Патент на изобретение №2297413
|
||||||||||||||||||||||||||
(54) ГЕТЕРОЦИКЛИЧЕСКИЕ СОЕДИНЕНИЯ, МОДЕЛИРУЮЩИЕ АКТИВНОСТЬ ХЕМОКИНОВОГО РЕЦЕПТОРА, ИХ ПРИМЕНЕНИЕ И СОДЕРЖАЩАЯ ИХ ФАРМАЦЕВТИЧЕСКАЯ КОМПОЗИЦИЯ
(57) Реферат:
Изобретение относится к новым соединениям формулы
и их солям, в которой значения для R1, k, Ar, n, j, Y, R, R2 определены в формуле изобретения. Новые соединения модулируют активность хемокинового рецептора. Изобретение также относится к применению указанных соединений для лечения вируса иммунодефицита человека или вируса иммунодефицита кошачьих и к фармацевтической композиции на их основе. 10 н. и 6 з.п. ф-лы.
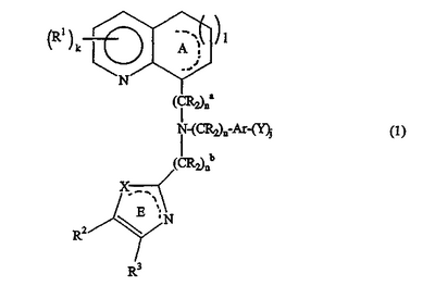
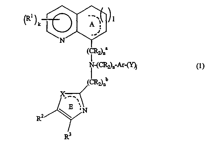
По данной заявке испрашивается приоритет на основании 35 U.S.C. 119(e) по предварительной заявке 60/232891, поданной 15 сентября 2000; 60/234510, поданной 22 сентября 2000; заявке 0/233087, поданной 15 сентября 2000; и заявке 60/234816, поданной 22 сентября 2000. Содержание данных заявок включено в настоящее описание в качестве ссылок. Область техники Данное изобретение относится к новым соединениям, фармацевтическим композициям и их применению. Более конкретно данное изобретение относится к новым гетероциклическим соединениям, которые связываются с хемокиновыми рецепторами, включая CXCR4 и CCR5, и демонстрируют защитное действие против инфицирования клеток-мишеней вирусом иммунодефицита человека (ВИЧ). Предпосылки создания изобретения Описано примерно 40 хемокинов человека, которые функционируют, по крайней мере частично, путем модулирования комплекса и перекрывания последовательности биологических активностей, важных для движения лимфоидных клеток и транссудации и тканевой инфильтрации лейкоцитов в ответ на возбуждающие агенты (см., например, P.Ponath, Exp.Opin.Invest. Drugs, 7:1-18, 1998; Baggiolini M., Nature 393, 565-568 (1998); Locati et al., Annu. Rev. Med. 50, 425-40 (1999)). Такие хемотактические цитокины, или хемокины, составляют семейство белков размером приблизительно 8-10 кДа. Хемокины, очевидно, имеют часть общего структурного мотива, который составляет 4 сохраненных цистеина, включенных в поддержание третичной структуры. Имеется два основных подсемейства хемокинов: «СС», или Хемокины рассматриваются как основные медиаторы в инициировании и поддержании воспаления (см., «Chemokines in Disease», опубликованной Humana Press (1999), под редакцией C.Herbert; Murdoch et al., Blood 95, 3032-3042 (2000)). Более конкретно, установлено, что хемокины играют важную роль в регулировании функции эндотелиальной клетки, включая пролиферацию, миграцию и дифференцировку во время ангиогенеза и повторную эндотелиализацию после повреждения (Gupta et al., J. Biol. Chem., 7:4282-4287 (1998); Volin et al., Biochem. Biophys. Res. Commun., 242, 46-53 (1998)). Два конкретных хемокина вовлечены в этиологию инфицирования вирусом иммунодефицита человека (ВИЧ). В большинстве случаев ВИЧ первоначально связывается через свой gp120 оболочечный белок с CD4 рецептором клетки-мишени. По-видимому, в gp120 происходит конформационное изменение, которое приводит к последующему связыванию с хемокиновым рецептором, таким как CCR5 (Wyatt et al., Science, 280:1884-1888 (1998); Rizzuto et al., Science, 280: 1949-1953 (1998); Berger et al. Annu.Rev.Immunol. 17:657-700 (1999)). ВИЧ-1 изолят (штамм) возникает впоследствии в инфекционном связывании с CXCR4 хемокиновым рецептором. После первоначального связывания ВИЧ с CD4 происходит слияние вирус-клетка, которое опосредовано членами семейства хемокиновых рецепторов, где различные члены служат кофакторами слияния для магрофаг-тропных (М-тропных) и Т-клеточная линия-тропных (Т-тропных) штаммов ВИЧ-1 (Carroll et al., Science, 276: 273-276, 1997; Feng et al., Science 272, 872-877 (1996); Bleul et al., Nature 382, 829-833 (1996); Oberlin et al. Nature 382, 833-835 (1996); Cocchi et al., Science 270, 1811-1815 (1995); Dragic et al., Nature 381, 667-673 (1996); Deng et al., Nature 381, 661-666 (1996); Alkhatib et al., Science 272, 1955-1958 (1996)). Во время процесса инфицирования внутри организма пациента оказывается, что большинство ВИЧ-частиц переходят из М-тропного в более патогенный Т-тропный вирусный фенотип (Blaak et al., Proc. Natl. Acad. Sci. 97, 1269-1274 (2000); Miedema et al., Immune Rev., 140:35 (1994); Simmonds et al., J.Virol. 70, 8355-8360 (1996); Tersmette et al., J.Virol., 62, 2022-2032, (1988); Connor R.I., Ho.D.D., J.Virol., 68, 4400-4408 (1994); Schuitemaker et al., J.Virol. 66, 1354-1360 (1992)). М-тропный вирусный фенотип соотносится со способностью вируса проникать в клетку после связывания с CCR5 рецептором, тогда как Т-тропный вирусный фенотип соотносится со способностью проникновения вируса в клетку после связывания и мембранного слияния с CXCR4 рецептором. На основании клинических наблюдений предполагают, что пациенты, обладающие генетическими мутациями в CCR5, оказываются устойчивыми или менее подверженными ВИЧ инфицированию (Liu et al, Cell, 86, 367-377 (1996); Samson et al., Nature 382, 722-725 (1996); Michael et al., Nature Med. 3, 338-340(1997); Michael et al., J.Virol., 72, 6040-6047 (1998); Obrien et al., Lancet 349, 1219 (1997); Zhang et al., AIDS Res.Hum.Retroviruses, 13, 1357-1366 (1997); Rana et al., J.Virol., 71, 3219-3227 (1997); Theodorou et al., Lancet 349, 1219-1220 (1997)). Несмотря на то что сообщалось о ряде хемокиновых рецепторов, опосредующих проникновение ВИЧ в клетки, CCR5 и CXCR4 оказываются единственными физиологически значимыми сорецепторами, используемыми широким рядом первичных клинических ВИЧ-1 штаммов (Zhang et al., J.Virol., 72, 9307-9312 (1998); Zhang et al., J.Virol., 73, 3443-3448 (1999); Simmonds et al., J.Virol., 72, 8453-8457 (1988)). Слияние и проникновение Т-тропных вирусов, которые используют CXCR4, ингибируется природным СЧС-хемокиновым стромальным клеточно-производным фактором-1, тогда как слияние и проникновение М-тропных вирусов, использующих CCR5, ингибируется природными СС-хемокинами, а именно регулируемым при экспрессировании и секретировании нормально активированной Т-клеткой (RANTES) и макрофагвоспалительными белками (MIP-1 альфа и бета). Недавно было высказано предположение, что, в дополнение к тому, что он служит кофактором для проникновения ВИЧ, непосредственное взаимодействие вирус-ассоциированного gp-120 с CXCR4 служит возможной причиной CD8+T-клеточного апоптоза и относящегося к СПИД слабоумия за счет индуцирования апоптоза нейронных клеток (Hesselgesser et al., Curr.Biol., 8, 595-598 (1998); Hesselgesser et al., Curr.Biol., 7, 112-121 (1997); Heddelgesser et al., “Chemokines and Chemokine receptors in the Brain” в «Chemokines in Disease», опубликованной Humana Press (1999), под редакцией C.Herbert; Herbein et al., Nature 395, 189-194 (1998); Buttini et al., Nature Med., 4, 441-446 (1998); Ohagen et al., J.Virol., 73, 897-906 (1999); Biard-Piechaczyk et al., Virology 268, 329-344 (2000); Sanders et al., J.Neuroscience Res., 59, 671-679 (2000); Bajetto et al., J.Neurochem., 73, 2348-2357 (1999); Zheng et al., J.Virol., 73, 8256-8267 (1999)). Однако связывание хемокиновых рецепторов с их природными лигандами, оказывается, играет более эволюционную и центральную роль, чем только в качестве медиаторов ВИЧ инфицирования. Связывание природного лиганда, пред-В-клеточного стимулирующего фактора роста/фактора производного стромальных клеток (PBSF/SDF-1), с CXCR4 – хемокиновым рецептором обеспечивает важный сигнальный механизм: мыши с повреждением CXCR4 или SDF-1 проявляют церебральные, сердечные аномалии и аномалии желудочно-кишечного тракта и умирают in utero (Zou et al., Nature, 393: 591-594 (1998); Tachibana et al., Nature, 393: 591-594 (1998); Nagasawa et al., Nature 382, 635-638 (1996)). CXCR4-недостаточные мыши также проявляют гематопоэтические дефекты (Nagasawa et al., Nature 382, 635-638 (1996)); миграция CXCR4-экспрессирующих лейкоцитов и гематопоэтических предшественников к SDF-1 оказалась важной для поддержания В-клеточной линии и локализации CD34+ клеток-предшественников в костном мозге (Bleul et al., J.Exp.Med., 187, 753-762 (1998); Viardot et al., Ann.Hematol., 77, 195-197 (1998); Auiti et al., J.Exp.Med. 185, 111-120 (1997); Peled et al., Science 283, 845-848 (1999); Qing et al., Immunity 10, 463-471 (1999); Lataillade et al., Blood 95, 756-768 (1999); Ishii et al., J.Immunol., 163, 3612-3620 (1999); Maekawa et al., Internal Medicine 39, 90-100 (2000); Fedyk et al., J.Leukocyte Biol., 66, 667-673 (1999); Peled et al., Blood 95, 3289-3296 (2000)). Сигнал, обеспечиваемый SDF-1 при связывании с CXCR4, также может играть важную роль в пролиферации опухолевых клеток и регуляции ангиогенеза, связанного с ростом опухоли (см., “Chemokines and Cancer”, опубликованной Humana press (1999); под редакцией B.J.Rollins; Arenburg et al., J.Leucocyte Biol., 62, 554-562 (1997); Moore et al., J.Invest. Med., 46, 113-120 (1998); Moore et al., Trends cardiovasc. Med., 8, 51-58 (1998); Seghal et al., J.Surg.Oncol., 69, 99-104 (1998)); известные ангиогенные факторы роста VEG-F и bFGF регулируют с повышением уровня CXCR4 в эндотелиальных клетках, и SDF-1 может индуцировать неоваскуляризацию in vivo (Salcedo et al., Am.J.Pathol. 154, 1125-1135 (1999)); лейкозные клетки, которые экспрессируют CXCR4, мигрируют и слипаются с лимфатическими узлами и стромальными клетками костного мозга, которые экспрессируют SDF-1 (Burger et al., Blood 94, 3658-3667 (1999); Arai et al., Eur.J.Haematol., 64, 323-332 (2000); Bradstock et al., Leukemia 14, 882-888 (2000)). Связывание SDF-1 с CXCR4 также вовлечено в патогенез атеросклероза (Abi-Yones et al., Circ. Res., 86, 131-138 (2000)), отторжение почечного аллотрансплантата (Eitner et al., Transplantation 66, 1551-1557 (1998)), астматическое и аллергическое воспаление дыхательных путей (Yssel et al., Clinical and Experimental Allergy 28, 104-109 (1998); J.Immunol., 164, 5935-5943 (2000); Gonzalo et al., J.Immunol., 165, 499-508 (2000)), болезнь Альцгеймера (Xia et al., J.Neurovirology 5, 32-41 (1999)) и артрит (Nanki et al., J.Immunl., 164, 5010-5014 (2000)). Для лучшего понимания взаимоотношения между хемокинами и их рецепторами недавно были выполнены эксперименты по блокированию слияния, проникновения и репликации ВИЧ через CXCR4 хемокиновый рецептор посредством применения моноклональных антител или малых молекул, которые, как предполагается, предлагают полезную терапевтическую стратегию (Schols et al., J.Exp. Med., 186: 1383-1388 (1997); Schols et al., Antiviral Research 35:147-156 (1997); Bridger et al., J.Med. Chem.., 42, 3971-3981 (1999); Bridger et al., “Bicyclam Derivatives as HIV Inhibitors” в Advances in Antiviral Drug Design, Volume 3, 161-229; опубликовано JAI press (1999); под редакцией E.De.Clereq). Малые молекулы, такие как бицикламы, проявляют специфическое связывание с CXCR4, а не с CCR5 (Donzella et al., Nature Medicine, 4: 72-77 (1998)). Данные эксперименты продемонстрировали вмешательство ВИЧ-проникновения и мембранного слияния в клетку-мишень in vitro. Позднее также было показано, что бицикламы ингибируют слияние и репликацию Вируса Иммунодефицита Кошачьих (ВИК), который использует CXCR4 для проникновения (Egberink et al., J.Virol., 73, 6346-6352 (1999)). Дополнительные эксперименты показали, что бициклам доза-зависимым образом ингибирует связывание 121I-меченного SDF-1 с CXCR4 и сигнальную трансдукцию (выявленную по увеличению внутриклеточного кальция) в ответ на SDF-1. Таким образом, бициклам также функционирует как антагонист сигнальной трансдукции, являющейся результатом связывания стромального производного фактора или SDF-1 В патентах США №№ 5583131, 5698546, 5817807, 5021409 и 6001826, которые включены в данное описание во всей своей полноте в качестве ссылки, описаны циклические соединения, которые проявляют активность против ВИЧ-1 и ВИЧ-2 в тестах in vitro. Впоследствии было установлено и дополнительно описано в находящихся одновременно на рассмотрении заявках на патент США номер 09/111895 и 60/172153, что такие соединения проявляют анти-ВИЧ активность за счет связывания хемокинового рецептора CXCR4, экспрессируемого на поверхности некоторых клеток иммунной системы. Такое конкурентное связывание таким образом защищает такие клетки-мишени от инфицирования ВИЧ, который использует рецептор CXCR4 для вторжения. В дополнение данные соединения антагонизируют связывающее, сигнальное и хемотактическое действие природного лиганда для СXCR4, хемокинового фактора 1 Кроме того, авторами данного изобретения в заявке на патент США номер 09/495298 было раскрыто, что такие циклические полиаминные противовирусные агенты, описанные в указанных выше патентах, обладают действием, усиливающим продуцирование белых кровяных клеток, а также проявляют противовирусные свойства. Таким образом, данные агенты можно использовать для контролирования побочного действия химиотерапии, усиления успеха трансплантации костного мозга, усиления заживления ран и лечения ожогов, а также борьбы с бактериальными инфекциями при лейкемии. Позднее авторами данного изобретения в заявке на патент США номер 09/535314 был раскрыт ряд гетероциклических соединений, которые обладают анти-ВИЧ активностью за счет связывания с хемокиновыми рецепторами СXCR4 и CCR5, экспрессируемыми на поверхности некоторых клеток иммунной системы. Такое конкурентное связывание таким образом защищает указанные клетки-мишени от инфицирования ВИЧ, который использует CXCR4 или CCR5 рецепторы для вторжения. В дополнение данные соединения антагонизируют связывающее, сигнальное и хемотактическое действие природного лиганда для СXCR4, хемокинового фактора 1 В данном изобретении описаны новые соединения, обладающие защитным действием против ВИЧ инфицирования клеток-мишеней за счет связывания с хемокиновым рецептором CXCR4 или CCR5 аналогичным образом, что и ранее описанные макроциклические соединения. Кроме того, данные соединения антагонизируют связывающее, сигнальное и хемотактическое действие природного лиганда для СXCR4, хемокинового фактора 1 Цитирование указанных выше публикаций не следует рассматривать как признание того, что любое из изложенного выше представляет собой относящийся к делу предшествующий уровень развития данной области. Все положения в отношении даты или утверждения, касающиеся содержания данных публикаций, основаны на информации, доступной заявителю, и не составляют любое допущение в отношении правильности дат или содержания данных публикаций. Кроме того, все публикации, приведенные в тексте заявки, включены в данное описание во всей своей полноте в качестве ссылки. Краткое изложение сущности изобретения Настоящее изобретение относится к новым соединениям, которые связывают хемокиновые рецепторы и мешают их связыванию с природными лигандами. Соединения настоящего изобретения могут использоваться в качестве агентов, демонстрирующих защитное действие для клеток-мишеней против ВИЧ инфицирования. Другими вариантами осуществления настоящего изобретения являются соединения, которые действуют как антагонисты или агонисты хемокиновых рецепторов, а также проявляют другие виды биологической активности, относящиеся к способности данных соединений ингибировать связывание хемокинов с их рецепторами. Соединения по изобретению имеют формулу (1), включая их фармацевтически приемлемые соли и пролекарственные формы. Соединения формулы (1) имеют формулу: где кольцо А необязательно включает гетероатом, выбранный из N, О и S; пунктирные линии представляют необязательную ненасыщенность; R1, R2 и R3 представляют заместители, не создающие препятствий; k равно 0-4; l равно 0, 1 или 2; Х является незамещенным или замещенным С или N, или представляет О или S; Ar представляет остаток ароматического или гетероароматического фрагмента; каждый n независимо равен 0-2; каждый R независимо представляет Н или алкил(1-6С); j равен 0-3; и каждый Y независимо является необязательным заместителем, не создающим препятствий, как определено в данном описании, отличающимся от CR2NR(CR2)nB, где В является ароматическим, или гетероароматическим, или другим гетероциклом. Предпочтительно каждый Y независимо представляет галоген, ОН, SH, SO, SO2 или органический фрагмент из 1-20С атомов, который не содержит N, где два таких Y могут быть связаны с образованием конденсированного кольца с Ar, или выбран из группы, состоящей из и те, где Y включает гуанидино или NHNHR, или амидино; где Z представляет необязательно замещенный ароматический или гетероароматический фрагмент, содержащий 5-12 кольцевых членов; и где R является таким, как определено выше, каждый m независимо равен 0-4, и R4 и каждый R5 независимо представляет Н, алкил (1-6С), алкенил (1-6С), алкинил (1-6С) или ацил (1-6С), каждый из которых необязательно замещен одним или более неароматическим(и), негетероциклическим(и) заместителем(ями), и где два R5 могут быть связаны с образованием циклического амина, необязательно содержащего один или более дополнительных гетероатомов, выбранных из N, O и S. Соединения изобретения специально исключают варианты осуществления, где Y представляет CR2NR(CR2)nB, где В является ароматическим, или гетероароматическим, или другим гетероциклом. Необязательные заместители определены ниже. Изобретение охватывает фармацевтические композиции, включающие терапевтически эффективное количество соединения формулы (1); способы лечения заболеваний организма человека или организмов других млекопитающих, включающие введение таких фармацевтических композиций; и способ блокирования или предотвращения связывания хемокинового рецептора с его природным лигандом, включающий контактирование указанного хемокинового рецептора с эффективным количеством соединения формулы (1). Данное изобретение также относится к применению соединения формулы (1) для получения лекарственного средства для лечения заболевания, при котором блокирование или предотвращение связывания хемокинового рецептора с его природным лигандом является благоприятным, причем данный способ может включать составление(получение) композиции, включающей терапевтически эффективное количество соединения формулы (1). В изобретении также разработан способ защиты клеток-мишеней, обладающих хемокиновыми рецепторами, связывание с которыми патогенного агента приводит к заболеванию или патологии, включающий введение млекопитающему фармацевтической композиции, включающей терапевтически эффективное количество соединения формулы (1). Соединениям по изобретению может быть придана форма пролекарства, то есть защищенных форм соединений, которые высвобождают соединение после введения пациенту. Например, соединение может обладать защитными группами, которые отщепляются при гидролизе в жидкостях организма, например в круге кровообращения, высвобождая таким образом активное соединение, или окисляются, или восстанавливаются в жидкостях организма, высвобождая соединение. Обсуждение пролекарств можно найти у “Smith and Williams’ Introduction to the Principles of Drug Design”, H.J.Smith, Wright, Second Edition, London, 1988. Кислотно-аддитивные соли, которые являются фармацевтически приемлемыми, такие как соль с неорганическим основанием, соль с органическим основанием, соль с неорганической кислотой, соль с органической кислотой, соль с основной или кислотной аминокислотой и т.д., также охватываются настоящим изобретением. Примеры соли с неорганическим основанием включают соль с щелочным металлом (например, натрием, калием и т.д.), щелочноземельным металлом (например, кальцием, магнием и т.д.), алюминием, аммонием и т.д. Примеры соли с органическим основанием включают соль с триметиламином, триэтиламином, пиридином, пиколином, этаноламином, диэтаноламином, триэтаноламином, дициклогексиламином, N,N’-дибензилэтилендиамином и т.д. Примеры соли с неорганической кислотой включают соль с хлористоводородной кислотой, бромистоводородной кислотой, азотной кислотой, серной кислотой, фосфорной кислотой и т.д. Примеры соли с органической кислотой включают соль с муравьиной кислотой, щавелевой кислотой, уксусной кислотой, винной кислотой, метансульфоновой кислотой, бензолсульфоновой кислотой, яблочной кислотой, п-толуолсульфоновой кислотой и т.д. Примеры солей с основными аминокислотами включают соль с аргинином, лизином, орнитином и т.д. Примеры солей с кислотными аминокислотами включают соль с аспартамовой кислотой, глутаминовой кислотой и т.д. Термин «нетоксичные» в настоящем контексте следует рассматривать с учетом прогноза для инфицированного пациента, не подвергающегося лечению. Способы осуществления изобретения Настоящее изобретение относится к соединениям формулы (1), которые могут действовать в качестве агентов, модулирующих активность хемокинового рецептора. Такие хемокиновые рецепторы включают, но не ограничиваются ими, CCR1, CCR2, CCR3, CCR4, CCR5, CCR6, CCR7, CCR8 и CXCR1, CXCR2, CXCR3, CXCR4 и CXCR5, предпочтительно CXR4 и/или CCR5. Соединения воздействуют на связывание природного лиганда или хемокина с рецептором клетки-мишени, таким как CXR4 и/или CCR5. Таким образом, соединения оказывают влияние на хемокиновые рецепторы, такие как CCR1, CCR2, CCR3, CCR4, CCR5, CCR6, CCR7, CCR8 и CXCR1, CXCR2, CXCR3, CXCR4 и CXCR5, где такие хемокиновые рецепторы являются важными медиаторами многих воспалительных процессов у человека, а также иммунорегулируемых заболеваний и рака, и модулируют активность таких хемокиновых рецепторов таким образом, чтобы оказаться полезными для лечения или профилактики подобных заболеваний. В частности, соединения формулы (1) оказывают защитное действие на клетки-мишени против ВИЧ инфицирования способом, включающим специфическое связывание с хемокиновым рецептором. Подразумевается, что термин «модуляторы», как он использован в настоящем описании, включает в себя антагонист, агонист, частичный антагонист и/или частичный агонист, ингибиторы и активаторы. В предпочтительном варианте осуществления настоящего изобретения соединения формулы (1) демонстрируют защитное действие против ВИЧ инфицирования путем ингибирования связывания ВИЧ с хемокиновым рецептором клетки-мишени, таким как CXR4 и/или CCR5. Изобретение включает способ, который включает контактирование клетки-мишени с количеством соединения, эффективным для ингибирования связывания с хемокиновым рецептором. Термин «терапевтически эффективное количество» означает количество представленного соединения, с помощью которого достигается биологическая или медицинская ответная реакция в клетке, ткани, органе, системе, животном или человеке, которая является искомой для исследователя, ветеринара, лечащего врача или другого клинического врача. Термин «введение» и/или «применение по назначению» представленного соединения следует понимать как означающий обеспечение соединением по изобретению, включая пролекарство соединения по изобретению, индивидуума, нуждающегося в лечении. Соединения по изобретению, которые ингибируют хемокиновые рецепторы, могут использоваться для лечения как профилактического, так и терапевтического заболеваний, связанных с гемопоэзом (кроветворением), включая, но не ограничиваясь этим, контролирование побочного действия химиотерапии, увеличение успеха при трансплантации костного мозга, улучшение заживления ран и лечения ожогов, а также для борьбы с бактериальными инфекциями при лейкемии. Соединения по изобретению, которые ингибируют активность и функцию хемокинового рецептора, могут использоваться для лечения заболеваний, связанных с воспалением, включая, но не ограничиваясь этим, воспалительные или аллергические заболевания, такие как астма, аллергический ринит, аллергические заболевания легких, аллергическая пневмония, эозинофильная пневмония, аллергия отсроченного типа, внутритканевое заболевание легких (ILD) (например, идиопатический фиброз легких или ILD, связанное с ревматоидным артритом, системной красной волчанкой, анкилозирующим спондилитом, рассеянным склерозом, синдромом Шегрена (ксеродерматоз), полимиозитом или дерматомиозитом); системную анафилаксию или аллергические реакции, аллергию к лекарственным средствам, аллергию к укусам насекомых, аутоиммунные заболевания, такие как ревматоидный артрит, псориазный артрит, системная красная волчанка, астенический бульбарный паралич, юношеский диабет, гломелуронефрит, аутоиммунный троидит, отторжение трансплантата, включая отторжение аллотрансплантата или заболевание трансплантат-против-хозяина; воспалительные заболевания кишечника, такие как болезнь Крона и язвенный колит; спондилоартропатии; склеродерму; псориаз (включая опосредованный Т-клетками псориаз) и воспалительные кожные заболевания, такие как дерматит, экзема, атопический дерматит, аллергический контактный дерматит, крапивная лихорадка, васкулит (например, некротизированный, кожный и аллергический васкулит); эозинофильный миотит, эозинофильный фасцит; и раковые заболевания. Соединения по изобретению, которые активируют или поддерживают функцию хемокинового рецептора, могут использоваться для лечения заболеваний, которые связаны с подавлением иммунитета, как, например, у индивидуумов, подвергающихся химиотерапии, лучевой терапии, для усиления заживления ран и лечения ожогов, терапии при аутоиммунных заболеваниях или при другой лекарственной терапии (кортикостероидная терапия) или при сочетании обычных лекарственных средств, используемых при лечении аутоиммунных заболеваний и отторжении трансплантата/трансплантации, которые вызывают подавление иммунитета; c подавлением иммунитета вследствие врожденного недостатка функций рецепторов или в других случаях; при инфекционных заболеваниях, таких как заболевания, вызываемые паразитами, включая, но не ограничиваясь этим, заражение организма гельминтами, такими как нематоды (круглые черви); трихоцефалез, энтеробиоз, аскаридоз, анкилостомоз, стронгилоидоз, трихинеллез, филяриотоз; трематодами, висцеральными червями, висцеральными личинками (например, Toxocara), эозинофильный гастроэнтерит (например, Anisaki spp., Phocanema ssp.), кожными личинками (Ancylostona brazilliense, Acylostoma caninum); вызывающими малярию простейшими Plasmodium vivax, цитомегаловирусом человека, вирусом герпеса herpersvirus saimiri и вирусом герпеса, вызывающим саркому Капоши, также известным как вирус герпеса человека 8, и кожным вирусом Moluscum contagiosum. Одно или более соединений формулы (1) можно использовать в сочетании с любой другой фармацевтической композицией, где такая комбинированная терапия модулирует активность хемокинового рецептора и таким образом предотвращает и лечит заболевания, связанные с гемопоэзом, воспалением, аутоиммунные заболевания, воспалительные кожные заболевания, раковые заболевания, воспалительные заболевания кишечника и нарушения иммунорегуляции. Также предполагается, что настоящее изобретение можно использовать в сочетании с одним или несколькими агентами, полезными для профилактики или лечения ВИЧ. Примеры таких агентов включают: (1) нуклеотидный ингибитор ревертазы (обратной транскриптазы), такой как зидовудин, диданозин, ламивудин, зальцитабин, абакавир, ставудин, адефовир, адефовир дипивоксил, фозивудин тодоксил и т.д.; (2) не-нуклеотидный ингибитор ревертазы (обратной транскриптазы) (включая агент, обладающий антиоксидантной активностью, такой как иммунокал, олтипраз и т.д.), такой как невирапин, делавирдин, эфавиренц, ловирид, иммунокал, олтипраз и т.д.; и (3) ингибиторы протеазы, такие как саквинавир, ритонавир, индинавир, нельфинавир, ампренавир, палинавир, лазинавир и т.д. Объем комбинаций соединений формулы (1) с ВИЧ-агентами не ограничен пунктами (1), (2) и (3), но включает, в принципе, любую комбинацию с любой фармацевтической композицией, полезной для лечения ВИЧ. Кроме того, в таких комбинациях соединения настоящего изобретения и другие ВИЧ-агенты можно вводить по отдельности или вместе. Дополнительно, введение одного элемента можно проводить перед, совместно или после введения другого агента(ов). Соединения формулы (1) можно вводить перорально, парентерально (например, внутримышечно, внутрибрюшинно, внутривенно, путем интрацистернальной инъекции или инфузии, подкожной инъекции или в виде имплантата), ингаляционным распылением, назально, вагинально, ректально, сублингвально или с помощью местных путей введения, и их можно использовать в получении лекарственного средства, по отдельности или вместе, в виде подходящих стандартных препаративных лекарственных форм, содержащих обычные нетоксичные фармацевтически приемлемые носители, адьюванты и средства распространения, подходящие для каждого пути введения. Все соединения формулы (1) являются активными и используются для лечения животных, включая, но не ограничиваясь этим, мышей, крыс, лошадей, крупный рогатый скот, овец, собак, кошек и обезьян. Соединения по изобретению также эффективны для применения у людей. Соединения формулы (1) могут образовывать гидраты или сольваты. Те соединения формулы (1), которые могут существовать в виде региоизомеров, конфигурационных изомеров, конформеров или диастреоизомерных форм, могут встречаться в виде смесей таких форм. При желании, смеси могут быть обработаны таким образом, чтобы выделить индивидуальные изомеры с использованием известных способов разделения и очистки. Например, когда соединение формулы (1) представляет собой рацемат, он может быть разделен на (S)-соединение и (R)-соединение путем оптического разделения. Индивидуальные оптические изомеры и их смеси также включены в объем настоящего изобретения. Данное изобретение также относится к фармацевтической композиции, включающей фармацевтически приемлемый носитель или разбавитель и эффективное количество соединения формулы (1). Соединение формулы (1) можно вводить само по себе или их можно вводить перорально или не-перорально в виде смеси с фармацевтически приемлемым носителем (например, твердые препаративные лекарственные формы, такие как таблетки, капсулы, гранулы, порошки и т.д.; жидкие препаративные лекарственные формы, такие как сиропы, инъекции и т.д.). Примеры не-пероральных препаративных лекарственных форм включают инъекции, капли, суппозитории, пессарии. При лечении или профилактике болезненных состояний, при которых требуется модуляция хемокинового рецептора, подходящий уровень дозировки обычно будет составлять от примерно 0,01 до 500 мг на кг массы тела пациента в сутки, которую можно вводить в виде единичной дозы или многократных доз. Предпочтительно, уровень дозировки будет составлять от примерно 0,1 до примерно 250 мг/кг в сутки. Следует понимать, что конкретный уровень дозировки и частота дозировки для каждого конкретного пациента могут изменяться и будут зависеть от множества факторов, включая активность конкретного используемого соединения, метаболическую стабильность и продолжительность действия соединения, возраст, массу тела, общее состояние здоровья, пол, режим питания, способ и время введения, скорость выделения, комбинацию лекарственных средств, серьезность конкретного заболевания и пациента, подвергающегося лечению. Настоящее изобретение дополнительно относится к новым соединениям, которые связывают хемокиновые рецепторы и мешают их связыванию с природным лигандом. Соединения настоящего изобретения могут использоваться в качестве агентов, проявляющих защитное действие для клеток-мишеней от ВИЧ-инфекции. Соединения настоящего изобретения также могут использоваться в качестве антагонистов или агонистов хемокиновых рецепторов, а также в другой биологической деятельности, относящейся к способности таких соединений ингибировать связывание хемокинов с их рецепторами. Дополнительное определение заместителей В соединениях формулы (1) R может представлять линейный или разветвленный алкил или может быть циклическим и необязательно может быть замещен 1-2 заместителями, выбранными из галогена, гидрокси и алкокси. Предпочтительно каждый R представляет Н или низший линейный алкил (1-4С), предпочтительно метил. Ar представляет остаток ароматического или гетероароматического фрагмента, который содержит отдельную или конденсированную кольцевую систему и содержит 5-6 кольцевых членов в моноциклической системе и 9-12 членов в конденсированной кольцевой системе. Остаток необязательно может быть замещенным. Примеры необязательно замещенных ароматических и гетероароматических групп включают бензол, нафталин, дигидронафталин, тетрагидронафталин, пиридин, хинолин, изохинолин, имидазол, бензимидазол, азабензимидазол, бензотриазол, фуран, бензофуран, тиазол, бензотиазол, оксазол, бензоксазол, пиррол, индол, имидазол, тетрагидрохинолин, тетрагидроизохинолин, пиразол, тиофен, изоксазол, изотиазол, триазол, тетразол, оксадиазол, тиадиазол, имидазолин и бензопиран. Настоящее изобретение также включает гетероароматические кольца, содержащие оксиды азота и серы. Особенно предпочтительными формами Ar являются фенилен, пиридилен или пиридинилен. Когда соединения формулы (1) содержат элементы, которые являются «необязательно замещенными», такие заместители предпочтительно представляют собой галоген, нитро, циано, карбоновую кислоту, необязательно замещенные алкильные, алкенильные или циклоалкильные группы, необязательно замещенную гидроксильную группу, необязательно замещенную тиольную группу, необязательно замещенную аминогруппу, необязательно замещенную ацильную группу, необязательно замещенную карбоксилатную, карбаматную, карбоксамидную или сульфонамидную группу или необязательно замещенную ароматическую или гетероциклическую группу. Примеры галогена включают фтор, хлор, бром, иод и т.д., при этом фтор и хлор являются предпочтительными. Примеры необязательно замещенного алкила включают С1-10 алкил, включая метил, этил, пропил и т.д.; примеры необязательно замещенных алкенильных групп включают С2-10 алкенил, такой как аллил, кротил, 2-пентенил, 3-гексенил и т.д.; и примеры необязательно замещенных циклоалкильных групп включают С3-10 циклоалкил, такой как циклопропил, циклобутил, циклопентил, циклогексил, циклогептил и т.д. В данных случаях С1-6 алкил, алкенил и циклоалкил являются предпочтительными. Необязательный заместитель также может представлять собой необязательно замещенный аралкил (например, фенил С1-4 алкил) или гетероалкил, например, фенилметил (бензил), фенилэтил, пиридинилметил, пиридинилэтил и т.д. Гетероциклическая группа может представлять собой 5- или 6-членное кольцо, содержащее 1-4 гетероатома. Примеры необязательно замещенной гидроксильной и тиольной групп включают такие, в которых заместитель представляет собой необязательно замещенный алкил (например, С1-10 алкил), такой как метил, этил, пропил, изопропил, бутил, изобутил, втор-бутил, трет-бутил, пентил и т.д., предпочтительно (С1-6) алкил; необязательно замещенный циклоалкил (например, С3-7 циклоалкил и т.д., такой как циклопропил, циклобутил, циклопентил, циклогексил, циклогептил и т.д.); необязательно замещенный аралкил (например, фенил С1-4 алкил, например, бензил, фенетил и т.д.). Когда имеется два смежных гидроксильных или тиольных заместителя, гетероатомы могут быть связаны алкиленовой группой, как, например, О(СН2)nO и S(СН2)nS (где n=1-5). Примеры включают метилендиокси, этилендиокси и т.д. Также охвачены оксиды простой тиоэфирной группы, такие как сульфоксиды и сульфоны. Дополнительные примеры необязательно замещенной гидроксильной группы включают необязательно замещенный С2-4 алканоил (например, ацетил, пропиноил, бутирил, изобутирил и т.д.), С1-4 алкилсульфонил (например, метансульфонил, этансульфонил и т.д.) и необязательно замещенную ароматическую и гетероциклическую карбонильную группу, включая бензоил, пиридинкарбонил и т.д. Заместители при необязательно замещенной аминогруппе могут быть связаны друг с другом с образованием циклической аминогруппы (например, 5-6-членный циклический амино и т.д., такой как тетрагидропиррол, пиперазин, пиперидин, пирролидин, морфолин, тиоморфолин, пиррол, имидазол и т.д.). Указанные циклические аминогруппы могут иметь заместитель, и примеры заместителей включают галоген (например, фтор, хлор, бром, иод и т.д.), нитро, циано, гидроксильную группу, тиольную группу, аминогруппу, карбоксильную группу, необязательно галогенированный С1-4 алкил (например, трифторметил, метил, этил и т.д.), необязательно галогенированный С1-4 алкокси (например, метокси, этокси, трифторметокси, трифторэтокси и т.д.), С2-4 алканоил (например, ацетил, пропионил и т.д.), С1-4 алкилсульфонил (например, метансульфонил, этансульфонил и т.