|
|
(21), (22) Заявка: 2003103285/04, 14.02.2001
(24) Дата начала отсчета срока действия патента:
14.02.2001
(43) Дата публикации заявки: 20.09.2004
(46) Опубликовано: 20.04.2007
(56) Список документов, цитированных в отчете о поиске:
RU, 2124511 C1, 10.01.1999. WO, 95/15964 A1, 15.06.1995. WO, 98/11104 A1, 19.03.1998.
(62) Номер и дата подачи первоначальной заявки, из которой данная заявка выделена: 2002124605 14.02.2001
Адрес для переписки:
129010, Москва, ул. Б.Спасская, 25, стр.3, ООО “Юридическая фирма Городисский и Партнеры”, пат.пов. Е.Е.Назиной, рег. № 517
|
(72) Автор(ы):
ЕГАВА Хироюки (JP), ФУРУТА Йоусуке (JP), СУГИТА Дзун (JP), УЕХАРА Саюри (JP), ХАМАМОТО Соити (JP), ЙОНЕЗАВА Кендзи (JP)
(73) Патентообладатель(и):
ТОЯМА КЕМИКАЛ КО., ЛТД. (JP)
|
(54) ПРОИЗВОДНЫЕ ПИРАЗИНА ИЛИ ИХ СОЛИ, ФАРМАЦЕВТИЧЕСКАЯ КОМПОЗИЦИЯ, СОДЕРЖАЩАЯ ДАННЫЕ СОЕДИНЕНИЯ, И ПРОМЕЖУТОЧНЫЕ СОЕДИНЕНИЯ ДЛЯ ИХ ПОЛУЧЕНИЯ
(57) Реферат:
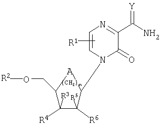
Настоящее изобретение относится к производным пиразина общей формулы I или их солям

где R1 представляет собой атом водорода или атом галогена;
R2 представляет собой атом водорода или защищенную или незащищенную группу монофосфорной, дифосфорной или трифосфорной кислоты;
R3, R4, R5 и R6, которые могут быть одинаковыми или различными, представляют собой атом водорода, атом галогена, замещенную или незамещенную, защищенную или незащищенную гидроксильную или аминогруппу, или R4 и R6, взятые вместе, образуют простую связь;
А представляет собой атом кислорода или метиленовую группу;
n=0 или 1;
Y представляет собой атом кислорода или NH-группу,
Соединения проявляют превосходную противовирусную активность и полезны в качестве терапевтического средства для лечения вирусных инфекций. Описаны также фармацевтическая композиция на основе соединений формулы I и производные фторпиразинкарбоксамида – промежуточных соединений для синтеза соединений формулы I. 3 н. и 10 з.п. ф-лы, 6 табл.
Область техники
Настоящее изобретение относится к новым производным пиразина или их солям, фармацевтической композиции, содержащей указанные соединения, и к промежуточным соединениям для их получения.
Предпосылки к созданию изобретения
К противовирусным средствам, применяемым в настоящее время в клинической практике, можно отнести ацикловир и видарабин, направленные против вирусов герпеса, ганцикловир и фоскарнет, направленные против вирусов цитомегалии, и интерферон и т.д., направленные против вирусов гепатита. Кроме того, против вируса гриппа проводят широкую профилактику с помощью вакцины, а также для этой цели используют низкомолекулярные соединения, такие как хлоргидрат амантадина и рибавирин. Кроме того, в последнее время также применяют занамивир.
С другой стороны, что касается противовирусной активности аналогов нуклеозида и нуклеотида, имеющих в основе пиразиновое кольцо, например, прежде было сообщено, что соединения общей формулы:

где R7 представляет собой атом водорода, метильную группу или С10Н21, обладают противовирусной активностью. Однако указанный тип соединений не проявляет “активности против вируса Висна” [Nucleosides & Nucleotides, Vol.15, Nos.11 and 12, Pages 1849-1861 (1996)]. Кроме того, об аналогах нуклеозида и нуклеотида, имеющих пиразиновое кольцо, замещенное карбамоильной группой, до сих пор еще не сообщалось.
Проблемы, связанные с использованием амантадина, заключаются в том, что он не проявляет активность против вируса гриппа типа В, хотя и является эффективным в отношении вируса гриппа типа А, что связано с его механизмом действия, следствием чего, возможно, является приобретение устойчивости вируса к данному соединению, что приводит к нервному расстройству и т.д. С другой стороны, хотя рибавирин и оказывает ингибирующее действие по отношению к полимеразе и эффективен против вируса гриппа типа А и типа В, он не проявляет достаточного клинического эффекта при пероральном использовании.
Отсюда следует, что необходимо разработать противовирусное средство, обладающее профилактическим действием против различных вирусов и особенно против вируса гриппа и проявляющее терапевтический эффект.
В международной заявке РСТ/JP99/04429 (WO 00/10569) описаны азотсодержащие гетероциклические карбамоильные производные, представленные следующей общей формулой [22]:

где кольцо А представляет собой замещенное или незамещенное пиразиновое, пиримидиновое, пиридазиновое или триазиновое кольцо, R23 представляет собой О или ОН, R24 представляет собой атом водорода, ацильную группу или карбамоилалкильную группу, и прерывистая линия представляет собой простую связь или двойную связь, или их соли, которые используют в качестве противовирусного агента. Хотя в указанной выше патентной заявке авторами упомянут способ получения соединений, представленных общей формулой [22], и промежуточные соединения, используемые для их синтеза, однако в ней не описано применение производных фторпиразина настоящей патентной заявки в качестве промежуточных соединений для синтеза соединений, представленных общей формулой [22]. Наряду с соединениями, представленными общей формулой [22], описаны соединения, в которых заместителем у пиразинового кольца является атом фтора, а именно соединения, представленные следующей общей формулой [23]:

где кольцо А’ представляет собой пиразиновое кольцо и R23, R24 и прерывистая линия имеют те же значения, указанные выше, которые обладают значительной активностью против вируса гриппа и являются превосходными противовирусными агентами.
Описание изобретения
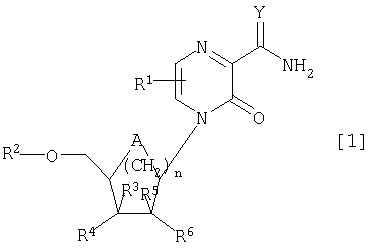
С целью решения упомянутых выше проблем были проведены всесторонние исследования. В результате было обнаружено, что производное пиразина, представленное следующей общей формулой [1]:

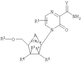
где R1 представляет собой атом водорода или атом галогена; R2 представляет собой атом водорода или защищенную или незащищенную группу монофосфорной, дифосфорной или трифосфорной кислоты; R3, R4, R5 и R6, которые могут быть одинаковыми или различными, представляют собой атом водорода, атом галогена, азидогруппу, замещенную или незамещенную, защищенную или незащищенную гидроксильную или аминогруппу или R4 и R6, взятые вместе, представляют собой простую связь; А представляет собой атом кислорода или метиленовую группу; n равно 0 или 1; и Y представляет собой атом кислорода, атом серы или NH-группу, или его соль, при условии, что соединения, в которых R1 представляет водород или атом галогена; R2 представляет водород; R3 и R5 представляют водород; R4 и R6 представляют замещенную или незамещенную, защищенную или незащищенную гидроксильную группу; А представляет атом кислорода; n равно 0; и Y представляет атом кислорода, исключены; проявляют превосходную противовирусную активность. На основании полученных данных было выполнено настоящее изобретение.
Кроме того, также было обнаружено, что производное фторпиразина, представленное следующей общей формулой [21]:

где R21 представляет собой атом водорода, метильную группу, галогенированную метильную группу, метильную группу, замещенную защищенной или незащищенной меркаптогруппой, формильную группу, нитрильную группу, галогенированную карбонильную группу или защищенную или незащищенную гидроксиметильную, аминометильную, карбамоильную или карбоксильную группу; R22 представляет собой атом водорода, атом галогена, защищенную или незащищенную гидроксильную группу или аминогруппу, нитрогруппу, азидогруппу или замещенную или незамещенную фенилсульфанильную, фенилсульфинильную или фенилсульфонильную группу; при условии, что соединение, где R21 представляет собой карбамоильную группу или карбамоильную группу, замещенную ацильной группой, и R22 представляет собой гидроксильную группу, а также соединение, где R21 представляет собой атом водорода и R22 представляет собой атом водорода, исключены, или его соль является превосходным промежуточным продуктом для промышленного производства производного фторпиразин-карбоксамида, которое является промежуточным соединением для синтеза соединения, представленного общей формулой [1], в которой R1 представляет собой атом фтора. На основании полученных данных было выполнено настоящее изобретение.
Кроме того, было обнаружено, что производное фторпиразина, представленное общей формулой [21], или его соль является превосходным промежуточным продуктом для промышленного производства производного фторпиразин-карбоксамида, представленного общей формулой [23], обладающего противовирусной активностью. На основании полученных данных было выполнено настоящее изобретение.
Настоящее изобретение подробно описано ниже.
Употребляемые в данном описании термины имеют следующее значение, если не указано иначе. Термин “атом галогена” означает атом фтора, атом хлора, атом брома или атом йода; “галогенированная метильная группа” означает моно-, ди- или тризамещенную галогенированную метильную группу, такую как фторметил, хлорметил, бромметил, йодметил, дихлорметил, трифторметил, трихлорметил и подобные; “галогенированная карбонильная группа” означает фторкарбонильную, хлоркарбонильную, бромкарбонильную или йодкарбонильную группу; “низшая алкильная группа” означает С1-5 алкильную группу, такую как метил, этил, н-пропил, изопропил, н-бутил, изобутил, втор-бутил, трет-бутил, пентил и подобные; “низшая алкоксигруппа” означает С1-5 алкоксигруппу, такую как метокси, этокси, н-пропокси, изопропокси, н-бутокси, изобутокси, втор-бутокси, трет-бутокси, пентилокси и подобные; “низшая алкоксикарбонильная группа” означает С1-5 алкоксикарбонильную группу, такую как метоксикарбонил, этоксикарбонил, н-пропоксикарбонил, изопропоксикарбонил, н-бутоксикарбонил, изобутоксикарбонил, втор-бутоксикарбонил, трет-бутоксикарбонил, пентилоксикарбонил и подобные; “низшая алкиламиногруппа” означает моно- или ди-С1-5 алкиламиногруппу, такую как метиламино, этиламино, пропиламино, диметиламино, диэтиламино, метилэтиламино и подобные; “низшая алкильная группа, содержащая галоген” означает С1-5 алкильную группу, содержащую галоген, такую как фторметил, хлорметил, бромметил, дихлорметил, трифторметил, трихлорметил, хлорэтил, дихлорэтил, трихлорэтил, хлорпропил и подобные; “низшая алкенильная группа” означает С2-5 алкенильную группу, такую как винил, аллил и подобные; “циклоалкильная группа” означает С3-6 циклоалкильную группу, такую как циклопропил, циклобутил, циклопентил, циклогексил и подобные; “арильная группа” означает фенильную группу, нафтильную группу или подобные; и “гетероциклическая группа” означает 4-6-членную или конденсированную гетероциклическую группу, содержащую, по крайней мере, один гетероатом, выбранный из атома кислорода, атома азота и атома серы, такую как азетидинил, тиенил, фурил, пирролил, имидазолил, пиразолил, тиазолил, изотиазолил, оксазолил, изоксазолил, фуразанил, пирролидинил, пирролинил, имидазолидинил, имидазолинил, пиразолидинил, пиразолинил, 1,3,4-оксадиазолил, 1,2,3-тиадиазолил, 1,2,4-тиадиазолил, 1,3,4-тиадиазолил, 1,2,3-триазолил, 1,2,4-триазолил, тиатриазолил, пиридил, пиразинил, пиримидинил, пиридазинил, пиранил, морфолинил, 1,2,4-триазинил, бензотиенил, нафтотиенил, бензофурил, изобензофурил, хроменил, индолизинил, изоиндолил, индолил, индазолил, пуринил, хинолил, изохинолил, фталазинил, нафтилидинил, хиноксалинил, хиназолинил, циннолинил, фталидинил, изохроманил, хроманил, индолинил, изоиндолинил, бензоксазолил, триазолпиридил, тетразолпиридазинил, тетразолпиримидинил, тиазолпиридазинил, тиадиазолпиридазинил, триазолпиридазинил, бензимидазолил, бензтиазолил, 1,2,3,4-тетрагидрохинолил, имидазо[1,2-b][1,2,4]-триазинил, хинуклидинил и подобные.
В тех случаях, когда соединение согласно настоящему изобретению и промежуточное соединение содержат гидроксильную группу, меркаптогруппу, аминогруппу, карбамоильную группу или карбоксильную группу, то указанные заместители могут быть защищены известными защитными группами.
Термины “группа монофосфорной кислоты”, “группа дифосфорной кислоты” и “группа трифосфорной кислоты” означают группы следующей общей формулы:

где k равно 1, 2 и 3 соответственно.
К защитным группам для группы монофосфорной кислоты, дифосфорной кислоты и трифосфорной кислоты можно отнести все группы, обычно применяемые для защиты групп фосфорной кислоты. Примеры таких групп включают низшие алкильные группы, такие как метил, циклопропилметил, трет-бутил, этан-1,2-диил и подобные; низшие алкильные группы, содержащие галоген, такие как 2,2,2-трихлорэтил, 2,2,2-трихлор-1,1-диметилэтил, 2,2,2-трибромэтил и подобные; ацил-низшие алкильные группы, такие как 1-ацетилэтил и подобные; циано-низшие алкильные группы, такие как 2-цианоэтил и подобные; низшие алкилсульфонил-низшие алкильные группы, такие как 2-метилсульфонилэтил и подобные; арилсульфонил-низшие алкильные группы, такие как 2-фенилсульфонилэтил и подобные; алкенильные группы, такие как аллил и подобные; арильные группы, такие как фенил, о-гидроксифенил, о-хлорфенил, п-хлорфенил, 2,4-дихлорфенил, п-нитрофенил, 2-диметиламино-4-нитрофенил, 2-трет-бутилфенил, 2-хлорметил-4-нитрофенил, о-фенилен и подобные; арил-низшие алкильные группы, такие как бензил, о-нитробензил, п-нитрофенилэтил и подобные; гетероциклические группы, такие как 8-хинолил, 5-хлор-8-хинолил и подобные, и т.д. Для защиты может быть использован один или более видов вышеупомянутых защитных групп.
К защитным группам для карбоксильной группы могут относиться все группы, обычно применяемые для защиты карбоксильной группы. Примеры таких групп включают низшие алкильные группы, такие как метил, этил, н-пропил, изопропил, 1,1-диметилпропил, н-бутил, трет-бутил и подобные; арильные группы, такие как фенил, нафтил и подобные; арил-низшие алкильные группы, такие как бензил, дифенилметил, тритил, п-нитробензил, п-метоксибензил, бис(п-метоксифенил)метил и подобные; ацил-низшие алкильные группы, такие как ацетилметил, бензоилметил, п-нитробензоилметил, п-бромбензоилметил, п-метансульфонилбензоилметил и подобные; кислородсодержащие гетероциклические группы, такие как 2-тетрагидропиранил, 2-тетрагидрофуранил и подобные; низшие алкильные группы, содержащие галоген, такие как 2,2,2-трихлорэтил и подобные; низшие алкил-силил-алкильные группы, такие как 2-(триметилсилил)этил и подобные; ацилоксиалкильные группы, такие как ацетоксиметил, пропионилоксиметил, пивалоилоксиметил и подобные; азотсодержащие гетероцикл-низшие алкильные группы, такие как фталимидометил, сукцинимидометил и подобные; циклоалкильные группы, такие как циклогексил и подобные; низшие алкокси-низшие алкильные группы, такие как метоксиметил, метоксиэтоксиэтил, 2-(триметилсилил)этоксиметил и подобные; арил-низшие алкокси-низшие алкильные группы, такие как бензилоксиметил и подобные; низшие алкилтио-низшие алкильные группы, такие как метилтиометил, 2-метилтиоэтил и подобные; арилтио-низшие алкильные группы, такие как фенилтиометил и подобные; низшие алкенильные группы, такие как 1,1-диметил-2-пропенил, 3-метил-3-бутинил, аллил и подобные, и низшие алкил-замещенные силильные группы, такие как триметилсилил, триэтилсилил, триизопропилсилил, диэтилизопропилсилил, трет-бутилдиметилсилил, трет-бутилдифенилсилил, дифенилметилсилил, трет-бутилметоксифенилсилил и подобные.
К защитным группам для аминогрупп и низших алкиламиногрупп могут относиться все группы, обычно применяемые для защиты аминогрупп. Примеры таких групп включают ацильные группы, такие как трихлорэтоксикарбонил, трибромэтоксикарбонил, бензилоксикарбонил, п-нитробензилоксикарбонил, о-бромбензилоксикарбонил, (моно-, ди- и три-)хлорацетил, трифторацетил, фенилацетил, формил, ацетил, бензоил, трет-амилоксикарбонил, трет-бутоксикарбонил, п-метоксибензилоксикарбонил, 3,4-диметоксибензилоксикарбонил, 4-(фенилазо)бензилоксикарбонил, 2-фурфурилоксикарбонил, дифенилметоксикарбонил, 1,1-диметилпропоксикарбонил, изопропоксикарбонил, фталоил, сукцинил, аланил, лейцил, 1-адамантилоксикарбонил, 8-хинолилоксикарбонил и подобные; арил-низшие алкильные группы, такие как бензил, дифенилметил, тритил и подобные; арилтиогруппы, такие как 2-нитрофенилтио, 2,4-динитрофенилтио и подобные; алкан- и алленсульфонильные группы, такие как метансульфонил, п-толуолсульфонил и подобные; ди-низшие алкиламино-низшие алкилиденовые группы, такие как N,N-диметиламинометилен и подобные; арил-низшие алкилиденовые группы, такие как бензилиден, 2-гидроксибензилиден, 2-гидрокси-5-хлорбензилиден, 2-гидрокси-1-нафтилметилен и подобные; азотсодержащие гетероциклические алкилиденовые группы, такие как 3-гидрокси-4-пиридилметилен и подобные; циклоалкилиденовые группы, такие как циклогексилиден, 2-этоксикарбонилциклогексилиден, 2-этоксикарбонилциклопентилиден, 2-ацетилциклогексилиден, 3,3-диметил-5-оксициклогексилиден и подобные; ди-арил или ди-арил-низшие алкилфосфорильные группы, такие как дифенилфосфорил, дибензилфосфорил и подобные; кислородсодержащие гетероциклические алкильные группы, такие как 5-метил-2-оксо-2Н-1,3-диоксол-4-илметил и подобные; и низшие алкилзамещенные силильные группы, такие как триметилсисильная группа и подобные.
К защитным группам для гидроксильной группы и меркаптогруппы могут относиться все группы, обычно применяемые для защиты гидроксильной группы. Примеры таких групп включают ацильные группы, такие как бензилоксикарбонил, 4-нитробензилоксикарбонил, 4-бромбензилоксикарбонил, 4-метоксибензилоксикарбонил, 3,4-диметоксибензилоксикарбонил, метоксикарбонил, этоксикарбонил, трет-бутоксикарбонил, 1,1-диметилпропоксикарбонил, изопропоксикарбонил, изобутилоксикарбонил, дифенилметоксикарбонил, 2,2,2-трихлорэтоксикарбонил, 2,2,2-трибромэтоксикарбонил, 2-(триметилсилил)этоксикарбонил, 2-(фенилсульфонил)этоксикарбонил, 2-(трифенилфосфонио)этоксикарбонил, 2-фурфурилоксикарбонил, 1-адамантилоксикарбонил, винилоксикарбонил, аллилоксикарбонил, S-бензилтиокарбонил, 4-этокси-1-нафтилоксикарбонил, 8-хинолилоксикарбонил, ацетил, формил, хлорацетил, дихлорацетил, трихлорацетил, трифторацетил, метоксиацетил, феноксиацетил, пивалоил, бензоил и подобные; низшие алкильные группы, такие как метил, трет-бутил, 2,2,2-трихлорэтил, 2-триметилсилилэтил и подобные; низшие алкенильные группы, такие как аллил и подобные; арил-низшие алкильные группы, такие как бензил, п-метоксибензил, 3,4-диметоксибензил, дифенилметил, тритил и подобные; кислородсодержащие и серосодержащие гетероциклические группы, такие как тетрагидрофурил, тетрагидропиранил, тетрагидротиопиранил и подобные; низшие алкокси- и низшие алкилтио-низшие алкильные группы, такие как метоксиметил, метилтиометил, бензилоксиметил, 2-метоксиэтоксиметил, 2,2,2-трихлорэтоксиметил, 2-(триметилсилил)этоксиметил, 1-этоксиэтил и подобные; алкан- и алленсульфонильные группы, такие как метансульфонил, п-толуолсульфонил и подобные; замещенные силильные группы, такие как триметилсилил, триэтилсилил, триизопропилсилил, диэтилизопропилсилил, трет-бутилдиметилсилил, трет-бутилдифенилсилил, дифенилметилсилил, трет-бутилметоксифенилсилил и подобные; замещенные арильные группы, такие как гидрохинон, п-метоксифенол и подобные; енол-(простые)эфирные группы, такие как (2-метил-3-оксо-1-циклопентен-1-ил) и подобные.
К защитным группам для карбамоильной группы могут относиться все группы, обычно применяемые для защиты карбамоильной группы. Примеры таких групп включают арил-низшие алкильные группы, такие как бензил, 4-метоксибензил, 2,4-диметоксибензил и подобные; низшие алкоксиалкильные группы, такие как метоксиметил и подобные; арил-низшие алкоксигруппы, такие как бензилоксиметил и подобные; замещенные силильные низшие алкокси-низшие алкильные группы, такие как трет-бутилдиметилсилоксиметил и подобные; низшие алкоксигруппы, такие как метокси и подобные; арил-низшие алкоксигруппы, такие как бензилокси и подобные; низшие алкилтиогруппы, такие как метилтио, трифенилметилтио и подобные; арил-низшие алкилтиогруппы, такие как бензилтио и подобные; замещенные силильные группы, такие как трет-бутилдиметилсилил и подобные; арильные группы, такие как 4-метоксифенил, 4-метоксиметилфенил, 2-метокси-1-нафтил и подобные; ацильные группы, такие как трихлорэтоксикарбонил, трифторацетил, трет-бутоксикарбонил и подобные, и т.д.
Заместители гидроксильной группы, представленной R3, R4, R5, R6, Z2, Z3, Z4 и Z5, которая может быть замещена, могут включать защищенную или незащищенную карбоксильную группу, низшую алкильную группу, низшую алкоксикарбонильную группу, арильную группу, циклоалкильную группу, низшую алкенильную группу, низшую алкильную группу, содержащую галоген, и гетероциклическую группу. Для замещения могут быть использованы один или более типов заместителей, выбранных из указанных выше заместителей.
Заместители аминогруппы, представленной R3, R4, R5, R6, Z2, Z3, Z4 и Z5, которая может быть замещена, могут включать замещенные, защищенные или незащищенные карбоксильные, гидроксильные, амино- и низшие алкиламиногруппы, низшая алкильная группа, низшая алкоксигруппа, низшая алкоксикарбонильная группа, арильная группа, циклоалкильная группа, низшая алкенильная группа, низшая алкильная группа, содержащая галоген, и гетероциклическая группа. Для замещения могут быть использованы один или более заместителей, выбранных из вышеупомянутых групп.
Заместители фенилсульфанильной группы, фенилсульфинильной группы и фенилсульфонильной группы, представленной R22, могут включать низшие алкильные группы, такие как метил, этил и подобные.
Соли соединений общих формул [1] и [21] обычно могут включать известные соли, образуемые основной группой, такой как аминогруппа и т.д., и соли, образуемые кислотной группой, такой как гидроксильная группа, фосфорильная группа, карбоксильная группа и т.д. Соли, образуемые основной группой, включают, например, соли неорганической кислоты, такой как хлористоводородная кислота, бромистоводородная кислота, серная кислота и подобные; соли органической кислоты, такой как винная кислота, муравьиная кислота, лимонная кислота, трихлоруксусная кислота, трифторуксусная кислота и подобные, и соли сульфоновой кислоты, такой как метансульфокислота, бензолсульфокислота, п-толуолсульфокислота, мезитиленсульфокислота, нафталинсульфокислота и подобные. Соли, образуемые кислотной группой, включают соли со щелочным металлом, таким как натрий, калий и подобные; соли со щелочноземельным металлом, таким как кальций, магний и подобные; аммониевые соли; и соли с азотсодержащими органическими основаниями, такими как триметиламин, триэтиламин, трибутиламин, пиридин, N,N-диметиланилин, N-метилпиперидин, N-метилморфолин, дмэтиламин, дициклогексиламин, прокаин, дибензиламин, N-бензил- -фенэтиламин, 1-эфенамин, N,N’-дибензилэтилендиамин и подобные.
Из солей, упомянутых выше, предпочтительными являются фармакологически приемлемые соли.
В некоторых случаях соединения общих формул [1] и [21] и их соли имеют изомеры, такие как оптические изомеры, геометрические изомеры и таутомеры. В таких случаях настоящее изобретение включает указанные изомеры и, кроме того, включает сольватированные продукты, гидраты, а также различные кристаллические формы.
Из фармацевтических композиций согласно настоящему изобретению предпочтительными фармацевтическими композициями являются противовирусные агенты, и, кроме того, предпочтительными противовирусными композициями являются агенты против вируса гриппа, вируса RS (саркомы Рауса), вируса СПИДа, вируса папилломы, аденовируса, вируса гепатита А, вируса гепатита В, вируса гепатита С, вируса полиомиелита, ЕСНО-вируса, вируса Коксаки, энтеровируса, риновируса, ротавируса, вируса ньюкаслской болезни, вируса паротита, вируса везикулярного стоматита и вируса японского энцефалита. Еще более предпочтительными противовирусными агентами являются такие, которые направлены против ротавируса, вируса RS и вируса гриппа. Наиболее предпочтительным противовирусным агентом является средство против вируса гриппа.
Из соединений согласно настоящему изобретению предпочтительными соединениями являются такие соединения, у которых R3, R4, R5 и R6, которые могут быть одинаковыми или различными, представляют собой атом водорода, атом галогена или замещенную или незамещенную, защищенную или незащищенную гидроксильную группу или R4 и R6 вместе взятые образуют простую связь, и соли таких соединений, и, кроме того, предпочтительными соединениями являются такие соединения, у которых R2 представляет собой атом водорода или защищенную или незащищенную группу монофосфорной кислоты или трифосфорной кислоты; и наиболее предпочтительными соединениями являются такие соединения, у которых R2 представляет собой атом водорода или защищенную или незащищенную группу монофосфорной кислоты R3, R4, R5 и R6, которые могут быть одинаковыми или различными, представляют собой атом водорода или защищенную или незащищенную гидроксильную группу, А означает атом кислорода, и n равно 0, а также соли соединений; и, кроме того, более предпочтительными соединениями являются такие соединения, у которых R2 представляет собой атом водорода, а также соли указанных соединений.
К еще более предпочтительным соединениям относятся соединения, у которых R1 означает атом водорода, атом хлора или атом фтора, а также соли указанных соединений; и к предпочтительным соединениям также относятся такие соединения, у которых R1 означает атом водорода или атом фтора, а также соли указанных соединений.
Из промежуточных соединений согласно настоящему изобретению предпочтительными являются такие соединения, у которых R21 означает атом водорода, метильную группу, галогенированную метильную группу, формильную группу, нитрильную группу, галогенированную карбонильную группу или защищенную или незащищенную гидроксиметильную, карбамоильную или карбоксильную группу, а также соли указанных соединений; и, кроме того, предпочтительными являются такие соединения, у которых R22 означает защищенную или незащищенную гидроксильную группу или аминогруппу, атом галогена, нитрогруппу или азидогруппу, а также соли указанных соединений; и еще предпочтительными являются такие соединения, у которых R21 означает метильную группу, галогенированную метильную группу, формильную группу, карбамоильную группу, нитрильную группу, галогенированную карбонильную группу или защищенную или незащищенную гидроксиметильную или карбоксильную группу, а также соли указанных соединений; и более предпочтительными являются такие соединения, у которых R21 означает галогенированную метильную группу, формильную группу, карбамоильную группу, нитрильную группу, галогенированную карбонильную группу или защищенную или незащищенную гидроксиметильную или карбоксильную группу, а также соли указанных соединений; и еще более предпочтительными являются такие соединения, у которых R21 означает карбамоильную группу, защищенную или незащищенную карбоксильную группу, нитрильную группу или галогенированную карбонильную группу, а также соли указанных соединений. Однако среди упомянутых выше соединений исключаются такие соединения, где R21 означает карбамоильную группу или карбамоильную группу, замещенную ацильной группой, и R22 означает гидроксильную группу, а также такие соединения, где R21 означает атом водорода и R22 означает атом водорода.
Среди соединений согласно настоящему изобретению типичными являются, например, такие соединения, которые приведены в таблице I-1, где “Bn” представляет собой бензильную группу и “-” представляет собой простую связь.

| Таблица I-1 |
| R1 |
R2 |
R3 |
R4 |
R5 |
R6 |
A |
n |
Y |
| H |
H |
H |
OH |
H |
OH |
O |
0 |
NH |
| H |
H |
H |
OH |
H |
OH |
O |
0 |
S |
| 6-F |
H |
H |
OH |
H |
OH |
O |
0 |
NH |
| 6-F |
H |
H |
OH |
H |
H |
O |
0 |
O |
| H |
H |
H |
OH |
H |
H |
O |
0 |
O |
| H |
H |
H |
OH |
H |
F |
O |
0 |
O |
| 6-F |
H |
H |
OH |
H |
NH2 |
O |
0 |
O |
| 6-F |
H |
H |
NH2 |
H |
OH |
O |
0 |
O |
| 6-F |
H |
H |
OH |
OH |
H |
O |
0 |
O |
| H |
H |
H |
OH |
H |
NH2 |
O |
0 |
O |
| H |
H |
H |
NH2 |
H |
OH |
O |
0 |
O |
| H |
H |
H |
OH |
OH |
H |
O |
0 |
O |
| H |
H |
H |
OH |
F |
H |
O |
0 |
O |
| H |
H |
H |
OH |
N3 |
H |
O |
0 |
O |
| 6-F |
H |
H |
N3 |
H |
H |
O |
0 |
O |
| 6-F |
H |
H |
H |
H |
H |
O |
0 |
O |
| 6-F |
(HO)2PO |
H |
OH |
H |
OH |
O |
0 |
O |
| H |
H |
H |
N3 |
H |
H |
O |
0 |
O |
| H |
H |
H |
H |
H |
H |
O |
0 |
O |
| H |
(HO)2PO |
H |
OH |
H |
OH |
O |
0 |
O |
| H |
(BnO)2PO |
H |
OH |
H |
OH |
O |
0 |
O |
| 6-F |
H |
H |
OH |
H |
OH |
CH2 |
0 |
O |
| H |
H |
H |
OH |
H |
OH |
CH2 |
0 |
O |
| H |
H |
H |
OH |
OH |
H |
CH2 |
0 |
O |
| H |
H |
H |
H |
H |
H |
CH2 |
0 |
O |
| H |
H |
H |
– |
H |
– |
CH2 |
0 |
O |
| H |
H |
H |
OH |
H |
H |
O |
1 |
O |
| H |
H |
H |
OH |
H |
OH |
O |
1 |
O |
| 6-F |
H[OP(O)OH]3 |
H |
OH |
H |
OH |
O |
0 |
O |
| H |
H[OP(O)OH]3 |
H |
OH |
H |
OH |
O |
0 |
O |
| 6-F |
[CH2=CHCH2O]P(O) |
H |
OH |
H |
OH |
O |
0 |
O |
| H |
[CH2=CHCH2O]P(O) |
H |
OH |
H |
OH |
O |
0 |
O |
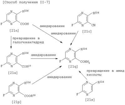
Типичные промежуточные соединения для соединений настоящего изобретения приведены в следующих таблицах от II-1 до II-5, где “Et” представляет собой этильную группу, “Ac” представляет собой ацетильную группу, “Ph” представляет собой фенильную группу, “Bz” представляет собой бензоильную группу, “tBu” представляет собой трет-бутильную группу, “OPh(p-OH)” представляет собой парагидроксифенилоксигруппу и “C6H7O” представляет собой 2-метил-3-оксо-1-циклопентен-1-ильную группу.
| Таблица II-1 |
| R21 |
R22 |
| H |
OCH3 |
| H |
NH2 |
| CH3 |
H |
| CH3 |
OH |
| CH3 |
OCH3 |
| CH3 |
NH2 |
| CH3 |
F |
| CH2OH |
H |
| CH2OH |
OH |
| CH2OH |
OCH3 |
| CH2OH |
NH2 |
| CH2OH |
F |
| CH2Cl |
H |
| CH2Cl |
OH |
| CH2Cl |
OCH3 |
| CH2Cl |
NH2 |
| CH2Cl |
F |
| CH2Br |
H |
| CH2Br |
OH |
| CH2Br |
NH2 |
| Таблица II-2 |
| R21 |
R22 |
| CHO |
H |
| CHO |
OH |
| CHO |
OCH3 |
| CHO |
NH2 |
| CHO |
F |
| CONH2 |
H |
| CONH2 |
OCH3 |
| CONH2 |
NH2 |
| CONH2 |
Cl |
| CONH2 |
F |
| CONH2 |
NO2 |
| CONH2 |
N3 |
| COOH |
H |
| COOH |
OH |
| COOH |
OCH3 |
| COOH |
NH2 |
| COOH |
F |
| COOH |
NO2 |
| COOH |
N3 |
| Таблица II-3 |
| R21 |
R22 |
| COOCH3 |
H |
| COOCH3 |
OH |
| COOCH3 |
OCH3 |
| COOCH3 |
NH2 |
| COOCH3 |
F |
| COOCH3 |
NO2 |
| COOEt |
H |
| COOEt |
OH |
| COOEt |
OCH3 |
| CN |
H |
| CN |
OH |
| CN |
OCH3 |
| CN |
NH2 |
| CN |
F |
| CN |
NO2 |
| CN |
N3 |
| CN |
OCH2Ph |
| CN |
OCH2CH=CH2 |
| CN |
OPh(p-OH) |
| CN |
SPh |
| CN |
SOPh |
| CN |
SO2Ph |
| CN |
OSO2CH3 |
| CN |
OC6H7O |
| COCl |
OH |
| COCl |
OCH3 |
| COCl |
NH2 |
| COCl |
F |
| COF |
OCH3 |
| COF |
NH2 |
| COF |
F |
| Таблица II-4 |
| R21 |
R22 |
| CONHAc |
H |
| CONHAc |
OCH3 |
| CONHAc |
NH2 |
| CONHAc |
Cl |
| CONHAc |
F |
| CONHAc |
NO2 |
| CONHAc |
N3 |
| CONHBz |
OCH3 |
| CONHBz |
NH2 |
| CONHBz |
Cl |
| CONHBz |
F |
| CONHBz |
NO2 |
| CONHBz |
N3 |
| CONHC(O)tBu |
OCH3 |
| CONHC(O)tBu |
NH2 |
| CONHC(O)tBu |
Cl |
| CONHC(O)tBu |
F |
| CONHC(O)tBu |
NO2 |
| CONHC(O)tBu |
N3 |
| Таблица II-5 |
| R21 |
R22 |
| CONHCH2Ph |
OCH3 |
| CONHCH2Ph |
NH2 |
| CONHCH2Ph |
Cl |
| CONHCH2Ph |
F |
| CONHCH2Ph |
NO2 |
| CONHCH2Ph |
N3 |
| CONHCH2OCH2Ph |
OCH3 |
| CONHCH2OCH2Ph |
NH2 |
| CONHCH2OCH2Ph |
Cl |
| CONHCH2OCH2Ph |
F |
| CONHCH2OCH2Ph |
NO2 |
| CONHCH2OCH2Ph |
N3 |
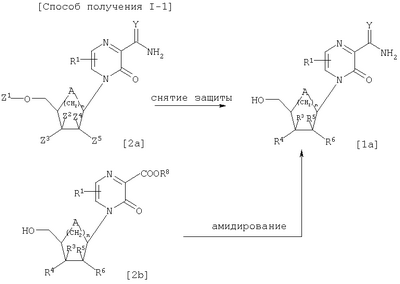
Ниже описаны способ получения соединений согласно настоящему изобретению.
Соединения согласно настоящему изобретению могут быть получены по схемам способа синтеза от I-1 до I-4, представленным ниже.

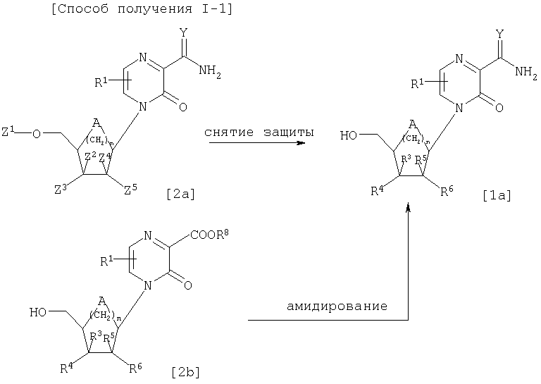
где R1, R3, R4, R5, R6, A, Y и n являются такими, как определено выше; R8 представляет собой низшую алкильную группу; Z1 представляет собой атом водорода или защитную группу для гидроксильной группы; Z2, Z3, Z4 и Z5, которые могут быть одинаковыми или различными, представляют собой атом водорода, атом галогена, азидогруппу, защищенную гидроксигруппу или аминогруппу; или Z3 и Z5, взятые вместе, образуют простую связь.
(а) Соединение общей формулы [1а] или его соль могут быть получены путем снятия защитной группы у соединения общей формулы [2а] или его соли.
Растворитель, который используют в указанной реакции, не ограничен, если только растворитель не оказывает вредного воздействия на реакцию. Примеры растворителей включают ароматические углеводороды, такие как бензол, толуол, ксилол и подобные; простые эфиры, такие как диоксан, тетрагидрофуран, анизол, диэтиловый эфир диэтиленгликоля, диметилцеллозольв и подобные; нитрилы, такие как ацетонитрил и подобные; амиды, такие как N,N-диметилацетамид и подобные; спирты, такие как метанол, этанол, пропанол и подобные; сульфоксиды, такие как диметилсульфоксид и подобные; воду и т.д. Перечисленные растворители могут быть использованы как таковые или в виде смеси двух или более растворителей.
В качестве реагента для снятия защитной группы могут быть использованы реагенты, которые обычно применяют для снятия защиты у гидроксильной группы, аминогруппы и группы фосфорной кислоты. Однако предпочтительными являются основания, такие как метоксид натрия, газообразный водород, газообразный аммиак, водный раствор аммиака, бутиламин и подобные; кислоты, такие как муравьиная кислота, водный раствор уксусной кислоты, водный раствор трифторуксусной кислоты, хлористоводородная кислота и подобные; палладиевые катализаторы, такие как тетракис-трифенилфосфинпалладий (0) и подобные; и фосфины, такие как трифенилфосфин и подобные. Указанные реагенты для снятия защиты могут быть использованы в комбинации или могут быть получены в реакционной системе. Реагент для снятия защиты используют в количестве, по крайней мере, 0,01 моль на моль соединения общей формулы [2а] или его соли. Если желательно, то можно использовать реагент для снятия защиты в качестве растворителя.
Реакцию снятия защиты обычно проводят при температуре от -50 до 170°С и предпочтительно от -20 до 100°С, в течение времени от 1 минуты до 100 часов и предпочтительно в течение времени от 5 минут до 50 часов.
(b) Соединение общей формулы [1а], в которой Y означает атом кислорода, или его соль могут быть получены с помощью реакции аммонолиза эфира карбоновой кислоты соединения общей формулы [2b] или его соли в присутствии или в отсутствие катализатора.
Растворитель, используемый в указанной реакции, не ограничен, если только он не оказывает вредного воздействия на реакцию. Примеры растворителя включают ароматические углеводороды, такие как бензол, толуол, ксилол и подобные; простые эфиры, такие как диоксан, тетрагидрофуран, анизол, диэтиловый эфир диэтиленгликоля, диметилцеллозольв и подобные; нитрилы, такие как ацетонитрил и подобные; амиды, такие как N,N-диметилформамид, N,N-диметилацетамид и подобные; спирты, такие как метанол, этанол, пропанол и подобные; сульфоксиды, такие как диметилсульфоксид и подобные; воду и т.д. Перечисленные растворители могут быть использованы как таковые или в виде смеси двух или более растворителей. Реакция может быть осуществлена в присутствии реагентов и в условиях, которые обычно используют в реакции аммонолиза ароматических эфиров карбоновых кислот. Однако предпочтительно использовать газообразный аммиак, жидкий аммиак или водный раствор аммиака. Указанные реагенты используют в количестве, по крайней мере, 0,5 моль на моль соединения формулы [2b] или его соли. Также можно использовать указанные растворители в качестве растворителя, если желательно. К катализатору, который может быть при необходимости использован в указанной реакции, относятся кислые аммониевые соли, такие как хлористый аммоний; основания, такие как метоксид натрия, бутиллитий и подобные; и амиды щелочных металлов, такие как амид натрия и подобные. Катализатор применяют в количестве от 0,01 моль до 100 моль и предпочтительно от 0,01 до 20 моль на моль соединения формулы [2b] или его соли.
Реакцию обычно проводят при температуре от -100 до 250°С и предпочтительно от -78 до 100°С в течение времени от 1 минуты до 72 часов и предпочтительно от 30 минут до 50 часов.

