrahedron 51, 12721 (1995). рац-6,7-Диметокси-4,4-диметил-3,4-дигидроизохинолин Раствор 1,0 г 1,2,3,4-тетрагидро-6,7-диметокси-4,4-диметилизохинолина в 100 мл этанола обрабатывали 2,3 г иода и 0,49 г ацетата натрия и кипятили с обратным холодильником в течение 1 ч. Затем реакционную смесь охлаждали, добавляли 30 мл 10% раствора тиосульфата натрия, разбавляли водой и экстрагировали дихлорметаном (2×100 мл). Объединенные органические экстракты промывали солевым раствором, сушили над сульфатом натрия и концентрировали в вакууме. Остаток в виде пены очищали хроматографией (SiO2, элюент: градиент дихлорметан/1% раствор аммиака в метаноле, 0-12%), при этом получали указанное в заголовке соединение в виде масла желтоватого цвета (0,72 г). MC (ISP): 220,4 (М+Н)+. рац-4-(4-Хлорфенил)-6,7-диметокси-3,4-дигидроизохинолин, MC (ISP): 302,3 (М+Н)+, рац-4-(3,4-диметоксифенил)-6,7-диметокси-3,4-дигидроизохинолин, MC (ISP): 328,4 (М+Н)+, рац-6,7-диметокси-4-(4-метоксифенил)-3,4-дигидроизохинолин, MC (ISP): 298,4 (М+Н)+, рац-4 рац-8,9-диметокси-10b-метил-1,2,3,4,4а,10b-гексагидрофенантридин, MC (ISP): 250,4 (М+Н)+. Примеры 82-85 Следующие амины получали в виде чистых энантиомеров из соответствующих чистых энантиомеров кетонов, аналогично тому, как описано в примере 1: 82. 9,10-диметокси-3 83. 9,10-диметокси-3 84. 9,10-диметокси-3 85. 9,10-диметокси-3 Производные кетона (соединения формулы III) (-/транс)-9,10-Диметокси-3-фенил-1,3,4,6,7,11b-гексагидропиридо[2,1-а]изохинолин-2-он, [ Пример 86 (6S)-(2-Амино-3-бутил-9,10-диметокси-1,3,4,6,7,11b-гексагидро-2Н-пиридо[2,1-а]изохинолин-6-ил)метанол получали из (6S)-3-бутил-6-гидроксиметил-9,10-диметокси-1,3,4,6,7,11b-гексагидропиридо[2,1-а]изохинолин-2-она аналогично тому, как описано в примере 1. (6S)-3-Бутил-6-гидроксиметил-9,10-диметокси-1,3,4,6,7,11b-гексагидропиридо [2,1-а]изохинолин-2-он (I) Раствор 1,4 г (S)-6,7-диметокси-3-трет-бутилдиметоксисилоксиметил-3,4-дигидроизохинолина (Y.Haraguchi, Kozima, S.Yamaguchi, R., Tetrahedron Asymmetry, 7, 443 (1996)) в 8,5 мл метанола обрабатвали 1,37 г иодида (2-ацетилгексил)триметиламмония и кипятили с обратным холодильником в течение 4 ч. Затем добавляли еще 0,7 г иодида (2-ацетилгексил)триметиламмония и реакционную смесь перемешивали при кипячении с обратным холодильником в течение еще 20 ч. Реакционную смесь охлаждали и обрабатывали раствором 0,76 г гидроксида калия в 70 мл воды. Этанол упаривали, водный раствор трижды экстрагировали дихлорметаном (15 мл). Объединенные органические экстракты сушили над безводным сульфатом натрия и упаривали. Остаток очищали хроматографией на силикагеле (элюент: гексан/этилацетат, 0-100%), при этом получали 1,95 г (6S)-3-бутил-3-гидрокси-6-трет-бутилдиметоксисилоксиметил-9,10-диметокси-1,3,4,6,7,11b-гексагидропиридо[2,1-а]изохинолин-2-она в виде смеси