Патент на изобретение №2297416
|
||||||||||||||||||||||||||
(54) ПРОИЗВОДНЫЕ 8-МЕТОКСИ[1,2,4]ТРИАЗОЛО[1,5-a]ПИРИДИНА И ФАРМАЦЕВТИЧЕСКИЙ ПРЕПАРАТ НА ИХ ОСНОВЕ
(57) Реферат:
Описываются новые производные 8-метокси[1,2,4]триазоло[1,5-а]пиридина общей формулы I
где R1 означает фенил, не замещенный или замещенный одним заместителем, выбранным из группы, включающей галоген, трифторметил, (низш.)алкил, (низш.)алкокси, ацетиламино, ацетил, (низш.)алкенил, -С(O)O-(низш.)алкил или тио(низш.)алкил, или тиофенил, возможно замещенный галогеном, или индолил; R2 означает фенил, не замещенный или замещенный одним заместителем, выбранным из группы, включающей галоген, (низш.)алкил, галоген(низш.)алкил или (низш.)алкокси, или тиофенил возможно замещенный (низш.)алкилом, их фармацевтически приемлемые соли, и фармацевтический препарат на их основе. Новые соединения обладают антагонистическим действием на аденозиновый рецептор А2A и могут быть использованы в медицине для стимулирования активности ЦНС и в качестве усилителей познавательной способности. 2 н. и 8 з.п. ф-лы, 1 табл.
Настоящее изобретение относится к соединениям общей формулы
где R1 означает фенил или тиофенил, которые являются не замещенными или замещенными одним или двумя заместителями, выбранными из группы, включающей галоген, трифторметил, (низш.)алкил, (низш.)алкокси, ацетиламино, ацетил, (низш.)алкенил, -С(O)O-(низш.)алкил и тио(низш.)алкил, R2 означает фенил или тиофенил, которые являются не замещенными или замещенными одним или двумя заместителями, выбранными из группы, включающей галоген, (низш.)алкил, галоген(низш.)алкил и (низш.)алкокси, и к их фармацевтически приемлемым солям. Неожиданно было установлено, что соединения общей формулы I являются лигандами рецептора аденозина. Аденозин модулирует множество физиологических функций благодаря взаимодействию с поверхностными рецепторами специфических клеток. Возможность использования рецепторов аденозина в качестве мишеней лекарственных средств впервые была описана в 1982 г. В структурном и метаболическом отношении аденозин близок биоактивным нуклеотидам: аденозинтрифосфату (АТФ), аденозиндифосфату (АДФ), аденозинмонофосфату (АМФ) и циклическому аденозинмонофосфату (цАМФ), биохимическому метилирующему агенту S-аденозил-L-метионину (S-AM), а в структурном отношении близок коферментам НАД, ФАД и коферменту А, и также РНК. Аденозин и родственные соединения выполняют важные функции в регуляции множества аспектов клеточного метаболизма и в модуляции различных типов активности ЦНС, Рецепторы аденозина подразделяются на рецепторы A1, A2A, А2B и А3, принадлежащие к семейству рецепторов, сопряженных с G-белками. Активация рецепторов аденозина инициирует механизм передачи сигнала. Эти механизмы зависят от G-белка, ассоциированного с рецептором. Каждый из подвидов аденозиновых рецепторов, как правило, характеризуется аденилатциклазной эффекторной системой, использующей в качестве вторичного мессенджера цАМФ. Рецепторы A1 и А3, сопряженные с Gi-белками, ингибируют аденилатциклазу, что приводит к снижению внутриклеточного уровня цАМФ, в то время как рецепторы А2A и A2B сопряжены с Gs-белками и активируют аденилатциклазу, что приводит к повышению внутриклеточного уровня цАМФ. Установлено, что система рецептора A1 включает активацию фосфолипазы С и модуляцию ионных калиевых и кальциевых каналов. Подвид рецептора А3, кроме связывания с аденилатциклазой, также стимулирует фосфолипазу С и таким образом активирует ионные кальциевые каналы. В настоящее время клонирован рецептор A1 (326-328 аминокислотных остатков) многих видов (псовых, человека, крысы, собаки, цыпленка, крупного рогатого скота, морских свинок), причем 90-95% аминокислотной последовательности оказалась идентичной у многих видов млекопитающих. Кроме того, клонирован рецептор A2A (409-412 аминокислотных