д.), число предпочтительных заместителей составляет от 1 до 3. Аминогруппа также может быть замещена один или два раза (с образованием вторичного или третичного амина) такой группой, как необязательно замещенная алкильная группа, включая С1-10 алкил (например, метил, этил, пропил и т.д.); необязательно замещенная аленильная группа, такая как аллил, кротил, 2-пентенил, 3-гексенил и т.д., или необязательно замещенная циклоалкильная группа, такая как циклопропил, циклобутил, циклопентил, циклогексил, циклогептил и т.д. В таких случаях С1-6 алкил, алкенил и циклоалкил являются предпочтительными. Аминная группа также может быть необязательно замещена ароматической или гетероциклической группой, аралкилом (например, фенилС1-4алкилом) или гетероалкилом, например, фенилом, пиридином, фенилметилом (бензил), фенетилом, пиридинилметилом, пиридинилэтилом и т.д. Гетероциклическая группа может представлять собой 5- или 6-членное кольцо, содержащее 1-4 гетероатома. Необязательные заместители в «необязательно замещенных аминогруппах» являются такими же, как определено выше для «необязательно замещенной циклической аминогруппы». Аминогруппа может быть замещена необязательно замещенным С2-4 алканоилом, например ацетилом, пропионилом, бутирилом, изобутирилом и т.д., или С1-4 алкилсульфонилом (например, метансульфонилом, этансульфонилом и т.д.), или карбонил- или сульфонилзамещенным ароматическим или гетероциклическим кольцом, например бензолсульфонилом, бензоилом, пиридинсульфонилом, пиридинкарбонилом и т.д. Гетероциклы являются такими, как определено выше. Примеры необязательно замещенных ацильных групп включают карбонильную группу, или сульфинильную, или сульфонильную группу, связанную с водородом или с необязательно замещенным алкилом (например, с С1-10 алкилом, таким как метил, этил, пропил, изопропил, бутил, изобутил, втор-бутил, трет-бутил, пентил, изопентил, неопентил, гексил, гептил, октил, нонил, децил и т.д., предпочтительно низшим (С1-6)алкилом и т.д.); необязательно замещенным циклоалкилом (например, С3-7 циклоалкилом, таким как циклопропил, циклобутил, циклопентил, циклогексил, циклогептил и т.д.); необязательно замещенным алкенилом (например, С2-10 алкенилом, таким как аллил, кротил, 2-пентенил и т.д., предпочтительно низшим (С2-6)алкенилом и т.д.); необязательно замещенным циклоалкенилом (например, С3-7 циклоалкенилом, таким как 2-циклопентенил, 2-циклогексенил, 2-циклопентенилметил, 2-циклогексенилметил и т.д.), необязательно замещенной 5-6-членной моноциклической ароматической группой (например, фенилом, пиридилом и т.д.). Примеры необязательно замещенной карбоксилатной группы (сложноэфирные группы) включают необязательно замещенный алкил (например, С1-10 алкил, такой как метил, этил, пропил, изопропил, бутил, изобутил, втор-бутил, трет-бутил, пентил, изопентил, неопентил, гексил, гептил, октил, нонил, децил и т.д., предпочтительно низший (С1-6)алкил и т.д.); необязательно замещенный циклоалкил (например, С3-7 циклоалкил, такой как циклопропил, циклобутил, циклопентил, циклогексил, циклогептил и т.д.); необязательно замещенный алкенил (например, С2-10 алкенил, такой как аллил, кротил, 2-пентенил, 3-гексенил и т.д., предпочтительно низший (С2-6)алкенил и т.д.); необязательно замещенный циклоалкенил (например, С3-7 циклоалкенил, такой как 2-циклогексенилметил и т.д.), необязательно замещенный арил (например, фенил, нафтил и т.д.) и С1-4 арил, например бензил, фенетил и т.д. Также охвачены такие группы как метоксиметил, метоксиэтил и т.д. Примеры необязательно замещенных карбоксамидных и сульфонамидных групп являются идентичными терминам определения амина в качестве определенной выше «необязательно замещенной аминогруппы». Примерами необязательно замещенных ароматических и гетероциклических групп являются фенил, нафтил или 5- или 6-членное гетероциклическое кольцо, содержащее 1-4 гетероатома. Необязательные заместители по существу идентичны перечисленным выше. Заместители, не создающие препятствий, R1, R2 и R3 аналогичны тем, которые указаны в качестве «необязательных заместителей». Предпочтительно R1 выбирают из указанных выше необязательных заместителей, предпочтительно из галогена, замещенного или незамещенного алкила, замещенного или незамещенного гидроксила, замещенного или незамещенного амино, замещенного или незамещенного тиола и замещенного или незамещенного ацила. Предпочтительно k равен 0-2, предпочтительно 0-1 и более предпочтительно 0. Заместители R2 и R3 предпочтительно выбирают из предпочтительных вариантов осуществления R1, только что перечисленных выше, или, более предпочтительно, они могут быть объединены с образованием насыщенной или ненасыщенной кольцевой системы, предпочтительно бензольной кольцевой системы. В указанной выше формуле (1) примерами необязательно замещенной кольцевой системы, содержащей кольцо А, являются дигидрохинолин, тетрагидрохинолин, пиранопиридин, дигидропиранопиридин, тиапиранопиридин, дигидротиапиранопиридин, дигидронафтиридин, тетрагидронафтиридин. Настоящее изобретение также охватывает гетероциклы, содержащие оксиды серы. В указанной выше кольцевой системе, содержащей кольцо А, необязательный атом азота может быть замещен водородом, замещенной алкильной, алкенильной, циклоалкильной или арильной группой или может представлять собой атом азота карбоксамида, карбамата или сульфонамида. Для l предпочтительно l=1, предпочтительно, чтобы кольцо А являлось насыщенным. Наиболее предпочтительной комбинацией является тетрагидрохинолин. В указанной выше формуле (1) Х может представлять СН (пиррол), О (оксазол), S (тиазол), NH или NR (имидазол), где R представляет С1-6 алкильную группу или ацильную, сульфонильную группу. В формуле (1) два смежных R1 и/или R2 и R3 могут быть объединены с образованием необязательно замещенного конденсированного 5-7 членного кольца. Примеры конденсированных кольцевых систем включают, но не ограничиваются ими, индол, тетрагидроиндол, бензимидазол, тетрагидробензимидазол, азабензимидазол, бензоксазол, тетрагидробензоксазол, бензотиазол, тетрагидробензотиазол. Предпочтительные кольцевые системы, образованные из R2 и R3, включают такие, которые приводят к бензотиазолу и бензоимидазолу. В соединениях формулы (1) предпочтительно, чтобы один из (CR2)n связывающих фрагментов между кольцевой системой, содержащей кольцо А, и кольцом Е, являлся таким, в котором n=0, то есть связь представляет собой только ковалентную связь. Также предпочтительными вариантами воплощения (CR2)n в данном контексте являются этилен или метилен, предпочтительно метилен. В наиболее предпочтительных вариантах осуществления связывание между азотом, указанным в формуле (1), и кольцом А представляло собой связь, и связывание между указанным азотом и кольцом Е представляло собой СН2. Как показано, кольцо Е может быть соединено со связывающим фрагментом через любое положение, но предпочтительно через положение 2, 4 или 5, наиболее предпочтительно через положение 2. В соединениях формулы (1) предпочтительными значениями j являются 0-2, предпочтительно 1-2. Варианты осуществления Y могут широко изменяться, при условии, что Y не содержит азот. Таким образом, Y может представлять галоген, ОН, SH, SO, SO2 и тому подобное, или заместитель из 1-20 атомов углерода, необязательно содержащий в качестве замещения одного или более указанных атомов углерода гетероатом, такой как О или S. Предпочтительные варианты осуществления, в которых N не присутствует в Y, включают галоген, необязательно замещенный алкил, необязательно замещенный гидроксил, необязательно замещенный тиол и необязательно замещенный карбоксил и насыщенное или ненасыщенное кольцо. Такие заместители описаны выше. Когда N включен в Y, Y выбирают из указанных выше фрагментов. В таких заместителях Z представляет ароматический или гетероароматический фрагмент, содержащий 5-12 кольцевых членов. Таким образом, Y может включать отдельное или конденсированное кольцо. Примеры предпочтительных видов Z идентичны указанным в отношении ароматического остатка Ar, указанного выше, но являются одновалентными. Как показано, в некоторых вариантах осуществления R, определенный как Н или алкил (1-6С), заменен R4 или R5, которые имеют более широкое определение и могут включать варианты осуществления R, а также представлять необязательно замещенный алкенил, ацил и тому подобное, как указано выше. Предпочтительные виды R4 и R5 включают типичные R и необязательно замещенный алкенил. Также предпочтительными являются варианты осуществления, в которых два R5 соединены с образованием циклического амина, включая те, которые содержат один или более дополнительных гетероатомов, таких как N, O и/или S. Предпочтительными видами Y, когда Y содержит N, являются те, в которых R во всех случаях представляет Н или метил, предпочтительно Н, и те, в которых два R5 объединены. Особенно предпочтительными являются те, которые имеют формулу:
и те, в которых Y включает гуанидино, или NHNHR, или амидино; особенно где (CR2)m представляет СН2, СН2СН2 или СН2СН2СН2, или где m равен 0, и те, в которых R4 или R5 представляет Н или низший алкил, алкенил или водород, или те, в которых оба R5 являются одинаковыми. Особенно предпочтительными являются -CH2NH2, CH2CH2NH2, -CH2NMe2, -CH2CH2NMe2, -CONH2, -CONMe2 и тому подобное. Предпочтительные Z представляют необязательно замещенные остатки бензола, оксазола, имидазола, тиазола, бензимидазола, бензтиазола, бензоксазола, индола, тиофена, тетразина, пиримидина, пиридина и тому подобное. Новые соединения формулы (1) по настоящему изобретению могут быть включены в фармацевтические композиции, которые могут вводиться местно; подкожно, включая внутривенное введение; перорально и с помощью других стандартных путей фармацевтического введения субъектам-млекопитающим, как определено в соответствии с обычной клинической практикой. После того как изобретение было описано в общих чертах, то же самое будет более легко доступно со ссылкой на следующие примеры, которые представлены в качестве иллюстрации и не предназначены для ограничения изобретения, если точно не определено другое. Экспериментальная часть Промежуточные соединения 8-гидрокси-5,6,7,8-тетрагидрохинолин и 8-амино-5,6,7,8-тетрагидрохинолин получены в соответствии с методиками, описанными Bridger et el., в заявке на патент США USSN 09/535314, включенной в данное описание в качестве ссылки. Промежуточное соединение N’-(1Н-бензимидазол-2-илметил)-N’-(5,6,7,8-тетрагидро-8-хинолинил)-1,4-бензолдиметанамин получен, как описано Bridger et el., в заявках на патент США USSN 60/232891 и USSN 60/234510, включенных в данное описание в качестве ссылки. Промежуточное соединение 1-N-трет-бутоксикарбонил-2-хлорметилбензимидазол получен, как описано An H.; Wang T.; Mohan V.; Griffey R.H.; Cook P.D. Tetrahedron, 1998, 54, 3999-4012. Общие методики Общая методика N-алкилирования (1-трет-бутоксикарбонил-1Н-бензимидазол-2-илметил)-(5,6,7,8-тетрагидрохинолин-8-ил)амина мезилатами или алкилхлоридами К раствору (1-трет-бутоксикарбонил-1Н-бензимидазол-2-илметил)-(5,6,7,8-тетрагидрохинолин-8-ил)амина (или амина) (1-1,4 эквивалента), N,N-диизопропилэтиламина (или К2СО3) (1,5-2 эквивалента) и KI (0,05-0,16 эквивалента) в ацетонитриле (концентрация 0,1-0,2 М) добавляли мезилат или алкилхлорид (такой как 1-N-трет-бутоксикарбонил-2-хлорметилбензимидазол) (1-1,4 эквивалента) и смесь перемешивали при 50-70°С в течение 3-25 часов, контроль осуществляли аналитической тонкослойной хроматографией. Реакционную смесь охлаждали, разбавляли CH2Cl2 (10 мл/ммоль амина) и выливали либо в насыщенный водный раствор NaHCO3, либо в насыщенный раствор соли (10 мл/ммоль спирта). Фазы разделяли и водную фазу экстрагировали CH2Cl2 (3 × 10 мл/ммоль амина). Объединенные органические фазы сушили (Na2SO4 или MgSO4) и концентрировали при пониженном давлении. Неочищенное вещество очищали хроматографией, получая целевой N-алкилированный продукт. Общая методика А: Прямое восстановительное аминирование с использованием NaBH3CN К перемешиваемому раствору амина (1 эквивалент) в безводном метаноле (концентрация 0,1 М) при комнатной температуре добавляли в виде одной порции карбонильное соединение (12 эквивалента). После растворения карбонильного соединения (5 минут) добавляли в виде одной порции NaBH3CN (2-4 эквивалента) и полученный раствор перемешивали при комнатной температуре. Растворитель удаляли при пониженном давлении и к остатку добавляли CH2Cl2 (20 мл/ммоль амина) и насыщенный раствор соли или 1,0 М водный NaOH (10 мл/ммоль амина). Фазы разделяли и водную фазу экстрагировали CH2Cl2 (3 × 10 мл/ммоль амина). Объединенные органические фазы сушили (Na2SO4) и концентрировали при пониженном давлении. Неочищенное вещество очищали хроматографией. Общая методика В: Прямое восстановительное аминирование с использованием NaBH(ОАс)3 или NaBH4 К перемешиваемому раствору амина (1 эквивалент) в CH2Cl2 (концентрация 0,2 М) при комнатной температуре добавляли карбонильное соединение (1-2 эквивалента), ледяную уксусную кислоту (0-2 эквивалента) и NaBH(ОАс)3 (1,5-3 эквивалента) и полученный раствор перемешивали при комнатной температуре. Реакционную смесь выливали либо в насыщенный водный NaHCO3, либо 1,0 М водный NaOH (10 мл/ммоль амина). Фазы разделяли и водную фазу экстрагировали CH2Cl2 (3 × 10 мл/ммоль амина). Объединенные органические фазы сушили (Na2SO4) и концентрировали при пониженном давлении. Неочищенное вещество очищали хроматографией. Аналогично, к перемешиваемому раствору амина (1 эквивалент) в безводном МеОН (концентрация 0,1 М) при комнатной температуре добавляли карбонильное соединение (1 эквивалент). Полученный раствор перемешивали при комнатной температуре или кипятили с обратным холодильником в течение 4-24 часов. Добавляли NaBH4 (1-2 эквивалента) и полученную смесь перемешивали при комнатной температуре в течение 20 минут. Реакционную смесь концентрировали, растворяли в CH2Cl2, промывали последовательно насыщенным водным раствором NaHCO3 и насыщенным водным раствором NaCl. Водные слои экстрагировали CH2Cl2 (2х), объединенные органические экстракты сушили (MgSO4) и концентрировали. Общая методика С: Взаимодействие спиртов с метансульфонилхлоридом К перемешиваемому раствору спирта (1 эквивалент) и Et3N (1,5-2 эквивалента) в CH2Cl2 (или ТГФ) (концентрация 0,1М) при комнатной температуре (или 0°С) добавляли метансульфонилхлорид (1,5 эквивалента) и реакционную смесь перемешивали при комнатной температуре в течение 0,5-1 часа. Реакционную смесь выливали либо в насыщенный водный раствор NaHCO3, либо в насыщенный раствор NH4Cl (10 мл/ммоль спирта). Фазы разделяли и водную фазу экстрагировали CH2Cl2 (3 × 10 мл/ммоль амина). Объединенные органические фазы сушили (Na2SO4) и концентрировали при пониженном давлении. Неочищенное вещество очищали хроматографией или использовали без дополнительной очистки на стадии N-алкилирования. Общая методика D: Образование соли с использованием насыщенного раствора HBr(газ) в уксусной кислоте: К раствору свободного основания в ледяной уксусной кислоте (2 мл) добавляли насыщенный раствор HBr(газ) в уксусной кислоте (2 мл). Затем добавляли большой объем диэтилового эфира (25 мл) для осаждения твердого вещества, которому давали возможность осаждаться на дне колбы, и надосадочный раствор декантировали. Твердое вещество промывали декантацией эфиром (3 × 25 мл) и оставшиеся следы растворителя удаляли в вакууме. Для дополнительной очистки твердое вещество растворяли в метаноле и повторно осаждали большим объемом эфира. Промывание твердого вещества эфиром путем декантации с последующей сушкой твердого вещества в вакууме (0,1 Iopp) давало целевое соединение. Промежуточные соединения: Получение 4-гидроксиметилбензальдегида: Терефтальдикарбоксальдегид (30,02 г, 224 ммоль), метанол (200 мл), палладий на активированном угле (10%, 3,02 г) и 2-(аминометил)пиридин (2,3 мл, 22 моль, 0,01 моль эквив.) объединяли в сосуде для гидрирования и реакционную смесь встряхивали в устройстве Парра для гидрирования в течение 2,5 часов при давлении водорода 40 фн/дюйм2 (276 кПа). Смесь фильтровали через целит, осадок промывали метанолом и растворитель из элюента удаляли в вакууме. Очистка неочищенного продукта колоночной хроматографией на силикагеле (EtOAc/гексаны, 1:1) давала указанное в заголовке соединение (23,8 г, 78%) в виде белого твердого вещества. 1H ЯМР (CDCl3) Получение 6,7-дигидро-5Н-хинолин-8-она
К перемешиваемому раствору 8-гидрокси-5,6,7,8-тетрагидрохинолин (13,96 г, 93,6 ммоль) в безводном CH2Cl2 (400 мл) добавляли активированный диоксид марганца (85% чистота, 82,22 г, 804 ммоль). Полученную гетерогенную смесь перемешивали 18 часов, в этот момент черную суспензию фильтровали через слой целита и промывали CH2Cl2 (3 x 50 мл). Объединенные промывные жидкости концентрировали, получая 11,27 г (82%) указанного в заголовке соединения в виде бледно-желтого твердого вещества, которое использовали в последующих реакциях без дополнительной очистки. 1H ЯМР (CDCl3)
Получение (1-трет-бутоксикарбонил-1Н-бензимидазол-2-илметил)-(5,6,7,8-тетрагидрохинолин-8-ил)амина Используя общую методику N-алкилирования, к перемешиваемому раствору 8-амино-5,6,7,8-тетрагидрохинолина (7,34 г, 49,6 ммоль) в безводном CH3CN (250 мл) добавляли 1-N-трет-бутоксикарбонил-2-хлорметилбензимидазол (13,22 г, 49,6 ммоль), N,N-диизопропилэтиламин (15,5 мл, 89,2 ммоль) и иодид калия (0,41 г, 8,2 ммоль) и смесь перемешивали при 60°C в течение 3,5 часов. Очистка колоночной хроматографией на силикагеле (CH2Cl2/MeOH, 99:1, затем 97:3 и 96:4) давала промежуточный амин (6,38 г, 34%) в виде оранжевого липкого масла. 1H ЯМР (CDCl3)
Получение (1Н-бензимидазол-2-илметил)-(5,6,7,8-тетрагидрохинолин-8-ил)амина К перемешиваемому раствору гидрата дигидрохлорида (2-аминометил)бензимидазола (5,96 г, 27,1 ммоль) в безводном MeOH (225 мл) добавляли 6,7-дигидро-5Н-хинолин-8-он (3,99 г, 27,1 ммоль) и смесь перемешивали при комнатной температуре в течение 69 часов. К полученному раствору добавляли боргидрид натрия (2,06 г, 54,2 ммоль) двумя порциями и смесь перемешивали в течение 1,5 часов. Реакционную смесь концентрировали в вакууме и разбавляли CH2Cl2 (150 мл). Органический слой промывали насыщенным водным бикарбонатом натрия (200 мл), водный слой экстрагировали CH2Cl2 (2 × 50 мл) и объединенные органические слои сушили (Na2SO4), фильтровали и концентрировали в вакууме. Очистка колоночной хроматографией на силикагеле (CH2Cl2/MeOH, 99:1, затем 98:2 и 96:4) давала промежуточный амин (3,59 г, 50%) в виде желтой пены. 1H ЯМР (CDCl3) Пример: 1
AMD9679: Получение N’-(1Н-бензимидазол-2-илметил)-N’-(5,6,7,8-тетрагидро-8-хинолинил)-1,3-бензолдиметанамина. К перемешиваемому раствору 8-амино-5,6,7,8-тетрагидрохинолина (6,43 г, 43 ммоль) в CH2Cl2 (450 мл) при комнатной температуре добавляли 3-цианобензальдегид (5,69 г, 43 ммоль) и триацетоксиборгидрид натрия (17,0 г, 80 ммоль) и смесь перемешивали 16 часов. Реакцию гасили 1 н. NaOH (200 мл) и фазы разделяли. Органическую фазу сушили (Na2SO4) и концентрировали при пониженном давлении, получая желтое масло (11,7 г), которое очищали флэш-хроматографией на силикагеле (97:3 СН2Cl2/СН3ОН), получая N-(5,6,7,8-тетрагидро-8-хинолинил)-3-цианобензиламин (9,10 г, 81%) в виде бледно-желтого твердого вещества. Используя общую методику N-алкилирования, раствор указанного выше вещества (4,17 г, 15,8 ммоль), иодида калия (130 мг, 0,80 ммоль) и N,N-диизопропилэтиламина (5,2 мл, 30 ммоль) в СН3CN (160 мл) подвергали взаимодействию с N-(трет-бутоксикарбонил)-2-хлорметилбензимидазолом (полученным, как описано An, H.; Wang, Т.; Mohan, V.; Grifley, R.H.; Cook, P.D. Tetrahedron 1998, 54, 3999-4012) (4,22 г, 15,8 ммоль). Очистка неочищенного вещества флэш-хроматографией на силикагеле (1:1 EtOAc/гексаны) давала алкилированный продукт (6,86 г, 88%) в виде желтой пены. К раствору полученного выше вещества (6,86 г, 13,9 ммоль) в насыщенном NH3 метаноле (100 мл) в сосуде Парра добавляли никель Ренея (примерно 1 г) и смесь гидрировали при давлении водорода 50 фн/дюйм2 (345 кПа) в аппарате Парра для гидрирования в течение 17 часов. Полученную смесь фильтровали через Целит 521 и растворитель из элюента удаляли в вакууме. Очистка неочищенного вещества флэш-хроматографией на силикагеле (5% CH2Cl2/CH3OH/NH4OH, 19:1:0, затем 18:1:1) давала AMD9679 (4,36 г, 79%) в виде желтого пенообразного твердого вещества. 1H ЯМР (CDCl3) Пример: 2
AMD9720: Получение (1Н-бензимидазол-2-илметил)-(2-аминометилбензил)-(5,6,7,8-тетрагидрохинолин-8-ил)амина (гидробромидная соль). Получение [1-(трет-бутоксикарбонил)-(1Н-бензимидазол-2-илметил)]-(2-цианобензил)-(5,6,7,8-тетрагидрохинолин-8-ил)амина:
По общей методике В к раствору [1-(трет-бутоксикарбонил)-(1Н-бензимидазол-2-илметил)]-(5,6,7,8-тетрагидрохинолин-8-ил)амина (197 мг, 0,523 ммоль) и 2-цианобензальдегида (91,2 мг, 0,695 ммоль) в CH2Cl2 (5 мл) добавляли NaBH(ОАс)3 (240 мг, 1,13 ммоль) и смесь перемешивали в течение ночи. Очистка полученного масла флэш-хроматографией (15 г диоксида кремния, 50:1:1 CH2Cl2/CH3OH/NH4OH) давала целевое промежуточное соединение (167 мг, 65%). 1H ЯМР (CDCl3) К раствору полученного выше вещества (101 мг, 0,204 ммоль) в насыщенном NH3CH3OH (4 мл) в сосуде Парра добавляли никель Ренея (200 мг) и смесь гидрировали при давлении водорода 50 фн/дюйм2 (345 кПа) в аппарате Парра для гидрирования в течение 16 часов. Полученную смесь фильтровали через целит и растворитель из элюента удаляли в вакууме. Очистка неочищенного вещества флэш-хроматографией (12 г диоксида кремния, 50:1:1 CH2Cl2/CH3OH/NH4OH) давала незащищенное свободное основание (30 мг, 37 %). По общей методике D превращение указанного выше амина (30 мг) в гидробромидную соль давало AMD9720 (39 мг, 77%). 1H ЯМР (D2О) Пример: 3
AMD11090: Получение (2-аминометилбензил)-(1Н-бензимидазол-2-илметил)-(S)-5,6,7,8-тетрагидрохинолин-8-ил-амина (гидрохлоридная соль). Получение 2-(фталимидометил)бензальдегида К перемешиваемому охлажденному (0°C) раствору 2-цианобензальдегида (10,4 г, 79,0 ммоль) в безводном ТГФ (320 мл) добавляли порциями LAH (14,3 г, 377 ммоль). Суспензию перемешивали в атмосфере N2 при комнатной температуре в течение 15 часов. Реакцию медленно гасили дистиллированной водой (15 мл), затем 15% (масс/об) NaOH (15 мл), затем еще дистиллированной водой (45 мл). Смесь перемешивали в течение 20 минут, разбавляли диэтиловым эфиром (200 мл) и белый пушистый осадок удаляли фильтрованием. Фильтрат сушили (MgSO4) и концентрировали в вакууме. Полученный аминоспирт (12,6 г) использовали без дополнительной очистки в следующей реакции. Раствор полученного выше спирта (предположительно 79 ммоль) и фталевого ангидрида (12,3 г, 83 ммоль) в 20% MeOH/CHCl3 (200 мл) перемешивали при кипячении с обратным холодильником в течение 19 часов. Смесь охлаждали до комнатной температуры и очищали флэш-хроматографией (8 см внутренний диаметр, 300 г силикагеля, элюировали 1% MeOH/CH2Cl2) с последующей перекристаллизацией из горячего дихлорметана, получая целевой спирт в виде бледно-розового твердого вещества (7,11 г, 34% по двум стадиям). К перемешиваемой суспензии TPAP (465 мг, 1,3 ммоль), NMO (4,7 г, 40 ммоль) и 3Å молекулярных сит (14 г) в СН2Cl2 (220 мл) добавляли по каплям раствор полученного выше спирта (7,11 г, 27 ммоль) в CH2Cl2 (50 мл) в течение 30 минут. Черную суспензию перемешивали в атмосфере N2 в течение 40 минут после добавления, концентрировали в вакууме и очищали флэш-хроматографией (8 см внутренний диаметр, 300 г силикагеля, элюирование EtOAc), получая чистое указанное в заголовке соединение в виде белого твердого вещества (5,75 г, 82%). 1H ЯМР (CDCl3) Получение (2-аминометилбензил)-(1Н-бензимидазол-2-илметил)-(S)-5,6,7,8-тетрагидрохинолин-8-ил-амина (гидрохлоридная соль) (AMD11090) Используя общую методику В, полученный выше 2-(фталамидометил)бензальдегид (5,44 г, 20,5 ммоль) подвергали взаимодействию с S-(5,6,7,8-тетрагидрохинолин-8-ил)амином (3,34 г, 22,6 ммоль) и NaBH(OAc)3 (21,2 г, 100 ммоль) в дихлорметане (2,0 л). Флэш-хроматография (8 см внутренний диаметр, 250 г силикагеля, элюирование 5% MeOH/CH2Cl2) давала чистый амин в виде белой пены (6,83 г, 84%). К раствору полученного выше амина (6,83 г, 17 ммоль) в ацетонитриле (170 мл) добавляли диизопропилэтиламин (4,5 мл, 26 ммоль), 1-Boc-2-хлорметилбензимидазол (5,0 г, 19 ммоль) и иодид калия (145 мг, 0,86 ммоль). Смесь перемешивали в атмосфере N2 при 60°C в течение 15 часов, охлаждали до комнатной температуры и концентрировали в вакууме. Остаток распределяли между дихлорметаном (200 мл) и насыщенным раствором соли (100 мл). Отделенный органический слой сушили (MgSO4), концентрировали и очищали флэш-хроматографией (8 см внутренний диаметр, 300 г силикагеля, элюировали CH2Cl2 для удаления непрореагировавшего хлорида, затем 2% МеОН/CH2Cl2 для удаления целевого продукта), получая чистый целевой амин (7,6 г, 70%). Раствор полученного выше амина (4,44 г, 7,1 ммоль) в этаноле (35 мл) и дихлорметане (2 мл для растворимости) обрабатывали моногидратом гидразина (2,2 г, 44 ммоль) и перемешивали в течение 16 часов. Затем смесь концентрировали в вакууме и очищали флэш-хроматографией (5 см внутренний диаметр, 80 г силикагеля, элюировали 3% МеОН/СН2Cl2) для получения незащищенного амина в виде белого пенообразного твердого вещества (2,05 г, 73%). Газообразный HCl барботировали через раствор полученного выше амина (2,05 г, 5,2 ммоль) в ледяной уксусной кислоте (20 мл) в течение 10 минут при перемешивании. Твердое вещество оставляли перемешиваться при комнатной температуре в течение 5 минут, затем его медленно по каплям добавляли в диэтиловый эфир (200 мл) при интенсивном перемешивании. Полученную суспензию фильтровали с отсасыванием в вакууме через стеклянную воронку с пористым фильтром, осадок на фильтре промывали диэтиловым эфиром (5 x 50 мл) и сушили в вакуумной печи при 40°C в течение 60 часов, получая AMD 11090 в виде белого твердого вещества (2,71 г, 96%). 1H ЯМР (D2О) Энантиомерная чистота AMD11090 была оценена как 100% методом хиральной ВЭЖХ с использованием следующих условий: Прибор: Hewlett Packard 1100 HPLC (VWD4). Колонка: ChiralCel OD, 0,46 см x 25 см. Подвижные фазы: A: 95:5 гексаны/метанол с 0,1% DEA, B: гексаны; изократическое элюирование: 80% A, 20% B. Общее время прохождения: 45 мин. Объемный расход: 0,5 мл/мин. Температура: 40°C. Детектор УФ при 270 нм. Объем пробы: 10 мкл. Время удерживания S-энантиомера = 28,7 мин. Время удерживания R-энантиомера = 32,6 мин. Пример: 4
AMD11083: Получение (3-аминометил-4-{[(1Н-бензоимидазол-2-илметил)-(5,6,7,8-тетрагидрохинолин-8-ил)амино]метил}фенил)метанола. Получение метилового эфира 4-бромметил-3-цианобензойной кислоты
1,2-Дибромметан (0,016 мл, 0,19 ммоль) добавляли к суспензии цинковой пыли (288 мг, 4,41 ммоль) в ТГФ (1 мл) и смесь нагревали до 70°C в течение 10 минут. Смесь оставляли охлаждаться до комнатной температуры, добавляли TMSCl (триметилхлорсилан) (0,016 мл, 0,13 ммоль) и перемешивание продолжали при комнатной температуре в течение 30 минут. Смесь охлаждали до 0°C, раствор метил 4-(бромметил)бензоата (842 мг, 3,68 ммоль) в ТГФ (4 мл) добавляли в течение 2 часов и перемешивание продолжали при 0°C в течение 2 часов. Смесь охлаждали до -78°C, добавляли раствор тозилцианида (571 мг, 3,15 ммоль) в ТГФ (4 мл) и смесь перемешивали при комнатной температуре в течение 18 часов. Смесь концентрировали в вакууме и остаток распределяли между СН2Cl2 (20 мл) и насыщенным NaHCO3 (водн.) (20 мл). Водную фазу экстрагировали СН2Cl2 (3 × 10 мл), объединенные органические экстракты сушили (MgSO4) и концентрировали в вакууме. Очистка неочищенного вещества колоночной хроматографией на силикагеле (10% EtOAc/гексаны) давала бесцветные кристаллы (379 мг). Данное вещество было определено по данным 1H ЯМР как смесь метилового эфира 3-циано-4-метилбензойной кислоты и неидентифицированного побочного продукта и использовано на следующей стадии без дополнительной очистки. Смесь полученного выше нитрила (379 мг), NBS (400 мг, 2,25 ммоль) и AIBN (53 мг, 0,32 ммоль) в CCl4 (11 мл) кипятили с обратным холодильником в течение 4 дней, затем оставляли охлаждаться до комнатной температуры. Смесь фильтровали и фильтрат концентрировали в вакууме. Очистка неочищенного вещества колоночной хроматографией на силикагеле (5% EtOAc/гексаны) давала бесцветные кристаллы (100 мг, 12%). 1H ЯМР (CDCl3) Смесь трет-бутилового эфира 2-[(5,6,7,8-тетрагидрохинолин-8-иламино)метил]бензоимидазол-1-карбоновой кислоты (175 мг, 0,462 ммоль), метилового эфира 4-бромметил-3-цианобензойной кислоты (98 мг, 0,39 ммоль), иодида калия (4 мг, 0,02 ммоль) и N,N-диизопропилэтиламина (0,10 мл, 0,57 ммоль) в ацетонитриле (4,0 мл) нагревали при 60°C в течение 16 часов. Добавляли насыщенный NaHCO3 (водн.) (15 мл) и смесь экстрагировали CH2Cl2 (3×10 мл). Органические экстракты сушили (MgSO4) и концентрировали в вакууме. Очистка неочищенного вещества на силикагеле (500:5:1 CH2Cl2/МеОН/NH4ОН) давала желтое масло (213 мг, 100%). 1H ЯМР (CDCl3) Раствор трет-бутилового эфира 2-{[(2-циано-4-метоксикарбонилбензил)-(5,6,7,8-тетрагидрохинолин-8-ил)амино]метил}бензоимидазол-1-карбоновой кислоты (213 мг, 0,386 ммоль) в насыщенном NH3(г)/MeOH (10 мл) встряхивали при комнатной температуре с суспензией никеля Ренея (1,5 г) в атмосфере водорода (45 фн/дюйм2) в течение 17 часов. Катализатор удаляли фильтрованием и фильтрат концентрировали в вакууме, получая зеленую пену (195 мг). К раствору полученного выше неочищенного амина (195 мг) в ТГФ (4 мл) добавляли ди-трет-бутилдикарбонат (220 мг, 1,01 ммоль) и раствор перемешивали при комнатной температуре в течение 3 дней. Раствор концентрировали в вакууме и остаток фильтровали через силикагель (600:5:1 CH2Cl2/MeOH/NH4OH), получая желтую пену (130 мг). К раствору полученного выше неочищенного сложного эфира (130 мг) в ТГФ (2 мл) добавляли LiAlH4 (1,0 М/ТГФ, 0,20 мл, 0,20 ммоль) при 0°C и смесь перемешивали при 0°C в течение 15 минут. Добавляли метанол (1 мл), затем 10% HCl (водн.) (1 мл). Смесь подщелачивали с использованием насыщенного раствора NaHCO3 (водн.) (30 мл) затем экстрагировали СН2Cl2 (4 x 12 мл). Объединенные органические экстракты сушили (MgSO4) и концентрировали в вакууме, получая желтую пену (116 мг). Раствор полученного выше неочищенного спирта (116 мг) в смеси 3:1 ТФУК/CH2Cl2 (4 мл) перемешивали при комнатной температуре в течение 50 минут, затем концентрировали в вакууме. Остаток распределяли между CH2Cl2 (10 мл) и 1 н. NaOH (водн.) (15 мл) и водную фазу экстрагировали CH2Cl2 (2 × 10 мл). Объединенные органические экстракты сушили (MgSO4) и концентрировали в вакууме. Очистка неочищенного вещества колоночной хроматографией на силикагеле (200:5:1-50:5:1 CH2Cl2/МеОН/NH4OH) давала AMD11083 в виде желтой пены (25 мг, 12%). 1Н ЯМР (CDCl3) Пример: 5
AMD11120: Получение (2-аминометил-3-метоксибензил)-(1Н-бензимидазол-2-илметил)-(5,6,7,8-тетрагидрохинолин-8-ил)амина (гидробромидная соль). К раствору этил 2-метокси-6-метилбензоата (1,23 г, 6,33 ммоль) в безводном диэтиловом эфире (58 мл) добавляли LiAlH4 (0,467 г, 12,31 ммоль) и полученную смесь кипятили с обратным холодильником в течение 2 часов, а затем охлаждали до комнатной температуры. Смесь обрабатывали последовательно водой (0,45 мл), 15%-ным водным NaOH (0,45 мл) и водой (1,35 мл). Смесь фильтровали через целит и осадок промывали эфиром (200 мл). Фильтрат концентрировали при пониженном давлении и получали 0,96 г (99%) 2-метокси-6-метилбензилового спирта в виде желтого твердого вещества. 1Н ЯМР (CDCl3) К раствору 2-метокси-6-метилбензилового спирта (0,96 г, 6,32 ммоль) в СН2Cl2 (35 мл) добавляли триэтиламин (2,00 мл, 14,35 ммоль), затем метансульфонилхлорид (0,90 мл, 11,63 ммоль) и полученный раствор нагревали при 40°C в течение 45 минут, затем охлаждали до комнатной температуры. Смесь разбавляли CH2Cl2 (35 мл), промывали насыщенным раствором соли (3×15 мл), сушили (Na2SO4) и концентрировали, получая бледно-желтое твердое вещество. Твердое вещество (1,12 г) растворяли в ДМФ (35 мл), обрабатывали фталимидом калия (2,62 г, 14,15 ммоль) и нагревали при 80°C в течение ночи. Смесь охлаждали до комнатной температуры и разбавляли EtOAc (70 мл), насыщенным раствором соли (35 мл) и водой (20 мл). Фазы разделяли и органическую фазу промывали 1,0 н. NaOH (6 × 10 мл) и насыщенным раствором соли (2 × 20 мл). Органическую фазу сушили (MgSO4) и концентрировали, получая бледно-желтое твердое вещество. Твердое вещество промывали гексанами (3×10 мл) и получали 1,18 г (66%) (2-метокси-6-метилбензил)фталимида в виде белого твердого вещества. 1Н ЯМР (CDCl3) К раствору (2-метокси-6-метилбензил)фталимида (0,286 г, 1,02 ммоль) в CCl4 (25 мл) добавляли перекристаллизованный N-бромсукцинимид (0,177 г, 0,99 ммоль), затем бензоилпероксид (28 мг, 0,11 ммоль). Полученную смесь кипятили с обратным холодильником в течение 90 минут, затем охлаждали до комнатной температуры. Смесь разбавляли диэтиловым эфиром (25 мл), фильтровали через бумажный фильтр и фильтрат концентрировали. Очистка неочищенного вещества колоночной хроматографией (3:1 гексаны/EtOAc) давала 0,31 г (86 %) (6-(бромметил)-2-метоксибензил)фталимида в виде белого твердого вещества. 1Н ЯМР (CDCl3) К раствору (1-трет-бутоксикарбонил-1Н-бензимидазол-2-илметил)-(5,6,7,8-тетрагидрохинолин-8-ил)амина (0,202 г, 0,53 ммоль) в CH3CN (5 мл) добавляли N,N-диизопропилэтиламин (0,20 мл, 1,15 ммоль), затем суспензию (6-(бромметил)-2-метоксибензил)фталимида (0,30 г, 0,83 ммоль) в CH3CN (5 мл). Полученную смесь нагревали при 60°C в течение 18 часов, затем охлаждали до комнатной температуры. Смесь концентрировали и остаток распределяли между СН2Cl2 (40 мл) и насыщенным раствором соли (10 мл). Фазы разделяли и водную фазу экстрагировали CH2Cl2 (3 × 10 мл). Объединенные органические экстракты сушили (Na2SO4) и концентрировали. Очистка неочищенного вещества колоночной хроматографией на силикагеле (50:1 CH2Cl2/CH3OH) давала 0,212 г (60%) белого твердого вещества. Полученное выше твердое вещество (0,21 г) растворяли в этаноле (6 мл), обрабатывали моногидратом гидразина (0,31 мл, 6,4 ммоль) и перемешивали при комнатной температуре в течение ночи. Смесь концентрировали и к остатку добавляли CH2Cl2 (50 мл). Полученную суспензию фильтровали через целит и осадок промывали CH2Cl2 (50 мл). Фильтрат концентрировали при пониженном давлении и остаток распределяли между CH2Cl2 (40 мл) и 1,0 н. NaOH (10 мл). Фазы разделяли и водную фазу экстрагировали CH2Cl2 (3 x 10 мл). Объединенные органические экстракты сушили (Na2SO4) и концентрировали. Очистка неочищенного вещества радиальной хроматографией на силикагеле (1 мм пластина, 50:1:1 СН2Cl2/СН3ОН/NH4ОН) давала 30 мг (22%) свободного основания указанного в заголовке соединения в виде белого твердого вещества. Используя общую методику D, превращение полученного выше твердого вещества (30 мг, 0,071 ммоль) в гидробромидную соль с последующим переосаждением промежуточного твердого вещества из смеси метанол/эфир давало AMD11120 (34 мг, 67%) в виде белого твердого вещества. 1Н ЯМР (D2О) Пример: 6
AMD9903: Получение (2-аминометил-оксазол-4-илметил)-(1Н-бензимидазол-2-илметил)-(5,6,7,8-тетрагидрохинолин-8-ил)амина (гидробромидная соль) Получение трет-бутилового эфира (4-гидроксиметил-оксазол-2-илметил)карбаминовой кислоты:
Используя методику P. Wipf и др. (A.J. Phillips, Y. Uto, P. Wipf, М. J. Reno и D.R. Williams, Org. Lett. 2000, 2(8), 1165-1168), охлажденный до -20°C раствор N-(трет-бутоксикарбонил)-Gly-Ser-OMe (170 мг, 0,615 ммоль) в дихлорметане (5 мл) обрабатывали трифторидом бис(2-метоксиэтил)аминосеры (0,125 мл, 0,677 ммоль). Полученный раствор затем перемешивали при -20°C в течение 30 минут и добавляли бромтрихлорметан (0,212 мл, 2,21 ммоль), затем ДБУ (0,330 мл, 2,21 ммоль). Реакционную смесь оставляли нагреваться до 0°C и перемешивали при этой температуре в течение 5 часов, затем добавляли водный хлорид аммония (5 мл). После разделения водного и органического слоев водный слой дважды экстрагировали дихлорметаном. Объединенные органические фракции затем сушили над безводным сульфатом натрия и концентрировали. Очистка хроматографией на силикагеле (2% метанол в дихлорметане) давала метиловый эфир 2-(трет-бутоксикарбониламино-метил)-оксазол-4-карбоновой кислоты в виде масла (123 мг, 78%). 1H ЯМР (CDCl3) Сложный эфир (178 мг, 0,695 ммоль) в охлажденном до 0°C дихлорметане (8 мл) обрабатывали DIBAL-H (1М в дихлорметане, 2,08 мл, 2,08 ммоль). Смесь затем перемешивали при 0°C в течение 2 часов перед обработкой водным 5%-ным раствором тартрата натрия-калия (8 мл). Смесь энергично перемешивали в течение 30 минут (до тех пор, пока водный и органический слои не станут прозрачными) и затем слои разделяли. Водный слой экстрагировали дважды дихлорметаном. Объединенные органические фракции затем сушили над безводным сульфатом натрия и концентрировали. Очистка хроматографией на силикагеле (5% метанол в дихлорметане) давала трет-бутиловый эфир (4-гидроксиметил-оксазол-2-илметил)карбаминовой кислоты в виде масла (45 мг, 28%). 1H ЯМР (CDCl3) К перемешиваемому раствору трет-бутилового эфир (4-гидроксиметил-оксазол-2-илметил)карбаминовой кислоты (45 мг, 0,197 ммоль) в дихлорметане (5 мл) добавляли триэтиламин (0,055 мл, 0,4 ммоль), затем метансульфонилхлорид (0,023 мл, 0,3 ммоль). Полученный раствор перемешивали при комнатной температуре в течение 20 минут перед обработкой водным насыщенным раствором хлорида аммония (5 мл). Водный слой экстрагировали дважды дихлорметаном. Объединенные органические фракции затем сушили над безводным сульфатом натрия и концентрировали, получая целевой мезилат, который использовали непосредственно и сразу же в следующей реакции без дополнительной очистки. 1H ЯМР (CDCl3) Используя общую методику N-алкилирования, 2-(трет-бутоксикарбониламино-метил)-оксазол-4-ил метиловый эфир метинсульфоновой кислоты (0,197 ммоль) перемешивали при 60°C в ацетонитриле (5 мл) в течение 4 часов с диизопропилэтиламином (0,05 мл, 0,295 ммоль) и (1Н-N-трет-бутоксикарбонилбензимидазол-2-илметил)-(5,6,7,8-тетрагидрохинолин-8-ил)амином (95 мг, 0,25 ммоль). Реакционную смесь затем охлаждали и концентрировали. Остаток помещали в дихлорметан и экстрагировали водным хлоридом аммония, сушили, концентрировали и очищали хроматографией на силикагеле (20:1 дихлорметан:метанол), получая трет-бутиловый эфир 2-{[[2-трет-бутоксикарбониламино-метил)-оксазол-4-илметил]-(5,6,7,8-тетрагидро-хинолин-8-ил)амино]-метил}бензимидазол-1-илкарбоновой кислоты (23 мг, 19%). 1Н ЯМР (CDCl3) Трет-бутиловый эфир 2-{[[2-трет-бутоксикарбониламино-метил)-оксазол-4-илметил]-(5,6,7,8-тетрагидро-хинолин-8-ил)амино]-метил}бензимидазол-1-илкарбоновой кислоты (23 мг, 0,039 ммоль) помещали в уксусную кислоту (1 мл), к которой добавляли насыщенный раствор HBr в уксусной кислоте (1 мл). Смесь затем перемешивали, осаждали и выделяли по методике D, получая AMD9903 в виде белого кристаллического твердого вещества (14 мг). 1Н ЯМР (D2О) Пример: 7
AMD9986: Получение (1Н-бензимидазол-2-илметил)-(5,6,7,8-тетрагидрохинолин-8-ил)-[(1-бензил-2-аминометил)имидазол-5-илметил]амина. Получение 2,5-бис-(гидроксиметил)-N-бензимидазола
Используя методику S. Zimmerman et al. (S.C. Zimmerman, K.D. Cramer и A.A. Galan J. Org. Chem. 1989, 54, 1256-1264), N-бензилимидазол (15 г, 95 ммоль) обрабатывали формальдегидом (60 мл 37%-ного водного раствора), к которому добавляли ледяную уксусную кислоту (8 мл) и ацетат натрия (10,5 г). Полученную смесь перемешивали до гомогенности, затем переносили в толстостеннную стеклянную ампулу, которую запаивали и помещали при 140°C на масляную баню на 12 часов. Ампулу затем охлаждали, содержимое концентрировали, подщелачивали 10 н. NaOH и экстрагировали дважды смесью 10:1 изопропанол:хлороформ. Объединенные органические фракции затем сушили над безводным сульфатом натрия и концентрировали. Очистка хроматографией на силикагеле (7% метанол в дихлорметане) давала 2,5-бис(гидроксиметил)-N-бензилимидазол в виде белого кристаллического твердого вещества (4,9 г, 24%). 1H ЯМР (CDCl3) К раствору 2,5-бис-(гидроксиметил)-N-бензилимидазола (436 мг, 2,0 ммоль) в дихлорметане (10 мл) добавляли триэтиламин (0,35 мл, 2,0 ммоль) и уксусный ангидрид (0,19 мл, 2,0 ммоль). Смесь затем перемешивали в течение ночи (16 часов) при комнатной температуре. Реакционную смесь затем промывали водным раствором хлорида аммония и слои разделяли. Водный слой экстрагировали дважды дихлорметаном. Объединенные органические фракции затем сушили над безводным сульфатом натрия и концентрировали. Очистка хроматографией на силикагеле (5% метанол в дихлорметане) давала моноацетат, 2-ацетоксиметил-5-гидроксиметил-N-бензилимидазол, в виде белого порошка (300 мг, 58%). 1H ЯМР (CDCl3) К перемешиваемому раствору 2-ацетоксиметил-5-гидроксиметил-N-бензилимидазола (130 мг, 0,5 ммоль) в дихлорметане (5 мл) добавляли триэтиламин (0,104 мл, 0,75 ммоль) с последующим добавлением метансульфонилхлорида (0,046 мл, 0,6 ммоль). Полученный раствор перемешивали при комнатной температуре в течение 20 минут перед обработкой водным насыщенным раствором хлорида аммония (5 мл). Водный слой экстрагировали дважды дихлорметаном. Объединенные органические фракции затем сушили над безводным сульфатом натрия и концентрировали, получая целевой мезилат, который сразу же непосредственно использовали в следующей реакции без дополнительной очистки. 1H ЯМР (CDCl3) Используя общую методику N-алкилирования, O-метансульфонил-2-ацетоксиметил-5-гидроксиметил-N-бензилимидазол (0,5 ммоль) перемешивали при 60°C в ацетонитриле (5 мл) в течение 4 часов с диизопропилэтиламином (0,130 мл, 0,75 ммоль) и (1Н-N-трет-бутоксикарбонилбензимидазол-2-илметил)-(5,6,7,8-тетрагидрохинолин-8-ил)амином (226 мг, 0,6 ммоль). Реакционную смесь охлаждали и концентрировали. Остаток помещали в дихлорметан и экстрагировали водным хлоридом аммония, сушили, концентрировали и очищали хроматографией на силикагеле (20:1 дихлорметан:метанол), получая [N-(трет-бутоксикарбонил)бензимидазол-2-илметил]-(5,6,7,8-тетрагидрохинолин-8-ил)-[(2-ацетоксиметил-N-бензилимидазол-5-ил)метил]амин вместе с продуктом, образующимся при отщеплении ацетатной группы (смесь 138 мг). Смесь полученных выше продуктов (138 мг) обрабатывали карбонатом калия (100 мг) в метаноле (5 мл) и суспензию перемешивали в течение 8 часов при комнатной температуре. Смесь затем фильтровали и концентрировали, остаток очищали флэш-хроматографией на силикагеле с использованием смеси 20:1 дихлорметан:метанол в качестве элюента, получая [1Н-бензимидазол-2-илметил]-(5,6,7,8-тетрагидрохинолин-8-ил)-[(2-гидроксиметил-N-бензилимидазол-5-ил)метил]амин в виде бледно-желтой пены (100 мг, 43% для 2 стадий). 1Н ЯМР (CDCl3) К раствору [1Н-бензимидазол-2-илметил]-(5,6,7,8-тетрагидрохинолин-8-ил)-[(2-гидроксиметил-N-бензилимидазол-5-ил)метил]амина (81 мг, 0,17 ммоль) в дихлорметане (5 мл) добавляли триэтиламин (0,095 мл, 0,68 ммоль), после чего метансульфонилхлорид (0,040 мл, 0,5 ммоль). Полученный раствор перемешивали при комнатной температуре в течение 20 минут перед обработкой водным насыщенным раствором хлорида аммония (5 мл). Водный слой экстрагировали дважды дихлорметаном. Объединенные органические фракции затем сушили над безводным сульфатом натрия и концентрировали, получая целевой мезилат, который непосредственно сразу же использовали в следующей реакции без дополнительной очистки. К раствору мезилата (0,17 ммоль) в ДМФ (2 мл) и дихлорметане (2 мл) добавляли азид натрия (33 мг, 0,51 ммоль). Смесь затем нагревали при 50°C в течение 2 часов. После охлаждения раствор промывали 1 н. NaOH (5 мл) и несколько раз экстрагировали дихлорметаном. Объединенные органические фракции затем сушили над безводным сульфатом натрия, концентрировали и очищали флэш-хроматографией на силикагеле с использованием смеси 20:1 дихлорметан:метанол в качестве элюента, получая [1Н-бензимидазол-2-илметил]-(5,6,7,8-тетрагидрохинолин-8-ил)-[(2-азаметил-N-бензилимидазол-5-ил)метил]амин в виде белой пены (34 мг, 40% по 2 стадиям). 1H ЯМР (CDCl3) К раствору [1Н-бензимидазол-2-илметил]-(5,6,7,8-тетрагидрохинолин-8-ил)-[(2-азаметил-N-бензилимидазол-5-ил)метил]амина (34 мг, 0,068 ммоль) в метаноле (10 мл) добавляли 5% палладий на карбонате кальция (катализатор Линдлара, 30 мг). Затем суспензию помещали в атмосферу газообразного водорода при давлении 1 атм и перемешивали в течение 12 часов при комнатной температуре. Смесь затем фильтровали и фильтрат концентрировали, получая [1Н-бензимидазол-2-илметил]-(5,6,7,8-тетрагидрохинолин-8-ил)-[(2-аминометил-N-бензилимидазол-5-ил)метил]амин (23 мг, 71%) в виде белой пены. 1H ЯМР (CDCl3) [1Н-Бензимидазол-2-илметил]-(5,6,7,8-тетрагидрохинолин-8-ил)-[(2-аминометил-N-бензилимидазол-5-ил)метил]амин (23 мг, 0,048 ммоль) помещали в уксусную кислоту (1 мл), к которой добавляли насыщенный раствор HBr в уксусной кислоте (1 мл). Смесь затем перемешивали, осаждали и выделяли по методике D, получая AMD9986 в виде белого кристаллического твердого вещества (19 мг). 1H ЯМР (D2O). Пример: 8
AMD9813: Получение 6-аминометилпиридин-3-илметил-(1Н-бензимидазол-2-илметил)-(5,6,7,8-тетрагидрохинолин-8-ил)амина. Получение 3-гидроксиметил-6-цианопиридина
К раствору этил-6-цианоникотината (полученного, как в публикации T. Sakamoto, С. Kaneda, С. Nishimura и H. Yamanaka Chem. Pharm. Bull. 1985, 33, 565) (1,58 г, 8,97 ммоль) в MeOH (40 мл) добавляли NaBH4 (1,00 г, 26,4 ммоль) и реакционную смесь перемешивали при комнатной температуре в течение 8 часов. После удаления растворителя остаток помещали в 15% NaOH (5 мл) и перемешивали в течение 20 минут. Смесь затем несколько раз экстрагировали CH2Cl2 и объединенные органические фракции сушили (Na2SO4), фильтровали и концентрировали при пониженном давлении. Очистка остатка хроматографией на силикагеле (EtOAc/гексаны, 1:1) давала 3-гидроксиметил-6-цианопиридин (414 мг, 34%). 1H ЯМР (CDCl3) Используя общую методику C, к раствору 3-гидроксиметил-6-цианопиридина (30 мг, 0,222 ммоль) в CH2Cl2 (2 мл) добавляли метансульфонилхлорид (0,022 мл, 0,289 ммоль) и триэтиламин (0,046 мл, 0,333 ммоль) и смесь перемешивали в течение 60 минут при комнатной температуре. Очистка неочищенного продукта хроматографией на силикагеле (10:1 CH2Cl2/MeOH) давала целевой мезилат в виде бледно-желтого твердого вещества (22 мг, 47%). 1H ЯМР (CDCl3) Используя общую методику N-алкилирования, к раствору полученного выше мезилата (22 мг, 0,104 ммоль), иодида калия (3 мг, 0,015 ммоль) и карбоната калия (22 мг, 0,156 ммоль) в CH3CN (3 мл) добавляли (1-трет-бутоксикарбонилбензимидазол-2-илметил)-(5,6,7,8-тетрагидрохинолин-8-ил)амин (60 мг, 0,156 ммоль) и смесь нагревали при 70°C в течение 4 часов. Очистка неочищенного вещества хроматографией на силикагеле (10:1 СН2Cl2/МеОН) давала 6-цианопиридин-3-ил-(1Н-N-трет-бутоксикарбонилбензимидазол-2-илметил)-(5,6,7,8-тетрагидрохинолин-8-ил)амин (32 мг, 63%). 1H ЯМР (CDCl3) К раствору 6-цианопиридин-3-ил-(1Н-N-трет-бутоксикарбонилбензимидазол-2-илметил)-(5,6,7,8-тетрагидрохинолин-8-ил)амина (32 мг, 0,065 ммоль) в MeOH (2 мл) добавляли никель Ренея (65 мг 65%-ной суспензии в воде) и раствор насыщали безводным аммиаком. Смесь гидрировали в сосуде Парра при давлении 50 фн/дюйм2 (345 кПа) в течение 6 часов и смесь фильтровали через целит, промывая осадок MeOH. Растворитель из элюента удаляли при пониженном давлении и полученное неочищенное вещество очищали хроматографией на силикагеле (85% CH2Cl2, 12% MeOH, 3% NH4OH), получая 6-аминометилпиридин-3-ил-(1Н-бензимидазол-2-илметил)-(5,6,7,8-тетрагидрохинолин-8-ил)амин в виде белой пены (18 мг, 70%). 1H ЯМР (CDCl3) По общей методике D превращение полученного выше амина (18 мг, 0,045 ммоль) в гидробромидную соль давало AMD9813 в виде белого твердого вещества (28 мг). 1H ЯМР (D2О). Пример: 9
AMD9739: Получение [4-(2-аминоэтил)бензил]-(1H-бензоимидазол-2-илметил)-(5,6,7,8-тетрагидрохинолин-8-ил)амина (гидробромидная соль). Получение трет-бутилового эфира [2-(4-формилфенил)этил]карбаминовой кислоты
Смесь метил 4-(бромметил)бензоата (10,09 г, 44,05 ммоль), цианида натрия (6,42 г, 131 ммоль) и цетилтриметиламмонийбромида (1,59 г, 4,36 ммоль) в смеси бензол/вода (2:1, 187,5 мл) кипятили с обратным холодильником в течение 5 часов, затем экстрагировали CH2Cl2 (3 x 50 мл). Органические экстракты сушили (MgSO4), фильтровали и концентрировали при пониженном давлении. Очистка неочищенного вещества хроматографией на силикагеле (35% EtOAc/гексаны) давала метиловый эфир 4-цианометилбензойной кислоты в виде бесцветного твердого вещества (4,64 г, 60%). 1Н ЯМР (CDCl3) К раствору полученного выше нитрила (1,57 г, 8,96 ммоль) в CH3OH, насыщенном NH3 (30 мл), в сосуде Парра добавляли никель Ренея (5 г) и смесь гидрировали при давлении водорода 45 фн/дюйм2 (310 кПа) в аппарате Парра для гидрирования в течение 67 часов. Смесь продуктов фильтровали через целит и растворитель из элюента удаляли в вакууме, получая зеленую жидкость (1,30 г). Раствор зеленой жидкости (1,29 г) и ди-трет-бутилдикарбоната (1,90 г, 8,71 ммоль) в ТГФ (24 мл) перемешивали при комнатной температуре в течение 2 часов, затем концентрировали. Очистка неочищенного вещества на силикагеле (20% EtOAc/гексаны) давала метиловый эфир 4-(2-трет-бутоксикарбониламиноэтил)бензойной кислоты (1,37 г, 55%) в виде бесцветных кристаллов. 1Н ЯМР (CDCl3) К раствору полученного выше сложного эфира (606 мг, 2,17 ммоль) в ТГФ (4 мл) при 0°C добавляли диизобутилалюминийгидрид (1,0 М/ТГФ, 13 мл, 13 ммоль). Смесь перемешивали при комнатной температуре в течение 1 часа, затем добавляли воду с последующим добавлением 10%-ной водной HCl до кислой реакции среды (pH 1-2). Смесь подщелачивали 1 н. NaOH (водн.) и экстрагировали СН2Cl2. Органические экстракты сушили (MgSO4), фильтровали и концентрировали. Очистка неочищенного вещества хроматографией на силикагеле (30% EtOAc/гексаны) давала трет-бутиловый эфир [2-(4-гидроксиметилфенил)этил]карбаминовой кислоты (370 мг, 68%) в виде бесцветных кристаллов. 1Н ЯМР (CDCl3) К раствору полученного выше спирта (200 мг, 0,796 ммоль) в CH2Cl2 (8 мл) добавляли активированный MnO2 (814 мг, 7,96 ммоль) и смесь перемешивали при комнатной температуре в течение 69 часов. Реакционную смесь фильтровали через целит и осадок промывали CH2Cl2. Растворитель удаляли из фильтрата при пониженном давлении, получая целевой альдегид в виде бесцветных кристаллов (175 мг, 88%). 1H ЯМР (CDCl3) Используя общую методику B, к раствору [1-(трет-бутоксикарбонил)-(1Н-бензимидазол-2-илметил)]-(5,6,7,8-тетрагидрохинолин-8-ил)амина (102 мг, 0,27 ммоль) и трет-бутилового эфира [2-(4-формилфенил)этил]карбаминовой кислоты (81 мг, 0,32 ммоль) в ТГФ (3 мл) добавляли уксусную кислоту (0,017 мл, 0,30 ммоль) и NaBH(OAc)3 (187 мг, 0,882 ммоль) и смесь перемешивали в течение 46 часов. Очистка неочищенного желтого масла хроматографией на силикагеле (300:5:1 CH2Cl2/MeOH/NH4OH) давала бесцветную пену (153 мг). Раствор бесцветной пены в смеси 1:1 трифторуксусная кислота/CH2Cl2 (4 мл) перемешивали при комнатной температуре в течение 45 минут, затем концентрировали. Остаток распределяли между CH2Cl2 (10 мл) и насыщенным водным раствором NaHCO3 (10 мл) и водную фазу экстрагировали CH2Cl2 (3 × 10 мл). Объединенные органические фазы сушили (MgSO4) и концентрировали. Очистка неочищенного вещества колоночной хроматографией на силикагеле (100:5:1 EtOAc/MeOH/NH4OH) давала бесцветное масло (38 мг, 35%). Используя общую методику D, превращение полученного выше бесцветного масла (38 мг, 0,092 ммоль) в гидробромидную соль давало AMD9739 (50 мг, 79%) в виде бесцветного твердого вещества. 1Н ЯМР (D2О) Пример: 10
AMD9756: Получение [4-(3-аминопропил)бензил]-(1Н-бензимидазол-2-илметил)-(5,6,7,8-тетрагидрохинолин-8-ил)амина (гидробромидная соль)
Получение 3-(4-хлорметилфенил)-пропионитрила Ацетонитрил (0,30 мл, 5,7 ммоль) добавляли к раствору н-бутиллития (2,4М в гексанах, 1,96 мл, 4,7 ммоль) в безводном ТГФ (5 мл) при -78°C и перемешивали в течение 45 минут, добавляли раствор Используя общую методику алкилирования С, к перемешиваемому раствору 3-(4-хлорметилфенил)пропионитрила (63 мг, 0,35 ммоль) и (1-трет-бутоксикарбонил-1Н-бензимидазол-2-илметил)-(5,6,7,8-тетрагидрохинолин-8-ил)амина (121 мг, 0,32 ммоль) в безводном CH3CN (3 мл) добавляли KI (2,6 мг, 0,016 ммоль) и N,N-диизопропилэтиламин (0,08 мл, 0,48 ммоль) и смесь нагревали при 60°C в течение 24 часов. Продукт очищали колоночной хроматографией на силикагеле (200:1:1 CH2Cl2:MeOH:NH4OH), получая целевой продукт конденсации (128 мг, 77%) в виде желтого сиропа. 1H ЯМР (300 МГц, CDCl3) Раствор трет-бутилового эфира 2-{[[4-(2-цианоэтил)бензил]-(5,6,7,8-тетрагидрохинолин-8-ил)амино]метил}бензоимидазол-1-карбоновой кислоты (128 мг, 0,24 ммоль) в MeOH (10 мл) насыщали NH3(г). Никель Ренея (2 г, избыток) промывали MeOH (3x), переносили в колбу для гидрирования, содержащую нитрил, и смесь гидрировали при давлении 45 фн/дюйм2 (310 кПа) в течение 16 часов. Смесь продуктов разбавляли MeOH (100 мл) и фильтровали через целит и растворитель из элюента удаляли в вакууме. Продукт очищали колоночной хроматографией на силикагеле (100:1:1 CH2Cl2:MeOH:NH4OH), получая целевой амин (51 мг, 50%) в виде белой пены. 1H ЯМР (300 МГц, CDCl3) По общей методике D превращение полученной выше пены (51 мг) в гидробромидную соль давало AMD9756. 1H ЯМР (300 МГц, D2О) Пример: 11
AMD9768: Получение N-(4-{[(1Н-бензимидазол-2-илметил)-(5,6,7,8-тетрагидрохинолин-8-ил)амино]метил}бензил)гидроксиламина. Раствор 4-{[(1Н-бензимидазол-2-илметил)-(5,6,7,8-тетрагидрохинолин-8-ил)амино]метил}бензальдегида (350 мг, 0,883 ммоль) и гидрохлорида гидроксиламина (100 мг, 1,44 ммоль) в MeOH (3 мл) перемешивали при комнатной температуре в течение 45 минут, затем концентрировали в вакууме. Остаток распределяли между насыщенным раствором NaHCO3 (водн.) (15 мл) и CH2Cl2 (20 мл) и водную фазу экстрагировали CH2Cl2 (10 мл). Объединенные органические фазы сушили (MgSO4), фильтровали и концентрировали в вакууме, получая желтое твердое вещество (363 мг). К раствору полученного выше неочищенного оксима (90 мг, 0,22 ммоль) в смеси 6:1 MeOH/ТГФ (2,2 мл) добавляли NaBH4 (19 мг, 0,50 ммоль) и раствор доводили до pH 4 с использованием раствора насыщенный HCl/1,4-диоксан. Смесь перемешивали при комнатной температуре в течение 15 минут, затем дополнительно добавляли NaBH4 (19 мг, 0,50 ммоль) и раствор доводили до pH 4. Смесь перемешивали в течение 15 минут, затем подщелачивали с использованием 1 н. NaOH (водн.) и экстрагировали CH2Cl2 (3 × 15 мл). Объединенные экстракты сушили (MgSO4), фильтровали и концентрировали в вакууме. Очистка неочищенного вещества колоночной хроматографией на силикагеле (100:5:1 CH2Cl2/MeOH/NH4OH) давала AMD9768 (67 мг, 68%) в виде бесцветной пены. 1H ЯМР (CDCl3) Пример: 12
AMD11088: Получение (5-аминометил-2-{[(1Н-бензоимидазол-2-илметил)-(5,6,7,8-тетрагидрохинолин-8-ил)амино]метил}фенил)метанола. Получение метилового эфира 2-метил-5-нитробензойной кислоты
Раствор 2-метил-5-нитробензойной кислоты (1,51 г, 8,34 ммоль) и H2SO4 (каталитическое количество) в MeOH (20 мл) кипятили с обратным холодильником в течение 17 часов, затем концентрировали в вакууме. Остаток растворяли в CH2Cl2 (40 мл), промывали насыщенным раствором NaHCO3 (водн.) (30 мл), затем сушили (MgSO4) и концентрировали в вакууме, получая желтые кристаллы (1,62 г, 99%). 1H ЯМР (CDCl3) Получение метилового эфира 5-амино-2-метилбензойной кислоты
Раствор метилового эфира 2-метил-5-нитробензойной кислоты (1,96 г, 10,0 ммоль) в смеси 4:1 MeOH/EtOAc (25 мл) встряхивали при комнатной температуре с суспензией 10% Pd/C (200 мг, 0,19 ммоль) в атмосфере водорода 35 фн/дюйм2 (241 кПа) в течение 2 часов. Катализатор удаляли фильтрованием и фильтрат концентрировали в вакууме, получая оранжевое масло (1,64 г, 99%). 1H ЯМР (CDCl3) Получение метилового эфира 5-циано-2-метилбензойной кислоты
К перемешиваемой суспензии метилового эфира 5-амино-2-метилбензойной кислоты (1,00 г, 6,05 ммоль) в H2O (1,5 мл) медленно добавляли конц. HCl (1,5 мл) при комнатной температуре. Добавляли дополнительно H2O (7 мл) и смесь перемешивали при 0°C по мере добавления по каплям раствора NaNO2 (459 мг, 6,65 ммоль) в H2O (1 мл). После полного растворения амина медленно при 0°C добавляли К2СО3 (твердый) до нейтрализации раствора. Цианид меди(I) (651 мг, 7,27 ммоль) растворяли в растворе NaCN (712 мг, 14,5 ммоль) в H2O (2,2 мл) и раствор нагревали до 60°C. К интенсивно перемешиваемому раствору цианида при 60°C добавляли по каплям холодный раствор нейтрализованной соли диазония. Смесь нагревали до 110°C в течение 30 минут, затем оставляли охлаждаться до комнатной температуры. Смесь разбавляли насыщенным раствором NaHCO3 (водн.) (10 мл) и экстрагировали СН2Cl2 (4×12 мл). Объединенные органические экстракты сушили (MgSO4) и концентрировали в вакууме. Неочищенное вещество фильтровали через силикагель (10% EtOAc/гексаны), получая желтые кристаллы (896 мг, 85%). 1H ЯМР (CDCl3) Получение метилового эфира 2-бромметил-5-цианобензойной кислоты
Смесь метилового эфира 5-циано-2-метилбензойной кислоты (894 мг, 5,10 ммоль), NBS (1,00 г, 5,62 ммоль) и AIBN (125 мг, 0,761 ммоль) в CCl4 (20 мл) кипятили с обратным холодильником в течение 3 дней, затем оставляли охлаждаться до комнатной температуры. Смесь фильтровали и фильтрат концентрировали в вакууме. Очистка неочищенного вещества колоночной хроматографией на силикагеле (5% EtOAc/гексаны) давала желтые кристаллы (800 мг, 62%). 1H ЯМР (CDCl3) Смесь трет-бутилового эфира 2-[(5,6,7,8-тетрагидрохинолин-8-иламино)метил]бензоимидазол-1-карбоновой кислоты (253 мг, 0,668 ммоль), метилового эфира 2-бромметил-5-цианобензойной кислоты (170 мг, 0,669 ммоль), иодида калия (6 мг, 0,04 ммоль) и N,N-диизопропилэтиламина (0,17 мл, 0,98 ммоль) в ацетонитриле (6,7 мл) нагревали при 60°C в течение 18 часов. Добавляли насыщенный раствор NaHCO3 (водн.) (15 мл) и смесь экстрагировали СН2Cl2 (3 × 15 мл). Органические экстракты сушили (MgSO4) и концентрировали в вакууме. Очистка неочищенного вещества на силикагеле (500:5:1 CH2Cl2/MeOH/NH4OH) давала желтую пену (360 мг, 98%). 1H ЯМР (CDCl3) Раствор трет-бутилового эфира 2-{[(4-циано-2-метоксикарбонилбензил)-(5,6,7,8-тетрагидрохинолин-8-ил)амино]метил}бензоимидазол-1-карбоновой кислоты (356 мг, 0,645 ммоль) в насыщенном NH3(г)/MeOH (20 мл) встряхивали при комнатной температуре с суспензией никеля Ренея (1,5 г) в атмосфере водорода при давлении 45 фн/дюйм2 (310 кПа) в течение 20 часов. Катализатор удаляли фильтрованием и фильтрат концентрировали в вакууме. Неочищенное вещество фильтровали через силикагель (100:5:1 CH2Cl2/MeOH/NH4OH), получая желтое масло (203 мг, 69%). 1H ЯМР (CDCl3) К раствору метилового эфира 5-аминометил-2-{[(1Н-бензоимидазол-2-илметил)-(5,6,7,8-тетрагидрохинолин-8-ил)амино]метил}бензойной кислоты (192 мг, 0,421 ммоль) в ТГФ (4,2 мл) добавляли LiAlH4 (1,0 М/ТГФ, 0,42 мл, 0,42 ммоль) при 0°C и смесь перемешивали при 0°C в течение 15 минут. К смеси добавляли H2O (0,016 мл), затем 15% NaOH (водн.) (0,016 мл) и H2О (0,048 мл). Смесь оставляли нагреваться до комнатной температуры, затем фильтровали и концентрировали в вакууме. Очистка неочищенного вещества колоночной хроматографией на силикагеле (100:5:1 CH2Cl2/MeOH/NH4OH) давала AMD11088 в виде бесцветной пены (29 мг, 15%). 1H ЯМР (CDCl3) Пример: 13
AMD11071: Получение 2-аминометил-5-{[(1Н-бензимидазол-2-илметил)-(5,6,7,8-тетрагидрохинолин-8-ил)амино]метил}фенола (гидробромидная соль). 2-Гидрокси-4-метилбензонитрил получали с помощью следующей модификации методики, описанной Makoto Adachi и Tsutomu Sugasawa (Synthetic Communications 1990, 20, 71-84). К охлажденному (0°C) раствору BCl3 (1,0М в гептане, 12,0 мл, 12,0 ммоль) в 1,2-дихлорэтане добавляли неразбавленный м-крезол (1,00 мл, 9,56 ммоль), затем CH3SCN (0,83 мл, 12,1 ммоль) и AlCl3 (1,38 г, 10,4 ммоль). Охлаждающую баню удаляли и полученную смесь нагревали при 80°C в течение 3 часов, затем охлаждали до комнатной температуры. Смесь выливали в 4 н. NaOH (35 мл) и нагревали при 80°C в течение 45 минут, затем охлаждали до комнатной температуры. Фазы разделяли и водную фазу экстрагировали CH2Cl2 (3 x 50 мл). Водную фазу подкисляли 6 н. HCl (30 мл) и экстрагировали диэтиловым эфиром (3 x 50 мл). Объединенные эфирные экстракты сушили (MgSO4) и концентрировали. Очистка неочищенного вещества колоночной хроматографией на силикагеле (20:1 CH2Cl2:EtOAc) давала 1,16 г (91%) 2-гидрокси-4-метилбензонитрила в виде белого твердого вещества. 1H ЯМР (CDCl3) К раствору 2-гидрокси-4-метилбензонитрила (0,563 г, 4,23 ммоль) в CH2Cl2 (21 мл) добавляли уксусный ангидрид (0,60 мл, 6,36 ммоль), затем триэтиламин (1,20 мл, 8,61 ммоль) и полученный раствор перемешивали при комнатной температуре в течение 30 минут. Смесь разбавляли CH2Cl2 (60 мл), промывали насыщенным водным раствором NaHCO3 (20 мл) и насыщенным раствором соли (2 × 20 мл). Органическую фазу сушили (Na2SO4), концентрировали и получали 0,72 г (97%) (2-циано-5-метилфенил)ацетата в виде белого твердого вещества. 1H ЯМР (CDCl3) К раствору (2-циано-5-метилфенил)ацетата (0,72 г, 4,11 ммоль) в CCl4 (10 мл) добавляли перекристаллизованный N-бромсукцинимид (0,767 г, 4,31 ммоль), затем бензоилпероксид (56 мг, 0,23 ммоль). Полученную смесь кипятили с обратным холодильником в течение 2,5 часов, затем охлаждали до комнатной температуры. Смесь разбавляли диэтиловым эфиром (50 мл), фильтровали через бумажный фильтр и фильтрат концентрировали. Очистка неочищенного вещества колоночной хроматографией (6:1 гексаны:EtOAc) давала 0,31 г (30%) (5-бромметил-2-цианофенил)ацетат в виде бесцветного масла. 1H ЯМР (CDCl3) К раствору (1-трет-бутоксикарбонил-1Н-бензимидазол-2-илметил)-(5,6,7,8-тетрагидрохинолин-8-ил)амина (0,375 г, 0,99 ммоль) в CH3CN (5 мл) добавляли N,N-диизопропилэтиламин (0,35 мл, 2,00 ммоль), затем раствор (5-бромметил-2-цианофенил)ацетата (0,318 г, 1,25 ммоль) в СН3CN (5 мл). Полученную смесь нагревали при 60°C в течение 15 часов, затем охлаждали до комнатной температуры. Смесь концентрировали и остаток распределяли между СН2Cl2 (40 мл) и насыщенным раствором соли (10 мл). Фазы отделяли и водную фазу экстрагировали СН2Cl2 (3×10 мл). Объединенные органические экстракты сушили (Na2SO4) и концентрировали. Очистка неочищенного вещества колоночной хроматографией на силикагеле (20:1 CH2Cl2/СН3ОН), затем радиальной хроматографией на силикагеле (2 мм пластина, 2:1 гексаны/EtOAc) давала 0,28 г (51%) желтовато-коричневой пены. Полученную выше пену (0,28 г, 0,51 ммоль) растворяли в насыщенном NH3 метаноле (10 мл), обрабатывали никелем Ренея (140 мг) и помещали во встряхивающий аппарат Парра при давлении H2 50 фн/дюйм2 (345 кПа) на 17 часов. Смесь фильтровали через целит и осадок промывали метанолом. Элюент концентрировали при пониженном давлении. Очистка неочищенного вещества колоночной хроматографией на силикагеле (20:1:1 СН2Cl2/CH3OH/NH4OH) с последующей радиальной хроматографией на силикагеле (1 мм пластина, 100:1:1 СН2Cl2/CH3OH/NH4OH) давала 76 мг (33%) свободного основания указанного в заголовке соединения в виде желтой пены. Используя общую методику D, превращение полученной выше пены (72 мг, 0,16 ммоль) в гидробромидную соль с последующим переосаждением промежуточного твердого вещества из смеси метанол/простой эфир давало AMD11071 (73 мг, 65%) в виде белого твердого вещества. 1H ЯМР (D2О) Пример: 14
AMD11077: Получение (4-аминометил-3-метоксибензил)-(1H-бензимидазол-2-илметил)-(5,6,7,8-тетрагидрохинолин-8-ил)амина (гидробромидная соль). К раствору 2-гидрокси-4-метилбензонитрила (0,46 г, 3,46 ммоль) в ТГФ (17 мл) добавляли моногидрат гидроксида лития (0,292 г, 6,95 ммоль), затем диметилсульфат (0,50 мл, 5,28 ммоль). Полученную смесь кипятили с обратным холодильником в течение 2 часов, затем охлаждали до комнатной температуры. Смесь разбавляли диэтиловым эфиром (50 мл), промывали насыщенным водным раствором NaHCO3 (3 × 15 мл), сушили (MgSO4) и концентрировали. Очистка неочищенного вещества колоночной хроматографией на силикагеле (4:1 гексаны/EtOAc) давала 0,456 г (90%) 2-метокси-4-метилбензонитрила в виде белого твердого вещества. 1H ЯМР (CDCl3) К раствору 2-метокси-4-метилбензонитрила (0,438 г, 2,98 ммоль) в CCl4 (6 мл) добавляли перекристаллизованный N-бромсукцинимид (0,544 г, 3,05 ммоль), затем бензоилпероксид (47 мг, 0,19 ммоль). Полученную смесь кипятили с обратным холодильником в течение 45 минут, затем охлаждали до комнатной температуры. Смесь разбавляли диэтиловым эфиром (30 мл), фильтровали через бумажный фильтр и фильтрат концентрировали. Очистка неочищенного вещества колоночной хроматографией (6:1 гексаны:EtAc) давала 0,46 г (68%) 4-(бромметил)-2-метоксибензонитрила в виде белого твердого вещества. 1H ЯМР (CDCl3) К раствору (1-трет-бутоксикарбонил-1Н-бензимидазол-2-илметил)-(5,6,7,8-тетрагидрохинолин-8-ил)амина (0,386 г, 1,02 ммоль) в CH3CN (10 мл) добавляли N,N-диизопропилэтиламин (0,35 мл, 2,00 ммоль), затем 4-(бромметил)-2-метоксибензонитрил (0,363 г, 1,60 ммоль). Полученную смесь нагревали при 60°C в течение 15 часов, затем охлаждали до комнатной температуры. Смесь концентрировали и остаток распределяли между CH2Cl2 (40 мл) и насыщенным раствором соли (10 мл). Фазы разделяли и водную фазу экстрагировали СН2Cl2 (3 × 10 мл). Объединенные органические экстракты сушили (Na2SO4) и концентрировали. Очистка неочищенного вещества колоночной хроматографией на силикагеле (20:1 CH2Cl2/СН3ОН) с последующей радиальной хроматографией на силикагеле (2 мм пластина, 2:1 гексаны/EtAc) давала 0,30 г (56%) белой пены. Полученную выше пену (0,29 г, 0,55 ммоль) растворяли в насыщенном NH3 метаноле (15 мл), обрабатывали никелем Ренея (300 мг) и помещали в атмосферу при давлении Н2 50 фн/дюйм2 (345 кПа) во встряхивающий аппарат Парра на 7 часов. Смесь фильтровали через целит и осадок промывали метанолом. Элюент концентрировали при пониженном давлении. Очистка неочищенного вещества колоночной хроматографией на силикагеле (10:1:1 CH2Cl2/CH3OH/NH4OH) давала 0,197 г (83%) свободного основания указанного в заголовке соединения в виде белого твердого вещества. Используя общую методику D, превращение полученного выше твердого вещества (183 мг, 0,43 ммоль) в гидробромидную соль с последующим переосаждением промежуточного твердого вещества из смеси метанол/простой эфир давало AMD11077 (268 мг, 88%) в виде белого твердого вещества. 1H ЯМР (D2О) Пример: 15
AMD9923: Получение (1Н-бензоимидазол-2-илметил)-(2,4-бисаминометилбензил)-(5,6,7,8-тетрагидрохинолин-8-ил)амина (гидробромидная соль)
Получение 4-бромметилизофталонитрила К перемешиваемому раствору 4-метилизофталонитрила (полученного, как описано Klement, I.; Lennick, K.; Tucker, C.E.; Knochel, P. Tetrahedron Lett. 1993, 34, 4623-4626) (500 мг, 3,52 ммоль) в CCl4 (4 мл) добавляли твердый N-бромсукцинимид (1,25 г, 7,0 ммоль), затем бензоилпероксид (8 мг, 0,04 ммоль). Полученную смесь кипятили с обратным холодильником в течение 8 часов, после чего охлаждали до комнатной температуры и концентрировали в вакууме. Неочищенное вещество очищали флэш-хроматографией (силикагель, 4:1 гексаны/EtOAc), получая 457 мг смеси 4-метилизофталонитрила и 4-бромметилизофталонитрила в молярном соотношении 3:1 соответственно. 4-Бромметилизофталонитрил имел 1Н ЯМР (CDCl3)
Получение трет-бутилового эфира 2-{[(2,4-дицианобензил)-(5,6,7,8-тетрагидрохинолин-8-ил)амино]метил}бензоимидазол-1-карбоновой кислоты По общей методике N-алкилирования смесь 3:1 4-метилизофталонитрила и 4-бромметилизофталонитрила, полученную на предшествующей стадии (457 мг), и (1Н-N-трет-бутоксикарбонилбензимидазол-2-илметил)-(5,6,7,8-тетрагидрохинолин-8-ил)амин (257 мг, 0,68 ммоль) преобразовывали в соответствующий продукт алкилирования с использованием следующих количеств реагентов и растворителей: диизопропилэтиламин (237 мкл, 1,36 ммоль), CH3CN (5 мл). Время реакции в данном случае составляло 3 дня при температуре реакции 40°C. Полученное неочищенное вещество очищали флэш-хроматографией (силикагель, 20:1:1 CH2Cl2/MeOH/NH4OH), получая 326 мг (93%) трет-бутилового эфира 2-{[(2,4-дицианобензил)-(5,6,7,8-тетрагидрохинолин-8-ил)амино]метил}бензоимидазол-1-карбоновой кислоты. 1H ЯМР (CDCl3) Получение трет-бутилового эфира 2-{[[2,4-бис-(трет-бутоксикарбониламинометил)бензил]-(5,6,7,8-тетрагидрохинолин-8-ил)амино]метил}бензоимидазол-1-карбоновой кислоты В колбу для гидрирования загружали 50%-ную суспензию никеля Ренея в воде (300 мг), которую затем промывали метанолом (3 × 10 мл). Затем добавляли раствор трет-бутилового эфира 2-{[(2,4-дицианобензил)-(5,6,7,8-тетрагидрохинолин-8-ил)амино]метил}бензоимидазол-1-карбоновой кислоты (326 мг, 0,63 ммоль) в MeOH (10 мл) и газообразный NH3 барботировали через раствор в течение 5 минут. Полученную гетерогенную смесь гидрировали при 50 фн/дюйм2 (345 кПа) во встряхивающем аппарате Парра в течение 18 часов, в этот момент неочищенную смесь фильтровали через целит, промывали MeOH (3 × 20 мл) и концентрировали в вакууме. Флэш-хроматография (силикагель, 20:2:1 CH2Cl2/MeOH/NH4OH, затем 10:1 MeOH/N4HOH) полученного вещества давала 124 мг (46%) свободного основания AMD9923 в виде белого твердого вещества; однако анализ сжиганием выявил, что данное вещество было загрязнено силикагелем, и это загрязнение не удалось удалить повторным фильтрованием и хроматографией (целит, флорисил, силикагель, основной оксид алюминия). Таким образом, данное соединение (60 мг, 0,14 ммоль) помещали в смесь ТГФ (5 мл), MeOH (1 мл) и воды (3 капли), затем добавляли ди-трет-бутилдикарбонат (92 мг, 0,42 ммоль). Полученный раствор перемешивали 2 часа, в этот момент добавляли насыщенный водный раствор бикарбоната натрия (5 мл) и полученную смесь экстрагировали СН2Cl2 (3 × 10 мл), затем объединенные органические экстракты сушили (MgSO4) и концентрировали в вакууме. Очистка полученного таким образом неочищенного вещества радиальной хроматографией (силикагель, 1 мм пластина, 50:1:1 CH2Cl2/MeOH/NH4OH) давала 71 мг (69%) трет-бутилового эфира 2-{[[2,4-бис-(трет-бутоксикарбониламинометил)бензил]-(5,6,7,8-тетрагидрохинолин-8-ил)амино]метил}бензимидазол-1-карбоновой кислоты в виде бесцветного масла. 1H ЯМР (CDCl3) По общей методике D для сопутствующего снятия Вос-защитной группы и образования HBr соли, обработка масла с предшествующей стадии (71 мг, 0,10 ммоль) насыщенной HBr уксусной кислотой (1 мл) давала 48 мг (60%) HBr соли AMD9923 в виде белого твердого вещества. 1H ЯМР (CD3OD) Пример: 16
AMD11038: Получение метилового эфира 5-аминометил-2-{[(1Н-бензоимидазол-2-илметил)-(5,6,7,8-тетрагидрохинолин-8-ил)амино]метил}бензойной кислоты (гидробромидная соль). Раствор трет-бутилового эфира 2-{[(4-циано-2-метоксикарбонилбензил)-(5,6,7,8-тетрагидрохинолин-8-ил)амино]метил}бензоимидазол-1-карбоновой кислоты (710 мг, 1,29 ммоль) в насыщенном NH3(г)/MeOH (25 мл) встряхивали при комнатной температуре с суспензией никеля Ренея (1,2 г) при давлении водорода 50 фн/дюйм2 (345 кПа) в течение 17 часов. Катализатор удаляли фильтрованием через целит и фильтрат концентрировали в вакууме. Неочищенное вещество фильтровали через силикагель (20:1:1 CH2Cl2/МеОН/NH4ОН), получая белую пену (416 мг, 71%). Используя общую методику D, преобразование полученной выше белой пены (46 мг, 0,10 ммоль) в гидробромидную соль с последующим переосаждением промежуточного твердого вещества из смеси метанол/простой эфир давало AMD11138 (51 мг, 69%) в виде бесцветного твердого вещества. 1H ЯМР (D2О) Пример: 17