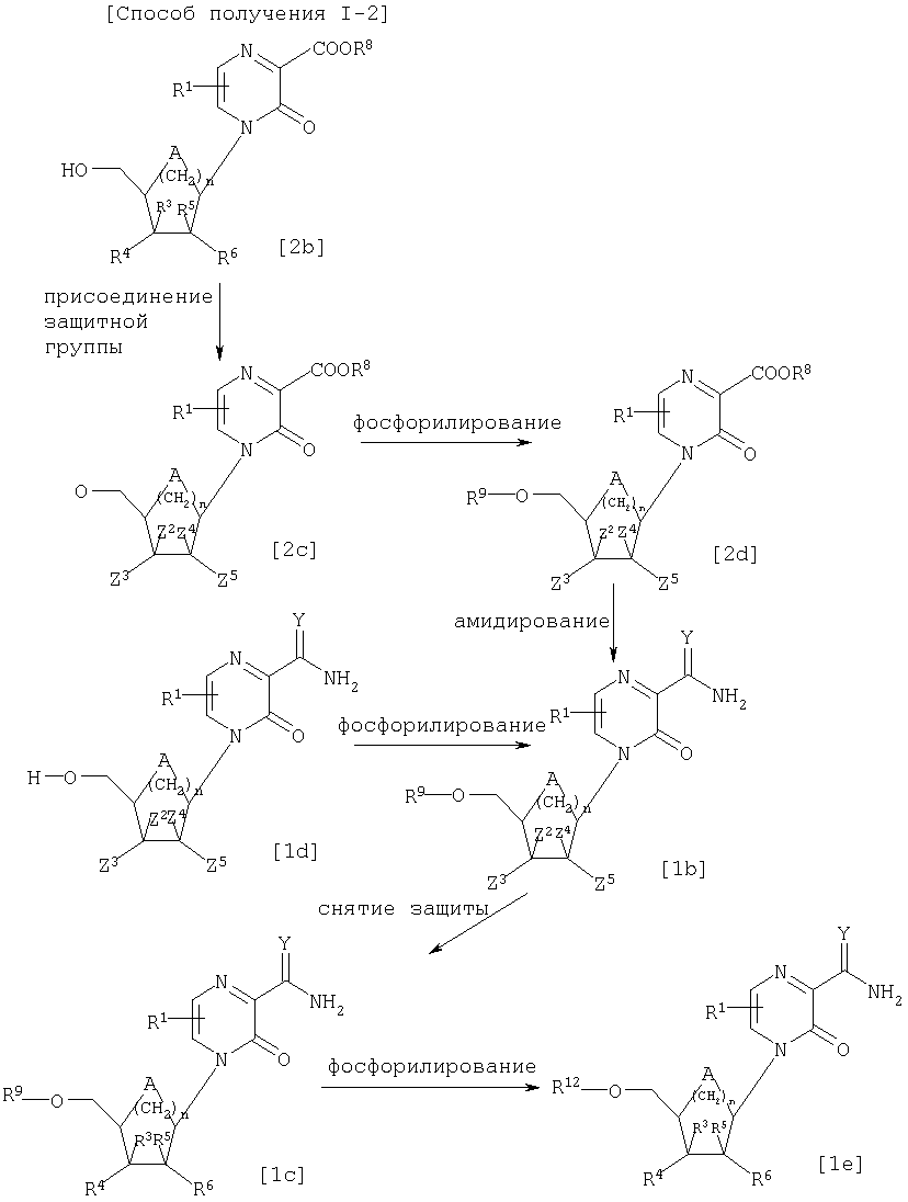
где R1, R3, R4, R5, R6, R8, Z2, Z3, Z4, Z5, A, n и Y являются такими, как определено выше; R9 представляет собой защищенную или незащищенную группу монофосфорной кислоты или хлорангидрид монофосфорной кислоты; и R12 представляет собой защищенную или незащищенную группу дифосфорной кислоты или трифосфорной кислоты.
(а) Соединение общей формулы [2 с] или его соль могут быть получены путем защиты соединения общей формулы [2b] или его соли реагентом в присутствии или в отсутствие кислотного катализатора или основания.
Растворитель, используемый в указанной реакции, не строго ограничен, если только он не оказывает вредного воздействия на реакцию. Примеры растворителя включают ароматические углеводороды, такие как бензол, толуол, ксилол и подобные; простые эфиры, такие как диоксан, тетрагидрофуран, анизол, диэтиловый эфир диэтиленгликоля, диметилцеллозольв и подобные; нитрилы, такие как ацетонитрил и подобные; амиды, такие как N,N-диметилацетамид и подобные; спирты, такие как метанол, этанол, пропанол и подобные; сульфоксиды, такие как диметилсульфоксид и подобные; кетоны, такие как ацетон и подобные; воду и т.д. Перечисленные растворители могут быть использованы как таковые или в виде смеси двух или более растворителей.
В качестве реагента используют такие, которые обычно применяют для защиты гидроксильной группы и аминогруппы и предпочтительно 2,2-диметоксипропан, ацетилхлорид и бензоилхлорид. Если желательно, то указанные реагенты могут быть получены в реакционной системе. Количество реагента составляет, по крайней мере, эквимолярное количество и предпочтительно 1,0-10 моль на моль соединения формулы [2b] или его соли.
К кислотному катализатору или основанию, используемому в данной реакции, относится, например, п-толуолсульфокислота, триэтиламин и подобные. Количество указанных соединений может быть для обоих 0,01-10 моль и предпочтительно 0,05-10 моль на моль соединения формулы [2b] или его соли.
Указанную реакцию обычно проводят при температуре от -50 до 170°С и предпочтительно от 0 до 150°С в течение времени от одной минуты до 24 часов и предпочтительно от 5 минут до 10 часов.
(b) Соединение общей формулы [2d] или его соль может быть получено (1) взаимодействием соединения общей формулы [2с] или его соли с фосфорилирующим реагентом в присутствии или в отсутствие добавки согласно способу, описанному в Jikken Kadaku Koza, 4th Edition, Vol, 22, Pages 313-438 (edited by the Chemical Society Japan (corporate juridical person), 1992) или путем (2) взаимодействием указанного соединения с фосфитизирующим реагентом и затем с окислителем.
В способе (1) растворитель, который применяют в данной реакции, не строго ограничен, если только растворитель не оказывает вредного воздействия на реакцию. Примеры растворителя включают ароматические углеводороды, такие как бензол, толуол, ксилол и подобные; простые эфиры, такие как диоксан, тетрагидрофуран, анизол, диэтиловый эфир диэтиленгликоля, диметилцеллозольв и подобные; нитрилы, такие как ацетонитрил и подобные; амиды, такие как N,N-диметилформамид, N,N-диметилацетамид и подобные; сульфоксиды, такие как диметилсульфоксид и подобные; пиридин и т.д. Перечисленные растворители могут быть использованы как таковые или в виде смеси двух или более растворителей.
В качестве фосфорилирующего реагента могут быть использованы реагенты, которые обычно используют для фосфорилирования гидроксильной группы. Примеры такого фосфорилирующего агента включают сложные диэфиры фосфорной кислоты, такие как дибензилфосфат и подобные; дитиоэфиры фосфорной кислоты, такие как S,S’-дифенилфосфородитиоат моноциклогексиламмония и подобные; хлорангидриды фосфорной кислоты, такие как хлористый фосфорил, диаллилхлорфосфонат и подобные и т.д. Фосфорилирующий реагент применяют, по крайней мере, в эквимолярном количестве и предпочтительно в количестве 1,0-5,0 моль на моль соединения формулы [2с] или его соли. К добавкам относятся, например, азосоединения, такие как диэтиловый эфир азодикарбоновой кислоты, диизопропиловый эфир азодикарбоновой кислоты и подобные; фосфины, такие как трифенилфосфин и подобные; хлорангидриды алленсульфокислоты, такие как хлорангидриды 2,4,6-триизопропилбензолсульфокислоты и подобные и т.д.; основания, такие как пиридин, хлорид трет-бутилата магния и подобные; и т.д. Если желательно, то указанные добавки могут быть использованы в комбинации. Добавку применяют, по крайней мере, в эквимолярном количестве и предпочтительно в количестве 1,0-5,0 моль на моль соединения формулы [2с] или его соли.
Указанную реакцию обычно проводят при температуре от -50 до 170°С и предпочтительно от 0 до 100°С в течение времени от 1 минуты до 72 часов и предпочтительно от 5 минут до 24 часов.
В способе (2) растворитель, который применяют в данной реакции, не строго ограничен, если только растворитель не оказывает вредного воздействия на реакцию. Примеры растворителя включают ароматические углеводороды, такие как бензол, толуол, ксилол и подобные; простые эфиры, такие как диоксан, тетрагидрофуран, анизол, диэтиловый эфир диэтиленгликоля, диметилцеллозольв и подобные; нитрилы, такие как ацетонитрил и подобные; амиды, такие как N,N-диметилформамид, N,N-диметилацетамид и подобные; сульфоксиды, такие как диметилсульфоксид и подобные; пиридин и т.д. Перечисленные растворители могут быть использованы как таковые или в виде смеси двух или более растворителей.
В качестве фосфитизирующих реагентов могут быть применены такие реагенты, которые обычно используют в реакции фосфитизации гидроксильной группы. Примеры включают фосфорамидиты, такие как диаллилдиизопропилфосфорамидит и подобные, и хлорангидриды фосфористой кислоты, такие как диаллилфосфорхлоридит и подобные. Фосфитизирующий реагент применяют, по крайней мере, в эквимолярном количестве и предпочтительно в количестве 1,0-3,0 моль на моль соединения формулы [2с] или его соли. В качестве добавки используют, например, соединения тетразола, такие как 1Н-тетразол и подобные, и основания, такие как пиридин, коллидин и подобные, и указанные добавки можно использовать в комбинации, если желательно. Добавку используют, по крайней мере, в эквимолярном количестве и предпочтительно в количестве 1,0-5,0 моль на моль соединения формулы [2с] или его соли.
К окислителям, применяемым в данной реакции, можно отнести, например, перекиси, такие как м-хлорнадбензойная кислота, трет-бутилгидроперекись и подобные, и галогенные соединения, такие как йод и подобные. Окислитель используют, по крайней мере, в эквимолярном количестве и предпочтительно в количестве 1,0-5,0 моль на моль соединения формулы [2с] или его соли.
Указанную реакцию обычно проводят при температуре от -78 до 100°С и предпочтительно при температуре от -50 до 50°С в течение времени от 1 минуты до 24 часов и предпочтительно от 5 минут до 6 часов.
(с) Соединение общей формулы [1b] или его соль могут быть получены по реакции согласно способу I-1(b), используя соединение общей формулы [2d] или его соль.
(d) Соединение общей формулы [1с] или его соль могут быть получены по реакции согласно способу I-1(а), используя соединение общей формулы [1b] или его соль.
(e) Соединение общей формулы [1b] или его соль могут быть получены по реакции согласно способу I-2(b), используя соединение общей формулы [1d] или его соль.
(f) Соединение общей формулы [1е] или его соль могут быть получены взаимодействием соединения общей формулы [1с] или его соли с фосфорилирующим агентом в присутствии или в отсутствие конденсирующего реагента согласно способу, описанному, например, в Chem. Rev., Vol.100, Pages 2047-2059 (2000).
Растворитель, который применяют в данной реакции, не строго ограничен, если только растворитель не оказывает вредного воздействия на реакцию. Примеры растворителя включают ароматические углеводороды, такие как бензол, толуол, ксилол и подобные; простые эфиры, такие как диоксан, тетрагидрофуран, анизол, диэтиловый эфир диэтиленгликоля, диметилцеллозольв и подобные; нитрилы, такие как ацетонитрил и подобные; амиды, такие как N,N-диметилформамид, N,N-диметилацетамид и подобные; сульфоксиды, такие как диметилсульфоксид и подобные; пиридин и т.д. Перечисленные растворители могут быть использованы в виде одного растворителя или в виде смеси двух или более растворителей.
В качестве фосфорилирующего реагента могут быть использованы такие реагенты, которые обычно применяют для фосфорилирования группы монофосфорной кислоты. Примеры такого фосфорилирующего агента включают соли фосфорной кислоты, такие как фосфат три-н-бутиламмония, пирофосфат н-бутиламмония и подобные, и указанные фосфорилирующие реагенты могут быть синтезированы в реакционной системе, если желательно. Фосфорилирующий реагент применяют, по крайней мере, в эквимолярном количестве и предпочтительно в количестве 1,0-10 моль на моль соединения формулы [1с] или его соли. В качестве конденсирующего реагента могут быть использованы, например, имидазолы, такие как N,N-карбонилдиимидазол, N-метилимидазол и подобные, и амины, такие как морфолин, диизопропиламин и подобные, и такие амины могут быть применены в комбинации, если желательно. Конденсирующий реагент используют, по крайней мере, в эквимолярном количестве и предпочтительно в количестве 1,0-5,0 моль на моль соединения формулы [1 с] или его соли.
Указанную реакцию проводят при температуре от -50 до 100°С и предпочтительно при температуре от 0 до 50°С в течение времени от 1 минуты до 72 часов и предпочтительно от 5 минут до 24 часов.

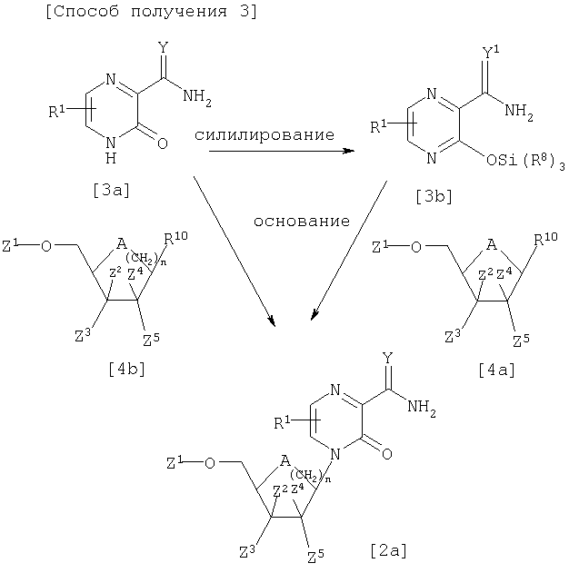
где R1, R8, A, n, Z1, Z2, Z3, Z4 и Z5 являются такими, как определено выше; Y1 представляет собой атом кислорода или NH-группу, и R10 представляет собой атом галогена, карбонилоксигруппу или сульфонилоксигруппу.
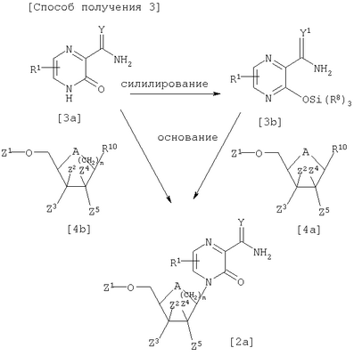
(а) Соединение общей формулы [2а] или его соль могут быть получены путем (1) превращения соединения общей формулы [3а] или его соли в соединение общей формулы [3b] или его соль согласно обычному способу силилирования в присутствии или в отсутствие добавки и с последующим (2) взаимодействием полученного соединения с соединением общей формулы [4а] или его солью в присутствии или в отсутствие кислоты Льюиса.
Растворитель, который применяют в данной реакции, не строго ограничен, если только растворитель не оказывает вредного воздействия на реакцию. Примеры растворителя включают ароматические углеводороды, такие как бензол, толуол, ксилол и подобные; простые эфиры, такие как диоксан, тетрагидрофуран, анизол, диэтиловый эфир диэтиленгликоля, диметилцеллозольв и подобные; нитрилы, такие как ацетонитрил и подобные; амиды, такие как N,N-диметилформамид, N,N-диметилацетамид и подобные; сульфоксиды, такие как диметилсульфоксид и подобные; и галогенированные углеводороды, такие как метиленхлорид, хлороформ, дихлорэтан и подобные. Перечисленные растворители могут быть использованы в виде одного растворителя или в виде смеси двух или более растворителей.
Силилирующий реагент, используемый в реакции (1), может быть любым силилирующим реагентом, которые обычно применяют для превращения карбонильной группы в силил-еноловый простой эфир. Примеры таких реагентов включают 1,1,1,3,3,3-гексаметилдисилазан, N,O-бис(триметилсилил)ацетамид, триметилсилилхлорид и подобные. Силилирующий реагент применяют, по крайней мере, в эквимолярном количестве и предпочтительно в количестве 1,0-10,0 моль на моль соединения формулы [3а] или его соли.
К добавке, которую при необходимости можно использовать в указанной реакции, относится, например, сульфат аммония и подобные. Указанную добавку применяют в количестве 0,01-10,0 моль и предпочтительно 0,05-5,0 моль на моль соединения формулы [3а] или его соли.
Данную реакцию обычно проводят при температуре 0-200°С и предпочтительно при температуре 0-150°С в течение времени от 5 минут до 24 часов и предпочтительно от 5 минут до 12 часов.
В реакции (2) соединение формулы [4а] или его соль применяют в количестве 0,5-10 моль и предпочтительно 0,5-5 моль на моль соединения формулы [3а] или его соли.
К кислоте Льюиса, которую при необходимости можно использовать в данной реакции, относится, например, триметилсилилтрифторметансульфокислота, хлорид олова(IV), хлорид титана(IV), хлорид цинка и подобные. Кислоту Льюиса применяют, по крайней мере, в количестве 0,5 моль и предпочтительно в количестве 0,5-10 моль на моль соединения формулы [3а] или его соли.
Данную реакцию обычно проводят при температуре 0-100°С и предпочтительно при температуре 0-50°С в течение времени от 1 минуты до 72 часов и предпочтительно от 5 минут до 24 часов.
(b) Соединение общей формулы [2а] или его соль могут быть получены взаимодействием соединения общей формулы [3а] или его соли с соединением общей формулы [4b] или его солью в присутствии или в отсутствие добавки с использованием основания в качестве реагента, устраняющего кислотность.
Растворитель, который применяют в данной реакции, не строго ограничен, если только растворитель не оказывает вредного воздействия на реакцию. Примеры растворителя включают ароматические углеводороды, такие как бензол, толуол, ксилол и подобные; галогенированные углеводороды, такие как метиленхлорид, хлороформ, дихлорэтан и подобные; простые эфиры, такие как диоксан, тетрагидрофуран, анизол, диэтиловый эфир диэтиленгликоля, диметилцеллозольв и подобные; нитрилы, такие как ацетонитрил и подобные; амиды, такие как N,N-диметилформамид, N,N-диметилацетамид и подобные; сульфоксиды, такие как диметилсульфоксид и подобные и т.д. Перечисленные растворители могут быть использованы в виде одного растворителя или в виде смеси двух или более растворителей.
К основаниям, используемым в данной реакции, относятся, например, неорганические и органические основания, такие как триэтиламин, трет-бутоксид калия, карбонат калия, карбонат натрия, карбонат цезия, гидрид натрия и подобные. При осуществлении данной реакции соединение формулы [4b] или его соль используют в количестве 0,1-5 моль и предпочтительно 0,2-2 моль на моль соединения общей формулы [3а] или его соли. При осуществлении данной реакции основание используют в количестве 0,1-10 моль и предпочтительно 0,2-10 моль на моль соединения общей формулы [3а] или его соли.
К добавке, которую при необходимости можно использовать в указанной реакции, относятся, например, палладиевые катализаторы, такие как тетракис-трифенилфосфинпалладий и подобные; фосфины, такие как трифенилфосфин и подобные; и простые полиэфиры, такие как 18-краун-6-(простой)эфир и подобные. Указанную добавку применяют в количестве 0,01-10,0 моль и предпочтительно 0,03-5,0 моль на моль соединения формулы [3а] или его соли.
Данную реакцию обычно проводят при температуре от -50 до 170°С и предпочтительно при температуре от 0 до 120°С в течение времени от 1 минуты до 72 часов и предпочтительно от 5 минут до 24 часов.

где R1, A, n, Z1, Z2, Z3, Z4 и Z5 являются такими, как определено выше.
Соединение общей формулы [2g] или его соль могут быть получены взаимодействием соединения общей формулы [2f] или его соли с реагентом тионирования в присутствии или в отсутствие основания согласно описанию, например, Shin Jikken Kagaku Koza, Vol, 14, Pages 1819-1831 (edited by the Chemical Society Japan (corporate juridical person), 1978).
Растворитель, который применяют в данной реакции, не строго ограничен, если только растворитель не оказывает вредного воздействия на реакцию. Примеры растворителя включают ароматические углеводороды, такие как бензол, толуол, ксилол и подобные; галогенированные углеводороды, такие как метиленхлорид, хлороформ, дихлорэтан и подобные; простые эфиры, такие как диоксан, тетрагидрофуран, анизол, диэтиловый эфир диэтиленгликоля, диметилцеллозольв и подобные; амиды, такие как N,N-диметилформамид, N,N-диметилацетамид и подобные; сульфоксиды, такие как диметилсульфоксид и подобные, и т.д. Перечисленные растворители могут быть использованы как таковые или в виде смеси двух или более растворителей.
В качестве реагента тионирования могут быть использованы такие реагенты, которые обычно применяют для тионирования амидов кислот. Примеры таких реагентов включают газообразный сероводород, дифосфора пентасульфид, реагент Лаусона и т.д. Реагент тионирования применяют в данной реакции в количестве 0,1-10 моль и предпочтительно 0,2-5,0 моль на моль соединения общей формулы [2f] или его соли.
К основанию, применяемому в указанной реакции, например, относятся такие основания, как аммиак, триэтиламин, морфолин, пиридин, 4-диметиламинопиридин и подобные. При осуществлении данной реакции основание используют, по крайней мере, в количестве 0,01 моль на моль соединения формулы [2f] или его соли. Если желательно, то основание можно использовать в качестве растворителя.
Указанную реакцию обычно проводят при температуре от -50 до 170°С и предпочтительно от 0 до 120°С в течение времени от 1 минуты до 24 часов и предпочтительно от 5 минут до 6 часов.
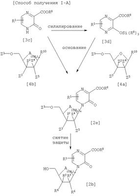
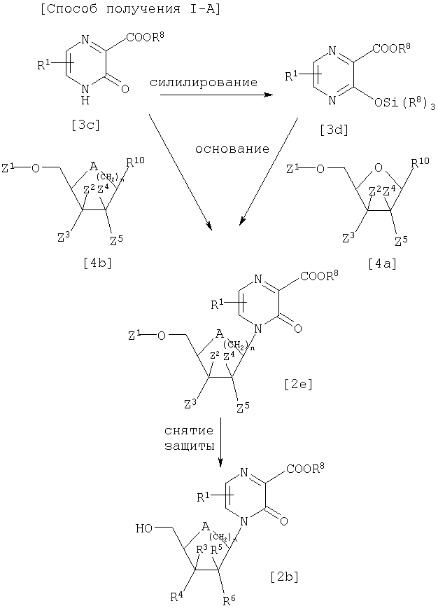
Далее будет описан способ получения соединений общих формул [2а], [2b], [3a’] и [3j] и их солей, которые являются исходными материалами для получения соединения согласно настоящему изобретению.
Соединения общих формул [2а], [2b], [3a’] и [3j] могут быть получены хорошо известными способами или соответствующей комбинацией способов. Например, указанные соединения могут быть получены согласно следующему способу I-A.

где R1, R3, R4, R5, R6, R8, A, n, Z1, Z2, Z3, Z4, Z5 и R10 являются такими, как определено выше.
(а) Соединение общей формулы [2е] или его соль могут быть получены взаимодействием соединения общей формулы [3с] или его соли с соединением общей формулы [4а] или его солью согласно способу синтеза I-3(a).
(b) Соединение общей формулы [2е] или его соль могут быть получены взаимодействием соединения общей формулы [3с] или его соли с соединением общей формулы [4b] или его соли согласно способу синтеза I-3(b).
(c) Соединение общей формулы [2b] или его соль могут быть получены реакцией соединения общей формулы [2e] или его соли согласно способу синтеза I-1(a).
Среди исходных материалов для осуществления вышеупомянутых реакций соединение общей формулы [3с] или его соль могут быть получены способом, например, описанным в J. Heterocyclic Chem., Vol.34, №1, Pages 27-32 (1997) или J. Med. Chem., Vol.12, №2, Pages 285-287 (1969); соединение общей формулы [4а] или его соль могут быть получены способом, например, описанным в J. Med. Chem., Vol.28, №7, Pages 904-910 (1985); и соединение общей формулы [4b] или его соль могут быть получены способом, описанным в J. Chem. Soc. PERKIN TRANS.1, Pages 2419-2425 (1992), J. Med. Chem., Vol.36, №14, Pages 2033-2040 (1993) или Bio. Med. Chem. Lett., Vol.6, №13, Pages 1457-1460 (1996).

где R8 является таким, как определено выше; R1a представляет собой атом галогена; R11 представляет собой защитную группу для гидроксильной группы и X представляет собой атом галогена, отличный от атома фтора.
(а) Соединение общей формулы [3f] или его соль могут быть получены реакцией соединения общей формулы [3е] или его соли с использованием диазотирующего реагента и спирта.
Растворители, применяемые в данной реакции, могут быть любыми растворителями, если только они не оказывают вредного воздействия на реакцию. Примеры растворителя включают неорганические кислоты, такие как серная кислота, хлористоводородная кислота, азотная кислота и подобные; простые эфиры, такие как диоксан, тетрагидрофуран, анизол, диэтиловый эфир диэтиленгликоля, диметилцеллозольв и подобные; галогенированные углеводороды, такие как дихлорметан, хлороформ, дихлорэтан и подобные; нитрилы, такие как ацетонитрил и подобные; амиды, такие как N,N-диметилформамид, N-метил-2-пирролидон и подобные; сульфоксиды, такие как диметилсульфоксид и подобные; амины и аминоокиси, такие как триэтиламин, N,N-диметиланилин, пиридин-N-оксид и подобные; кетоны, такие как ацетон и подобные; спирты, такие как метанол, этанол и подобные; воду и т.д. Если желательно, указанные растворители могут быть использованы в виде смеси. Диазотирующие реагенты, применяемые в данном изобретении, практически неограниченны, если их обычно используют для диазотирования ароматических аминосоединений. Однако предпочтительно, когда используют нитриты щелочных металлов, такие как нитрит натрия и подобные. Диазотирующий реагент применяют, по крайней мере, в эквимолярном количестве и предпочтительно в количестве 1,0-5,0 моль на моль соединения формулы [3е] или его соли.
К спирту, применяемому в данной реакции, относится, например, метанол и подобные. Спирт применяют, по крайней мере, в эквимолярном количестве по отношению к соединению формулы [3е] или его соли. Спирт можно использовать также в качестве растворителя, если желательно.
Указанную реакцию обычно проводят при температуре от -70 до 200°С и предпочтительно при температуре от -50 до 100°С в течение времени от 1 минуты до 24 часов и предпочтительно от 30 минут до 10 часов.
(b) Соединение общей формулы [3g] или его соль могут быть получены (1) взаимодействием соединения общей формулы [3f] или его соли с имином в присутствии катализатора и основания в качестве реагента, способствующего устранению кислотности, согласно способу, описанному в литературе [Tetrahedron Letters, Vol.38, №36, Pages 6367-6370 (1997)], и (2) его гидролизом в присутствии добавки.
(1) При осуществлении реакции (1) используемые растворители не являются строго ограниченными, если только они не оказывают вредного воздействия на реакцию. Примеры растворителей включают ароматические углеводороды, такие как бензол, толуол, ксилол и подобные; простые эфиры, такие как диоксан, тетрагидрофуран, анизол, диэтиловый эфир диэтиленгликоля, диметилцеллозольв и подобные, и т.д. Перечисленные растворители могут быть использованы как таковые или в виде смеси двух или более растворителей.
Для осуществления данной реакции катализатор может быть выбран из комбинаций палладиевого катализатора, такого как ацетат палладия(II), трис(дибензилиден-ацетон)дипалладий и подобные, никелевого катализатора, такого как бис(1,5-циклооктадиен)никель (0) и подобные, и фосфинового лиганда, такого как 1,1′-бис(дифенилфосфино)ферроцен, (s)-(-)-2,2′-бис(дифенилфосфино)-1,1′-бинафтил и подобные. Катализатор применяют в количестве 0,001-1,0 моль и предпочтительно 0,002-0,5 моль на моль соединения формулы [3f] или его соли.
К основанию, используемому в данной реакции, относятся соли щелочного металла, такие как трет-бутоксид натрия, карбонат цезия и подобные. Основание применяют, по крайней мере, в эквимолярном количестве и предпочтительно в количестве 1,0-3,0 моль на моль соединения формулы [3f] или его соли.
К имину, используемому в данной реакции, относится, например, бензофенонимин и подобные. Имин применяют, по крайней мере, в эквимолярном количестве и предпочтительно в количестве 1,0-3,0 моль на моль соединения формулы [3f] или его соли.
Указанную реакцию обычно проводят при температуре 0-120°С и предпочтительно при температуре 5-100°С в течение времени от 1 минуты до 48 часов и предпочтительно от 5 минут до 24 часов.
(2) При осуществлении реакции (2) используемые растворители не являются строго ограниченными, если только они не оказывают вредного воздействия на реакцию. Применяются такие растворители, как например, простые эфиры, такие как диоксан, тетрагидрофуран, анизол, диэтиловый эфир диэтиленгликоля, диметилцеллозольв и подобные; спирты, такие как метанол, этанол и подобные; вода, и т.д. Перечисленные растворители могут быть использованы как таковые или в виде смеси двух или более растворителей.
К добавке, применяемой в указанной реакции, относятся, например, соли органических и неорганических кислот, такие как ацетат натрия, хлоргидрат гидроксиламина, муравьинокислый аммоний и подобные; неорганические кислоты, такие как хлористоводородная кислота и подобные, и палладиевые катализаторы, такие как палладий на углеродероде и подобные. Указанные добавки можно применять в комбинации, если желательно. Добавку применяют в количестве 0,01-50 моль и предпочтительно 0,1-20 моль на моль соединения общей формулы [3f] или его соли.
Указанную реакцию обычно проводят при температуре 0-120°С и предпочтительно при температуре 5-100°С в течение времени от 1 минуты до 48 часов и предпочтительно от 3 минут до 24 часов.
(с) Соединение общей формулы [3h] или его соль могут быть получены взаимодействием соединения общей формулы [3g] или его соли согласно способу синтеза I-1(b).
(d) Соединение общей формулы [3i] или его соль могут быть получены реакцией дезаминирования аминогруппы соединения общей формулы [3h] или его соли с использованием диазотирующего реагента в присутствии кислоты, в присутствии или в отсутствие добавки согласно способу, описанному, например, в Fusso Kagaku Nyumon, Pages 219-230 (edited by Nippon Gakujutsu Shinkokai, 155 Fluorine Chemistry Committee, 1997), с последующей реакцией фторирования.
Растворитель, который применяют в данной реакции, не строго ограничен, если только растворитель не оказывает вредного воздействия на реакцию. Примеры растворителей включают простые эфиры, такие как диоксан, тетрагидрофуран, анизол, диэтиловый эфир диэтиленгликоля, диметилцеллозольв и подобные; галогенированные углеводороды, такие как дихлорметан, хлороформ, дихлорэтан и подобные; нитрилы, такие как ацетонитрил и подобные; амиды, такие как N,N-диметилформамид, N-метил-2-пирролидон и подобные; сульфоксиды, такие как диметилсульфоксид и подобные; амины и аминоокиси, такие как триэтиламин, N,N-диметиланилин, пиридин, пиридин-N-окись и подобные; кетоны, такие как ацетон и подобные; воду; и т.д. Перечисленные растворители могут быть использованы в виде смеси, если желательно.
Диазотирующими реагентами, используемыми в данной реакции, могут быть любые реагенты, если их обычно применяют для диазотирования ароматических аминосоединений. Предпочтительными диазотирующими реагентами являются, например, соли щелочных металлов азотистой кислоты, такие как нитрит натрия и подобные. Диазотирующий реагент применяют, по крайней мере, в эквимолярном количестве, предпочтительно в количестве 1,0-5,0 моль и, кроме того, предпочтительно 1,0-1,5 моль на моль соединения формулы [3h] или его соли.
Кислота, которую применяют в указанной реакции, не строго ограничена, если только она не оказывает вредного воздействия на реакцию. Примеры кислот включают кислоты, такие как хлористоводородная кислота, борфтористоводородная кислота, фтористый водород и подобные; растворы фтористого водорода в основаниях, такие как раствор фтористого водорода в пиридине, и т.д. Данные кислоты могут быть использованы в виде смеси, если желательно.
Для осуществления данной реакции кислоту применяют, по крайней мере, в количестве 1 мл и предпочтительно 1-50 мл на г соединения общей формулы [3h] или его соли, которое определено на основании соотношения объем/вес.
К добавке, применяемой в указанной реакции, относится борфтористоводородная кислота, тетрафторид натрия, фторборат аммония и подобные. Кислоту применяют, по крайней мере, в эквимолярном количестве и предпочтительно 1,0-20,0 моль на моль соединения формулы [3h] или его соли.
Указанную реакцию обычно проводят при температуре от -70 до 100°С и предпочтительно при температуре от -60 до 30°С в течение времени от 50 минут до 24 часов и предпочтительно от 1 часа до 10 часов.
(е) Соединение общей формулы [3i] или его соль могут быть получены реакцией соединения общей формулы [3f] или его соли согласно способу синтеза I-1(b).
(f) Соединение общей формулы [3а’] или его соль могут быть получены взаимодействием соединения общей формулы [3i] или его соли c реагентом, способствующим удалению защитной группы.
Растворитель, который применяют в данной реакции, не строго ограничен, если только растворитель не оказывает вредного воздействия на реакцию. Примеры растворителей включают спирты, такие как метанол, этанол, пропанол и подобные; тиоспирты, такие как этантиол, тиофенол и подобные; ароматические углеводороды, такие как бензол, толуол, ксилол и подобные; галогенированные углеводороды, такие как метиленхлорид, хлороформ, дихлорэтан и подобные; простые эфиры, такие как диоксан, тетрагидрофуран, анизол, диэтиловый эфир диэтиленгликоля, диметилцеллозольв и подобные; простые тиоэфиры, такие как диметилсульфид и подобные; кетоны, такие как ацетон, метилэтилкетон и подобные; нитрилы, такие как ацетонитрил и подобные; амиды, такие как N,N-диметилформамид, N,N-диметилацетамид и подобные; сульфоксиды, такие как диметилсульфоксид и подобные; неорганические кислоты, такие как серная кислота, хлористоводородная кислота и подобные; карбоновые кислоты, такие как уксусная кислота, трифторуксусная кислота и подобные; сульфокислоты, такие как трифторметансульфокислота и подобные; органические основания, такие как пиридин, триэтиламин и подобные; воду; и т.д. Перечисленные растворители могут быть использованы как таковые или в виде смеси двух или более растворителей.
В качестве реагента, способствующего удалению защитной группы, могут быть использованы реагенты, которые обычно применяют для удаления защиты у ароматического спирта. Предпочтительно можно использовать триметилсилилйодид и подобные. Также приемлемым является получение реагента, способствующего удалению защитной группы, в реакционной системе. Реагент, способствующий удалению защитной группы, применяют в количестве 0,01-50 моль и предпочтительно 0,1-30 моль на моль соединения формулы [3i] или его соли.
Указанную реакцию обычно проводят при температуре от -80 до 200°С и предпочтительно при температуре от 0 до 160°С в течение времени от одной минуты до 48 часов и предпочтительно от 5 минут до 20 часов.
Соединение общей формулы [3е] или его соль, которые являются исходным материалом для осуществления вышеупомянутой реакции, могут быть получены, например, способом, описанным в J. Am. Chem. Soc., Vol.71, Pages 2798-2800 (1949).

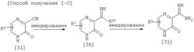
где R1 является таким, как определено выше, и R13 представляет собой низшую алкоксигруппу или арилоксигруппу.
(а) Соединение общей формулы [3k] или его соль могут быть получены взаимодействием соединения общей формулы [3l] или его соли со спиртом в присутствии или в отсутствие кислотного катализатора или основания согласно методике, описанной, например, в Shin Jikken Kagaku Koza, Vol.14, Pages 1599-1602 (edited by the Chemical Society Japan (corporate juridical person), 1978).
Растворитель, который применяют в данной реакции, не строго ограничен, если только растворитель не оказывает вредного воздействия на реакцию. Примеры растворителей включают ароматические углеводороды, такие как бензол, толуол, ксилол и подобные; галогенированные углеводороды, такие как метиленхлорид, хлороформ, дихлорэтан и подобные; простые эфиры, такие как диоксан, тетрагидрофуран, анизол, диэтиловый эфир диэтиленгликоля, диметилцеллозольв и подобные; амиды, такие как N,N-диметилформамид, N,N-диметилацетамид и подобные; сульфоксиды, такие как диметилсульфоксид и подобные, и т.д. Перечисленные растворители могут быть использованы как таковые или в виде смеси двух или более растворителей.
К спирту, применяемому в указанной реакции, относится, например, метанол, этанол, фенол и подобные. Спирт применяют, по крайней мере, в эквимолярном количестве по отношению к соединению формулы [3l] или его соли. Использование спирта в качестве растворителя является допустимым, если желательно.
В качестве кислотного катализатора, используемого в данной реакции, применяют такие реагенты, которые обычно используют для имидирования нитрилов. Для этих целей можно использовать, например, хлористый водород и подобные. Кислотный катализатор применяют в количестве, по крайней мере, 0,1 моль на моль соединения формулы [3l] или его соли.
К основанию, применяемому в данной реакции, можно отнести, например, алкоксиды металлов, такие как метоксид натрия, этоксид натрия, феноксид натрия и подобные. Допустимо получать указанные основания в реакционной системе, если желательно. Для осуществления данной реакции основание используют в количестве, по крайней мере, 0,01 моль и предпочтительно 1,0-5,0 моль на моль соединения формулы [3l] или его соли.
Указанную реакцию обычно проводят при температуре от -78 до 170°С и предпочтительно при температуре от -40 до 120°С в течение времени от одной минуты до 72 часов и предпочтительно от 5 минут до 24 часов.
(b) Соединение общей формулы [3j] или его соль могут быть получены взаимодействием соединения общей формулы [3k] или его соли с реагентом согласно методике, описанной, например, в Shin Jikken Kagaku Koza, Vol.14, Pages 1614-1617 (edited by the Chemical Society Japan (corporate juridical person), 1978).
Растворитель, который применяют в данной реакции, не строго ограничен, если только растворитель не оказывает вредного воздействия на реакцию. Примеры растворителей включают ароматические углеводороды, такие как бензол, толуол, ксилол и подобные; галогенированные углеводороды, такие как метиленхлорид, хлороформ, дихлорэтан и подобные; простые эфиры, такие как диоксан, тетрагидрофуран, анизол, диэтиловый эфир диэтиленгликоля, диметилцеллозольв и подобные; амиды, такие как N,N-диметилформамид, N,N-диметилацетамид и подобные; сульфоксиды, такие как диметилсульфоксид и подобные, и т.д. Перечисленные растворители могут быть использованы как таковые или в виде смеси двух или более растворителей.
В качестве указанного выше реагента, используемого в данной реакции, применяют такие реагенты, которые обычно используют для амидинирования имидатов. Примеры вышеуказанного реагента включают газообразный аммиак, спиртовой раствор аммиака, водный раствор аммиака и аммониевые соли кислот, такие как хлористый аммоний и подобные. Реагент применяют, по крайней мере, в эквимолярном количестве по отношению к соединению формулы [3k] или его соли. Использование реагента в качестве растворителя является допустимым, если желательно.
Указанную реакцию обычно проводят при температуре от -78 до 170°С и предпочтительно при температуре от 0 до 120°С в течение времени от одной минуты до 72 часов и предпочтительно от 5 минут до 24 часов.