остатков) псовых, крысы, человека, морских свинок и мыши. Клонирован также рецептор А2B (332 аминокислотных остатка) человека и мыши, причем рецептор A2B на 45% гомологичен рецепторам A1 и A2A человека. Клонирован также рецептор А3 (317-320 аминокислотных остатков) человека, крысы, собаки, кролика и овцы. Предполагается, что подвиды рецептора A1 и А2A играют комплементарные роли в регуляции аденозином высвобождения химической энергии. Аденозин, который является продуктом метаболической трансформации АТФ, диффундирует из клетки и действует на местном уровне, активируя аденозиновые рецепторы, которые стимулируют снижение потребности в кислороде (A1) или увеличение обеспечения кислородом (А2A) и, таким образом, регулируя равновесие между выработкой энергии и ее потребностью в тканях. Результатом действия обоих подвидов рецепторов является увеличение количества кислорода, доступного тканям, и защита клеток от повреждения, вызванного кратковременным дисбалансом в поступлении кислорода. Одной из важных функций эндогенного аденозина является предупреждение повреждения во время травм, таких, как гипоксия, ишемия, гипотензия и эпилептический припадок. Кроме того, установлено, что связывание агониста аденозинового рецептора с тучными клетками, экспрессирующими рецептор А3 крысы, приводит к увеличению концентраций инозиттрифосфата и внутриклеточного кальция, что вызывает антиген-индуцированную секрецию медиаторов воспалительного процесса. Следовательно, рецептор A3 принимает участие в опосредовании приступов астмы и других аллергических ответных реакций. Кроме того, аденозин является нейромодулятором, имеющим важнейшее значение в модуляции молекулярных механизмов, лежащих в основе многих аспектов физиологических функций мозга благодаря опосредованию ингибирующих процессов в ЦНС. Увеличение высвобождения нейромедиаторов происходит при травмах, таких, как гипоксия, ишемия и эпилептический припадок. Наконец, эти нейромедиаторы отвечают за дегенерацию нервной ткани и гибель нейронов, что приводит к повреждению мозга или гибели индивида. Следовательно, агонисты рецептора A1, которые имитируют ингибирующее действия аденозина на клетки центральной нервной системы, могут применяться в качестве нейропротективных агентов. Предполагается, что аденозин является эндогенным противосудорожным агентом, ингибирующим высвобождение глутамата из возбужденных нейронов и ингибирующим запуск нейронов. Следовательно, агонисты аденозина можно использовать в качестве противоэпилептических агентов. Антагонисты аденозина стимулируют активность ЦНС и являются эффективными в качестве усилителей познавательной способности. Селективные антагонисты A2A обладают терапевтическим действием при лечении различных форм слабоумия, например болезни Альцгеймера, и применяются в качестве нейропротективных агентов. Антагонисты аденозиновго рецептора А2 ингибируют высвобождение дофамина из синаптических нервных окончаний и снижают двигательную активность и, следовательно, смягчают симптомы болезни Паркинсона. Центральное действие аденозина также обусловлено молекулярным механизмом, лежащим в основе седативного действия, гипноза, шизофрении, тревоги, боли, дыхания, депрессии и злоупотребления лекарственными средствами. Следовательно, лекарственные средства, действующие на аденозиновые рецепторы, также обладают лечебным действием в качестве седативных средств, мышечных релаксантов, антипсихотических средств, транквилизаторов, анальгетиков, стимуляторов дыхания и антидепрессантов. Важной функцией аденозина в сердечно-сосудистой системе является его кардиопротективное действие. Уровень эндогенного аденозина увеличивается в ответ на ишемию и гипоксию и обеспечивает защиту сердечной ткани во время и после травмы (предподготовка). Таким образом, агонисты аденозина можно использовать в качестве кардиопротективных агентов. Аденозин модулирует многие