AMD11163: Получение гидробромидной соли 3-аминометил-4-{[(1Н-бензимидазол-2-илметил)-(5,6,7,8-тетрагидрохинолин-8-ил)амино]метил}бензойной кислоты. К перемешиваемому раствору LiOH (41 мг, 1,7 ммоль) в деионизированной воде (2 мл) добавляли раствор AMD11140 (77 мг, 0,17 ммоль) в ТГФ (2 мл). Смесь нагревали до 50°C, перемешивали в течение 15 часов и концентрировали для удаления ТГФ. Медленно добавляли 1 н. HCl (1,7 мл) и водный раствор экстрагировали CHCl3 (3 × 10 мл). Объединенные органические экстракты сушили над MgSO4 и концентрировали в вакууме. Бледно-желтое твердое вещество (75 мг) очищали колоночной флэш-хроматографией (1,5 см внутренний диаметр, 7 г силикагеля, элюировали 10% NH4OH/10% MeOH/CHCl3), получая целевую аминокислоту в виде белого твердого вещества (32 мг). Насыщенный раствор HBr в уксусной кислоте (0,5 мл) добавляли по каплям к перемешиваемому раствору полученной выше аминокислоты (30 мг, 0,068 ммоль) в уксусной кислоте (0,5 мл) и перемешивание продолжали в течение 1 часа. Быстро добавляли диэтиловый эфир (25 мл) и полученный белый осадок оставляли осаждаться. Эфир декантировали, белое твердое вещество промывали несколько раз диэтиловым эфиром (5 × 25 мл) и остаточный эфир удаляли в вакууме. Остаток сушили в вакуумной печи при 50°C в течение 85 часов, получая AMD11163 в виде белого твердого вещества (35 мг, 28% по 2 стадиям). 1H ЯМР (D2О) Пример: 18 AMD11177: Получение гидробромидной соли 3-аминометил-4-{[(1Н-бензимидазол-2-илметил)-(5,6,7,8-тетрагидрохинолин-8-ил)амино]метил}-N-гидроксибензамида. К перемешиваемому раствору металлического натрия (42 мг, 1,8 ммоль) в безводном метаноле (6 мл) медленно добавляли раствор AMD11140 (159 мг, 0,36 ммоль) и гидрохлорид гидроксиламина (75 мг, 1,1 ммоль) в безводном метаноле (6 мл). Смесь кипятили с обратным холодильником с перемешиванием в атмосфере азота. Через 16 часов концентрировали и полученный остаток распределяли между CHCl3 (15 мл) и деионизированной Н2O (10 мл). Водный слой экстрагировали CHCl3 (10 мл) и объединенные органические экстракты сушили над MgSO4 и концентрировали в вакууме. Бледно-желтое твердое вещество (185 мг) очищали колоночной флэш-хроматографией (3 см внутренний диаметр, 15 г силикагеля, элюировали 10% NH4OH/10% MeOH/CHCl3), затем радиальной хроматографией (1 мм пластина, элюировали 50:1:1 CH2Cl2/MeOH/NH4OH), получая целевой гидроксиамид в виде белого твердого вещества (63 мг). Насыщенный раствор HBr в уксусной кислоте (3 мл) добавляли по каплям к перемешиваемому раствору полученного выше гидроксиамида (63 мг, 0,11 ммоль) в уксусной кислоте (3 мл) и перемешивание продолжали в течение 10 минут, быстро добавляли диэтиловый эфир (50 мл) и полученный белый осадок оставляли осаждаться. Эфир декантировали, белое твердое вещество промывали несколько раз диэтиловым эфиром (5 × 50 мл) и остаточный простой эфир удаляли в вакууме. Остаток сушили в вакуумной печи при 50°C в течение 42 часов, получая AMD11177 в виде белого твердого вещества (80 мг, 28% по 2 стадиям). 1H ЯМР (D2О) Пример: 19 AMD11180: Получение гидробромидной соли 3-аминометил-4-{[(1Н-бензимидазол-2-илметил)-(5,6,7,8-тетрагидрохинолин-8-ил)амино]метил}бензамида. Получение 3-циано-4-{[(1Н-бензимидазол-2-илметил)-(5,6,7,8-тетрагидрохинолин-8-ил)амино]метил}бензамида К перемешиваемому раствору LiOH (120 мг, 5,0 ммоль) в деионизированной воде (5 мл) добавляли раствор трет-бутилового эфира 2-{[(2-циано-4-метоксикарбонилбензил)-(5,6,7,8-тетрагидрохинолин-8-ил)амино]метил}бензимидазол-1-карбоновой кислоты (273 мг, 0,49 ммоль) в ТГФ (5 мл). Смесь нагревали при 50°C и перемешивали в течение 17 часов. Раствор охлаждали до комнатной температуры, концентрировали для удаления ТГФ и нейтрализовали 1 н. HCl. Водный раствор экстрагировали CHCl3 (3 × 25 мл) и объединенные органические экстракты сушили над MgSO4 и концентрировали в вакууме, получая целевую кислоту в виде желтого твердого вещества (224 мг). Перемешиваемый раствор полученной выше кислоты (220 мг, 0,41 ммоль) в СН2Cl2 (1,6 мл) обрабатывали оксалилхлоридом (0,41 мл, 0,82 ммоль) и кипятили с обратным холодильником в течение 1 часа. Красный раствор охлаждали до комнатной температуры, затем газообразный аммиак барботировали через перемешиваемый раствор в течение 10 минут. Неочищенную смесь выливали в насыщенный раствор NaHCO3, раствор экстрагировали CHCl3 (5 × 10 мл), объединенные органические экстракты сушили над MgSO4 и концентрировали в вакууме. Оранжевую пену (200 мг) очищали колоночной флэш-хроматографией (2 см внутренний диаметр, 10 г диоксида кремния, элюировали 5% NH4OH/5% MeOH/CH2Cl2), получая указанное в заголовке соединение в виде оранжевой пены (106 мг, 50% по 2 стадиям). 1H ЯМР (CDCl3) Получение гидробромидной соли 3-аминометил-4-{[(1Н-бензимидазол-2-илметил)-(5,6,7,8-тетрагидрохинолин-8-ил)амино]метил}бензамида (AMD11180) Раствор 3-циано-4-{[(1Н-бензимидазол-2-илметил)-(5,6,7,8-тетрагидрохинолин-8-ил)амино]метил}бензамида (105 мг, 0,24 ммоль) в MeOH (10 мл) обрабатывали никелем Ренея (50 мг, кат.) и помещали в атмосфере H2 50 фн/дюйм2 (345 кПа) во встряхивающее устройство на 3,5 часа. Суспензию фильтровали через диатомовую землю, концентрировали в вакууме и очищали колоночной флэш-хроматографией (3 см внутренний диаметр, 20 г диоксида кремния, элюирование 5% NH4OH/5% MeOH/CH2Cl2), получая целевой амид (35 мг). Насыщенный раствор HBr в уксусной кислоте (2 мл) добавляли по каплям к перемешиваемому раствору полученного выше амида (35 мг, 0,079 ммоль) в уксусной кислоте (2 мл) и перемешивание продолжали в течение 10 минут. Быстро добавляли диэтиловый эфир (50 мл) и полученный белый осадок оставляли осаждаться. Эфир декантировали, твердое белое вещество промывали несколько раз диэтиловым эфиром (5 × 50 мл) и остатки эфира удаляли в вакууме. Остаток сушили в вакуумной печи при 50°C в течение 17 часов, получая AMD11180 в виде белого твердого вещества (49 мг, 25% по 2 стадиям). 1H ЯМР (D2О) Пример: 20
AMD11190: Гидразид 3-аминометил-4-{[(1Н-бензимидазол-2-илметил)-(5,6,7,8-тетрагидрохинолин-8-ил)амино]метил}бензойной кислоты (гидробромидная соль). Получение трет-бутилового эфира (2-{[(1Н-бензимидазол-2-илметил)-(5,6,7,8-тетрагидрохинолин-8-ил)амино]метил}-5-гидразинокарбонилбензил)карбаминовой кислоты К раствору метилового эфира 4-{[(1Н-бензимидазол-2-илметил)-(5,6,7,8-тетрагидрохинолин-8-ил)амино]метил}-3-(трет-бутоксикарбониламинометил)бензойной кислоты (100 мг, 0,18 ммоль) в этаноле (2 мл) добавляли гидразингидрат (0,5 мл, 10,31 ммоль). Реакционную смесь нагревали при 80°C в течение ночи. Затем ее охлаждали, гасили насыщенным бикарбонатом натрия (2 мл) и промывали CH2Cl2 (4 × 5 мл). Объединенные органические слои сушили (MgSO4), фильтровали, концентрировали и сушили в вакууме, получая желтое масло. Очистка радиальной хроматографией на силикагеле (1 мм пластина, с использованием СН3OH/NH4OH/CH2Cl2; 1:1:98, затем 2:1:97) давала продукт в виде неочищенного белого твердого вещества (60 мг), которое использовали без дополнительной очистки. 1H ЯМР (CDCl3) Получение гидразида 3-аминометил-4-{[(1Н-бензимидазол-2-илметил)-(5,6,7,8-тетрагидрохинолин-8-ил)амино]метил}бензойной кислоты (гидробромидная соль) К раствору указанного выше твердого вещества (30 мг, 0,054 ммоль) в уксусной кислоте (1 мл) добавляли раствор бромистоводородной кислоты в уксусной кислоте (0,5 мл) и реакционную смесь перемешивали в течение 30 минут. Затем добавляли диэтиловый эфир до тех пор, пока не осаждалось AMD11190 в виде белого твердого вещества (35 мг, 77%). 1H ЯМР (D2О) Пример: 21
AMD11175: Получение (2-аминометил-5-фторбензил)-(1H-бензимидазол-2-илметил)-(5,6,7,8-тетрагидрохинолин-8-ил)амина (гидробромидная соль). Получение 4-фтор-2-метилбензонитрила Раствор CuCN (4,45 г, 50,0 ммоль) и NaCN (3,91 г, 80,0 ммоль) в H2O (15 мл) нагревали до 60°C. Суспензию 4-фтор-2-метиланилина (5,16 г, 412 ммоль) в H2O (20 мл) подкисляли концентрированной HCl (10 мл). Дополнительно добавляли H2O (примерно 50 мл) до тех пор, пока суспензия не перемешивалась свободно, и смесь охлаждали до температуры ниже 0°C с использованием бани лед/соленая вода. Раствор NaNO2 (3,19 г, 46,2 ммоль) в H2O (8 мл) добавляли по каплям вместе с дробленым льдом, чтобы гарантировать постоянное присутствие льда в растворе соли диазония. Смесь перемешивали при 0°C в течение 15 минут, затем для нейтрализации раствора добавляли порциями порошкообразный К2СО3 (6,62 г, 47,9 ммоль). Полученный ярко-оранжевый раствор затем добавляли порциями к раствору цианида при 60°C в течение примерно 40 минут. Полученную зеленую суспензию нагревали при 110°C в течение 45 минут и, после охлаждения до комнатной температуры, добавляли насыщенный водный раствор NaHCO3 (80 мл). Экстракция полученного густого черного раствора CH2Cl2 (150 мл x 3) не давала желаемого вещества. Оранжевое твердое вещество, которое, как было установлено, возогналось в обратный холодильник во время кипячения с обратным холодильником, смывали CH2Cl2 (100 мл) и промывали H2O (50 мл). Водный раствор экстрагировали CH2Cl2 (25 мл x 2) и объединенный органический раствор сушили (MgSO4), фильтровали и концентрировали при пониженном давлении, получая нитрил в виде желтого твердого вещества (3,00 г, 22,2 ммоль, 54%). 1H ЯМР (CDCl3) Получение 2-бромметил-4-фторбензонитрила К раствору o-толунитрила (1,62 г, 12,0 ммоль) в бензоле (80 мл) добавляли NBS (1,33 г, 7,47 ммоль) и AIBN (153 мг, 0,93 ммоль). Раствор кипятили с обратным холодильником в атмосфере азота в течение 3 часов и добавляли вторую порцию каждого из NBS (1,25 г, 7,02 ммоль) и AIBN (150 мг, 0,91 ммоль). Реакционную смесь кипятили с обратным холодильником дополнительно в течение 2 часов и, после охлаждения, раствор промывали H2O (80 мл x 2) и насыщенным раствором соли (80 мл). Органический раствор сушили (MgSO4), фильтровали и концентрировали при пониженном давлении. Очистка колоночной флэш-хроматографией на диоксиде кремния (EtOAc/гексан 1:9) давала бромид в виде оранжевого твердого вещества (721 мг, 3,37 ммоль, 28%). 1H ЯМР (CDCl3) Получение трет-бутилового эфира 2-{[(2-циано-5-фторбензил)-(5,6,7,8-тетрагидрохинолин-8-ил)амино]метил}бензимидазол-1-карбоновой кислоты Раствор бензилбромида (263 мг, 1,23 ммоль), (1-трет-бутоксикарбонил-1Н-бензимидазол-2-илметил)-(5,6,7,8-тетрагидрохинолин-8-ил)амина (381 мг, 1,01 ммоль), DIPEA (0,26 мл, 1,5 ммоль) и KI (10 мг, 0,06 ммоль) в CH3CN (7 мл) перемешивали при 60°C в атмосфере азота в течение 17 часов. После охлаждения до комнатной температуры добавляли насыщенный водный NaHCO3 (10 мл) и смесь экстрагировали CH2Cl2 (25 мл x 3). Объединенный органический раствор сушили (MgSO4), фильтровали и концентрировали при пониженном давлении. Очистка колоночной флэш-хроматографией на диоксиде кремния (EtOAc/гексан 1:1) давала третичный амин в виде бледно-желтой пены (411 мг, 0,80 ммоль, 80%). 1H ЯМР (CDCl3) Получение 2-{[(1H-бензимидазол-2-илметил)-(5,6,7,8-тетрагидрохинолин-8-ил)амино]метил}-4-фторбензонитрила К LiOH·H2O (51 мг, 1,2 ммоль) и 10% Pd/C (39 мг, 0,04 ммоль) в круглодонной 50 мл колбе, продутой азотом, добавляли H2O (2 мл). Добавляли раствор нитрила (201 мг, 0,39 ммоль) в диоксане (6 мл), затем Ni Ренея (0,07 мл, 0,6 ммоль) в виде 50% суспензии в H2O (как описано Klenke, В.; Gilbert, LH. J.Org. Chem. 2001, 66, 2480-2483). Колбу продували H2 и нагревали при 45°C в течение 15 часов. После охлаждения до комнатной температуры и продувания азотом смесь фильтровали через целит, промывая EtOAc. Фильтрат концентрировали при пониженном давлении, остаток помещали в насыщенный водный NaHCO3 (15 мл) и экстрагировали CH2Cl2 (25 мл x 3). Органический раствор сушили (MgSO4), фильтровали и упаривали при пониженном давлении, получая свободный бензимидазол в виде бледно-желтого твердого вещества (153 мг, 0,37 ммоль, 95%). 1H ЯМР (CDCl3) Получение AMD11175 Нитрил (153 мг, 0,37 ммоль) в растворе MeOH, насыщенном NH3 (10 мл), гидрировали над никелем Ренея при давлении 50 фн/кв.дюйм (345 кПа) в течение 4 часов Смесь фильтровали через целит, промывали MeOH и фильтрат концентрировали при пониженном давлении. Очистка колоночной флэш-хроматографией на диоксиде кремния (CH2Cl2/MeOH/NH4OH 19:1:0,1, затем 9:1:0,05) давала первичный амин в виде белого твердого вещества (44 мг, 0,11 ммоль, 29%), наряду с выделенным нитрилом (24 мг, 0,06 ммоль, 16%). К амину (42 мг, 0,10 ммоль) в ледяной HOAc (1 мл) добавляли насыщенный раствор HBr в HOAc (0,5 мл) и раствор перемешивали при комнатной температуре в течение 30 минут. Добавляли Et2O (5 мл), осадку давали возможность осаждаться и растворитель декантировали. Осадок промывали Et2O (1 мл x 5) и сушили при 90°C при пониженном давлении, получая AMD11175 в виде бежевого твердого вещества (66 мг, 0,095 ммоль, 95%). 1H ЯМР (D2O) Пример: 22
AMD11140: Получение метилового эфира 3-аминометил-4-{[(1Н-бензимидазол-2-илметил)-(5,6,7,8-тетрагидрохинолин-8-ил)амино]метил}бензойной кислоты. Получение метилового эфира 4-бромметил-3-цианобензойной кислоты Суспензию цинковой пыли (792 мг, 12,12 ммоль) и 1,2-дибромметана (44 мкл, 0,51 ммоль) в ТГФ (3 мл) перемешивали при 70°C в течение 10 минут. Смесь охлаждали до комнатной температуры и добавляли хлортриметилсилан (45 мкл, 0,36 ммоль). Смесь охлаждали до 0°C и добавляли при 0°C в течение 2 часов раствор метил 4-(бромметил)бензоата (2,314 г, 10,10 ммоль) в ТГФ (11 мл) и затем перемешивали дополнительно в течение 2 часов при 0°C. Реакционную смесь охлаждали до -78°C и добавляли раствор тозилцианида (1,556 г, 8,59 ммоль) в ТГФ (11 мл). Полученную смесь перемешивали при комнатной температуре в течение 16 часов. Смесь концентрировали при пониженном давлении, разбавляли CH2Cl2 (100 мл) и насыщенным водным NaHCO3 (15 мл) и фильтровали. Фазы разделяли и водный слой экстрагировали CH2Cl2 (3 × 50 мл). Объединенные органические экстракты сушили (MgSO4), фильтровали и концентрировали при пониженном давлении. Очистка колоночной хроматографией на силикагеле (гексаны/EtOAc 10:1) давала целевой нитрил (973 мг) в виде смеси в соотношении 16:1 (целевой продукт/побочный продукт). Раствор полученного выше нитрила (973 мг), N-бромсукцинимида (1,087 г, 6,11 ммоль) и AIBN (137 мг, 0,83 ммоль) в CCl4 (18,5 мл) кипятили с обратным холодильником в течение 4 дней. Реакционную смесь охлаждали до комнатной температуры, фильтровали и концентрировали при пониженном давлении. Очистка желтого сиропа колоночной хроматографией на силикагеле (гексаны/EtOAc 20:1, затем 40:3) давала целевой бромид (800 мг, 37% по 2 стадиям) в виде белого твердого вещества. 1H ЯМР (CDCl3) Получение трет-бутилового эфира 2-{[(2-циано-4-метоксикарбонилбензил)-(5,6,7,8-тетрагидрохинолин-8-ил)амино]метил}бензимидазол-1-карбоновой кислоты Раствор метилового эфира 4-бромметил-3-цианобензойной кислоты (800 мг, 3,15 ммоль), трет-бутилового эфира 2-[(5,6,7,8-тетрагидрохинолин-8-иламино)метил]бензимидазол-1-карбоновой кислоты (1,253 г, 3,15 ммоль), KI (26 мг, 0,16 ммоль) и DIPEA (0,82 мл, 4,72 ммоль) в CH3CN (31,5 мл) нагревали при 60°C в течение ночи. Реакционную смесь охлаждали до комнатной температуры и концентрировали при пониженном давлении. Полученный коричневый сироп разбавляли СН2Cl2 (100 мл) и промывали насыщенным водным NaCl (30 мл). Водную фазу экстрагировали СН2Cl2 (2 × 50 мл) и объединенные органические экстракты сушили (MgSO4), фильтровали и концентрировали при пониженном давлении. Очистка коричневой пены колоночной хроматографией на силикагеле (CH2Cl2/MeOH 20:1) давала целевой метиловый сложный эфир (1,74 г, 100%) в виде бежевой пены. 1H ЯМР (CDCl3) Трет-бутиловый эфир 2-{[(2-циано-4-метоксикарбонилбензил)-(5,6,7,8-тетрагидрохинолин-8-ил)амино]метил}бензимидазол-1-карбоновой кислоты (1,23 г, 2,23 ммоль) растворяли в насыщенном NH3 MeOH (15 мл), обрабатывали никелем Ренея (избыток) и помещали в атмосферу H2 под давлением 45 фн/дюйм2 (310 кПа) в аппарат Парра на 16 часов. Смесь разбавляли MeOH и фильтровали через целит. Осадок на фильтре промывали MeOH и объединенный фильтрат концентрировали при пониженном давлении. Полученный сироп фильтровали через слой силикагеля (СН2Cl2/МеОН/NH4OH 100:2:1), получая целевой амин (720 мг), который использовали без дополнительной очистки в следующей реакции. К раствору полученного выше амина (64 мг) в СН2Cl2 (1 мл) добавляли TFA (1 мл) и полученную смесь перемешивали при комнатной температуре в течение ночи. Смесь концентрировали при пониженном давлении и полученный сироп растворяли в H2O и подщелачивали 1 н. NaOH (pH 8). Добавляли CHCl3 (75 мл), фазы отделяли и водный слой экстрагировали CHCl3 (2 × 75 мл). Объединенные органические экстракты сушили (MgSO4), фильтровали и концентрировали при пониженном давлении. Очистка желтой пены радиальной хроматографией на силикагеле (CH2Cl2/МеОН/NH4OH 100:1:1, затем 200:3:1) давала AMD11140 (39 мг, 43% по 2 стадиям) в виде белой пены. 1H ЯМР (CDCl3) Пример: 23
AMD11158: Получение (2-аминометил-4-метоксиметилбензил)-(1Н-бензимидазол-2-илметил)-(5,6,7,8-тетрагидрохинолин-8-ил)амина. Получение трет-бутилового эфира 2-{[[2-(трет-бутоксикарбониламинометил)-4-гидроксиметилбензил]-(5,6,7,8-тетрагидрохинолин-8-ил)амино]метил}бензимидазол-1-карбоновой кислоты трет-Бутиловый эфир 2-{[(2-аминометил-4-метоксикарбонилбензил)амино]метил}бензимидазол-1-карбоновой кислоты (1,23 г, 2,23 ммоль) растворяли в насыщенном NH3 MeOH (15 мл), обрабатывали никелем Ренея (избыток) и помещали при давлении H2 45 фн/дюйм2 (310 кПа) в вибрационный аппарат Парра на 16 часов. Смесь разбавляли MeOH и фильтровали через целит. Осадок на фильтре промывали MeOH и объединенный фильтрат концентрировали при пониженном давлении. Полученный сироп фильтровали через слой силикагеля (CH2Cl2/MeOH/NH4OH 100:2:1), получая целевой амин (720 мг), который использовали без дополнительной очистки в следующей реакции. К раствору полученного выше амина (500 мг) в ТГФ (7,2 мл), охлажденному до 0°C, добавляли по каплям LiAlH4 (1,0M в ТГФ, 1,80 мл, 1,80 ммоль). Смесь перемешивали при комнатной температуре в течение 15 минут. Добавляли MeOH (2 мл) и смесь концентрировали. Эту операцию повторяли еще два раза. Светло-желтую пену (410 мг) использовали в следующей реакции без дополнительной очистки. К раствору полученного выше спирта (330 мг) в ТГФ (2 мл) добавляли раствор BOC2О (205 мг, 0,94 ммоль) в ТГФ (4 мл) и полученную смесь перемешивали при комнатной температуре в течение 3 дней. Реакционную смесь концентрировали при пониженном давлении. Очистка желтой пены колоночной хроматографией на силикагеле (CH2Cl2/MeOH/NH4OH 100:2:1) давала целевой амин (230 мг, 30% по 3 стадиям) в виде светло-желтой пены. 1H ЯМР (CDCl3) Раствор трет-бутилового эфира 2-{[[2-(трет-бутоксикарбониламинометил)-4-гидроксиметилбензил]-(5,6,7,8-тетрагидрохинолин-8-ил)амино]метил}бензимидазол-1-карбоновой кислоты (230 мг, 0,37 ммоль) и NaH (60% дисперсия в минеральном масле, 13,3 мг, 0,56 ммоль) в ДМФ (2,0 мл) перемешивали при комнатной температуре в течение 30 минут. Добавляли иодистый метил (0,12 мл, 1,85 ммоль) и полученную смесь перемешивали при комнатной температуре в течение 1 часа. Смесь концентрировали в вакууме, разбавляли EtOAc и промывали последовательно насыщенным водным NaHCO3 (2 × 5 мл) и насыщенным водным NaCl (10 мл). Органический слой сушили (MgSO4) и концентрировали при пониженном давлении. Очистка желтой пены колоночной хроматографией на силикагеле (CH2Cl2/MeOH/NH4OH 200:1:1, затем 200:2:1) давала целевой продукт (97 мг), который использовали в следующей реакции без дополнительной очистки. К раствору полученного выше амина (96 мг) в CH2Cl2 (1 мл) добавляли ТФУК (1 мл) и полученную смесь перемешивали при комнатной температуре в течение ночи. Смесь концентрировали при пониженном давлении и сироп растворяли в H2O и подщелачивали 1 н. NaOH (pH 8). Добавляли CHCl3 (75 мл), фазы разделяли и водный слой экстрагировали CHCl3 (2 × 75 мл). Объединенные органические экстракты сушили (MgSO4), фильтровали и концентрировали при пониженном давлении. Очистка желтой пены радиальной хроматографией на силикагеле (СН2Cl2/МеОН/NH4ОН 100:1:1, затем 200:3:1) давала AMD11158 (20,2 мг, 13% по 2 стадиям) в виде белого твердого вещества. 1H ЯМР (CD3OD) Пример: 24
AMD9852: Получение N-(2-{[(1Н-бензимидазол-2-илметил)-(5,6,7,8-тетрагидрохинолин-8-ил)амино]метил}бензил)гуанидина. К раствору (1Н-бензимидазол-2-илметил)-(2-аминометилбензил)-(5,6,7,8-тетрагидрохинолин-8-ил)амина (см. AMD9720) (50 мг, 0,125 ммоль) в ТГФ (5 мл) добавляли N,N’-ди-трет-бутоксикарбонилпиразол-1-карбоксамидин (60 мг, 0,187 ммоль) и карбонат калия (35 мг, 0,25 ммоль) и смесь перемешивали в течение ночи. Реакционную смесь разбавляли водным NH4Cl (5 мл) и экстрагировали этилацетатом (3 x 10 мл). Объединенные органические фракции сушили (Na2SO4), концентрировали и очищали хроматографией на силикагеле (5% MeOH/CH2Cl2), получая целевой продукт в виде тусклой пены (51 мг, 64%). 1H ЯМР (CDCl3) Используя общую методику D, превращение полученной выше пены (51 мг, 0,08 ммоль) в гидробромидную соль давало AMD9852 в виде белого твердого вещества (108 мг). 1H ЯМР (D20). Пример: 25
AMD9596: Получение N-(4-{[(1Н-бензимидазол-2-илметил)-(5,6,7,8-тетрагидрохинолин-8-ил)амино]метил}бензил)гуанидина (гидробромидная соль). К раствору N’-(1H-бензимидазол-2-илметил)-N’-(5,6,7,8-тетрагидро-8-хинолинил)-1,4-бензолдиметанамина (397 мг, 1,0 ммоль) в ТГФ (10 мл) добавляли N,N’-ди-трет-бутоксикарбонилпиразол-1-карбоксамидин (370 мг, 1,2 ммоль) и карбонат калия (207 мг, 1,5 ммоль) и смесь перемешивали при комнатной температуре в течение 16 часов. Реакционную смесь разбавляли водным NH4Cl (15 мл) и смесь экстрагировали этилацетатом (3 × 10 мл). Объединенные органические фракции сушили (Na2SO4), фильтровали, концентрировали и очищали хроматографией на силикагеле (19:1 CH2Cl2/MeOH), получая N’,N”-ди-трет-бутоксикарбонил-N-(4-{[(1Н-бензимидазол-2-илметил)-(5,6,7,8-тетрагидрохинолин-8-ил)амино]метил}бензил)гуанидин в виде тусклой пены (426 мг, 67%). 1H ЯМР (CDCl3) Используя общую методику D, превращение полученного выше вещества (106 мг, 0,1 ммоль) в гидробромидную соль с одновременным удалением Boc-групп давало AMD 9596 (108 мг) в виде белого кристаллического твердого вещества. 1H ЯМР (D2O) Пример: 26 AMD9735: Получение N’-(4-{[(1Н-бензимидазол-2-илметил)-(5,6,7,8-тетрагидрохинолин-8-ил)амино]метил}бензил)-N,N-диметилгуанидина (гидробромидная соль). Получение гидрохлорида N,N-диметил-1Н-пиразол-1-карбоксамидина К раствору пиразола (1,01 г, 14,8 ммоль) и диметилцианамида (1,20 мл, 14,8 ммоль) в 1,4-диоксане (15 мл) добавляли HCl (4,0 н. в 1,4-диоксан, 3,8 мл, 15,2 ммоль) и полученную смесь кипятили с обратным холодильником в течение 3 часов. Реакционную смесь охлаждали до комнатной температуры и разбавляли безводным эфиром (15 мл) для осаждения желтого твердого вещества. Полученному осадку давали возможность осесть на дно колбы (в течение ночи) и надосадочный раствор декантировали. Твердое вещество сушили в вакууме и получали указанное в заголовке соединение (2,01 г, 78%). ES-MS m/z 139 (М+H). К раствору N’-(1Н-бензимидазол-2-илметил)-N’-(5,6,7,8-тетрагидро-8-хинолинил)-1,4-бензолдиметанамина (0,221 г, 0,56 ммоль) в ДМФ (1 мл) добавляли гидрохлорид N,N-диметил-1Н-пиразол-1-карбоксамидина (0,250 г, 1,18 ммоль) и N,N-диизопропилэтиламин (0,70 мл, 4,02 ммоль) и полученную смесь перемешивали при комнатной температуре в течение 19 часов. Реакционную смесь разбавляли водой (5 мл) и CH2Cl2 (25 мл) и pH водной фазы доводили до 4 с использованием разбавленного водного HCl (1 н., 3 мл). Фазы разделяли и водную фазу экстрагировали CH2Cl2 (3×10 мл). Водную фазу концентрировали при пониженном давлении и полученное бесцветное масло растворяли в 10 н. NaOH (4 мл). Основный водный раствор экстрагировали CH2Cl2 (4 × 10 мл) и объединенные органические экстракты сушили (Na2SO4) и концентрировали. Неочищенное вещество очищали радиальной хроматографией на силикагеле (1 мм пластина, 1:1:1 СН3CN/CH3OH/NH4OH) и получали белое твердое вещество (147 мг). Используя общую методику D, превращение свободного основания (124 мг) в гидробромидную соль, с последующим переосаждением промежуточного твердого вещества из смеси метанол/эфир, давало AMD9735 (121 мг) в виде белого твердого вещества. 1H ЯМР (D2О) Пример: 27 AMD9777: Получение [4-(1Н-бензимидазол-2-илметил)-(5,6,7,8-тетрагидрохинолин-8-ил)аминометилбензил]-N,N-диметилформамидина (гидробромидная соль). Раствор 2-пиридинсульфонилхлорида (41 мг, 0,23 ммоль) в ДМФ (0,75 мл) перемешивали в течение 10 минут, после чего добавляли раствор N’-(1H-бензимидазол-2-илметил)-N’-(5,6,7,8-тетрагидро-8-хинолинил)-1,4-бензолдиметанамина (62 мг, 0,16 ммоль) в ДМФ (0,8 мл) и реакционную смесь перемешивали при комнатной температуре в течение 3 часов. Реакционную смесь концентрировали при пониженном давлении и разбавляли CH2Cl2 (5 мл) и насыщенным водным К2СО3 (5 мл). Слои разделяли и органическую фазу сушили (MgSO4), фильтровали, концентрировали и очищали колоночной хроматографией на силикагеле (5% MeOH/CH2Cl2), получая целевой N,N-диметилформамидин (23 мг, 32%). 1H ЯМР (CDCl3) Используя общую методику D, превращение полученного выше вещества (23 мг) в гидробромидную соль давало AMD9777 (38 мг) в виде белого твердого вещества. 1H ЯМР (D2O) Пример: 28 AMD9783: Получение N-(4-{[(1Н-бензимидазол-2-илметил)-(5,6,7,8-тетрагидрохинолин-8-ил)амино]метил}бензил)бензамидина (гидробромидная соль). Получение гидробромида S-бензилтиобензимидата К раствору тиобензамида (0,307 г, 2,24 ммоль) в СН2Cl2 (11 мл) добавляли бензилбромид (0,26 мл, 2,19 ммоль) и полученный раствор кипятили с обратным холодильником в течение 2 часов. Смесь охлаждали до комнатной температуры и концентрировали при пониженном давлении. Полученное желтое твердое вещество сушили в вакууме, получая гидробромид S-бензилтиобензимидата (0,573 г, 85%). 1H ЯМР (ДМСО-d6) К раствору N’-(1Н-бензимидазол-2-илметил)-N’-(5,6,7,8-тетрагидро-8-хинолинил)-1,4-бензолдиметанамина (0,130 г, 0,33 ммоль) в этаноле (2 мл) добавляли гидробромид S-бензилтиобензимидата (0,100 г, 0,33 ммоль) и полученную смесь перемешивали при комнатной температуре в течение 45 минут. Смесь обрабатывали уксусной кислотой, насыщенной HBr (3 мл). Добавляли эфир (50 мл) для осаждения белого твердого вещества, которому давали возможность осесть на дне колбы, и надосадочный раствор декантировали. Твердое вещество промывали эфиром (3 × 50 мл) и оставшиеся следы эфира удаляли при пониженном давлении. Твердое вещество распределяли между раствором NaOH (10 н., 5 мл) и CH2Cl2 (20 мл). Фазы разделяли и водную фазу экстрагировали CH2Cl2 (4 × 10 мл). Объединенные органические экстракты сушили (Na2SO4) и концентрировали. Очистка неочищенного вещества радиальной хроматографией на силикагеле (1 мм пластина, 20:1:1 CH2Cl2/CH3OH/NH4OH) давала 50 мг (32%) свободного основания указанного в заголовке соединение в виде белого твердого вещества. Используя общую методику D, превращение свободного основания (50 мг) в гидробромидную соль с последующим переосаждением промежуточного твердого вещества из смеси метанол/эфир давало AMD9783 (56 мг) в виде белого твердого вещества. 1H ЯМР (D2O) Пример: 29 AMD9784: Получение N-(4-{[(1Н-бензимидазол-2-илметил)-(5,6,7,8-тетрагидрохинолин-8-ил)амино]метил}бензил)ацетамидина (гидробромидная соль). Получение гидробромида S-бензилтиоацетимидата К раствору тиоацетамида (0,478 г, 6,36 ммоль) в CHCl3 (16 мл) добавляли бензилбромид (0,76 мл, 6,39 ммоль) и полученный раствор кипятили с обратным холодильником в течение 2 часов. Смесь охлаждали до комнатной температуры. Добавляли эфир (50 мл) и смесь охлаждали на бане с ледяной водой для осаждения белого твердого вещества. Надосадочный раствор декантировали и твердое вещество промывали эфиром (2 × 50 мл). Твердое вещество сушили в вакууме, получая 1,44 г (92%) гидробромида S-бензилтиоацетимидата в виде белого твердого вещества. 1H ЯМР (ДМСО-d6) К раствору N’-(1Н-бензимидазол-2-илметил)-N’-(5,6,7,8-тетрагидро-8-хинолинил)-1,4-бензолдиметанамина (0,154 г, 0,39 ммоль) в этаноле (2 мл) добавляли гидробромид S-бензилтиоацетимидата (0,099 г, 0,40 ммоль) и полученную смесь перемешивали при комнатной температуре в течение ночи. Смесь обрабатывали уксусной кислотой, насыщенной HBr (3 мл). Смесь концентрировали при пониженном давлении и остаток распределяли между раствором NaOH (10 н., 5 мл) и CH2Cl2 (10 мл). Фазы разделяли и водную фазу экстрагировали CH2Cl2 (3 × 10 мл). Объединенные органические экстракты сушили (Na2SO4) и концентрировали. Очистка неочищенного вещества радиальной хроматографией на силикагеле (1 мм пластина, 1:1:1 CH3CN/CH3OH/NH4OH) давало 97 мг (57%) свободного основания указанного в заголовке соединения в виде белого твердого вещества. Используя общую методику D, превращение свободного основания (97 мг) в гидробромидную соль с последующим переосаждением промежуточного твердого вещества из смеси метанол/эфир давало AMD9784 (113 мг) в виде белого твердого вещества. 1H ЯМР. (D2O) Пример: 30 AMD9689: Получение N-изобутил-N’-(1Н-бензимидазол-2-илметил)-N’-(5,6,7,8-тетрагидро-8-хинолинил)-1,4-бензолдиметанамина (гидробромидная соль). Изобутиральдегид (0,1 мл, 1,1 ммоль) конденсировали с N’-(1Н-бензимидазол-2-илметил)-N’-(5,6,7,8-тетрагидро-8-хинолинил)-1,4-бензолдиметанамином (152 мг, 0,382 ммоль) в безводном CH3OH (5 мл) в течение 17 часов и полученный имин восстанавливали NaBH4 (81 мг, 2,14 ммоль) в течение 1 часа (см. общие методики A и B). Очистка неочищенного продукта радиальной хроматографией (2 мм ТСХ пластина, 50:1:1 СН2С12/СН3ОН/NH4ОН) давала свободный амин (43 мг, 25 %). По общей методике D преобразование полученного выше вещества (43 мг) в гидробромидную соль давало AMD9689 (52 мг, 75%) в виде белого твердого вещества. 1H ЯМР (D2O) Пример: 31
AMD9776: Получение (1H-бензимидазол-2-илметил)-(4-пиперидин-2-илбензил)-(5,6,7,8-тетрагидрохинолин-8-ил)амина (гидробромидная соль). Получение 4-[(1-бутоксикарбонил)пиперидин-2-ил]бензальдегида
К раствору 4-пиридин-2-илбензальдегида (1,036 г, 5,65 ммоль) в EtOH (95%, 3,1 мл) и конц. HCl (0,48 мл) в колбе Парра для гидрирования добавляли PtO2 (57 мг, 0,251 ммоль) и смесь гидрировали при давлении Н2 50 фн/дюйм2 (345 кПа) в течение 40 часов. Смесь фильтровали через целит, осадок на фильтре промывали MeOH и растворитель удаляли из элюента при пониженном давлении. Полученное желтое твердое вещество растворяли в 1 н. NaOH (30 мл) и экстрагировали эфиром (4 x 50 мл). Объединенные органические фазы сушили (Na2SO4), фильтровали и концентрировали при пониженном давлении, получая неочищенный 1-(гидроксиметил)-4-(пиперидин-2-ил)бензол (0,98 г) в виде белого твердого вещества. К раствору твердого вещества в ТГФ (25 мл), триэтиламине (10 капель) и воде (10 капель) добавляли ди-трет-бутилдикарбонат (1,51 г, 6,92 ммоль) и реакционную смесь перемешивали при комнатной температуре в течение 20 часов. Смесь концентрировали при пониженном давлении и остаток помещали в CH2Cl2 (100 мл) и промывали насыщенным раствором соли (3 × 75 мл). Органическую фазу сушили (Na2SO4), фильтровали и концентрировали при пониженном давлении, получая неочищенный 1-(гидроксиметил)-4-[(1-бутоксикарбонил)пиперидин-2-ил]бензол (1,87 г) в виде масла. К раствору полученного выше масла (1,87 г) в CH2Cl2 (100 мл) добавляли MnO2 (85 %, 5,90 г, 57,7 ммоль) и реакционную смесь перемешивали при комнатной температуре в течение 18 часов. Смесь фильтровали через целит и растворитель из элюента удаляли при пониженном давлении. Очистка неочищенного продукта (1,50 г) флэш-хроматографией (38 г диоксида кремния, 99:1 CH2Cl2: CH3OH) давала указанное в заголовке соединение (0,98 г, 60%). 1H ЯМР (CDCl3) По общей методике B к раствору 4-[(1-бутоксикарбонил)пиперидин-2-ил]бензальдегида (189 мг, 0,651 ммоль) и [1-(трет-бутоксикарбонил)-(1Н-бензимидазол-2-илметил)]-(5,6,7,8-тетрагидрохинолин-8-ил)амина (138 мг, 0,366 ммоль) в CH2Cl2 (8 мл) добавляли NaBH(OAc)3 (219 мг, 1,03 ммоль) и реакционную смесь перемешивали в течение ночи. Очистка неочищенного масла колоночной хроматографией (12 г диоксида кремния, 40:1:1 CH2Cl2:CH3OH:NH4OH) с последующей радиальной хроматографией (1 мм ТСХ пластина, 100:1:1 CH2Cl2: CH3OH: NH4OH) давала целевое свободное основание (59 мг, 29%). По общей методике D превращение полученного выше масла (59 мг) в гидробромидную соль давало AMD9776 (59 мг, 75%). 1H ЯМР (D2O) Пример: 32
AMD9713: Получение (1H-бензимидазол-2-илметил)-(4-пиперидин-1-илметилбензил)-(5,6,7,8-тетрагидрохинолин-8-ил)амина (гидробромидная соль). Используя общую методику A, к перемешиваемому раствору 4-{[(1Н-бензимидазол-2-илметил)-(5,6,7,8-тетрагидрохинолин-8-ил)амино]метил}бензальдегида (AMD9882) (144 мг, 0,36 ммоль) в безводном MeOH (5 мл) добавляли пиперидин (0,040 мл, 0,40 ммоль) и цианоборгидрид натрия (44 мг, 0,70 ммоль) и смесь перемешивали в течение 5 часов. Очистка неочищенного продукта радиальной хроматографией на силикагеле (1 мм пластина, CH2Cl2/MeOH/NH4OH 50:1:1) давала целевой аддукт (50 мг, 30%) в виде белой пены. Используя общую методику D, преобразование полученной выше пены (25 мг, 0,053 ммоль) в гидробромидную соль с последующим переосаждением промежуточного твердого вещества из смеси метанол/эфир давало AMD9713 (40 мг, 98%) в виде желтого твердого вещества. 1H ЯМР (D2O) Пример: 33
AMD9722: Получение (1Н-бензимидазол-2-илметил)-(4-метиламинометилбензил)-(5,6,7,8-тетрагидрохинолин-8-ил)амина (гидробромидная соль). Используя общую методику B, к раствору 4-{[(1Н-бензимидазол-2-илметил)-(5,6,7,8-тетрагидрохинолин-8-ил)амино]метил}бензальдегида (AMD9882) (120 мг, 0,30 ммоль) в MeOH (2 мл) добавляли метиламин (2,0М раствор в метаноле, 1 мл, 2,00 ммоль) и полученный раствор перемешивали при комнатной температуре в течение 5 часов. К раствору добавляли твердый NaBH4 (18 мг, 0,48 ммоль) и смесь перемешивали при комнатной температуре дополнительно в течение 30 минут. Очистка неочищенного вещества радиальной хроматографией на силикагеле (1 мм пластина, 50:1:1 СН2Cl2/СН3OH/NH4OH) давала свободное основание указанного в заголовке соединения (74 мг, 59%) в виде белого твердого вещества. Используя общую методику D, превращение свободного основания (74 мг) в гидробромидную соль, с последующим переосаждением промежуточного твердого вещества из смеси метанол/эфир, давало AMD9722 (111 мг) в виде белого твердого вещества. 1H ЯМР (D2O) Пример: 34
AMD9724: Получение (1Н-бензимидазол-2-илметил)-(4-пиперазин-1-илметилбензил)-(5,6,7,8-тетрагидрохинолин-8-ил)амина (гидробромидная соль). Получение 2,2,2-трифтор-1-пиперазин-1-илэтанона (Xu, D.; Repic, O.; Blacklock, J. Tetrahedron Lett. 1995, 41, 7357-7360): К раствору пиперазина (1,444 г, 16,8 ммоль) в MeOH (10 мл) добавляли этиловый эфир трифторуксусной кислоты (2,0 мл, 16,8 ммоль) и смесь перемешивали при комнатной температуре в течение ночи. Реакционную смесь концентрировали и очищали колоночной хроматографией на силикагеле (CH2Cl2/MeOH 9:1), получая целевой монозащищенный аддукт пиперазина (1,77 г, 58%) в виде бледно-желтого масла. 1Н ЯМР (CDCl3) Используя общую методику A, к перемешиваемому раствору 4-{[(1Н-бензимидазол-2-илметил)-(5,6,7,8-тетрагидрохинолин-8-ил)амино]метил}бензальдегида (AMD9882) (262 мг, 0,66 ммоль) в безводном MeOH (10 мл) добавляли 2,2,2-трифтор-1-пиперазин-1-илэтанон (172 мг, 0,95 ммоль) и цианоборгидрид натрия (54 мг, 0,86 ммоль) и смесь перемешивали в течение ночи. Очистка неочищенного продукта колоночной хроматографией на силикагеле (CH2Cl2/МеОН/NH4OH 100:1:1) с последующей радиальной хроматографией на силикагеле (2 мм пластина, CH2Cl2/МеОН/NH4OH 50:1:1) давала целевой аддукт (68 мг, 18%) в виде белой пены. К раствору полученного выше ТФУК-защищенного аддукта (68 мг, 0,12 ммоль) в MeOH (3 мл) добавляли порошкообразный К2СО3 (55 мг, 0,40 ммоль) и смесь перемешивали при кипячении с обратным холодильником в течение 1,5 часов и при комнатной температуре в течение ночи. Реакционную смесь разбавляли CH2Cl2 (30 мл) и водой (20 мл), фазы разделяли и водный слой экстрагировали CH2Cl2 (2 × 15 мл). Объединенные органические экстракты сушили (Na2SO4), фильтровали и концентрировали в вакууме. Очистка неочищенного продукта радиальной хроматографией на силикагеле (1 мм пластина, CH2Cl2/MeOH/NH4OH 100:1:1, затем 50:1:1) давала целевой аддукт (54 мг, 97%) в виде прозрачного масла. Используя общую методику D, превращение полученной выше пены (23 мг, 0,049 ммоль) в гидробромидную соль с последующим переосаждением промежуточного твердого вещества из смеси метанол/эфир давало AMD9724 (35 мг, 85%) в виде белого твердого вещества. 1Н ЯМР (D2O) Пример: 35
AMD9733: Получение [4-(4-аллилпиперазин-1-илметил)бензил]-(1Н-бензимидазол-2-илметил)-(5,6,7,8-тетрагидрохинолин-8-ил)амина (гидробромидная соль). Получение 1-аллил-1-пиперазина К перемешиваемому раствору 2,2,2-трифтор-1-пиперазин-1-илэтанона (515 мг, 2,83 ммоль) в безводном CH3CN (6 мл) добавляли аллилбромид (0,32 мл, 3,7 ммоль) и порошкообразный карбонат калия (0,78 г, 5,65 ммоль) и смесь перемешивали в течение ночи. Реакционную смесь концентрировали при пониженном давлении, разбавляли CH2Cl2 (30 мл) и водой (30 мл) и водный слой экстрагировали CH2Cl2 (2 x 20 мл). Объединенные органические экстракты сушили (Na2SO4), фильтровали и концентрировали в вакууме, получая неочищенный дизащищенный пиперазин (0,554 г), который использовали без дополнительной очистки в следующей реакции. К раствору полученного выше ТФУК-защищенного пиперазина (0,554 г) в MeOH (10 мл) добавляли порошкообразный К2СО3 (0,689 г, 5,0 ммоль) и смесь перемешивали при кипячении с обратным холодильником в течение 1,5 часов и при комнатной температуре в течение ночи. Реакционную смесь разбавляли CH2Cl2 (30 мл) и водой (20 мл), фазы разделяли и водный слой экстрагировали CH2Cl2 (2 x 15 мл). Объединенные органические экстракты сушили (Na2SO4), фильтровали и концентрировали в вакууме, получая указанное в заголовке соединение (0,132 г, 42%) в виде бледно-желтого масла. 1Н ЯМР (CDCl3) Используя общую методику B, к перемешиваемому раствору 4-{[(1Н-бензимидазол-2-илметил)-(5,6,7,8-тетрагидрохинолин-8-ил)амино]метил}бензальдегида (AMD9882) (262 мг, 0,66 ммоль) и 1-аллилпиперазина (132 мг, 1,05 ммоль) в CH2Cl2 (6 мл) добавляли NaBH(OAc)3 (184 мг, 0,87 ммоль) и полученную смесь перемешивали при комнатной температуре в течение 2 часов. Очистка неочищенного вещества колоночной хроматографией на силикагеле (CH2Cl2/MeOH/NH4OH 95:4:1) давала целевой аддукт (267 мг) в виде прозрачного масла. Используя общую методику D, превращение полученного выше масла (233 мг) в гидробромидную соль с последующим переосаждением промежуточного твердого вещества из смеси метанол/эфир давало AMD9733 (335 мг, 56% по 2 стадиям) в виде желтого твердого вещества. 1Н ЯМР (D2O) Пример: 36