где R1а является таким, как определено выше.
(а) Соединение общей формулы [3m] или его соль могут быть получены взаимодействием соединения общей формулы [3n] или его соли с диазотирующим реагентом и гидроксилирующим реагентом в присутствии или в отсутствие добавки согласно методике, описанной, например, в Shin Jikken Kagaku Koza, Vol.14, Pages 537-538 (edited by the Chemical Society Japan (corporate juridical person), 1977).
Растворитель, который применяют в данной реакции, не строго ограничен, если только растворитель не оказывает вредного воздействия на реакцию. Примеры растворителей включают неорганические кислоты, такие как серная кислота, хлористоводородная кислота, азотная кислота и подобные; простые эфиры, такие как диоксан, тетрагидрофуран, анизол, диэтиловый эфир диэтиленгликоля, диметилцеллозольв и подобные; галогенированные углеводороды, такие как дихлорметан, хлороформ, дихлорэтан и подобные; нитрилы, такие как ацетонитрил и подобные; амиды, такие как N,N-диметилформамид, N-метил-2-пирролидон и подобные; сульфоксиды, такие как диметилсульфоксид и подобные; амины и аминокисиды, такие как триэтиламин, N,N-диметиланилин, пиридин-N-оксид и подобные; кетоны, такие как ацетон и подобные; воду; и т.д. Перечисленные растворители могут быть использованы как таковые или в виде смеси.
Диазотирующий реагент, который используют в данной реакции, не строго ограничен, если его обычно применяют для дезаминогидроксилирования ароматических аминосоединений. Предпочтительно, когда используют нитриты щелочных металлов, такие как нитрит натрия и подобные. Диазотирующий реагент применяют, по крайней мере, в эквимолярном количестве, предпочтительно в количестве 1,0-5,0 моль и, кроме того, предпочтительно 1,0-2,0 моль на моль соединения формулы [3n].
К гидроксилирующему реагенту, используемому в данной реакции, можно отнести, например, воду и подобные. Гидроксилирующий реагент применяют, по крайней мере, в эквимолярном количестве по отношению к соединению формулы [3n], хотя гидроксилирующий реагент также можно использовать в качестве растворителя, если желательно.
К добавке, используемой в данной реакции, можно отнести, например, соли меди, такие как сульфат меди и подобные; и неорганические основания, такие как гидроокись натрия, карбонат натрия и подобные. Добавку применяют в количестве 0,01-100 моль и предпочтительно 0,1-50 моль на моль соединения формулы [3n].
Указанную реакцию обычно проводят при температуре от -70 до 200°С и предпочтительно при температуре от -50 до 100°С в течение времени от одной минуты до 24 часов и предпочтительно от 30 минут до 10 часов.
(b) Соединение общей формулы [3n] или его соль могут быть получены (1) взаимодействием соединения общей формулы [3о] или его соли с электрофильным фторирующим реагентом в присутствии или в отсутствие добавки и, более детально, согласно методике, описанной в Fusso no Kagaku, Pages 28-37 (edited by Kodansha Scientific, 1993) или (2) взаимодействием соединения формулы [3о] или его соли с галогенирующим реагентом в присутствии или в отсутствие добавки согласно методике, описанной, например, в Shin Jikken Kagaku Koza, Vol.14, Pages 354-360 (edited by the Chemical Society Japan (corporate juridical person), 1977).
(1) В способе (1) используемые растворители не строго ограниченны, если только они не оказывают вредного воздействия на реакцию. Примеры растворителя включают галогенированные углеводороды, такие как метиленхлорид, хлороформ, фтортрихлорметан, 1,1,2-трихлортрифторэтан и подобные; простые эфиры, такие как диэтиловый эфир, тетрагидрофуран, диэтиловый эфир диэтиленгликоля, диметилцеллозольв и подобные; спирты, такие как метанол и подобные; нитрилы, такие как ацетонитрил и подобные; органические кислоты, такие как уксусная кислота, муравьиная кислота, трифторуксусная кислота и подобные; неорганические кислоты, такие как фтористоводородная кислота, серная кислота и подобные; воду; и т.д. Указанные растворители могут быть использованы как таковые или в виде двух или более растворителей.
Электрофильные фторирующие реагенты, которые используют в данной реакции, не строго ограниченны, если их обычно применяют для реакции присоединения атомов фтора к углерод-углеродным многократным связям. Предпочтительные примеры таких реагентов включают газообразный фтор, трифторметилгипофторит, ацетилгипофторит, дифторксенон, фторид хлорноватой кислоты, цезия сульфатфторит, трифлат N-фторпиридиния, N-фтор-N-алкилалленсульфонамид, N-фторсахаринсультам, N-фторбис(трифторметансульфон)имид, N-фторбис(бензолсульфон)имид и N-фтор-О-бензолдисульфонимид. Из перечисленных электрофильных фторирующих реагентов предпочтительным является газообразный фтор. Электрофильный фторирующий реагент применяют в количестве 0,05-50 моль и предпочтительно 0,1-20 моль на моль соединения формулы [3о] или его соли.
Добавка, которую при необходимости можно использовать в данной реакции, не строго ограничена, если ее обычно применяют в реакциях электрофильного фторирования. Предпочтительные примеры таких добавок включают кислотные катализаторы, такие как трехфтористый бор, фтористоводородная кислота и подобные; органические и неорганические основания, такие как триэтиламин, фторид натрия и подобные; и галогены, такие как хлор, бром, йод и подобные. Указанные добавки могут быть использованы как таковые или в виде смеси двух или более добавок. В данной реакции добавку применяют в количестве 0,01-10 моль и предпочтительно 0,1-10 моль на моль соединения формулы [3о] или его соли.
Указанную реакцию обычно проводят при температуре от -80 до 170°С и предпочтительно при температуре от -80 до 100°С в течение времени от одной минуты 72 часов и предпочтительно от 5 минут до 48 часов.
(2) В способе (2) используемые растворители не строго ограниченны, если только они не оказывают вредного воздействия на реакцию. Примеры растворителя включают галогенированные углеводороды, такие как метиленхлорид, хлороформ, фтортрихлорметан, 1,1,2-трихлортрифторэтан и подобные; простые эфиры, такие как диэтиловый эфир, тетрагидрофуран, диэтиловый эфир диэтиленгликоля, диметилцеллозольв и подобные; спирты, такие как метанол и подобные; нитрилы, такие как ацетонитрил и подобные; органические кислоты, такие как уксусная кислота, муравьиная кислота, трифторуксусная кислота и подобные; неорганические кислоты, такие как серная кислота и подобные; воду; и т.д. Указанные растворители могут быть использованы как таковые или в виде смеси двух или более растворителей.
Галогенирующие реагенты, которые используют в данной реакции, не строго ограничены, если их обычно применяют для галогенирования ароматических соединений. Предпочтительные примеры таких реагентов включают бром, хлор, хлористый сульфурил, N-бромсукцинимид, N-хлорсукцинимид и подобные. Галогенирующий реагент используют в количестве 0,05-50 моль и предпочтительно 0,1-20 моль на моль соединения формулы [3о] или его соли.
Добавки, которые используют при необходимости в данной реакции, не строго ограничены, если их обычно применяют для галогенирования ароматических соединений. Предпочтительные примеры добавок включают бромид натрия, тетраацетат свинца, хлорид титана(IV), хлорид алюминия, сульфат серебра и подобные. Указанные добавки могут быть использованы как таковые или в виде смеси двух или более добавок. В данной реакции добавку применяют в количестве 0,01-10 моль и предпочтительно 0,1-10 моль на моль соединения формулы [3о] или его соли.
Указанную реакцию обычно проводят при температуре от -80 до 170°С и предпочтительно при температуре от -80 до 100°С в течение времени от одной минуты 72 часов и предпочтительно от 5 минут до 48 часов.
В упомянутых выше способах получения соединений все соединения могут быть использованы в виде их солей. В качестве указанной соли могут быть использованы такие же соли, как описаны в абзаце, посвященном соли соединения общей формулы [1]. Если желательно, то указанные реакции могут быть проведены в атмосфере инертного газа, такого как азот. Соединение общей формулы [1] или его соль, которые были получены вышеупомянутым способом, могут быть превращены в другие соединения общей формулы [1] или их соли осуществлением известных реакций, таких как окисление, восстановление, перегруппировка, замещение, галогенирование, дегидратация, гидролиз и подобные, или осуществлением соответствующей комбинации данных реакций.
Некоторые соединения, на которые ссылаются в вышеупомянутых способах получения, могут иметь изомеры, такие как оптические изомеры, геометрические изомеры, таутомеры и т.д. В таких случаях указанные изомеры также используют в настоящем изобретении, а также применяют сольватированные продукты, гидраты и различные кристаллические формы. После завершения реакции целевое соединение может быть использовано на следующей стадии реакции без выделения, если желательно.
Некоторые соединения, на которые ссылаются в вышеупомянутых способах их получения, могут иметь аминогруппу, гидроксильную группу или карбоксильную группу. Если желательно, то можно предварительно защитить указанные группы с помощью обычной защитной группы и после окончания реакции удалить защитную группу способом, хорошо известным самим по себе.
Соединение общей формулы [1] или его соль можно выделить, очистить или перекристаллизовать общепринятыми способами, такими как экстракция, кристаллизация и/или колоночная хроматография и т.д.
Соединение согласно настоящему изобретению формулируют с различными фармацевтическими добавками, такими как инертный наполнитель, связывающий агент, разрыхлитель, агент, препятствующий дезинтеграции, антиадгезивный и препятствующий слипанию агент, смазывающий агент, абсорбционно-адсорбционный носитель, растворитель, наполнитель, изотонический агент, агент, способствующий растворению, эмульгатор, суспендирующий агент, загуститель, создающий покрытие агент, промотор абсорбционный, промотор желирования-коагуляции, светостабилизатор, консервант, влагоизолирующий агент, стабилизатор эмульсии-суспензии-дисперсии, цветопротектор, агент, препятствующий деоксигенизации-окислению, подслащивающий-ароматизирующий агент, краситель, вспениватель, противовспениватель, болеутоляющее средство, антистатик, буферный агент, агент, регулирующий рН, и т.д., и формируют в фармацевтическую композицию, такую как пероральная композиция (таблетка, капсула, порошок, гранула, тонкая гранула, пилюля, суспензия, эмульсия, раствор, сироп и т.д.), инъекция, суппозиторий, наружная композиция (мазь, пластырь и т.д.), аэрозоль и т.д.
На основе вышеупомянутых композиций создают фармацевтические препараты согласно обычным способам.
Твердые препараты для перорального применения, такие как таблетка, порошок, гранула и подобные, готовят согласно обычному способу вместе с фармацевтическими добавками, предназначенными для твердых препаратов, включая наполнители, такие как лактоза, сахароза, хлорид натрия, глюкоза, крахмал, карбонат кальция, каолин, кристаллическая целлюлоза, безводный вторичный кислый фосфат кальция, частично прежелатинизированный крахмал, кукурузный крахмал, альгиновая кислота и подобные; связывающие агенты, такие как сироп, раствор глюкозы, раствор крахмала, раствор желатина, поливиниловый спирт, поливиниловый простой эфир, поливинилпирролидон, карбоксиметилцеллюлоза, шеллак, метилцеллюлоза, этилцеллюлоза, альгинат натрия, аравийская камедь, гидроксипропилметилцеллюлоза, гидроксипропилцеллюлоза, вода, этанол и подобные; разрыхлители, такие как сухой крахмал, альгиновая кислота, порошковый агар, крахмал, поперечносвязанный поливинилпирролидон, поперечносвязанная карбоксиметилцеллюлоза натрия, карбоксиметилцеллюлоза кальция, натриевая соль крахмалгликолевой кислоты и подобные; реагенты, препятствующие дезинтеграции, такие как стеариловый спирт, стеариновая кислота, масло какао, гидрогенизованное масло и подобные; антиадгезивные и предотвращающие слипание реагенты, такие как силикат алюминия, вторичный кислый фосфат кальция, окись магния, тальк, кремневый ангидрид и подобные; смазывающие реагенты, такие как карнаубский воск, летучий кремневый ангидрид, силикат алюминия, силикат магния, гидрогенизированное масло, производные гидрогенизированного растительного масла, кунжутное масло, белый воск, окись титана, сухой гель гидроокиси алюминия, стеариновая кислота, стеарат кальция, стеарат магния, тальк, вторичный кислый фосфат кальция, лаурилсульфат натрия, полиэтиленгликоль и подобные; промоторы абсорбции, такие как четвертичные аммониевые соли, лаурилсульфат натрия, мочевина, ферменты и подобные; абсорбционно-адсорбционные носители, такие как крахмал, лактоза, каолин, бентонит, кремневый ангидрид, гидратированная двуокись кремния, метасиликат-алюминат магния, коллоидная кремневая кислота и подобные, и т.д.
Кроме того, если желательно, таблетку можно изготовить в виде обычных покрытых оболочкой таблеток, таких как таблетка с сахарным покрытием, таблетка с желатиновым покрытием, таблетка с растворяющимся в желудке покрытием, таблетка с растворяющимся в кишечнике покрытием или таблетка с водорастворимым пленочным покрытием.
Капсулу готовят путем смешивания вместе вышеупомянутых фармацевтических ингредиентов и наполнения полученной смесью твердой желатиновой капсулы, мягкой капсулы и т.д.
Кроме того, водную или масляную суспензию, раствор, сироп и эликсир можно готовить путем формирования фармацевтической композиции вместе с вышеупомянутыми добавками, предназначенными для приготовления жидкого препарата, такими как растворитель, наполнитель, изотонический агент, эмульгатор, стабилизатор для суспензии, загуститель и т.д., в виде жидкого препарата согласно обычному способу.
Суппозиторий можно готовить добавлением соответствующего промотора абсорбции к полиэтиленгликолю, маслу какао, ланолину, высшему спирту, высшему эфиру оксикислоты, желатину, полусинтетическому глицериду, Витепсолу или подобным, и смешиванием этих ингредиентов вместе с фармацевтической композицией с образованием суппозитория.
Инъекционную форму готовят смешиванием фармацевтической композиции с фармацевтическими добавками, предназначенными для изготовления жидкого препарата, включая разбавители, такие как вода, этиловый спирт, Макроголь, полиэтиленгликоль, лимонная кислота, уксусная кислота, фосфорная кислота, молочная кислота, лактат натрия, серная кислота, гидроокись натрия и подобные; агенты, регулирующие рН, и буферные агенты, такие как цитрат натрия, ацетат натрия, фосфат натрия и подобные; стабилизаторы, такие как пиросульфит натрия, этилендиаминтетрауксусная кислота, тиогликолевая кислота, тиомолочная кислота и подобные; изотонические агенты, такие как хлорид натрия, глюкоза, маннитол, глицерин и подобные; агенты, способствующие растворению, такие как карбоксиметилцеллюлоза натрия, пропиленгликоль, бензоат натрия, бензилбензоат, уретан, этаноламин, глицерин и подобные; болеутоляющее средство, такое как глюконат кальция, хлорбутанол, глюкоза, бензиловый спирт и подобные; местные анестетики; и т.д., с образованием смеси в виде инъекционного раствора согласно обычному способу.
Мазь в виде пасты, крема или геля можно приготовить путем формирования фармацевтической композиции с основой, такой как белый вазелин, полиэтилен, парафин, глицерин, производные целлюлозы, полиэтиленгликоль, кремний, бентонит и подобные; консервантами, такими как метиловый эфир параоксибензойной кислоты, этиловый эфир параоксибензойной кислоты, пропиловый эфир параоксибензойной кислоты и подобные; стабилизаторами; смачивающими агентами и т.д., с образованием смеси в виде мази согласно обычному способу.
Пластырь можно изготовить с помощью вышеупомянутой мази, крема, геля или пасты, нанесенной на обычную подложку согласно общепринятому способу. В качестве подложки можно использовать текстильные и нетекстильные ткани и пленки или вспененные пластины из мягкого винилхлорида, полиэтилена, полиуретана и подобных.
Способ введения вышеупомянутой фармацевтической композиции не ограничен каким-либо определенным и может быть, по сути, определен в соответствии с формой препарата, возрастом, полом и другими состояниями больного, а также согласно степени тяжести симптомов у больного.
Доза активного ингредиента фармацевтической композиции согласно настоящему изобретению по существу определяется на основе способа применения композиции, возраста и пола больного, вида заболевания и других состояний. Обычно в композицию можно вводить дозу на основе активного ингредиента 0,1-100 мг/кг/день для взрослого индивидуума, либо в виде одной дозы или в виде нескольких частей дозы.
Далее будет описан способ получения производных фторпиразина или его солей, которые являются промежуточными соединениями согласно настоящему изобретению.

где R21 является таким, как определено выше; R22a представляет собой атом водорода, атом галогена, нитрогруппу, защищенную аминогруппу, защищенную гидроксильную группу или замещенную или незамещенную фенилсульфанильную, фенилсульфинильную или фенилсульфонильную группу; и X представляет собой атом галогена, отличный от атома фтора; при условии, что соединение, где R21 представляет собой атом водорода и R22a представляет собой атом водорода, исключено.
Соединение общей формулы [24] или его соль могут быть получены взаимодействием соединения общей формулы [25] или его соли с фторирующим агентом в присутствии или в отсутствие добавки согласно способу, описанному, например, в Shin Jikken Kagaku Koza, Vol.14, Pages 321-322 (edited by the Chemical Society Japan (corporate juridical person), 1977).
Растворитель, который применяют в данной реакции, не строго ограничен, если только он не оказывает вредного воздействия на реакцию. Примеры растворителей включают ароматические углеводороды, такие как бензол, толуол, ксилол и подобные; простые эфиры, такие как тетрагидрофуран, 1,2-диметоксиэтан, диметиловый эфир диэтиленгликоля и подобные; нитрилы, такие как ацетонитрил, бензонитрил и подобные; амиды, такие как N,N-диметилформамид, N,N-диметилацетамид, N-метил-2-пирролидон, 1,3-диметил-2-имидазолидинон и подобные; сульфоксиды, такие как диметилсульфоксид и подобные; сульфоны, такие как сульфолан, диметилсульфон и подобные; азотсодержащие гетероциклические соединения, такие как холлидин и подобные, и т.д. Перечисленные растворители могут быть использованы в виде смеси, если желательно.
В качестве фторирующего реагента, используемого в данной реакции, применяют фториды щелочных металлов, такие как фторид цезия, фторид рубидия, фторид калия, фторид натрия, фторид лития и подобные; фториды щелочноземельных металлов, такие как фторид кальция и подобные; фториды других металлов, такие как фторид цинка, фторид серебра и подобные; фтористый водород; соли аммония, такие как фторированный тетрабутиламмонийфторид и подобные; соли фосфония; и их фтористоводородные комплексы. Перечисленные реагенты могут быть использованы в виде смеси, если желательно. Хотя количество фторирующего реагента, используемого в данной реакции, изменяется в зависимости от типа такого реагента, однако количество фторирующего реагента может составлять, по крайней мере, эквимолярное количество по отношению к соединению общей формулы [25] или его соли и предпочтительно 1,0-20 моль и также предпочтительно 1,0-10 моль на моль соединения формулы [25] или его соли.
К добавке, которая может быть использована при необходимости в указанной реакции, можно отнести, например, четвертичные соли аммония, такие как бромид тетра-н-бутиламмония, хлорид тетраметиламмония, фторид тетраметиламмония и подобные; четвертичные соли фосфония, такие как бромид тетрафенилфосфония и подобные; простые полиэфиры, такие как 18-краун-6-(простой)эфир, полиэтиленгликоль и подобные, и т.д. Указанные добавки могут быть использованы в виде смеси, если желательно. Хотя количество добавки изменяется в зависимости от типа добавки, количество такой добавки составляет 0,01-2,0 моль и предпочтительно 0,1-1,0 моль на моль соединения формулы [25] или его соли.
Указанную реакцию проводят в атмосфере азота, если желательно. Данную реакцию обычно проводят при температуре 0-300°С и предпочтительно при температуре 20-200°С в течение времени от 10 минут до 24 часов.
Соединение общей формулы [25] или его соль, используемые в качестве исходного соединения для вышеупомянутой реакции, могут быть получены хорошо известным способом, а именно согласно описанию в литературе [J. Med. Chem., Vol.27, Pages 1634-1639 (1984); или Acta Poloniae Pharmaceutica, Vol.33, Pages 153-161 (1976)].

где R21a представляет собой атом водорода, метильную группу, защищенную или незащищенную гидроксиметильную, аминометильную, карбамоильную или карбоксильную группу, метильную группу, замещенную защищенной или незащищенной меркаптогруппой, галогенметильную группу, формильную группу или нитрильную группу, и R22b представляет собой защищенную гидроксигруппу или аминогруппу или атом галогена.
Соединение общей формулы [26] или его соль могут быть получены дезаминированием аминогруппы соединения общей формулы [27] или его соли с помощью диазотирующего реагента в присутствии кислоты, в присутствии или в отсутствие добавки и, с последующим фторированием продукта согласно способу, описанному в Fusso no Kagaku Nyumon, Pages 219-230 (edited by Nippon Gakujutsu Shinkokai, Fluorine Chemistry №155 Committee, 1997).
Растворитель, который применяют в данной реакции, не строго ограничен, если только он не оказывает вредного воздействия на реакцию. Примеры растворителей включают простые эфиры, такие как диоксан, тетрагидрофуран, анизол, диэтиловый эфир диэтиленгликоля, диметилцеллозольв и подобные; галогенированные углеводороды, такие как дихлорметан, хлороформ, дихлорэтан и подобные; нитрилы, такие как ацетонитрил и подобные; амиды, такие как N,N-диметилформамид, N-метил-2-пирролидон и подобные; сульфоксиды, такие как диметилсульфоксид и подобные; амины и аминоксиды, такие как триэтиламин, N,N-диметиланилин, пиридин, пиридин-N-оксид и подобные; кетоны, такие как ацетон и подобные; воду; и т.д. Перечисленные растворители могут быть использованы в виде смеси, если желательно.
Диазотирующим агентом, используемым в данной реакции, может быть любой диазотирующий агент, который обычно применяют для диазотирования ароматических аминосоединений. Предпочтительные примеры таких агентов включают нитриты щелочных металлов, такие как нитрит натрия и подобные. Диазотирующий агент применяют, по крайней мере, в эквимолярном количестве, предпочтительно 1,0-5,0 моль и, кроме того, предпочтительно 1,0-1,5 моль на моль соединения общей формулы [27] или его соли.
Кислота, которую используют в данной реакции, не строго ограничена, если только она не оказывает вредного воздействия на реакцию. Примеры кислоты включают такие кислоты, как хлористоводородная кислота, борфтористоводородная кислота, фтористый водород и подобные; а также смешанный раствор фтористого водорода в основном веществе, такой как раствор фтористого водорода в пиридине; и т.д. Данные кислоты и растворы могут быть использованы в виде смеси, если желательно. Кислоты можно применять в качестве растворителя такими, как они есть.
Количество используемой в данной реакции кислоты, которое определяют на основе соотношения объем/вес (мл/г), составляет, по крайней мере, 1 мл и предпочтительно 1-50 мл на грамм соединения общей формулы [27] или его соли.
К добавке, используемой в указанной реакции, можно отнести борфтористоводородную кислоту, тетрафторид натрия, борфторид аммония и подобные. Количество добавки составляет, по крайней мере, эквимолярное количество и предпочтительно 1,0-20,0 моль на моль соединения формулы [27] или его соли.
Указанную реакцию обычно проводят при температуре от -70 до 100°С и предпочтительно от -60 до 30°С в течение времени от 30 минут до 24 часов и предпочтительно от 1 часа до 10 часов.

где R21e представляет собой атом водорода, метильную группу, защищенную или незащищенную гидроксиметильную, аминометильную, карбамоильную или карбоксильную группу, метильную группу, замещенную защищенной или незащищенной меркаптогруппой, галогенметильную группу, формильную группу, или нитрильную группу, или галогенированную карбонильную группу, и R22е представляет собой защищенную или незащищенную гидроксильную группу или аминогруппу, атом галогена, нитрогруппу или азидогруппу.
Соединение общей формулы [21] или его соль могут быть получены взаимодействием соединения общей формулы [28] или его соли с электрофильным фторирующим агентом в присутствии или в отсутствие добавки, и более детально, согласно описанию, например, Fusso no Kagaku, Pages 28-37 (edited by Kodansha Scientific, 1993).
Растворитель, который применяют в данной реакции, не строго ограничен, если только он не оказывает вредного воздействия на реакцию. Примеры растворителей включают галогенированные углеводороды, такие как метиленхлорид, хлороформ, фтортрихлорметан, 1,1,2-трихлортрифторэтан и подобные; простые эфиры, такие как диэтиловый эфир, тетрагидрофуран, диэтиловый эфир диэтиленгликоля, диметилцеллозольв и подобные; спирты, такие как метанол и подобные; нитрилы, такие как ацетонитрил и подобные; органические кислоты, такие как уксусная кислота, муравьиная кислота, трифторуксусная кислота и подобные; неорганические кислоты, такие как фтористый водород, серная кислота и подобные; воду; и т.д. Перечисленные растворители могут быть использованы как таковые или в виде смеси двух или более растворителей.
Электрофильный фторирующий реагент, который используют в данной реакции, не строго ограничен, если его обычно применяют для присоединения атомов фтора к углерод-углеродным многократным связям. Предпочтительные примеры таких агентов включают газообразный фтор, трифторметилгипофторит, ацетилгипофторит, дифторксенон, фторид хлорноватой кислоты, цезия сульфатфторит, трифлат N-фторпиридиния, N-фтор-N-алкилалленсульфонамид, N-фторсахаринсультам, N-фторбис(трифторметансульфон)имид, N-фторбис(бензолсульфон)имид и N-фтор-О-бензолдисульфонимид, и также предпочтительным примером является газообразный фтор. Электрофильный фторирующий реагент применяют в количестве 0,05-50 моль и предпочтительно 0,1-20 моль на моль соединения общей формулы [28] или его соли.
Добавка, которую при необходимости можно использовать в данном изобретении, не строго ограничена, если она является агентом, который обычно применяют в реакциях электрофильного фторирования. Предпочтительные примеры таких добавок включают кислотные катализаторы, такие как трехфтористый бор, фтористый водород и подобные; органические и неорганические основания, такие как триэтиламин, фторид натрия и подобные; и галогены, такие как хлор, бром, йод и подобные. Указанные добавки могут быть использованы как таковые или в виде смеси двух или более добавок. В данной реакции добавку применяют в количестве 0,01-10 моль и предпочтительно 0,1-10 моль на моль соединения общей формулы [28] или его соли.
Указанную реакцию обычно проводят при температуре от -80 до 170°С и предпочтительно при температуре от -80 до 100°С в течение времени от одной минуты 72 часов и предпочтительно от 5 минут до 48 часов.
Соединение общей формулы [28] или его соль, используемые в качестве исходного материала для вышеупомянутой реакции, могут быть получены хорошо известным способом, а именно, согласно способу, описанному в патенте JP-A-53-119882.

где R21 является таким, как определено выше, R22c представляет собой атом галогена и R22f представляет собой защищенную аминогруппу.
(4-1)
Соединение общей формулы [21d] или его соль могут быть получены взаимодействием соединения общей формулы [21а] или его соли с восстанавливающим агентом в присутствии или в отсутствие катализатора согласно описанию, например, Shin Jikken Kagaku Koza, Vol.14, Pages 1333-1335 (edited by the Chemical Society Japan (corporate juridical person), 1978).
Растворитель, который используют в данной реакции, не строго ограничен, если только он не оказывает вредного воздействия на реакцию. Примеры растворителей включают ароматические углеводороды, такие как бензол, толуол, ксилол и подобные; простые эфиры, такие как диоксан, тетрагидрофуран, анизол, диэтиловый эфир диэтиленгликоля, диметилцеллозольв и подобные; кетоны, такие как ацетон и подобные; амиды, такие как N,N-диметилформамид, N,N-диметилацетамид и подобные; спирты, такие как метанол, этанол, пропанол и подобные; органические кислоты, такие как уксусная кислота и подобные; амины, такие как гидразин и подобные; воду; и т.д. Указанные растворители могут быть использованы как таковые или в виде смеси двух или более растворителей.
Восстанавливающий реагент, который применяют в данном изобретении, не строго ограничен, если он является агентом, который обычно используют для восстановления нитрогруппы у ароматических нитросоединений. Предпочтительные примеры таких агентов включают амид натрия, амид лития, цинк, алюминий-никель, олово, хлористое олово(II), железо, боргидрид натрия, циклогексан, газ водород и т.д. Восстанавливающий реагент применяют в количестве 0,01-100 моль и предпочтительно 0,01-30 моль на моль соединения формулы [21а] или его соли.
В качестве катализатора, который можно при необходимости использовать в указанной реакции, применяют, например, неорганические кислоты, такие как хлористоводородная кислота, серная кислота и подобные; кислоты Льюиса, такие как хлорид никеля(II), хлорид олова(II) и подобные; соли металлов, такие как бис(ацетилацетонат) меди(II) и подобные; палладиевые катализаторы, такие как палладий на углероде, протравленный свинцом палладий-карбонат кальция и подобные; родий; никель Ренея; окись платины(IV), и т.д. Палладиевые катализаторы и никель Ренея применяют в количестве 0,01-100 мас.частей и предпочтительно 0,1-10 мас.частей на мас.часть соединения формулы [21а] или его соли. Другие катализаторы, отличные от палладиевого катализатора и никеля Ренея, применяют в количестве 0,01-10 моль и предпочтительно 0,01-5,0 моль на моль соединения формулы [21а] или его соли.
Указанную реакцию обычно проводят при температуре от -78 до 250°С и предпочтительно при температуре от -50 до 150°С в течение времени от одной минуты 72 часов и предпочтительно от 30 минут до 24 часов.
(4-2)
Соединение общей формулы [21d] или его соль могут быть получены взаимодействием соединения общей формулы [21b] или его соли с восстанавливающим реагентом в присутствии или в отсутствие катализатора способом, описанным в Shin Jikken Kagaku Koza, Vol.14, Page 1336 (edited by the Chemical Society Japan (corporate juridical person), 1978).
Растворитель, который используют в данной реакции, не строго ограничен, если только он не оказывает вредного воздействия на реакцию. Примеры растворителей включают ароматические углеводороды, такие как бензол, толуол, ксилол и подобные; простые эфиры, такие как диоксан, тетрагидрофуран, анизол, диэтиловый эфир диэтиленгликоля, диметилцеллозольв и подобные; кетоны, такие как ацетон и подобные; амиды, такие как N,N-диметилформамид, N,N-диметилацетамид и подобные; спирты, такие как метанол, этанол, пропанол и подобные; органические кислоты, такие как уксусная кислота и подобные; амины, такие как гидразин и подобные; воду; и т.д. Указанные растворители могут быть использованы как таковые или в виде смеси двух или более растворителей.
Восстанавливающий реагент, который применяют в данном изобретении, не строго ограничен, если он является реагентом, который обычно используют для восстановления азидогруппы у ароматических азидсодержащих соединений. Предпочтительные примеры таких реагентов включают цинк, хлорид хрома(II), трибутилоловогидрид, лития алюмогидрид, газообразный водород и подобные. Восстанавливающий реагент применяют в количестве 0,01-100 моль и предпочтительно 0,01-30 моль на моль соединения общей формулы [21b] или его соли.
К катализатору, применяемому в указанной реакции, можно отнести, например, неорганические кислоты, такие как хлористоводородная кислота, серная кислота и подобные; палладий на углероде, протравленный свинцом палладий-кальция карбонат, окись платины(IV) и подобные. Катализатор применяют в количестве 0,01-10 моль и предпочтительно 0,01-5,0 моль на моль соединения формулы [21b] или его соли. Например, когда используют палладиевый катализатор или никель Ренея, количество катализатора может составлять 0,01-10 мас.частей и предпочтительно 0,1-5,0 мас.частей на мас.часть соединения формулы [21b] или его соли.
Указанную реакцию обычно проводят при температуре от -78 до 250°С и предпочтительно при температуре от -50 до 150°С в течение времени от одной минуты 72 часов и предпочтительно от 30 минут до 24 часов.
(4-3)
Соединение общей формулы [21d] или его соль могут быть получены взаимодействием соединения общей формулы [21с] или его соли с аминирующим реагентом в присутствии или в отсутствие медного катализатора способом, описанным в Shin Jikken Kagaku Koza, Vol.14, Pages 1342-1351 (edited by the Chemical Society Japan (corporate juridical person), 1978).
Растворитель, который используют в данной реакции, не строго ограничен, если только он не оказывает вредного воздействия на реакцию. Примеры растворителей включают ароматические углеводороды, такие как бензол, толуол, ксилол и подобные; простые эфиры, такие как диоксан, тетрагидрофуран, анизол, диэтиловый эфир диэтиленгликоля, диметилцеллозольв и подобные; нитрилы, такие как ацетонитрил и подобные; сложные эфиры, такие как этилацетат и подобные; амиды, такие как N,N-диметилформамид, N,N-диметилацетамид и подобные; спирты, такие как метанол, этанол, пропанол и подобные; сульфоксиды, такие как диметилсульфоксид и подобные; воду; и т.д. Указанные растворители могут быть использованы как таковые или в виде смеси двух или более растворителей.
Аминирующий реагент, который применяют в данной реакции, не строго ограничен, если он является реагентом, который обычно используют для аминирования путем нуклеофильного замещения ароматических галогенных соединений. Предпочтительные примеры таких реагентов включают газообразный аммиак; водный раствор аммиака; амиды щелочных металлов, такие как амид натрия и подобные, и соли аммония, такие как карбонат аммония и подобные. Аминирующий реагент применяют, по крайней мере, в эквимолярном количестве и предпочтительно в количестве 2,0-30 моль на моль соединения формулы [21 с] или его соли.
К медному катализатору, применяемому в указанной реакции, можно отнести, например, медный порошок, хлорид меди(I) и подобные. Медный катализатор применяют в количестве 0,01-30 моль и предпочтительно 0,05-2 моль на моль соединения формулы [21с] или его соли.
Указанную реакцию обычно проводят при температуре 0-250°С и предпочтительно при температуре 0-40°С в течение времени от одной минуты 96 часов и предпочтительно от 30 минут до 7 часов.
(4-4)
Соединение общей формулы [21b] или его соль могут быть получены взаимодействием соединения общей формулы [21с] или его соли с реагентом, образующим азид, способом, описанным в Shin Jikken Kagaku Koza, Vol.14, Pages 1659-1666 (edited by Chemical Society Japan (corporate juridical person), 1978).
Растворитель, который используют в данной реакции, не строго ограничен, если только он не оказывает вредного воздействия на реакцию. Примеры растворителей включают ароматические углеводороды, такие как бензол, толуол, ксилол и подобные; простые эфиры, такие как диоксан, тетрагидрофуран, анизол, диэтиловый эфир диэтиленгликоля, диметилцеллозольв и подобные; нитрилы, такие как ацетонитрил и подобные; сложные эфиры, такие как этилацетат и подобные; амиды, такие как N,N-диметилформамид, N,N-диметилацетамид и подобные; спирты, такие как метанол, этанол, пропанол и подобные; сульфоксиды, такие как диметилсульфоксид и подобные; воду; и т.д. Указанные растворители могут быть использованы как таковые или в виде смеси двух или более растворителей.
Реагент, применяемый в данной реакции, который способствует образованию азида, не строго ограничен, если он является агентом, который обычно используют в реакциях с образованием азида путем нуклеофильного замещения ароматических галогенных соединений. Предпочтительные примеры таких реагентов включают азид натрия и подобные. Азидобразующий реагент применяют, по крайней мере, в эквимолярном количестве и предпочтительно в количестве 1,0-30 моль и также предпочтительно 1,0-1,5 моль на моль соединения формулы [21с] или его соли.
Указанную реакцию обычно проводят при температуре 0-250°С и предпочтительно при температуре 0-40°С в течение времени от одной минуты до 96 часов и предпочтительно от 5 минут до 6 часов.
(4-5)
Соединение общей формулы [21d] или его соль могут быть получены взаимодействием соединения общей формулы [21t] или его соли с реагентом, для удаления защитной группы, в присутствии или в отсутствие катализатора обычным способом, а именно согласно способу, описанному в Theodora W.Greene: PROTECTIVE GROUPS IN ORGANIC SYNTHESIS, Third Edition, Pages 494-653 (edited by John Wiley & Sons, Inc., 1999).
Растворитель, который используют в данной реакции, не строго ограничен, если только он не оказывает вредного воздействия на реакцию. Примеры растворителей включают воду; спирты, такие как метанол, этанол, пропанол и подобные; тиоспирты, такие как этантиол, тиофенол и подобные; ароматические углеводороды, такие как бензол, толуол, ксилол и подобные; галогенированные углеводороды, такие как метиленхлорид, хлороформ, 1,2-дихлорэтан и подобные; простые эфиры, такие как диоксан, тетрагидрофуран, анизол, диэтиловый эфир диэтиленгликоля, диметилцеллозольв и подобные; тиоэфиры, такие как диметилсульфид и подобные; кетоны, такие как ацетон и подобные; нитрилы, такие как ацетонитрил и подобные; амиды, такие как N,N-диметилформамид, N,N-диметилацетамид и подобные; сульфоксиды, такие как диметилсульфоксид и подобные; неорганические кислоты, такие как серная кислота, хлористоводородная кислота и подобные; карбоновые кислоты, такие как уксусная кислота, трифторуксусная кислота и подобные; сульфоновые кислоты, такие как трифторметансульфокислота и подобные; нитроалканы, такие как нитрометан и подобные; органические основания, такие как пиридин, триэтиламин и подобные, и т.д. Указанные растворители могут быть использованы как таковые или в виде смеси двух или более растворителей.
Реагент для снятия защитной группы, который применяют в данной реакции, не строго ограничен, если он является реагентом, который обычно используют для снятия защиты с защищенных аминогрупп. Предпочтительные примеры таких реагентов включают газообразный водород; муравьинокислый аммоний; цинк; натрий; хлорангидриды кислот, такие как винилхлорформиат, хлорангидрид уксусной кислоты и подобные; кремнийорганические соединения, такие как триэтилсилан, триметилсилилйодид и подобные; трибутилоловогидрид; алкоксиды щелочных металлов, такие как трет-бутоксид калия и подобные; тиоалкоксиды щелочных металлов, такие как тиометоксид натрия и подобные; 2,3-дихлор-5,6-дициано-1,4-бензохинон; боргидрид натрия; соли щелочных металлов, такие как фтористый калий, йодистый натрий и подобные; кислоты Льюиса, такие как трехфтористый бор, хлорид алюминия, хлорид рутения, хлорид цинка и подобные; неорганические кислоты, такие как хлористоводородная кислота, бромистоводородная кислота, серная кислота и подобные; органические кислоты, такие как трифторуксусная кислота, метансульфокислота, п-толуолсульфокислота и подобные; неорганические основания, такие как карбонат калия, бикарбонат натрия, гидроокись натрия и подобные; органические основания, такие как пиперидин и подобные; амины, такие как аммиак, гидразин и подобные; литийсодержащие органические соединения, такие как метиллитий и подобные; нитрат церия-диаммония; перекиси, такие как перекись водорода, озон, марганцевая кислота и подобные; и т.д. Реагент для снятия защиты применяют в количестве 0,01-1000 моль и предпочтительно 0,1-100 моль на моль соединения формулы [21t] или его соли.
Катализатор, который используют при необходимости в данной реакции, не строго ограничен, если его обычно применяют для снятия защиты с защищенных аминогрупп. Предпочтительные примеры таких катализаторов включают палладиевые катализаторы, такие как палладий на углероде и подобные; родий, никель Ренея, окись платины(IV) и подобные. Например, палладий на углероде и никель Ренея применяют в количестве 0,01-10 мас.частей и предпочтительно 0,01-5 мас.частей на мас.часть соединения формулы [21t] или его соли. Другие катализаторы, отличные от палладия на углероде и никеля Ренея, используют в количестве 0,01-10 моль и предпочтительно 0,01-5 моль на моль соединения формулы [21t] или его соли.
Указанную реакцию обычно проводят при температуре от -80 до 200°С и предпочтительно при температуре от 0 до 160°С в течение времени от одной минуты до 48 часов и предпочтительно от 5 минут до 12 часов.