аспекты функции почек, включая высвобождение ренина, скорость гломерулярной фильтрации и почечный кровоток. Соединения, которые являются антагонистами почечного действия аденозина, можно использовать в качестве почечных защитных агентов. Кроме того, антагонисты A3 и/или А2B могут применяться при лечении астмы и других аллергических ответных реакций. Современная информация об аденозиновых рецепторах приводится, например, в следующих публикациях: Bioorganic & Medicinal Chemistry, 6, 619-641 (1998), Bioorganic & Medicinal Chemistry, 6, 707-719 (1998), J. Med. Chem., 41, 2835-2845 (1998), J. Med. Chem., 41, 3186-3201 (1998), J. Med. Chem., 41, 2126-2133 (1998), J. Med. Chem., 42, 706-721 (1999), J. Med. Chem., 39, 1164-1171 (1996), Arch. Pharm. Med. Chem., 332, 39-41 (1999). Объектами настоящего изобретения являются соединения формулы I и их фармацевтически приемлемые соли в отдельности и в качестве фармацевтически активных соединений, их получение, лекарственные средства на их основе и их получение, а также применение соединений формулы I благодаря эффекту модуляции аденозиновой системы для лечения или профилактики заболеваний, таких, как болезнь Альцгеймера, болезнь Паркинсона, нейрозащитное действие, шизофрения, тревога, боль, нарушения дыхания, депрессия, астма, аллергические ответные реакции, гипоксия, ишемия, эпилептический припадок и злоупотребление лекарственными средствами. Кроме того, соединения по настоящему изобретению могут применяться в качестве седативных средств, мышечных релаксантов, антипсихотических средств, противоэпилептических средств, противосудорожных средств и кардиопротективных агентов. Наиболее предпочтительными показаниями по настоящему изобретению являются показания, основанные на антагонистическом действии на рецептор A2A и включающие нарушения центральной нервной системы, например лечение или профилактика некоторых депрессивных нарушений, нейрозащитное действие и болезнь Паркинсона. Термин «(низш.)алкил», используемый в тексте заявки, означает насыщенную алкильную группу с прямой или разветвленной цепью, содержащую от 1 до 6 атомов углерода, например метил, этил, пропил, изопропил, н-бутил, изобутил, 2-бутил, трет-бутил и т.п. Предпочтительными (низш.)алкильными группами являются группы, содержащие 1-4 атома углерода. Термин «(низш.)алкенил», используемый в тексте заявки, означает ненасыщенную алкильную группу с прямой или разветвленной цепью, содержащую от 2 до 6 атомов углерода и по меньшей мере одну двойную связь, например этилен, пропилен, изопропилен, н-бутилен, изобутилен, 2-бутилен, трет-бутилен и т.п. Предпочтительными (низш.)алкенильными группами являются группы, содержащие 2-4 атома углерода. Термин «галоген» означает хлор, иод, фтор и бром. Термин «(низш.)алкокси» означает группу, в которой алкильный остаток имеет значения, указанные выше, и которая присоединена через атом кислорода. «Ацетиламино» означает группу -NHC(O)СН3, а «ацетил» означает -С(O)СН3. Термин “фармацевтически приемлемые кислотно-аддитивные соли” означает соли неорганических или органических кислот, таких, как хлористоводородная кислота, азотная кислота, серная кислота, фосфорная кислота, лимонная кислота, муравьиная кислота, фумаровая кислота, малеиновая кислота, уксусная кислота, янтарная кислота, винная кислота, метансульфоновая кислота, пара-толуолсульфоновая кислота и т.п. Предпочтительными являются соединения формулы I по настоящему изобретению, в которых R1 означает тиофенил, a R2 означает фенил, не замещенный или замещенный галогеном или (низш.)алкилом, например, следующие соединения: 4-бром-N-(8-метокси-5-тиофен-2-ил[1,2,4]триазоло[1,5-а]пиридин-2-ил)бензамид, N-(8-метокси-5-тиофен-2-ил[1,2,4]триазоло[1,5-а]пиридин-2-ил)бензамид, 3-хлор-N-(8-метокси-5-тиофен-2-ил[1,2,4]триазоло[1,5-а]пиридин-2-ил)бензамид, 4-хлор-N-(8-метокси-5-тиофен-2-ил[1,2,4]триазоло[1,5-а]пиридин-2-ил)бензамид или 4-этил-N-(8-метокси-5-тиофен-2-ил[1,2,4]триазоло[1,5-а]пиридин-2-ил)бензамид. Кроме того, предпочтительными являются соединения, в которых R1 означает фенил, не замещенный или замещенный группой (низш.)