диастереоизомеров. МС (ISP): 462,5 (М+Н)+. (II) К раствору 0,40 г (6S)-3-бутил-3-гидрокси-6-трет-бутилдиметоксисилоксиметил-9,10-диметокси-1,3,4,6,7,11b-гексагидропиридо[2,1-а]изохинолин-2-она в 13 мл ТГФ при 0°С медленно добавляли раствор 1,78 мл фторида тетрабутиламмония (1М в ТГФ). Реакционную смесь перемешивали в течение 2 ч, поддерживая температуру в интервале 0-5°С. Затем смесь выливали в ледяную воду (49 мл), затем дважды порциями по 30 мл экстрагировали этилацетатом. Экстракт сушили над безводным сульфатом натрия и концентрировали в вакууме. Остаток очищали хроматографией на силикагеле (элюент: гексан/этилацетат, 0-70%), при этом получали 0,30 г (6S)-3-бутил-6-гидроксиметил-9,10-диметокси-1,3,4,6,7,11b-гексагидропиридо[2,1-а]изохинолин-2-она. МС (ISP): 348,3 (М+Н)+. Примеры 87-102 Следующие соединения получали аналогично тому, как описано в примере 19: 87. гидрохлорид рац-4-(2 88. гидрохлорид рац-4-(2 89. гидрохлорид рац-3 90. гидрохлорид рац-3 91. гидрохлорид рац-3 92. гидрохлорид рац-3 93. гидрохлорид рац-3 94. гидрохлорид рац-3 95. гидрохлорид рац-3 96. гидрохлорид рац-3 97. гидрохлорид рац-3 98. гидрохлорид рац-3 99. гидрохлорид рац-3 100. гидрохлорид рац-7 101. гидрохлорид рац-7 102. гидрохлорид рац-3 Фармацевтические композиции Пример А Таблетки с покрытием следующего состава получают стандартным способом:
Активное соединение просеивали и смешивали с микрокристаллической целлюлозой, затем смесь гранулировали в смеси с раствором поливинилпирролидона в воде. Гранулят смешивали с натрий гликолятом крахмала и стеаратом магния, прессовали для образования ядер таблеток массой 120 или 350 мг соответственно. Ядра покрывали водным раствором/суспензией указанного состава. Пример Б Капсулы следующего состава получают стандартным способом:
Компоненты просеивали, смешивали и смесью заполняли капсулы размера 2. Пример В Растворы для инъекций следующего состава получают стандартным способом:
Активный компонент растворяли в смеси полиэтиленгликоля 400 и порции воды для инъекции. Добавляли уксусную кислоту до 5,0 и доводили объем до 1,0 мл добавлением остального количества воды. Раствор фильтровали, разливали во флаконы и стерилизовали. Пример Г Мягкие желатиновые капсулы следующего состава получают стандартным способом:
Активный компонент растворяли в теплой расплавленной смеси других ингредиентов и смесь разливали в мягкие желатиновые капсулы пригодного размера. Заполненные мягкие желатиновые капсулы обрабатывали стандартным способом. Пример Д. Пакетики следующего состава получают стандартным способом:
Активный компонент смешивали с лактозой, микрокристаллической целлюлозой и натриевой солью карбоксиметилцеллюлозы, гранулировали в смеси с раствором поливинилпирролидона в воде. Гранулят смешивали со стеаратом магния и ароматизаторами, затем расфасовывали в пакетики.