где R22c является таким, как определено выше; R21b представляет собой атом водорода, метильную группу, защищенную или незащищенную гидроксиметильную, аминометильную или карбоксильную группу, метильную группу, замещенную защищенной или незащищенной меркаптогруппой, галогенированную метильную группу, формильную группу, защищенную карбамоильную группу, нитрильную группу или галогенированную карбонильную группу, и R25 представляет собой защитную группу для гидроксильной группы; при условии, что соединение, где R21b означает карбамоильную группу, защищенную ацильной группой, исключено.
(5-1)
Соединение общей формулы [21h] или его соль могут быть получены взаимодействием соединения общей формулы [21е] или его соли с диазотирующим реагентом и гидроксилирующим реагентом в присутствии или в отсутствие добавки способом, описанным, например, в Shin Jikken Kagaku Koza, Vol.14, Pages 537-538 (edited by Chemical Society Japan (corporate juridical person), 1977).
Растворитель, который используют в указанной реакции, не строго ограничен, если только он не оказывает вредного воздействия на реакцию. Примеры такого растворителя включают неорганические кислоты, такие как серная кислота, хлористоводородная кислота, азотная кислота и подобные; простые эфиры, такие как диоксан, тетрагидрофуран, анизол, диэтиловый эфир диэтиленгликоля, диметилцеллозольв и подобные; галогенированные углеводороды, такие как дихлорметан, хлороформ, дихлорэтан и подобные; нитрилы, такие как ацетонитрил и подобные; амиды, такие как N,N-диметилформамид, N-метил-2-пирролидон и подобные; сульфоксиды, такие как диметилсульфоксид и подобные; амины и аминоксиды, такие как триэтиламин, N,N-диметиланилин, пиридин-N-оксид и подобные; кетоны, такие как ацетон и подобные; воду; и т.д. Указанные растворители могут быть использованы в виде смеси, если желательно.
Диазотирующий реагент, который применяют в данной реакции, не строго ограничен, если его обычно используют для дезаминирующего гидроксилирования ароматических аминосоединений. Предпочтительные примеры таких реагентов включают нитриты щелочных металлов, такие как нитрит натрия и подобные. Диазотирующий агент используют, по крайней мере, в эквимолярном количестве, предпочтительно в количестве 1,0-5,0 моль и также предпочтительно 1,0-2,0 моль на моль соединения формулы [21е] или его соли.
К гидроксилирующему агенту, используемому в данной реакции, можно отнести, например, воду и подобные. Гидроксилирующий агент применяют, по крайней мере, в эквимолярном количестве по отношению к соединению формулы [21е] или его соли. Также можно использовать гидроксилирующий агент в качестве растворителя.
К добавке, применяемой в данной реакции, можно отнести, например, соли меди, такие как сульфат меди и подобные, и неорганические основания, такие как гидроокись натрия, карбонат натрия и подобные. Добавку используют в количестве 0,01-100 моль и предпочтительно 0,1-50 моль на моль соединения формулы [21е] или его соли.
Указанную реакцию обычно проводят при температуре от -70 до 200°С и предпочтительно при температуре от -50 до 100°С в течение времени от одной минуты до 24 часов и предпочтительно от 30 минут до 10 часов.
(5-2)
Соединение общей формулы [21h] или его соль могут быть получены гидроксилированием соединения общей формулы [21f] или его соли способом, описанным, например, в Shin Jikken Kagaku Koza, Vol.14, Pages 535-536 (edited by Chemical Society Japan (corporate juridical person), 1977).
Растворитель, который используют в указанной реакции, не строго ограничен, если только он не оказывает вредного воздействия на реакцию. Примеры таких растворителей включают ароматические углеводороды, такие как бензол, толуол, ксилол и подобные; простые эфиры, такие как диоксан, тетрагидрофуран, анизол, диэтиловый эфир диэтиленгликоля, диметилцеллозольв и подобные; нитрилы, такие как ацетонитрил и подобные; кетоны, такие как ацетон и подобные; амиды, такие как N,N-диметилформамид, N,N-диметилацетамид и подобные; спирты, такие как метанол, этанол, пропанол и подобные; сульфоксиды, такие как диметилсульфоксид и подобные; воду; и т.д. Растворители применяют как таковые или в виде смеси двух или более растворителей.
Гидроксилирующий реагент, который применяют в данной реакции, не строго ограничен, если он является реагентом, который обычно используют для гидроксилирования путем нуклеофильного замещения ароматических галогенных соединений. Предпочтительные примеры таких реагентов включают неорганические и органические основания, такие как гидроокись натрия, гидроокись лития, бикарбонат натрия, карбонат калия, бикарбонат калия, ацетат натрия и подобные; и неорганические и органические кислоты, такие как хлористоводородная кислота, фосфорная кислота, водный раствор муравьиной кислоты и подобные. Гидроксилирующий реагент применяют в количестве, по крайней мере, 0,01 моль и предпочтительно 0,05-20 моль на моль соединения формулы [21f] или его соли.
Указанную реакцию обычно проводят при температуре от -78 до 180°С и предпочтительно при температуре от -20 до 100°С в течение времени от одной минуты до 96 часов и предпочтительно от 10 минут до 72 часов.
(5-3)
Соединение общей формулы [21g] или его соль могут быть получены (1) взаимодействием соединения общей формулы [21f] или его соли с нуклеофильным замещающим реагентом в присутствии или в отсутствие медного катализатора способом, описанным в Shin Jikken Kagaku Koza, Vol.14, Pages 570-571 (edited by the Chemical Society Japan (corporate juridical person), 1977), или (2) взаимодействием соединения общей формулы [21f] или его соли с нуклеофильным замещающим реагентом в присутствии основания.
В способе (1) растворитель, который используют в данной реакции, не строго ограничен, если только он не оказывает вредного воздействия на реакцию. Примеры такого растворителя включают ароматические углеводороды, такие как бензол, толуол, ксилол и подобные; простые эфиры, такие как диоксан, тетрагидрофуран, анизол, диэтиловый эфир диэтиленгликоля, диметилцеллозольв и подобные; амиды, такие как N,N-диметилформамид, N,N-диметилацетамид и подобные; спирты, такие как метанол, этанол, пропанол и подобные; сульфоксиды, такие как диметилсульфоксид и подобные; и т.д. Указанные растворители можно использовать как таковые или в виде смеси двух или более растворителей.
Нуклеофильный замещающий реагент, который применяют в данной реакции, не строго ограничен, если его используют для нуклеофильного замещения ароматических галогенных соединений. Предпочтительные примеры включают С1-6 низшие алкоксиды щелочных металлов, такие как метоксид натрия и подобные; арил-С1-6 низшие алкоксиды щелочных металлов, такие как бензилоксид калия и подобные; и соли органических карбоновых кислот и щелочных металлов, такие как ацетат натрия и подобные. Если желательно, указанные нуклеофильные замещающие реагенты могут быть синтезированы в реакционной системе. Нуклеофильный замещающий реагент используют, по крайней мере, в эквимолярном количестве и предпочтительно в количестве 1,0-5,0 моль на моль соединения формулы [21f] или его соли. Медный катализатор, который при необходимости может быть использован, не строго ограничен, если он является агентом, который обычно применяют для нуклеофильного замещения ароматических галогенных соединений. Предпочтительные примеры таких катализаторов включают медные катализаторы, такие как порошковую медь, йодид меди(I) и подобные. Медный катализатор применяют в количестве 0,01-30 моль и предпочтительно 0,05-2 моль на моль соединения формулы [21f] или его соли.
Указанную реакцию обычно проводят при температуре от -70 до 200°С и предпочтительно при температуре от -20 до 50°С в течение времени от одной минуты до 24 часов и предпочтительно от 5 минут до 6 часов.
В способе (2) растворители, которые используют в данной реакции, не строго ограниченны, если только они не оказывают вредного воздействия на реакцию. Примеры такого растворителя включают ароматические углеводороды, такие как бензол, толуол, ксилол и подобные; простые эфиры, такие как диоксан, тетрагидрофуран, анизол, диэтиловый эфир диэтиленгликоля, диметилцеллозольв и подобные; амиды, такие как N,N-диметилформамид, N,N-диметилацетамид и подобные; сульфоксиды, такие как диметилсульфоксид и подобные, и т.д. Указанные растворители можно использовать как таковые или в виде смеси двух или более растворителей.
Нуклеофильный замещающий реагент, который применяют в данной реакции, не строго ограничен, если его используют для нуклеофильного замещения ароматических галогенных соединений. Предпочтительные примеры такого реагента включают С1-6 низшие спирты, такие как метанол, этанол, изопропиловый спирт, аллиловый спирт и подобные; арил-С1-6 низшие спирты, такие как бензиловый спирт и подобные; замещенные фенолы, такие как гидрохинон, п-метоксифенол и подобные; альфа-дикетоны, такие как 3-метил-1,2-циклопентадион и подобные; бета-дикетоны, такие как 2-метил-1,3-циклопентандион и подобные; и т.д. Нуклеофильный замещающий агент используют, по крайней мере, в эквимолярном количестве и предпочтительно в количестве 1,0-5,0 моль на моль соединения формулы [21f] или его соли. Основание, используемое в данной реакции, не является строго ограниченным, если его обычно применяют для нуклеофильного замещения ароматических галогенных соединений. Предпочтительные примеры такого основания включают органические основания, такие как триэтиламин, пиридин и подобные; и неорганические основания, такие как карбонат натрия, карбонат калия и подобные. Основание применяют в количестве 0,01-30 моль и предпочтительно 0,5-2 моль на моль соединения общей формулы [21f] или его соли.
Указанную реакцию обычно проводят при температуре от -70 до 200°С и предпочтительно при температуре от -20 до 100°С в течение времени от одной минуты до 24 часов и предпочтительно от 5 минут до 6 часов.
(5-4)
Соединение общей формулы [21h] или его соль могут быть получены взаимодействием соединения общей формулы [21g] или его соли с агентом, для удаления защитной группы, в присутствии или в отсутствие катализатора способом, описанным, например, в Theodora W.Greene: PROTECTIVE GROUPS IN ORGANIC SYNTHESIS, Third Edition, Pages 75 and 249-287 (edited by John Wiley & Sons, Inc., 1999).
Растворитель, который используют в данной реакции, не строго ограничен, если только он не оказывает вредного воздействия на реакцию. Примеры растворителей включают спирты, такие как метанол, этанол, пропанол и подобные; тиоспирты, такие как этантиол, тиофенол и подобные; ароматические углеводороды, такие как бензол, толуол, ксилол и подобные; галогенированные углеводороды, такие как метиленхлорид, хлороформ, дихлорэтан и подобные; простые эфиры, такие как диоксан, тетрагидрофуран, анизол, диэтиловый эфир диэтиленгликоля, диметилцеллозольв и подобные; тиоэфиры, такие как диметилсульфид и подобные; кетоны, такие как ацетон, метилэтилкетон и подобные; нитрилы, такие как ацетонитрил и подобные; амиды, такие как N,N-диметилформамид, N,N-диметилацетамид и подобные; сульфоксиды, такие как диметилсульфоксид и подобные; неорганические кислоты, такие как серная кислота, хлористоводородная кислота и подобные; карбоновые кислоты, такие как уксусная кислота, трифторуксусная кислота и подобные; сульфоновые кислоты, такие как трифторметансульфокислота и подобные; органические основания, такие как пиридин, триэтиламин и подобные; воду; и т.д. Указанные растворители могут быть использованы как таковые или в виде смеси двух или более растворителей.
Реагент для снятия защитной группы, который применяют в данной реакции, не строго ограничен, если его обычно используют для снятия защиты с защищенных ароматических спиртов. Предпочтительные примеры таких реагентов включают газообразный водород; кислоты Льюиса, такие как трихлорид алюминия, трибромид бора, комплекс йода и магния и подобные; неорганические кислоты, такие как бромистоводородная кислота и подобные; соли с кислотами, такие как хлоргидрат пиридина и подобные; неорганические основания, такие как карбонат калия, бикарбонат натрия, гидроокись натрия и подобные, и окислители, такие как нитрат церия-диаммония, треххлористое железо, 2,3-дихлор-5,6-дициано-1,4-бензохинон; и т.д. Реагент для снятия защитной группы применяют в количестве 0,01-50 моль и предпочтительно 0,1-30 моль на моль соединения формулы [21g] или его соли.
Катализатор, который при необходимости может быть использован в указанной реакции, не строго ограничен, если его обычно применяют для снятия защиты с защищенных ароматических спиртов. Предпочтительные примеры такого катализатора включают палладиевые катализаторы, такие как палладий на углеродероде и подобные; родий; никель Ренея; окись платины(IV) и подобные. Палладий на углеродероде и никель Ренея используют в количестве 0,001-10 мас.частей и предпочтительно 0,01-5 мас.частей на масс.часть соединения формулы [21g] или его соли. Катализаторы, отличные от палладия на углероде и некеля Ренея, используют в количестве от 0,001-10 моль и предпочтительно 0,01-5 моль на моль соединения формулы [21g] или его соли.
Указанную реакцию обычно проводят при температуре от -80 до 200°С и предпочтительно при температуре от 0 до 160°С в течение времени от одной минуты до 48 часов и предпочтительно от 5 минут до 12 часов.
(5-5)
Соединение общей формулы [21g] или его соль могут быть получены взаимодействием соединения общей формулы [21е] или его соли с диазотирующим агентом и спиртом или сульфокислотой.
Растворитель, который применяют в данной реакции, не строго ограничен, если только он не оказывает вредного воздействия на реакцию. Примеры такого растворителя включают неорганические кислоты, такие как серная кислота, хлористоводородная кислота, азотная кислота и подобные; простые эфиры, такие как диоксан, тетрагидрофуран, анизол, диэтиловый эфир диэтиленгликоля, диметилцеллозольв и подобные; галогенированные углеводороды, такие как дихлорметан, хлороформ, дихлорэтан и подобные; нитрилы, такие как ацетонитрил и подобные; амиды, такие как N,N-диметилформамид, N-метил-2-пирролидон и подобные; сульфоксиды, такие как диметилсульфоксид и подобные; амины и аминоксиды, такие как триэтиламин, N,N-диметиланилин, пиридин-N-оксид и подобные; кетоны, такие как ацетон и подобные; спирты, такие как метанол, этанол и подобные; воду; и т.д. Указанные растворители могут быть использованы в виде смеси, если желательно.
Диазотирующий реагент, который применяют в данной реакции, не строго ограничен, если его обычно используют для диазотирования ароматических аминосоединений. Предпочтительные примеры таких реагентов включают нитриты щелочных металлов, такие как нитрит натрия и подобные. Диазотирующий реагент используют, по крайней мере, в эквимолярном количестве и предпочтительно в количестве 1,0-5,0 моль на моль соединения формулы [21е] или его соли.
К спирту, используемому в указанной реакции, можно отнести, например, метанол и подобные. Спирт применяют, по крайней мере, в эквимолярном количестве по отношению к соединению формулы [21е] или его соли. Спирт можно использовать также в качестве растворителя, если желательно.
Сульфокислоты, используемые в данной реакции, включают метансульфокислоту, п-толуолсульфокислоту и подобные. Сульфокислоту используют, по крайней мере, в эквимолярном количестве и предпочтительно в количестве 1,0-5,0 моль на моль соединения формулы [21е] или его соли. Также можно использовать сульфокислоту в качестве растворителя, если желательно.
Указанную реакцию обычно проводят при температуре от -70 до 200°С и предпочтительно при температуре от -50 до 100°С в течение времени от одной минуты до 24 часов и предпочтительно от 30 минут до 10 часов.

где R22 является таким, как определено выше; R21c представляет собой метильную группу, защищенную или незащищенную гидроксиметильную или аминометильную группу, метильную группу, замещенную защищенной или незащищенной меркаптогруппой, галогенированную метильную группу или формильную группу; R26 представляет собой защитную группу для карбоксильной группы, и R27 представляет собой атом галогена.
(6-1)
Соединение общей формулы [21j] или его соль могут быть получены взаимодействием соединения формулы [21i] или его соли с окислителем способом, описанным в Shin Jikken Kagaku Koza, Vol.15, Pages 922-926 (edited by Chemical Society Japan (corporate juridical person), 1977) или ibid Vol.14, Pages 1051-1053 (edited by Chemical Society Japan (corporate juridical person), 1977).
Растворитель, используемый в данной реакции, не очень строго ограничен, если только растворитель не оказывает вредного воздействия на реакцию. Примеры растворителя включают ароматические углеводороды, такие как бензол, толуол, ксилол и подобные; простые эфиры, такие как диоксан, тетрагидрофуран, анизол, диэтиловый эфир диэтиленгликоля, диметилцеллозольв и подобные; спирты, такие как метанол, этанол, пропанол и подобные; кетоны, такие как ацетон и подобные; органические основания, такие как пиридин и подобные; органические кислоты, такие как уксусная кислота и подобные; неорганические кислоты, такие как азотная кислота, серная кислота и подобные; воду; и т.д. Указанные растворители могут быть использованы как таковые или в виде смеси двух или более растворителей.
Окислитель, применяемый в данной реакции, не очень строго ограничен, если его обычно используют в качестве окислителя для ароматических карбоновых кислот. Предпочтительные примеры окислителя включают перманганат калия, оксид хрома(VI), дихромат натрия, диоксид селена, оксид серебра, оксид молибдена(VI) и подобные. Окислитель используют в количестве 0,1-20 моль и предпочтительно 0,5-10 моль на моль соединения формулы [21i] или его соли.
Указанную реакцию обычно проводят при температуре от -50 до 170°С и предпочтительно при температуре 0-150°С в течение времени от 5 минут до 72 часов и предпочтительно от 30 минут до 24 часов.
(6-2)
Соединение общей формулы [21m] или его соль могут быть получены этерификацией соединения общей формулы [21j] или его соли способом, описанным в Shin Jikken Kagaku Koza, Vol.14, Pages 1002-1016 и 1106-1119 (edited by Chemical Society Japan (corporate juridical person), 1977).
Более детально, приемлемыми способами являются (1) конденсация с дегидратацией с помощью спирта в присутствии или в отсутствие катализатора или дегидратирующего реагента, (2) обработка алкилирующим агентом, (3) способ, включающийся взаимодействие соли щелочного металла или соли аммония соединения общей формулы [21j] с диалкилсульфатом или галогеналкилом, (4) способ, включающийся взаимодействие соединения общей формулы [21j] или его соли с галогенирующим реагентом или подобным в присутствии или в отсутствие катализатора с образованием активного промежуточного соединения, такого как галогенангидрид [21l] или подобные, с последующим взаимодействием со спиртом в присутствии или в отсутствие основания, и т.д.
В способе (1) растворитель, который используют в данной реакции, не строго ограничен, если только растворитель не оказывает вредного воздействия на реакцию. Примеры растворителя включают ароматические углеводороды, такие как бензол, толуол, ксилол и подобные; галогенированные углеводороды, такие как метиленхлорид, хлороформ и подобные; спирты, такие как метанол, этанол, пропанол и подобные; и т.д. Растворители можно использовать как таковые или в виде смеси двух или более растворителей.
К катализатору, который при необходимости может быть использован в данной реакции, можно отнести, например, неорганические кислоты, такие как хлористоводородная кислота, серная кислота и подобные; органические кислоты, такие как ароматические сульфокислоты и подобные, и кислоты Льюиса, такие как эфират трехфтористого бора и подобные. Катализатор используют в количестве 0,01-20 моль и предпочтительно 0,01-10 моль на моль соединения формулы [21j] или его соли.
К дегидратирующему реагенту, который при необходимости может быть использован в данной реакции, можно отнести, например, карбодиимиды, такие как дициклогексилкарбодиимид, диизопропилкарбодиимид и подобные. Дегидратирующий реагент применяют, по крайней мере, в эквимолярном количестве и предпочтительно в количестве 1-20 моль на моль соединения формулы [21j] или его соли.
Указанную реакцию обычно проводят при температуре от -20 до 200°С и предпочтительно при температуре 0-180°С в течение времени от 5 минут до 10 дней и предпочтительно от 30 минут до 6 дней.
В способе (2) растворитель, который используют в данной реакции, не строго ограничен, если только растворитель не оказывает вредного воздействия на реакцию. Примеры растворителя включают простые эфиры, такие как диэтиловый эфир, диоксан, тетрагидрофуран и подобные; ароматические углеводороды, такие как бензол, толуол и подобные; ортоэфиры, такие как триэтоксиметан и подобные, и т.д. Указанные растворители могут быть использованы как таковые или в виде смеси двух или более растворителей.
К алкилирующему реагенту, который применяют в данной реакции, можно отнести, например, диазосоединения, такие как диазометан и подобные, ортоэфиры, такие как триэтоксиметан и подобные, и т.д. Алкилирующий агент используют, по крайней мере, в эквимолярном количестве и предпочтительно в количестве 1-20 моль на моль соединения формулы [21j] или его соли.
Указанную реакцию обычно проводят при температуре от -20 до 200°С и предпочтительно при температуре 0-180°С в течение времени от 5 минут до 72 часов и предпочтительно от 30 минут до 48 часов.
В способе (3) растворитель, который применяют в данной реакции, не строго ограничен, если только растворитель не оказывает вредного воздействия на реакцию. Примеры растворителя включают ароматические углеводороды, такие как бензол, толуол, ксилол и подобные; галогенированные углеводороды, такие как метиленхлорид, хлороформ и подобные; простые эфиры, такие как диоксан, тетрагидрофуран, анизол, диэтиловый эфир диэтиленгликоля, диметилцеллозольв и подобные; спирты, такие как метанол, этанол, пропанол и подобные; кетоны, такие как ацетон и подобные; амиды, такие как N,N-диметилформамид и подобные; и т.д. Указанные растворители могут быть использованы как таковые или в виде смеси двух или более растворителей.
К солям щелочных металлов, используемым в данной реакции, можно отнести, например, соли натрия и соли калия. К соли аммония относятся, например, органические основные соли, такие как соли тетраметиламмония и подобные. Указанные соли могут быть получены в реакционной системе, если желательно.
К диалкилсульфату, который применяют в данной реакции, относятся, например, такие диалкилсульфаты, как диметилсульфат, диэтилсульфат и подобные. К галогеналкилу, используемому в данной реакции, относятся, например, такие галогеналкилы, как метилйодид, этилйодид и подобные. Диалкилсульфат и галогеналкил используют, по крайней мере, в эквимолярном количестве и предпочтительно в количестве 1-20 моль на моль соединения общей формулы [21j] или его соли.
Указанную реакцию обычно проводят при температуре от -20 до 250°С и предпочтительно при температуре 0-180°С в течение времени от 5 минут до 72 часов и предпочтительно от 30 минут до 48 часов.
В способе (4) растворитель, который применяют в данной реакции, не строго ограничен, если только растворитель не оказывает вредного воздействия на реакцию. Примеры растворителя включают ароматические углеводороды, такие как бензол, толуол, ксилол и подобные; галогенированные углеводороды, такие как метиленхлорид, хлороформ и подобные; простые эфиры, такие как диоксан, тетрагидрофуран, анизол, диэтиловый эфир диэтиленгликоля, диметилцеллозольв и подобные; кетоны, такие как ацетон и подобные; и т.д. Растворители можно использовать как таковые или в виде смеси двух или более растворителей. К галогенирующему агенту, который применяют в данной реакции, относятся, например, неорганические галогенные соединения, такие как тионилхлорид, пятихлористый фосфор, треххлористый фосфор, хлорокись фосфора и подобные; галогенангидриды щавелевой кислоты, такие как оксалилхлорид, оксалилбромид и подобные; и т.д. Галогенирующий реагент применяют в данной реакции, по крайней мере, в эквимолярном количестве и предпочтительно в количестве 1-10 моль на моль соединения формулы [21j] или его соли.
К катализатору, который при необходимости может быть применен в указанной реакции, относятся органические основания, такие как триэтиламин, пиридин и подобные; кислоты Льюиса, такие как хлорид цинка и подобные; йод; N,N-диметилформамид; и т.д. Катализатор может быть использован в количестве 0,001-10 моль и предпочтительно 0,001-0,5 моль на моль соединения формулы [21j] или его соли.
К основанию, которое применяют в данной реакции, можно отнести органические и неорганические основания, такие как пиридин, диметиланилин, металлический магний и подобные. Основание применяют, по крайней мере, в эквимолярном количестве и предпочтительно в количестве 1-10 моль на моль соединения формулы [21j] или его соли.
Указанную реакцию обычно проводят при температуре от -20 до 200°С и предпочтительно при температуре от -10 до 120°С в течение времени от одной минуты до 72 часов и предпочтительно от 10 минут до 24 часов.
(6-3)
Соединение общей формулы [21m] или его соль могут быть получены взаимодействием соединения общей формулы [21k] или его соли со сложным эфиром в присутствии или в отсутствие катализатора способом, описанным, например, в Collect. Czech. Chem. Commun., Vol.54, №5, Pages 1306-1310 (1989).
Растворитель, который применяют в данной реакции, не строго ограничен, если только растворитель не оказывает вредного воздействия на реакцию. Примеры растворителя включают серную кислоту, воду и подобные. Указанные растворители могут быть использованы как таковые или в виде смеси двух или более растворителей.
К сложному эфиру, который применяют в указанной реакции, можно отнести, например, такие эфиры, как метиловый эфир пировиноградной кислоты, этиловый эфир пировиноградной кислоты и подобные. Сложный эфир используют в количестве 0,1-10 моль и предпочтительно 0,2-5 моль на моль соединения формулы [21k] или его соли.
К катализатору, который при необходимости применяют в данной реакции, можно отнести, например, сульфат меди, водный раствор перекиси водорода и подобные. Катализатор используют в количестве 0,01-10 моль и предпочтительно 0,1-5 моль на моль соединения формулы [21k] или его соли.
Указанную реакцию обычно проводят при температуре от -50 до 150°С и предпочтительно при температуре от -20 до 100°С в течение времени от 5 минут до 72 часов и предпочтительно от 30 минут до 24 часов.

где R26 и R27 являются такими, как определено выше; и R22d представляет собой защищенную гидроксильную группу, защищенную или незащищенную аминогруппу, атом галогена, нитрогруппу или азидогруппу.
(7-1)
Соединение общей формулы [21q] или его соль могут быть получены амидированием соединения общей формулы [21n] или его соли способом, описанным в Shin Jikken Kagaku Koza, Vol.14, Pages 1106-1119 и 1136-1147 (edited by Chemical Society Japan (corporate juridical person), 1977).
Более детально, приемлемые способы включают: (1) дегидратацию соединения [21n] или его соли аммиаком в присутствии или в отсутствие катализатора или дегидратирующего реагента, (2) способ, включающий взаимодействие соединения формулы [21n] или его соли с амидирующим агентом, (3) способ, включающий взаимодействие соединения формулы [21n] или его соли с галогенным соединением с образованием активного промежуточного соединения, такого как галогенангидрид [21о] или подобные, с последующим взаимодействием с аммиаком, и т.д.
Растворитель, который применяют в данной реакции, не строго ограничен, если только растворитель не оказывает вредного воздействия на реакцию. Примеры растворителя включают ароматические углеводороды, такие как бензол, толуол, ксилол и подобные; галогенированные углеводороды, такие как метиленхлорид и подобные; простые эфиры, такие как диоксан, тетрагидрофуран, анизол, диэтиловый эфир диэтиленгликоля, диметилцеллозольв и подобные; кетоны, такие как ацетон и подобные; амиды, такие как N,N-диметилформамид и подобные; воду; и т.д. Растворители можно использовать как таковые или в виде смеси двух или более растворителей. К катализатору, который при необходимости используют в реакции (1), можно отнести, например, активированный алюминий, органические кислоты, такие как ароматические сульфокислоты, и т.д. Катализатор применяют в количестве 0,01-20 моль и предпочтительно 0,1-10 моль на моль соединения формулы [21n] или его соли. К дегидратирующему агенту, который используют в реакции (1), можно отнести, например, карбодиимиды, такие как дициклогексилкарбодиимид, диизопропилкарбодиимид и подобные. К амидирующему агенту, который используют в реакции (2), можно отнести такие амидирующие агенты, как, например, мочевина и подобные. К галогенному соединению, которое используют в реакции (3), можно отнести, например, галогенирующие агенты, такие как оксалилхлорид, тионилхлорид и подобные. В указанных реакциях дегидратирующий агент, амидирующий агент и галогенное соединение используют, по крайней мере, в эквимолярном количестве и предпочтительно в количестве 1-20 моль на моль соединения формулы [21n] или его соли.
Указанную реакцию обычно проводят при температуре от -20 до 200°С и предпочтительно при температуре 0-180°С в течение времени от 5 минут до 72 часов и предпочтительно от 30 минут до 48 часов.
(7-2)
Соединение общей формулы [21q] или его соль могут быть получены реакцией аммонолиза эфира карбоновой кислоты соединения общей формулы [21p] или его соли в присутствии или в отсутствие катализатора способом, описанным, например, в Shin Jikken Kagaku Koza, Vol.14, Pages 1147-1151 (edited by Chemical Society Japan (corporate juridical person), 1977).
Растворитель, который применяют в данной реакции, не строго ограничен, если только растворитель не оказывает вредного воздействия на реакцию. Примеры растворителя включают ароматические углеводороды, такие как бензол, толуол, ксилол и подобные; простые эфиры, такие как диоксан, тетрагидрофуран, анизол, диэтиловый эфир диэтиленгликоля, диметилцеллозольв и подобные; нитрилы, такие как ацетонитрил и подобные; амиды, такие как N,N-диметилформамид, N,N-диметилацетамид и подобные; спирты, такие как метанол, этанол, пропанол и подобные; сульфоксиды, такие как диметилсульфоксид и подобные; воду; и т.д. Растворители можно использовать как таковые или в виде смеси двух или более растворителей. Хотя данная реакция может быть осуществлена в стандартных условиях, применяемых для аммонолиза эфиров карбоновых кислот ароматического ряда, предпочтительным является способ, включающий использование газообразного аммиака, жидкого аммиака или водного раствора аммиака. К катализатору, который при необходимости используют в данной реакции, можно отнести аммониевые соли кислот, такие как хлорид аммония и подобные; основания, такие как метоксид натрия, бутиллитий и подобные; амиды щелочных металлов, такие как амид натрия и подобные; и т.д. Катализатор применяют в количестве 0,01-100 моль и предпочтительно 0,01-20 моль на моль соединения формулы [21p] или его соли.
Указанную реакцию обычно проводят при температуре от -100 до 250°С и предпочтительно при температуре от -78 до 100°С в течение времени от одной минуты до 72 часов и предпочтительно от 30 минут до 50 часов.
(7-3)
Соединение общей формулы [21q] или его соль могут быть получены амидированием соединения общей формулы [21r] или его соли либо (1) в кислых условиях, (2) в основных условиях в присутствии или в отсутствие надкислоты, либо (3) в нейтральных условиях способом, описанным в Shin Jikken Kagaku Koza, Vol.14, Pages 1151-1154 (edited by Chemical Society Japan (corporate juridical person), 1977).
В способе (1) растворитель, который применяют в данной реакции, не строго ограничен, если только растворитель не оказывает вредного воздействия на реакцию. Примеры растворителя включают ароматические углеводороды, такие как бензол, толуол, ксилол и подобные; простые эфиры, такие как диоксан, тетрагидрофуран, анизол, диэтиловый эфир диэтиленгликоля, диметилцеллозольв и подобные; неорганические кислоты, такие как хлористоводородная кислота, серная кислота, полифосфорная кислота и подобные; органические кислоты, такие как уксусная кислота, муравьиная кислота и подобные; воду; и т.д. Растворители можно использовать как таковые или в виде смеси двух или более растворителей.
К кислоте, которую используют в данной реакции, можно отнести, например, неорганические кислоты, такие как хлористоводородная кислота, серная кислота, полифосфорная кислота и подобные; органические кислоты, насыщенные кислотой Льюиса, такие как хлористый водород, бромистый водород, трехфтористый бор и подобные; и т.д. Кислоту используют в количестве 0,1-100 мл и предпочтительно 0,5-50 мл на грамм соединения формулы [21r] или его соли, выраженном через отношение объем/вес (мл/г). Если желательно, указанные кислоты могут быть использованы в качестве растворителя.
Указанную реакцию обычно проводят при температуре 0-200°С и предпочтительно при температуре 0-160°С в течение времени от одной минуты до 72 часов и предпочтительно от 5 минут до 48 часов.
В способе (2) растворитель, который используют в данной реакции, не строго ограничен, если только растворитель не оказывает вредного воздействия на реакцию. Примеры растворителя включают спирты, такие как метанол, этанол, пропанол и подобные; сульфоксиды, такие как диметилсульфоксид и подобные; сложные эфиры, такие как этилацетат и подобные; воду; и т.д. Указанные растворители могут быть использованы как таковые или в виде смеси двух или более растворителей.
Основание, которое применяют в данной реакции, не строго ограничено, если его применяют для карбамоилирования ароматических нитрилов. Предпочтительные примеры такого основания включают основания щелочных металлов, такие как гидроокись натрия и подобные, и водные растворы аминов, такие как водный раствор аммиака и подобные. Основание применяют в количестве 0,1-20 моль и предпочтительно 0,5-10 моль на моль соединения формулы [21r] или его соли.
К надкислоте, которую используют в данной реакции, можно отнести перекись водорода и подобные. Надкислоту используют в количестве 0,1-20 моль и предпочтительно 0,5-10 моль на моль соединения формулы [21r] или его соли.
Указанную реакцию обычно проводят при температуре от -20 до 170°С и предпочтительно при температуре 0-160°С в течение времени от одной минуты до 72 часов и предпочтительно от 5 минут до 48 часов.
В способе (3) растворитель, который применяют в указанной реакции, не строго ограничен, если только растворитель не оказывает вредного воздействия на реакцию. Примеры растворителя включают галогенированные углеводороды, такие как метиленхлорид и подобные; простые эфиры, такие как диоксан, тетрагидрофуран, анизол, диэтиловый эфир диэтиленгликоля, диметилцеллозольв и подобные; нитрилы, такие как ацетонитрил и подобные; воду; и т.д. Указанные растворители могут быть использованы как таковые или в виде смеси двух или более растворителей.
Реагент, который применяют в данной реакции, не строго ограничен, если он является реагентом, который обычно используют для карбамоилирования ароматических нитрилов. Предпочтительные примеры такого реагента включают двуокись марганца и подобные. Реагент используют, по крайней мере, в эквимолярном количестве и предпочтительно в количестве 1-100 моль на моль соединения формулы [21r] или его соли.
Указанную реакцию обычно проводят при температуре от -20 до 170°С и предпочтительно при температуре 0-160°С в течение времени от 5 минут до 72 часов и предпочтительно от 30 минут до 48 часов.
(7-4)
Соединение общей формулы [21q] или его соль могут быть получены взаимодействием соединения общей формулы [21s] или его соли с амидом в присутствии или в отсутствие катализатора способом, описанным, например, в Collect. Czech. Chem. Commun., Vol.54, №5, Pages 1306-1310 (1989).
Растворитель, который применяют в указанной реакции, не строго ограничен, если только он не оказывает вредного воздействия на реакцию. Примеры растворителя включают серную кислоту, воду и т.д. Указанные растворители могут быть использованы как таковые или в виде смеси двух или более растворителей.
К амиду, который применяют в данной реакции, можно отнести, например, формамиды и подобные. Амид используют в количестве 0,1-100 моль и предпочтительно 0,2-50 моль на моль соединения общей формулы [21s] или его соли.
К катализатору, который при необходимости может быть использован в данной реакции, можно отнести, например, сульфат меди, водный раствор перекиси водорода и подобные. Катализатор применяют в количестве 0,01-10 моль и предпочтительно 0,1-5 моль на моль соединения формулы [21s] или его соли.
Указанную реакцию обычно проводят при температуре от -50 до 150°С и предпочтительно при температуре от -20 до 100°С в течение времени от 5 минут до 72 часов и предпочтительно от 30 минут до 24 часов.
где R22c является таким, как определено выше, и R21d представляет собой метильную группу, защищенную или незащищенную гидроксиметильную, аминометильную, карбамоильную или карбоксильную группу, метильную группу, замещенную защищенной или незащищенной меркаптогруппой, галогенметильную группу, формильную группу, нитрильную группу или галогенированную карбонильную группу.
(8-1)
Соединение общей формулы [21v] или его соль могут быть получены взаимодействием соединения общей формулы [21u] или его соли с окислителем в присутствии или в отсутствие катализатора способом, описанным, например, в Jikken Kagaku Koza, Fourth Edition, Vol.23, (edited by Chemical Society Japan (corporate juridical person), 1991).
Растворитель, который применяют в указанной реакции, не строго ограничен, если только растворитель не оказывает вредного воздействия на реакцию. Примеры растворителя включают ароматические углеводороды, такие как бензол, толуол, ксилол и подобные; галогенированные углеводороды, такие как метиленхлорид, хлороформ и подобные; кетоны, такие как ацетон и подобные; амиды, такие как N,N-диметилформамид, N,N-диметилацетамид и подобные; спирты, такие как метанол, этанол, пропанол и подобные; нитрилы, такие как ацетонитрил, бензонитрил и подобные; органические кислоты, такие как уксусная кислота, трифторуксусная кислота и подобные; воду; и т.д. Указанные растворители могут быть использованы как таковые или в виде смеси двух или более растворителей.
Окислитель, который применяют в данной реакции, не строго ограничен, если его обычно используют для окисления третичных аминов. Предпочтительные примеры такого окислителя включают неорганические надкислоты, такие как перекись водорода и подобные; органические надкислоты, такие как м-хлорнадбензойная кислота, надуксусная кислота, надтрифторуксусная кислота и подобные; диоксисиланы, такие как диметилдиоксисилан и подобные; перекиси, такие как пероксодисульфат калия, пероксоборат натрия и подобные; озон; газообразный кислород, и т.д. Указанные окислители могут быть синтезированы в реакционной системе, если желательно. Окислитель применяют в количестве 0,01-10 моль и предпочтительно 1,0-5,0 моль на моль соединения формулы [21u] или его соли.
К катализатору, который при необходимости может быть использован в данной реакции, можно отнести, например, оксид молибдена, оксид железа(III) и подобные. Катализатор применяют в количестве 0,01-100 мас.частей и предпочтительно 0,1-10 мас.частей на мас.часть соединения формулы [21u] или его соли.
Указанную реакцию обычно проводят при температуре от -78 до 200°С и предпочтительно при температуре 0-150°С в течение времени от одной минуты до 24 часов и предпочтительно от 30 минут до 8 часов.
(8-2)
Соединение общей формулы [21w] или его соль могут быть получены взаимодействием соединения общей формулы [21v] или его соли с галогенирующим агентом способом, описанным в Heterokan Kagoubutsu no Kagaku, Pages 177-201 (edited by Kodansha Scientific, 1988).
Растворитель, который применяют в указанной реакции, не строго ограничен, если только растворитель не оказывает вредного воздействия на реакцию. Примеры растворителя включают ароматические углеводороды, такие как бензол, толуол, ксилол и подобные; галогенированные углеводороды, такие как метиленхлорид, хлороформ и подобные; простые эфиры, такие как диоксан, тетрагидрофуран, анизол, диэтиловый эфир диэтиленгликоля, диметилцеллозольв и подобные; амиды, такие как N,N-диметилформамид, N,N-диметилацетамид и подобные; и т.д. Указанные растворители могут быть использованы как таковые или в виде смеси двух или более растворителей.
Реагент, который применяют в данной реакции, не строго ограничен, если он является галогенирующим агентом. Предпочтительные примеры галогенирующего реагента включают хлорокись фосфора, тионилхлорид и подобные. Галогенирующий агент используют в количестве 0,3-100 моль и предпочтительно 1-30 моль на моль соединения общей формулы [21v] или его соли.
Указанную реакцию обычно проводят при температуре от -20 до 200°С и предпочтительно при температуре 0-120°С в течение времени от одной минуты до 24 часов и предпочтительно от 30 минут до 6 часов.