AMD9734: Получение (1H-бензимидазол-2-илметил)-(4-диметиламинометилбензил)-(5,6,7,8-тетрагидрохинолин-8-ил)амина (гидробромидная соль). Используя общую методику B, взаимодействие 4-{[(1Н-бензимидазол-2-илметил)-(5,6,7,8-тетрагидрохинолин-8-ил)амино]метил}бензальдегида (AMD9882) (157 мг, 0,40 ммоль) и диметиламина (2,0М в ТГФ, 0,4 мл, 0,80 ммоль) с NaBH(OAc)3 (0,179 г, 0,84 ммоль) в CH2Cl2 (4 мл) в течение ночи с последующей очисткой неочищенного вещества радиальной хроматографией на силикагеле (2 мм пластина, 50:1:1 CH2Cl2/CH3OH/NH4ОН) давало свободное основание указанного в заголовке соединения (72 мг, 43%) в виде бесцветного масла. Используя общую методику D, превращение свободного основания (72 мг) в гидробромидную соль с последующим переосаждением промежуточного твердого вещества из смеси метанол/эфир давало AMD9734 (77 мг) в виде белого твердого вещества. 1Н ЯМР (D2О) Пример: 37
AMD 9775: Получение (1Н-бензимидазол-2-илметил)-(5,6,7,8-тетрагидрохинолин-8-ил)-[4-(1,2,4-триазол-4-илиминометил)бензил]амина (гидробромидная соль). Используя общую методику B, взаимодействие 4-{[(1Н-бензимидазол-2-илметил)-(5,6,7,8-тетрагидрохинолин-8-ил)амино]метил}бензальдегида (AMD9882) (206 мг, 0,52 ммоль) и 4-амино-1,2,4-триазола (70 мг, 0,82 ммоль) с NaBH(OAc)3 (0,223 г, 1,05 ммоль) в CH2Cl2 (4 мл) и уксусной кислотой (0,12 мл) в течение ночи с последующей очисткой неочищенного вещества радиальной хроматографией на силикагеле (2 мм пластина, 100:1:1 CH2Cl2/CH3OH/NH4OH) давало 87 мг (36%) свободного основания указанного в заголовке соединения в виде бесцветного масла. Используя общую методику D, превращение свободного основания (87 мг) в гидробромидную соль с последующим переосаждением промежуточного твердого вещества из смеси метанол/эфир давало AMD9775 (83 мг) в виде белого твердого вещества, 1H ЯМР (D2O) Пример: 38
AMD9671: Получение N’-(4-{[(1Н-бензимидазол-2-илметил)-(5,6,7,8-тетрагидрохинолин-8-ил)амино]метил}бензил)этан-1,2-диамина (гидробромидная соль). Используя общую методику B, к перемешиваемому раствору N’-(1H-бензимидазол-2-илметил)-N’-(5,6,7,8-тетрагидро-8-хинолинил)-1,4-бензолдиметанамина (250 мг, 0,629 ммоль) и трет-бутилового эфира (2-оксоэтил)карбаминовой кислоты (100 мг, 0,628 ммоль) в ТГФ (6,3 мл) добавляли NaBH(ОАс)3 (173 мг, 0,816 ммоль) и смесь перемешивали при комнатной температуре в течение 22 часов. Очистка неочищенного вещества колоночной хроматографией на силикагеле (200:5:1 CH2Cl2/MeOH/NH4OH) давала бесцветное масло (47 мг). Используя общую методику D, превращение масла, полученного выше (47 мг, 0,11 ммоль) в гидробромидную соль с последующим переосаждением промежуточного твердого вещества из смеси метанол/эфир давало AMD9671 (72 мг, 14%) в виде бесцветного твердого вещества. 1Н ЯМР (D2О) Пример: 39 AMD9701: Получение (1Н-бензимидазол-2-илметил)-(4-бутиламинометилбензил)-(5,6,7,8-тетрагидрохинолин-8-ил)амина. Раствор N’-(1Н-бензимидазол-2-илметил)-N’-(5,6,7,8-тетрагидро-8-хинолинил)-1,4-бензолдиметанамина (165 мг, 0,415 ммоль) и бутиральдегида (50 мг, 0,69 ммоль) в MeOH (4 мл) кипятили с обратным холодильником в течение 30 минут. Раствор оставляли охлаждаться до комнатной температуры, добавляли 10% Pd/C (20 мг, 0,019 ммоль) и смесь перемешивали в атмосфере водорода (1 атм) при комнатной температуре в течение 20 часов. Смесь фильтровали через целит и растворитель из фильтрата удаляли при пониженном давлении. Очистка неочищенного вещества колоночной хроматографией на силикагеле (200:5:1 CH2Cl2/MeOH/NH4OH) давала AMD9701 (16 мг, 8%) в виде бесцветной пены. 1Н ЯМР (CDCl3) Пример: 40 AMD9725: Получение (1Н-бензимидазол-2-илметил)-(4-диаллиламинометилбензил)-(5,6,7,8-тетрагидрохинолин-8-ил)амина. К раствору N’-(1Н-бензимидазол-2-илметил)-N’-(5,6,7,8-тетрагидро-8-хинолинил)-1,4-бензолдиметанамина (156 мг, 0,39 ммоль) в СН2Cl2 (4 мл) добавляли N,N-диизопропилэтиламин (65 мкл, 0,37 ммоль). Добавляли по каплям аллилбромид (35 мкл, 0,40 ммоль) и полученную смесь перемешивали при комнатной температуре в течение 3 дней. Реакционную смесь разбавляли CH2Cl2 (50 мл) и промывали последовательно H2O (2 × 5 мл), насыщенным водным раствором NaHCO3 (5 мл) и насыщенным водным NaCl (5 мл). Водный слой экстрагировали CH2Cl2 (20 мл) и объединенные органические экстракты сушили (MgSO4) и концентрировали при пониженном давлении, получая светло-желтую пену (100 мг). Очистка колоночной хроматографией на силикагеле (200:1:1, затем 100:1:1 CH2Cl2:MeOH:NH4OH) с последующей радиальной хроматографией на силикагеле (1000:1:1 EtOAc:MeOH:NH4OH) давала AMD9725 (24,5 мг, 14%) в виде светло-желтой пены. 1Н ЯМР (CDCl3) Пример: 41
AMD9726: Получение (4-аллиламинометилбензил)-(1Н-бензимидазол-2-илметил)-(5,6,7,8-тетрагидрохинолин-8-ил)амина. К раствору N’-(1Н-бензимидазол-2-илметил)-N’-(5,6,7,8-тетрагидро-8-хинолинил)-1,4-бензолдиметанамина (200 мг, 0,39 ммоль) в CH2Cl2 (0,4 мл) добавляли N,N-диизопропилэтиламин (90 мкл, 0,52 ммоль). Аллилбромид (35 мкл, 0,40 ммоль) растворяли в CH2Cl2 (9,6 мл) и добавляли к смеси аминов со скоростью 5,5 мл/час. Полученную смесь перемешивали при комнатной температуре в течение 24 часов. Реакционную смесь разбавляли СН2Cl2 (50 мл) и промывали последовательно H2O (5 мл), насыщенным водным раствором NaHCO3 (5 мл) и насыщенным водным NaCl (5 мл). Водный слой экстрагировали CH2Cl2 (20 мл) и объединенные органические экстракты сушили (MgSO4) и концентрировали при пониженном давлении. Очистка колоночной хроматографией на силикагеле (200:1:1, затем 100:1:1 EtOAc:MeOH:NH4OH) с последующей радиальной хроматографией на силикагеле (250:1:1 EtOAc:MeOH:NH4OH) давала AMD9725 (36 мг, 21%) в виде светло-желтой пены. 1Н ЯМР (CDCl3) Пример: 42 AMD9754: Получение (1Н-бензимидазол-2-илметил)-(4-пирролидин-1-илметилбензил)-(5,6,7,8-тетрагидрохинолин-8-ил)амина. Используя общую методику B, к перемешиваемому раствору 4-{[(1Н-бензимидазол-2-илметил)-(5,6,7,8-тетрагидрохинолин-8-ил)амино]метил}бензальдегида (150 мг, 0,37 ммоль), пирролидина (30 мкл, 0,36 ммоль) и AcOH (20 мкл, 0,37 ммоль) в ТГФ (4 мл) добавляли NaBH(ОАс)3 (235 мг, 1,11 ммоль) и смесь перемешивали при комнатной температуре в течение 1,5 часов. Очистка неочищенной белой пены (205 мг) колоночной хроматографией на силикагеле (100:1:1 CH2Cl2:MeOH:NH4OH) давала целевой продукт (160 мг, 96%) в виде белой пены. Используя общую методику D, преобразование полученной выше пены в гидробромидную соль давала AMD9754 в виде белого твердого вещества. 1Н ЯМР (CD3OD) Пример: 43
AMD9723: Получение (1Н-бензимидазол-2-илметил)-(4-морфолин-4-илметилбензил)-(5,6,7,8-тетрагидрохинолин-8-ил)амина (гидробромидная соль). Используя общую методику A, к перемешиваемому раствору 4-{[(1Н-бензимидазол-2-илметил)-(5,6,7,8-тетрагидрохинолин-8-ил)амино]метил}бензальдегида (0,285 г, 0,72 ммоль) в безводном MeOH (5 мл) добавляли морфолин (0,068 мл, 0,78 ммоль) и цианоборгидрид натрия (0,107 г, 1,7 ммоль) и смесь перемешивали при комнатной температуре в течение 24 часов. Очистка неочищенного продукта радиальной хроматографией на 2 мм пластине для ТСХ (CH2Cl2/MeOH/NH4OH, 100:1:1) давала целевой продукт (23 мг, 7%) в виде бесцветного масла. Используя общую методику D, превращение полученного выше масла (23 мг, 0,049 ммоль) в гидробромидную соль давало AMD9723 в виде белого твердого вещества (36 мг). 1H ЯМР (D2O) Пример: 44
AMD9698: Получение (1Н-бензоимидазол-2-илметил)-(5,6,7,8-тетрагидрохинолин-8-ил)-(4-тиоморфолин-4-илметилбензил)амина Согласно общему способу A, 4-{[(1Н-бензоимидазол-2-илметил)-(5,6,7,8-тетрагидрохинолин-8-ил)амино]метил}бензальдегид (200 мг, 0,50 ммоль) и тиоморфолин (51 мкл, 0,50 ммоль) превращали в соответствующий продукт восстановительного аминирования с использованием следующих количеств реагентов и растворителей: цианоборгидрид натрия (63 мг, 1,0 ммоль), MeOH (3 мл). Время реакции в этом случае составляло 5 часов. Очистка полученного таким образом неочищенного вещества радиальной хроматографией (силикагель, 1 мм пластина, 50:2:1 CH2Cl2:MeOH:NH4OH) давала 63 мг (26%) AMD9698 в виде белой пены. 1Н ЯМР (CDCl3) Пример: 45
AMD11173: Получение (1Н-бензимидазол-2-илметил)-(5,6,7,8-тетрагидрохинолин-8-ил)-(2-циклопропиламинометилбензил)амина (HBr соль). Используя общую методику В {прямое восстановительное аминирование с использованием NaBH(OAc)3}, взаимодействие фталевого дикарбоксальдегида (0,960 г, 7,16 ммоль) и (1Н-бензимидазол-2-илметил)-(5,6,7,8-тетрагидрохинолин-8-ил)амина (0,991 г, 3,58 ммоль) с NaBH(OAc)3 (3,24 г, 15,3 ммоль) в CH2Cl2 (20 мл) в течение 65 часов с последующим перемешиванием в ТГФ (10 мл) и 4н. HCl (20 мл) давало неочищенный продукт. Очистка неочищенного вещества колоночной хроматографией на силикагеле (37 г диоксида кремния, 30:1 CH2Cl2:CH3OH) давала 1,21 г (45%) смеси продуктов бензилового альдегида и бензилового спирта. Данную смесь альдегида и спирта (1,21 г, 3,04 ммоль) растворяли в CH2Cl2 (20 мл), обрабатывали MnO2 (1,990 г, 19,5 ммоль) и перемешивали в течение 48 часов. Суспензию фильтровали через целит и концентрировали, получая неочищенный продукт. Очистка колоночной хроматографией на силикагеле (51 г диоксида кремния, 60:1 CH2Cl2:СН3ОН) давала 942 мг (66% по трем стадиям) промежуточного о-бензилового альдегида в виде желтой пены. Полученный выше альдегид (0,119 г, 0,300 ммоль) перемешивали с циклопропиламином (32 мкл, 0,461 ммоль) в CH3OH (2,5 мл) в течение 1 часа, затем обрабатывали NaBH4 (18 мг, 0,475 ммоль). Через 1 час смесь концентрировали. Остаток разбавляли CH2Cl2 (20 мл) и промывали насыщенным раствором соли (3 × 10 мл). Объединенную водную фазу экстрагировали CH2Cl2 (1 × 15 мл). Объединенные органические фазы сушили (Na2SO4), фильтровали и концентрировали, получая неочищенный продукт. Очистка радиальной хроматографией на силикагеле (1 мм пластина, 100:1:1 CH2Cl2:CH3OH:NH4OH) давала 0,066 г (50%) белой пены. Используя общую методику D, превращение полученной выше пены (66 мг, 0,151 ммоль) в гидробромидную соль с последующим переосаждением промежуточного твердого вещества из смеси метанол/эфир давало AMD11173 (100 мг, 92%) в виде белого твердого вещества. 1Н ЯМР (D2О) Пример: 46
AMD 11173: Получение (1Н-бензимидазол-2-илметил)-(5,6,7,8-тетрагидрохинолин-8-ил)-(2-аллиламинометилбензил)амина (HBr соль). Используя общую методику В (прямое восстановительное аминирование с использованием NaBH(ОАс)3), взаимодействие фталевого дикарбоксальдегида (0,960 г, 7,16 ммоль) и (1Н-бензимидазол-2-илметил)-(5,6,7,8-тетрагидрохинолин-8-ил)амина (0,991 г, 3,58 ммоль) с NaBH(OAc)3 (3,24 г, 15,3 ммоль) в CH2Cl2 (20 мл) в течение 65 часов с последующим перемешиванием в ТГФ (10 мл) и 4н. HCl (20 мл) давало неочищенный продукт. Очистка неочищенного вещества колоночной хроматографией на силикагеле (37 г диоксида кремния, 30:1 CH2Cl2:СН3ОН) давало 1,21 г (45%) смеси продуктов бензилового альдегида и бензилового спирта. Смесь альдегида и спирта (1,21 г, 3,04 ммоль) растворяли в CH2Cl2 (20 мл), обрабатывали MnO2 (1,990 г, 19,5 ммоль) и перемешивали в течение 48 часов. Суспензию фильтровали через целит и концентрировали, получая неочищенный продукт. Очистка колоночной хроматографией на силикагеле (51 г диоксида кремния, 60:1 CH2Cl2:СН3ОН) давала 942 мг (66% по трем стадиям) промежуточного o-бензилового альдегид в виде желтой пены. Полученный выше альдегид (0,150 г, 0,378 ммоль) перемешивали с аллиламином (42 мкл, 0,968 ммоль) в CH3OH (2,5 мл) в течение 18 часов, затем обрабатывали NaBH4 (24 мг, 0,634 ммоль). Смесь концентрировали через 90 минут. Остаток разбавляли CH2Cl2 (30 мл) и промывали насыщенным раствором соли (3 × 15 мл). Объединенную водную фазу экстрагировали CH2Cl2 (1 × 15 мл). Объединенные органические фазы сушили (Na2SO4), фильтровали и концентрировали, получая неочищенный продукт. Очистка радиальной хроматографией на силикагеле (2 мм пластина, 100:1:1 CH2Cl2:CH3OH:NH4ОН) давала 53 мг (32%) белой пены. Используя общую методику D, превращение полученной выше пены (53 мг, 0,121 ммоль) в гидробромидную соль с последующим переосаждением промежуточного твердого вещества из смеси метанол/эфир давало АМD1174 (77 мг, 88%) в виде белого твердого вещества. 1Н ЯМР (D2О) Пример: 47
AMD11133: Получение (1H-бензимидазол-2-илметил)-[2-(R)-(2-аминопропиоамидилметил)бензил]-(5,6,7,8-тетрагидрохинолин-8-ил)амина (гидробромидная соль). К раствору N-трет-бутоксикарбонил-l-аланина (37 мг, 0,195 ммоль) в дихлорметане (5 мл) добавляли, в следующей последовательности: диизопропилэтиламин (0,08 мл, 0,468 ммоль), 1-гидроксибензотриазол ((HOBT) 32 мг, 0,234 ммоль), (1H-бензимидазол-2-илметил)-(2-аминометилбензил)-(5,6,7,8-тетрагидрохинолин-8-ил)амин (62 мг, 0,156 ммоль) и гидрохлорид 1-(3-диметиламинопропил)-3-этилкарбодиимида ((EDAC) 45 мг, 0,234 ммоль). Полученный раствор затем перемешивали в течение ночи при комнатной температуре в атмосфере азота. Раствор затем экстрагировали водным хлоридом аммония, сушили, концентрировали и очищали флэш-хроматографией на силикагеле с использованием раствора 20:1 дихлорметан:метанол в качестве элюента, получая (1H-бензимидазол-2-илметил)-{2-(R)-[2-(N-трет-бутоксикарбонил)аминопропиоамидилметил]бензил}-(5,6,7,8-тетрагидрохинолин-8-ил)амин в виде смеси двух диастереоизомеров с выходом 61 мг (69%). 1Н ЯМР (CDCl3) (1H-Бензимидазол-2-илметил)-{2-(R)-[2-(N-трет-бутоксикарбонил)аминопропиоамидилметил]бензил}-(5,6,7,8-тетрагидрохинолин-8-ил)амин (61 мг 0,107 ммоль) помещали в уксусную кислоту (1 мл), к которой добавляли насыщенный раствор HBr в уксусной кислоте (1 мл). Смесь затем перемешивали, осаждали и выделяли по методике D, получая AMD11133 в виде белого кристаллического твердого вещества с выходом 64 мг. 1Н ЯМР (D2О) Пример: 48
AMD9872: Получение (1Н-бензимидазол-2-илметил)-[2-(1Н-бензимидазол-2-илметил)аминобензил]-(5,6,7,8-тетрагидрохинолин-8-ил)амина. Получение (5,6,7,8-тетрагидрохинолин-8-ил)-(2-аминобензил)амина Используя общую методику B, к раствору 2-аминобензиламина (0,36 г, 2,9 ммоль) и 6,7-дигидро-5Н-хинолин-8-она (0,43 г, 2,9 ммоль) в CH2Cl2 (15 мл) добавляли NaBH(ОАс)3 (0,92 г, 4,4 ммоль) и смесь перемешивали при комнатной температуре в течение 64 часов. Очистка неочищенного вещества колоночной хроматографией на силикагеле (2% MeOH/CH2Cl2) давала (5,6,7,8-тетрагидрохинолин-8-ил)-(2-аминобензил)амин (0,39 г, 52%) в виде желтого масла. 1Н ЯМР (CDCl3) Используя общую методику N-алкилирования, раствор (5,6,7,8-тетрагидрохинолин-8-ил)-(2-аминобензил)амина (0,16 г, 0,6 ммоль), N,N-диизопропилэтиламина (0,32 мл, 1,8 ммоль) и иодида калия (10 мг, 40 ммоль) в CH3CN (6 мл) подвергали взаимодействию с 1-(N-трет-бутоксикарбонил)-2-хлорметилбензимидазолом (0,32 г, 1,2 ммоль) при 70°C в течение 16 часов, получая после очистки колоночной хроматографией на силикагеле (CH2Cl2/MeOH, 250:1) N-алкилированный продукт (0,16 г, 37%) в виде бледно-желтого твердого вещества. 1Н ЯМР (CDCl3) Раствор полученного выше вещества (0,17 г, 0,24 ммоль) в смеси CH2Cl2/ТФУК (1:1, 2 мл) перемешивали в течение 0,5 часа и раствор концентрировали при пониженном давлении. Реакционную смесь распределяли между 15% водным NaOH (5 мл) и СН2Cl2 (5 мл), фазы разделяли и органический экстракт сушили (MgSO4), фильтровали, концентрировали и очищали радиальной хроматографией на силикагеле (МеОН/NH4OH/CH2Cl2; 1:1:98), получая AMD9872 (48 мг, 40%) в виде бледно-желтого твердого вещества. 1H ЯМР (CDCl3) Пример: 49
AMD9883: Получение (2-аминобензил)-(1Н-бензимидазол-2-илметил)-(5,6,7,8-тетрагидрохинолин-8-ил)амина. Используя общую методику N-алкилирования, раствор (5,6,7,8-тетрагидрохинолин-8-ил)-(2-аминобензил)амина (0,20 г, 0,8 ммоль), N,N-диизопропилэтиламина (0,14 мл, 0,8 ммоль) и иодида калия (5 мг, 30 ммоль) в CH3CN (8 мл) подвергали взаимодействию с 1-(N-трет-бутоксикарбонил)-2-хлорметилбензимидазолом (0,145 г, 0,55 ммоль) при 70°C в течение 16 часов, получая после очистки радиальной хроматографией на силикагеле (MeOH/NH4OH/CH2Cl2; 1:1:98) моно N-алкилированный продукт (65 мг, 25%) в виде бледно-желтого твердого вещества. 1Н ЯМР (CDCl3) Раствор полученного выше вещества (65 мг, 0,13 ммоль) в смеси CH2Cl2/ТФУК (1:1, 1 мл) перемешивали в течение 0,5 часа и раствор концентрировали при пониженном давлении. Реакционную смесь распределяли между 15% водным NaOH (3 мл) и CH2Cl2 (5 мл), фазы разделяли и органический экстракт сушили (MgSO4), фильтровали, концентрировали и очищали радиальной хроматографией на силикагеле (МеОН/NH4OH/CH2Cl2; 1:1:150), получая AMD9883 (33 мг, 64%) в виде бледно-желтого твердого вещества. 1Н ЯМР (CDCl3) Пример:50
AMD9736: Получение (1Н-бензимидазол-2-илметил)-(2-цианобензил)-(5,6,7,8-тетрагидрохинолин-8-ил)амина (гидробромидная соль). Промежуточный [1-(трет-бутоксикарбонил)-(1Н-бензимидазол-2-илметил)]-(2-цианобензил)-(5,6,7,8-тетрагидрохинолин-8-ил)амин (см., AMD9720) (72 мг, 0,145 ммоль) кипятили с обратным холодильником в 6н. HCl (5 мл) в течение 16 часов. Растворитель удаляли при пониженном давлении и полученную соль растворяли в дистиллированной воде (0,8 мл) и этаноле (95%, 0,8 мл) и обрабатывали NaOH (0,148 г, 3,69 ммоль). Смесь нагревали при 90°C в течение 2 часов и перемешивали при комнатной температуре в течение 64 часов. Двухфазную систему разбавляли водой (4 мл) и экстрагировали эфиром (3 × 10 мл). Объединенные органические фазы сушили (Na2SO4), фильтровали и концентрировали при пониженном давлении, получая белый порошок. Очистка твердого вещества радиальной хроматографией (1 мм пластина для ТСХ, 60:1:1 CH2Cl2/CH3OH/NH4OH) давала целевое свободное основание (48 мг, 84 %). По общей методике D превращение полученного выше вещества (48 мг) в гидробромидную соль давало AMD9736 (45 мг, 64%). 1Н ЯМР (D2О) Пример: 51
AMD11091: Получение этилового эфира 2-{[(1Н-бензимидазол-2-илметил)-(5,6,7,8-тетрагидрохинолин-8-ил)амино]метил}-6-метоксибензойной кислоты (гидробромидная соль). К раствору этил 6-метилсалицилата (1,27 г, 6,97 ммоль) в ТГФ (35 мл) добавляли моногидрат гидроксида лития (0,594 г, 14,2 ммоль) с последующим добавлением диметилсульфата (1,00 мл, 10,6 ммоль). Полученную смесь кипятили с обратным холодильником в течение 1 часа, затем охлаждали до комнатной температуры. Смесь разбавляли диэтиловым эфиром (70 мл), промывали насыщенным водным раствором NaHCO3 (4 × 10 мл), сушили (MgSO4) и концентрировали. Очистка неочищенного вещества колоночной хроматографией на силикагеле (9:1 гексаны-EtOAc) давала 1,23 г (91%) этил 2-метокси-6-метилбензоата в виде белого твердого вещества. 1Н ЯМР (CDCl3) К раствору этил 2-метокси-6-метилбензоата (0,813 г, 4,19 ммоль) в CCl4 (8 мл) добавляли перекристаллизованный N-бромсукцинимид (0,751 г, 4,22 ммоль) с последующим добавлением бензоилпероксида (52 мг, 0,22 ммоль). Полученную смесь кипятили с обратным холодильником в течение 90 минут, затем охлаждали до комнатной температуры. Смесь разбавляли диэтиловым эфиром (50 мл), фильтровали через бумажный фильтр и фильтрат концентрировали. Очистка неочищенного вещества колоночной хроматографией (8:1 гексаны-EtOAc) давала 0,68 г (60%) этил 6-(бромметил)-2-метоксибензоата в виде бесцветного масла. 1Н ЯМР (CDCl3) К раствору (1-трет-бутоксикарбонил-1Н-бензимидазол-2-илметил)-(5,6,7,8-тетрагидрохинолин-8-ил)амина (0,409 г, 1,08 ммоль) в CH3CN (5 мл) добавляли N,N-диизопропилэтиламин (0,38 мл, 2,18 ммоль), затем раствор этил 6-(бромметил)-2-метоксибензоата (0,454 г, 1,66 ммоль) в CH3CN (6 мл). Полученную смесь нагревали при 60°C в течение 22 часов, затем охлаждали до комнатной температуры. Смесь концентрировали и остаток распределяли между CH2Cl2 (50 мл) и насыщенным раствором соли (10 мл). Фазы разделяли и водную фазу экстрагировали CH2Cl2 (3×10 мл). Объединенные органические экстракты сушили (Na2SO4) и концентрировали. Очистка неочищенного вещества колоночной хроматографией на силикагеле (25:1 СН2Cl2-СН3ОН) с последующей дополнительной хроматографической очисткой колоночной хроматографией на силикагеле (2:1 гексаны-EtOAc) и радиальной хроматографией на силикагеле (2 мм пластина, 100:1:1 СН2Cl2-СН3ОН-NH4ОН) давало 0,38 г (62%) белого твердого вещества. Используя общую методику D, превращение полученного выше твердого вещества (55 мг, 0,10 ммоль) в гидробромидную соль с одновременным удалением ВОС-защитной группы, с последующим переосаждением промежуточного твердого вещества из смеси метанол/эфир давало AMD11091 (35 мг, 51%) в виде золотистого твердого вещества. 1H ЯМР (D2О) Пример: 52
AMD9837: Получение (6-аминопиридин-3-илметил)-(бензимидазол-2-илметил)-(5,6,7,8-тетрагидрохинолин-8-ил)амина (гидробромидная соль). Получение 6-(N-трет-бутоксикарбониламино)-3-гидроксиметилпиридина. Раствор 6-аминоникотиновой кислоты (2,0 г, 14,4 ммоль) в безводном EtOH (70 мл) и концентрированную серную кислоту (14 мл) кипятили с обратным холодильником в течение 16 часов. Раствор концентрировали при пониженном давлении, нейтрализовали насыщенным водным Na2CO3 (50 мл) и экстрагировали CH2Cl2 (3 × 50 мл). Объединенные органические фазы сушили (MgSO4), фильтровали и концентрировали, получая этиловый эфир 6-аминоникотиновой кислоты (2,18 г, 92%) в виде белого порошка. 1H ЯМР (CDCl3) К раствору этилового эфира 6-аминоникотиновой кислоты (1,18 г, 7,1 ммоль) в безводном ТГФ (24 мл) добавляли раствор литийалюминийгидрида (0,41 г, 10,6 ммоль) в ТГФ (12 мл) при 0°C в течение 10 минут и смесь перемешивали в течение 1,5 часов. К реакционной смеси добавляли последовательно 0,5 мл H2O, 0,5 мл 15%-ного водного NaOH и 1,5 мл H2O и полученную суспензию фильтровали. Фильтрат сушили (MgSO4), фильтровали, концентрировали и очищали колоночной хроматографией (10% MeOH/CH2Cl2), получая 6-амино-3-гидроксиметилпиридин (0,61 г, 69%) в виде бесцветных кристаллов. 1H ЯМР (MeOD) К раствору 6-амино-3-гидроксиметилпиридина (0,30 г, 2,4 ммоль) в безводном трет-бутаноле (12,4 г, 16 мл) добавляли ди-трет-бутилдикарбонат (0,58 г, 2,7 ммоль) и смесь перемешивали 16 часов при 40°C. Реакционную смесь концентрировали при пониженном давлении и неочищенный остаток очищали колоночной хроматографией на силикагеле (7,5% MeOH/CH2Cl2), получая указанный в заголовке спирт (0,42 г, 77%) в виде белого твердого вещества. 1H ЯМР (CDCl3) Используя общую методику С, к раствору 6-(N-трет-бутоксикарбониламино)-3-гидроксиметилпиридина (0,42 г, 1,9 ммоль) и триэтиламина (0,40 мл, 2,8 ммоль) в CH2Cl2 (19 мл) добавляли метансульфонилхлорид (0,20 мл, 2,4 ммоль) и смесь перемешивали при комнатной температуре в течение 1 часа. Очистка неочищенного продукта колоночной хроматографией на силикагеле (4% МеОН/СН2Cl2) давала целевой мезилат (0,23 г, 42%). 1H ЯМР (CDCl3) Используя общую методику N-алкилирования, раствор полученного выше мезилата (0,22 г, 0,8 ммоль), N,N-диизопропилэтиламина (0,20 мл, 1,2 ммоль) и хлорида калия (10 мг, 0,04 ммоль) в CH3CN (8 мл) подвергали взаимодействию с (1-трет-бутоксикарбонилбензимидазол-2-илметил)-(5,6,7,8-тетрагидрохинолин-8-ил)амином (0,30 г, 0,8 ммоль) при 70°C в течение 16 часов. Очистка неочищенного вещества радиальной хроматографией на силикагеле (MeOH/NH4OH/CH2Cl2; 1:1:98) давала N-алкилированный продукт (180 мг, 40%) в виде хлопьевидного белого твердого вещества. 1H ЯМР (CDCl3) Используя общую методику D, превращение полученного выше твердого вещества (30 мг) в гидробромидную соль с одновременным удалением Boc-группы давало AMD9837 (0,034 г) в виде белого твердого вещества. 1H ЯМР (D2О) 1,90 (ушир.м, 1H), 2,20 (м, 2H), 2,40 (ушир.м, 1H), 3,02 (ушир.м, 2H), 3,70 (д, 1H, J=13,5 Гц), 3,83 (д, 1H, J=13,5 Гц), 4,37 (д, 1H, J=15,9 Гц), 4,58 (д, 1H, J=16,2 Гц), 4,75 (м, 1H), 6,62 (д, 1H, J=9,3 Гц), 7,53 (д, 1H, J=1,5 Гц), 7,57 (дд, 2H, J=3,0, 6,0 Гц), 7,68 (д, 1H, J=2,1 Гц), 7,70 (м, 2H), 7,92 (дд, 1H, J=6,0, 7,8 Гц), 8,40 (д, 1H, J=7,2 Гц), 8,75 (д, 1H, J=4,8 Гц); 13C ЯМР (D2O) Пример: 53
AMD9840: Получение (2-аминопиридин-3-илметил)-(бензимидазол-2-илметил)-(5,6,7,8-тетрагидро-8-хинолин)амина (гидробромидная соль). Получение 2-аминоникотинового альдегида Раствор 2-аминоникотиновой кислоты (2,0 г, 14,4 ммоль) в безводном EtOH (70 мл) и концентрированную серную кислоту (14 мл) кипятили с обратным холодильником в течение 16 часов. Раствор концентрировали при пониженном давлении, нейтрализовали насыщенным водным раствором NaHCO3 (50 мл) и экстрагировали CH2Cl2 (3 × 50 мл). Объединенные органические фазы сушили (MgSO4), фильтровали и концентрировали, получая этиловый эфир 2-аминоникотиновой кислоты в виде желтого твердого вещества (1,74 г, 74%). 1H ЯМР (CDCl3) К раствору этилового эфира 2-аминоникотиновой кислоты (1,74 г, 10,5 ммоль) в безводном ТГФ (35 мл) добавляли раствор литийалюминийгидрида (0,60 г, 15,7 ммоль) в ТГФ (17 мл) при 0°C в течение 15 минут и смесь перемешивали в течение 1,5 часов. К реакционной смеси добавляли последовательно 0,6 мл H2O, 0,6 мл 15%-ного водного NaOH и 1,8 мл H2O и фильтровали полученную суспензию. Фильтрат сушили (MgSO4), фильтровали, концентрировали и очищали колоночной хроматографией (10% МеОН/CH2Cl2), получая 2-амино-3-гидроксиметилпиридин (1,03 г, 79%) в виде желтого кристаллического твердого вещества. 1H ЯМР (CDCl3) Полученный выше спирт (0,10 г, 0,8 ммоль) растворяли в CH2Cl2 (8 мл), обрабатывали активированным MnO2 (0,70 г, 8 ммоль) и перемешивали при комнатной температуре в течение 1,5 часов. Смесь фильтровали через целит и осадок на фильтре промывали СН2Cl2. Растворитель удаляли из фильтрата при пониженном давлении и получали 2-аминоникотиновый альдегид (0,10 г, 99%) в виде бледно-желтого кристаллического твердого вещества. 1H ЯМР (CDCl3) Используя общую методику B, к раствору 2-аминоникотинового альдегида (47 мг, 0,4 ммоль) и (1-трет-бутоксикарбонил-1Н-бензимидазол-2-илметил)-(5,6,7,8-тетрагидрохинолин-8-ил)амина (132 мг, 0,35 ммоль) в СН2Cl2 (4 мл) добавляли триацетоксиборгидрид натрия (126 мг, 0,59 ммоль) и смесь перемешивали при комнатной температуре в течение 16 часов. Очистка неочищенного продукта колоночной хроматографией на силикагеле (2% MeOH/CH2Cl2) давала целевой N-ацилированный продукт (68 мг, 40%) в виде белого твердого вещества. 1H ЯМР (CDCl3) Используя общую методику D, превращение полученного выше вещества (25 мг) в гидробромидную соль с одновременным удалением Boc-группы давало AMD9840 (0,025 г) в виде белого твердого вещества. 1H ЯМР (D2О) Пример: 54 AMD9681: Получение N-(4-{[(1Н-бензимидазол-2-илметил)-(5,6,7,8-тетрагидрохинолин-8-ил)амино]метил}фенил)гуанидина (гидробромидная соль). К раствору 4-аминобензилового спирта (0,127 г, 1,03 ммоль) в безводном ТГФ (1 мл) добавляли N,N’-бис(трет-бутоксикарбонил)-1Н-пиразол-1-карбоксамидин (Tetrahedron Lett. 1993, 34, 3389) и полученную смесь перемешивали при комнатной температуре в течение 26 часов. Смесь разбавляли гексанами (1 мл) и фильтровали через короткую колонку с силикагелем (100% гексаны, затем смесь 1:1 гексаны/этилацетат). Подходящие фракции концентрировали, получая N,N’-бис-(трет-бутоксикарбонил)-N”-(4-гидроксиметилфенил)гуанидин (0,309 г, 85%) в виде белого твердого вещества. Полученный выше спирт (0,282 г, 0,771 ммоль) растворяли в CH2Cl2 (7 мл), обрабатывали активированным MnO2 (0,696 г, 8,01 ммоль) и перемешивали при комнатной температуре в течение ночи. Смесь фильтровали через целит и осадок на фильтре промывали CH2Cl2. Растворитель удаляли из фильтрата при пониженном давлении и получали N,N’-бис-(трет-бутоксикарбонил)-N’-(4-формилфенил)гуанидин (0,260 г, 93%) в виде белого твердого вещества. 1H ЯМР (CDCl3) Используя общую методику B, взаимодействие N,N’-бис-(трет-бутоксикарбонил)-N’-(4-формилфенил)гуанидина (0,167 г, 0,49 ммоль) и (1-трет-бутоксикарбонил-1Н-бензимидазол-2-илметил)-(5,6,7,8-тетрагидрохинолин-8-ил)амина (0,151 г, 0,42 ммоль) с NaBH(OAc)3 (0,184 г, 0,87 ммоль) в CH2Cl2 (4 мл) в течение 4,5 часов с последующей очисткой неочищенного вещества радиальной хроматографией на силикагеле (2 мм пластина, 20:1:1 СН2Cl2/CH3OH/NH4OH) давало целевой третичный амин (0,101 г, 33%) в виде белого твердого вещества. Используя общую методику D, превращение белого твердого вещества (101 мг) в гидробромидную соль с одновременным удалением BOC-защитной группы, с последующим переосаждением промежуточного твердого вещества из смеси метанол/эфир давало AMD9681 (66 мг) в виде белого твердого вещества. 1H ЯМР (D2О) Пример: 55
AMD9730: Получение (4-аминобензил)-(1Н-бензимидазол-2-илметил)-(5,6,7,8-тетрагидрохинолин-8-ил)амина (гидробромидная соль). Получение трет-бутилового эфира (4-формилфенил)карбаминовой кислоты
Раствор 4-аминобензилового спирта (607 мг, 4,93 ммоль) и ди-трет-бутилдикарбоната (1,3 г, 6,0 ммоль) в ТГФ (16 мл) перемешивали при комнатной температуре в течение 24 часов, затем концентрировали. Очистка неочищенного вещества на силикагеле (30% EtOAc/гексаны) давала бесцветное масло (906 мг, 82%). 1H ЯМР (CDCl3) К раствору полученного выше спирта (200 мг, 0,896 ммоль) в CH2Cl2 (9 мл) добавляли активированный MnO2 (916 мг, 8,96 ммоль) и смесь перемешивали при комнатной температуре в течение ночи. Реакционную смесь фильтровали через целит и осадок на фильтре промывали CH2Cl2. Растворитель удаляли из фильтрата при пониженном давлении, получая указанное в заголовке соединение в виде бесцветных кристаллов (170 мг, 86%). 1H ЯМР (CDCl3) Используя общую методику B, к раствору [1-(трет-бутоксикарбонил)-(1Н-бензимидазол-2-илметил)]-(5,6,7,8-тетрагидрохинолин-8-ил)амина (83 мг, 0,22 ммоль) и трет-бутилового эфира (4-формилфенил)карбаминовой кислоты (66 мг, 0,30 ммоль) в ТГФ (3 мл) добавляли уксусную кислоту (0,017 мл, 0,30 ммоль) и NaBH(OAc)3 (190 мг, 0,896 ммоль) и смесь перемешивали при комнатной температуре в течение 4 часов. Очистка неочищенного желтого масла хроматографией на силикагеле (300:5:1 CH2Cl2/MeOH/NH4OH) давала бесцветную пену (128 мг). Раствор полученной выше пены в смеси 1:1 трифторуксусная кислота/CH2Cl2 (4 мл) перемешивали при комнатной температуре в течение 45 минут затем концентрировали. Остаток распределяли между CH2Cl2 (10 мл) и насыщенным водным раствором NaHCO3 (10 мл) и водную фазу экстрагировали CH2Cl2. Объединенные органические фазы сушили (MgSO4), фильтровали и концентрировали при пониженном давлении. Очистка неочищенного вещества хроматографией на силикагеле (600:5:1 EtOAc/МеОН/NH4OH) давала бесцветную пену (49 мг, 53%). Используя общую методику D, превращение полученной выше бесцветной пены (49 мг, 0,13 ммоль) в гидробромидную соль давало AMD9730 (56 мг, 67%) в виде желтого твердого вещества. 1H ЯМР (D2O) Пример: 56
AMD9774: Получение N’-({[(1Н-бензимидазол-2-илметил)-(5,6,7,8-тетрагидрохинолин-8-ил)амино]метил}фенил)-N,N-диметилформамидина. Получение O-метансульфонил-4-(трет-бутоксикарбонил)аминобензилового спирта Используя общую методику С, к раствору 4-(трет-бутоксикарбонил)аминобензилового спирт (446 мг, 2 ммоль) в CH2Cl2 (10 мл) добавляли метансульфонилхлорид (0,23 мл, 3 ммоль) и триэтиламин (0,56 мл, 4 ммоль). Раствор перемешивали в течение 60 минут при комнатной температуре. Очистка неочищенного продукта хроматографией на силикагеле (2% MeOH/CH2Cl2) давала указанное в заголовке соединение (320 мг, 56%) в виде масла. 1H ЯМР (CDCl3) Используя общую методику N-алкилирования, к раствору полученного выше мезилата (213 мг, 0,75 ммоль) и N,N-диизопропилэтиламина (0,178 мл, 1,0 ммоль) в CH3CN (10 мл) добавляли (1-трет-бутоксикарбонил-1Н-бензимидазол-2-илметил)-(5,6,7,8-тетрагидрохинолин-8-ил)амин (210 мг, 0,55 ммоль) и смесь перемешивали при 60°C в течение 4 часов. Очистка неочищенного продукта хроматографией на силикагеле (20:1 CH2Cl2/MeOH) давала (1Н-N-трет-бутоксикарбонилбензимидазол-2-илметил)-[4-(трет-бутоксикарбониламино)бензил]-(5,6,7,8-тетрагидрохинолин-8-ил)амин (126 мг, 39%). 1H ЯМР (CDCl3) К раствору (1Н-N-трет-бутоксикарбонилбензимидазол-2-илметил)-[4-(трет-бутоксикарбониламино)бензил]-(5,6,7,8-тетрагидрохинолин-8-ил)амина (62 мг, 0,106 ммоль) в CH2Cl2 (2 мл) добавляли трифторуксусную кислоту (1 мл). Смесь перемешивали при комнатной температуре в течение 2 часов, затем концентрировали. Остаток помещали в CH2Cl2, промывали 15%-ным NaOH (3 мл) и несколько раз экстрагировали CH2Cl2, Объединенные органические фракции сушили над безводным сульфатом натрия, фильтровали и концентрировали. Неочищенный (1Н-бензимидазол-2-илметил)-[4-аминобензил]-(5,6,7,8-тетрагидрохинолин-8-ил)амин затем добавляли к раствору 2-пиридинсульфонилхлорида (27 мг, 0,15 ммоль) в ДМФ (1 мл). Полученный раствор перемешивали при комнатной температуре в течение 30 минут. Смесь затем концентрировали, помещали в СН2Cl2 и промывали водным карбонатом калия. Органическую фракцию затем сушили над безводным сульфатом натрия, фильтровали, концентрировали и очищали хроматографией на силикагеле (10:1:0,1 CH2Cl2:MeOH:NH4OH), получая N’-({[(1H-бензимидазол-2-илметил)-(5,6,7,8-тетрагидрохинолин-8-ил)амино]метил}фенил)-N,N-диметилформамидин (21 мг, 47%). 1H ЯМР (CDCl3) Используя общую методику D, превращение N’-({[(1H-бензимидазол-2-илметил)-(5,6,7,8-тетрагидрохинолин-8-ил)амино]метил}фенил)-N,N-диметилформамидина (21 мг, 0,047 ммоль) в гидробромидную соль давало AMD9774 (14 мг) в виде белого твердого вещества. 1H ЯМР (D2O) Пример: 57
AMD9685: Получение оксима 4-{[(1Н-бензимидазол-2-илметил)-(5,6,7,8-тетрагидрохинолин-8-ил)амино]метил}бензальдегида. К перемешиваемому раствору N’-(1Н-бензимидазол-2-илметил)-N’-(5,6,7,8-тетрагидро-8-хинолинил)-l,4-бензолдиметанамина (200 мг, 0,50 ммоль) в MeOH (5 мл) добавляли твердый дигидрат вольфрамата натрия (332 мг, 1,0 ммоль) с последующим добавлением 35 мас.% водного раствора пероксида водорода (2,9 мл, 30 ммоль). Полученную суспензию перемешивали 3 часа, затем добавляли насыщенный водный бикарбонат натрия (5 мл). Фазы разделяли и водный слой экстрагировали CH2Cl2 (3×10 мл), затем объединенные органические экстракты промывали один раз насыщенным раствором соли (10 мл), сушили (MgSO4) и концентрировали в вакууме. Очистка неочищенного вещества флэш-хроматографией (силикагель, 75:1:1 CH2Cl2/MeOH/NH4OH) давала указанное в заголовке соединение (130 мг, 63%) в виде белого твердого вещества. 1H ЯМР (CDCl3) Пример: 58
AMD9773: Получение [4-(1Н-бензимидазол-2-илметил)-(5,6,7,8-тетрагидрохинолин-8-ил)аминометил]бензамидина (гидробромидная соль). Используя общую методику B, к раствору 4-цианобензальдегида (0,15 г, 1,1 ммоль) и (1-трет-бутоксикарбонил-1Н-бензимидазол-2-илметил)-(5,6,7,8-тетрагидрохинолин-8-ил)амина (0,38 г, 1,0 ммоль) в CH2Cl2 (10 мл) добавляли NaBH(OAc)3 (0,36 г, 1,7 ммоль) и смесь перемешивали при комнатной температуре в течение 6 часов. Очистка неочищенного вещества колоночной хроматографией на силикагеле (2% MeOH/CH2Cl2) давала N-алкилированный продукт (0,26 г, 72%) в виде белого твердого вещества. 1H ЯМР (CDCl3) В раствор полученного выше вещества (0,26 г, 0,53 ммоль) в безводном EtOH (3,5 мл) при 0°C барботировали газообразный HCl в течение 30 минут и смесь перемешивали при комнатной температуре дополнительно в течение 4 часов. Реакционную смесь концентрировали при пониженном давлении и полученный остаток промывали диэтиловым эфиром (3 × 20 мл) и сушили в вакууме, получая целевую HCl соль этоксиимина, которую непосредственно использовали в следующей реакции. 1H ЯМР (D2O) К раствору гидрохлоридной соли (N-трет-бутоксикарбонилбензимидазол-2-илметил)-(4-этоксииминбензил)-(5,6,7,8-тетрагидрохинолин-8-ил)амина (полученного выше) в безводном EtOH (3 мл) добавляли карбонат аммония (0,24 г, 2,5 ммоль) и раствор перемешивали при комнатной температуре в течение 16 часов. Реакционную смесь концентрировали при пониженном давлении и очищали хроматографией через слой силикагеля (МеОН/NH4OH/СН2Cl2, 15:10:75), получая целевой бензамидин (0,10 г, 48% выход по 2 стадиям) в виде белого порошка. 1H ЯМР (CDCl3) Используя общую методику D, превращение полученного выше вещества (100 мг) в гидробромидную соль давало AMD9773 (70 мг) в виде белого твердого вещества. 1H ЯМР (D2О) Пример: 59