алкокси, а R2 означает фенил, не замещенный или замещенный галогеном. Примерами таких соединений являются следующие соединения: 4-фтор-N-(8-метокси-5-фенил[1,2,4]триазоло[1,5-а]пиридин-2-ил)бензамид, 3-бром-N-(8-метокси-5-фенил[1,2,4]триазоло[1,5-а]пиридин-2-ил)бензамид, 4-бром-N-(8-метокси-5-фенил[1,2,4]триазоло[1,5-а]пиридин-2-ил)бензамид или N-[5-(3-этоксифенил)-8-метокси[1,2,4]триазоло[1,5-а]пиридин-2-ил]-4-фторбензамид. Предпочтительными также являются соединения формулы I по настоящему изобретению, в которых R1 означает фенил, не замещенный или замещенный галогеном или (низш.)алкокси, а R2 означает тиофенил, не замещенный или замещенный (низш.)алкилом, например следующие соединения: (8-метокси-5-фенил[1,2,4]триазоло[1,5-а]пиридин-2-ил)амид 5-метилтиофен-2-карбоновой кислоты, [5-(2-фторфенил)-8-метокси[1,2,4]триазоло[1,5-а]пиридин-2-ил]амид 5-метилтиофен-2-карбоновой кислоты, [8-метокси-5-(3-метоксифенил)[1,2,4]триазоло[1,5-а]пиридин-2-ил]амид 5-метилтиофен-2-карбоновой кислоты, [8-метокси-5-(4-метоксифенил)[1,2,4]триазоло[1,5-а]пиридин-2-ил]амид 5-метилтиофен-2-карбоновой кислоты, [5-(3-этоксифенил)-8-метокси[1,2,4]триазоло[1,5-а]пиридин-2-ил]амид 5-метилтиофен-2-карбоновой кислоты или [5-(3-фторфенил)-8-метокси[1,2,4]триазоло[1,5-а]пиридин-2-ил]амид 5-метилтиофен-2-карбоновой кислоты. Кроме того, предпочтительными являются соединения, в которых R1 означает тиофенил, не замещенный или замещенный галогеном, а R2 означает тиофенил, не замещенный или замещенный (низш.)алкилом. Примерами таких соединений являются следующие соединения: (8-метокси-5-тиофен-3-ил[1,2,4]триазоло[1,5-а]пиридин-2-ил]амид 5-метилтиофен-2-карбоновой кислоты или [5-(5-хлортиофен-2-ил)-8-метокси[1,2,4]триазоло[1,5-а]пиридин-2-ил]амид 5-метилтиофен-2-карбоновой кислоты. Указанные соединения формулы I и их фармацевтически приемлемые соли можно получить известными в данной области техники методами, например способами, описанными ниже, причем указанный способ включает а) взаимодействие соединения формулы
с соединением формулы R2COCl (III) с образованием соединения формулы
где R1 и R2 имеют значения, указанные выше, или б) взаимодействие соединения формулы
с KIO3 с образованием соединения формулы
а затем с соединением формулы R1 -B(OH)2 (VIa) или
с образованием соединения формулы
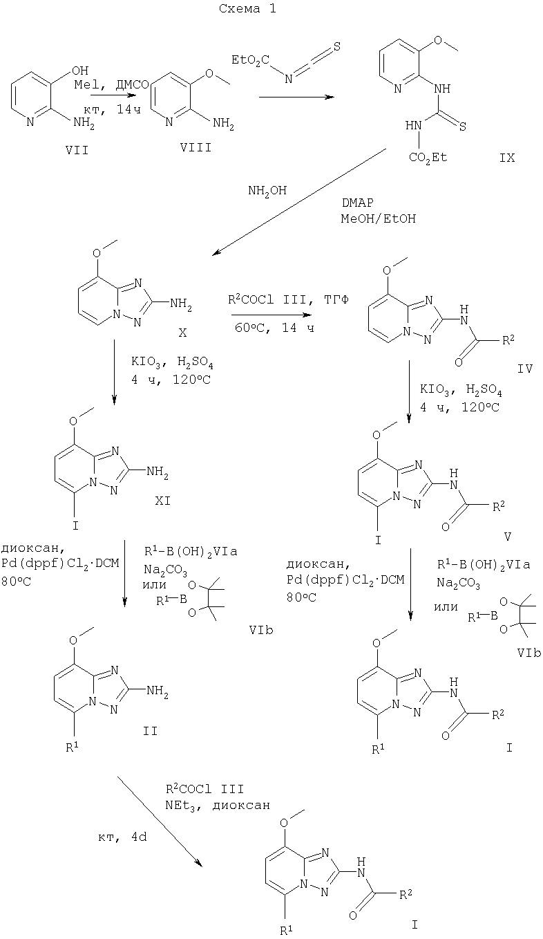
где R1 и R2 имеют значения, указанные выше, или в) модификацию одного или более заместителей R1 или R2 в пределах значений, указанных выше, и при необходимости превращение полученных соединений в фармацевтически приемлемые кислотно-аддитивные соли. Более подробно получение соединений формулы I описано в примерах 1-51 и показано на схеме 1, где используются следующие сокращения:
R1 и R2 имеют значения, указанные выше. На схеме показан способ получения производных 8-метокси[1,2,4]триазол[1,5-а]пиридина из соединения формулы VII (коммерческий препарат). К суспензии КОН в ДМСО добавляют 2-амино-3-гидроксипиридин (VII) и раствор перемешивают. Затем добавляют метилиодид и получают соединение VIII. Смесь соединения VIII и этоксикарбонилизотиоцианата в диоксане перемешивают при комнатной температуре с образованием соединения IX. Затем к раствору гидрохлорида гидроксиламина и н-этилдиизопропиламина в смеси метанол/этанол добавляют N-(3-метокси-2-пиридинил)-N’-карбоэтокситиомочевину с образованием соединения формулы X. Полученное соединение, 8-метокси[1,2,4]триазоло[1,5-а]пиридин-2-иламид, растворяют в соединении формулы R2COCl (III) с образованием соединения формулы IV. Соединение формулы III может представлять собой бензоилхлорид, 4-F-бензоилхлорид, циклогексанхлоркарбонил и т.