где R21c является таким, как определено выше; R26 представляет собой замещенную или незамещенную фенильную группу, и n равно 1 или 2.
Соединение общей формулы [21y] или его соль могут быть получены взаимодействием соединения общей формулы [21x] или его соли с окислителем способом, описанным в Shin Jikken Kagaku Koza, Vol.14, Pages 1749-1756 and 1759-1763 (edited by Chemical Society Japan (corporate juridical person), 1978).
Растворитель, который применяют в данной реакции, не строго ограничен, если только растворитель не оказывает вредного воздействия на реакцию. Примеры растворителя включают ароматические углеводороды, такие как бензол, толуол, ксилол и подобные; галогенированные углеводороды, такие как метиленхлорид, хлороформ и подобные; кетоны, такие как ацетон и подобные; амиды, такие как N,N-диметилформамид, N,N-диметилацетамид и подобные; спирты, такие как метанол, этанол, пропанол и подобные; нитрилы, такие как ацетонитрил, бензонитрил и подобные; органические кислоты, такие как уксусная кислота, трифторуксусная кислота и подобные; органические основания, такие как пиридин, хинолин и подобные; воду; и т.д. Указанные растворители могут быть использованы как таковые или в виде смеси двух или более растворителей.
Окислитель, который применяют в данной реакции, не строго ограничен, если он является реагентом, который обычно используют для окисления сульфидов. Предпочтительные примеры такого окислителя включают надкислоты, такие как перекись водорода, надуксусная кислота, надбензойная кислота, м-хлорнадбензойная кислота и подобные; натриевую соль метайодной кислоты, гидроперекиси, озон, двуокись селена, хромовую кислоту, четырехокись азота, ацилнитрат, йод, бром, N-бромсукцинимид, йодосилбензол, хлористый сульфурил плюс гидратированный силикагель, трет-бутилгипохлорит, окись рутения, окись осмия(VIII) и подобные. Указанные окислители могут быть синтезированы в реакционной системе, если желательно. Данные окислители используют в количестве 0,01-10 моль и предпочтительно 1,0-5,0 моль на моль соединения общей формулы [21x] или его соли. Указанную реакцию обычно проводят при температуре от -78 до 200°С и предпочтительно при температуре 0-150°С в течение времени от одной минуты до 24 часов и предпочтительно от 30 минут до 8 часов.
Ниже описаны способы синтеза соединений общей формулы [25] и [27] или их солей, которые применяют в способах получения II-1 и II-2.

где R21, R22a, R22c и X являются такими, как определено выше.
(А-1)
Соединение общей формулы [25] или его соль могут быть получены (1) дезаминированием аминогруппы соединения общей формулы [29] или его соли диазотирующим реагентом в присутствии добавки способом, описанным в Shin Jikken Kagaku Koza, Vol.14, Pages 383-387 (edited by Chemical Society Japan (corporate juridical person), 1977), последующего галогенирования продукта дезаминирования, или (2) взаимодействием соединения общей формулы [29] или его соли с защитным реагентом в присутствии или в отсутствие добавки способом, описанным в Theodora W.Greene: PROTECTIVE GROUPS IN ORGANIC SYNTHESIS, Third Edition, Pages 503-615 (1999).
В способе (1) растворитель, который применяют в данной реакции, не строго ограничен, если только растворитель не оказывает вредного воздействия на реакцию. Примеры такого растворителя включают неорганические кислоты, такие как серная кислота, хлористоводородная кислота, бромистоводородная кислота, азотная кислота и подобные; простые эфиры, такие как диоксан, тетрагидрофуран, анизол, диэтиловый эфир диэтиленгликоля, диметилцеллозольв и подобные; галогенированные углеводороды, такие как дихлорметан, хлороформ, дихлорэтан и подобные; нитрилы, такие как ацетонитрил и подобные; амиды, такие как N,N-диметилформамид, N-метил-2-пирролидон и подобные; сульфоксиды, такие как диметилсульфоксид и подобные; амины и аминоксиды, такие как триэтиламин, N,N-диметиланилин, пиридин-N-оксид и подобные; кетоны, такие как ацетон и подобные; воду; и т.д. Данные растворители могут быть использованы в виде смеси, если желательно.
Диазотирующий реагент, который применяют в данной реакции, не строго ограничен, если он является реагентом, используемым для диазотирования ароматических аминосоединений. Предпочтительные примеры такого реагента включают нитриты щелочных металлов, такие как нитрит натрия и подобные. Диазотирующий агент применяют, по крайней мере, в эквимолярном количестве, предпочтительно в количестве 1,0-5,0 моль и также предпочтительно 1,0-2,0 моль на моль соединения формулы [29] или его соли.
К добавке, которую применяют в указанной реакции, можно отнести, например, соли меди, такие как хлорид меди, бромид меди и подобные; соли железа, такие как хлорид железа, бромид железа и подобные, и т.д. Добавку используют в количестве 0,01-100 моль и предпочтительно 1-50 моль на моль соединения формулы [29] или его соли.
Указанную реакцию обычно проводят при температуре от -70 до 200°С и предпочтительно при температуре от -50 до 100°С в течение времени от одной минуты до 24 часов и предпочтительно от 30 минут до 10 часов.
В способе (2) растворитель, который применяют в данной реакции, не строго ограничен, если только растворитель не оказывает вредного воздействия на реакцию. Примеры такого растворителя включают спирты, такие как метанол, этанол, пропанол и подобные; алифатические углеводороды, такие как н-гексан и подобные; ароматические углеводороды, такие как бензол, толуол, ксилол и подобные; галогенированные углеводороды, такие как метиленхлорид, хлороформ, дихлорэтан и подобные; простые эфиры, такие как диоксан, тетрагидрофуран, анизол, диэтиловый эфир диэтиленгликоля, диметилцеллозольв и подобные; тиоэфиры, такие как диметилсульфид и подобные; кетоны, такие как ацетон, метилэтилкетон и подобные; нитрилы, такие как ацетонитрил и подобные; амиды, такие как N,N-диметилформамид, N,N-диметилацетамид и подобные; сульфоксиды, такие как диметилсульфоксид и подобные; ацетали, такие как диметилацеталь N,N-диметилформамида и подобные; неорганические кислоты, такие как серная кислота, хлористоводородная кислота и подобные; карбоновые кислоты, такие как уксусная кислота, трифторуксусная кислота и подобные; органические основания, такие как пиридин, триэтиламин и подобные; воду; и т.д. Указанные растворители могут быть использованы как таковые или в виде смеси двух или более растворителей.
Защитный реагент, который применяют в данной реакции, не строго ограничен, если он является реагентом, используемым обычно для защиты ароматических аминосоединений. Предпочтительные примеры такого реагента включают органические галогенные соединения, такие как бензоилхлорид, бензилхлорформиат, тритилхлорид и подобные; ангидриды органических кислот, такие как ангидрид уксусной кислоты, ди-трет-бутилдикарбонат и подобные; альдегиды, такие как бензальдегид и подобные; ацетали, такие как диметилацеталь N,N-диметилформамида и подобные; и т.д. Защитный реагент используют, по крайней мере, в эквимолярной количестве и предпочтительно в количестве 1,0-5,0 моль и также предпочтительно 1,0-3,0 моль на моль соединения формулы [29] или его соли за исключением случая, когда защитный реагент применяют в качестве растворителя, как в случае с диметилацеталем N,N-диметилформамида.
К добавке, которую применяют в данной реакции, можно отнести, например, неорганические основания, такие как бикарбонат натрия, гидрид натрия, гидроокись натрия и подобные; соли карбоновых кислот, такие как ацетат натрия и подобные; органические основания, такие как пиридин, триэтиламин и подобные; литийсодержащие органические соединения, такие как н-бутиллитий и подобные; кремнийорганические соединения, такие как триметилсилилхлорид и подобные; соли щелочных металлов, такие как сульфат натрия и подобные; ортокислоты, такие как этиловый эфир ортомуравьиной кислоты и подобные; органические кислоты, такие как уксусная кислота, п-толуолсульфокислота, N-гидроксисукцинимид и подобные; неорганические кислоты, такие как хлористоводородная кислота, борофтористоводородная кислота и подобные; щелочные металлы, такие как натрий и подобные; карбодиимиды, такие как N,N’-дициклогексилкарбодиимид и подобные; N,N’-карбонилдиимидазол и подобные; краун(простые)эфиры, такие как 18-краун-6 и подобные; соли аммония, такие как йодид тетра-н-бутиламмония и подобные; соли меди, такие как хлорид меди и подобные; соли палладия, такие как хлорид палладия и подобные; и т.д. Добавку используют в количестве 0,01-100 моль и предпочтительно 1-50 моль на моль соединения формулы [29] или его соли.
Указанную реакцию обычно проводят при температуре от -70 до 200°С и предпочтительно при температуре от -50 до 160°С в течение времени от одной минуты до 24 часов и предпочтительно от 10 минут до 10 часов.
Соединение общей формулы [29] или его соль, которые являются исходным материалом для вышеупомянутой реакции, могут быть получены способом, описанным, например, в J. Med. Chem., Vol.8, Pages 638-642 (1965).
(А-2)
Соединение общей формулы [25] или его соль могут быть получены галогенированием соединения общей формулы [30] в присутствии или в отсутствие добавки.
Растворитель, который применяют в данной реакции, не строго ограничен, если только растворитель не оказывает вредного воздействия на реакцию. Примеры такого растворителя включают ароматические углеводороды, такие как толуол и подобные; простые эфиры, такие как тетрагидрофуран и подобные; и т.д. Указанные растворители могут быть использованы в виде смеси, если желательно.
Галогенирующий реагент, который применяют в данной реакции, не строго ограничен, если он является общепринятым галогенирующим агентом. Примеры такого реагента включают галогениды фосфора, такие как хлорокись фосфора, бромокись фосфора, пятихлористый фосфор, дихлортрифенилфосфоран и подобные; соединения, имеющие ион галогенида, такие как фосген, тиониохлорид, бензолсульфонилхлорид и подобные; и т.д. Если желательно, указанные агенты могут быть использованы в виде смеси. Хотя количество галогенирующего реагента изменяется в зависимости от типа галогенирующего реагента, его используют, по крайней мере, в эквимолярном количестве по отношению к соединению общей формулы [30] или его соли. Если желательно, галогенирующий реагент может быть использован в качестве растворителя. Например, когда применяют хлорокись фосфора, ее можно использовать в качестве растворителя и ее количество может составлять 2,0-100 моль и предпочтительно 2,0-30 моль на моль соединения формулы [30] или его соли.
К добавке, которую при необходимости применяют в данной реакции, можно отнести, например, основания, такие как пиридин, N,N-диэтиланилин и подобные. Хотя количество добавки изменяется в зависимости от типа добавки, ее можно использовать в количестве 0,1-30 моль и предпочтительно 1,0-10 моль на моль соединения формулы [30] или его соли.
Указанную реакцию проводят при температуре 0-300°С и предпочтительно при температуре 20-120°С в течение времени от 30 минут до 48 часов и предпочтительно от одного часа до 24 часов.
Соединение общей формулы [30] или его соль могут быть получены взаимодействием соединения общей формулы [3l] или его соли с нитрующим реагентом способом, описанным, например, в Shin Jikken Kagaku Koza, Vol.14 (III), Pages 1266-1277 (edited by Chemical Society Japan (corporate juridical person), 1978).
Растворитель, который применяют в указанной реакции, не строго ограничен, если только растворитель не оказывает вредного воздействия на реакцию. Примеры такого растворителя включают неорганические кислоты, такие как серная кислота, хлористоводородная кислота, фосфорная кислота и подобные; алифатические карбоновые кислоты, такие как уксусная кислота и подобные и ангидриды кислот; простые эфиры, такие как диэтиловый эфир и подобные; галогенированные углеводороды, такие как метиленхлорид и подобные; воду; и т.д. Указанные растворители могут быть использованы в виде смеси, если желательно. К нитрующему агенту, который применяют в данной реакции, можно отнести, например, неорганические кислоты, такие как азотная кислота; нитраты щелочных металлов, такие как нитрат калия и подобные; соли нитрония, такие как тетрафторборат нитрония, трифторметансульфонат нитрония и подобные; и т.д. Данные агенты могут быть использованы в виде смеси, если желательно.
Хотя количество нитрующего реагента, применяемого в данной реакции, изменяется в зависимости от типа нитрующего реагента, его можно использовать, по крайней мере, в эквимолярном количестве по отношению к соединению общей формулы [3l] или его соли, и предпочтительно в количестве 1,0-10 моль и также предпочтительно 1,0-3,0 моль на моль соединения формулы формулы [3l] или его соли.
Указанную реакцию обычно проводят при температуре от -60 до 200°С и предпочтительно при температуре 0-100°С в течение времени от 10 минут до 48 часов и предпочтительно от одного часа до 24 часов.
(А-3)
Соединение общей формулы [25] или его соль могут быть получены взаимодействием соединения общей формулы [34] или его соли с галогенирующим агентом в присутствии или в отсутствие катализатора способом, описанным, например, в Shin Jikken Kagaku Koza, Vol.14, Pages 1106-1119 (edited by Chemical Society Japan (corporate juridical person), 1977).
Растворитель, который применяют в указанной реакции, не строго ограничен, если только растворитель не оказывает вредного воздействия на реакцию. Примеры такого растворителя включают ароматические углеводороды, такие как бензол, толуол, ксилол и подобные; галогенированные углеводороды, такие как метиленхлорид, хлороформ и подобные; простые эфиры, такие как диоксан, тетрагидрофуран, анизол, диэтиловый эфир диэтиленгликоля, диметилцеллозольв и подобные; кетоны, такие как ацетон и подобные; и т.д. Указанные растворители могут быть использованы как таковые или в виде смеси двух или более растворителей.
Галогенирующий реагент, который применяют в данной реакции, не строго ограничен, если он является общепринятым галогенирующим реагентом. Примеры такого реагента включают неорганические галогенные соединения, такие как тионилхлорид, пятихлористый фосфор, треххлористый фосфор, хлорокись фосфора и подобные; галогенангидриды щавелевой кислоты, такие как оксалилхлорид, оксалилбромид и подобные; и т.д. Галогенирующий реагент используют, по крайней мере, в эквимолярном количестве и предпочтительно в количестве 1-10 моль на моль соединения формулы [34] или его соли.
К катализатору, который применяют в данной реакции, можно отнести, например, органические основания, такие как триэтиламин, пиридин и подобные; кислоты Льюиса, такие как хлорид цинка и подобные; йод; N,N-диметилформамид; и т.д. Катализатор используют в количестве 0,001-10 моль и предпочтительно 0,001-0,5 моль на моль соединения формулы [34] или его соли.
Указанную реакцию обычно проводят при температуре от -20 до 200°С и предпочтительно при температуре от -10 до 120°С в течение времени от одной минуты до 72 часов и предпочтительно от 10 минут до 24 часов.
(А-4)
Соединение общей формулы [25] или его соль могут быть получены взаимодействием соединения общей формулы [35] или его соли с нуклеофильным замещающим агентом в присутствии основания.
Растворитель, который применяют в указанной реакции, не строго ограничен, если только растворитель не оказывает вредного воздействия на реакцию. Примеры такого растворителя включают ароматические углеводороды, такие как бензол, толуол, ксилол и подобные; простые эфиры, такие как диоксан, тетрагидрофуран, анизол, диэтиловый эфир диэтиленгликоля, диметилцеллозольв и подобные; амиды, такие как N,N-диметилформамид, N,N-диметилацетамид и подобные; сульфоксиды, такие как диметилсульфоксид и подобные; и т.д. Указанные растворители могут быть использованы как таковые или в виде смеси двух или более растворителей.
Нуклеофильный замещающий реагент, который применяют в данной реакции, не строго ограничен, если он является реагентом, используемым обычно для нуклеофильного замещения ароматических галогенных соединений. Предпочтительные примеры такого реагента включают замещенные фенолы, такие как гидрохинон, п-метоксифенол и подобные; арилмеркаптаны, такие как тиофенол и подобные, и т.д. Нуклеофильный замещающий реагент используют, по крайней мере, в эквимолярном количестве и предпочтительно в количестве 1,0-5,0 моль на моль соединения формулы [35] или его соли. Основание, которое применяют в указанной реакции, не ограничено строго, если оно является реагентом, который обычно применяют в реакциях нуклеофильного замещения ароматических галогенных соединений. Примеры такого основания включают органические основания, такие как триэтиламин, пиридин и подобные; и неорганические основания, такие как карбонат натрия, карбонат калия и подобные. Основание используют в количестве 0,01-30 моль и предпочтительно 0,5-2 моль на моль соединения формулы [35] или его соли.
Указанную реакцию обычно проводят при температуре от -70 до 200°С и предпочтительно при температуре от -20 до 50°С в течение времени от одной минуты до 24 часов и предпочтительно от 5 минут до 6 часов.

где R21a и R22b являются такими, как определено выше.
(В-1)
Соединение общей формулы [27] или его соль могут быть получены реакцией с использованием соединения общей формулы [32] или его соли, такой же, как упомянутая в способе II-4-1 реакция.
(В-2)
Соединение общей формулы [32] или его соль могут быть получены реакцией с использованием соединения общей формулы [33] или его соли, такой же, как упомянутая в способе II-А-2 реакция.
Ниже описан способ получения соединения общей формулы [23] с использованием соединения общей формулы [21] или его соли в качестве исходного соединения.

где A’, R21, R22, R23, R24 и прерывистая линия являются такими, как определено выше; при условии, что соединение, где R21 представляет собой карбамоильную группу или карбамоильную группу, замещенную ацильной группой, и R22 представляет собой гидроксильную группу, исключено.
Соединение общей формулы [23] или его соль могут быть получены реакцией гидроксилирования и/или реакцией карбамоилирования соединения общей формулы [21] или его соли.
Что касается данной схемы синтеза, то гидроксилирование соединения формулы [21] или его соли можно осуществлять хорошо известным способом, таким как восстановление, замещение, реакция Сандмейера, гидролиз и/или реакция снятия защиты, и т.д., упомянутым в способах синтеза II-4-1, II-4-2, II-4-3, II-4-4, II-5-1, II-5-1, II-5-3, II-5-4, и т.д. или с помощью соответствующей комбинации указанных способов.
Что касается данной схемы синтеза, то карбамоилирование соединения формулы [21] или его соли можно осуществлять хорошо известным способом, таким как окисление, восстановление, замещение, присоединение, галогенирование, дегидратация и/или гидролиз, и т.д., упомянутым в способах синтеза II-6-1, II-6-2, II-6-3, II-7-1, II-7-2, II-7-3, II-7-4, и т.д. или с помощью соответствующей комбинации указанных способов.
В тех случаях, когда и гидроксилирование и карбамоилирование имеет место в указанных схемах синтеза, то либо гидроксилирование, либо карбамоилирование выполняют раньше.
К соли соединений общих формул [21]-[35] в вышеупомянутых способах получения промежуточных соединений можно отнести известные соли, образованные основной группой, такой как аминогруппа, и соли, образованные кислотной группы, такой как гидроксильная группа, карбоксильная группа и подобные. К соли, образованной за счет основной группы, можно отнести, например, соли, образованные с неорганической кислотой, такой как хлористоводородная кислота, бромистоводородная кислота, серная кислота и подобные; соли, образованные с органической карбоновой кислотой, такой как винная кислота, муравьиная кислота, лимонная кислота, трихлоруксусная кислота, трифторуксусная кислота и подобные, и соли, образованные с сульфокислотой, такой как метансульфокислота, бензолсульфокислота, п-толуолсульфокислота, мезитиленсульфокислота, нафталинсульфокислота и подобные. К соли, образованной кислотной группой, можно отнести, например, соли, образованные со щелочным металлом, таким как натрий, калий и подобные; соли, образованные щелочноземельным металлом, такие как кальций, магний и подобные; соли аммония; и соли, образованные с азотсодержащим органическим основанием, таким как триметиламин, триэтиламин, трибутиламин, пиридин, N,N-диметиланилин, N-метилпиперидин, N-метилморфолин, диэтиламин, дициклогексиламин, прокаин, дибензиламин, N-бензил- -фенэтиламин, 1-эфенамин, N,N’-дибензилэтилендиамин и подобные.
Кроме того, в описанных выше способах получения соли соединений общих формул [21]-[35] могут быть использованы вместо соединений формул [21]-[35] и в качестве солей могут быть использованы такие же соли, как упомянуты выше.
В некоторых случаях соединения общих формул [21]-[35] и их соли могут иметь изомеры, такие как таутомеры, оптические изомеры, позиционные изомеры и т.д. и сольватированные продукты. В таких случаях все указанные изомеры и сольватированные продукты могут быть использованы в настоящем изобретении. После завершения реакции целевое соединение данной реакции, может быть использовано на следующей стадии способа как оно есть, то есть без выделения.
В частности, у соединения общей формулы [21], где R22 означает ОН, существуют следующие кетоформы и енольные формы таутомеров, и данные таутомеры представляют собой по существу одно и то же соединение.

