Патент на изобретение №2297222
|
||||||||||||||||||||||||||||||||||||||||||||||||||||||||||||||||||||||||||||||||||||||||||||||||||||||||||||||||||||
(54) КОМБИНИРОВАННЫЕ ПРЕПАРАТЫ ИЗ ПРОИЗВОДНЫХ 1,4-БЕНЗОТИЕПИН-1,1-ДИОКСИДА С ДРУГИМИ БИОЛОГИЧЕСКИ АКТИВНЫМИ ВЕЩЕСТВАМИ И ИХ ПРИМЕНЕНИЕ
(57) Реферат:
Изобретение относится к области фармакологии и касается комбинации, содержащей соединение формулы (VI) и эзетимиб для профилактики и лечения нарушений липидного обмена, ее применения в качестве лекарственного средства, способа ее получения и введения. Комбинация обладает повышенной эффективностью. 6 н. и 2 з.п. ф-лы.
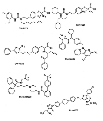
Известны производные 1,4-бензотиепин-1,1-диоксида, а также их применение для лечения гиперлипидемии, как и артериосклероза и гиперхолестеринемии [см. патент США 6221897]. Задачей изобретения является получение смесей веществ или комбинированных препаратов из производных 1,4-бензотиепин-1,1-диоксида формулы (I) с другими биологически активными веществами, которые проявляют синергическое действие. Гиполипидемическое действие производных 1,4-бензотиепин-1,1-диоксида формулы (I) в комбинированных препаратах в особенности должно сверхпропорционально повышаться за счет синергического действия с другими биологически активными веществами. Изобретение относится поэтому к комбинациям производных 1,4-бензотиепин-1,1-диоксида формулы (I) где R1 означает метил, этил, пропил, бутил; R2 означает Н, ОН, NH2, NH-(C1-C6)-алкил; R3 означает моносахаридный остаток, дисахаридный остаток, трисахаридный остаток, тетрасахаридный остаток, причем моносахаридный остаток, дисахаридный остаток, трисахаридный остаток или тетрасахаридный остаток не замещен или одно- или многократно замещен защитной для сахаридного остатка группой; остаток аминокислоты, остаток диаминокислоты, остаток триаминокислоты, остаток тетрааминокислоты, причем остаток аминокислоты, остаток диаминокислоты, остаток триаминокислоты или остаток тетрааминокислоты не замещен или одно- или многократно замещен защитной для аминокислоты группой; R4 означает метил, этил, пропил, бутил; R5 означает метил, этил, пропил, бутил; Z означает -(C=O)n-(C0-C16)-алкил-, -(C=O)n-(C0-C16)-алкил-NH-, -(C=O)n-(C0-C16)-алкил-O-, -(C=O)n-(C1-C16)-алкил-(C=O)m, ковалентную связь; n означает 0 или 1; m означает 0 или 1; а также к их фармацевтически приемлемым солям и физиологически функциональным производным, с другими биологически активными веществами, предпочтительно орально эффективными гипогликемическими биологически активными веществами. Предпочтительны смеси веществ, содержащие соединения формулы (I), в которых один или несколько остатков имеют следующее значение: R1 означает этил, пропил, бутил; R2 означает Н, ОН, NH2, NH-(C1-C6)-алкил; R3 означает моносахаридный остаток, дисахаридный остаток, причем моносахаридный остаток или дисахаридный остаток не замещен или одно- или многократно замещен защитной для сахаридного остатка группой; остаток аминокислоты, остаток диаминокислоты, причем остаток аминокислоты или остаток диаминокислоты не замещен или одно- или многократно замещен защитной для аминокислоты группой; R4 означает метил, этил, пропил, бутил; R5 означает метил, этил, пропил, бутил; Z означает -(C=O)n-(C0-C16)-алкил-, -(C=O)n-(C0-C16)-алкил-NH-, -(C=O)n-(C0-C16)-алкил-O-, -(C=O)n-(C1-C16)-алкил-(C=O)m, ковалентную связь; n означает 0 или 1; m означает 0 или 1; а также их физиологически приемлемые аддитивные кислотные соли. Особенно предпочтительны смеси веществ, содержащие соединение формулы (I), где: R1 означает этил; R2 означает ОН; R3 означает моносахаридный остаток, причем моносахаридный остаток не замещен или одно- или многократно замещен защитной для моносахаридного остатка группой; остаток диаминокислоты, причем остаток диаминокислоты не замещен или одно- или многократно замещен защитной для аминокислоты группой; R4 означает метил; R5 означает метил; Z означает -(C=O)-(C0-C4)-алкил, ковалентную связь; а также его физиологически приемлемые аддитивные кислотные соли. Фармацевтически приемлемые соли благодаря их более высокой растворимости в воде по сравнению с исходными или основными соединениями особенно пригодны для применений в медицине. Эти соли должны включать фармацевтически приемлемый анион или катион. Пригодными фармацевтически приемлемыми аддитивными солями кислот и предлагаемых согласно изобретению соединений являются соли неорганических кислот, как соляная кислота, бромводородная