п. Кроме того, соединение формулы Х можно растворить в серной кислоте, а затем нагреть до приблизительно 100°С и по частям в течение 1 ч добавить KIO3. Затем в полученном соединении формулы Х атом йода заменяют на заместитель R1, при этом в качестве исходного соединения используют 8-метокси-5-иод[1,2,4]триазоло[1,5-а]пиридин-2-иламин, а в качестве реагента – соответствующую бороновую кислоту или сложный эфир, например, как приведенные в следующем списке, при этом получают соединение формулы I. Получение соли проводят при комнатной температуре известными способами, в том числе специалистам в данной области техники. При этом речь идет как о солях неорганических кислот, так и о солях органических кислот. Примерами таких солей являются гидрохлориды, гидробромиды, сульфаты, нитраты, цитраты, ацетаты, малеаты, сукцинаты, метансульфонаты, пара-толуолсульфонаты и т.п. Соединения формулы I и их фармацевтически приемлемые кислотно-аддитивные соли обладают ценными фармакологическими свойствами. Установлено, что соединения по настоящему изобретению прежде всего являются лигандами рецептора аденозина. Биологическую активность соединений определяли по следующей методике. Связывание с аденозиновым рецептором А2А человека Аденозиновый рецептор А2А человека рекомбинантно экспрессировали в яйцеклетках китайского хомячка (СНО) при использовании системы экспрессии вируса леса Семлики. Клетки собирали, дважды промывали центрифугированием, гомогенизировали и вторично промывали центрифугированием. Промытый осадок, содержащий мембранную фракцию, суспендировали в буферном растворе трис-50 мМ (рН 7,4), содержащем 120 мМ NaCl, 5 мМ KCl, 2 мМ CaCl2 и 10 мМ MgCl2 (буферный раствор А). Анализ связывания [3H]-SCH-58261 (Dionisotti и др., Br. J. Pharmacol., 121, 353 (1997)) проводили в 96-луночных планшетах в присутствии 2,5 мкг мембранного белка, 0,5 мг гранул SPA, покрытых Ysi-поли-L-лизином и 0,1 ед. аденозиндеаминазы в конечном объеме 200 мкл буфера А. Неспецифическое связывание определяли в присутствии родственного соединения ксантинамина (ХАС, 2 мкМ). Связывание анализируемых соединений определяли при 10 концентрациях от 10 мкМ до 0,3 нМ. Все анализы выполняли в повторных экспериментах и повторяли по меньшей мере дважды. Аналитичекие планшеты инкубировали при комнатной температуре в течение 1 ч, центрифугировали и определяли количество связанного лиганда, содержащего радиоактивную метку, на сцинтилляционном счетчике (Packard Topcount). Величины IC50 рассчитывали по нелинейной кривой с использованием программного обеспечения, а значения Ki рассчитывали по уравнению Cheng-Prussoff. По результатам анализа соединения формулы I обладают высоким сродством к рецептору A2A. Ниже в таблице приводятся величины специфического связывания полученных соединений, характеризующиеся величиной Кi менее 1000 нМ. Предпочтительными являются соединения, величина Кi которых в отношении связывания с рецептором аза человека (hA2A), составляет менее 150 нМ. Соединения формулы I и фармацевтически приемлемые соли соединений формулы I можно использовать в качестве лекарственных средств, например, в форме фармацевтических препаратов. Фармацевтические препараты можно вводить пероральным способом, например, в форме таблеток, таблеток в оболочке, драже, твердых и мягких желатиновых капсул, растворов, эмульсий или суспензий. Однако эффективным является также введение ректальным способом, например, в форме суппозиториев, или парентеральным способом, например, в форме инъекционных растворов. Для получения фармацевтических препаратов соединения формулы I можно перерабатывать в смеси с фармацевтически инертными неорганическими или органическими носителями. В качестве таких носителей при получении таблеток, таблеток в оболочке, драже и твердых желатиновых капсул используются, например, лактоза, кукурузный крахмал или его производные, тальк, стеариновая кислота или ее соли и т.