В упомянутых выше способах получения соединения общих формул [21]-[35] или их соли могут иметь аминогруппу, карбамоильную группу, гидроксильную группу, меркаптогруппу или карбоксильную группу. В таких случаях можно предварительно защитить указанные группы обычной защитной группой и после окончания реакции удалить защитную группу хорошо известным способом.
Ниже описана антивирусная и цитотоксическая активность производных пиразина, представленных общей формулой [1] согласно настоящему изобретению, или их солей.
Образец: производное пиразина, представленное общей формулой [1], или его соль растворяли в диметилсульфоксиде с получением раствора, концентрация которого составила 10 мг/мл. К моменту использования раствор разбавляли до желаемой концентрации культуральной средой и использовали.
Культуральная среда: минимальную поддерживающую культуральную среду (Е’-МЕМ) с добавленной 10% фетальной бычьей сывороткой использовали для роста клеток MDCK (полученных из почки собаки), МА-104 (полученных из почки обезъяны) и HEp-2 (полученных из опухоли при глоточном раке человека) и для проверки цитотоксичности.
В качестве клеток хозяина вируса гриппа и для проверки цитотоксичности использовали клетки MDCK. МА-104 клетки использовали в качестве клеток хозяина ротавируса и НЕр-2 клетки использовали в качестве клеток хозяина вируса саркомы Рауса.
Пример теста 1 [Активность против вируса гриппа]
MDCK клетки помещали в 6-луночный планшет (произведенный CORNING) с плотностью 5×105 клеток/лунку и культивировали в течение ночи при 35°С в условиях 5% двуокиси углерода. Вирус гриппа (штамм А/PR/8/34) разбавляли до 200 PFU/мл бессывороточной культуральной средой и инфицировали клетки, адсорбция вируса осуществлялась со скоростью 0,5 мл/лунку в течение одного часа. По окончании инфицирования и адсорбции в лунки добавляли Е’-МЕМ культуральную среду, содержащую тестируемое соединение при предопределенной концентрации вместе с 0,6% очищенным агаром, 1% бычьим сывороточным альбумином и 3 мкг/мл ацетилированного трипсина. По достижении достаточной коагуляции планшет переворачивали вверх дном и культивировали в течение 3 дней. По окончании культивирования живые клетки окрашивали 1% нейтральным красным, клетки фиксировали 10% формалином, среду с агаром удаляли с помощью проточной воды и число пятен подсчитывали. Скорость ингибирования пятен выражали в процентах по отношению к контрольному образцу, не содержащему тестируемое соединение.
Результаты показаны в таблице I-2, где представленный ряд тестируемых соединений является таким же, как и в примерах.
| Таблица I-2 |
| Пример № |
Концентрация добавленного тестируемого соединения (мкг/мл) |
Скорость ингибирования (%) |
| I-4 |
100 |
80 |
| I-8 |
100 |
42 |
| I-9 |
100 |
31 |
| I-10 |
100 |
26 |
| I-12 |
100 |
28 |
| I-13 |
100 |
39 |
Кроме того, определяли активность против вируса гриппа, проявляемую азотсодержащими гетероциклическими карбамоильными производными, представленными общей формулой [23], которые являются производными соединений согласно настоящему изобретению, или солями указанных производных, таким же способом, как в Примере теста 1. В качестве тестируемого соединения использовали 6-фтор-3-гидрокси-2-пиразинкарбоксамид, растворенный в диметилсульфоксиде с образованием раствора с концентрацией 10 мг/мл, который разбавляли культуральным раствором до предопределенной концентрации перед использованием. Полученные результаты показали, что активность против вируса гриппа составила 100% в виде степени ингибирования при концентрации тестируемого соединения 1 мкг/мл, что свидетельствует о том, что данное тестируемое соединение является превосходным противовирусным препаратом.
Пример теста 2 [Активность против ротавируса]
МА-104 клетки помещали в 6-луночный планшет (произведенный CORNING) с плотностью 5×105 клеток/лунку и культивировали в течение ночи при 37°С в условиях 5% двуокиси углерода. Ротавирус (штамм Ku), активированный ацетилированным трипсином с концентрацией 10 мкг/мл в течение 30 минут, разбавляли до 140 PFU/мл бессывороточной культуральной средой и инфицировали клетки, адсорбция вируса осуществлялась со скоростью 0,5 мл/лунку в течение одного часа. После завершения инфицирования и адсорбции инфицирующую среду удаляли и добавляли Е’-МЕМ культуральную среду, содержащую 30 мкг/мл тестируемого соединения, 5 мкг/мл трипсина и 1,4% агарозы. МА-104 клетки, ицфицированные ротавирусом, культивировали в течение 3 дней при 37°С в условиях 5% двуокиси углерода, после чего наслаивали 0,7% раствор агарозы, содержащий 0,005% нейтральный красный, и продолжали культивировать в течение одного дня в тех же условиях, как описано выше. По окончании культивирования планшет фиксировали 3%-ным раствором формальдегида, отвердевшую с помощью агара культуральную среду удаляли и после этого подсчитывали число пятен. Скорость ингибирования против ротавируса рассчитывали исходя из числа пятен в группе клеток, обработанных соединением, и в необработанной группе клеток.
Пример теста 3 [Активность против вируса RS (саркомы Рауса) (респираторно-синцитиальный вирус)]
НЕр-2 клетки рассеивали на 6-луночном планшете (произведенным CORNING) с плотностью 5×105 клеток/лунку и культивировали в течение ночи при 37°С в условиях 5% двуокиси углерода. RS вирус (штамм А-2) разбавляли до 140 PFU/мл бессывороточной культуральной средой и инфицировали клетки, адсорбция вируса осуществлялась со скоростью 0,5 мл/лунку в течение одного часа. По окончании инфицирования и адсорбции инфицирующую среду удаляли и к лункам добавляли Е’-МЕМ культуральную среду, содержащую 30 мкг/мл тестируемого соединения, 0,12% глутамина, 2% фетальной бычьей сыворотки и 1% метилцеллюлозы. НЕр-2 клетки, инфицированные RS вирусом, культивировали в течение 3 дней при 35°С в условиях 5% двуокиси углерода. По окончании культивирования планшет фиксировали 3% раствором формальдегида и культуральную среду, содержащую метилцеллюлозу, удаляли. После этого планшет окрашивали 5% раствором Giemza и подсчитывали число пятен. Скорость ингибирования против RS вируса рассчитывали исходя из числа пятен в группе клеток, обработанных соединением, и в необработанной группе клеток.
В результате было показано, что соединение из примера I-14 проявляет активность против RS вируса.
Пример теста 4 (Цитотоксическая активность)
Культуральную среду, содержащую тестируемое соединение с предопределенной концентрацией, добавляли к 96-луночному планшету (произведенному CORNING CO.) при объеме 100 мкл/лунку. Далее готовили дисперсию MDCK клеток, имеющую концентрацию 2×104 клеток/мл в культуральной среде, рассеивали со скоростью 100 мкл/лунку и культивировали в течение 3 дней при 37°С в условиях 5% двуокиси углерода. По окончании культивирования подсчитывали число живых клеток способом ХТТ [например, CANCER RESEARCH, Vol.48, Pages 4827-4833 (1988), и т.д.].
Полученные результаты показали, что концентрация всех соединений, перечисленных в таблице I-2, при которой наблюдается ингибирование роста 50% клеток (IC50), составляет 100 мкг/мл или выше.
ПРЕДПОЧТИТЕЛЬНЫЕ ВАРИАНТЫ ОСУЩЕСТВЛЕНИЯ ИЗОБРЕТЕНИЯ
Ниже раскрыты соединения согласно настоящему изобретению и промежуточные соединения согласно настоящему изобретению с помощью ссылочных примеров и примеров согласно изобретению. Настоящее изобретение никоим образом не ограничивается указанными примерами.
В ссылочных примерах и примерах, представленных ниже, смешанные отношения, которые относятся к элюентам, все варианты в “объемных отношениях”. В качестве носителя для колоночной хроматографии использовали силикагель BW-127ZH (произведенный Fuji Silysia Chemical Co.); в качестве носителя для обращенно-фазовой хроматографии использовали YMC GEL ODS-AM 120-S50 (YMC CO., LTD.) и носителем для ионообменной колоночной хорматографии была DEAE целлюлоза (произведенная Wako Pure Chemical Industries).
Аббревиатура, используемая в ссылочных примерах и примерах согласно изобретению, имеет следующее значение:
DMSO-d6: дейтерированный диметилсульфоксид.
Ссылочный пример I-1
В 100 мл концентрированной серной кислоты растворяли 17,0 г метил 3-амино-6-бром-2-пиразинкарбоксилата. Затем к раствору, охлаждаемому льдом, добавляли 10,1 г нитрита натрия и перемешивали в течение 30 минут.Реакционную смесь выливали в 920 мл метанола и нагревали с обратным холодильником в течение 5 часов. После охлаждения реакционную смесь концентрировали при пониженном давлении, полученный остаток добавляли к смеси 500 мл ледяной воды и 600 мл хлороформа и полученную смесь разделяли на слои. Органический слой последовательно промывали насыщенным водным раствором бикарбоната натрия, водой и насыщенным водным раствором хлорида натрия и сушили над безводным сульфатом магния и растворитель удаляли при пониженном давлении. Таким образом, получали 6,30 г метил 6-бром-3-метокси-2-пиразинкарбоксилата в виде маслянистого продукта светло-желтого цвета.
ИК (KBr) см-1: 1735
1Н-ЯМР (CDCl3) : 3,97 (3H, c), 4,06 (3H, c), 8,37 (1H, c).
Ссылочный пример I-2
В 227 мл толуола растворяли 11,4 г метил 6-бром-3-метокси-2-пиразинкарбоксилата в токе газа азота и последовательно добавляли 10,3 г бензофенонимина, 0,42 г трис(дибензилиденацетон)дипалладия, 0,86 г (s)-(-)-2,2′-бис(дифенилфосфино)-1,1′-бинафтила и 6,20 г трет-бутоксида натрия. Смесь перемешивали при 80°С в течение одного часа. После охлаждения реакционной смеси ее фильтровали. Фильтрат очищали колоночной хроматографией [элюент – толуол:этилацетат=20:1]. Полученный маслянистый продукт растворяли в 140 мл тетрагидрофурана, добавляли 7 мл 2 моль/л раствора хлористоводородной кислоты и смесь перемешивали при комнатной температуре в течение 15 минут.Затем к реакционной смеси добавляли смесь 200 мл хлороформа и 50 мл воды, а потом добавляли 1 моль/л раствора гидроокиси натрия, чтобы подщелочить смесь, и отделяли органический слой. Полученный органический слой промывали насыщенным водным раствором хлорида натрия и сушили над безводным сульфатом магния, растворитель удаляли при пониженном давлении. Остаток очищали колоночной хроматографией [элюент – толуол:этилацетат=1:1] с получением 3,64 г метил 6-амино-3-метокси-2-пиразинкарбоксилата в виде маслянистого продукта желтого цвета.
ИК (KBr) см-1: 1716, 1670
1Н-ЯМР (DMSO-d6) : 3,80 (3H, c), 3,82 (3H, c), 7,20 (2H, шир.с), 7,77 (1Н, с).
Ссылочный пример I-3
В 70 мл метанола растворяли 3,5 г метил 6-амино-3-метокси-2-пиразинкарбоксилата. После подачи в раствор газообразного аммиака для приготовления насыщенного раствора, раствор перемешивали при комнатной температуре в течение 14 часов. Удаление растворителя из реакционной смеси при пониженном давлении дает 3,1 г 6-амино-3-метокси-2-пиразинкарбоксамида в виде твердого продукта.
ИК (KBr) см-1: 1684
1Н-ЯМР (DMSO-d6) : 3,79 (3H, c), 5,87 (2H, шир.с), 7,30-7,75 (3H, м).
Ссылочный пример I-4
В атмосфере газа азота в 12 мл 70% раствора фтористого водорода-пиридина растворяли 1,50 г 6-амино-3-метокси-2-пиразинкарбоксамида, охлаждая раствор льдом. Затем добавляли 0,71 г нитрита натрия при -50°С и полученную смесь перемешивали при 10°С в течение одного часа. После перемешивания реакционной смеси в течение еще одного часа добавляли смесь 50 мл ледяной воды и 100 мл хлороформа и полученную смесь разделяли на слои. Органический слой промывали насыщенным водным раствором хлорида натрия и сушили над безводным сульфатом магния и растворитель удаляли при пониженном давлении. Таким образом получали 1,29 г 6-фтор-3-метокси-2-пиразинкарбоксамида в виде твердого продукта.
ИК (KBr) см-1: 1707
1Н-ЯМР (DMSO-d6) : 3,95 (3H, c), 7,55-8,15 (2H, м), 8,39 (1Н, д, J=8,3 Гц).
Ссылочный пример I-5
В 22 мл ацетонитрила растворяли 1,51 г йодида натрия в атмосфере газа азота. После добавления 1,10 г триметилсилилхлорида полученную смесь перемешивали при комнатной температуре в течение 20 минут. Затем добавляли 0,43 г 6-фтор-3-метокси-2-пиразинкарбоксамида и полученную смесь перемешивали при той же температуре, как описана выше, в течение 18 часов. Реакционную смесь добавляли к смеси 10 мл воды и 200 мл хлороформа и полученную смесь разделяли на слои. Органический слой последовательно промывали 5% водным раствором тиосульфата натрия и насыщенным водным раствором хлорида натрия и сушили над безводным сульфатом магния и растворитель удаляли при пониженном давлении. Остаток очищали колоночной хроматографией [элюент – гексан:этилацетат=2:1] с получением 0,06 г 6-фтор-3-гидрокси-2-пиразинкарбоксамида в виде твердого продукта белого цвета.
ИК (KBr) см-1: 1685, 1658
1Н-ЯМР (CDCl3) : 5,40-7,80 (2H, м), 8,31 (1H, д, J=7,8 Гц), 12,33 (1H, c).
Ссылочный пример I-6
В 40 мл дихлорэтана растворяли 1,0 г метил 6-хлор-3-оксо-3,4-дигидро-2-пиразинкарбоксилата. Затем к раствору последовательно добавляли 1,0 мл 1,1,1,3,3,3-гексаметилдисилазана и 0,54 мл хлортриметилсилана в атмосфере газа азота и нагревали при 90°С в течение 2 часов. Смесь охлаждали и растворитель удаляли при пониженном давлении. Остаток растворяли в 30 мл дихлорэтана, затем последовательно добавляли 2,68 г -D-рибофураноза-1-ацетат-2,3,5-трибензоата и 1,24 мл хлористого олова(IV) и полученную смесь перемешивали при комнатной температуре в течение 16 часов. Реакционную смесь добавляли к 30 мл ледяной воды и доводили до рН 8 насыщенным водным раствором бикарбоната натрия и разделяли на слои. Органический слой последовательно промывали водой и насыщенным водным раствором хлорида натрия и сушили над безводным сульфатом магния, затем растворитель удаляли при пониженном давлении. Полученный остаток очищали колоночной хроматографией [элюент – гексан:этилацетат=4:1] с получением 1,76 г метил 4-{(2R,3R,4R,5R)-3,4-бис(бензоилокси)-5-[(бензоилокси)метил]тетрагидро-2-фуранил}-6-хлор-3-оксо-3,4-дигидро-2-пиразинкарбоксилата в виде маслянистого продукта желтого цвета.
ИК (чистый) см-1: 1728
1Н-ЯМР (CDCl3) : 3,94 (3H, с), 4,5-4,9 (3Н, м), 5,6-6,0 (2Н, м), 6,3-6,5 (1Н, м), 7,1-8,2 (16Н, м).
Ссылочный пример I-7
В 16 мл метанола суспендировали 0,80 г метил 4-{(2R,3R,4R,5R)-3,4-бис(бензоилокси)-5-[(бензоилокси)метил] тетрагидро-2-фуранил}-6-хлор-3-оксо-3,4-дигидро-2-пиразинкарбоксилата. Суспензию охлаждали льдом и одновременно добавляли 0,73 г 28% метанольного раствора метоксида натрия и полученную смесь перемешивали при той же температуре, как описана выше, в течение одного часа. После перемешивания смеси при комнатной температуре в течение дополнительных 3 часов смесь доводили до рН 7 раствором 6 моль/л хлористоводородной кислоты и растворитель удаляли при пониженном давлении. Остаток очищали колоночной хроматографией [элюент – хлороформ:метанол=10:1] с получением 0,29 г метил 6-хлор-4-[(2R,3R,4S,5R)-3,4-дигидрокси-5-(гидроксиметил)тетрагидро-2-фуранил]-3-оксо-3,4-дигидро-2-пиразинкарбоксилата в виде маслянистого продукта желтого цвета.
ИК (чистый) см-1: 1728
1Н-ЯМР (CDCl3+DMSO-d6) : 3,6-5,6 (11H, м), 5,99 (1Н, с), 8,67 (1Н, с).
Ссылочный пример I-8
В 4,0 мл N,N-диметилформамида растворяли 0,39 г метил 3-оксо-3,4-дигидро-2-пиразинкарбоксилата. Затем к раствору добавляли 90 мг гидрида натрия в атмосфере газа азота и перемешивали при комнатной температуре в течение 2 часов. Затем добавляли суспензию 0,50 г 4-[(тритилокси)метил]-2-циклопентен-1-ил ацетата, 0,62 г тетракис-трифенилфосфинпалладия и 50 мг трифенилфосфина в 4 мл тетрагидрофурана и полученную смесь перемешивали при комнатной температуре в течение одного часа и затем при 60°С в течение 4 часов. Реакционную смесь охлаждали, разбавляли 30 мл этилацетата и 20 мл воды, доводили до рН 4 раствором 1 моль/л хлористоводородной кислоты и разделяли на слои. Органический слой последовательно промывали насыщенным водным раствором бикарбоната натрия, водой и насыщенным водным раствором хлорида натрия и сушили над безводным сульфатом магния и растворитель удаляли при пониженном давлении. Остаток очищали колоночной хроматографией [элюент – гексан:этилацетат=1:1] с получением 0,23 г метил 3-оксо-4-{4-[(тритилокси)метил]-2-циклопентен-1-ил}-3,4-дигидро-2-пиразинкарбоксилата в виде маслянистого продукта светло-желтого цвета.
ИК (чистый) см-1: 1735
1Н-ЯМР (CDCl3) : 1,2-1,6 (2Н, м), 2,8-3,4 (3Н, м), 3,98 (3Н, с), 5,6-5,8 (1Н, м), 5,8-6,1 (1Н, м), 6,2-6,4 (1Н, м), 7,0-7,6 (17Н, м).
Ссылочный пример I-9
В 2,0 мл 80% водного раствора уксусной кислоты растворяли 0,20 г метил 3-оксо-4-{4-[(тритилокси)метил]-2-циклопентен-1-ил}-3,4-дигидро-2-пиразинкарбоксилата и полученный раствор нагревали при 80°С в течение одного часа. Реакционную смесь охлаждали и разбавляли 10 мл воды, выпавший осадок отфильтровывали и фильтрат концентрировали при пониженном давлении. Остаток очищали колоночной хроматографией [элюент – этилацетат] с получением 77 мг метил 4-[4-(гидроксиметил)-2-циклопентен-1-ил]-3-оксо-3,4-дигидро-2-пиразинкарбоксилата в виде маслянистого продукта светло-желтого цвета.
ИК (чистый) см-1: 1738
1Н-ЯМР (CDCl3) : 1,4-1,7 (1Н, м), 2,2-3,2 (3Н, м), 3,5-3,9 (2Н, м), 3,96 (3Н, с), 5,6-5,8 (1Н, м), 5,8-6,1 (1Н, м), 6,2-6,5 (1Н, м), 7,43 (1Н, д, J=4,2 Гц), 7,70 (1Н, д, J=4,2 Гц).
Ссылочный пример I-10
В 6,0 мл N,N-диметилформамида растворяли 0,24 г метил 3-оксо-3,4-дигидро-2-пиразинкарбоксилата. После добавления 82 мг 18-краун-6-эфира и 62 мг гидрида натрия полученную смесь нагревали при 80°С в течение одного часа. Затем по каплям добавляли раствор 0,30 г (4aR,7R,8aS)-2-фенилгексагидропирано[3,2-d][1,3]диоксин-7-ил 4-метилбензолсульфоната в 3,0 мл N,N-диметилформамида и полученную смесь нагревали в течение 4 часов при 100°С. Реакционную смесь охлаждали, разбавляли 50 мл этилацетата и 25 мл воды и разделяли на слои. Затем водный слой экстрагировали тремя порциями по 25 мл этилацетата. Все органические слои объединяли и последовательно помывали насыщенным водным раствором бикарбоната натрия и насыщенным водным раствором хлорида натрия и сушили над безводным сульфатом магния и растворитель удаляли при пониженном давлении. Полученный остаток очищали колоночной хроматографией [элюент – толуол:этилацетат=3:1]. К очищенному продукту добавляли изопропиловый эфир и диэтиловый эфир и твердый продукт собирали фильтрованием. Таким образом, получали 84 мг метил 4-[(4aR,7S,8aS)-2-фенилгексагидропирано[3,2-d][1,3]диоксин-7-ил]-3-оксо-3,4-дигидро-2-пиразинкарбоксилата в виде твердого продукта белого цвета.
ИК (KBr) см-1: 1732
1Н-ЯМР (DMSO-d6) : 1,97-2,37 (2Н, м), 3,22-4,36 (6Н, м), 3,95 (3Н, с), 5,4-5,6 (1Н, м), 5,67 (1Н, с), 7,3-7,5 (5Н, м), 8,35 (1Н, д, J=10 Гц), 8,37 (1H, д, J=10 Гц).
Ссылочный пример I-11
В 5,7 мл N,N-диметилформамида растворяли 0,38 г метил 3-оксо-3,4-дигидро-2-пиразинкарбоксилата. После добавления 0,10 г гидрида натрия полученную смесь нагревали при 80°С в течение 30 минут. Затем добавляли 0,19 г (1aS,3aR,7aR,7bS)-6-фенилгексагидро-1,3,5,7-тетраоксациклопропа[a]нафталина и нагревали при 100°С в течение дополнительных 4,5 часов. Реакционную смесь охлаждали и разбавляли 30 мл этилацетата и 20 мл воды и полученную смесь разделяли на слои. Затем водный слой экстрагировали 30 мл этилацетата. Все органические слои объединяли и последовательно промывали насыщенным водным раствором бикарбоната натрия и насыщенным водным раствором хлорида натрия и сушили над безводным сульфатом магния и растворитель удаляли при пониженном давлении. Полученный остаток очищали колоночной хроматографией [элюент – толуол:этилацетат=2:1], добавляли изопропиловый эфир и диэтиловый эфир и твердый продукт собирали фильтрованием. Таким образом, получали 65 мг метил 4-[[(4aR,7R,8S,8aS)-8-гидрокси-2-фенилгексагидропирано [3,2-d][1,3]диоксин-7-ил]-3-оксо-3,4-дигидро-2-пиразинкарбоксилата в виде твердого продукта желтого цвета.
ИК (KBr) см-1: 3447, 1740
1Н-ЯМР (CDCl3) : 2,69 (1Н, д, J=2,2 Гц), 3,98 (3Н, с), 3,52-4,62 (7Н, м), 4,6-5,0 (1Н, м), 5,59 (1Н, с), 7,2-7,6 (5Н, м), 7,52 (1Н, д, J=4,0 Гц), 8,17 (1Н, д, J=4,0 Гц).
Ссылочный пример I-12
В 12,2 мл 1,1,1,3,3,3-гексаметилдисилазана суспендировали 1,52 г метил 3-оксо-3,4-дигидро-2-пиразинкарбоксилата. Полученную суспензию нагревали с обратным холодильником в течение одного часа. Смесь охлаждали и растворитель удаляли при пониженном давлении. Полученный остаток вновь растворяли в 30 мл дихлорэтана в атмосфере газа азота, последовательно добавляли 4,98 г -D-рибофуранозо-1-ацетат-2,3,5-трибензоата и 1,73 мл хлористого олова(IV) и полученную смесь перемешивали при комнатной температуре в течение 14 часов. Реакционную смесь разбавляли 30 мл хлороформа и 30 мл насыщенного водного раствора бикарбоната натрия, осадок отфильтровывали и органический слой отбирали. Органический слой последовательно промывали водой и насыщенным водным раствором хлорида натрия и сушили над безводным сульфатом магния и растворитель удаляли при пониженном давлении. Полученный остаток очищали колоночной хроматографией [элюент – н-гексан:этилацетат=1:1] с получением 3,4 г метил 4-{(2R,3R,4R,5R)-3,4-бис(бензоилокси)-5-[(бензоилокси)метил]тетрагидро-2-фуранил}-3-оксо-3,4-дигидро-2-пиразинкарбоксилата в виде твердого продукта белого цвета.
ИК (KBr) см-1: 1728
1Н-ЯМР (CDCl3) : 3,95 (3Н, с), 4,55-5,00 (3Н, м), 5,75-6,00 (2Н, м), 6,42 (1Н, д, J=3,0 Гц), 7,20-8,20 (17Н, м).
Ссылочный пример I-13
Метил 4-{(2R,3R,4R,5R)-3,4-бис(бензоилокси)-5-[(бензоилокси)метил]тетрагидро-2-фуранил}-3-оксо-3,4-дигидро-2-пиразинкарбоксилат обрабатывали таким же образом, как в ссылочном примере I-7, с получением метил 4-[(2R,3R,4S,5R)-3,4-дигидрокси-5-(гидроксиметил)тетрагидро-2-фуранил]-3-оксо-3,4-дигидро-2-пиразинкарбоксилата.
ИК (KBr) см-1: 1740
1Н-ЯМР (DMSO-d6) : 3,60-4,20 (5H, м), 3,83 (3H, с), 5,00-5,40 (2H, м), 5,61 (1H, д, J=4,6 Гц), 5,91 (1H, с), 7,47 (1H, д, J=4,4 Гц), 8,29 (1H, д, J=4,4 Гц).
Ссылочный пример I-14
В 5 мл ацетона суспендировали 0,50 г метил 4-[(2R,3R,4S,5R)-3,4-дигидрокси-5-(гидроксиметил)тетрагидро-2-фуранил]-3-оксо-3,4-дигидро-2-пиразинкарбоксилата. Затем последовательно добавляли 1 мл триметилортоформиата и 33 мг моногидрата п-толуолсульфокислоты, полученную смесь нагревали с обратным холодильником в течение одного часа и растворитель удаляли при пониженном давлении. Очистка остатка колоночной хроматографией [элюент – этилацетат] дает 0,49 г метил 4-[(3aR,4R,6R,6aR)-6-(гидроксиметил)-2,2-диметилтетрагидрофуро[3,4-d][1,3]диоксол-4-ил]-3-оксо-3,4-дигидро-2-пиразинкарбоксилата в виде твердого продукта белого цвета.
ИК (KBr) см-1: 1728
1Н-ЯМР (CDCl3) : 1,34 (3H, с), 1,59 (3H, с), 3,10 (1H, шир.с), 3,65-4,25 (2H, м), 3,95 (3H, с), 4,49 (1H, с), 4,92 (2H, с), 5,91 (1H, с), 7,48 (1H, д, J=4,3 Гц), 7,89 (1H, д, J=4,3 Гц).
Ссылочный пример I-15
В 4 мл пиридина растворяли 0,22 г метил 4-[(3aR,4R,6R,6aR)-6-(гидроксиметил)-2,2-диметилтетрагидрофуро[3,4-d][1,3]диоксол-4-ил]-3-оксо-3,4-дигидро-2-пиразинкарбоксилата. Затем последовательно добавляли 0,17 г дибензилфосфата, 0,40 г трифенилфосфина и 0,30 мл диизопропилазодикарбоксилата и перемешивали при комнатной температуре в течение 15 часов и растворитель удаляли при пониженном давлении. С помощью очистки остатка колоночной хроматографией [элюент – этилацетат] получали 0,37 г метил 4-[(3aR,4R,6R,6aR)-6-({[бис(бензилокси)фосфорил]окси}метил)-2,2-диметилтетрагидрофуро[3,4-d][1,3]диоксол-4-ил]-3-оксо-3,4-дигидро-2-пиразинкарбоксилата в виде твердого продукта оранжевого цвета.
ИК (KBr) см-1: 1734
1H-ЯМР (CDCl3) : 1,31 (3H, с), 1,56 (3H, с), 3,96 (3H, с), 4,10-4,30 (2H, м), 4,30-4,55 (1H, м), 4,55-4,70 (2H, м), 4,90-5,15 (4H, м), 5,85-5,95 (1H, м), 7,10-7,85 (12H, м).
Ссылочный пример I-16
В 33 мл метанола растворяли 1,1 г 3-оксо-3,4-дигидро-2-пиразинкарбонитрила, синтезированного по методике, описанной в J. Heterocycl. Chem., Vol.19, Pages 1397-1402 (1982). Во время охлаждения раствора льдом подавали газообразный хлористый водород до насыщения, после чего раствор перемешивали при той же температуре, как указано выше, в течение 8 часов. Растворитель удаляли при пониженном давлении, полученный остаток растворяли в 55 мл раствора 7 моль/л аммиака в метаноле, охлаждая раствор льдом и полученный раствор перемешивали при той же температуре, как указана выше, в течение 5 минут. Образованный твердый продукт собирали фильтрованием с получением 1,1 г 3-оксо-3,4-дигидро-2-пиразинкарбоксимидамида в виде твердого продукта светло-желтого цвета.
ИК (KBr) см-1: 3379, 3000, 1698
1Н-ЯМР (DMSO-d6) : 7,50 (1H, д, J=2,0 Гц), 8,33 (1H, шир.с), 8,18 (1H, д, J=2,0 Гц), 8,33 (2H, шир.с).
Ссылочный пример I-17
В смеси 0,5 мл этанола и 1,9 мл диэтилового эфира растворяли 0,30 г 6-фтор-3-оксо-3,4-дигидро-2-пиразинкарбонитрила. Во время охлаждения раствора льдом подавали газообразный хлористый водород до насыщения и затем раствор перемешивали в течение 5 часов. Реакционную смесь смешивали с 5,0 мл диэтилового эфира, выпавший твердый продукт собирали фильтрованием и последовательно промывали 10 мл диэтилового эфира, смесью, состоящей из 2,5 мл этанола и 2,5 мл диэтилового эфира, и 5 мл диэтилового эфира. Таким образом, получали 0,28 г 6-фтор-3-оксо-3,4-дигидро-2-пиразинкарбоксимидоата в виде твердого продукта желтого цвета.
ИК (KBr) см-1: 3041, 1670
1Н-ЯМР (DMSO-d6+D2O) : 1,43 (3H, т, J=7,0 Гц), 4,50 (2H, кв, J=7,0 Гц), 8,49 (1H, д, J=8,0 Гц).
Ссылочный пример I-18
Газообразный аммиак вносили в 2,0 мл этанола, охлаждаемого льдом, для приготовления насыщенного раствора и затем добавляли 0,10 г 6-фтор-3-оксо-3,4-дигидро-2-пиразинкарбоксимидоата и 2,0 мл этанола. После повышения температуры до комнатной температуры смесь оставляли в течение 17 часов. Выпавший твердый продукт собирали фильтрованием и промывали этанолом. Полученный остаток очищали колоночной хроматографией на силикагеле [элюент – хлороформ:метанол=10:1], к очищенному продукту добавляли этанол и твердый продукт собирали фильтрацией. Таким образом, получали 20 мг 6-фтор-3-оксо-3,4-дигидро-2-пиразинкарбоксимидамида.
ИК (KBr) см-1: 3445, 3030, 1684
1Н-ЯМР (DMSO-d6+D2О) : 8,26 (1H, д, J=8,5 Гц).
Ссылочный пример I-19
В 5,0 мл 1,1,1,3,3,3-гексаметилдисилазана суспендировали 1,0 г 3-гидрокси-2-пиразинкарбоксамида. Суспензию нагревали с обратным холодильником в течение 30 минут и оставляли охлаждать и растворитель удаляли при пониженном давлении. Остаток растворяли в 5,0 мл дихлорэтана в атмосфере газа азота, затем последовательно добавляли 3,11 г -D-рибофуранозо-1-ацетат-2,3,5-трибензоата и 0,50 мл хлористого олова(IV) и полученную смесь перемешивали при комнатной температуре в течение 22 часов. Реакционную смесь разбавляли 30 мл этилацетата и 20 мл воды, доводили до рН 8 насыщенным водным раствором бикарбоната натрия, осадок отфильтровывали и органический слой отделяли. Органический слой последовательно промывали водой и насыщенным водным раствором хлорида натрия и сушили над безводным сульфатом магния и растворитель удаляли при пониженном давлении. Остаток очищали колоночной хроматографией [элюент – этилацетат:метанол=10:1], затем добавляли изопропиловый эфир и твердый материал собирали фильтрацией. Таким образом получали 0,41 г [(2R,3R,4R,5R)-5-[3-(аминокарбонил)-2-оксо-1(2Н)-пиразинил]-3,4-бис(бензоилокси)тетрагидро-2-фуранил]метилбензоата в виде твердого продукта белого цвета.
ИК (KBr) см-1: 1734, 1685
1Н-ЯМР (CDCl3) : 4,6-5,1 (3H, м), 5,8-6,2 (3H, м), 6,39 (1H, д, J=2,5 Гц), 7,2-8,2 (17H, м), 8,95 (1H, шир.с).
Ссылочный пример I-20
В 4 мл метанола растворяли 0,37 г
[(2R,3R,4R,5R)-5-[3-(аминокарбонил)-2-оксо-1(2Н)-пиразинил]-3,4-бис(бензоилокси)тетрагидро-2-фуранил]метилбензоата. Во время охлаждения раствора льдом подавали газообразный аммиак до насыщения. Реакционную смесь перемешивали при комнатной температуре в течение 15 часов и растворитель удаляли при пониженном давлении. К остатку добавляли метанол и осадок собирали фильтрованием с получением 0,12 г 4-[(2R,3R,4S,5R)-3,4-дигидрокси-5-(гидроксиметил)тетрагидро-2-фуранил]-3-оксо-3,4-дигидро-2-пиразинкарбоксамида в виде твердого продукта светло-коричневого цвета.
ИК (KBr) см-1: 1654
1Н-ЯМР (DMSO-d6) : 3,73 (2H, дд, J=5,4, 5,4 Гц), 3,8-4,2 (3H, м), 5,08 (1H, шир.с), 5,24 (1H, т, J=5,4 Гц), 5,61 (1H, шир.с), 5,92 (1H, с), 7,54 (1H, д, J=4,2 Гц), 7,71 (1H, шир.с), 8,27 (1H, д, J=4,2 Гц), 8,30 (1H, шир.с).
Ссылочный пример I-21
6-Фтор-3-гидрокси-2-пиразинкарбоксамид обрабатывали таким же образом, как в ссылочном примере I-19, с получением [(2R,3R,4R,5R)-5-[3-(аминокарбонил)-5-фтор-2-оксо-1(2Н)-пиразинил]-3,4-бис(бензоилокси)тетрагидро-2-фуранил]метилбензоата.
ИК (KBr) см-1: 1726, 1690
1Н-ЯМР (DMSO-d6) : 4,6-5,0 (3H, м), 5,9-6,1 (2H, м), 6,33 (1H, с), 7,3-8,2 (17H, м), 8,53 (1H, шир.с).
Ссылочный пример I-22
В 2,0 мл метанола растворяли 0,15 г [(2R,3R,4R,5R)-5-[3-(аминокарбонил)-5-фтор-2-оксо-1(2Н)-пиразинил]-3,4-бис(бензоилокси)тетрагидро-2-фуранил]метилбензоата. Затем к раствору, охлаждаемому льдом, добавляли 0,14 г 28% метанольного раствора метоксида натрия и перемешивали при данной температуре в течение 20 минут и после этого при комнатной температуре в течение 30 минут.Реакционную смесь подкисляли с помощью 0,75 мл раствора 1 моль/л хлористоводородной кислоты и растворитель удаляли при пониженном давлении. После очистки остатка колоночной хроматографией [элюент – хлороформ:метанол=5:1] добавляли изопропанол и диэтиловый эфир и твердый продукт собирали фильтрованием с получением 40 мг 4-[(2R,3R,4S,5R)-3,4-дигидрокси-5-(гидроксиметил)тетрагидро-2-фуранил]-6-фтор-3-оксо-3,4-дигидро-2-пиразинкарбоксамида.
ИК (KBr) см-1: 1686
Ссылочный пример I-23
В 4 мл метанола растворяли 0,26 г метил 6-хлор-4-[(2R,3R,4S,5S)-3,4-дигидрокси-5-(гидроксиметил)тетрагидро-2-фуранил]-3-оксо-3,4-дигидро-2-пиразинкарбоксилата. В раствор, охлаждаемый льдом, подавали газообразный аммиак до насыщения. Реакционную смесь перемешивали при охлаждении льдом в течение одного часа и затем растворитель удаляли при пониженном давлении. При очистке колоночной хроматографией [элюент – хлороформ:метанол=7:1] остатка получали 0,06 г 6-хлор-4-[(2R,3R,4S,5R)-3,4-дигидрокси-5-(гидроксиметил)тетрагидро-2-фуранил]-3-оксо-3,4-дигидро-2-пиразинкарбоксамида в виде твердого продукта светло-желтого цвета.
ИК (KBr) см-1: 1693
Пример I-3
В 5,0 мл 1,1,1,3,3,3-гексаметилдисилазана суспендировали 0,62 г 3-гидрокси-2-пиразинкарбоксамида. Суспензию нагревали при кипячении с обратным холодильником в течение часа. Реакционной смеси давали охладиться, растворитель удаляли при пониженном давлении и остаток растворяли в 2,0 мл дихлорэтана в атмосфере газообразного азота, затем при комнатной температуре добавляли раствор дихлорэтана (3,0 мл), содержащего смесь (2R,3S)-5-(ацетилокси)-2-[(ацетилокси)метил]тетрагидро-3-фуранилацетата и (3R,4S)-4,6-бис(ацетилокси)тетрагидро-2Н-пиран-3-ила, полученных заранее способом, описанным в J. Med. Chem., Vol.28, №7, стр.904-910 (1985), вместе с 0,32 мл хлорида титана (IV). После добавления к реакционной смеси дополнительных 5,0 мл дихлорэтана полученную смесь перемешивали в течение 17 часов. Реакционную смесь разбавляли 100 мл хлороформа и 25 мл насыщенного водного раствора гидрокарбоната натрия, осадок отфильтровывали и органический слой отделяли. Органический слой промывали последовательно водой и насыщенным водным раствором хлорида натрия, сушили над безводным сульфатом магния и растворитель удаляли при пониженном давлении. Полученный остаток очищали колоночной хроматографией [элюент – этилацетат:метанол=10:1] с получением 0,43 г {(2R,3S)-3-(ацетилокси)-5-[3-(аминокарбонил)-2-оксо-1(2Н)-пиразинил]тетрагидро-2-фуранил}метилацетата в виде светло-коричневого маслянистого продукта.
ИК (KBr) см-1: 1735, 1685
1Н-ЯМР (CDCl3) : 2,07 (3H,с), 2,14 (3H,с), 1,8-2,6 (2H, м), 4,0-4,6 (2Н, м), 5,0-5,4 (2H,м), 6,33 (1H, д, J=5,9 Гц), 6,64 (1Н, шир.с), 7,76 (1H, д, J=4,2 Гц), 7,83 (1H, д, J=4,2 Гц), 9,06 (1H, шир.с).
Пример I-4
В 2 мл метанола растворяли 0,20 г {(2R,3S)-3-(ацетилокси)-5-[3-(аминокарбонил)-2-оксо-1(2Н)-пиразинил]-тетрагидро-2-фуранил}метилацетата. При охлаждении полученного раствора при помощи льда добавляли 0,23 г 28% метанольного раствора метоксида натрия и перемешивали в течение 20 минут. Затем к реакционной смеси добавляли 1,2 мл хлористоводородной кислоты (1 моль/л) и растворитель удаляли при пониженном давлении. Полученный остаток очищали колоночной хроматографией [элюент – хлороформ:метанол=10:1] с получением 90 мг 4-[(4S,5R)-4-гидрокси-5-(гидроксиметил)тетрагидро-2-фуранил]-3-оксо-3,4-дигидро-2-пиразинкарбоксамида в виде маслянистого продукта желтого цвета.
ИК (KBr) см-1: 1684
1Н-ЯМР (DMSO-d6) : 1,8-2,2 (2H, м), 3,0-4,4 (4Н, м), 4,50-5,20 (2H, м), 6,13 (1H, д, J=5,9 Гц), 7,59 (1H, д, J=4,2 Гц), 7,70 (1Н, шир.с), 7,92 (1Н, д, J=4,2 Гц), 8,45 (1H, шир.с).
Пример I-8
В 1 мл метанола растворяли 75 мг метил 4-[4-(гидроксиметил)-2-циклопентен-1-ил]-3-оксо-3,4-дигидро-2-пиразинкарбоксилата. Затем добавляли 25% водный раствор аммиака при комнатной температуре и перемешивали в течение 13 часов и затем растворитель удаляли при пониженном давлении. К остатку добавляли изопропанол и полученный твердый продукт собирали фильтрацией с получением 20 мг 4-[4-(гидроксиметил)-2-циклопентен-1-ил]-3-оксо-3,4-дигидро-2-пиразинкарбоксамида в виде твердого продукта белого цвета.
ИК (KBr) см-1: 1668
1Н-ЯМР (DMSO-d6) : 1,2-3,8 (5H, м), 4,92 (1H, шир.с), 5,8-6,1 (2H, м), 6,2-6,4 (1H, м), 7,4-8,1 (3H, м), 8,20 (1H, шир.с).
Пример I-9
В 5,0 мл 80% водного раствора уксусной кислоты растворяли 80 мг метил 4-[(4aR,7S,8aS)-2-фенилгексагидропирано[3,2-d][1,3]диоксин-7-ил]-3-оксо-3,4-дигидро-2-пиразинкарбоксилата. Раствор нагревали при температуре 80°С в течение 2 часов и затем оставляли охлаждать и растворитель удаляли при пониженном давлении. Остаток разбавляли 20 мл воды и промывали диэтиловым эфиром и воду отгоняли из водного слоя. Полученный остаток растворяли в 4,0 мл метанола и газообразный аммиак подавали до насыщения в раствор, охлаждаемый льдом. После перемешивания реакционной смеси при комнатной температуре в течение 2 часов растворитель удаляли при пониженном давлении. Остаток очищали колоночной хроматографией [элюент – хлороформ:метанол=10:1] с получением 24 мг 4-[(3S,5S,6R)-5-гидрокси-6-(гидроксиметил)тетрагидро-2Н-пиран-3-ил]-3-оксо-3,4-дигидро-2-пиразинкарбоксамида в виде твердого продукта.
ИК (KBr) см-1: 3451, 1676
1Н-ЯМР (DMSO-d6) : 1,45-1,85 (1H, м), 2,10-2,30 (1H, м), 2,95-4,05 (6H, м), 4,47 (1H, т, J=5,6 Гц), 4,83 (1H, д, J=5,4 Гц), 5,20-5,30 (1H, м), 7,68 (1H, шир.с.), 7,80 (1H, шир.с), 8,24 (1H, д, J=7,0 Гц), 8,27 (1H, д, J=7,0 Гц).
Пример I-10
Метил 4-[(4aR,7R,8S,8aS)-8-гидрокси-2-фенилгексагидропирано[3,2-d][1,3]диоксин-7-ил]-3-оксо-3,4-дигидро-2-пиразинкарбоксилат обрабатывали таким же образом, как в примере I-9, с получением 4-[(3R,4S,5S,6R)-4,5-дигидрокси-6-(гидроксиметил)тетрагидро-2Н-пиран-3-ил]-3-оксо-3,4-дигидро-2-пиразинкарбоксамида.
ИК (KBr) см-1: 3404, 1670
1Н-ЯМР (DMSO-d6) : 3,42-3,67 (4H, м), 3,95 (1H, дд, J=3,1, 13 Гц), 3,90-3,95 (1H, м), 4,02 (1H, дд, J=3,7, 13 Гц), 4,56 (1H, т, J=6,1 Гц), 4,68 (1H, кв, J=4,8 Гц), 4,75 (1H, д, J=6,1 Гц), 5,37 (1H, д, J=4,5 Гц), 7,49 (1H, д, J=4,3 Гц), 7,66 (1H, шир.с), 8,21 (1H, д, J=4,3 Гц), 8,34 (1H, шир.с).
Пример I-11
Метил 4-[(3aR,4R,6R,6aR)-6-({[бис(бензилокси)фосфорил]окси}метил)-2,2-диметилтетрагидрофуро[3,4-d][1,3]диоксол-4-ил]-3-оксо-3,4-дигидро-2-пиразинкарбоксилат обрабатывали таким же образом, как в Ссылочном примере I-23, с получением {(3aR,4R,6R,6aR)-6-[3-(аминокарбонил)-2-оксо-1(2Н)-пиразинил]-2,2-диметилтетрагидрофуро[3,4-d][1,3]диоксол-4-ил}метилдибензилфосфата.
ИК (KBr) см-1: 1685, 1654
1Н-ЯМР (CDCl3) : 1,35 (3H,с), 1,59 (3H,с), 4,00-4,65 (5H, м), 4,80-5,40 (4H,м), 5,93 (1H, д, J=2,2 Гц), 6,15 (1H, шир.с), 7,10-7,80 (10H, м), 7,59 (1H, д, J=4,3 Гц), 7,67 (1H, д, J=4,3 Гц), 9,15 (1H, шир.с).
Пример I-12
В 3 мл 90% водного раствора трифторуксусной кислоты растворяли 60 мг {(3aR,4R,6R,6aR)-6-[3-(аминокарбонил)-2-оксо-1(2Н)-пиразинил]-2,2-диметилтетрагидрофуро[3,4-d][1,3]диоксол-4-ил}метилдибензилфосфата, охлаждая раствор льдом. После перемешивания раствора, охлаждаемого льдом, в течение 30 минут и далее после перемещивания при комнатной температуре в течение 2 часов растворитель удаляли при пониженном давлении. К остатку добавляли диэтиловый эфир и твердый продукт собирали фильтрованием и промывали метанолом. Таким образом получали 15 мг {(2R,3S,4R,5R)-5-[3-(аминокарбонил)-2-оксо-1(2Н)-пиразинил]-3,4-дигидрокситетрагидро-2-фуранил}метилдифосфата в виде твердого продукта светло-красного цвета.
ИК (KBr) см-1: 1654
1Н-ЯМР (DMSO-d6) : 2,80-4,80 (9H, м), 5,90-6,00 (1H, м), 7,47 (1H, д, J=4,5 Гц), 7,68 (1H, шир.с), 7,97 (1H, д, J=4,5 Гц), 8,30 (1H, шир.с).
Пример I-13
В смеси 2 мл тетрагидрофурана и 1 мл воды растворяли 100 мг {(3aR,4R,6R,6aR)-6-[3-(аминокарбонил)-2-оксо-1(2Н)-пиразинил]-2,2-диметилтетрагидрофуро[3,4-d][1,3]диоксол-4-ил}метилдибензилфосфата. После доведения рН до 0,5 с помощью раствора 6 моль/л хлористоводородной кислоты смесь оставляли при комнатной температуре в течение 2 дней. Выпавший твердый продукт собирали фильтрованием и промывали этанолом с получением 40 мг {(2R,3S,4R,5R)-5-[3-(аминокарбонил)-2-оксо-1(2Н)-пиразинил]-3,4-дигидрокситетрагидро-2-фуранил} метилдибензилфосфата в виде твердого продукта.
ИК (KBr) см-1: 1676, 1660
1Н-ЯМР (DMSO-d6) : 3,70-4,60 (5H, м), 5,04 (2H, с), 5,12 (2H, с), 5,30-5,45 (1H, м), 5,71 (1H, д, J=4,6 Гц), 5,85-6,00 (1H, м), 7,10-7,60 (11H, м), 7,76 (1H, шир.с), 7,78 (1H, д, J=3,9 Гц), 8,30 (1H, шир.с).
Пример I-14
В 2,0 мл 1,1,1,3,3,3-гексаметилдисилазана суспендировали 0,20 г 3-оксо-3,4-дигидро-2-пиразинкарбоксимидамида и 10 мг сульфата аммония. Суспензию нагревали с обратным холодильником в течение 10 минут в токе газа азота. После добавления 9,0 мг сульфата аммония смесь нагревали с обратным холодильником в течение еще 2 часов. Реакционную смесь оставляли охлаждать и растворитель удаляли при пониженном давлении. Остаток растворяли в 4,0 мл ацетонитрила, затем последовательно добавляли 0,46 г -D-рибофуранозо-1,2,3,5-тетраацетата и 0,34 мл хлористого олова(IV), полученную смесь перемешивали при комнатной температуре в течение 3 часов. Затем к реакционной смеси добавляли 10 мкл трифторуксусной кислоты и 1,0 мл воды и растворитель удаляли при пониженном давлении. Далее осуществляли такую же реакцию, как указано выше, используя 0,05 г 3-оксо-3,4-дигидро-2-пиразинкарбоксимидамида.
Реакционную смесь объединяли с реакционной смесью, полученной выше, и продукт очищали обращенно-фазовой колоночной хроматографией на силикагеле [элюент – ацетонитрил:вода=1:4] с получением 0,34 г (2R,3R,4R,5R)-4-(ацетилокси)-2-[(ацетилокси)метил]-5-[3-[амино(имино)метил]-2-оксо-1(2Н)-пиразинил]тетрагидро-3-фуранилацетата в виде твердого продукта светло-желтого цвета.
ИК (KBr) см-1: 3392, 1750, 1685
1Н-ЯМР (DMSO-d6) : 2,11 (3H, с), 2,16 (6H, с), 4,4-4,7 (3H, м), 5,31 (1H, т, J=5,0 Гц), 5,5-5,6 (1H, м), 6,22 (1H, д, J=3,0 Гц), 7,8-8,0 (1H, м), 8,1-8,3 (1H, м), 8,67 (1H, шир.с), 10,45 (2H, шир.с).
Пример I-15
К 5,0 мл 25% водного раствора аммиака добавляли 0,10 г (2R,3R,4R,5R)-4-(ацетилокси)-2-[(ацетилокси)метил]-5-[3-[амино(имино)метил]-2-оксо-1(2Н)-пиразинил]тетрагидро-3-фуранилацетата, охлаждая раствор льдом, и полученную смесь перемешивали, продолжая охлаждать смесь льдом, в течение 2 часов. После добавления к реакционной смеси 4,9 мл уксусной кислоты растворитель удаляли при пониженном давлении. Далее осуществляли такую же реакцию, как указано выше, используя 20 мг (2R,3R,4R,5R)-4-(ацетилокси)-2-[(ацетилокси)метил]-5-[3-[амино(имино)метил]-2-оксо-1(2Н)-пиразинил]тетрагидро-3-фуранилацетата и полученную реакционную смесь объединяли с реакционной смесью, приготовленной выше. Объединенную смесь очищали обращенно-фазовой колоночной хроматографией на силикагеле [элюент – вода]. К полученному твердому продукту добавляли 5,0 мл раствора 1 моль/л хлористоводородной кислоты и растворитель удаляли при пониженном давлении. Далее добавляли 5,0 мл раствора 1 моль/л хлористоводородной кислоты и растворитель удаляли при пониженном давлении. К остатку добавляли этанол и твердый продукт собирали фильтрованием с получением 30 мг хлоргидрата 4-[(2R,3R,4S,5R)-3,4-дигидрокси-5-(гидроксиметил)тетрагидро-2-фуранил]-3-оксо-3,4-дигидро-2-пиразинкарбоксимидамида в виде твердого продукта светло-желтого цвета.
ИК (KBr) см-1: 3374, 3281, 1690
1Н-ЯМР (DMSO-d6) : 3,7-3,9 (2H, м), 3,9-4,2 (3H, м), 5,1-5,3 (1H, м), 5,3-5,6 (1H, м), 5,6-5,8 (1H, м), 5,90 (1H, с), 7,86 (1H, д, J=4,0 Гц), 8,76 (1H, д, J=4,0 Гц), 9,44 (3H, шир.с).
Пример I-16
В 2,0 мл триметилфосфата суспендировали 0,11 г 4-[(2R,3R,4S,5R)-3,4-дигидрокси-5-(гидроксиметил)тетрагидро-2-фуранил]-3-оксо-3,4-дигидро-2-пиразинкарбоксамида. К суспензии добавляли 0,11 мл хлорокиси фосфора, охлаждая суспензию льдом, и перемешивали в течение 2 часов, продолжая охлаждать суспензию льдом. Затем к реакционной смеси добавляли 1,2 мл раствора трибутиламина и 0,56 г трибутиламмонийфосфата в 6,0 мл диметилформамида и перемешивали в течение одного часа, продолжая охлаждать реакционную смесь льдом. Затем к реакционной смеси добавляли раствор 0,1 моль/л триэтиламмонийбикарбоната и смесь оставляли при комнатной температуре в течение 12 часов. Растворитель удаляли при пониженном давлении, и остаток очищали ионообменной колоночной хроматографией [элюент – раствор 0,07 моль/л триэтиламмонийбикарбоната] с получением фракции, содержащей соль триэтиламина {(2R,3S,4R,5R)-5-[3-(аминокарбонил)-5-фтор-2-оксо-1(2Н)-пиразинил]-3,4-дигидрокситетрагидро-2-фуранил}метилдифосфата, и фракции, содержащей соль триэтиламина {(2R,3S,4R,5R)-5-[3-(аминокарбонил)-5-фтор-2-оксо-1(2Н)-пиразинил]-3,4-дигидрокситетрагидро-2-фуранил} метилтрифосфата, из которых получали соответственно 143 мг первого соединения в виде твердого продукта и 113 мг второго соединения в виде твердого продукта. Из 143 мг соли триэтиламина {(2R,3S,4R,5R)-5-[3-(аминокарбонил)-2-оксо- 1(2Н)-пиразинил]-3,4-дигидрокситетрагидро-2-фуранил} метилдифосфата отбирали порцию 110 мг и растворяли в 3,0 мл метанола, к раствору добавляли раствор 0,28 г перхлората натрия в 7,5 мл ацетона. Твердый продукт собирали центрифугированием и промывали ацетоном с получением 64 мг натриевой соли {(2R,3S,4R,5R)-5-[3-(аминокарбонил)-2-оксо-1(2Н)-пиразинил]-3,4-дигидрокситетрагидро-2-фуранил}метилдифосфата в виде твердого продукта белого цвета.
ИК (KBr) см-1: 3418, 1682, 1236, 983, 905
1Н-ЯМР (D2O) : 4,2-4,5 (5H, м), 6,12 (1H, с), 7,83 (1H, д, J=3,7 Гц), 8,35 (1H, д, J=3,7 Гц).
Пример I-17
Из 113 мг соли триэтиламина {(2R,3S,4R,5R)-5-[3-(аминокарбонил)-2-оксо-1(2Н)-пиразинил]-3,4-дигидрокситетрагидро-2-фуранил}метилтрифосфата, полученной в примере I-16, отбирали порцию 46 мг и растворяли в 1,0 мл метанола, к раствору добавляли раствор 92 мг перхлората натрия в 5,0 мл ацетона. Твердый продукт собирали центрифугированием и промывали ацетоном с получением 21 мг натриевой соли {(2R,3S,4R,5R)-5-[3-(аминокарбонил)-2-оксо-1(2Н)-пиразинил]-3,4-дигидрокситетрагидро-2-фуранил}метилтрифосфата.
ИК (KBr) см-1: 3436, 1692, 1284, 1103, 997
1Н-ЯМР (D2O) : 4,2-4,5 (5H, м), 6,14 (1H, с), 7,85 (1H, д, J=3,0 Гц), 8,36 (1H, д, J=3,0 Гц).
Пример I-18
В 53 мл ацетонитрила суспендировали 5,3 г 6-фтор-3-гидрокси-2-пиразинкарбоксамида в токе газа азота. Затем к суспензии добавляли 8,4 мл N,O-бис(триметилсилил)ацетамида, охлаждая смесь льдом, и указанную смесь перемешивали при комнатной температуре в течение 1,5 часов. К реакционной смеси, охлаждаемой льдом, последовательно добавляли раствор 9,4 г (2R,3R,4R)-4,5-бис(ацетилокси)-2-(гидроксиметил)-тетрагидро-3-фуранилацетата, синтезированного ранее способом, упомянутым в Carbohydr. Res., Vol.203, №9, Pages 324-329 (1990), в 53 мл ацетонитрила и 7,2 мл хлористого олова(IV), полученную смесь перемешивали при комнатной температуре в течение 20 минут. Реакционную смесь выливали в смесь 100 мл этилацетата и 300 мл насыщенного водного раствора бикарбоната натрия, органический слой отделяли, а водный слой экстрагировали 700 мл этилацетата. Все органические слои объединяли и сушили над безводным сульфатом магния, затем растворитель удаляли при пониженном давлении. Остаток растворяли в 200 мл метанола, добавляли 100 мл 80% водного раствора уксусной кислоты, полученную смесь перемешивали при комнатной температуре в течение 2 часов. Растворитель удаляли при пониженном давлении, остаток очищали колоночной хроматографией на силикагеле [элюент – хлороформ:метанол=40:1], добавляли хлороформ и изопропиловый эфир и твердый продукт собирали фильтрацией с получением 9,3 г (2R,3R,4R,5R)-4-(ацетилокси)-2-[3-(аминокарбонил)-5-фтор-2-оксо-1(2Н)-пиразинил]-5-(гидроксиметил)тетрагидро-3-фуранилацетата в виде твердого продукта светло-желтого цвета.
ИК (KBr) см-1: 3411, 1752, 1686
1Н-ЯМР (DMSO-d6) 2,04 (3H, с), 2,10 (3H, с), 3,64 (1H, ддд, J=2,5, 5,0, 13 Гц), 3,86 (1H, ддд, J=2,5, 5,0, 13 Гц), 4,29 (1H, д, J=6,0 Гц), 5,35 (1H, т, J=6,0 Гц), 5,49 (1H, дд, J=3,0, 5,0 Гц), 5,65 (1H, т, J=5,0 Гц), 6,11 (1H, д, J=3,0 Гц), 7,96 (1H, шир.с), 8,42 (1H, д, J=5,0 Гц), 8,49 (1H, шир.с).
Пример I-19
В 30 мл ацетонитрила растворяли 1,5 г (2R,3R,4R,5R)-4-(ацетилокси)-2-[3-(аминокарбонил)-5-фтор-2-оксо-1(2Н)-пиразинил]-5-(гидроксиметил)тетрагидро-3-фуранилацетата и 0,84 г 1Н-тетразола в токе газа азота. К раствору, охлаждаемому льдом, добавляли раствор 1,4 мл диаллилдиизопропилфосфорамидата в 20 мл ацетонитрила и перемешивали в течение 20 минут. Затем к реакционной смеси добавляли раствор 1,4 г м-хлорнадбензойной кислоты в 10 мл ацетонитрила и перемешивали в течение 10 минут.Затем в реакционную смесь добавляли 60 мл этилацетата, полученную реакционную смесь выливали в 60 мл воды, органический слой отделяли, а водный слой экстрагировали 90 мл этилацетата. Все органические слои объединяли, добавляли 30 мл воды, рН доводили до 8 насыщенным водным раствором бикарбоната натрия, водный слой отбрасывали. Органический слой промывали насыщенным водным раствором хлорида натрия и сушили над безводным сульфатом магния и растворитель удаляли при пониженном давлении. Остаток очищали колоночной хроматографией на силикагеле [элюент – хлороформ:метанол=40:1] с получением 1,3 г (2R,3R,4R,5R)-4-(ацетилокси)-2-[3-(аминокарбонил)-5-фтор-2-оксо-1(2Н)-пиразинил]-5-({[бис(аллилокси)фосфорил]окси}метил)тетрагидро-3-фуранилацетата в виде твердого продукта желтого цвета.
ИК (KBr) см-1: 3403, 1753, 1694, 1244, 1024
1Н-ЯМР (CDCl3) 2,11 (3H, с), 2,15 (3H, с), 4,32-4,35 (1H, м), 4,47-4,52 (2H, м), 4,58-4,64 (4H, м), 5,27 (2H, дт, J=1,0, 10,5 Гц), 5,37-5,44 (4H, м), 5,90-6,00 (2H, м), 6,28 (1H, д, J=4,0 Гц), 6,32 (1H, шир.с), 7,99 (1H, д, J=6,0 Гц), 9,02 (1H, шир.с).
Пример I-20
В 4,0 мл метанола растворяли 0,23 г
(2R,3R,4R,5R)-4-(ацетилокси)-2-[3-(аминокарбонил)-5-фтор-2-оксо-1(2Н)-пиразинил]-5-({[бис(аллилокси)фосфорил]окси} метил)тетрагидро-3-фуранилацетата. К раствору, охлаждаемому льдом, добавляли 0,17 г 28% метанольного раствора метоксида натрия и перемешивали в течение 5 минут. Затем добавляли 0,15 мл уксусной кислоты и растворитель удаляли при пониженном давлении. С другой стороны, осуществляли такую же реакцию, используя 1,0 г (2R,3R,4R,5R)-4-(ацетилокси)-2-[3-(аминокарбонил)-5-фтор-2-оксо-1(2Н)-пиразинил]-5-({[бис(аллилокси)фосфорил]окси}метил)тетрагидро-3-фуранилацетата. Обе реакционные смеси объединяли и очищали колоночной хроматографией на силикагеле [элюент – хлороформ:метанол=40:1]. Таким образом получали 0,35 г {(2R,3S,4R,5R)-5-[3-(аминокарбонил)-5-фтор-2-оксо-1(2Н)-пиразинил]-3,4-дигидрокситетрагидро-2-фуранил}метилдиаллилфосфата в виде твердого продукта желтого цвета.
ИК (KBr) см-1: 3417, 1684, 1264, 1025, 1000
1Н-ЯМР (DMSO-d6, D2O) 3,1-4,7 (10H, м), 5,1-5,5 (4H, м), 5,7-6,2 (2H, м), 7,94 (1H, д, J=6,0 Гц).
Пример I-21
В смеси 8,2 мл метанола и 8,2 мл тетрагидрофурана растворяли 0,82 г {(2R,3S,4R,5R)-5-[3-(аминокарбонил)-5-фтор-2-оксо-1(2Н)-пиразинил]-3,4-дигидрокситетрагидро-2-фуранил}метилдиаллилфосфата в токе газа азота. После последовательного добавления 0,11 г тетракистрифенилфосфин-палладия(0) и 0,28 г трифенилфосфина смесь перемешивали при комнатной температуре в течение 30 минут. К реакционной смеси, охлаждаемой льдом, последовательно добавляли раствор 0,68 мл муравьиной кислоты в 1,9 мл тетрагидрофурана и раствор 0,25 мл н-бутиламина в 8,2 мл тетрагидрофурана. Смесь перемешивали при 30-35°С в течение одного часа и затем при 40-45°С в течение 2 часов. Реакционную смесь разбавляли 10 мл воды и органический растворитель удаляли при пониженном давлении. Водный раствор промывали 20 мл хлороформа и промывки экстрагировали 30 мл воды. Все водные слои объединяли и растворитель удаляли при пониженном давлении. Остаток очищали обращенно-фазовой колоночной хроматографией на силикагеле [элюент – вода]. Таким образом получали 0,29 г соли н-бутиламина {(2R,3S,4R,5R)-5-[3-(аминокарбонил)-5-фтор-2-оксо-1(2Н)-пиразинил]-3,4-дигидрокситетрагидро-2-фуранил}метилфосфата в виде твердого продукта желтого цвета.
ИК (KBr) см-1: 3382, 1685, 1183, 1110
1Н-ЯМР (DMSO-d6) 0,75-0,90 (3H, м), 1,25-1,40 (2H, м), 1,45-1,70 (2H, м), 2,70-2,80 (2H, м), 3,3-4,7 (9H, m), 5,33 (1H, д, J=10 Гц), 5,42 (1H, д, J=17 Гц), 5,90 (2H, шир.с), 7,95 (1H, шир.с), 8,34 (1H, д, J=5,0 Гц), 8,63 (1H, шир.с).
Пример I-22
В смеси 4,2 мл ацетонитрила и 8,4 мл N,N-диметилформамида суспендировали 0,21 г соли н-бутиламина {(2R,3S,4R,5R)-5-[3-(аминокарбонил)-5-фтор-2-оксо-1(2Н)-пиразинил]-3,4-дигидрокситетрагидро-2-фуранил}метилфосфата. Затем добавляли 0,15 г N,N-карбонилдиимидазола и перемешивали при комнатной температуре в течение 2 часов. Затем к реакционной смеси добавляли 19 мкл метанола и перемешивали в течение 30 минут. Затем добавляли раствор 0,86 г три-н-бутиламмонийпирофосфата в 2,0 мл N,N-диметилформамида и перемешивали еще в течение 14 часов. Растворитель удаляли при пониженном давлении и остаток очищали последовательно ионообменной колоночной хроматографией [элюент – раствор 0,10 моль/л триэтиламмонийбикарбоната] и обращенно-фазовой колоночной хроматографией [элюент – вода]. К твердому продукту последовательно добавляли 0,90 мл метанола и раствор 0,17 г перхлората натрия в 4,5 мл ацетона. Осадок собирали центрифугированием и затем промывали ацетоном с получением 60 мг натриевой соли {(2R,3S,4R,5R)-5-[3-(аминокарбонил)-5-фтор-2-оксо-1(2Н)-пиразинил]-3,4-дигидрокситетрагидро-2-фуранил} метилтрифосфата в виде твердого продукта светло-желтого цвета.
ИК (KBr) см-1: 3422, 1686, 1252, 1108
1Н-ЯМР (D2O) 4,3-4,5 (5H, м), 6,09 (1H, с), 8,41 (1H, д, J=5,1 Гц).
Пример I-23
(2R,3R,4R)-5-(Ацетилокси)-2-[(бензоилокси)метил]-4-фтортетрагидро-3-фуранилбензоат, синтезированный способом, описанным в международной заявке WO 93/10137, обрабатывали таким же способом, как указано в Ссылочном примере I-19, с получением (2R,3R,4R,5R)-5-[3-(аминокарбонил)-2-оксо-1(2Н)-пиразинил]-2-[(бензоилокси)метил]-4-фтортетрагидро-3-фуранилбензоата.
ИК (KBr) см-1: 3422, 1718, 1685
1Н-ЯМР (CDCl3) 4,1-6,2 (6H, м), 7,3-8,2 (12H, м), 8,1-8,3 (1H, м), 8,8-9,1 (2H,м).
Пример I-24
(2R,3R,4R,5R)-5-[3-(Аминокарбонил)-2-оксо-1(2Н)-пиразинил]-2-[(бензоилокси)метил]-4-фтортетрагидро-3-фуранилбензоат обрабатывали таким же образом, как в Ссылочном примере I-22, с получением 4-[(2R,3R,4R,5R)-3-фтор-4-гидрокси-5-(гидроксиметил)тетрагидро-2-фуранил]-3-оксо-3,4-дигидро-2-пиразинкарбоксамида.
ИК (KBr) см-1: 3376, 1684, 1654
1Н-ЯМР (CDCl3, CD3OD) 3,7-4,4 (4H, м), 4,96 (1H, дд, J=4,0, 52 Гц), 6,22 (1H, д, J=16 Гц), 7,76 (1H, д, J=4,0 Гц), 8,42 (1H, д, J=4,0 Гц).
Ссылочный пример II-1
В смеси раствора 12 моль/л хлористоводородной кислоты и 14 мл тетрагидрофурана суспендировали 8,0 г метил 3-амино-6-хлор-2-пиразинкарбоксилата. После добавления к суспензии 5,9 г нитрита натрия при температуре 5-12°С смесь перемешивали в течение 50 минут, охлаждая ее льдом. Затем добавляли 8,4 г хлорида меди(I), суспендированного в растворе 6 моль/л хлористоводородной кислоты, и перемешивали при той же температуре, как указано выше, в течение 10 минут. Реакционную смесь выливали в смесь, 100 мл этилацетата и 100 мл воды и органический слой отделяли. Органический слой последовательно промывали 50 мл воды и 50 мл насыщенного водного раствора хлорида натрия и сушили над безводным сульфатом магния, затем растворитель удаляли при пониженном давлении. Остаток очищали хроматографией на силикагеле [элюент – н-гексан:этилацетат=6:1] с получением 6,0 г метил 3,6-дихлор-2-пиразинкарбоксилата в виде бесцветного маслянистого продукта.
ИК (чистый) см-1: 1747
1Н-ЯМР (CDCl3) : 4,04 (3Н, с), 8,54 (1Н, с).
Ссылочный пример II-2
В 10 мл метанола растворяли 2,0 г метил 3,6-дихлор-2-пиразинкарбоксилата. Затем к раствору, охлаждаемому льдом, добавляли 10,2 мл 1 моль/л водного раствора гидроокиси натрия и перемешивали при комнатной температуре в течение одного часа. Реакционную смесь выливали в смесь 200 мл этилацетата и 200 мл воды и органический слой отделяли. Органический слой последовательно промывали 50 мл воды и 50 мл насыщенного водного раствора хлорида натрия и сушили над безводным сульфатом магния, затем растворитель удаляли при пониженном давлении. Остаток промывали гексаном с получением 1,6 г 3,6-дихлор-2-пиразинкарбоновой кислоты в виде твердого продукта белого цвета.
ИК (KBr) см-1: 1718
1Н-ЯМР (DMSO-d6) : 2,50 (1Н, с), 8,84 (1Н, с).
Ссылочный пример II-3
В 1,2 л 97% серной кислоты добавляли и растворяли 208,0 г 3-гидрокси-2-пиразинкарбоксамида, поддерживая температуру раствора при 10-25°С, охлаждая льдом. К раствору добавляли 185,0 г нитрата калия при 30-35°С и смесь перемешивали при комнатной температуре в течение 15 часов и затем при 40°С в течение 2 часов. После охлаждения реакционной смеси до 20°С ее выливали в ледяную воду объемом 6 л и перемешивали при комнатной температуре в течение одного часа, выпавший в осадок продукт собирали фильтрованием и промывали двумя порциями воды по 500 мл. Полученный твердый продукт суспендировали в 1 л воды, pH доводили до 1,5 с помощью 5 моль/л водного раствора гидроокиси натрия, затем твердый продукт собирали фильтрованием. Твердое вещество последовательно промывали 500 мл воды и 500 мл ацетона с получением 180,0 г 3-гидрокси-6-нитро-2-пиразинкарбоксамида в виде твердого продукта.
ИК (KBr) см-1: 1707, 1685, 1654
1Н-ЯМР (DMSO-d6) : 5,60 (1Н, шир.с), 8,10 (1Н, шир.с), 8,35 (1Н, шир.с), 8,96 (1Н, с).
Ссылочный пример II-4
К 400 мл хлорокиси фосфора добавляли 88,7 г 3-гидрокси-6-нитро-2-пиразинкарбоксамида при температуре 55-60°С. После проведения реакции при той же температуре в течение 15 минут к реакционной смеси добавляли по каплям 150 мл пиридина при 40-60°С. Вначале реакционную смесь перемешивали при 60°С в течение одного часа, затем при 80°С в течение одного часа и наконец при 100°С в течение 4 часов, смешивали с 600 мл толуола и затем температуру доводили до комнатной температуры. После отфильтровывания выпавшего осадка фильтрат концентрировали досуха при пониженном давлении. К остатку последовательно добавляли 500 мл толуола и 1 л воды, смесь перемешивали при 40°С в течение 30 минут и органический слой отделяли. Органический слой вначале промывали двумя порциями воды по 500 мл и затем одной порцией 200 мл насыщенного водного раствора хлорида натрия и сушили над безводным сульфатом магния, а затем растворитель удаляли при пониженном давлении. Остаток очищали хроматографией на силикагеле [элюент – н-гексан:толуол=1:1] с получением 64,5 г 3,6-дихлор-2-пиразинкарбонитрила в виде твердого продукта.
ИК (KBr) см-1: 2236, 2252
1Н-ЯМР (CDCl3) : 8,60 (1Н, с).
Ссылочный пример II-5