AMD9717: Получение 4-{[(1Н-бензимидазол-2-илметил)-(5,6,7,8-тетрагидрохинолин-8-ил)амино]метил}бензилового спирта. К перемешиваемому раствору 8-амино-5,6,7,8-тетрагидрохинолина (5,56 г, 37,5 ммоль) в безводном MeOH (150 мл) добавляли 4-гидроксиметилбензальдегид (7,22 г, 52,5 ммоль) в атмосфере аргона и смесь перемешивали в течение ночи при комнатной температуре. К полученному раствору добавляли боргидрид натрия (2,85 г, 75 ммоль) тремя порциями в течение 45 минут и реакционную смесь перемешивали в течение 24 часов, получая бледно-желтое масло, которое использовали на следующей стадии без какой-либо дополнительной очистки (см., общую методику B). К перемешиваемому раствору полученного выше масла (7,64 г) в безводном CH3CN (100 мл) добавляли N,N-диизопропилэтиламин (10 мл, 57 ммоль), иодид калия (0,24 г, 1,4 ммоль) и 1-N-трет-бутоксикарбонил-2-хлорметилбензимидазол (7,98 г, 29,9 ммоль) в виде раствора в CH3CN (50 мл). Смесь перемешивали в атмосфере аргона при 60°C в течение ночи. Реакционную смесь концентрировали в вакууме, разбавляли CH2Cl2 (100 мл) и промывали насыщенным водным хлоридом аммония (150 мл). Водный слой экстрагировали CH2Cl2 (2 × 50 мл) и объединенные органические слои сушили (Na2SO4), фильтровали и концентрировали в вакууме. Раствор полученного выше неочищенного вещества в смеси CH2Cl2/трифторуксусная кислота (2:1, 30 мл) перемешивали в течение 3 часов при комнатной температуре. Реакционную смесь разбавляли CH2Cl2 (30 мл) и концентрировали в вакууме. Остаток разбавляли CH2Cl2 (50 мл) и промывали 1н. NaOH (50 мл). Водный слой экстрагировали CH2Cl2 (2 × 30 мл) и объединенные органические слои сушили (Na2SO4), фильтровали и концентрировали в вакууме, получая коричневую пену. Небольшую порцию (111 мг) неочищенного вещества очищали радиальной хроматографией на 1 мм пластине силикагеля для ТСХ (CH2Cl2/MeOH/NH4OH, 100:1:1), получая свободное основание, AMD9717, (31,4 мг, 28%) в виде белой пены. 1Н ЯМР (CDCl3) Пример: 60
AMD9882: Получение 4-{[(1Н-бензимидазол-2-илметил)-(5,6,7,8-тетрагидрохинолин-8-ил)амино]метил}бензальдегида. К перемешиваемому раствору полученного выше спирта, 4-{[(1Н-бензимидазол-2-илметил)-(5,6,7,8-тетрагидрохинолин-8-ил)амино]метил}бензилового спирта (AMD9717), (9,29 г) в безводном CH2Cl2 (200 мл) добавляли MnO2 (20,3 г, 233 ммоль) и смесь перемешивали в течение 4 часов при комнатной температуре. Затем добавляли дополнительную порцию MnO2 (8,5 г, 97,8 ммоль) и смесь перемешивали в течение ночи при комнатной температуре. Реакционную смесь фильтровали через слой целита, осадок на фильтре промывали CHCl3 и полученный фильтрат концентрировали в вакууме. Очистка неочищенного продукта колоночной хроматографией на силикагеле (CH2Cl2/MeOH, 97:3 затем 96:4) давала альдегид (5,08 г, 34%, 5 стадий) в виде бледно-желтого твердого вещества. 1Н ЯМР (CDCl3) Пример: 61
AMD9711: Получение метилового эфира 4-{[(1Н-бензимидазол-2-илметил)-(5,6,7,8-тетрагидрохинолин-8-ил)амино]метил}бензойной кислоты. По общему способу B к раствору (1-трет-бутоксикарбонил-1Н-бензимидазол-2-илметил)-(5,6,7,8-тетрагидрохинолин-8-ил)амина (680 мг, 1,8 ммоль) и метил 4-формилбензоата (295 мг, 1,8 ммоль) в СН2Cl2 (10 мл) добавляли NaBH(OAc)3 (763 мг, 3,6 ммоль) и смесь перемешивали в течение 18 часов. Полученное неочищенное вещество помещали в неразбавленную ТФУК (2 мл) и перемешивали 3 часа. Осторожно добавляли насыщенный водный раствор бикарбоната натрия (10 мл), полученную смесь экстрагировали СН2Cl2 (3 × 20 мл), объединенные органические экстракты сушили (MgSO4) и концентрировали в вакууме. Очистка неочищенного вещества флэш-хроматографией (силикагель, 50:2:1 CH2Cl2/MeOH/NH4OH) давала указанное в заголовке соединение (565 мг, 74%) в виде белого твердого вещества. 1Н ЯМР (CDCl3) Пример: 62
AMD9738: Получение (R,S)-4-{[(1H-бензимидазол-2-илметил)-(5,6,7,8-тетрагидрохинолин-8-ил)амино]метил}-N-гидроксибензамида. К перемешиваемому раствору метилового эфира 4-{[(1Н-бензимидазол-2-илметил)-(5,6,7,8-тетрагидрохинолин-8-ил)амино]метил}бензойной кислоты (AMD9711) (120 мг, 0,23 ммоль) в безводном MeOH (3 мл) добавляли гидрохлорид гидроксиламина (32 мг, 0,46 ммоль) с последующим добавлением гидроксида калия (39 мг, 0,69 ммоль). Полученный раствор перемешивали в течение 18 часов и в этот момент добавляли воду (5 мл) и CH2Cl2 (5 мл). Фазы разделяли и водный слой доводили до pH 7 добавлением насыщенного водного раствора гидроксида аммония, затем экстрагировали CH2Cl2 (3 × 10 мл). Объединенные органические экстракты сушили (MgSO4), фильтровали и концентрировали в вакууме. Очистка неочищенного вещества радиальной хроматографией (1 мм пластина, 10:1:1 CH2Cl2/MeOH/NH4OH) давала указанное в заголовке соединение (52 мг, 43%) в виде белого твердого вещества. 1Н ЯМР (CDCl3) Пример: 63
AMD9743: Получение гидразида 4-{[(1Н-бензимидазол-2-илметил)-(5,6,7,8-тетрагидрохинолин-8-ил)амино]метил}бензойной кислоты. К перемешиваемому раствору метилового эфира 4-{[(1Н-бензимидазол-2-илметил)-(5,6,7,8-тетрагидрохинолин-8-ил)амино]метил}бензойной кислоты (AMD9711) (140 мг, 0,33 ммоль) в безводном этаноле (3 мл) добавляли моногидрат гидразина (0,5 мл, 10,3 ммоль) и полученную смесь нагревали при 80°C в течение 24 часов. Добавляли насыщенный водный раствор бикарбоната аммония (5 мл), фазы разделяли и водный слой экстрагировали CH2Cl2 (3 × 10 мл). Объединенные органические экстракты сушили (MgSO4) и концентрировали в вакууме. Очистка неочищенного вещества радиальной хроматографией (1 мм пластина, 75:1:1 CH2Cl2-MeOH-NH4OH) давала указанное в заголовке соединение (89 мг, 61%) в виде белого твердого вещества. 1Н ЯМР (CDCl3) Пример: 64
AMD9769: Получение 4-{[(1Н-бензимидазол-2-илметил)-(5,6,7,8-тетрагидрохинолин-8-ил)амино]метил}бензойной кислоты (гидробромидная соль). К раствору метилового эфира 4-{[(1Н-бензимидазол-2-илметил)-(5,6,7,8-тетрагидрохинолин-8-ил)амино]метил}бензойной кислоты (AMD9711) (90 мг, 0,21 ммоль) в MeOH (2,5 мл) добавляли водный NaOH (3,5 м, 0,30 мл, 1,05 ммоль). Реакционную смесь нагревали при 40°C в течение 16 часов, после чего раствор концентрировали, промывали насыщенным водным NaHCO3 (10 мл) и экстрагировали CH2Cl2 (2 × 50 мл). Водный слой подкисляли до pH 4 10% водной HCl, насыщенной NaCl (твердый) и продукт экстрагировали CH2Cl2 (3 x 75 мл). Объединенные органические экстракты сушили над MgSO4 и концентрировали, получая светло-желтую пену. 1Н ЯМР (300 МГц, CDCl3) По общей методике D превращение полученной выше пены в гидробромидную соль давало AMD9769. 1Н ЯМР (300 МГц, D2О) Пример: 65
AMD9770: Получение 4-{[(1H-бензимидазол-2-илметил)-(5,6,7,8-тетрагидрохинолин-8-ил)амино]метил}бензамида. Получение 4-формилбензамида
Неразбавленный тионилхлорид (1,94 мл, 27 ммоль) добавляли по каплям к перемешиваемой суспензии 4-формилбензойной кислоты (2,0 г, 13 ммоль) в безводном CH2Cl2 (50 мл). Полученную суспензию перемешивали 18 часов, в этот момент растворитель и избыток тионилхлорида удаляли в вакууме. Оставшееся твердое вещество повторно растворяли в безводном ТГФ (50 мл) и барботировали через раствор газообразный аммиак в течение 15 минут, что приводило к образованию белого осадка. Смесь выливали в насыщенный водный раствор бикарбоната натрия (30 мл) и добавляли хлороформ (100 мл). Фазы разделяли и водный слой экстрагировали CHCl3 (3 × 30 мл). Объединенные органические экстракты сушили (MgSO4), фильтровали и концентрировали в вакууме. Очистка неочищенного вещества флэш-хроматографией на силикагеле (20:1:1 CH2Cl2-МеОН-NH4OH) давала указанное в заголовке соединение (85 мг, 4%) в виде белого твердого вещества. 1Н ЯМР (CDCl3) По общей методике B к раствору (1-трет-бутоксикарбонил-1Н-бензимидазол-2-илметил)-(5,6,7,8-тетрагидрохинолин-8-ил)амина (216 мг, 0,57 ммоль) и 4-формилбензамида (85 мг, 0,57 ммоль) в CH2Cl2 (5 мл) добавляли триацетоксиборгидрид натрия (242 мг, 1,14 ммоль) и реакционную смесь перемешивали в течение 18 часов. Полученное неочищенное вещество помещали в неразбавленную ТФУК (2 мл) и перемешивали 3 часа. Осторожно добавляли насыщенный водный раствор бикарбоната натрия (10 мл) и полученную смесь экстрагировали CH2Cl2 (3 × 20 мл), затем объединенные органические экстракты сушили (MgSO4), фильтровали и концентрировали в вакууме. Очистка неочищенного вещества радиальной хроматографией на силикагеле (1 мм пластина, 50:1:1 CH2Cl2-MeOH-NH4OH) давала указанное в заголовке соединение (66 мг, 28%) в виде белого твердого вещества. 1Н ЯМР (CDCl3) Пример: 66
AMD11130: Получение (6-аминопиридин-2-илметил)-(1Н-бензимидазол-2-илметил)-(5,6,7,8-тетрагидрохинолин-8-ил)амина (гидробромидная соль). Используя общую методику N-алкилирования, к перемешиваемому раствору N-[6-(бромметил)-2-пиридил]пиваламида (полученного, как описано Harata, M.; Hasegawa, K.; Jitsukawa, K.; Masuda, H.; Einaga, H. Bull. Chem. Soc. Jpn 1998, 71,1031-1038) (0,129 г, 0,45 ммоль) в безводном CH3CN (10 мл) добавляли (1-трет-бутоксикарбонил-1Н-бензимидазол-2-илметил)-(5,6,7,8-тетрагидрохинолин-8-ил)амин (0,176 г, 0,47 ммоль), N,N-диизопропилэтиламин (0,20 мл, 1,15 ммоль) и иодид калия (12 мг, 0,048 ммоль). Смесь перемешивали в атмосфере аргона при 60°C в течение 3,75 часа. Очистка неочищенного вещества колоночной хроматографией на силикагеле (CH2Cl2/МеОН, 98:2 затем 96:4) давала алкилированный продукт (0,148 г, 54%) в виде коричневого масла. Используя общую методику D, превращение полученного выше амина (43 мг, 0,074 ммоль) в гидробромидную соль с одновременным удалением Вос-групп давало AMD 11130 (41 мг, 84%) в виде желтого твердого вещества. 1Н ЯМР (D2О) Пример: 67
AMD11157: Получение (2-{[(1H-бензимидазол-2-илметил)-(5,6,7,8-тетрагидрохинолин-8-ил)амино]метил}фенил)метанола (свободное основание). Используя общую методику В {прямое восстановительное аминирование с использованием NaBH(OAc)3}, взаимодействие фталевого дикарбоксальдегида (0,139 г, 1,04 ммоль) и (1-трет-бутоксикарбонил-1Н-бензимидазол-2-илметил)-(5,6,7,8-тетрагидрохинолин-8-ил)амина (0,183 г, 0,48 ммоль) с NaBH(OAc)3 (0,504 г, 2,38 ммоль) в CH2Cl2 (5 мл) в течение 20 часов с последующей очисткой неочищенного вещества радиальной хроматографией на силикагеле (2 мм пластина, 100:1 CH2Cl2-CH3OH) давало 0,108 г (45%) белой пены. Пену растворяли в CH2Cl2 (2 мл) и обрабатывали трифторуксусной кислотой (1 мл). Полученный раствор перемешивали при комнатной температуре в течение 90 минут, затем концентрировали при пониженном давлении. Остаток растворяли в CH2Cl2 (10 мл) и NaOH (1,0М, 10 мл) таким образом, чтобы водная фаза была основной (рН 14). Фазы разделяли и водную фазу экстрагировали CH2Cl2 (3 × 10 мл). Объединенные органические экстракты сушили (Na2SO4) и концентрировали. Очистка неочищенного вещества радиальной хроматографией на силикагеле (1 мм пластина, 100:1:1 CH2Cl2-CH3OH-NH4OH) давала 0,079 г (91%) AMD 11157 в виде белого твердого вещества. 1Н ЯМР (CDCl3) Пример: 68
AMD11156: Получение O-(2-{[(1H-бензимидазол-2-илметил)-(5,6,7,8-тетрагидрохинолин-8-ил)амино]метил}бензил)гидроксиламин (гидробромидная соль). Получение 2-(2-Бромметилбензилокси)изоиндол-1,3-диона
К перемешиваемому раствору N-гидроксифталимида (0,60 г, 3,68 ммоль) и Et3N (0,60 мл, 4,30 ммоль) в ДМФ (6 мл) добавляли Используя общую методику алкилирования, к перемешиваемому раствору 2-(2-бромметилбензилокси)изоиндол-1,3-диона (0,308 г, 0,89 ммоль) в безводном CH3CN (10 мл) добавляли (1-трет-бутоксикарбонил-1Н-бензимидазол-2-илметил)-(5,6,7,8-тетрагидрохинолин-8-ил)амин (0,274 г, 0,725 ммоль), N,N-диизопропилэтиламин (0,21 мл, 1,21 ммоль) и иодид калия (12 мг, 0,048 ммоль). Смесь перемешивали в атмосфере аргона при 60°C в течение 2,75 часа. Очистка неочищенного вещества колоночной хроматографией на силикагеле (CH2Cl2/MeOH, 98:2 затем 96:4) давала алкилированный продукт (0,32 г, 69%) в виде белой пены. К раствору полученной выше пены (219 мг, 0,34 ммоль) в EtOH (96%, 5 мл) добавляли моногидрат гидразина (0,10 мл, 2 ммоль) и раствор перемешивали при комнатной температуре в течение 3 дней. Смесь фильтровали (для удаления полученного твердого вещества) и промывали CH2Cl2. Фильтрат концентрировали при пониженном давлении и очищали радиальной хроматографией на силикагеле (1 мм пластина, CH2Cl2/MeOH/NH4OH, 100:1:1), получая целевой амин со снятыми защитными группами (44 мг, 31%) в виде белой пены. Используя общую методику D, превращение амина, полученного выше (39 мг, 0,094 ммоль), в гидробромидную соль давало AMD11156 (59 мг, 90%) в виде белого твердого вещества. 1Н ЯМР (D2O) Пример: 69
AMD11191: Получение (4-аминопиридин-3-илметил)-(1Н-бензимидазол-2-илметил)-(5,6,7,8-тетрагидрохинолин-8-ил)амина (гидробромидная соль). Используя общую методику B, к перемешиваемому раствору (1Н-бензимидазол-2-илметил)-(5,6,7,8-тетрагидрохинолин-8-ил)амина (252 мг, 0,91 ммоль) и трет-бутилового эфира (3-формилпиридин-4-ил)карбаминовой кислоты (полученного, как описано Venuti, M.C.; Stephenson, R.A. et al. J. Med. Chem. 1988, 31, 2136-2145) (206 мг, 0,93 ммоль) в CH2Cl2 (9 мл) добавляли NaBH(OAc)3 (243 мг, 1,15 ммоль) и полученную смесь перемешивали при комнатной температуре в течение 16 часов. Раствор полученной неочищенной желтой пены (0,30 г) в 5н HCl/ТГФ (1:1,6 мл) перемешивали в течение 3 дней. Смесь разбавляли водой (10 мл) и CH2Cl2 (25 мл) и подщелачивали (pH>10) 10н. NaOH (10 мл). Слои разделяли и водную фазу промывали CH2Cl2 (3 × 10 мл). Объединенные органические экстракты сушили (Na2SO4), концентрировали при пониженном давлении и очищали радиальной хроматографией на силикагеле (2 мм пластина, CH2Cl2/MeOH/NH4OH, 100:1:1 затем 50:1:1, затем 20:1:1), получая свободный амин (100 мг, 29% по 2 стадиям) в виде прозрачного масла. Используя общую методику D, превращение полученного выше амина (73 мг, 0,19 ммоль) в гидробромидную соль давало AMD11191 (120 мг, 90%) в виде белого твердого вещества. 1Н ЯМР (D2O) Пример: 70
AMD11065: Получение метилового эфира 2-{[(1Н-бензимидазол-2-илметил)-(5,6,7,8-тетрагидрохинолин-8-ил)амино]метил}-5-цианобензойной кислоты. Получение метилового эфира 2-метил-5-нитробензойной кислоты
Раствор 2-метил-5-нитробензойной кислоты (1,91 г, 10,6 ммоль) и H2SO4 (каталитическое количество) в MeOH (25 мл) кипятили с обратным холодильником в течение 16 часов, затем концентрировали в вакууме. Остаток растворяли в CH2Cl2 (50 мл), промывали насыщенным NaHCO3 (водн.) (2 x 40 мл), затем сушили (MgSO4), фильтровали и концентрировали в вакууме, получая желтые кристаллы (1,50 г, 73%). 1Н ЯМР (CDCl3) Получение метилового эфира 5-амино-2-метилбензойной кислоты
Раствор метилового эфира 2-метил-5-нитробензойной кислоты (1,50 г, 7,8 ммоль) в смеси 4:1 MeOH/EtOAc (20 мл) встряхивали при комнатной температуре с суспензией 10% Pd/C (175 мг, 0,17 ммоль) в атмосфере водорода при 35 фн/дюйм2 (241 кПа) в течение 17 часов. Катализатор удаляли фильтрованием через целит и фильтрат концентрировали в вакууме, получая бледно-желтое масло (1,29 г, 99%). 1Н ЯМР (CDCl3) Получение метилового эфира 5-циано-2-метилбензойной кислоты
К перемешиваемой суспензии метилового эфира 5-амино-2-метилбензойной кислоты (1,29 г, 7,80 ммоль) в H2O (2,0 мл) медленно добавляли конц. HCl (2,0 мл) при комнатной температуре. Добавляли еще H2O (15 мл) и смесь перемешивали при 0°C по мере добавления по каплям раствора NaNO2 (592 мг, 8,58 ммоль) в H2O (2,2 мл). После полного растворения амина медленно добавляли при 0°C К2СО3 (твердый) до нейтрализации раствора. Цианид меди(I) (838 мг, 9,36 ммоль) растворяли в растворе NaCN (918 мг, 18,7 ммоль) в H2O (2,9 мл) и раствор нагревали до 60°C. К интенсивно перемешиваемому раствору цианида при 60°C добавляли по каплям холодный раствор нейтрализованной соли диазония. Смесь нагревали при 110°C в течение 1 часа, затем оставляли охлаждаться до комнатной температуры. Смесь разбавляли насыщенным раствором NaHCO3(водн.) (15 мл) и экстрагировали CH2Cl2 (3 × 20 мл). Объединенные органические экстракты сушили (MgSO4), фильтровали и концентрировали в вакууме. Неочищенное вещество фильтровали через силикагель (20% EtOAc/гексаны), получая желтые кристаллы (990 мг, 72%). 1Н ЯМР (CDCl3) Получение метилового эфира 2-бромметил-5-цианобензойной кислоты
Смесь метилового эфира 5-циано-2-метилбензойной кислоты (913 мг, 5,21 ммоль), NBS (1,02 г, 5,73 ммоль) и AIBN (128 мг, 0,780 ммоль) в CCl4 (20 мл) кипятили с обратным холодильником в течение 24 часов, затем оставляли охлаждаться до комнатной температуры. Смесь фильтровали и фильтрат концентрировали в вакууме. Очистка неочищенного вещества колоночной хроматографией на силикагеле (10% EtOAc/гексаны) давала желтые кристаллы (720 мг, 55%). 1Н ЯМР (CDCl3) Смесь трет-бутилового эфира 2-[(5,6,7,8-тетрагидрохинолин-8-иламино)метил]бензоимидазол-1-карбоновой кислоты (762 мг, 2,01 ммоль), метилового эфира 2-бромметил-5-цианобензойной кислоты (511 мг, 2,01 ммоль), иодида калия (19 мг, 0,10 ммоль) и N,N-диизопропилэтиламина (0,53 мл, 3,02 ммоль) в ацетонитриле (16 мл) нагревали при 60°C в течение 16 часов. Реакционную смесь концентрировали в вакууме и остаток разбавляли СН2Cl2 (25 мл) и насыщенным NaHCO3 (водн.) (30 мл). Слои разделяли и водный слой экстрагировали CH2Cl2 (2 × 20 мл). Объединенные органические экстракты сушили (MgSO4), фильтровали и концентрировали в вакууме. Очистка неочищенного вещества на силикагеле (500:10:1 СН2Cl2/МеОН/NH4ОН) давала белую пену (935 мг, 84%). Полученное выше очищенное вещество (50 мг, 0,11 ммоль) растворяли в безводном СН2Cl2 (1,5 мл) и добавляли по каплям трифторуксусную кислоту (2,0 мл). Полученную смесь перемешивали в течение 2,5 часов при комнатной температуре. Реакционную смесь разбавляли СН2Cl2 (15 мл) и затем концентрировали в вакууме для удаления избытка трифторуксусной кислоты. Концентрат разбавляли CH2Cl2 (20 мл) и 1н. NaOH (20 мл). Слои разделяли и водный слой экстрагировали CH2Cl2 (2 × 15 мл) и затем объединенные органические слои сушили (Na2SO4), фильтровали и концентрировали в вакууме, получая AMD11165 в виде желтой пены. 1Н ЯМР (CDCl3) Пример: 71
AMD11179: Получение 4-{[(1H-бензимидазол-2-илметил)-(5,6,7,8-тетрагидрохинолин-8-ил)амино]метил}-3-цианобензамида. К 0,5 мл никеля Ренея в воде добавляли раствор трет-бутилового эфира 2-{[(2-циано-4-метоксикарбонилбензил)-(5,6,7,8-тетрагидрохинолин-8-ил)амино]метил}бензимидазол-1-карбоновой кислоты (0,55 г, 1 ммоль) в метаноле (25 мл). Раствор затем насыщали газообразным аммиаком в течение 10 минут. Реакционный сосуд затем интенсивно встряхивали в атмосфере водорода при 40 фн/кв.дюйм (276 кПа) в течение 16 часов. Смесь фильтровали через слой целита и фильтрат концентрировали при пониженном давлении. Неочищенный остаток очищали колоночной хроматографией (88:12 CH2Cl2:MeOH), получая амид (0,20 г, 36%). 1Н ЯМР (CDCl3) Пример: 72
AMD9643: Получение [3-(1Н-бензимидазол-2-ил)бензил]-(1Н-бензимидазол-2-илметил)-(5,6,7,8-тетрагидрохинолин-8-ил)амина (гидробромидная соль). Получение 3-(бензимидазол-2-ил)бензилового спирта Раствор монометилового эфира изотерефталевой кислоты (1,00 г, 5,6 ммоль) в тионилхлориде (12 мл) перемешивали при 80°C в течение 3,5 часов. Растворитель удаляли при пониженном давлении, получая хлорангидрид монометилового эфира изотерефталевой кислоты (1,06 г, 97%). 1Н ЯМР (CDCl3) Раствор 2-нитроанилина (0,62 г, 4,5 ммоль) и хлорангидрида монометилового эфира изотерефталевой кислоты (1,06 г, 5,3 ммоль) в ТГФ (5,6 мл) и пиридине (1,1 мл) перемешивали в течение 2 часов при комнатной температуре. К смеси добавляли насыщенный NaHCO3 (20 мл) и экстрагировали этилацетатом (3 × 20 мл). Объединенные органические экстракты сушили (MgSO4), фильтровали, концентрировали и очищали колоночной хроматографией на силикагеле (5% MeOH/CH2Cl2), получая метиловый эфир (2-нитрофенил)изотерефталаминовой кислоты (0,70 г, 52%) в виде желтого твердого вещества. 1Н ЯМР (CDCl3) К раствору метилового эфира (2-нитрофенил)изотерефталаминовой кислоты (0,70 г, 2,3 ммоль) в ледяной уксусной кислоте (8 мл) добавляли порошок железа (ситовый состав <5 мкм, 0,35 г, 6,3 ммоль) и смесь перемешивали при кипячении с обратным холодильником в течение 1,5 часов. Смесь охлаждали, перемешивали при комнатной температуре в течение 1 часа и концентрировали при пониженном давлении. Остаток распределяли между насыщенным раствором бикарбоната натрия (20 мл) и этилацетатом (20 мл), фазы разделяли и органический слой промывали насыщенным NaHCO3 (20 мл). Органический экстракт сушили (MgSO4), фильтровали и концентрировали, получая циклизованный сложный эфир метил 3-(бензимидазол-2-ил)бензоата (0,59 г, 100%). 1Н ЯМР (CDCl3) К раствору 3-(бензимидазол-2-ил)бензоатного сложного эфира (0,20 г, 0,8 ммоль) в ТГФ (8 мл) при -78°C добавляли раствор DIBAL-H (4,0 мл, 1,0 M в ТГФ, 4,0 ммоль). Реакционную смесь оставляли нагреваться до комнатной температуры, перемешивали в течение 0,5 часа и гасили насыщенным раствором тартрата калия-натрия (15 мл). Двухфазную систему интенсивно перемешивали в течение 1 часа, фазы разделяли и органический слой сушили (MgSO4), фильтровали и концентрировали, получая 3-(бензимидазол-2-ил)бензиловый спирт (0,12 г, 67%). 1Н ЯМР (CD4OD3) Используя общую методику С, к раствору 3-(бензимидазол-2-ил)бензилового спирта (0,12 г, 0,5 ммоль) и триэтиламина (0,11 мл, 0,8 ммоль) в ТГФ (5 мл) добавляли метансульфонилхлорид (55 мкл, 0,7 ммоль) и смесь перемешивали при комнатной температуре в течение 1 часа. Полученный мезилат (0,15 г, 91%) использовали без дополнительной очистки в следующей реакции. 1Н ЯМР (CDCl3) Используя общую методику алкилирования, раствор полученного выше мезилата (0,15 г, 0,5 ммоль), N,N-диизопропилэтиламина (0,12 мл, 0,7 ммоль) и иодида калия (6 мг, 30 ммоль) в CH3CN (5 мл) подвергали взаимодействию с (1-трет-бутоксикарбонил-1Н-бензимидазол-2-илметил)-(5,6,7,8-тетрагидрохинолин-8-ил)амином (0,18 г, 0,5 ммоль) при 60°C в течение 3 часов. Очистка неочищенного вещества колоночной хроматографией на силикагеле (2% MeOH/CH2Cl2) давала целевой N-алкилированный продукт (0,17 г, 60%) в виде хлопьевидного белого твердого вещества. 1Н ЯМР (CDCl3) Используя общую методику D, превращение полученного выше вещества (50 мг) в гидробромидную соль давало AMD9575 (0,062 г) в виде бежевого твердого вещества. 1Н ЯМР (D2О) Пример: 73
AMD9902: Получение (1Н-бензимидазол-2-илметил)-(5,6,7,8-тетрагидрохинолин-8-ил)-(имидазол-2-ил)метиламина (гидробромидная соль). Используя стандартные условия восстановительного аминирования A, 1Н-(бензимидазол-2-илметил)-(5,6,7,8-тетрагидрохинолин-8-ил)амин (207 мг, 0,75 ммоль) перемешивали с имидазол-2-карбоксальдегидом (96 мг, 1,0 ммоль) и цианоборгидридом натрия (95 мг, 1,5 ммоль) в метаноле (5 мл) в течение 48 часов. Раствор затем концентрировали. Остаток помещали в дихлорметан и промывали 1н. гидроксидом натрия (3 мл), затем сушили над безводным сульфатом натрия, концентрировали и очищали хроматографией на силикагеле (20:1 дихлорметан:метанол), получая (1Н-бензимидазол-2-илметил)-(5,6,7,8-тетрагидрохинолин-8-ил)-(имидазол-2-ил)метиламин (69 мг, 56%). 1Н ЯМР (CDCl3) (1Н-бензимидазол-2-илметил)-(5,6,7,8-тетрагидрохинолин-8-ил)-(имидазол-2-ил)метиламин (56 мг, 0,156 ммоль) помещали в уксусную кислоту (1 мл), к которой добавляли насыщенный раствор HBr в уксусной кислоте (1 мл). Смесь затем перемешивали, осаждали и выделяли по методике D, получая AMD9902 в виде белого кристаллического твердого вещества (39 мг). 1Н ЯМР (D2О) Пример: 74 AMD9592: Получение 4-{[(1Н-бензимидазол-2-илметил)-(5,6,7,8-тетрагидрохинолин-8-ил)амино]метил}-2,6-дихлорпиридина (гидробромидная соль). Получение 2,6-дихлорпиридин-4-илметилового эфира метансульфоновой кислоты К перемешиваемому раствору 2,6-дихлоризоникотиновой кислоты (280 мг, 1,5 ммоль) в ТГФ (7,5 мл) добавляли по каплям раствор BH3-ТГФ (1М в ТГФ, 5,8 мл, 5,8 ммоль) и смесь перемешивали при кипячении с обратным холодильником 65 часов. Реакционную смесь охлаждали, гасили MeOH (10 мл) и концентрировали при пониженном давлении. К полученному остатку добавляли MeOH (10 мл) и раствор повторно концентрировали. Данную процедуру повторяли пять раз и полученное белое твердое вещество (230 мг, 89%) использовали без дополнительной очистки в следующей стадии. Используя общую методику С, к перемешиваемому охлаждаемому льдом раствору полученного выше вещества (230 мг, 1,3 ммоль) и триэтиламина (0,50 мл, 3,9 ммоль) в CH2Cl2 (13 мл) добавляли метансульфонилхлорид (0,10 мл, 0,3 ммоль) и смесь перемешивали в течение 30 минут при 0°C. Целевой неочищенный мезилат (340 мг) получали в виде бледно-желтого твердого вещества и использовали без дополнительной очистки на следующей стадии. Используя общую методику N-алкилирования, раствор полученного выше вещества (330 мг, 1,3 ммоль) и N,N-диизопропилэтиламина (0,45 мл, 2,6 ммоль) в CH3CN (13 мл) подвергали взаимодействию с (1-трет-бутоксикарбонил-1Н-бензимидазол-2-илметил)-(5,6,7,8-тетрагидрохинолин-8-ил)амином (470 мг, 1,2 ммоль) в течение ночи. Очистка неочищенного вещества флэш-хроматографией на силикагеле (3:1 EtOAc/гексаны) давала целевой амин (400 мг, 58%) в виде бледно-желтого твердого вещества. Используя общую методику D, превращение полученного выше вещества (264 мг, 0,49 ммоль) в гидробромидную соль с одновременным удалением N-трет-бутоксикарбонильной защитной группы давало AMD9592 (280 мг, 92%) в виде белого порошка. 1Н ЯМР (D2О) Пример: 75
AMD9782: Получение (1Н-бензимидазол-2-илметил)бензооксазол-5-илметил-(5,6,7,8-тетрагидрохинолин-8-ил)амина. Получение 5-бромметилбензоксазола
Смесь 5-метилбензоксазола (200 мг, 1,50 ммоль), N-бромсукцинимида (321 мг, 1,80 ммоль) и 2,2′-азобисизобутиронитрила (37 мг, 0,23 ммоль) в CCl4 (3 мл) кипятили с обратным холодильником в течение 22 часов. Смесь фильтровали и фильтрат концентрировали при пониженном давлении. Очистка неочищенного вещества на силикагеле (5% EtOAc/гексаны) давала указанное в заголовке соединение в виде бесцветных кристаллов (126 мг, 39%). 1Н ЯМР (CDCl3) Использование общего способа N-алкилирования, раствор 5-бромметилбензоксазола (94 мг, 0,44 ммоль), иодида калия (3 мг, 0,02 ммоль) и N,N-диизопропилэтиламина (0,10 мл, 0,57 ммоль) в CH3CN (4 мл) подвергали взаимодействию с (1-трет-бутоксикарбонил-1Н-бензимидазол-2-илметил)-(5,6,7,8-тетрагидрохинолин-8-ил)амином (152 мг, 0,402 ммоль) при 60°C в течение 22 часов. Очистка неочищенного вещества флэш-хроматографией на силикагеле (400:5:1 EtOAc/MeOH/NH4OH) давала желтую пену (124 мг, 60%). Раствор желтой пены (40 мг, 0,078 ммоль) в смеси 3:1 трифторуксусная кислота/CH2Cl2 (4 мл) перемешивали при комнатной температуре в течение 1 часа, затем концентрировали. Остаток распределяли между CH2Cl2 и насыщенным NaHCO3 (водн.) и водную фазу экстрагировали CH2Cl2. Объединенные органические фазы сушили (MgSO4), фильтровали и концентрировали, получая указанное в заголовке соединение в виде желтой пены (32 мг, 89%). 1Н ЯМР (CDCl3) Пример: 76
AMD9786: Получение пиридин-2-илметил-(1Н-бензимидазол-2-илметил)-(5,6,7,8-тетрагидрохинолин-8-ил)амина. Используя общую методику N-алкилирования, гидрохлорид 2-бромметилпиридина (104 мг, 0,413 ммоль) перемешивали с N,N-диизопропилэтиламином (0,092 мл, 0,516 ммоль) в CH3CN (5 мл) в течение 10 минут. Затем добавляли карбонат калия (71 мг, 0,516 ммоль) и (1-трет-бутоксикарбонилбензимидазол-2-илметил)-(5,6,7,8-тетрагидрохинолин-8-ил)амин (130 мг, 0,344 ммоль) и смесь нагревали при 60°C в течение 2 часов. Темный раствор охлаждали, концентрировали, полученный остаток помещали в CH2Cl2 и промывали водным раствором карбоната аммония. Очистка остатка хроматографией на силикагеле (10% MeOH/CH2Cl2) давала продукт пиридин-2-илметил-(1Н-N-трет-бутоксикарбонилбензимидазол-2-илметил)-(5,6,7,8-тетрагидрохинолин-8-ил)амин (32 мг, 20%) в виде белой пены. 1Н ЯМР (CDCl3) Используя общую методику D, превращение полученной выше пены (32 мг, 0,068 ммоль) в гидробромидную соль давало AMD9786 (28 мг) в виде белого твердого вещества. 1Н ЯМР (D2О) Пример: 77
AMD9787: Получение (1Н-бензимидазол-2-илметил)бензоксазол-6-илметил-(5,6,7,8-тетрагидрохинолин-8-ил)амина. Получение 6-бромметилбензоксазола
Смесь 6-метилбензоксазола (422 мг, 3,17 ммоль), N-бромсукцинимида (677 мг, 3,80 ммоль) и 2,2′-азобисизобутиронитрила (78 мг, 0,48 ммоль) в CCl4 (6,3 мл) кипятили с обратным холодильником в течение 22 часов. Смесь фильтровали и фильтрат концентрировали при пониженном давлении. Очистка неочищенного вещества на силикагеле (4% EtOAc/гексаны) давала указанное в заголовке соединение в виде бесцветных кристаллов (257 мг, 38%). 1Н ЯМР (CDCl3) Используя общую методику N-алкилирования, раствор 6-бромметилбензоксазола (113 мг, 0,533 ммоль), иодида калия (4 мг, 0,02 ммоль) и N,N-диизопропилэтиламина (0,12 мл, 0,69 ммоль) в CH3CN (4,4 мл) подвергали взаимодействию с (1-трет-бутоксикарбонил-1Н-бензимидазол-2-илметил)-(5,6,7,8-тетрагидрохинолин-8-ил)амином (168 мг, 0,444 ммоль) при 60°C в течение 16 часов. Очистка неочищенного вещества флэш-хроматографией на силикагеле (600:5:1 EtOAc/МеОН/NH4ОН) давала желтое масло (179 мг, 79%). Раствор желтого масла (173 мг, 0,339 ммоль) в смеси 3:1 трифторуксусная кислота/CH2Cl2 (4 мл) перемешивали при комнатной температуре в течение 1 часа, затем концентрировали. Остаток распределяли между CH2Cl2 и насыщенным раствором NaHCO3 (водн.) и водную фазу экстрагировали СН2Cl2. Объединенные органические фазы сушили (MgSO4), фильтровали и концентрировали, получая указанное в заголовке соединение AMD9787 в виде желтой пены (118 мг, 79%). 1Н ЯМР (CDCl3) Пример: 78
AMD9829: Получение (1Н-бензимидазол-4-илметил)-(1Н-бензимидазол-2-илметил)-(5,6,7,8-тетрагидрохинолин-8-ил)амина (гидробромидная соль)
Получение 4-метил-1Н-бензимидазола К перемешиваемому раствору 2,3-диаминотолуола (1,00 г, 8,2 ммоль) в CH2Cl2 (82 мл) добавляли триметилортоформиат (4,5 мл, 41 ммоль) и трифторуксусную кислоту (0,32 мл, 4,1 ммоль) и смесь перемешивали при комнатной температуре в течение 24 часов, после чего реакционную смесь разбавляли CH2Cl2 (200 мл) и промывали последовательно насыщенным водным раствором NaHCO3 (40 мл) и H2O (40 мл). Водные слои повторно экстрагировали CH2Cl2 (2 × 100 мл). Объединенные органические экстракты сушили над MgSO4 и концентрировали до рыже-коричневого твердого вещества (1,07 г, 97%). 1Н ЯМР (300 МГц, CDCl3) Получение трет-бутилового эфира 4-бромметилбензимидазол-1-карбоновой кислоты К перемешиваемому раствору 4-метил-1Н-бензимидазола (1,05 г, 7,9 ммоль) в ТГФ (10 мл) добавляли ди-трет-бутилдикарбонат (4,4 г, 20 ммоль) в ТГФ (6 мл). Через 18 часов реакционную смесь концентрировали до коричневого сиропа. Очистка колоночной хроматографией на силикагеле (20:3 – гексаны:EtOAc) давала целевой продукт в виде желтого сиропа (1,66 г, 91%). 1Н ЯМР (300 МГц, CDCl3) К перемешиваемому раствору трет-бутилового эфира 4-метилбензимидазол-1-карбоновой кислоты (800 мг, 3,4 ммоль) в CCl4 (7 мл) добавляли N-бромсукцинимид (730 мг, 4,1 ммоль) и 2,2′-азобис(2-метилпропионитрил) (84 мг, 0,51 ммоль). Полученную смесь кипятили с обратным холодильником в течение 18 часов, после чего фильтровали и концентрировали до желто-оранжевого сиропа и кристаллов (1,4 г). Очистка колоночной хроматографией на силикагеле (200:15-гексаны:EtOAc) давала целевое указанное в заголовке соединение в виде желтого сиропа (635 мг, 60%). 1Н ЯМР (300 МГц, CDCl3) Используя общую методику алкилирования, к перемешиваемому раствору (1-трет-бутоксикарбонилбензимидазол-2-илметил)-(5,6,7,8-тетрагидрохинолин-8-ил)амина (153 мг, 0,40 ммоль) и трет-бутилового эфира 4-бромметилбензимидазол-1-карбоновой кислоты (167 мг, 0,48 ммоль) в CH3CN (5 мл) добавляли KI (3 мг, 0,02 ммоль) и N,N-диизопропилэтиламин (0,1 мл, 0,6 ммоль) и реакционную смесь нагревали при 60°C в течение 3 часов. Полученную пену растворяли в смеси CH2Cl2 (2 мл) и ТФУК (2 мл). Через 3 часа раствор концентрировали, повторно растворяли в H2O (1 мл) и подщелачивали 1н. NaOH. Водную фазу экстрагировали CH2Cl2 (3 × 50 мл). Объединенные органические экстракты сушили над MgSO4 и концентрировали до светло-коричневой пены. Очистка колоночной хроматографией на силикагеле (200:3:2 – CH2Cl2:MeOH:NH4OH) с последующей радиальной хроматографией на силикагеле (1 мм пластина, 100:1:1 – CH2Cl2:MeOH:NH4OH) давала целевой продукт в виде светло-желтой пены (38 мг, 23%). 1Н ЯМР (300 МГц, CDCl3) 8,59 (д, 1H, J=3,6 Гц), 8,00 (с, 1H), 7,72 (д, 1H, J=7,0 Гц), 7,58-7,35 (м, 3H), 7,20-7,13 (м, 5H), 4,19-4,08 (м, 3H), 3,97 (д, 1H, J=15 Гц), 3,84 (д, 1H, J=13,5 Гц), 2,90-2,75 (м, 2H), 2,54-2,50 (м, 1H), 2,15-2,11 (м, 1H), 2,04-1,92 (м, 1H), 1,79-65 (м, 1H). По общей методике D превращение полученной выше пены (38 мг) в гидробромидную соль давало AMD9829. 1Н ЯМР (300 МГц, D2О) Пример: 79
AMD9780: Получение (1Н-бензимидазол-2-илметил)пиридин-4-илметил-(5,6,7,8-тетрагидрохинолин-8-ил)амина. По общей методике B к раствору (1-трет-бутоксикарбонилбензимидазол-2-илметил)-(5,6,7,8-тетрагидрохинолин-8-ил)амина (120 мг, 0,32 ммоль) и 4-пиридинкарбоксальдегида (30 мкл, 0,32 ммоль) в СН2Cl2 (5 мл) добавляли триацетоксиборгидрид натрия (136 мг, 0,64 ммоль) и реакционную смесь перемешивали в течение 18 часов. Полученное неочищенное вещество помещали в неразбавленную ТФУК (1 мл) и перемешивали 3 часа. Добавляли насыщенный водный раствор бикарбоната натрия (5 мл) и полученную смесь экстрагировали СН2Cl2 (3×10 мл), затем объединенные органические экстракты сушили (MgSO4) и концентрировали в вакууме. Очистка неочищенного вещества радиальной хроматографией (1 мм пластина, 50:1:1 СН2Cl2-MeOH-NH4OH) давала указанное в заголовке соединение (83 мг, 70%) в виде белого твердого вещества. 1Н ЯМР (CDCl3) Пример: 80
AMD9781: Получение (1Н-бензимидазол-2-илметил))-(бензо[1,3]диоксол-4-илметил)-(5,6,7,8-тетрагидрохинолин-8-ил)амина По общей методике B к раствору 2,3-(метилендиокси)бензальдегида (57 мг, 0,379 ммоль) и [1-(трет-бутоксикарбонил)-(1Н-бензимидазол-2-илметил)]-(5,6,7,8-тетрагидрохинолин-8-ил)амина (140 мг, 0,371 ммоль) в CH2Cl2 (5 мл) добавляли NaBH(OAc)3 (107 мг, 0,505 ммоль) и реакционную смесь перемешивали в течение ночи. Очистка полученного масла радиальной хроматографией на силикагеле (2мм ТСХ, 100:1:1 CH2Cl2:CH3OH:NH4OH) давала N-алкилированный амин (105 мг). Раствор этого амина в ТФУК (2 мл) перемешивали в течение 1 часа, затем концентрировали при пониженном давлении и полученное неочищенное вещество распределяли между CH2Cl2 (15 мл) и насыщенным водным раствором NaHCO3 (15 мл). Фазы разделяли и органический слой сушили (Na2SO4), фильтровали, концентрировали и очищали радиальной хроматографией (1 мм ТСХ пластина, 125:1:1 CH2Cl2:CH3OH:NH4OH), получая AMD9781 (45% по двум стадиям). 1Н ЯМР (CDCl3) Пример: 81
AMD9789: Получение бензо[1,3]диоксол-5-илметил-(1Н-бензоимидазол-2-илметил)-(5,6,7,8-тетрагидрохинолин-8-ил)амина. Используя общую методику B, к раствору [1-(трет-бутоксикарбонил)-(1Н-бензимидазол-2-илметил)]-(5,6,7,8-тетрагидрохинолин-8-ил)амина (125 мг, 0,33 ммоль), пипероналя (50 мг, 0,33 ммоль) и AcOH (0,02 мл, 0,33 ммоль) в ТГФ (3,3 мл) добавляли NaBH(ОАс)3 (210 мг, 0,99 ммоль) и полученную суспензию перемешивали при комнатной температуре в течение 16 часов. Неочищенный продукт растворяли в смеси CH2Cl2 (2 мл) и трифторуксусной кислоты (2 мл). Через 1,5 часа реакционную смесь концентрировали, повторно растворяли в H2O (2 мл) и подщелачивали 1н. NaOH. Водный раствор экстрагировали CH2Cl2 (3 x 50 мл) и объединенные органические экстракты сушили над MgSO4 и концентрировали до желтого сиропа. Продукт очищали колоночной хроматографией на силикагеле (100:1:1 – EtOAc:МеОН:NH4ОН), получая указанное в заголовке соединение в виде белой пены (45 мг, 33%). 1Н ЯМР (300 МГц, CDCl3) Пример: 82
AMD9817: Получение (1Н-бензимидазол-2-илметил)-(2,3-дигидробензофуран-7-илметил)-(5,6,7,8-тетрагидрохинолин-8-ил)амина (гидробромидная соль). По общей методике B к раствору 2,3-дигидробензофуран-7-карбоксальдегида (53,6 мг, 0,362 ммоль) и [1-(трет-бутоксикарбонил)-(1Н-бензимидазол-2-илметил)]-(5,6,7,8-тетрагидрохинолин-8-ил)амина (136 мг, 0,361 ммоль) CH2Cl2 (5 мл) добавляли NaBH(OAc)3 (112 мг, 0,528 ммоль) и смесь перемешивали в течение ночи. Очистка неочищенного продукта радиальной хроматографией на силикагеле (1 мм ТСХ пластина, 125:1:1 CH2Cl2: CH3OH:NH4OH) давала целевое свободное основание (48 мг, 33 %). По общей методике D превращение полученного выше амина (28 мг, 38 %) давало AMD9817. 1Н ЯМР (D2О) Пример: 83
AMD9818: Получение (1Н-бензимидазол-2-илметил)пиридин-3-илметил-(5,6,7,8-тетрагидрохинолин-8-ил)амина (гидробромидная соль). По общей методике B к раствору 3-пиридинкарбоксальдегида (29 мг, 0,271 ммоль) и [1-(трет-бутоксикарбонил)-(1Н-бензимидазол-2-илметил)]-(5,6,7,8-тетрагидрохинолин-8-ил)амина (103 мг, 0,273 ммоль) в CH2Cl2 (5 мл) добавляли NaBH(OAc)3 (98 мг, 0,462 ммоль) и реакционную смесь перемешивали в течение ночи. Очистка неочищенного продукта радиальной хроматографией (1 мм ТСХ пластина, 80:1:1 CH2Cl2:CH3OH:NH4OH) давала целевое свободное основание (64 мг, 50 %). По общей методике D превращение полученного выше амина (64 мг) в гидробромидную соль давало AMD9818 (69 мг, 78%). 1Н ЯМР (D2О) Пример: 84
AMD9828: Получение (1H-бензоимидазол-5-илметил)-(1Н-бензоимидазол-2-илметил)-(5,6,7,8-тетрагидрохинолин-8-ил)амина (гидробромидная соль).