п. Пригодными носителями для мягких желатиновых капсул являются, например, растительные масла, воски, жиры, полутвердые и жидкие полиолы и т.п. Однако в случае мягких желатиновых капсул в зависимости от природы активного соединения обычно не требуется никакого носителя. Пригодными носителями при получении растворов и сиропов являются, например, вода, полиолы, глицерин, растительные масла и т.п. Пригодными носителями для суппозиториев являются, например, природные или отвержденные масла, воски, жиры, полутвердые или жидкие полиолы и т.п. Кроме того, фармацевтические препараты могут содержать консерванты, солюбилизаторы, стабилизаторы, смачивающие агенты, эмульгаторы, подсластители, красители, ароматизаторы, соли для изменения осмотического давления, буферные вещества, маскирующие агенты или антиоксиданты. Кроме того, они могут содержать другие терапевтически ценные вещества. Лекарственные средства, содержащие соединение формулы I или его фармацевтически приемлемую соль и терапевтически инертный носитель, также являются объектом настоящего изобретения. Объектом изобретения является также способ получения указанных лекарственных средств, включающий переработку одного или более соединений формулы I и/или их фармацевтически приемлемых кислотно-аддитивных солей и при необходимости одного или более других терапевтически ценных веществ в смеси с одним или более терапевтически инертным носителем в готовую галеновую форму. Соединения формулы I по настоящему изобретению, а также их фармацевтически приемлемые соли благодаря антагонистическому действию на аденозиновый рецептор применяются для лечения или профилактики заболеваний, таких, как болезнь Альцгеймера, болезнь Паркинсона, нейрозащитное действие, шизофрения, тревога, боль, нарушения дыхания, депрессия, астма, аллергические ответные реакции, гипоксия, ишемия, эпилептический припадок и злоупотребление лекарственными средствами. Кроме того, соединения по настоящему изобретению могут применяться в качестве седативных средств, мышечных релаксантов, антипсихотических средств, противоэпилептических средств, противосудорожных средств и кардиопротективных агентов и для получения соответствующих лекарственных средств. Наиболее предпочтительными показаниями по настоящему изобретению являются показания, которые включают нарушение ЦНС, например лечение или профилактику некоторых депрессивных состояний, нейрозащитное действие и болезнь Паркинсона. Дозы могут изменяться в широких пределах и должны соответствовать индивидуальным требованиям в каждом конкретном случае. В общем случае при пероральном введении взрослым пациентам достаточной является суточная доза от приблизительно 0,01 мг до приблизитекльно 1000 мг соединения общей формулы I или соответствующего количества его фармацетически приемлемой соли. Суточная доза вводится в виде однократной дозы и отдельными дозами и, кроме того, в случае соответствующих показаний верхний предел можно превысить. Пример 1 N-(8-Метокси-5-фенил[1,2,4]триазоло[1,5-а]пиридин-2-ил)безамид а) 3-Метоксипиридин-2-иламин К суспензии 33,2 г (0,592 моля) КОН в 80 мл ДМСО добавляли 15,9 г (0,144 моля) 2-амино-3-гидроксипиридина и смесь перемешивали в течение 90 мин. Через 60 мин добавляли 9,9 мл (0,158 моля) метилиодида и смесь перемешивали при комнатной температуре в течение 14 ч. Затем реакцию останавливали добавлением 450 мл воды и экстрагировали диэтиловым эфиром (8×500 мл). Объединенные органические слои промывали водой, сушили над MgSO4 и упаривали досуха. Остаток перекристаллизовывали из этилацетата, при этом получали 6,99 г (56,3 ммоля, 39%) указанного в заголовке соединения в виде кристаллов белого цвета. 