Формула изобретения
1. Производные пиридо(2,1-а)изохинолина формулы (I)
где R1 означает (низш.)алкил, фенил, фенил, моно-, ди- или тризамещенный (низш.)алкилом или (низш.)алкокси, пирролил, пиридинил или (низш.)алкил, замещенный циклоалкилом или фенилом, R2, R3 и R4 каждый независимо означает водород, галоген, гидрокси, (низш.)алкокси или (низш.)алкенил, причем (низш.)алкокси и (низш.)алкенил необязательно замещены группами (низш.)алкоксикарбонил, фенил, фенил, замещенный ди(низш.)алкиламином или цианогруппой, замещенный (низш.)алкилом тиазолил, пиридинил или морфолино, R5 означает водород, (низш.)алкил или фенил, необязательно замещенный галогеном, (низш.)алкоксигруппой или гидрокси, R6 означает водород, (низш.)алкил или гидрокси(низш.)алкил, или R5 и R6 вместе с атомами углерода, к которым они присоединены, образуют 6-членный насыщенный карбоциклический цикл, представляющий собой фенантридин, R7 означает водород или (низш.)алкил, и их фармацевтически приемлемые соли, за исключением дигидрохлорида рац-3 дигидрохлорида рац-3 3-изобутил-9,10-диметокси-1,3,4,6,7,11b-гексагидро-2Н-пиридо[2,1-а]изохинолин-2-иламина, дигидрохлорида рац-3 дигидрохлорида рац-3 3-этил-9,10-диметокси-1,3,4,6,7,11b-гексагидро-2Н-пиридо[2,1-а]изохинолин-2-иламина. 2. Соединения по п.1, где R1 означает (низш.)алкил, фенил, фенил, моно-, ди- или тризамещенный (низш.)алкилом или (низш.)алкокси, или (низш.)алкил, замещенный циклоалкилом или фенилом, R2, R3 и R4 каждый независимо означает водород, галоген, гидрокси, (низш.)алкокси или (низш.)алкенил, причем (низш.)алкокси и (низш.)алкенил необязательно замещены группами (низш.)алкоксикарбонил, фенил, фенил, замещенный ди(низш.)алкиламином или цианогруппой, замещенный (низш.)алкилом тиазолил, пиридинил или морфолино, R5 означает водород, (низш.)алкил, фенил, необязательно замещенный галогеном, (низш.)алкоксигруппой или гидрокси, R6 означает водород, (низш.)алкил, или R5 и R6 вместе с атомами углерода, к которым они присоединены, образуют 6-членный насыщенный карбоциклический цикл, представляющий собой фенантридин. 3. Соединения по п.1, где R1 означает (низш.)алкил, фенил или, циклоалкил(низш.)алкил. 4. Соединения по п.1, где R1 означает (низш.)алкил или (низш.)алкил, замещенный циклоалкилом. 5. Соединения по п.1, где R1 означает пирролил и пиридинил. 6. Соединения по п.1, где R2, R3 и R4 каждый независимо означает водород, гидрокси, (низш.)алкокси или (низш.)алкокси, замещенный группами фенил, фенил, замещенный ди(низш.)алкиламином или цианогруппой, замещенный (низш.)алкилом тиазолил, пиридинил или морфолино, или (низш.)алкоксикарбонил. 7. Соединения по п.1, где R2, R3 и R4 каждый независимо означает (низш.)алкокси, замещенный фенилом или фенилом, замещенным группами ди(низш.)алкиламино или циано. 8. Соединения по п.1, где R2 означает (низш.)алкокси. 9. Соединения по п.1, где R3 означает (низш.)алкокси, водород, гидрокси или (низш.)алкокси, замещенный группами фенил, фенил, замещенный ди(низш.)алкиламином или цианогруппой, замещенный (низш.)алкилом тиазолил, пиридинил или морфолино, или (низш.)алкоксикарбонил. 10. Соединения по п.1, где R3 означает (низш.)алкокси, водород или гидрокси. 11. Соединения по п.1, где R4 означает (низш.)алкокси, водород или гидрокси. 12. Соединения по п.1, где R5 и R6 означают водород или вместе с атомами углерода, к которым они присоединены, образуют шестичленный насыщенный карбоциклический цикл, представляющим собой фенантридин. 