Получение 1Н-бензимидазол-5-карбальдегида LiAlH4 (1,0 м в ТГФ, 10 мл, 10 ммоль) добавляли по каплям к суспензии 5-бензимидазолкарбоновой кислоты (500 мг, 3,08 ммоль) в ТГФ (20 мл) при 0°C. Реакционную смесь нагревали до комнатной температуры и перемешивали в течение 24 часов с последующим нагреванием при 50°C дополнительно в течение 24 часов. Добавляли MeOH (4 × 5 мл) добавляли и раствор концентрировали между каждым добавлением. Полученный коричневый сироп сушили в вакууме в течение 3 часов. Сироп растворяли в смеси 100:1 – CH2Cl2:MeOH, фильтровали через целит и концентрировали, получая светло-коричневую пену (300 мг, 66%). К перемешиваемому раствору неочищенного спирта (300 мг, 2,0 ммоль) в CH2Cl2 (10 мл) и MeOH (0,8 мл) добавляли оксид марганца (IV) (85%, 2,05 г, 20 ммоль). Суспензию нагревали при 40°C в течение 18 часов, охлаждали до комнатной температуры и фильтровали через целит. Фильтрат концентрировали, получая светло-желтую пену (260 мг). Очистка неочищенного вещества колоночной хроматографией на силикагеле (200:1:1 – EtOAc:MeOH:NH4OH) давала указанное в заголовке соединение в виде белого порошка (139 мг, 60%). 1Н ЯМР (300 МГц, CD3OD) Используя общую методику BA, к раствору [1-(трет-бутоксикарбонил-1Н-бензимидазол-2-илметил)]-(5,6,7,8-тетрагидрохинолин-8-ил)амина (215 мг, 0,57 ммоль), 1Н-бензоимидазол-5-карбальдегида (81 мг, 0,57 ммоль) и AcOH (0,03 мл, 0,55 ммоль) в ТГФ (5,5 мл) добавляли NaBH(OAc)3 (353 мг, 1,65 ммоль) и суспензию перемешивали при комнатной температуре в течение 24 часов. Неочищенный продукт растворяли в смеси СН2Cl2 (2 мл) и трифторуксусной кислоты (2 мл). Через 3 часа реакционную смесь концентрировали, повторно растворяли в H2O (2 мл) и подщелачивали 1н. NaOH. Водный раствор экстрагировали CH2Cl2 (3 × 50 мл), объединенные органические экстракты сушили над MgSO4 и концентрировали, получая желтую пену. Продукт очищали колоночной хроматографией на силикагеле (100:2:1 – EtOAc:MeOH:NH4OH), получая указанное в заголовке соединение в виде светло-желтой пены (52 мг, 24%). 1Н ЯМР (300 МГц, CDCl3) По общей методике D превращение полученной выше пены (52 мг) в гидробромидную соль давало AMD9828. 1Н ЯМР (300 МГц, D2О) Пример: 85
AMD9844: Получение бис-(1Н-бензимидазол-2-илметил)-(5,6,7,8-тетрагидрохинолин-8-ил)амина (гидробромидная соль). По общей методике N-алкилирования к перемешиваемому раствору (1-трет-бутоксикарбонил-1Н-бензимидазол-2-илметил)-(5,6,7,8-тетрагидрохинолин-8-ил)амина (7,64 г, 28,5 ммоль) в безводном CH3CN (3 мл) добавляли 1-N-трет-бутоксикарбонил-2-хлорметилбензимидазол (115 мг, 0,41 ммоль), N,N-диизопропилэтиламин (0,13 мл, 5 0,74 ммоль) и иодид калия (3 мг, 0,02 ммоль) и смесь перемешивали в атмосфере аргона при 60°C в течение 4 часов. Неочищенное желтое масло растворяли в безводном CH2Cl2 (2 мл) и добавляли по каплям трифторуксусную кислоту (1 мл). Полученную смесь перемешивали в течение ночи при комнатной температуре. Реакционную смесь разбавляли CH2Cl2 (10 мл) и затем концентрировали в вакууме для удаления избытка трифторуксусной кислоты. Концентрат разбавляли CH2Cl2 (20 мл) и экстрагировали 1н. NaOH (30 мл). Водный слой промывали CH2Cl2 (2 × 15 мл) и затем объединенные органические слои сушили (Na2SO4), фильтровали и концентрировали в вакууме. Очистка радиальной хроматографией на 2 мм пластине силикагеля для ТСХ (CH2Cl2/MeOH/NH4OH, 100:1:1, затем 50:1:1) давала аддукт дибензимидазола (134 мг, 49%, 2 стадии) в виде бесцветного масла. Используя общую методику D, превращение свободного основания (134 мг, 0,33 ммоль) в гидробромидную соль давало AMD9844 в виде бежевого твердого вещества (192 мг). 1Н ЯМР (D2О) Пример: 86
AMD9875: Получение (1Н-бензимидазол-2-илметил)-(3Н-имидазол-4-илметил)-(5,6,7,8-тетрагидрохинолин-8-ил)амина (гидробромидная соль). Используя общую методику B, взаимодействие 4(5)-имидазолкарбоксальдегида (0,055 г, 5 0,57 ммоль) и (1-трет-бутоксикарбонил-1Н-бензимидазол-2-илметил)-(5,6,7,8-тетрагидрохинолин-8-ил)амина (0,164 г, 0,43 ммоль) с NaBH(OAc)3 (0,154 г, 0,73 ммоль) в CH2Cl2 (4 мл) в течение 24 часов с последующей очисткой неочищенного вещества радиальной хроматографией на силикагеле (2 мм пластина, 20:1:1 CH2Cl2-CH3OH-NH4OH) давало 0,099 г (50%) целевого третичного амина в виде белого твердого вещества. Используя общую методику D, превращение белого твердого вещества (99 мг) в гидробромидную соль с одновременным удалением BOC-защитной группы, с последующим переосаждением промежуточного твердого вещества из смеси метанол/эфир, давало AMD9875 (97 мг) в виде белого твердого вещества. 1Н ЯМР (D2О) Пример: 87
AMD9575: Получение [4-(1Н-бензимидазол-2-ил)бензил]-(1Н-бензимидазол-2-илметил)-(5,6,7,8-тетрагидрохинолин-8-ил)амина (гидробромидная соль). Получение 4-(бензимидазол-2-ил)бензальдегида Раствор 2-нитроанилина (0,41 г, 3,0 ммоль) и метил 4-хлоркарбонилбензоата (0,65 г, 3,3 ммоль) в ТГФ (3,7 мл) и пиридине (0,8 мл) перемешивали в течение 2 часов при комнатной температуре. Реакционную смесь разбавляли насыщенным раствором бикарбоната натрия (10 мл) и EtOAc (15 мл), фазы разделяли и водную фазу экстрагировали EtOAc (2 × 10 мл). Объединенные органические экстракты сушили (Na2SO4), фильтровали и концентрировали при пониженном давлении, получая метиловый эфир (2-нитрофенил)терефталаминовой кислоты в виде желтого твердого вещества (0,70 г, 78%). 1Н ЯМР (CDCl3) К раствору метилового эфира (2-нитрофенил)терефталаминовой кислоты (0,23 г, 0,76 ммоль) в ледяной уксусной кислоте (2,5 мл) добавляли порошок железа (ситовый состав <5 мкм, 0,12 г, 2,1 ммоль) и смесь перемешивали при кипячении с обратным холодильником в течение 1 часа. Смесь охлаждали, перемешивали при комнатной температуре в течение 2 часов и концентрировали при пониженном давлении. Остаток распределяли между насыщенным раствором бикарбоната натрия (10 мл) и этилацетатом (10 мл), фазы разделяли и органический слой промывали насыщенным NaHCO3 (10 мл). Органический экстракт сушили (MgSO4), фильтровали и концентрировали, получая циклизованный метил 4-(бензимидазол-2-ил)бензоат (0,163 г, 86%). 1Н ЯМР (CDCl3) К раствору метил 4-(бензимидазол-2-ил)бензоата (0,23 г, 0,9 ммоль) в ТГФ (10 мл) при 0°C добавляли раствор DIBAL-H (5,0 мл, 1,0 M в ТГФ, 5,0 ммоль). Реакционную смесь оставляли нагреваться до комнатной температуры, перемешивали в течение 1 часа и гасили насыщенным раствором тартрата калия-натрия (20 мл). Двухфазную систему интенсивно перемешивали в течение 1 часа, фазы разделяли и органический слой сушили (MgSO4), фильтровали, концентрировали и очищали колоночной хроматографией на силикагеле (7% МеОН/СН2Cl2), получая 4-(бензимидазол-2-ил)бензиловый спирт (0,175 г, 87%). 1Н ЯМР (CD4OD) Полученный выше 4-(бензимидазол-2-ил)бензиловый спирт (0,175 г, 0,78 ммоль) растворяли в CH2Cl2 (5 мл) и ТГФ (8 мл), обрабатывали активированным MnO2 (0,68 г, 7,8 ммоль) и перемешивали при комнатной температуре в течение 1,5 часов. Смесь фильтровали через целит, осадок на фильтре промывали CH2Cl2 и растворитель из элюента удаляли при пониженном давлении, получая 4-(бензимидазол-2-ил)бензальдегид (92 мг, 42%). 1Н ЯМР (CD4OD) Используя общую методику B, к раствору 4-(бензимидазол-2-ил)бензальдегида (39 мг, 0,175 ммоль) и (1-трет-бутоксикарбонил-1Н-бензимидазол-2-илметил)-(5,6,7,8-тетрагидрохинолин-8-ил)амина (60 мг, 0,16 ммоль) в ТГФ (2 мл) добавляли уксусную кислоту (90 мкл) и триацетоксиборгидрид натрия (68 мг, 0,32 ммоль) и смесь перемешивали при 60°C в течение 3 часов. Очистка неочищенного продукта радиальной хроматографией на силикагеле (0,7%MeOH/0,5%NH4OH/CH2Cl2) давала целевой [4-(1Н-бензимидазол-2-ил)бензил]-(N-трет-бутоксикарбонилбензимидазол-2-илметил)-(5,6,7,8-тетрагидрохинолин-8-ил)амин (30 мг, 39%) в виде хлопьевидного белого твердого вещества. 1Н ЯМР (CDCl3) Используя общую методику D, превращение полученного выше вещества (30 мг) в гидробромидную соль для получения AMD9575 (0,026 г) в виде белого твердого вещества. 1Н ЯМР (D2О) Пример: 88 AMD9719: Получение (1Н-бензимидазол-2-илметил)-(4-пирид-2-илбензил)-(5,6,7,8-тетрагидрохинолин-8-ил)амина (гидробромидная соль). По общей методике B к раствору (1-трет-бутоксикарбонил-1Н-бензимидазол-2-илметил)-(5,6,7,8-тетрагидрохинолин-8-ил)амина (174 мг, 0,462 ммоль) и 4-пирид-2-илбензолкарбоксальдегида (161 мг, 0,879 ммоль) в CH2Cl2 (5 мл) добавляли NaBH(ОАс)3 (192 мг, 0,906 ммоль) и смесь перемешивали в течение ночи. Очистка неочищенного вещества радиальной хроматографией (2 мм ТСХ пластина, 100:1:1 СН2Cl2/СН3ОН/NH4ОН) давала свободное основание (0,135 г, 66%). По общей методике D превращение полученного выше вещества (135 мг) в гидробромидную соль давало AMD9719 (0,154 г, 69%). 1Н ЯМР (D2О) Пример 89
AMD9750: Получение (1Н-бензимидазол-2-илметил)-[4-(оксазол-2-ил)бензил]-(5,6,7,8-тетрагидрохинолин-8-ил)амина (гидробромидная соль). Получение 4-(оксазол-2-ил)бензилового спирта (B.A. Anderson et al. J. Org. Chem. 1997, 62, 8634):
К раствору оксазола (0,285 мл, 4 ммоль) в ТГФ (40 мл) при -78°C добавляли н-бутиллитий (1,83 мл 2,4M раствора в гексанах, 4,4 ммоль) и реакционную смесь перемешивали в течение 30 минут при -78°C, затем добавляли хлорид цинка (12 мл 1M раствора в ТГФ, 12 ммоль). Смесь затем оставляли медленно нагреваться до 0°C и перемешивали в течение 45 минут. Добавляли раствор метил-4-бромбензоата (0,860 г, 4 ммоль) в ТГФ (10 мл) с последующим добавлением раствора бис(трифенилфосфин)палладийхлорида (П) (140 мг, 0,2 ммоль) и н-бутиллития (0,17 мл 2,4M раствора в гексанах, 0,4 ммоль) в ТГФ (4 мл). Полученную темно-коричневую смесь нагревали до кипения с обратным холодильником и перемешивали в течение 1 часа. После охлаждения реакционную смесь разбавляли этилацетатом (30 мл), затем промывали водой (1 × 20 мл) и насыщенным раствором соли (1 × 20 мл). Органический слой сушили (Na2SO4), фильтровали, концентрировали и очищали хроматографией на силикагеле (98:2 CH2Cl2/MeOH), получая целевой метил-4-(оксазол-2-ил)бензоат (340 мг, 42%) в виде желтого масла. 1Н ЯМР (CDCl3) К раствору метил-4-(оксазол-2-ил)бензоата (0,203 г, 1 ммоль) в CH2Cl2 (10 мл) при 0°C добавляли DIBAL-H (4 мл 1,0M раствора в дихлорметане, 4 ммоль) в течение 10 минут. Полученный раствор перемешивали при 0°C в течение 2 часов, затем гасили насыщенным водным раствором тартрата калия-натрия (20 мл) и двухфазную смесь быстро перемешивали в течение 60 минут. Фазы разделяли и водный слой экстрагировали СН2Cl2 (3 х 10 мл). Объединенные органические фракции сушили (Na2SO4), фильтровали, концентрировали и очищали хроматографией на силикагеле (10:1 СН2Cl2/МеОН), получая указанный в заголовке спирт (0,156 г, 89%). 1Н ЯМР (CDCl3) Используя общую методику С, к раствору 4-(оксазол-2-ил)бензилового спирта (156 мг, 0,89 ммоль) в CH2Cl2 (10 мл) добавляли метансульфонилхлорид (0,102 мл, 1,34 ммоль) и триэтиламин (0,250 мл, 1,79 ммоль) и смесь перемешивали в течение 30 минут при комнатной температуре. Конечный мезилат получали в виде тонкодисперсного белого порошка и использовали непосредственно в следующей реакции без дополнительной очистки. 1Н ЯМР (CDCl3) Используя общую методику алкилирования, к раствору полученного выше мезилата (56 мг, 0,22 ммоль), K2CO3 (60 мг, 0,44 ммоль) и KI (2 мг, 0,01 ммоль) в CH3CN (10 мл) добавляли (1-трет-бутоксикарбонил-1Н-бензимидазол-2-илметил)-(5,6,7,8-тетрагидрохинолин-8-ил)амин (13 мг, 0,3 ммоль) и смесь перемешивали при 60°C в течение 16 часов. Очистка неочищенного вещества хроматографией на силикагеле (10:1 CH2Cl2/MeOH) давала N-алкилированный продукт (89 мг, 93%). 1Н ЯМР (CDCl3) Используя общую методику D, превращение полученного выше амина (89 мг, 0,020 ммоль) в гидробромидную соль давало AMD9750 (14 мг) в виде белого твердого вещества. 1Н ЯМР (D2О) Пример: 90
AMD9755: Получение (1Н-бензимидазол-2-илметил)-(4-имидазол-1-илбензил)-(5,6,7,8-тетрагидрохинолин-8-ил)амина (гидробромидная соль). Используя общую методику B, взаимодействие 4-(имидазол-1-ил)бензальдегида (0,075 г, 0,44 ммоль) и (1-трет-бутоксикарбонил-1Н-бензимидазол-2-илметил)-(5,6,7,8-тетрагидрохинолин-8-ил)амина (0,107 г, 0,29 ммоль) с NaBH(OAc)3 (0,171 г, 0,81 ммоль) в CH2Cl2 (3 мл) в течение 24 часов с последующей очисткой неочищенного вещества колоночной хроматографией на силикагеле (25:1:1 CH2Cl2-CH3OH-NH4OH) давало 0,091 г (58%) целевого третичного амина в виде белого твердого вещества. Используя общую методику D, превращение белого твердого вещества (91 мг) в гидробромидную соль с одновременным удалением BOC-защитной группы с последующим переосаждением промежуточного твердого вещества из смеси метанол/эфир давало AMD9755 (89 мг) в виде белого твердого вещества. 1Н ЯМР (D2О) Пример: 91
AMD9757: Получение [4-(тиазол-2-ил)бензил]-(1Н-бензимидазол-2-илметил)-(5,6,7,8-тетрагидрохинолин-8-ил)амина (гидробромидная соль). Получение 4-(2-тиазолил)бензальдегида К раствору 2-бромтиазола (0,26 г, 1,6 ммоль) и 4-формилфенилбороновой кислоты (0,48 г, 3,2 ммоль) в толуоле (16 мл) добавляли тетракис(трифенилфосфин)палладий(0) (0,09 г, 0,08 ммоль) и K2CO3 (0,33 г, 2,4 ммоль) и раствор перемешивали при кипячении с обратным холодильником в течение 16 часов. Реакционную смесь охлаждали до комнатной температуры, разбавляли водой (50 мл) и этилацетатом (50 мл). Органический слой отделяли, промывали насыщенным раствором соли (30 мл), сушили (MgSO4), фильтровали, концентрировали и очищали колоночной хроматографией на силикагеле (2% MeOH/CH2Cl2), получая 4-(2-тиазолил)бензальдегид (45 мг, 15%). 1Н ЯМР (CDCl3) Используя общую методику B, к раствору 4-(2-тиазолил)бензальдегида (45 мг, 0,24 ммоль) и (1-трет-бутоксикарбонил-1Н-бензимидазол-2-илметил)-(5,6,7,8-тетрагидрохинолин-8-ил)амина (81 мг, 0,21 ммоль) в дихлорметане (2,5 мл) добавляли NaBH(OAc)3 (77 мг, 0,36 ммоль) и смесь перемешивали при комнатной температуре в течение 16 часов. Очистка неочищенного вещества радиальной хроматографией на силикагеле (MeOH/NH4ОН/CH2Cl2, 1:1:98) давала целевой амин (34 мг, 28%) в виде хлопьевидного белого твердого вещества. 1Н ЯМР (CDCl3) Используя общую методику D, превращение полученного выше твердого вещества (34 мг) в гидробромидную соль давало AMD9757 (34 мг) в виде белого твердого вещества. 1Н ЯМР (D2О) Пример: 92
AMD9595: Получение (1Н-бензимидазол-2-илметил)-[4-(бензотиазол-2-ил)бензил]-(5,6,7,8-тетрагидрохинолин-8-ил)амина (гидробромидная соль)
Получение 4-(бензотиазол-2-ил)бензилового спирта К охлажденному до 0°C раствору метил 4-(бензотиазол-2-ил)бензоата (полученного, как описано A. Brembilla, D. Roizard и P. Lochon Synth. Commun. 1990, 20, 3379) (1,08 г, 4 ммоль) в ТГФ (20 мл) добавляли DIBAL-H (20 мл 1,0M раствора в ТГФ, 20 ммоль) в течение 10 минут. Полученный раствор перемешивали при 0°C в течение 2 часов, затем добавляли водный насыщенный раствор тартрата натрия-калия и двухфазную смесь энергично перемешивали в течение 60 минут. Фазы отделяли и водный слой экстрагировали эфиром (3 x 20 мл). Объединенные органические фракции сушили (Na2SO4), концентрировали и очищали колоночной хроматографией на силикагеле (10:1 CH2Cl2/МеОН), получая указанное в заголовке соединение (0,69 г, 75%). 1Н ЯМР (CD3OD) Используя общую методику С, к раствору 4-(бензотиазол-2-ил)бензилового спирта (227 мг, 1,0 ммоль) в CH2Cl2 (10 мл) добавляли метансульфонилхлорид (0,092 мл, 1,2 ммоль) и триэтиламин (0,210 мл, 1,5 ммоль) и смесь перемешивали при комнатной температуре в течение 30 минут. Мезилат собирали в виде тонкодисперсного белого порошка и использовали без дополнительной очистки в следующей реакции. 1Н ЯМР (CDCl3) Используя общую методику алкилирования, раствор полученного выше мезилата (1 ммоль), N,N-диизопропилэтиламина (0,093 мл, 1,2 ммоль), иодида калия (13 мг, 0,10 ммоль) и (1-трет-бутоксикарбонил-1H-бензимидазол-2-илметил)-(5,6,7,8-тетрагидрохинолин-8-ил)амина (400 мг, 1,1 ммоль) в CH3CN (10 мл) перемешивали при 70°C в течение 3 часов. Очистка неочищенного вещества колоночной хроматографией на силикагеле (10:1 CH2Cl2/MeOH) давала алкилированный продукт (1H-N-трет-бутоксикарбонилбензимидазол-2-илметил)-[4-(бензотиазол-2-ил)бензил]-(5,6,7,8-тетрагидрохинолин-8-ил)амин (354 мг, 71%). 1Н ЯМР (CDCl3) Используя общую методику D, превращение полученного выше вещества (80 мг) в гидробромидную соль с одновременным удалением N-трет-бутоксикарбонильной защитной группы давало AMD9595 (14 мг) в виде белого кристаллического твердого вещества. 1Н ЯМР (D2О) Пример: 93
AMD9615: Получение [4-(бензоксазол-2-ил)бензил]-(1Н-бензимидазол-2-илметил)-(5,6,7,8-тетрагидрохинолин-8-ил)амина (гидробромидная соль). Получение 4-(бензоксазол-2-ил)бензилового спирта Раствор 2-нитрофенола (0,50 г, 3,6 ммоль) и метил 4-хлоркарбонилбензоата (0,79 г, 4,0 ммоль) в ТГФ (4,5 мл) и пиридине (0,9 мл) перемешивали в течение 1 часа при комнатной температуре. Реакционную смесь разбавляли насыщенным раствором бикарбоната натрия (10 мл) и EtOAc (15 мл), фазы разделяли и водную фазу экстрагировали EtOAc (2 × 10 мл). Объединенные органические экстракты сушили (Na2SO4), фильтровали и концентрировали при пониженном давлении, получая сложный диэфир (2-нитрофенил)терефталевой кислоты в виде желтого твердого вещества (1,03 г, 96%). 1Н ЯМР (CDCl3) К раствору диэфира (2-нитрофенил)терефталевой кислоты (1,02 г, 3,3 ммоль) в ледяной уксусной кислоте (11 мл) добавляли порошок железа (ситовый состав <5 мкм, 0,51 г, 9,0 ммоль) и смесь перемешивали при кипячении с обратным холодильником в течение 1,5 часов. Смесь охлаждали, перемешивали при комнатной температуре в течение 2 часов и концентрировали при пониженном давлении. Остаток распределяли между насыщенным раствором бикарбоната натрия (25 мл) и этилацетатом (25 мл), фазы разделяли и органический слой промывали насыщенным NaHCO3 (25 мл). Органический экстракт сушили (MgSO4), фильтровали, концентрировали и очищали колоночной хроматографией на силикагеле (2% MeOH/CH2Cl2), получая метиловый эфир (2-гидроксифенил)терефталаминовой кислоты (0,37 г, 44%). 1Н ЯМР (CDCl3) Раствор метилового эфира (2-гидроксифенил)терефталаминовой кислоты (0,35 г, 1,3 ммоль) в полифосфорной кислоте (5 мл) кипятили с обратным холодильником в течение 3 часов. Раствор охлаждали до 0°C, добавляли воду (100 мл) и вводили твердый К2СО3 до достижения pH 7-9. Остаток разбавляли этилацетатом (2 × 100 мл) и органический экстракт сушили (MgSO4), фильтровали и концентрировали, получая циклизованный метил 4-(бензоксазол-2-ил)бензоат (0,15 г, 45%) в виде бежевого порошка. 1Н ЯМР (CDCl3) К раствору метил 4-(бензоксазол-2-ил)бензоата (0,20 г, 0,8 ммоль) в ТГФ (8 мл) при -78°C добавляли раствор DIBAL-H (4,0 мл, 1,0 M в ТГФ, 4,0 ммоль). Реакционную смесь оставляли нагреваться до комнатной температуры, перемешивали в течение 1 часа и гасили насыщенным раствором тартрата калия-натрия (15 мл). Двухфазную смесь интенсивно перемешивали течение 1 часа, фазы разделяли и органический слой сушили (MgSO4), фильтровали и концентрировали, получая указанный в заголовке спирт (0,16 г, 89%). 1Н ЯМР (CDCl3) Используя общую методику С, к раствору 4-(бензоксазол-2-ил)бензилового спирта (0,16 г, 0,7 ммоль) и триэтиламина (0,15 мл, 1,1 ммоль) в ТГФ (7 мл) добавляли метансульфонилхлорид (75 мкл, 1,0 ммоль) и смесь перемешивали при комнатной температуре в течение 0,5 часа. Реакционную смесь гасили насыщенным раствором NaHCO3 (10 мл) и водную фазу экстрагировали CH2Cl2 (3 × 10 мл). Объединенные органические экстракты сушили (MgSO4), фильтровали и концентрировали, получая мезилат (0,20 г, 93%) в виде бледно-желтого кристаллического твердого вещества. 1Н ЯМР (CDCl3) Используя общую методику алкилирования, раствор полученного выше мезилата (0,20 г, 0,66 ммоль), N,N-диизопропилэтиламина (0,17 мл, 1,0 ммоль) и иодида калия (6 мг, 30 мкмоль) в CH3CN (7 мл) подвергали взаимодействию с (1-трет-бутоксикарбонил-1Н-бензимидазол-2-илметил)-(5,6,7,8-тетрагидрохинолин-8-ил)амином (0,27 г, 0,72 ммоль) при 60°C в течение 4 часов. Очистка неочищенного вещества колоночной хроматографией на силикагеле (4% MeOH/CH2Cl2) давала N-алкилированный продукт (0,23 г, 59%) в виде хлопьевидного белого твердого вещества. 1Н ЯМР (CDCl3) Используя общую методику D, превращение полученного выше вещества (90 мг) в гидробромидную соль давало AMD9615 (0,10 г) в виде бледно-коричневого твердого вещества. 1Н ЯМР (D2О) Пример: 94
AMD9716: Получение [4-(1Н-имидазол-2-ил)бензил]-(1Н-бензимидазол-2-илметил)-(5,6,7,8-тетрагидрохинолин-8-ил)амина (гидробромидная соль). Получение метил [(диметиламид N-сульфоновой кислоты)имидазол-2-ил]бензилового спирта К раствору диметиламида имидазол-1-сульфоновой кислоты (1,03 г, 5,9 ммоль) в ТГФ (5,9 мл) при -78°C добавляли н-бутиллитий (3,2 мл, 2,42 M в ТГФ) и раствор перемешивали при -78°C в течение 15 минут. К смеси добавляли раствор хлорида цинка (0,80 г, 5,9 ммоль) в ТГФ (4,4 мл) при -78°C, реакционную смесь нагревали до комнатной температуры и перемешивали в течение 0,5 часа. К полученной смеси добавляли тетракис(трифенилфосфин)палладий(0) (0,27 г, 0,2 ммоль), раствор метил 4-бромбензоата (0,85 г, 3,9 ммоль) в ТГФ (2,6 мл) и хлорид цинка (1,6 г, 11,8 ммоль) и реакционную смесь кипятили с обратным холодильником в течение 6 часов. Реакционную смесь гасили насыщенным раствором NH4Cl (50 мл), слои разделяли и органический слой промывали насыщенным раствором соли (1 × 30 мл), сушили (MgSO4), фильтровали, концентрировали и очищали колоночной хроматографией на силикагеле (2% MeOH/CH2Cl2), получая метил [(диметиламид N-сульфоновой кислоты)имидазол-2-ил]бензоат (0,56 г, 47%) в виде коричневого твердого вещества. 1Н ЯМР (CDCl3) К раствору метил [(диметиламид N-сульфоновой кислоты)имидазол-2-ил]бензоата (0,56 г, 1,8 ммоль) в ТГФ (18 мл) при -78°C добавляли раствор DIBAL- H (9,1 мл, 1,0 M в ТГФ). Реакционную смесь оставляли нагреваться до комнатной температуры, перемешивали в течение 1 часа и гасили насыщенным раствором тартрата калия-натрия (25 мл). Двухфазную систему интенсивно перемешивали в течение 1 часа, фазы разделяли и органический слой сушили (MgSO4), фильтровали и концентрировали, получая метил [(диметиламид N-сульфоновой кислоты)имидазол-2-ил]бензиловый спирт (0,39 г, 76%). 1Н ЯМР (CDCl3) Используя общую методику С, к раствору полученного выше спирта (0,39 г, 1,4 ммоль) и триэтиламина (0,30 мл, 2,1 ммоль) в ТГФ (14 мл) добавляли метансульфонилхлорид (0,15 мл, 1,9 ммоль) и смесь перемешивали при комнатной температуре в течение 1 часа. Полученный мезилат (0,50 г) использовали без дополнительной очистки в следующей реакции. 1Н ЯМР (CDCl3) Используя общую методику алкилирования, раствор полученного выше мезилата (0,29 г, 0,8 ммоль), N,N-диизопропилэтиламина (0,21 мл, 1,2 ммоль) и иодида калия (10 мг, 40 ммоль) в CH3CN (9 мл) подвергали взаимодействию с (1-трет-бутоксикарбонил-1Н-бензимидазол-2-илметил)-(5,6,7,8-тетрагидрохинолин-8-ил)амином (0,31 г, 0,8 ммоль) при 60°C в течение 16 часов. Очистка неочищенного колоночной хроматографией на силикагеле (6% MeOH/CH2Cl2) давала целевой амин (0,25 г, 48%) в виде хлопьевидного белого твердого вещества. 1Н ЯМР (CDCl3) Раствор полученного выше защищенного имидазолиламина (0,25 г, 0,5 ммоль) в 2M HCl (4 мл) кипятили с обратным холодильником в течение 16 часов. Смесь разбавляли 15%-ным водным NaOH (20 мл) и экстрагировали CH2Cl2 (2 × 20 мл). Органический слой отделяли, сушили (MgSO4), фильтровали, концентрировали и очищали колоночной хроматографией на силикагеле (5% MeOH/CH2Cl2), получая целевой амин (0,10 г, 60%) в виде белого твердого вещества. 1Н ЯМР (CDCl3) Используя общую методику D, превращение твердого вещества полученного выше (100 мг) в гидробромидную соль давало AMD9716 (0,125 г) в виде белого твердого вещества. 1Н ЯМР (D2О) Пример: 95
AMD 9841 Получение (2′-аминометилбифенил-4-илметил)-(1Н-бензимидазол-2-илметил)-(5,6,7,8-тетрагидрохинолин-8-ил)амина (гидробромидная соль) Используя общую методику алкилирования, к раствору (1-трет-бутоксикарбонил-1Н-бензимидазол-2-илметил)-(5,6,7,8-тетрагидрохинолин-8-ил)амина (0,194 г, 0,51 ммоль) в CH3CN (5 мл) добавляли N,N-диизопропилэтиламин (0,30 мл, 1,72 ммоль), затем 4′-бромметил-2-цианобифенил (0,303 г, 1,11 ммоль) и полученную смесь нагревали при 60°C в течение 25 часов. Очистка неочищенного вещества колоночной хроматографией на силикагеле (10:1:1 СН2Cl2-СН3ОН-NH4OH) с последующей радиальной хроматографией на силикагеле (2 мм пластина, 100:1:1 СН2Cl2-СН3ОН-NH4ОН) давала желто-коричневую пену (79 мг). Полученное выше промежуточное соединение (79 мг, 0,14 ммоль) растворяли в насыщенном NH3 метаноле (3 мл) в аппарате Парра для гидрирования. Никель Ренея (50 мг) промывали MeOH (3x), переносили в колбу для гидрирования, содержащую нитрил, и смесь гидрировали при давлении 50 фн/дюйм2 (345 кПа) в течение 24 часов. Смесь фильтровали через целит и осадок на фильтре промывали метанолом. Элюент концентрировали при пониженном давлении. Очистка неочищенного вещества радиальной хроматографией на силикагеле (1 мм пластина, 50:1:1 СН2Cl2-СН3ОН-NH4ОН) давала 36 мг (54%) свободного основания указанного в заголовке соединения в виде белой пены. Используя общую методику D, превращение белой пены (36 мг) в гидробромидную соль, с последующим переосаждением промежуточного твердого вещества из смеси метанол/эфир, давало AMD9841 (35 мг) в виде белого твердого вещества. 1Н ЯМР (D2О) Пример: 96
AMD9785: Получение (1H-бензимидазол-2-илметил)-(2′-метоксибифенил-4-илметил)-(5,6,7,8-тетрагидрохинолин-8-ил)амина (гидробромидная соль)
Получение 2′-метоксибифенил-4-карбоксальдегида К перемешиваемому дегазированному раствору 4-бромбензальдегида (218 мг, 1,18 ммоль) и 2-метоксибензолбороновой кислоты (188 мг, 1,24 ммоль) в смеси ДМЭ/ТГФ (5 мл, 4:1) добавляли 2M раствор Na2CO3 (1,6 мл) и Pd(PPh3)4 (63 мг, 0,055 ммоль). Реакционную смесь продували аргоном и выдерживали в атмосфере аргона при нагревании при 85°C в течение ночи. Смесь затем охлаждали и разбавляли EtOAc (25 мл) и водой (25 мл). Водный слой промывали EtOAc (2 × 10 мл) и объединенные органические экстракты сушили (Na2SO4), фильтровали и концентрировали. Очистка полученного масла колоночной хроматографией на силикагеле (гексаны/Et2O, 80:20) давала указанное в заголовке соединение (230 мг, 92%) в виде прозрачного масла. 1Н ЯМР (CDCl3) Используя общую методику B, к перемешиваемому раствору (1-трет-бутоксикарбонил-1Н-бензимидазол-2-илметил)-(5,6,7,8-тетрагидрохинолин-8-ил)амина (95 мг, 0,25 ммоль) и 2′-метоксибифенил-4-карбоксальдегида (55 мг, 0,26 ммоль) в CH2Cl2 (5 мл) добавляли NaBH(OAc)3 (83 мг, 0,39 ммоль) и полученную смесь перемешивали при комнатной температуре в течение ночи. Очистка неочищенного вещества радиальной хроматографией на силикагеле (1 мм пластина, 50:1:1 CH2Cl2/MeOH/NH4OH) давала целевой амин (75 мг, 52%) в виде прозрачного масла. Используя общую методику D, превращение полученного выше масла (34 мг, 0,059 ммоль) в гидробромидную соль с одновременным удалением N-трет-бутоксикарбонильной защитной группы с последующим переосаждением промежуточного твердого вещества из смеси метанол/эфир давало AMD9785 (25 мг, 63%) в виде белого твердого вещества. 1Н ЯМР (D2О) Пример: 97
AMD9791: Получение (1Н-бензимидазол-2-илметил)-(4-оксазол-5-илбензил)-(5,6,7,8-тетрагидрохинолин-8-ил)амина (гидробромидная соль) Получение 4-(оксазол-5-ил)бензальдегида К перемешиваемому раствору 4-(оксазол-5-ил)бензилового спирта (полученного, как описано Tanaka, A.; Terasawa, Т.; Hagihara, H.; Sakuma, Y.; Isbibe, N.; Sawada, M.; Takasugj, H.; Tanaka, H. J. Med. Chem. 1998, 41, 2390-2410) (0,23 г, 1,31 ммоль) в смеси CH2Cl2/MeOH (20:1, 10,5 мл) добавляли активированный MnO2 (1,01 г, 11,6 ммоль) и смесь перемешивали при комнатной температуре в течение ночи. Реакционную смесь затем разбавляли СН2Cl2 (10 мл) и фильтровали через целит, промывая CHCl3. Фильтрат концентрировали, получая неочищенный альдегид в виде бежевого твердого вещества (0,164 г), которое использовали без дополнительной очистки в следующей реакции. 1Н ЯМР (CDCl3) Используя общую методику B, к перемешиваемому раствору (1-трет-бутоксикарбонил-1Н-бензимидазол-2-илметил)-(5,6,7,8-тетрагидрохинолин-8-ил)амина (133 мг, 0,35 ммоль) и 4-(оксазол-5-ил)бензальдегида (80 мг, 0,45 ммоль) в CH2Cl2 (10 мл) добавляли NaBH(OAc)3 (107 мг, 0,50 ммоль) и полученную смесь перемешивали при комнатной температуре в течение ночи. Полученное неочищенное масло растворяли в смеси CH2Cl2/ТФУК (1:1, 2 мл) и смесь перемешивали в течение 2 часов. Реакционную смесь затем концентрировали и разбавляли CH2Cl2 (30 мл) и 1н. NaOH (30 мл). Водный слой промывали CH2Cl2 (2 × 10 мл) и объединенные органические экстракты сушили (Na2SO4), фильтровали и концентрировали. Очистка неочищенной пены радиальной хроматографией на силикагеле (2 мм пластина, 50:1:1 CH2Cl2/MeOH/NH4OH) давала свободный амин (50 мг, 33% по 2 стадиям) в виде желтой пены. Используя общую методику D, превращение полученной выше пены (50 мг, 0,11 ммоль) в гидробромидную соль с последующим переосаждением промежуточного твердого вещества из смеси метанол/эфир давало AMD9791 (70 мг, 87%) в виде желтого твердого вещества. 1Н ЯМР (D2О) Пример: 98
AMD9792: Получение (1Н-бензимидазол-2-илметил)-(5,6,7,8-тетрагидрохинолин-8-ил)-(4-тиофен-2-илбензил)амина (гидробромидная соль)