1H ЯМР (ДМСО-d6, 250 МГц): б) N-(3-Метокси-2-пиридинил)-N’-карбоэтокситиомочевина Смесь 8 г (64 ммоля) 3-метоксипиридин-2-иламина и 7,29 мл (64 ммоля) этоксикарбонилизотиоцианата (64 ммоля) в 120 мл диоксана перемешивали при комнатной температуре в течение 1 ч, а затем упаривали досуха, при этом получали 16 г (62,7 ммоля, 97%) указанного в заголовке соединения в виде кристаллов желтого цвета. 1H ЯМР (ДМСО-d6, 250 МГц): в) 8-Метокси[1,2,4]триазоло[1,5-а]пиридин-2-иламин К раствору 21,8 г (313,7 ммоля) гидрохлорида гидроксиламина и 32,2 мл (188,2 ммоля) N-этилдиизопропиламина в смеси 130 мл метанол/этанол, 1:1, добавляли 16 г (62,7 ммоля) N-(3-метокси-2-пиридинил)-N’-карбоэтокситиомочевины и перемешивали при комнатной температуре в течение 2 ч, а затем при 60°С в течение 3 ч. Летучие компоненты удаляли при пониженном давлении, остаток переносили в 100 мл воды. Полученный осадок промывали 25 мл метанола/диэтилового эфира, 4:1, а затем 25 мл диэтилового эфира. После высушивания в высоком вакууме получали 8 г (48,7 ммоля, 78%) указанного в заголовке соединения в виде кристаллов грязно-белого цвета. МС (m/е): 163,0 (М-Н, 100%). 1H ЯМР (ДМСО-d6, 250 МГц): г) 5-Иод-8-метокси[1,2,4]триазоло[1,5-а]пиридин-2-иламин Смесь 3 г (18,3 ммоля) 8-метокси[1,2,4]триазоло[1,5-а]пиридин-2-иламина, 6 мл воды и 6 мл серной кислоты (97%) нагревали при 100°С и порциями в течение 1 ч добавляли 4,3 г (20,1 ммоля) KIO3. Смесь нагревали при 120°С в течение 3 ч и добавляли 6 мл воды и 6 мл серной кислоты (97%). Затем смесь охлаждали до 0°С, осадок отделяли и промывали водой (2×15 мл), при этом получали указанное в заголовке соединение в виде кристаллов бежевого цвета. Маточный раствор обрабатывали Na2CO3 и экстрагировали DCM (5×250 мл). Объединенные органические слои сушили над MgSO4 и упаривали досуха, при этом получали дополнительное количество указанного в заголовке соединения. Продукт перекристаллизовывали из этанола, при этом получали 2,59 г (8,9 ммоля, 49%) конечного продукта. 1Н ЯМР (ДМСО-d6, 250 МГц): д) 8-Метокси-5-фенил[1,2,4]триазоло[1,5-а]пиридин-2-иламин Смесь 50 мг (0,17 ммоля) 5-иод-8-метокси[1,2,4]триазоло[1,5-а]пиридин-2-иламина, 46,2 мг (0,38 ммоля) фенилбороновой кислоты, 6,3 мг (0,008 ммоля) аддукта дихлор[1,1′-бис(дифенилфосфино)ферроцен]палладий(II)дихлорметан и 0,3 мл 2 М водного раствора Na2CO3 в 1 мл диоксана нагревали при 80°С в течение 90 мин. Затем смесь фильтровали через небольшой слой силикагеля и элюировали 30 мл этилацетата. Фильтрат концентрировали при пониженном давлении, остаток очищали препаративной ЖХВР на сорбенте с обращенной фазой (элюент: градиент вода/ацетонитрил), при этом получали 12 мг (29%) указанного в заголовке соединения. МС (m/е) (%): 241,3 (МН+, 100). 1H ЯМР (ДМСО-d6, 250 МГц): ж) N-(8-Метокси-5-фенил[1,2,4]триазоло[1,5-а]пиридин-2-ил)-бензамид Смесь 30 мг (0,125 ммоля) 8-метокси-5-фенил[1,2,4]триазоло[1,5-а]пиридин-2-ил-амина, 19,2 мг (0,137 ммоля) бензоилхлорида и 27 NEt3 в 0,5 мл диоксана встряхивали при комнатной температуре в течение 4 сут. Затем к добавляли 0,05 мл муравьиной кислоты и смесь разделяли препаративной обращеннофазной ЖХВР (элюент: градиент вода/ацетонитрил), при этом получали 8,6 мг (19%) указанного в заголовке соединения. МС m/е (%): 345 (МН+, 100). 1Н-ЯМР (ДМСО, 500 МГц): Производные [1,2,4]триазоло[1,5-а]пиридина получали по методике, описанной в примере 1. Результаты приведены в следующей таблице, включающей примеры 2-51. Методика получения 1. Компоненты 1, 2, 3 и 4 смешивали и гранулировали при добавлении очищенной воды. 2. Гранулы высушивали при температуре 50°С. 3. Гранулы измельчали на соответствующей мельнице 4. Добавляли компонент 5 и перемешивали в течение 3 мин; затем прессовали таблетки на соответствующем таблетирующем оборудовании. Методика получения 1. Компоненты 1, 2, 3 смешивали в соответствующем смесителе в течение 30 мин 2. Добавляли компоненты 4 и 5 и перемешивали в течение 3 мин. 3. Смесью заполняли соответствующие капсулы.