13. Соединения по п.1, выбранные из группы, включающей рац-9,10-диметокси-3 рац-9,10-диметокси-3 рац-3 рац-7 гидрохлорид рац-3 гидрохлорид рац-9,10-диметокси-3 гидрохлорид рац-7 гидрохлорид рац-2 гидрохлорид рац-2 рац-2 рац-2 рац-9,10-диметокси-3 14. Соединения по п.1, выбранные из группы, включающей рац-9,10-диметокси-3 рац-7 гидрохлорид рац-3 гидрохлорид рац-7 гидрохлорид рац-2 рац-2 рац-9,10-диметокси-3 15. Соединения по п.1, выбранные из группы, включающей рац-9,10-диметокси-3 рац-9,10-диметокси-3 рац-9,10-диметокси-3 гидрохлорид рац-9,10-диметокси-3 гидрохлорид рац-9,10-диметокси-3 гидрохлорид рац-9,10-диметокси-3 гидрохлорид рац-9,10-диметокси-3 гидрохлорид рац-9,10-диметокси-3 гидрохлорид рац-9,10-диметокси-3 рац-4-(2 рац-3 рац-3 рац-3 рац-3 рац-3 рац-3 рац-7 рац-7 рац-3 рац-7 рац-9,10-диметокси-3 рац-9,10-диметокси-3 9,10-диметокси-3 9,10-диметокси-3 9,10-диметокси-3 9,10-диметокси-3 (6S)-(2-амино-3 гидрохлорид рац-4-(2 гидрохлорид рац-4-(2 гидрохлорид рац-3 гидрохлорид рац-3 гидрохлорид рац-3 гидрохлорид рац-3 гидрохлорид рац-3 гидрохлорид рац-3 гидрохлорид рац-3 гидрохлорид рац-3 гидрохлорид рац-3 гидрохлорид рац-3 гидрохлорид рац-3 гидрохлорид рац-7 гидрохлорид рац-7 гидрохлорид рац-3 16. Способ получения соединений формулы (I) по любому из пп.1-15, включающий а) восстановление оксима формулы (II)
где R1, R2, R3, R4, R5, R6 и R7 имеют значения, указанные в п.1, и необязательно последующее превращение в его фармацевтически приемлемую соль. 17. Способ получения соединений формулы (I) по любому из пп.1-15, в которых R3 означает (низш.)алкокси, (низш.)алкокси, замещенный группами (низш.)алкоксикарбонил, фенил, фенил, замещенный ди(низш.)алкиламином или цианогруппой, замещенный (низш.)алкилом тиазолил, пиридинил или морфолино, включающий взаимодействие соединения формулы (VII)
где R1, R2, R4, R5, R6 и R7 имеют значения, указанные в п.1, а Р означает аминозащитную группу, со спиртом R-OH, где R означает (низш.)алкил, замещенный группами (низш.)алкоксикарбонил, фенил, фенил, замещенный ди(низш.)алкиламином или цианогруппой, замещенный (низш.)алкилом тиазолил, пиридинил или морфолино в присутствии трифенилфосфина и ди-трет-бутилазодикарбоксилата, и последующее удаление защитной группы. 18. Соединения по п.1, полученные способом по п.16 или 17. 19.Фармацевтическая композиция, ингибирующая фермент дипептидилпептидазу IV (DPP-IV), включающая соединения по любому из пп.1-15 и фармацевтически приемлемый носитель и/или адъювант. 20. Соединения по п.1 для применения в качестве терапевтически активных веществ, предназначенных для лечения и/или профилактики заболеваний, ассоциированных с ферментом DPP-IV. 21. Способ лечения и/или профилактики заболеваний, ассоциированных с DPP-IV, таких, как диабет, инсулин-независимый сахарный диабет, нарушенная толерантность к глюкозе, заболевание пищеварительного тракта, неспецифический язвенный колит, болезнь Крона, гипертензия, заболеваний, при которых лечебное действие достигается благодаря применению мочегонных агентов, ожирение и/или метаболический синдром, посредством введения человеку или животному терапевтически эффективного количества соединения по любому из пп.1-15.
|
|||||||||||||||||||||||||||||||||||||||||||||||||||||||||||||||||||||||||||||||||||||||||||||||||||||||||||||||||||||||||||



-пропил-1,3,4,6,7,11b
-иламин,






7,16-6,90 (m, 3Н), 6,64 (s, 1H), 6,59 (s, 1H), 3,93-3,71 (m, 8H, 2MeO+2H), 3,40-3,36 (m, 1H), 3,17-2,6 (m, 7H), 2,4-2,2 (m, 6H, 2Аr-СН3).
436 нм), и (+/транс)-9,10-диметокси-3-фенил-1,3,4,6,7,11b-гексагидропиридо[2,1-а]изохинолин-2-он, [