В 1,19 л воды растворяли 80,0 г 3-гидрокси-6-нитро-2-пиразинкарбоксамида и 47,5 г гидроокиси натрия. После нагревания с обратным холодильником в течение 1,5 часов добавляли 400 мл этанола при 40°С и перемешивали в течение 30 минут, а затем добавляли 400 мл этанола при 30°С и перемешивали в течение 30 минут. После добавления дополнительных 400 мл этанола при 20°С смесь охлаждали до 10°С и выпавший продукт собирали фильтрованием. Собранный продукт промывали 160 мл этанола и сушили при 40°С в течение 15 часов с получением 78,8 г твердого продукта. Твердый продукт (78,5 г) суспендировали в 1,5 л метанола, в суспензию подавали сухой газообразный хлористый водород до насыщения в течение одного часа. Смесь нагревали с обратным холодильником в течение одного часа и охлаждали, выпавшую соль отфильтровывали, фильтрат концентрировали досуха при пониженном давлении. К остатку добавляли этанол (500 мл) и концентрировали досуха при пониженном давлении, остаток промывали 250 мл изопропилового спирта с получением 48,8 г метил 6-нитро-3-оксо-3,4-дигидро-2-пиразинкарбоксилата в виде твердого продукта.
ИК (KBr) см-1: 1736
1Н-ЯМР (CDCl3) : 2,45 (1Н, шир.с), 3,87 (3Н, с), 8,98 (1Н, с).
Ссылочный пример II-6
В 2,0 л диоксана суспендировали 48,7 г метил 6-нитро-3-оксо-3,4-дигидро-2-пиразинкарбоксилата, к суспензии последовательно добавляли 42,4 мл N-этилдиизопропиламина и 9,9 мл метанола. Затем добавляли 122 мл раствора 2,0 моль/л триметилсилилдиазометана в гексане при комнатной температуре, смесь перемешивают при той же температуре, как указано выше, в течение 15 часов и растворитель удаляли при пониженном давлении. Затем к полученному остатку добавляли 500 мл этилацетата и 250 мл воды, pH доводили до 1,5 раствором 6 моль/л хлористоводородной кислоты и органический слой отделяли. Оставшийся водный слой экстрагировали двумя порциями этилацетата по 200 мл. Все органические слои объединяли, последовательно промывали 200 мл воды и 200 мл насыщенного водного раствора хлорида натрия и сушили над безводным сульфатом магния и растворитель удаляли при пониженном давлении. Остаток очищали хроматографией на силикагеле [элюент – н-гексан:этилацетат=2:1] с получением 24,3 г метил 3-метокси-6-нитро-2-пиразинкарбоксилата в виде твердого продукта.
ИК (KBr) см-1: 1729
1Н-ЯМР (DMSO-d6) : 4,03 (3Н, с), 4,22 (3Н, с), 9,25 (1Н, с).
Ссылочный пример II-7
В смесь 24,3 г метил 3-метокси-6-нитро-2-пиразинкарбоксилата, 480 мл уксусной кислоты и 1,2 г протравленного свинцом палладия-кальция карбоната подавали газообразный водород при комнатной температуре и при давлении 1 атмосфера до тех пор, пока смесь не переставала поглощать водород. После отфильтровывания нерастворимого продукта из реакционной смеси растворитель удаляли при пониженном давлении и полученный твердый продукт промывали этилацетатом и диэтиловым эфиром. Таким образом получали 15,0 г метил 6-амино-3-метокси-2-пиразинкарбоксилата в виде твердого продукта. Кроме того, растворитель удаляли из фильтрата при пониженном давлении с получением твердого продукта и твердый продукт промывали этилацетатом с получением 2,3 г метил 6-амино-3-метокси-2-пиразинкарбоксилата в виде твердого продукта.
ИК (KBr) см-1: 1717
1Н-ЯМР (CDCl3) : 3,97 (3Н, с), 3,99 (3Н, с), 4,38 (2Н, шир.с), 7,79 (1Н,с).
Ссылочный пример II-8
В 80 мл тетрагидрофурана растворяли 4,0 г 3-амино-6-бром-2-пиразинкарбонитрила, синтезированного способом, описанным в патенте США №3341540. К раствору, охлаждаемому льдом, последовательно добавляли 1,2 г 60% гидрида натрия и 2,8 мл бензоилхлорида, а также 0,8 г 60% гидрида натрия. Смесь, охлаждаемую льдом, перемешивали в течение одного часа и потом при комнатной температуре в течение 30 минут. Затем дополнительно добавляли 0,4 г 60% гидрида натрия и смесь перемешивали при комнатной температуре в течение 30 минут. После охлаждения реакционной смеси льдом эту смесь выливали в жидкую смесь 50 мл этилацетата и 100 мл воды, и pH доводили до 5 раствором 6 моль/л хлористоводородной кислоты. Выпавший в осадок продукт собирали фильтрованием и остаток растворяли в смеси из 50 мл этилацетата и 100 мл тетрагидрофурана, обрабатывали активированным углем и фильтровали, после чего растворитель удаляли при пониженном давлении. Остаток промывали диизопропиловым эфиром с получением 1,7 г N-(5-бром-3-циано-2-пиразинил)бензамида в виде твердого продукта светло-желтого цвета. Кроме того, из полученного выше фильтрата отделяли органический слой, органический слой последовательно промывали водой и насыщенным водным раствором хлорида натрия, обрабатывали активированным углем и сушили над безводным сульфатом магния и растворитель удаляли при пониженном давлении. Остаток промывали диизопропиловым эфиром с получением 2,9 г N-(5-бром-3-циано-2-пиразинил)бензамида в виде твердого продукта желтого цвета.
ИК (KBr) см-1: 2238, 1667
1Н-ЯМР (CDCl3) : 7,41-7,64 (3Н, м), 8,04-8,15 (2Н, м), 8,76 (1Н, с), 11,31 (1Н, шир.с).
Ссылочный пример II-9
В 10 мл тетрагидрофурана растворяли 0,50 г 3-амино-6-бром-2-пиразинкарбонитрила. После добавления 0,15 г 60% гидрида натрия смесь перемешивали при комнатной температуре в течение 15 минут. Затем к смеси последовательно добавляли 0,7 мл ди-трет-бутилдикарбоната и 0,10 г 60% гидрида натрия и смесь перемешивали при комнатной температуре в течение одного часа. Реакционную смесь вносили в жидкую смесь 30 мл этилацетата и 60 мл воды, pH доводили до 5 раствором 2 моль/л хлористоводородной кислоты и органический слой отделяли. Органический слой последовательно промывали водой и насыщенным водным раствором хлорида натрия и сушили над безводным сульфатом магния, растворитель удаляли при пониженном давлении. Остаток очищали колоночной хроматографией на силикагеле [элюент – н-гексан:этилацетат=5:1] с получением 0,30 г трет-бутил 5-бром-3-циано-2-пиразинилкарбамата в виде твердого продукта белого цвета.
ИК (KBr) см-1: 2239, 1708
1Н-ЯМР (CDCl3+DMSO-d6) : 1,57 (9H, с), 7,41 (1H, шир.с), 8,62 (1H, с).
Ссылочный пример II-10
В 10 мл диметилформамида растворяли 1,0 г 3,6-дихлор-2-пиразинкарбонитрила. После добавления 0,7 г гидрохинона и 1,74 г карбоната калия полученную смесь перемешивали при комнатной температуре в течение 30 минут. Реакционную смесь выливали в смесь 10 мл этилацетата и 30 мл воды, pH доводили до 7 раствором 2 моль/л хлористоводородной кислоты и органический слой отделяли. Органический слой последовательно промывали водой и насыщенным водным раствором хлорида натрия и сушили над безводным сульфатом магния, растворитель удаляли при пониженном давлении. Остаток очищали колоночной хроматографией на силикагеле [элюент – н-гексан:этилацетат=3:1] с получением 1,0 г 6-хлор-3-(4-гидроксифенокси)-2-пиразинкарбонитрила в виде твердого продукта желтого цвета.
ИК (KBr) см-1: 3384, 2250
1Н-ЯМР (CDCl3) : 6,82-7,05 (4Н, м), 8,27 (1Н, с), 8,88 (1Н, с).
Ссылочный пример II-11
В 15 мл диметилформамида растворяли 1,5 г 3,6-дихлор-2-пиразинкарбонитрила. После добавления 1,2 г 4-метоксифенола и 1,8 г карбоната калия полученную смесь перемешивали при комнатной температуре в течение 30 минут. Смесь 20 мл этилацетата и 60 мл воды добавляли к реакционной смеси и органический слой отделяли. Органический слой последовательно промывали водой и насыщенным водным раствором хлорида натрия и сушили над безводным сульфатом магния, растворитель удаляли при пониженном давлении. Остаток очищали колоночной хроматографией на силикагеле [элюент – н-гексан:этилацетат=5:1] с получением 2,1 г 6-хлор-3-(4-метоксифенокси)-2-пиразинкарбонитрила в виде твердого продукта желтого цвета.
ИК (KBr) см-1: 2236
1Н-ЯМР (CDCl3) : 3,83 (3Н, с), 6,95 (2Н, д, J=9,2 Гц), 7,11 (2H, д, J=9,2 Гц), 8,26 (1Н, с).
Ссылочный пример II-12
В 25 мл диметилформамида растворяли 2,5 г 3,6-дихлор-2-пиразинкарбонитрила. После добавления 3,2 г 4-(бензилокси) фенола и 3,0 г карбоната калия смесь перемешивали при комнатной температуре в течение одного часа. К реакционной смеси добавляли смесь 25 мл этилацетата и 100 мл воды и органический слой отделяли. Органический слой последовательно промывали водой и насыщенным раствором хлорида натрия и сушили над безводным сульфатом магния, растворитель удаляли при пониженном давлении. К остатку добавляли диизопропиловый эфир, нерастворимый материал отфильтровывали, а фильтрат концентрировали. Остаток промывали н-гексаном с получением 3,84 г 3-[(4-(бензилокси)фенокси)]-6-хлор-2-пиразинкарбонитрила в виде твердого продукта светло-коричневого цвета.
ИК (KBr) см-1: 2238
1Н-ЯМР (CDCl3) : 5,12 (2Н, с), 7,03-7,48 (9Н, м), 8,65 (1Н, с).
Ссылочный пример II-13
В 8 мл диметилформамида растворяли 0,4 г 6-хлор-3-(4-гидроксифенокси)-2-пиразинкарбонитрила. После добавления 0,5 мл йодметана и 0,89 г карбоната калия смесь перемешивали при комнатной температуре в течение 30 минут. Реакционную смесь выливали в смесь 10 мл этилацетата и 30 мл воды и органический слой отделяли. Органический слой последовательно промывали водой и насыщенным водным раствором хлорида натрия и сушили над безводным сульфатом магния, растворитель удаляли при пониженном давлении. Таким образом получали 0,43 г 6-хлор-3-(4-метоксифенокси)-2-пиразинкарбонитрила в виде твердого продукта желто-коричневого цвета.
ИК (KBr) см-1: 2236
1Н-ЯМР (CDCl3) : 3,83 (3Н, с), 6,95 (2Н, д, J=9,2 Гц), 7,11 (2H, д, J=9,2 Гц), 8,26 (1Н, с).
Ссылочный пример II-14
В 5 мл диметилацеталя диметилформамида растворяли 1,0 г 3-амино-6-бром-2-пиразинкарбонитрила. Раствор нагревали с обратным холодильником в течение 3 часов. Температуру реакционной смеси доводили до комнатной температуры и добавляли смесь из 5 мл н-гексана и 5 мл диизопропилового эфира и перемешивали при комнатной температуре в течение 10 минут. Выпавший осадок собирали фильтрованием и промывали смесью из 5 мл н-гексана и 5 мл диизопропилового эфира с получением 1,0 г N’-(5-бром-3-циано-2-пиразинил)-N,N-диметилиминоформамида в виде твердого продукта желто-коричневого цвета.
ИК (KBr) см-1: 2234
1Н-ЯМР (CDCl3) : 3,21 (6Н, с), 8,32 (1Н, с), 8,60 (1Н, с).
Ссылочный пример II-15
В 50 мл N,N-диметилформамида растворяли 10,0 г 3,6-дихлор-2-пиразинкарбонитрила. После последовательного добавления 6,49 мл тиофенола и 11,91 г карбоната калия смесь перемешивали при 40°С в течение 3 часов. Реакционную смесь выливали в смесь 100 мл этилацетата и 100 мл воды и pH доводили до 2 раствором 6 моль/л хлористоводородной кислоты. Органический слой отделяли, последовательно промывали водой и насыщенным водным раствором хлорида натрия и сушили над безводным сульфатом магния, а затем растворитель удаляли при пониженном давлении. Остаток очищали колоночной хроматографией на силикагеле [элюент – толуол:н-гексан=1:3] с получением 3,80 г 6-хлор-3-(фенилсульфанил)-2-пиразинкарбонитрила в виде маслянистого продукта светло-желтого цвета.
ИК (чистый) см-1: 2238
1Н-ЯМР (CDCl3) : 7,00-7,70 (5Н, м), 8,39 (1Н, с).
Пример II-1
(а) В 20 мл ацетонитрила растворяли 2,0 г метил 3,6-дихлор-2-пиразинкарбоксилата. После добавления 2,8 г фторида калия и 0,51 г 18-краун-6-эфира смесь нагревали с обратным холодильником в течение 9,5 часов в атмосфере газа азота. После охлаждения растворитель удаляли при пониженном давлении и остаток очищали хроматографией на силикагеле [элюент – н-гексан:этилацетат=15:1] с получением 1,1 г метил 3,6-дифтор-2-пиразинкарбоксилата в виде бесцветного маслянистого продукта.
ИК (чистый) см-1: 1743
1Н-ЯМР (CDCl3) : 4,05 (3Н, с), 8,28 (1Н, дд, J=1,6 Гц, 8,4 Гц).
(b) В 2,0 мл метиленхлорида суспендировали 0,2 г 3,6-дихлор-2-пиразинкарбоновой кислоты. Затем к суспензии, охлаждаемой льдом, последовательно добавляли 0,001 мл N,N-диметилформамида и 0,14 мл оксалилхлорида и полученную смесь перемешивали при комнатной температуре в течение 40 минут. Реакционную смесь концентрировали досуха при пониженном давлении и затем растворяли в 3,0 мл ацетонитрила. Затем добавляли 0,3 г фторида калия и 0,056 г 18-краун-6-эфира и образованную смесь перемешивали при 60°С в течение 2,5 часов в атмосфере газа азота. Реакционную смесь выливали в 3,0 мл метанола, нерастворимый продукт отфильтровывали и затем фильтрат концентрировали досуха при пониженном давлении. Остаток очищали хроматографией на силикагеле [элюент – н-гексан:этилацетат=9:1] с получением 0,15 г метил 3,6-дифтор-2-пиразинкарбоксилата в виде бесцветного маслянистого продукта.
Физические свойства данного соединения совпадали со свойствами соединения, полученного в примере II-1(a).
Пример II-2
В 3,0 мл N,N-диметилформамида растворяли 0,3 г метил 3,6-дифтор-2-пиразинкарбоксилата. После добавления к раствору, охлаждаемому льдом, 0,16 г ацетата натрия смесь перемешивали при 50°С в течение 2,5 часов. Реакционную смесь выливали в смесь 50 мл этилацетата и 30 мл воды и органический слой отделяли. Остаточную водную фазу доводили до pH 1,5 1 моль/л хлористоводородной кислоты и экстрагировали тремя порциями этилацетата по 25 мл. Органические слои объединяли, последовательно промывали 15 мл воды и 15 мл насыщенного водного раствора хлорида натрия и сушили над безводным сульфатом магния, растворитель удаляли при пониженном давлении. Остаток очищали хроматографией на силикагеле [элюент – н-гексан:этилацетат=1:2] с получением 0,03 г метил 6-фтор-3-оксо-3,4-дигидро-2-пиразинкарбоксилата в виде бесцветного твердого продукта.
ИК (KBr) см-1: 1677
1Н-ЯМР (CDCl3) : 4,09 (3Н, с), 8,35 (1Н, д, J=8,3 Гц), 11,1 (1H, шир.с).
Пример II-3
(а) В 1,1 л диметилсульфоксида суспендировали 90,1 г 3,6-дихлор-2-пиразинкарбонитрила. После добавления 180,5 г фторида калия и 66,8 г тетра-н-бутиламмонийбромида смесь перемешивали при 50-55°С в течение 6 часов. Температуру реакционной смеси доводили до комнатной температуры и к смеси добавляли 1,1 л этилацетата и 2,2 л воды и органический слой отделяли. К органическому слою добавляли воду (1 л), pH доводили до 2,5 раствором 1 моль/л хлористоводородной кислоты и органический слой отделяли. Органический слой промывали насыщенным водным раствором хлорида натрия и сушили над безводным сульфатом магния, растворитель удаляли при пониженном давлении. Остаток очищали хроматографией на силикагеле [элюент – н-гексан:этилацетат=10:1] с получением 58,3 г 3,6-дифтор-2-пиразинкарбонитрила в виде бесцветного твердого продукта.
ИК (KBr) см-1: 2250
1Н-ЯМР (CDCl3) : 8,34 (1Н, дд, J=1,3, 7,9 Гц).
(b) В 4 мл диметилсульфоксида растворяли 0,40 г 6-фтор-3-(фенилсульфонил)-2-пиразинкарбонитрила. После последовательного добавления 0,44 г фторида калия и 0,10 г тетра-н-бутиламмонийбромида смесь перемешивали при 60°С в течение 1,5 часов. Реакционную смесь выливали в смесь 20 мл этилацетата и 20 мл воды и органический слой отделяли. Органический слой последовательно промывали водой и насыщенным водным раствором хлорида натрия и сушили над безводным сульфатом магния, растворитель удаляли при пониженном давлении. Остаток очищали колоночной хроматографией на силикагеле [элюент – н-гексан:этилацетат=20:1] с получением 0,06 г 3,6-дифтор-2-пиразинкарбонитрила в виде бесцветного твердого продукта.
Пример II-4
В смеси, состоящей из 570 мл раствора 12 моль/л хлористоводородной кислоты и 57 мл тетрагидрофурана, суспендировали 57,3 г 3,6-дифтор-2-пиразинкарбонитрила. Суспензию перемешивали при 30-35°С в течение 6,5 часов. Реакционную смесь концентрировали досуха при пониженном давлении, добавляли 100 мл этанола, а затем растворитель и хлористоводородную кислоту удаляли при пониженном давлении. Остаток промывали этанолом и диизопропиловым эфиром с получением 53,7 г 3,6-дифтор-2-пиразинкарбоксамида в виде бесцветного твердого продукта.
ИК (KBr) см-1: 1708, 1692
1Н-ЯМР (DMSO-d6) : 8,00 (1Н, шир.с), 8,25 (1Н, шир.с), 8,57 (1Н, дд, J=1,7, 8,1 Гц).
Пример II-5
(а) В 10 мл N,N-диметилформамида растворяли 1,0 г 3,6-дифтор-2-пиразинкарбонитрила. К раствору, охлаждаемому льдом, добавляли 0,64 г ацетата натрия и перемешивали в течение 6 часов. Реакционную смесь добавляли к смеси, состоящей из 20 мл этилацетата и 20 мл воды, pH доводили до 1,5 раствором 6 моль/л хлористоводородной кислоты и органический слой отделяли. Органический слой промывали насыщенным водным раствором хлорида натрия и сушили над безводным сульфатом магния, растворитель удаляли при пониженном давлении. Остаток очищали хроматографией на силикагеле [элюент – н-гексан:этилацетат=1:1] с получением 0,45 г 6-фтор-3-оксо-3,4-дигидро-2-пиразинкарбонитрила в виде твердого продукта желтого цвета.
ИК (KBr) см-1: 2238, 1655
1Н-ЯМР (DMSO-d6) : 8,52 (1Н, д, J=7,6 Гц), 12,70 (1H, шир.с).
(b) В 10 мл толуола растворяли 1,0 г 3-(бензилокси)-6-фтор-2-пиразинкарбонитрила. Затем к раствору, охлаждаемому льдом, добавляли 0,64 г хлорида алюминия и образованную смесь перемешивали при комнатной температуре в течение 2 часов. Затем к реакционной смеси добавляли 10 мл воды и водный слой отделяли, а органический слой экстрагировали двумя порциями воды по 2 мл. Водные слои объединяли и экстрагировали двумя порциями этилацетата по 5 мл. Полученный органический слой промывали насыщенным водным раствором хлорида натрия и сушили над безводным сульфатом магния и растворитель удаляли при пониженном давлении. Таким образом получали 0,51 г 6-фтор-3-оксо-3,4-дигидро-2-пиразинкарбонитрила в виде твердого продукта желтого цвета.
Физические свойства данного соединения совпадали со свойствами соединения, полученного в примере II-5(a).
(с) В 5 мл толуола растворяли 1,0 г 3-(аллилокси)-6-фтор-2-пиразинкарбонитрила. После добавления 0,82 г хлорида алюминия смесь перемешивали при комнатной температуре в течение 1,5 часов. К реакционной смеси добавляли воду (5 мл), водный слой отделяли и органический слой экстрагировали вначале 3 мл воды и затем 2 мл воды. Водные слои объединяли и промывали 5 мл толуола и экстрагировали 15 мл этилацетата. Полученный органический слой промывали 3 мл воды и сушили над безводным сульфатом магния, растворитель удаляли при пониженном давлении. Таким образом получали 0,45 г 6-фтор-3-оксо-3,4-дигидро-2-пиразинкарбонитрила в виде твердого продукта желтого цвета.
Физические свойства данного соединения совпадали со свойствами соединения, полученного в примере II-5(a).
(d) В смеси 30 мл ацетонитрила и 20 мл воды растворяли 1,0 г 6-фтор-3-(4-метоксифенокси)-2-пиразинкарбонитрила. После добавления 11,2 г нитрата церия-диаммония смесь нагревали с обратным холодильником в течение 3 часов. Температуру реакционной смеси доводили до комнатной температуры, к реакционной смеси добавляли смесь 50 мл толуола, 50 мл воды и 10 мл 5% водного раствора тиосульфата натрия и водный слой отделяли. К водному слою добавляли этилацетат (50 мл) и органический слой отделяли. Органический слой промывали насыщенным водным раствором хлорида натрия, обрабатывали активированным углем и сушили над безводным сульфатом магния, растворитель удаляли при пониженном давлении. Таким образом получали 6-фтор-3-оксо-3,4-дигидро-2-пиразинкарбонитрил в виде твердого продукта желтого цвета.
(е) В смеси 30 мл ацетонитрила и 15 мл воды растворяли 1,0 г 3-[4-(бензилокси)фенокси]-6-фтор-2-пиразинкарбонитрила. После добавления 8,5 г нитрата диаммония-церия смесь нагревали с обратным холодильником в течение 3 часов. Температуру реакционной смеси доводили до комнатной температуры, добавляли смесь 50 мл этилацетата, 5 мл воды и 5 мл 5% водного раствора тиосульфата натрия и органический слой отделяли. Органический слой промывали насыщенным водным раствором хлорида натрия, обрабатывали активированным углем и сушили над безводным сульфатом магния и затем растворитель удаляли при пониженном давлении. Таким образом получали 6-фтор-3-оксо-3,4-дигидро-2-пиразинкарбонитрил в виде твердого продукта желтого цвета.
(f) В смеси 7,5 мл ацетонитрила и 3 мл воды растворяли 0,45 г 6-фтор-3-(4-гидроксифенокси)-2-пиразинкарбонитрила. Затем добавляли 1,17 г нитрата диаммония-церия при комнатной температуре и перемешивали при той же температуре в течение 15 минут. К реакционной смеси добавляли смесь 10 мл этилацетата и 5 мл 5% водного раствора тиосульфата натрия и органический слой отделяли. Органический слой промывали насыщенным водным раствором хлорида натрия, обрабатывали активированным углем и сушили над безводным сульфатом магния и затем растворитель удаляли при пониженном давлении. Таким образом получали 6-фтор-3-оксо-3,4-дигидро-2-пиразинкарбонитрил в виде твердого продукта желтого цвета.
(g) В смеси 5 мл раствора 6 моль/л хлористоводородной кислоты и 1 мл диоксана суспендировали 0,5 г 6-фтор-3-[(2-метил-3-оксо-1-циклопентен-1-ил)окси]-2-пиразинкарбонитрила. Суспензию перемешивали при 50°С в течение 15 минут. Температуру реакционной смеси доводили до комнатной температуры, добавляли 10 мл этилацетата и органический слой отделяли. Органический слой промывали насыщенным водным раствором хлорида натрия и сушили над безводным сульфатом магния и растворитель удаляли при пониженном давлении. Таким образом получали 0,25 г 6-фтор-3-оксо-3,4-дигидро-2-пиразинкарбонитрила в виде твердого продукта желтого цвета.
Физические свойства данного соединения совпадали со свойствами соединения, синтезированного в примере II-5(a).
Пример II-6
В 2,0 мл N,N-диметилформамида растворяли 0,20 г 3,6-дифтор-2-пиразинкарбонитрила. При 5°С добавляли 0,11 г азида натрия и перемешивали при той же температуре в течение 10 минут. Реакционную смесь добавляли к смеси, состоящей из 20 мл простого эфира и 20 мл воды, и органический слой отделяли. Органический слой последовательно промывали 20 мл воды и 20 мл насыщенного водного раствора хлорида натрия и сушили над безводным сульфатом магния и растворитель удаляли при пониженном давлении. Таким образом получали 0,25 г 3-азидо-6-фтор-2-пиразинкарбонитрила в виде маслянистого продукта желтого цвета.
ИК (чистый) см-1: 2140
1Н-ЯМР (CDCl3) : 8,40 (1Н, д, J=8,2 Гц).
Пример II-7
(а) В смеси 1,5 мл 25% водного раствора аммиака и 5,0 мл диоксана растворяли 1,0 г 3,6-дифтор-2-пиразинкарбонитрила. Раствор перемешивали при комнатной температуре в течение 6 часов. Затем к реакционной смеси добавляли 20 мл воды и перемешивали смесь, охлаждаемую льдом, в течение 20 минут.Выпавший в осадок продукт собирали фильтрованием, последовательно промывали 5 мл холодной воды и 5 мл этанола с получением 0,84 г 3-амино-6-фтор-2-пиразинкарбонитрила в виде твердого продукта светло-желтого цвета.
ИК (KBr) см-1: 3405, 2230
1Н-ЯМР (DMSO-d6) : 7,34 (2Н, шир.с), 8,42 (1Н, д, J=7,8 Гц).
(b) В 5,0 мл метанола растворяли 0,24 г 3-азидо-6-фтор-2-пиразинкарбонитрила. После добавления 0,075 г протравленного свинцом палладия-кальция карбоната при комнатной температуре газообразный водород подавали в смесь при комнатной температуре под давлением 1 атмосфера до тех пор, пока водород не переставал адсорбироваться. После отфильтровывания нерастворимого продукта из реакционной смеси фильтрат концентрировали при пониженном давлении. Остаток очищали колоночной хроматографией на силикагеле [элюент – хлороформ] с получением 0,078 г 3-амино-6-фтор-2-пиразинкарбонитрила в виде твердого продукта желтого цвета.
Физические свойства данного соединения совпадали со свойствами соединения, синтезированного в примере II-7(а).
(с) В 10,5 мл диметилсульфоксида растворяли 0,35 г трет-бутил 5-бром-3-циано-2-пиразинилкарбамата. После добавления 0,17 г фторида калия смесь перемешивали вначале при 70°С в течение 30 минут и затем при 90°С в течение 30 минут с образованием в реакционной системе трет-бутил 3-циано-5-фтор-2-пиразинилкарбамата. Затем добавляли 0,17 г фторида калия и перемешивали при 90°С в течение 40 минут. Температуру реакционной смеси доводили до комнатной температуры и к смеси добавляли 30 мл этилацетата и 60 мл воды, pH доводили до 8 посредством насыщенного водного раствора бикарбоната натрия, и органический слой отделяли. Органический слой промывали насыщенным водным раствором хлорида натрия и сушили над безводным сульфатом магния, и растворитель удаляли при пониженном давлении. Остаток очищали колоночной хроматографией на силикагеле [элюент – н-гексан:этилацетат=3:1] с получением 20 мг 3-амино-6-фтор-2-пиразинкарбонитрила в виде твердого продукта желтого цвета.
Физические свойства данного соединения совпадали со свойствами соединения, синтезированного в примере II-7(a).
(d) В 2 мл раствора 6 моль/л хлористоводородной кислоты суспендировали 60 мг N’-(3-циано-5-фтор-2-пиразинил)-N,N-диметилиминоформамида. Образованную суспензию перемешивали при 80-90°С в течение 5,5 часов. Температуру реакционной смеси доводили до комнатной температуры, добавляли 5 мл воды и pH доводили до 9 водным раствором 2 моль/л гидроокиси натрия. Затем добавляли 5 мл этилацетата, органический слой отделяли, промывали насыщенным водным раствором хлорида натрия и сушили над безводным сульфатом натрия и растворитель удаляли при пониженном давлении. Таким образом получали 20 мг 3-амино-6-фтор-2-пиразинкарбонитрила в виде твердого продукта желтого цвета.
(е) В 15 мл ацетонитрила растворяли 0,3 г 3-амино-2-пиразинкарбонитрила. В раствор, охлаждаемый льдом, подавали 10% газ фтор (газ фтор, разбавленный газом азотом) со скоростью 45 мл в минуту в течение времени 20 минут. Затем в период, когда температуру смеси, охлаждаемой льдом, повышали до комнатной температуры, в смесь подавали газ азот в течение одного часа. Реакционную смесь концентрировали при пониженном давлении и полученный маслянистый продукт очищали колоночной хроматографией на силикагеле [элюент – н-гексан:этилацетат=3:1] с получением 0,01 г 3-амино-6-фтор-2-пиразинкарбонитрила в виде твердого продукта желтого цвета.
Пример II-8
(а) В 140 мл 70% раствора фтористого водорода в пиридине растворяли 17,3 г метил 6-амино-3-метокси-2-пиразинкарбоксилата, охлаждая раствор льдом. Затем добавляли 7,8 г нитрита натрия при -50°С в виде трех порций. После того как вспенивание прекращалось, температуру медленно повышали и смесь перемешивали при комнатной температуре в течение 30 минут. Реакционную смесь выливали в смесь 300 мл ледяной воды и 200 мл хлороформа, выпавший нерастворимый продукт отфильтровывали и затем органический слой отделяли. Остаточный водный слой экстрагировали десятью порциями хлороформа, при условии, что общее количество жидкости достигало 500 мл. Органические слои объединяли, pH доводили до 7 насыщенным водным раствором бикарбоната натрия и сушили над безводным сульфатом магния, и растворитель удаляли при пониженном давлении. Остаток очищали хроматографией на силикагеле [элюент – н-гексан:этилацетат=4:1] с получением 14,3 г метил 6-фтор-3-метокси-2-пиразинкарбоксилата в виде твердого продукта.
ИК (KBr) см-1: 1734
1H-ЯМР (CDCl3) : 3,98 (3H, с), 4,08 (3H, с), 8,17 (1H, д, J=8,5 Гц).
(b) В 4 мл метанола растворяли 0,2 г метил 3,6-дифтор-2-пиразинкарбоксилата. Затем добавляли 28% метанольный раствор метоксида натрия при -25°С и смесь перемешивали при 0°С в течение 10 минут. Реакционную смесь выливали в 30 мл этилацетата и 30 мл воды и органический слой отделяли. Органический слой последовательно промывали 15 мл воды и 15 мл насыщенного водного раствора хлорида натрия и сушили над безводным сульфатом магния и растворитель удаляли при пониженном давлении. Остаток очищали хроматографией на силикагеле [элюент – н-гексан:этилацетат=5:1] с получением 0,09 г метил 6-фтор-3-метокси-2-пиразинкарбоксилата в виде бесцветного твердого продукта.
Физические свойства данного соединения совпадали со свойствами соединения, синтезированного в примере II-8(a).
Пример II-9
В 2,0 мл ацетонитрила растворяли 0,1 г метил 6-хлор-3-нитро-2-пиразинкарбоксилата. После последовательного добавления 40 мг фторида калия и 61 мг 18-краун-6-эфира смесь перемешивали при комнатной температуре в течение 1,5 часов. Затем добавляли смесь 10 мл этилацетата и 10 мл воды, pH доводили до 7,0 насыщенным водным раствором бикарбоната натрия и органический слой отделяли. Органический слой промывали насыщенным водным раствором хлорида натрия и сушили над безводным сульфатом магния и растворитель удаляли при пониженном давлении. Остаток очищали хроматографией на силикагеле [элюент – н-гексан:этилацетат=7:1] с получением 0,03 г метил 6-фтор-3-нитро-2-пиразинкарбоксилата в виде маслянистого продукта светло-желтого цвета.
ИК (KBr) см-1: 1752, 1560
1Н-ЯМР (CDCl3) : 4,06 (3Н, с), 8,50 (1Н, д, J=8,3 Гц).
Пример II-10
(а) В 1,0 мл уксусной кислоты растворяли 20 мг метил 6-фтор-3-нитро-2-пиразинкарбоксилата. После добавления 6 мг протравленного свинцом палладия-кальция карбоната в смесь подавали газообразный водород при комнатной температуре под давлением 1 атмосфера до тех пор, пока смесь не переставала абсорбировать газообразный водород. Нерастворимый продукт отфильтровывали из реакционной смеси и фильтрат концентрировали при пониженном давлении. Остаток очищали колоночной хроматографией на силикагеле [элюент – н-гексан:этилацетат=5:1] с получением 2 мг метил 3-амино-6-фтор-2-пиразинкарбоксилата в виде твердого продукта светло-желтого цвета.
ИК (KBr) см-1: 1700
1Н-ЯМР (CDCl3) : 3,98 (3Н, с), 6,29 (2Н, шир.с), 8,15 (1Н, д, J=8,3 Гц).
(b) В 10 мл уксусной кислоты растворяли 0,5 г метил 3-амино-2-пиразинкарбоксилата. В раствор подавали 10% газ фтор (газ фтор, разбавленный газом азотом) при комнатной температуре со скоростью 23 мл в минуту в течение 32 минут. После перемешивания раствора при комнатной температуре в течение 30 минут реакционную смесь добавляли к смеси, состоящей из 50 мл насыщенного водного раствора бикарбоната натрия и 50 мл этилацетата, и органический слой отделяли. Органический слой последовательно промывали 10 мл воды и 10 мл насыщенного водного раствора хлорида натрия и сушили над безводным сульфатом магния и растворитель удаляли при пониженном давлении. Остаток очищали колоночной хроматографией на силикагеле [элюент – н-гексан:этилацетат=3:1] с получением 0,01 г метил 3-амино-6-фтор-2-пиразинкарбоксилата в виде твердого продукта светло-желтого цвета.
Физические свойства данного соединения совпадали со свойствами соединения, синтезированного в примере II-10(a).
Пример II-11
(а) В 1 мл метанола растворяли 10 мг метил 3-амино-6-фтор-2-пиразинкарбоксилата. После добавления 1 мл 25% водного раствора аммиака при комнатной температуре образованную смесь перемешивали в течение 4,5 часов. После удаления растворителя при пониженном давлении к остатку добавляли диэтиловый эфир и выпавший в осадок продукт отфильтровывали. Таким образом получали 4 мг 3-амино-6-фтор-2-пиразинкарбоксамида в виде твердого продукта светло-желтого цвета.
ИК (KBr) см-1: 1685
1Н-ЯМР (CDCl3+CD3OD) : 3,85 (4Н, шир.с), 8,10 (1Н, д, J=7,3 Гц).
(b) В 2,0 мл метиленхлорида суспендировали 0,2 г 3,6-дихлор-2-пиразинкарбоновой кислоты. Затем последовательно добавляли 0,001 мл N,N-диметилформамида и 0,14 мл оксалилхлорида и полученную смесь перемешивали при комнатной температуре в течение одного часа. Реакционную смесь концентрировали досуха при пониженном давлении, остаток растворяли в 3,0 мл ацетонитрила, добавляли 0,35 г фторида калия и 0,054 г 18-краун-6-эфира и смесь перемешивали при 60°С в течение 3 часов. Затем к реакционной смеси добавляли 3,0 мл 25% водного раствора аммиака при комнатной температуре и смесь перемешивали при 50°С в течение 2,5 часов. Реакционную смесь выливали в смесь 30 мл этилацетата и 30 мл воды и органический слой отделяли. Органический слой последовательно промывали 15 мл воды и 15 мл насыщенного водного раствора хлорида натрия и сушили над безводным сульфатом магния, затем растворитель удаляли при пониженном давлении. Выпавший в осадок продукт промывали диэтиловым эфиром и получали 0,12 г 3-амино-6-фтор-2-пиразинкарбоксамида в виде твердого продукта желтого цвета.
Физические свойства данного соединения совпадали со свойствами соединения, синтезированного в примере II-11(a).
(с) В 9 мл трифторуксусной кислоты растворяли 0,3 г 3-амино-2-пиразинкарбоксамида. В раствор, охлаждаемый льдом, подавали 10% газ фтор (газ фтор разбавляли газом азотом) со скоростью 45 мл в минуту в течение 22 минут. После перемешивания смеси, которую при этом охлаждали льдом, в течение 17 минут температуру смеси повышали до комнатной температуры. Реакционную смесь добавляли к смеси, состоящей из 30 мл насыщенного водного раствора бикарбоната натрия и 30 мл этилацетата, и органический слой отделяли. Оставшийся водный слой подкисляли раствором 6 моль/л хлористоводородной кислоты и затем экстрагировали 20 мл этилацетата. Органический слои объединяли, последовательно промывали 10 мл воды и 10 мл насыщенного водного раствора хлорида натрия и сушили над безводным сульфатом магния, затем растворитель удаляли при пониженном давлении. Остаток очищали колоночной хроматографией на силикагеле [элюент – н-гексан:этилацетат=2:1] с получением 0,015 г 3-амино-6-фтор-2-пиразинкарбоксамида в виде твердого продукта светло-желтого цвета.
Физические свойства данного соединения совпадали со свойствами соединения, синтезированного в примере II-11(a).
(d) В 5 мл трифторуксусной кислоты растворяли 100 мг 3-амино-2-пиразинкарбоксамида. В раствор, охлаждаемый льдом, подавали 10% газ фтор (газ фтор, разбавленный газом азотом) со скоростью 45 мл в минуту в течение 36 минут. Во время повышения температуры смеси, охлаждаемой льдом, до комнатной температуры в смесь подавали газ азот в течение одного часа. Реакционную смесь концентрировали при пониженном давлении с получением 305 мг маслянистого продукта. Из маслянистого продукта отбирали порцию 251 мг и растворяли в 9,3 мл воды и нагревали с обратным холодильником в течение 4 часов. Жидкую реакционную смесь охлаждали до комнатной температуры и выпавший в осадок продукт отфильтровывали. Фильтрат концентрировали при пониженном давлении и полученный твердый продукт очищали колоночной хроматографией на силикагеле [элюент – н-гексан:этилацетат=2:1] с получением 9 мг 3-амино-6-фтор-2-пиразинкарбоксамида в виде твердого продукта.
Физические свойства данного соединения совпадали со свойствами соединения, синтезированного в примере II-11(a).
Пример II-12
В 200 мл воды суспендировали 1,0 г 3-гидрокси-2-пиразинкарбоксамида. В суспензию при комнатной температуре подавали 10% газ фтор (газ фтор, разбавленный газом азотом) со скоростью 45 мл в минуту в течение времени 25 минут. Затем в смесь подавали газ азот в течение 45 минут и жидкую реакционную смесь нейтрализовали карбонатом кальция, выпавшее в осадок вещество отфильтровывали, фильтрат концентрировали при пониженном давлении и твердый продукт очищали колоночной хроматографией на силикагеле [элюент – н-гексан:этилацетат=5:1] с получением 0,008 г 6-фтор-3-гидрокси-2-пиразинкарбоксамида в виде твердого продукта белого цвета.
Физические свойства данного соединения совпадали со свойствами соединения, синтезированного в примере 1.
Пример II-13
В 5 мл толуола растворяли 0,5 г 3,6-дифтор-2-пиразинкарбонитрила. После последовательного добавления 0,41 мл бензилового спирта и 0,74 мл триэтиламина смесь перемешивали при 80°С в течение одного часа. Реакционную смесь охлаждали до комнатной температуры и затем очищали колоночной хроматографией на силикагеле [элюент – н-гексан:этилацетат=10:1] с получением 0,58 г 3-(бензилокси)-6-фтор-2-пиразинкарбонитрила в виде твердого продукта белого цвета.
ИК (KBr) см-1: 2236
1Н-ЯМР (CDCl3) : 5,53 (2Н, с), 7,3-7,6 (5Н, м), 8,20 (1Н, д, J=8,1 Гц).
Пример II-14
В 30 мл диметилсульфоксида растворяли 10,0 г 3,6-дифтор-2-пиразинкарбонитрила. После последовательного добавления к раствору 50 мл аллилового спирта и 14,8 мл триэтиламина смесь перемешивали при 60°С в течение 40 минут. Реакционную смесь охлаждали до комнатной температуры и выливали в смесь 50 мл толуола и 50 мл воды и органический слой отделяли. Органический слой последовательно промывали десятью порциями воды по 50 мл и затем насыщенным водным раствором хлорида натрия и сушили над безводным сульфатом магния, затем растворитель удаляли при пониженном давлении. Остаток очищали колоночной хроматографией на силикагеле [элюент – н-гексан:этилацетат=10:1] с получением 11,5 г 3-(аллилокси)-6-фтор-2-пиразинкарбонитрила в виде маслянистого продукта светло-желтого цвета.
ИК (чистый) см-1: 2238
1Н-ЯМР (CDCl3) : 4,98 (2Н, д, J=5,6 Гц), 5,33 (1Н, дд, J=1,5, 7,1 Гц), 5,48 (1H, дд, J=1,5, 13,9 Гц), 5,9-6,2 (1H, м), 8,20 (1Н, д, J=8,1 Гц).
Пример II-15
В 25 мл метанола растворяли 2,5 г 3,6-дифтор-2-пиразинкарбонитрила. Затем к раствору добавляли по каплям 2,4 г 28% метанольного раствора метоксида натрия при температуре 5-15°С и образованную смесь, охлаждаемую льдом, перемешивали в течение 2 часов. Реакционную смесь выливали в смесь 50 мл этилацетата и 50 мл воды и органический слой отделяли. Органический слой последовательно промывали водой и насыщенным водным раствором хлорида натрия и сушили над безводным сульфатом магния, затем растворитель удаляли при пониженном давлении. Остаток очищали колоночной хроматографией на силикагеле [элюент – н-гексан:этилацетат=10:1] с получением 0,45 г 6-фтор-3-метокси-2-пиразинкарбонитрила в виде бесцветного маслянистого продукта.
ИК (чистый) см-1: 2237
1Н-ЯМР (CDCl3) : 4,12 (3Н, с), 8,22 (1Н, д, J=8,1 Гц).
Пример II-16
В смеси 140 мл ацетонитрила и 280 мл толуола суспендировали 58 г фторида калия (высушенного распылением) и 8,7 г 18-краун-6-эфира. После нагревания суспензии с обратным холодильником в течение одного часа в атмосфере газа азота ацетонитрил и толуол отгоняли при атмосферном давлении. Остаток суспендировали в 280 мл ацетонитрила, добавляли 23 г 6-хлор-2-пиразинкарбонитрила, синтезированного способом, описанным в Acta Poloniae Pharmaceutica, Vol.33, Pages 153-161 (1976), и смесь нагревали с обратным холодильником в течение одного часа в атмосфере азота. Реакционную смесь охлаждали до комнатной температуры, добавляли 280 мл этилацетата и 280 мл воды и органический слой отделяли. Органический слой последовательно промывали водой и насыщенным водным раствором хлорида натрия и сушили над безводным сульфатом магния, затем растворитель удаляли при пониженном давлении. Остаток очищали колоночной хроматографией на силикагеле [элюент – н-гексан:этилацетат=10:1] с получением 10 г 6-фтор-2-пиразинкарбонитрила в виде твердого продукта белого цвета.
ИК (KBr) см-1: 2244
1Н-ЯМР (CDCl3) : 8,72 (1Н, д, J=8,1 Гц), 8,88 (1H, д, J=3,7 Гц).
Пример II-17
В 10 мл концентрированной хлористоводородной кислоты растворяли 1,6 г 6-фтор-2-пиразинкарбонитрила. Раствор перемешивали при 40°С в течение 2 часов. Реакционную смесь охлаждали до комнатной температуры, добавляли смесь из 25 мл этилацетата и 10 мл воды и органический слой отделяли. Водный слой экстрагировали этилацетатом. Органические слои объединяли, промывали насыщенным водным раствором хлорида натрия и сушили над безводным сульфатом магния, затем растворитель удаляли при пониженном давлении. Остаток очищали колоночной хроматографией на силикагеле [элюент – н-гексан:этилацетат=1:1] с получением 0,75 г 6-фтор-2-пиразинкарбоксамида в виде твердого продукта светло-коричневого цвета.
ИК (KBr) см-1: 1713
1Н-ЯМР (DMSO-d6) : 7,90 (1Н, шир.с), 8,22 (1Н, шир.с), 8,92 (1Н, д, J=8,0), 9,14 (1H, д, J=4,4).
Пример II-18
(а) В 1,5 мл трифторуксусной кислоты растворяли 0,50 г 6-фтор-2-пиразинкарбоксамида. После добавления 0,40 мл 30% перекиси водорода смесь перемешивали при 50-60°С в течение одного часа. После охлаждения реакционной смеси до 5°С добавляли 5 мл изопропилового спирта. Выпавший в осадок продукт собирали фильтрованием и промывали 5 мл изопропилового спирта и 5 мл диэтилового эфира с получением 0,35 г 3-(аминокарбонил)-5-фторпиразин-1-иум-1-олеата в виде твердого продукта белого цвета.
ИК (KBr) см-1: 1708
1Н-ЯМР (DMSO-d6) : 8,03 (1Н, шир.с), 8,25 (1Н, шир.с), 8,53 (1Н, шир.с), 8,70 (1Н, дд, J=1,2, 3,9 Гц).
(b) В 1,95 мл хлорокиси фосфора суспендировали 0,39 г 3-(аминокарбонил)-5-фторпиразин-1-иум-1-олеата. Смесь перемешивали при 100°С в течение 1,5 часов. После концентрирования реакционной смеси досуха при пониженном давлении остаток суспендировали в 20 мл этилацетата и выливали в 20 мл ледяной воды и органический слой отделяли. К органическому слою добавляли 20 мл воды, после чего pH доводили до 8 насыщенным водным раствором бикарбоната натрия, органический слой отделяли и сушили над безводным сульфатом магния, затем растворитель удаляли при пониженном давлении. Остаток очищали колоночной хроматографией на силикагеле [элюент – толуол:н-гексан=3:1] с получением 3-хлор-6-фтор-2-пиразинкарбонитрила в виде маслянистого продукта.
(с) В 15 мл ацетонитрила растворяли 0,3 г 3-хлор-2-пиразинкарбонитрила. В раствор, охлаждаемый льдом, подавали 10% газ фтор (газ фтор, разбавленный газом азотом) со скоростью 45 мл в минуту в течение 20 минут. Затем во время повышения температуры смеси, охлаждаемой льдом, до комнатной температуры в смесь подавали газ азот в течение одного часа. Реакционную смесь концентрировали при пониженном давлении и полученный маслянистый продукт очищали колоночной хроматографией на силикагеле [элюент – н-гексан:этилацетат=10:1] с получением 0,12 г 3-хлор-6-фтор-2-пиразинкарбонитрила в виде бесцветного маслянистого продукта.
ИК (KBr) см-1: 2232
1Н-ЯМР (CDCl3) : 8,50 (1Н, д, J=8,1 Гц).
Пример II-19
В 26 мл диметилсульфоксида растворяли 1,30 г N’-(5-бром-3-циано-2-пиразинил)-N,N-диметилиминоформамида. После добавления 2,97 г фторида калия смесь перемешивали при 145-150°С в течение 1,5 часов. Температуру реакционной смеси доводили до комнатной температуры, добавляли смесь из 30 мл этилацетата и 100 мл воды и органический слой отделяли. Органический слой промывали насыщенным водным раствором хлорида натрия и сушили над безводным сульфатом натрия, затем растворитель удаляли при пониженном давлении. Остаток очищали колоночной хроматографией на силикагеле [элюент – толуол:этилацетат=5:1] с получением 0,75 г N’-(3-циано-5-фтор-2-пиразинил)-N,N-диметилиминоформамида в виде твердого продукта желтого цвета.
ИК (KBr) см-1: 2230
1Н-ЯМР (CDCl3) : 3,19 (6Н, с), 8,18 (1Н, д, J=8,1 Гц), 8,54 (1H, c).
Пример II-20
В 86 мл диметилсульфоксида растворяли 4,3 г N-(5-бром-3-циано-2-пиразинил)бензамида. После добавления к раствору 8,3 г фторида калия смесь перемешивали при 110-115°С в течение одного часа. Температуру реакционной смеси доводили до комнатной температуры, добавляли смесь из 100 мл этилацетата и 200 мл воды, и органический слой отделяли. Органический слой последовательно промывали водой и насыщенным водным раствором хлорида натрия, обрабатывали активированным углем и сушили над безводным сульфатом магния, затем растворитель удаляли при пониженном давлении. Остаток очищали колоночной хроматографией на силикагеле [элюент – толуол:этилацетат=5:1] с получением 0,47 г N-(3-циано-5-фтор-2-пиразинил) бензамида в виде твердого продукта белого цвета.
ИК (KBr) см-1: 2238, 1670
1Н-ЯМР (CDCl3) : 7,48-7,80 (3Н, м), 8,03-8,21 (2Н, м), 9,01 (1Н, д, J=8,1 Гц), 11,67 (1H, c).
Пример II-21
В 39 мл диметилсульфоксида растворяли 1,95 г 6-хлор-3-(4-метоксифенокси)-2-пиразинкарбонитрила. После добавления к раствору 2,16 г фторида калия смесь перемешивали при 100-110°С в течение 3 часов. Температуру реакционной смеси доводили до комнатной температуры, добавляли смесь 40 мл этилацетата и 200 мл воды и органический слой отделяли. Органический слой промывали насыщенным водным раствором хлорида натрия и сушили над безводным сульфатом магния, затем растворитель удаляли при пониженном давлении. Остаток очищали колоночной хроматографией на силикагеле [элюент – н-гексан:этилацетат=5:1] с получением 1,45 г 6-фтор-3-(4-метоксифенокси)-2-пиразинкарбонитрила в виде твердого продукта желтого цвета.
ИК (KBr) см-1: 2238
1Н-ЯМР (CDCl3) : 3,83 (3Н, с), 6,95 (2Н, д, J=9,2 Гц), 7,12 (2H, д, J=9,2 Гц), 8,15 (1H, д, J=8,4 Гц).
Пример II-22
В 70 мл диметилсульфоксида растворяли 3,50 г 3-[4-(бензилокси)фенокси]-6-хлор-2-пиразинкарбонитрила. После добавления к раствору 3,01 г фторида калия смесь перемешивали при 100-110°С в течение 3 часов. Температуру реакционной смеси доводили до комнатной температуры и добавляли смесь, 70 мл этилацетата и 350 мл воды, и органический слой отделяли. Органический слой промывали насыщенным водным раствором хлорида натрия и сушили над безводным сульфатом магния, затем растворитель удаляли при пониженном давлении. Остаток очищали колоночной хроматографией на силикагеле [элюент – толуол:этилацетат=5:1] с получением 1,88 г 3-[4-(бензилокси)фенокси]-6-фтор-2-пиразинкарбонитрила в виде твердого продукта белого цвета.
ИК (KBr) см-1: 2237
1Н-ЯМР (CDCl3) : 5,07 (2Н, с), 6,95-7,40 (9Н, м), 8,13 (1Н, д, J=8,1 Гц).
Пример II-23
В 15 мл ацетонитрила растворяли 0,3 г метил 3-хлор-2-пиразинкарбоксилата. В раствор, охлаждаемый льдом, подавали 10% газ фтор (газ фтор, разбавленный газом азотом) со скоростью 45 мл в минуту в течение 18 минут. Затем во время повышения температуры реакционной смеси, охлаждаемой льдом, до комнатной температуры в смесь подавали газ азот в течение одного часа и продукт реакции концентрировали при пониженном давлении. Маслянистый продукт очищали колоночной хроматографией на силикагеле [элюент – н-гексан:этилацетат=10:1] с получением 0,03 г метил 3-хлор-6-фтор-2-пиразинкарбоксилата в виде бесцветного маслянистого продукта.
ИК (чистый) см-1: 1736
1Н-ЯМР (CDCl3) : 4,04 (3Н, с), 8,43 (1Н, д, J=8,3 Гц).
Пример II-24
В 30 мл диметилформамида растворяли 3,0 г 3,6-дифтор-2-пиразинкарбонитрила. Затем к раствору, охлаждаемому льдом, добавляли 2,6 г гидрохинона, затем 6,5 г карбоната калия и смесь перемешивали при комнатной температуре в течение 15 минут. К реакционной смеси добавляли смесь из 30 мл этилацетата и 60 мл воды, pH доводили до 5 раствором 6 моль/л хлористоводородной кислоты и органический слой отделяли. Органический слой последовательно промывали водой и насыщенным водным раствором хлорида натрия и сушили над безводным сульфатом магния, затем растворитель удаляли при пониженном давлении. Остаток очищали колоночной хроматографией на силикагеле [элюент – н-гексан:этилацетат=3:1] с получением 0,75 г 6-фтор-3-(4-гидроксифенокси)-2-пиразинкарбонитрила в виде твердого продукта желтого цвета.
ИК (KBr) см-1: 3398, 2237
1Н-ЯМР (DMSO-d6) : 6,82 (2Н, д, J=9,2 Гц), 7,05 (2Н, д, J=9,2 Гц), 7,40 (1H, c), 8,68 (1H, д, J=8,1 Гц).
Пример II-25
В 3,6 мл диметилсульфоксида растворяли 0,20 г 6-хлор-3-(фенилсульфанил)-2-пиразинкарбонитрила. После последовательного добавления 0,42 г фторида калия и 0,16 г тетра-н-бутиламмонийбромида смесь перемешивали при 50-60°С в течение 2,5 часов. Реакционную смесь выливали в смесь, 20 мл этилацетата и 20 мл воды, и органический слой отделяли. Органический слой последовательно промывали водой и насыщенным водным раствором хлорида натрия и сушили над безводным сульфатом магния, затем растворитель удаляли при пониженном давлении. Остаток очищали колоночной хроматографией на силикагеле [элюент – толуол:н-гексан=1:2] с получением 0,10 г 6-фтор-3-(фенилсульфанил)-2-пиразинкарбонитрила в виде маслянистого продукта светло-желтого цвета.
ИК (чистый) см-1: 2233
1Н-ЯМР (CDCl3) : 7,10-7,70 (5Н, м), 8,34 (1Н, д, J=8,1 Гц).
Пример II-26
В 10 мл метиленхлорида растворяли 1,00 г 6-фтор-3-(фенилсульфанил)-2-пиразинкарбонитрила. Затем к раствору, охлаждаемому льдом, добавляли 1,00 г м-хлорнадбензойной кислоты и смесь перемешивали при комнатной температуре в течение 2 часов. Реакционную смесь выливали в смесь, 20 мл хлороформа и 20 мл воды, pH доводили до 10 карбонатом калия и органический слой отделяли. Органический слой последовательно промывали водой и насыщенным водным раствором хлорида натрия и сушили над безводным сульфатом магния, затем растворитель удаляли при пониженном давлении. Остаток очищали колоночной хроматографией на силикагеле [элюент – н-гексан:этилацетат=2:1] с получением 0,42 г 6-фтор-3-(фенилсульфанил)-2-пиразинкарбонитрила в виде маслянистого продукта светло-желтого цвета.
ИК (чистый) см-1: 2237
1Н-ЯМР (CDCl3) : 7,35-7,75 (3Н, м), 7,75-8,10 (2Н, м), 8,68 (1Н, д, J=8,1 Гц).
Пример II-27
В 20 мл метиленхлорида растворяли 1,00 г 6-фтор-3-(фенилсульфанил)-2-пиразинкарбонитрила. После добавления к раствору, охлаждаемому льдом, 3,70 г м-хлорнадбензойной кислоты смесь перемешивали при комнатной температуре в течение 4 часов. Нерастворимый продукт отфильтровывали из реакционной смеси и фильтрат выливали в смесь 50 мл метиленхлорида и 50 мл воды, pH доводили до 7,5 насыщенным водным раствором бикарбоната натрия и органический слой отделяли. Органический слой последовательно промывали водой и насыщенным водным раствором хлорида натрия и сушили над безводным сульфатом магния, затем растворитель удаляли при пониженном давлении. К остатку добавляли диизопропиловый эфир и твердый продукт собирали фильтрованием с получением 0,66 г 6-фтор-3-(фенилсульфонил)-2-пиразинкарбонитрила в виде бесцветного твердого продукта.
ИК (KBr) см-1: 2243
1Н-ЯМР (CDCl3) : 7,40-7,90 (3Н, м), 7,95-8,30 (2Н, м), 8,65 (1Н, д, J=8,3 Гц).
Пример II-28
В 5,00 мл метансульфокислоты растворяли 0,50 г 3-амино-6-фтор-2-пиразинкарбонитрила. После добавления к раствору 0,30 г нитрита натрия при 7-9°С образованную смесь, охлаждаемую льдом, перемешивали в течение 2,0 часов. Реакционную смесь, температуру которой поддерживали при 10°С или ниже, добавляли по каплям к смеси из 15 мл ледяной воды и 15 мл этилацетата. Смесь экстрагировали двумя порциями этилацетата по 10 мл. Органический слой дважды промывали насыщенным водным раствором хлорида натрия и сушили над безводным сульфатом магния, затем растворитель удаляли при пониженном давлении. Остаток растворяли в смеси, 100 мл н-гексана и 50 мл этилацетата и раствор промывали три раза насыщенным водным раствором бикарбоната натрия и сушили над безводным сульфатом магния, затем растворитель удаляли при пониженном давлении. Таким образом получали 0,12 г 3-циано-5-фтор-2-пиразинилметансульфоната в виде бесцветного маслянистого продукта.
ИК (чистый) см-1: 2246
1Н-ЯМР (DMSO-d6) : 3,40 (3Н, с), 8,95 (1Н, д, J=7,8 Гц).
Пример II-29
В 60 мл диметилсульфоксида растворяли 3,0 г 3,6-дихлор-2-пиразинкарбонитрила. После добавления 3,0 г фторида калия смесь перемешивали при 90-100°С в течение 2 часов. Температуру реакционной смеси доводили до комнатной температуры, после чего последовательно добавляли 2,1 г 2-метил-1,3-циклопентандиона и 7,2 мл триэтиламина. Смесь перемешивали при комнатной температуре в течение одного часа. Реакционную смесь добавляли к смеси из 50 мл этилацетата и 200 мл воды и органический слой отделяли. Органический слой последовательно промывали водой и насыщенным водным раствором хлорида натрия и сушили над безводным сульфатом магния, затем растворитель удаляли при пониженном давлении. Остаток очищали колоночной хроматографией на силикагеле [элюент – н-гексан:этилацетат=2:1] с получением 1,7 г 6-фтор-3-[(2-метил-3-оксо-1-циклопентен-1-ил)окси]-2-пиразинкарбонитрила в виде твердого продукта желтого цвета.
ИК (KBr) см-1: 2238, 1707, 1676
1Н-ЯМР (CDCl3) : 1,72 (3Н, т, J=1,8 Гц), 2,58-2,68 (2H, м), 2,76-2,91 (2Н,м), 8,29 (1Н, д, J=8,1 Гц).
Пример получения 1
В 3,0 мл метанола растворяли 0,12 г метил 6-фтор-3-оксо-3,4-дигидро-2-пиразинкарбоксилата. Затем в раствор, охлаждаемый льдом, подавали газообразный аммиак в течение 10 минут, после чего смесь оставляли при комнатной температуре в течение 2 дней. Растворитель удаляли при пониженном давлении, остаток добавляли к смеси, состоящей из 30 мл этилацетата и 30 мл воды, pH доводили до 7,5 насыщенным водным раствором бикарбоната натрия и органический слой отделяли. После добавления к остаточному водному слою 30 мл этилацетата pH доводили до 1,0 раствором 1 моль/л хлористоводородной кислоты и всю смесь экстрагировали двумя порциями этилацетата по 15 мл. Органические слои объединяли, последовательно промывали 15 мл воды и 15 мл насыщенного водного раствора хлорида натрия и сушили над безводным сульфатом магния, затем растворитель удаляли при пониженном давлении. Твердый продукт промывали диизопропиловым эфиром с получением 0,015 г 6-фтор-3-гидрокси-2-пиразинкарбоксамида в виде твердого продукта желтого цвета.
ИК (KBr) см-1: 1685, 1671, 1655
1Н-ЯМР (DMSO-d6) : 8,46 (1Н, шир.с), 8,50 (1Н, д, J=7,8 Гц), 8,70 (1H, шир.с), 13,39 (1Н, с).
Пример получения 2
В смеси 3,44 мл воды и 0,5 мл диоксана суспендировали 0,17 г 3,6-дифтор-2-пиразинкарбоксамида. После добавления 0,45 г бикарбоната натрия смесь перемешивали при 50°С в течение 8,5 часов. Затем к реакционной смеси добавляли 0,95 мл раствора 6 моль/л хлористоводородной кислоты, pH доводили до 1,0 и выпавший в осадок твердый продукт собирали фильтрованием с получением 89 мг 6-фтор-3-гидрокси-2-пиразинкарбоксамида в виде твердого продукта.
Физические свойства данного соединения совпадали со свойствами соединения, синтезированного в примере получения 1.
Пример получения 3
К 285 мл 97% серной кислоты при температуре 5-12°С, достигаемой охлаждением льдом, добавляли 28,5 г 3-амино-6-фтор-2-пиразинкарбоксамида с образованием однородного раствора. После добавления к раствору 18,9 г нитрита натрия при 5-12°С смесь, охлаждаемую льдом, перемешивали в течение 1,5 часов. Реакционную смесь, температуру которой поддерживали не выше 10°С, по каплям добавляли к 1,4 л ледяной воды и полученную смесь экстрагировали вначале одной порцией этилацетата 850 мл и затем двумя порциями этилацетата по 200 мл. Органические слои объединяли, добавляли 400 мл воды, затем 160 мл насыщенного водного раствора бикарбоната натрия, pH доводили до 3,0 и органический слой отделяли. Органический слой промывали насыщенным водным раствором хлорида натрия и сушили над безводным сульфатом магния, затем растворитель удаляли при пониженном давлении. Остаток промывали смесью диизопропилового эфира и этилацетата с получением 22,4 г 6-фтор-3-гидрокси-2-пиразинкарбоксамида в виде твердого продукта.
Физические свойства данного соединения совпадали со свойствами соединения, синтезированного в примере получения 1.
Пример получения 4
В водном растворе гидроокиси натрия, приготовленном из 1,27 г гидроокиси натрия и 24,2 мл воды, растворяли 2,2 г 6-фтор-3-оксо-3,4-дигидро-2-пиразинкарбонитрила, охлаждая при этом раствор водой. После добавления 2,75 мл 30% перекиси водорода при той же температуре, как указано выше, полученную смесь перемешивали при 40°С в течение 1,5 часов. После добавления к реакционной смеси, охлаждаемой льдом, по каплям 2,77 мл концентрированной серной кислоты образованную смесь охлаждали до 10°С. Выпавший в осадок кристаллический продукт собирали фильтрованием и промывали 2 мл холодной воды с получением 2,2 г 6-фтор-3-гидрокси-2-пиразинкарбоксамида в виде твердого продукта светло-желтого цвета.
Физические свойства данного соединения совпадали со свойствами соединения, синтезированного в примере получения 1.
Промышленное применение
Производные пиразина или их соли согласно настоящему изобретению, а именно соединения согласно настоящему изобретению, обладают превосходной противовирусной активностью и применяются в качестве фармацевтического лекарственного средства. Кроме того, промежуточные соединения согласно настоящему изобретению, а именно соединения, представленные общей формулой [21], применяются в качестве промежуточных соединений для синтеза производных пиразина или их солей согласно настоящему изобретению, а именно соединений согласно настоящему изобретению, а также в качестве промежуточных соединений для синтеза известных соединений, которые применяют как профилактические и терапевтические средства в случае вирусных инфекций и особенно в случае инфекций вируса гриппа.
Формула изобретения
1. Производные пиразина, представленные следующей общей формулой:

где R1 представляет собой атом водорода или атом галогена;
R2 представляет собой атом водорода или защищенную или незащищенную группу монофосфорной, дифосфорной или трифосфорной кислоты;
R3, R4, R5 и R6, которые могут быть одинаковыми или различными, представляют собой атом водорода, атом галогена, замещенную или незамещенную, защищенную или незащищенную гидроксильную или аминогруппу, или R4 и R6, взятые вместе, образуют простую связь;
А представляет собой атом кислорода или метиленовую группу;
n=0 или 1;
Y представляет собой атом кислорода или NH-группу,
или их соли, при условии, что соединения, в которых R1 представляет водород или атом галогена, R2 представляет водород, R3 и R5 представляют водород, R4 и R6 представляют замещенную или незамещенную, защищенную или незащищенную гидроксильную группу, А представляет атом кислорода, n=0, и Y представляет атом кислорода, исключены.
2. Производные пиразина или их соли по п.1, где R3, R4, R5 и R6, которые могут быть одинаковыми или различными, представляют собой атом водорода, атом галогена, замещенную или незамещенную, защищенную или незащищенную гидроксильную группу, или R4 и R6, взятые вместе, образуют простую связь.
3. Производные пиразина или их соли по пп.1 и 2, где R2 представляет собой атом водорода или защищенную или незащищенную группу монофосфорной или трифосфорной кислоты.
4. Производные пиразина или их соли по любому из пп.1-3, где R2 представляет собой атом водорода или защищенную или незащищенную группу монофосфорной кислоты, R3, R4, R5 и R6, которые могут быть одинаковыми или различными, представляют собой атом водорода или защищенную или незащищенную гидроксильную группу, А представляет собой атом кислорода и n=0.
5. Производные пиразина или их соли по любому из пп.1-4, где R2 представляет собой атом водорода.
6. Производные пиразина или их соли по любому из пп.1-5, где Y представляет собой атом кислорода.
7. Фармацевтическая композиция, обладающая противовирусной активностью и содержащая соединение или его соль по любому из пп.1-6.
8. Фармацевтическая композиция по п.7, где указанная фармацевтическая композиция является противовирусным агентом.
9. Фармацевтическая композиция по п.8, где вирус представляет собой вирус гриппа, вирус RS (саркомы Рауса) и ротавирус.
10. Фармацевтическая композиция по п.9, где указанный вирус представляет собой вирус гриппа.
11. Производное фторпиразина, представленное следующей общей формулой:

где
R21 представляет собой нитрильную группу или защищенную или незащищенную карбамоильную или карбоксильную группу;
R22 представляет собой атом водорода, атом галогена, защищенную или незащищенную гидроксильную группу или аминогруппу, нитрогруппу, азидогруппу или замещенную или незамещенную фенилсульфанильную, фенилсульфинильную или фенилсульфонильную группу;
при условии, что соединение, где R21 представляет собой карбамоильную группу или карбамоильную группу, замещенную ацильной группой, и R22 представляет собой гидроксильную группу, исключено,
или его соль.
12. Производное фторпиразина или его соль по п.11, где R22 представляет собой защищенную или незащищенную гидроксильную группу или аминогруппу, атом галогена, нитрогруппу или азидогруппу.
13. Производное фторпиразина или его соль по п.11 или 12, где R21 представляет собой карбамоильную группу, нитрильную группу, или защищенную или незащищенную карбоксильную группу.
|
|