Формула изобретения
Производные 8-метокси[1,2,4]триазоло[1,5-а]пиридина общей формулы I
где R1 означает фенил, незамещенный или замещенный одним заместителем, выбранным из группы, включающей галоген, трифторметил, (низш.)алкил, (низш.)алкокси, ацетиламино, ацетил, (низш.)алкенил, -С(O)O-(низш.)алкил или тио(низш.)алкил, или тиофенил, возможно замещенный галогеном, или индолил; R2 означает фенил, незамещенный или замещенный одним заместителем, выбранным из группы, включающей галоген, (низш.)алкил, галоген(низш.)алкил или (низш.)алкокси, или тиофенил возможно замещенный (низш.)алкилом, и их фармацевтически приемлемые соли. 2. Соединение формулы I по п.1, где R1 означает тиофенил, а R2 означает фенил, незамещенный или замещенный галогеном или (низш.)алкилом. 3. Соединение формулы I по п.2, в котором соединение представляет собой: 4-бром-N-(8-метокси-5-тиофен-2-ил[1,2,4]триазоло[1,5-а]пиридин-2-ил)бензамид, N-(8-метокси-5-тиофен-2-ил[1,2,4]триазоло[1,5-а]пиридин-2-ил)бензамид, 3-хлор-N-(8-метокси-5-тиофен-2-ил[1,2,4]триазоло[1,5-а]пиридин-2-ил)бензамид, 4-хлор-N-(8-метокси-5-тиофен-2-ил[1,2,4]триазоло[1,5-а]пиридин-2-ил)бензамид или 4-этил-N-(8-метокси-5-тиофен-2-ил[1,2,4]триазоло[1,5-а]пиридин-2-ил)бензамид. 4. Соединение формулы I по п.1, где R1 означает фенил, незамещенный или замещенный (низш.)алкокси, а R2 означает фенил, незамещенный или замещенный галогеном. 5. Соединение формулы I по п.4, где соединение представляет собой: 4-фтор-N-(8-метокси-5-фенил[1,2,4]триазоло[1,5-а]пиридин-2-ил)бензамид, 3-бром-N-(8-метокси-5-фенил[1,2,4]триазоло[1,5-а]пиридин-2-ил)бензамид, 4-бром-N-(8-метокси-5-фенил[1,2,4]триазоло[1,5-а]пиридин-2-ил)бензамид или N-[5-(3-этоксифенил)-8-метокси[1,2,4]триазоло[1,5-а]пиридин-2-ил]-4-фторбензамид. 6. Соединение формулы I по п.1, где R1 означает фенил, незамещенный или замещенный галогеном или (низш.)алкокси, а R2 означает тиофенил, незамещенный или замещенный (низш.)алкилом. 7. Соединение формулы I по п.6, где соединение представляет собой: (8-метокси-5-фенил[1,2,4]триазоло[1,5-а]пиридин-2-ил)амид 5-метилтиофен-2-карбоновой кислоты, [5-(2-фторфенил)-8-метокси[1,2,4]триазоло[1,5-а]пиридин-2-ил]амид 5-метилтиофен-2-карбоновой кислоты, [8-метокси-5-(3-метоксифенил)[1,2,4]триазоло[1,5-а]пиридин-2-ил]амид 5-метилтиофен-2-карбоновой кислоты, [8-метокси-5-(4-метоксифенил)[1,2,4]триазоло[1,5-а]пиридин-2-ил]амид 5-метилтиофен-2-карбоновой кислоты, [5-(3-этоксифенил)-8-метокси[1,2,4]триазоло[1,5-а]пиридин-2-ил]амид 5-метилтиофен-2-карбоновой кислоты или [5-(3-фторфенил)-8-метокси[1,2,4]триазоло[1,5-а]пиридин-2-ил]амид 5-метилтиофен-2-карбоновой кислоты. 8. Соединение формулы I по п.1, где R1 означает тиофенил, незамещенный или замещенный галогеном, а R2 означает тиофенил, незамещенный или замещенный (низш.)алкилом. 9. Соединение формулы I по п.8, где соединение представляет собой: (8-метокси-5-тиофен-3-ил[1,2,4]триазоло[1,5-а]пиридин-2-ил]амид 5-метилтиофен-2-карбоновой кислоты или [5-(5-хлортиофен-2-ил)-8-метокси[1,2,4]триазоло[1,5-а]пиридин-2-ил]амид 5-метилтиофен-2-карбоновой кислоты. 10. Фармацевтический препарат, обладающий антагонистическим действием на аденозиновый рецептор А2A, содержащий одно или более соединений формулы I по одному из пп.1-9 и фармацевтически приемлемые эксципиенты.
MM4A – Досрочное прекращение действия патента СССР или патента Российской Федерации на изобретение из-за неуплаты в установленный срок пошлины за поддержание патента в силе
Дата прекращения действия патента: 11.07.2009
Извещение опубликовано: 20.07.2010 БИ: 20/2010
|
||||||||||||||||||||||||||












7,49 (dd, J1 5 Гц, J2 1,4 Гц, 1Н, H-4), 6,98 (dd, J1 7,7 Гц, J2 1,4 Гц, 1Н, Н-6), 6,48 (dd, J1 7,7 Гц, J2 5 Гц, 1Н, Н-5), 5,60 (ушир.s, 2H, NH2), 3,75 (s, 3Н, ОСН3).