Получение 4-тиофен-2-илбензальдегида К перемешиваемому дегазированному раствору 4-бромбензальдегида (371 мг, 2,00 ммоль) и тиофен-2-бороновой кислоты (287 мг, 2,24 ммоль) в смеси ДМЭ/ТГФ (5 мл, 4:1) добавляли 2M раствор Na2CO3 (3,0 мл) и Pd(PPh3)4 (110 мг, 0,095 ммоль). Реакционную смесь продували аргоном и выдерживали в атмосфере аргона при нагревании при 85°C в течение 2 дней. Смесь затем охлаждали и разбавляли EtOAc (35 мл) и водой (30 мл). Водный слой промывали EtOAc (2×10 мл) и объединенные органические экстракты сушили (Na2SO4), фильтровали и концентрировали. Очистка полученного масла колоночной хроматографией на силикагеле (гексаны/EtOAc, 4:1) давала указанное в заголовке соединение (293 мг, 78%) в виде желтого твердого вещества. 1Н ЯМР (CDCl3) Используя общую методику B, к перемешиваемому раствору (1Н-бензимидазол-2-илметил)-(5,6,7,8-тетрагидрохинолин-8-ил)амина (144 мг, 0,52 ммоль) и 4-тиофен-2-илбензальдегида (100 мг, 0,53 ммоль) в CH2Cl2 (5 мл) добавляли NaBH(OAc)3 (160 мг, 0,75 ммоль) и полученную смесь перемешивали при комнатной температуре в течение ночи. Очистка неочищенного вещества радиальной хроматографией на силикагеле (2 мм пластина, 50:1:1 CH2Cl2/MeOH/NH4OH) давала целевой амин (133 мг, 57%) в виде желтой пены. Используя общую методику D, превращение полученной выше пены (115 мг, 0,26 ммоль) в гидробромидную соль с последующим переосаждением промежуточного твердого вещества из смеси метанол/эфир давало AMD9792 (134 мг, 82%) в виде желтого твердого вещества. 1Н ЯМР (D2О) Пример: 99
AMD9778: Получение (1Н-бензимидазол-2-илметил)-[4-(2-метил-2Н-тетразол-5-ил)бензил]-(5,6,7,8-тетрагидрохинолин-8-ил)амина (гидробромидная соль). К перемешиваемому раствору 8-амино-5,6,7,8-тетрагидрохинолина (170 мг, 1,15 ммоль) в безводном MeOH (10 мл) добавляли 4-(2-метил-2Н-тетразол-5-ил)бензальдегида (полученного, как описано Bold, G.; Fassler, A.; Capraro, H.-G.; Cozens, R.; Klimkait, Т.; Lazdins, J.; Mestan, J.; Poncioni, В.; Rosel, J.; Stover, D.; Tintelnot-Blomley, M.; Acemoglu, F.; Beck, W.; Boss, E.; Eschbach, M.; Hurlimann, Т.; Masso, E.; Roussel, S.; Ucci-Stoll, K.; Wyss, D.; Lang, M. J. Med. Chem. 1998, 41, 3387-3401) (220 мг, 1,17 ммоль) и смесь перемешивали в течение 1,5 часов при комнатной температуре. Первоначально желто-оранжевая суспензия превращалась в темно-оранжевый гомогенный раствор по истечении указанного времени. Смесь концентрировали в вакууме, анализировали с помощью 1H ЯМР и повторно растворяли в MeOH (10 мл). К полученному раствору добавляли NaBH4 (85 мг, 2,25 ммоль) и смесь перемешивали в течение 1 часа. Реакционную смесь концентрировали в вакууме и разбавляли СН2Cl2 (40 мл) и насыщенным водным раствором бикарбоната натрия (40 мл). Водную фазу промывали СН2Cl2 (2 × 10 мл) и объединенные органические экстракты сушили (Na2SO4), фильтровали и концентрировали, получая оранжево-коричневое масло (422 мг), которое использовали без очистки в следующей реакции. По общей методике алкилирования к перемешиваемому раствору полученного выше вторичного амина (205 мг, 0,64 ммоль) в CH3CN (5 мл) добавляли N,N-диизопропилэтиламин (0,23 мл, 1,32 ммоль), KI (24 мг, 0,14 ммоль) и 1-(трет-бутоксикарбонил)-2-(хлорметил)бензимидазол (165 мг, 0,62 ммоль). Смесь перемешивали при 60°C в течение 3 часов. Очистка полученного коричневого масла колоночной хроматографией на силикагеле (СН2Cl2/МеОН, 98:2 затем 96:4) c последующей радиальной хроматографией на силикагеле (1 мм пластина, CH2Cl2/MeOH, 98:2) давала целевой алкилированный амин (44 мг, 43% по 2 стадиям) в виде коричневой пены. Используя общую методику D, превращение полученной выше пены (44 мг, 0,08 ммоль) в гидробромидную соль с одновременным удалением N-трет-бутоксикарбонильной защитной группы с последующим переосаждением промежуточного твердого вещества из смеси метанол/эфир давало AMD9778 (45 мг, 87%) в виде бледно-коричневого твердого вещества. 1Н ЯМР (D2O) Пример: 100
AMD9715: Получение (1Н-бензимидазол-2-илметил)-[4-(5-фенилоксазол-2-ил)бензил]-(5,6,7,8-тетрагидрохинолин-8-ил)амина. Получение метил-N-(2-оксо-2-фенилэтил)терефталамата К раствору 2-аминоацетофенона (516 мг, 3,0 ммоль) и триэтиламина (0,84 мл, 6 ммоль) в CH2Cl2 (20 мл) при 0°C добавляли по каплям в течение 10 минут метил 4-хлоркарбонилбензоат (594 мг, 3,0 ммоль). Затем раствор оставляли нагреваться до комнатной температуры и перемешивали в течение 90 минут. Раствор промывали насыщенным водным раствором NH4Cl (20 мл) и водный слой экстрагировали в CH2Cl2 (2 × 10 мл). Объединенные органические экстракты сушили (Na2SO4), фильтровали и концентрировали в вакууме, получая целевой метил N-(2-оксо-2-фенилэтил)терефталамат в виде бледно-желтых кристаллов (835 мг, 94%). 1Н ЯМР (CDCl3) Получение метил 4-(5-фенилоксазол-2-ил)бензоата (как описано Wipf, P., Miller, C.P. J. Org. Chem. 1993, 58, 3604): К раствору трифенилфосфина (524 мг, 2,0 ммоль) и триэтиламина (0,56 мл, 4,0 ммоль) в СН2Cl2 (10 мл) добавляли иод (480 мг, 1,9 ммоль) и смесь перемешивали в течение 15 минут. Добавляли раствор метил N-(2-оксо-2-фенилэтил)терефталамата (297 мг, 1,0 ммоль) в CH2Cl2 (5 мл) и полученную смесь перемешивали при комнатной температуре в течение ночи. Органическую фазу промывали 5%-ным водным раствором тиосульфата натрия (1 × 15 мл) и насыщенным раствором NaHCO3 (1 x 15 мл) и затем сушили (Na2SO4), фильтровали и концентрировали в вакууме. Полученный маслянистый остаток очищали колоночной хроматографией на силикагеле (1:1 гексаны/EtOAc), получая целевой продукт, метил 4-(5-фенилоксазол-2-ил)бензоат, в виде желтого масла (69 мг, 24%). 1Н ЯМР (CDCl3) К раствору метил-4-(5-фенилоксазол-2-ил)бензоата (56 мг, 0,19 ммоль) в CH2Cl2 (8 мл) при -78°C добавляли DIBAL-H (1 мл 1,0 M раствора в CH2С12, 1,0 ммоль) и раствор перемешивали при -78°C в течение 90 минут. К реакционной смеси добавляли насыщенный водный раствор тартрата натрия-калия (5 мл) и смесь оставляли нагреваться до комнатной температуры. Двухфазную систему интенсивно перемешивали в течение 60 минут, слои разделяли и водный слой экстрагировали CH2Cl2 (2 × 10 мл). Объединенные органические фракции сушили (Na2SO4), фильтровали и концентрировали в вакууме, получая целевой спирт, 2-(4-гидроксиметилфенил)-5-фенилоксазол, в виде бледно-желтого масла (46 мг, 96%). 1Н ЯМР (CDCl3) По общей методике С к раствору полученного выше спирта (123 мг, 0,5 ммоль) и триэтиламина (0,105 мл, 0,75 ммоль) в CH2Cl2 (8 мл) добавляли метансульфонилхлорид (0,05 мл, 0,65 ммоль) и смесь перемешивали при комнатной температуре в течение 10 минут. Целевой неочищенный 2-(4-(метансульфонатометилфенил))-5-фенилоксазол получали в виде бледно-желтого масла и использовали непосредственно без дополнительной очистки в следующей реакции. По общей методике алкилирования к раствору полученного выше мезилата (0,5 ммоль) и (1-трет-бутоксикарбонил-1Н-бензимидазол-2-илметил)-(5,6,7,8-тетрагидрохинолин-8-ил)амина (264 мг, 0,7 ммоль) в СН3CN (8 мл) добавляли N,N-диизопропилэтиламин (0,145 мл, 0,8 ммоль) и иодид калия (8 мг, 0,05 ммоль) и полученную смесь нагревали при 60°C в течение ночи. Неочищенный остаток очищали колоночной хроматографией на силикагеле (CH2Cl2/MeOH, 95:5), получая целевой третичный амин, (1Н-1-трет-бутоксикарбонилбензимидазол-2-илметил)-[4-(5-фенилоксазол-2-ил)бензил]-(5,6,7,8-тетрагидрохинолин-8-ил)амин, в виде бледно-желтой пены (209 мг, 68%). 1Н ЯМР (CDCl3) Используя общую методику D, превращение полученной выше пены (31 мг, 0,05 ммоль) в гидробромидную соль с последующим переосаждением промежуточного твердого вещества из смеси метанол/эфир давало AMD9715 (28 мг) в виде белого твердого вещества. 1Н ЯМР (D2O) Пример: 101 Ингибирование индуцированного хемокином потока Ca, измеренного с использованием FLIPR (Molecular Devices) Реагенты Нагружающий краситель: Fluo-3, AM (Molecular Probes F-1241) растворяют в безводном ДМСО и хранят замороженным в аликвотах. Для увеличения растворимости красителя в нагружающей среде к исходному раствору Fluo-3 непосредственно перед употреблением добавляли 10% (масс/об) плуроновую кислоту (Molecular Probes F-127). Буфер потока HBSS + 20 mM Hepes буфера + 0,2 % БСА, pH 7,4, HBSS 10 x [масс./об. Феноловый красный и бикарбонат натрия (Gibco 14 065-049)]; Hepes буфер 1M (Gibco 15 630-056), БСА (Sigma A3675). Буфер потока фильтровали в вакууме и хранили охлажденным в течение максимум 5 дней. Перед употреблением в эксперименте буфер нагревали до 37°C на водяной бане. Антагонисты Исследуемые соединения разводили в буфере потока и добавляли в 4 лунки черного микропланшета (4 параллельных измерения на соединение). Использовали следующие контрольные лунки: контроль 100% ответной реакции (нет ингибирования), добавляли буфер потока; контроль 100% ингибирования: добавляли хемокин в 5-ти кратной концентрации, требуемой для индуцирования Са потока. Получение агонистического (хемокинового) планшета Хемокины разводили в буфере потока до концентрации, которая 4-х кратно превышает желаемые концентрации, требуемые для стимуляции клеток (т.е. 2,5 нМ для SDF-1 Протокол нагружения клеток для измерения ингибирования индуцированного SDF-1 SUP-T1 клетки центрифугировали при комнатной температуре (КТ) и повторно суспендировали в нагружающей среде (RPMI-1640, содержащий 2% FBS и 4 мкМ Fluo-3, AM). Клетки инкубировали при комнатной температуре в течение 45 минут, затем дважды промывали буфером потока, затем инкубировали в буфере потока при комнатной температуре в течение 10 минут. Клетки центрифугировали и повторно суспендировали в буфере потока при плотности 3×106 клеток на мл. 100 мкл аликвоту клеточной суспензии (3×106 клеток) добавляли в каждую лунку черного микропланшета (Costar 3603), которые уже содержали 50 мкл раствор исследуемого соединения (в концентрациях, которые 3-х кратно превышают желаемые конечные концентрации соединения). Микропланшет затем осторожно центрифугировали при комнатной температуре. Гомогенное распределение клеток на дне лунок микропланшета затем подтверждали с помощью микроскопа и микропланшет инкубировали в FLIPR (37°С) в течение 10 минут перед тестированием. Измерения флуоресценции как функции времени на FLIPR FLIPR установки (время экспозиции камеры и мощность лазера) регулировали для получения первоначальных значений флуоресценции между 8000 и 10000 единиц. После контроля 20-секундной фоновой линии, агонист (хемокин) (50 мкл) добавляли с помощью автоматической пипетки с черными наконечниками для пипеток. Флуоресценцию измеряли одновременно во всех лунках микропланшета каждые 2 секунды (первые 2 минуты) и затем каждые 6 секунд (дополнительные 2 минуты). Средний поток Са, измеренный в каждой группе 4 идентичных лунок (одно тестируемое соединение), рассчитывали с помощью программного обеспечения FLIPR. С использованием указанного выше способа было установлено, что соединения настоящего изобретения ингибируют индуцированный SDF-1 Пример: 102 Анализ ингибирования репликации ВИЧ-1 (NL4.3) в МТ-4 клетках. Анализы ингибирования репликации ВИЧ-1 NL4.3 (или IIIB) проводили, как описано ранее (Bridger et al., J.Med.Chem. 1999, 42, 3971-3981; De Clercq et al., Proc.Natl.Acad.Sci, 1992, 89, 5286-5290; De Clercq et al., Antimicrob. Agents Chemother., 1994, 38, 668-674; Bridger et al., J.Med.Chem. 1995, 38, 366-378). Измерения анти-ВИЧ активности и цитотоксичности проводили параллельно. Они основаны на жизнеспособности МТ-4 клеток, которые были инфицированы ВИЧ в присутствии различных концентраций исследуемых соединений. После того как МТ-4 клеткам давали возможность пролиферировать в течение 5 дней, число жизнеспособных клеток оценивали количественно с использованием колориметрического метода, основанного на использовании тетразолия (бромид 3-(4,5-диметилдтиазол-2-ил)-2,5-дифенилтетразолия (МТТ)) в 96-луночных микропланшетах. Во всех таких анализах вирусный вклад (вирусная множественность инфицирования, MOI) составлял 0,01 или 100 раз 50% клеточной культуральной инфицированной дозы (CCID50). EC50 определяли при концентрации, требуемой для защиты 50% инфицированных вирусом клеток против вирусной цитотоксичности. Когда соединения настоящего изобретения тестировали на ингибирование ВИЧ-1 NL4.3 или IIIB репликации в МТ-4 клетках, было установлено, что они проявляют EC50, равные 0,002-20,0 мкг/мл. Следующие соединения формулы 1 были также получены способом, аналогичным указанному выше: (4-аминометилпиридин-3-илметил)-(1Н-бензоимидазол-2-илметил)-(5,6,7,8-тетрагидрохинолин-8-ил)амин (3-аминометилпиридин-4-илметил)-(1Н-бензоимидазол-2-илметил)-(5,6,7,8-тетрагидрохинолин-8-ил)амин 1-(3-аминометил-4-{[(1Н-бензоимидазол-2-илметил)-(5,6,7,8-тетрагидрохинолин-8-ил)амино]метил}фенил)этанон 1-(5-аминометил-2-{[(1Н-бензоимидазол-2-илметил)-(5,6,7,8-тетрагидрохинолин-8-ил)амино]метил}фенил)этанон 3-аминометил-4-{[(1Н-бензоимидазол-2-илметил)-(5,6,7,8-тетрагидрохинолин-8-ил)амино]метил}бензолсульфонамид 5-аминометил-2-{[(1Н-бензоимидазол-2-илметил)-(5,6,7,8-тетрагидрохинолин-8-ил)амино]метил}бензолсульфонамид N-(3-аминометил-4-{[(1Н-бензоимидазол-2-илметил)-(5,6,7,8-тетрагидрохинолин-8-ил)амино]метил}бензил)гидроксиламин N-(5-аминометил-2-{[(1Н-бензоимидазол-2-илметил)-(5,6,7,8-тетрагидрохинолин-8-ил)амино]метил}бензил)гидроксиламин N-(3-аминометил-4-{[(1Н-бензоимидазол-2-илметил)-(5,6,7,8-тетрагидрохинолин-8-ил)амино]метил}бензил)-О-метилгидроксиламин N-(5-аминометил-2-{[(1Н-бензоимидазол-2-илметил)-(5,6,7,8-тетрагидрохинолин-8-ил)амино]метил}бензил)-О-метилгидроксиламин (4-аминометил-2-метоксиметилбензил)-(1Н-бензоимидазол-2-илметил)-(5,6,7,8-тетрагидрохинолин-8-ил)амин (2-аминометил-4-метоксиметилбензил)-(1Н-бензоимидазол-2-илметил)-(5,6,7,8-тетрагидрохинолин-8-ил)амин N-(2-{[(1Н-бензоимидазол-2-илметил)-(5,6,7,8-тетрагидрохинолин-8-ил)амино]метил}бензил)формамид N-(4-{[(1Н-бензоимидазол-2-илметил)-(5,6,7,8-тетрагидрохинолин-8-ил)амино]метил}бензил)формамид N-(2-{[(1Н-бензоимидазол-2-илметил)-(5,6,7,8-тетрагидрохинолин-8-ил)амино]метил}бензил)гидроксиламин (1Н-бензоимидазол-2-илметил)-(2,6-бис-аминометилбензил)-(5,6,7,8-тетрагидрохинолин-8-ил)амин (3-аминометил-2-{[(1Н-бензоимидазол-2-илметил)-(5,6,7,8-тетрагидрохинолин-8-ил)амино]метил}фенил)метанол (2-аминометил-6-метоксиметилбензил)-(1Н-бензоимидазол-2-илметил)-(5,6,7,8-тетрагидрохинолин-8-ил)амин N-(3-аминометил-2-{[(1Н-бензоимидазол-2-илметил)-(5,6,7,8-тетрагидрохинолин-8-ил)амино]метил}бензил)гидроксиламин N-(3-аминометил-2-{[(1Н-бензоимидазол-2-илметил)-(5,6,7,8-тетрагидрохинолин-8-ил)амино]метил}бензил)-О-метилгидроксиламин [2-аминометил-4-(1Н-имидазол-2-ил)бензил]-(1Н-бензоимидазол-2-илметил)-(5,6,7,8-тетрагидрохинолин-8-ил)амин [2-аминометил-4-(1-метил-1Н-имидазол-2-ил)бензил]-(1Н-бензоимидазол-2-илметил)-(5,6,7,8-тетрагидрохинолин-8-ил)амин [2-аминометил-4-(2Н-пиразол-3-ил)бензил]-(1Н-бензоимидазол-2-илметил)-(5,6,7,8-тетрагидрохинолин-8-ил)амин [2-аминометил-4-(1-метил-1Н-пиразол-3-ил)бензил]-(1Н-бензоимидазол-2-илметил)-(5,6,7,8-тетрагидрохинолин-8-ил)амин [2-аминометил-4-(1Н-[1,2,4]триазол-3-ил)бензил]-(1Н-бензоимидазол-2-илметил)-(5,6,7,8-тетрагидрохинолин-8-ил)амин [2-аминометил-4-(1-метил-1Н-[1,2,4]триазол-3-ил)бензил]-(1Н-бензоимидазол-2-илметил)-(5,6,7,8-тетрагидрохинолин-8-ил)амин (2-аминометил-4-оксазол-2-илбензил)-(1Н-бензоимидазол-2-илметил)-(5,6,7,8-тетрагидрохинолин-8-ил)амин (2-аминометил-4-фуран-2-илбензил)-(1Н-бензоимидазол-2-илметил)-(5,6,7,8-тетрагидрохинолин-8-ил)амин [2-аминометил-4-(тетрагидрофуран-2-ил)бензил]-(1Н-бензоимидазол-2-илметил)-(5,6,7,8-тетрагидрохинолин-8-ил)амин (2-аминометил-4-тиазол-2-илбензил)-(1Н-бензоимидазол-2-илметил)-(5,6,7,8-тетрагидрохинолин-8-ил)амин [2-аминометил-4-(1Н-тетразол-5-ил)бензил]-(1Н-бензоимидазол-2-илметил)-(5,6,7,8-тетрагидрохинолин-8-ил)амин [2-аминометил-4-(2-метил-2Н-тетразол-5-ил)бензил]-(1Н-бензоимидазол-2-илметил)-(5,6,7,8-тетрагидрохинолин-8-ил)амин (2-аминометил-4-пиридин-2-илбензил)-(1Н-бензоимидазол-2-илметил)-(5,6,7,8-тетрагидрохинолин-8-ил)амин (2-аминометил-4-пиперидин-2-илбензил)-(1Н-бензоимидазол-2-илметил)-(5,6,7,8-тетрагидрохинолин-8-ил)амин (4-аминометил-3-{[(1Н-бензоимидазол-2-илметил)-(5,6,7,8-тетрагидрохинолин-8-ил)амино]метил}фенил)метанол (2-аминометил-5-метоксиметилбензил)-(1Н-бензоимидазол-2-илметил)-(5,6,7,8-тетрагидрохинолин-8-ил)амин (4-аминометил-5-{[(1Н-бензоимидазол-2-илметил)-(5,6,7,8-тетрагидрохинолин-8-ил)амино]метил}пиридин-2-ил)метанол (4-аминометил-6-метоксиметилпиридин-3-илметил)-(1Н-бензоимидазол-2-илметил)-(5,6,7,8-тетрагидрохинолин-8-ил)амин (1Н-бензоимидазол-2-илметил)-(4,6-бис-аминометилпиридин-3-илметил)-(5,6,7,8-тетрагидрохинолин-8-ил)амин (4-аллиламинометил-2-аминометилбензил)-(1Н-бензоимидазол-2-илметил)-(5,6,7,8-тетрагидрохинолин-8-ил)амин (2-аллиламинометил-4-аминометилбензил)-(1Н-бензоимидазол-2-илметил)-(5,6,7,8-тетрагидрохинолин-8-ил)амин (2-аминометил-4-циклопропиламинометилбензил)-(1Н-бензоимидазол-2-илметил)-(5,6,7,8-тетрагидрохинолин-8-ил)амин (4-аминометил-2-циклопропиламинометилбензил)-(1Н-бензоимидазол-2-илметил)-(5,6,7,8-тетрагидрохинолин-8-ил)амин (2-аминометил-5-хлорбензил)-(1Н-бензоимидазол-2-илметил)-(5,6,7,8-тетрагидрохинолин-8-ил)амин (2-аминометил-5-бромбензил)-(1Н-бензоимидазол-2-илметил)-(5,6,7,8-тетрагидрохинолин-8-ил)амин (2-аминометил-5-нитробензил)-(1Н-бензоимидазол-2-илметил)-(5,6,7,8-тетрагидрохинолин-8-ил)амин 4-аминометил-3-{[(1Н-бензоимидазол-2-илметил)-(5,6,7,8-тетрагидрохинолин-8-ил)амино]метил}бензонитрил (5-амино-2-аминометилбензил)-(1Н-бензоимидазол-2-илметил)-(5,6,7,8-тетрагидрохинолин-8-ил)амин (2-аминометил-5-трифторметилбензил)-(1Н-бензоимидазол-2-илметил)-(5,6,7,8-тетрагидрохинолин-8-ил)амин (2-аминометил-4-фторбензил)-(1Н-бензоимидазол-2-илметил)-(5,6,7,8-тетрагидрохинолин-8-ил)амин (2-аминометил-4-хлорбензил)-(1Н-бензоимидазол-2-илметил)-(5,6,7,8-тетрагидрохинолин-8-ил)амин (2-аминометил-4-бромбензил)-(1Н-бензоимидазол-2-илметил)-(5,6,7,8-тетрагидрохинолин-8-ил)амин (2-аминометил-4-нитробензил)-(1Н-бензоимидазол-2-илметил)-(5,6,7,8-тетрагидрохинолин-8-ил)амин 3-аминометил-4-{[(1Н-бензоимидазол-2-илметил)-(5,6,7,8-тетрагидрохинолин-8-ил)амино]метил}бензонитрил (4-амино-2-аминометилбензил)-(1Н-бензоимидазол-2-илметил)-(5,6,7,8-тетрагидрохинолин-8-ил)амин (2-аминометил-4-трифторметилбензил)-(1Н-бензоимидазол-2-илметил)-(5,6,7,8-тетрагидрохинолин-8-ил)амин (4-аминометил-2-фторбензил)-(1Н-бензоимидазол-2-илметил)-(5,6,7,8-тетрагидрохинолин-8-ил)амин (4-аминометил-2-хлорбензил)-(1Н-бензоимидазол-2-илметил)-(5,6,7,8-тетрагидрохинолин-8-ил)амин (4-аминометил-2-бромбензил)-(1Н-бензоимидазол-2-илметил)-(5,6,7,8-тетрагидрохинолин-8-ил)амин (4-аминометил-2-нитробензил)-(1Н-бензоимидазол-2-илметил)-(5,6,7,8-тетрагидрохинолин-8-ил)амин 5-аминометил-2-{[(1Н-бензоимидазол-2-илметил)-(5,6,7,8-тетрагидрохинолин-8-ил)амино]метил}бензонитрил (2-амино-4-аминометилбензил)-(1Н-бензоимидазол-2-илметил)-(5,6,7,8-тетрагидрохинолин-8-ил)амин (4-аминометил-2-трифторметилбензил)-(1Н-бензоимидазол-2-илметил)-(5,6,7,8-тетрагидрохинолин-8-ил)амин (5-аминометилтиофен-2-илметил)-(1Н-бензоимидазол-2-илметил)-(5,6,7,8-тетрагидрохинолин-8-ил)амин (4-аминометилтиофен-3-илметил)-(1Н-бензоимидазол-2-илметил)-(5,6,7,8-тетрагидрохинолин-8-ил)амин (4-аминометилфуран-3-илметил)-(1Н-бензоимидазол-2-илметил)-(5,6,7,8-тетрагидрохинолин-8-ил)амин (4-аминометил-1Н-пирррол-3-илметил)-(1Н-бензоимидазол-2-илметил)-(5,6,7,8-тетрагидрохинолин-8-ил)амин (4-аминометил-1-метил-1Н-пирррол-3-илметил)-(1Н-бензоимидазол-2-илметил)-(5,6,7,8-тетрагидрохинолин-8-ил)амин (4-аминометил-1Н-пиразол-3-илметил)-(1Н-бензоимидазол-2-илметил)-(5,6,7,8-тетрагидрохинолин-8-ил)амин (4-аминометил-1-метил-1Н-пиразол-4-илметил)-(1Н-бензоимидазол-2-илметил)-(5,6,7,8-тетрагидрохинолин-8-ил)амин (3-аминометил-1Н-пиразол-4-илметил)-(1Н-бензоимидазол-2-илметил)-(5,6,7,8-тетрагидрохинолин-8-ил)амин (3-аминометил-1-метил-1Н-пиразол-4-илметил)-(1Н-бензоимидазол-2-илметил)-(5,6,7,8-тетрагидрохинолин-8-ил)амин (5-аминометил-3Н-имидазол-4-илметил)-(1Н-бензоимидазол-2-илметил)-(5,6,7,8-тетрагидрохинолин-8-ил)амин (5-аминометил-1-метил-1Н-имидазол-4-илметил)-(1Н-бензоимидазол-2-илметил)-(5,6,7,8-тетрагидрохинолин-8-ил)амин (5-аминометилтиазол-4-илметил)-(1Н-бензоимидазол-2-илметил)-(5,6,7,8-тетрагидрохинолин-8-ил)амин (5-аминометилпиримидин-4-илметил)-(1Н-бензоимидазол-2-илметил)-(5,6,7,8-тетрагидрохинолин-8-ил)амин (5-аминометилпиридазин-4-илметил)-(1Н-бензоимидазол-2-илметил)-(5,6,7,8-тетрагидрохинолин-8-ил)амин (5-аллиламинометил-2-{[(1Н-бензоимидазол-2-илметил)-(5,6,7,8-тетрагидрохинолин-8-ил)амино]метил}фенил)метанол (3-аллиламинометил-4-{[(1Н-бензоимидазол-2-илметил)-(5,6,7,8-тетрагидрохинолин-8-ил)амино]метил}фенил)метанол (4-аллиламинометил-2-метоксиметилбензил)-(1Н-бензоимидазол-2-илметил)-(5,6,7,8-тетрагидрохинолин-8-ил)амин (3-аллиламинометил-4-метоксиметилбензил)-(1Н-бензоимидазол-2-илметил)-(5,6,7,8-тетрагидрохинолин-8-ил)амин 2-{[(1Н-бензоимидазол-2-илметил)-(5,6,7,8-тетрагидрохинолин-8-ил)амино]метил}-5-циклопропиламинометилфенил)метанол (4-{[(1Н-бензоимидазол-2-илметил)-(5,6,7,8-тетрагидрохинолин-8-ил)амино]метил}-3-циклопропиламинометилфенил)метанол (1Н-бензоимидазол-2-илметил)-(4-циклопропиламинометил-2-метоксиметилбензил)-(5,6,7,8-тетрагидрохинолин-8-ил)амин (1Н-бензоимидазол-2-илметил)-(2-циклопропиламинометил-4-метоксиметилбензил)-(5,6,7,8-тетрагидрохинолин-8-ил)амин 5-аминометил-2-{[(1Н-бензоимидазол-2-илметил)-(5,6,7,8-тетрагидрохинолин-8-ил)амино]метил}бензамид 5-аминометил-2-{[(1Н-бензоимидазол-2-илметил)-(5,6,7,8-тетрагидрохинолин-8-ил)амино]метил}-N-гидроксибензамид гидразид 5-аминометил-2-{[(1Н-бензоимидазол-2-илметил)-(5,6,7,8-тетрагидрохинолин-8-ил)амино]метил}бензойной кислоты 5-аминометил-2-{[(1Н-бензоимидазол-2-илметил)-(5,6,7,8-тетрагидрохинолин-8-ил)амино]метил}бензойная кислота (1Н-бензоимидазол-2-илметил)-(2,4-бис-аллиламинометилбензил)-(5,6,7,8-тетрагидрохинолин-8-ил)амин (4-аллиламинометил-2-циклопропиламинометилбензил)-(1Н-бензоимидазол-2-илметил)-(5,6,7,8-тетрагидрохинолин-8-ил)амин (2-аллиламинометил-4-циклопропиламинометилбензил)-(1Н-бензоимидазол-2-илметил)-(5,6,7,8-тетрагидрохинолин-8-ил)амин (1Н-бензоимидазол-2-илметил)-(2,4-бис-циклопропиламинометилбензил)-(5,6,7,8-тетрагидрохинолин-8-ил)амин (2-аминометил-4-пропилбензил)-(1Н-бензоимидазол-2-илметил)-(5,6,7,8-тетрагидрохинолин-8-ил)амин (4-аллил-2-аминометилбензил)-(1Н-бензоимидазол-2-илметил)-(5,6,7,8-тетрагидрохинолин-8-ил)амин 3-аминометил-4-{[(1Н-бензоимидазол-2-илметил)-(5,6,7,8-тетрагидрохинолин-8-ил)амино]метил}бензиловый эфир уксусной кислоты 5-аминометил-2-{[(1Н-бензоимидазол-2-илметил)-(5,6,7,8-тетрагидрохинолин-8-ил)амино]метил}бензиловый эфир уксусной кислоты 4-{[(1Н-бензоимидазол-2-илметил)-(5,6,7,8-тетрагидрохинолин-8-ил)амино]метил}-3-циклопропиламинометилбензиловый эфир уксусной кислоты 2-{[(1Н-бензоимидазол-2-илметил)-(5,6,7,8-тетрагидрохинолин-8-ил)амино]метил}-5-циклопропиламинометилбензиловый эфир уксусной кислоты 3-аллиламинометил-4-{[(1Н-бензоимидазол-2-илметил)-(5,6,7,8-тетрагидрохинолин-8-ил)амино]метил}-5-циклопропиламинометилбензиловый эфир уксусной кислоты 5-аллиламинометил-2-{[(1Н-бензоимидазол-2-илметил)-(5,6,7,8-тетрагидрохинолин-8-ил)амино]метил}-5-циклопропиламинометилбензиловый эфир уксусной кислоты оксим 5-аминометил-2-{[(1Н-бензоимидазол-2-илметил)-(5,6,7,8-тетрагидрохинолин-8-ил)амино]метил}бензальдегида оксим 3-аминометил-4-{[(1Н-бензоимидазол-2-илметил)-(5,6,7,8-тетрагидрохинолин-8-ил)амино]метил}бензальдегида N-(5-аминометил-2-{[(1Н-бензоимидазол-2-илметил)-(5,6,7,8-тетрагидрохинолин-8-ил)амино]метил}бензил)ацетамид N-(3-аминометил-4-{[(1Н-бензоимидазол-2-илметил)-(5,6,7,8-тетрагидрохинолин-8-ил)амино]метил}бензил)ацетамид N-(3-(ацетиламинометил)-4-{[(1Н-бензоимидазол-2-илметил)-(5,6,7,8-тетрагидрохинолин-8-ил)амино]метил}бензил)ацетамид N-(2-{[(1Н-бензоимидазол-2-илметил)-(5,6,7,8-тетрагидрохинолин-8-ил)амино]метил}бензил)ацетамид (6-аминометил-1,3-дигидроизобензофуран-5-илметил)-(1Н-бензоимидазол-2-илметил)-(5,6,7,8-тетрагидрохинолин-8-ил)амин (4-аминометил-1,3-дигидроизобензофуран-5-илметил)-(1Н-бензоимидазол-2-илметил)-(5,6,7,8-тетрагидрохинолин-8-ил)амин (7-аминометил-1,3-дигидроизобензофуран-5-илметил)-(1Н-бензоимидазол-2-илметил)-(5,6,7,8-тетрагидрохинолин-8-ил)амин
Формула изобретения
1. Соединение формулы
и его соли, R1 представляет Н; k равно 3; Ar представляет фрагмент, содержащий 5-6-членную моноциклическую или 9-12-членную конденсированную ароматическую или гетероароматическую систему, включающую атомы N или О, или их комбинацию; каждый n независимо равен 0-2; j равен 0-3; каждый Y независимо выбран из группы, состоящей из галогена, OR; -(CR2)mCN; -(CR2)mNR5 2; -(CR2)mNR(CR2)mNRR4; -(CR2)mNR(CR2)mNR(CR2)mNR5 2; -(CR2)mCO(CR2)mNR5 2; -(CR2)mCO(CR2)mNR(CR2)mNRR4; -(CR2)mCO(CR2)mNR(CR2)mNR(CR2)mNR5 2; -(CR2)mNRCO(CR2)mNRR4; -(CR2)mNRCO(CR2)mNR(CR2)mNR5 2; -(CR2)mNRCO(CR2)mNR(CR2)mNR(CR2)mNR(CR2)mNR5 2; -(CR2)mNROH; -(CR2)mCONROH; -(CR2)mCR=NOH; -NR(CR2)mZ; -гуанидино; -NHNHR; -CH=N-Z; и -амидино; где каждый R независимо представляет Н или алкил(1-6С), при условии, что R представляет Н, когда присутствует в группах -(CR2)- или когда присоединен к атому азота в кольце Е; каждый m независимо равен 0-4, каждый R4 и каждый R5 независимо представляет Н, алкил(1-6С) или алкенил(2-6С), каждый из которых необязательно замещен одним или более неароматическим(и), негетероциклическим(и) заместителем(ями), где два R5 могут быть объединены с образованием циклического амина, необязательно содержащего один или более дополнительных гетероатомов, выбранных из N, О и S; и Z представляет ароматический или гетероароматический заместитель, содержащий 5-12 членов цикла и в качестве гетероатомов содержащий N, О и/или S. 2. Соединение по п.1, где (CR2)n между кольцом А и N представляет связь. 3. Соединение по п.1, где (CR2)n между кольцом Е и N представляет СН2. 4. Соединение по п.1, где по крайней мере один Y представляет -(CH2)mNR5 2. 5. Соединение по п.1, где Ar представляет остаток бензола, пиридина, бензимидазола, оксазола, бензоксазола, имидазола, бензо[1,3-диоксола] и 2,3-дигидробензофурана. 6. Соединение по п.5, где Ar представляет остаток бензола, бензимидазола, имидазола, оксазола и пиридина. 7. Фармацевтическая композиция для модулирования активности хемокинового рецептора, включающая терапевтически эффективное количество соединения по любому из пп.1-6. 8. Применение соединения по любому из пп.1-6 для лечения состояния, опосредованного хемокиновым рецептором. 9. Применение соединения по любому из пп.1-6 для лечения вируса иммунодефицита человека или вируса иммунодефицита кошачьих. 10. Применение соединения по п.8, где хемокиновым рецептором является CXCR4 или CCR5. 11. Соединение, выбранное из группы, состоящей из: (3-аминометил-4-{[(1Н-бензоимидазол-2-илметил)-(5,6,7,8-тетрагидрохинолин-8-ил)амино]метил}фенил)метанола; (1H-бензимидазол-2-илметил)-(5,6,7,8-тетрагидрохинолин-8-ил)-[(1-бензил-2-аминометил)имидазол-5-илметил)]амина; (5-аминометил-2-{[(1H-бензоимидазол-2-илметил)-(5,6,7,8-тетрагидрохинолин-8-ил)амино]метил}фенил)метанола; метилового эфира 5-аминометил-2-{[(1Н-бензоимидазол-2-илметил)-(5,6,7,8-тетрагидрохинолин-8-ил)амино]метил}бензойной кислоты; 3-аминометил-4-{[(1Н-бензимидазол-2-илметил)-(5,6,7,8-тетрагидрохинолин-8-ил)амино]метил}бенэойной кислоты; метилового эфира 3-аминометил-4-{[(1Н-бензимидазол-2-илметил)-(5,6,7,8-тетрагидрохинолин-8-ил)амино]метил}бензойной кислоты; (2-аминометил-4-метоксиметилбензил)-(1Н-бензимидазол-2илметил)-(5,6,7,8-тетрагидрохинолин-8-ил)амина; N-(2-{[(1Н-бензимидазол-2-илметил)-(5,6,7,8-тетрагидрохинолин-8-ил)амино]метил}бензил)гуанидина; N-(4-{[(1Н-бензимидазол-2-илметил)-(5,6,7,8-тетрагидрохинолин-8-ил)амино]метил}бензил)гуанидина (гидробромидной соли); N’-(4-{[(1Н-бензимидазол-2-илметил)-(5,6,7,8-тетрагидрохинолин-8-ил)амино]метил}бензил)-N,N-диметилгуанидина; [4-(1Н-бензимидазол-2-илметил)-(5,6,7,8-тетрагидрохинолин-8-ил)аминометилбензил]-N,N-диметилформамидина; N-(4-{[(1Н-бензимидазол-2-илметил)-(5,6,7,8-тетрагидрохинолин-8-ил)амино]метил}бензил)бензамидина; N-(4-{[(1Н-бензимидазол-2-илметил)-(5,6,7,8-тетрагидрохинолин-8-ил)амино]метил}бензил)ацетамидина; этилового эфира 2-{[(1Н-бензимидазол-2-илметил)-(5,6,7,8-тетрагидрохинолин-8-ил)амино]метил}-6-метоксибензойной кислоты; N’-({[(1Н-бензимидазол-2-илметил)-(5,6,7,8-тетрагидрохинолин-8-ил)амино]метил}фенил)-N,N-диметилформамидина; [4-(1Н-бензимидазол-2-илметил)-(5,6,7,8-тетрагидрохинолин-8-ил)аминометил]бензамидина; 4-{[(1Н-бензимидазол-2-илметил)-(5,6,7,8-тетрагидрохинолин-8-ил)амино]метил}бензилового спирта; 4-{[(1Н-бензимидазол-2-илметил)-(5,6,7,8-тетрагидрохинолин-8-ил)амино]метил}бензальдегида; метилового эфира 4-{[(1Н-бензимидазол-2-илметил)-(5,6,7,8-тетрагидрохинолин-8-ил)амино]метил}бензойной кислоты; 4-{[(1Н-бензимидазол-2-илметил)-(5,6,7,8-тетрагидрохинолин-8-ил)амино]метил}бензойной кислоты; (2-{[(1Н-бензимидазол-2-илметил)-(5,6,7,8-тетрагидрохинолин-8-ил)амино]метил}фенил)метанола; О-(2-{[(1Н-бензимидазол-2-илметил)-(5,6,7,8-тетрагидрохинолин-8-ил)амино]метил}бензил)гидроксиламина; метилового эфира 2-{[(1Н-бензимидазол-2-илметил)-(5,6,7,8-тетрагидрохинолин-8-ил)амино]метил}-5-цианобензойной кислоты. 12. Фармацевтическая композиция для модулирования активности хемокинового рецептора, включающая терапевтически эффективное количество соединения по п.11. 13. Применение соединения по п.11 для лечения состояния, опосредованного хемокиновым рецептором. 14. Применение соединения по п.11 для лечения вируса иммунодефицита человека или вируса иммунодефицита кошачьих. 15. Применение композиции по п.12 для лечения состояния, опосредованного хемокиновым рецептором. 16. Применение композиции по п.12 для лечения вируса иммунодефицита человека или вируса иммунодефицита кошачьих. Приоритет по пунктам: 15.09.2000 – по пп.1(част.), 2-16; 17.09.2001 – по п.1 (част.) в части значений Y.
MM4A – Досрочное прекращение действия патента СССР или патента Российской Федерации на изобретение из-за неуплаты в установленный срок пошлины за поддержание патента в силе
Дата прекращения действия патента: 18.09.2008
Извещение опубликовано: 27.07.2010 БИ: 21/2010
|
||||||||||||||||||||||||||


-хемокины, и «СХС», или
-хемокины. Рецепторы данных хемокинов классифицируют на основе хемокина, который создает природный лиганд рецептора. Рецепторы 


4,80 (с, 2H), 7,53 (д, 2H, J=9 Гц), 7,87 (д, 2H, J=9 Гц), 10,00 (с, 1H).





































2223 см-1.






























































