кислота, фосфорная кислота, метафосфорная кислота, азотная кислота, сульфокислота и серная кислота, а также органических кислот, как, например, уксусная кислота, бензолсульфокислота, бензойная кислота, лимонная кислота, этансульфокислота, фумаровая кислота, глюконовая кислота, гликолевая кислота, изотионовая кислота, молочная кислота, лактобионовая кислота, малеиновая кислота, яблочная кислота, метансульфокислота, янтарная кислота, п-толуолсульфокислота, винная кислота и трифторуксусная кислота. Для медицинских целей особенно предпочтительно применяют хлорид. Пригодными фармацевтически приемлемыми основными солями являются аммониевые соли, соли щелочных металлов (как натриевые и калиевые соли) и соли щелочноземельных металлов (как магниевые и кальциевые соли). Соли с фармацевтически неприемлемым анионом также входят в рамки изобретения в качестве полезных промежуточных продуктов для получения или очистки фармацевтически приемлемых солей и/или для использования в случае нетерапевтических, например in vitro, применений. Используемое в настоящем контексте понятие “физиологически функциональное производное” означает любое физиологически приемлемое производное предлагаемого согласно изобретению соединения, например сложный эфир, которое при введении млекопитающему, как, например, человеку, способно образовывать (прямо или косвенно) такое соединение или его активный метаболит. Дальнейшим объектом настоящего изобретения являются пролекарства предлагаемых согласно изобретению соединений. Такие пролекарства могут метаболизироваться in vivo в предлагаемое согласно изобретению соединение. Эти пролекарства сами могут быть эффективны или нет. Соединения формулы (I) могут находиться также в различных полиморфных формах, например в виде аморфной и кристаллической полиморфных форм. Все полиморфные формы предлагаемых согласно изобретению соединений входят в рамки изобретения и являются объектом изобретения. В нижеприводимом контексте все указания на “соединение (соединения) согласно формуле (I)” относятся к соединению (соединениям) формулы (I), как описанные выше, а также к их солям, сольватам и физиологически функциональным производным, как описано выше. Под сахаридными остатками понимают соединения, которые производятся от альдоз и кетоз с 3-7 атомами углерода и которые могут принадлежать D- или L-ряду; к ним относятся также аминосахара, получаемые восстановлением сахаров спирты или сахарные кислоты. Следует назвать, например, глюкозу, маннозу, фруктозу, галактозу, рибозу, эритрозу, глицеринальдегид, седогептулозу, глюкозамин, галактозамин, глюкуроновую кислоту, галактуроновую кислоту, глюконовую кислоту, галактоновую кислоту, манноновую кислоту, глюкамин, 3-амино-1,2-пропандиол, глюкаровую кислоту и галактаровую кислоту. Под дисахаридами подразумевают сахариды, которые состоят из двух сахаридных звеньев. Ди-, три- или тетрасахариды образуются за счет ацеталеобразной связи двух или нескольких сахаридов. При этом могут образовываться связи в Если сахарид замещен, то замещение предпочтительно осуществляют по атому водорода ОН-группы сахарида. Для гидроксильных групп сахаридов используют в основном следующие защитные группы: бензильные, ацетильные, бензоильные, пивалоильные, тритильные, трет.-бутилдиметилсилильные, бензилиденовые, циклогексилиденовые или изопропилиденовые защитные группы. Под понятием аминокислоты, соответственно остатков аминокислот, подразумевают, например, стереоизомерные формы, то есть D- или L-формы, следующих соединений: аланин, глицин, пролин, цистеин, гистидин, глутамин, аспарагиновая кислота, изолейцин, аргинин, глутаминовая кислота, лизин, серин, фенилаланин, лейцин, треонин, триптофан, метионин, валин, тирозин, аспарагин, 2-аминоадипиновая кислота, 2-аминоизомасляная кислота, 3-аминоадипиновая кислота, 3-аминоизомасляная кислота, бета-аланин, 2-аминопимелиновая кислота, 2-аминомасляная кислота, 2,4-диаминомасляная кислота, 4-аминомасляная кислота, десмозин, пиперидиновая кислота, 2,2-диаминопимелиновая кислота, 6-аминокапроновая кислота, 2,3-диаминопропионовая кислота, 2-аминогептановая кислота, N-этилглицин, 2-(2-тиенил)глицин, 3-(2-тиенил)аланин, пеницилламин, саркозин, N-этиласпарагин, N-метилизолейцин, гидроксилизин, 6-N-метиллизин, алло-гидроксилизин, N-метилвалин, 3-гидроксипролин, норвалин, 4-гидроксипролин, норлейцин, изодесмозин, орнитин, алло-изолейцин, N-метилглицин. Сокращенное обозначение названий аминокислот соответствует общепринятому способу написания (см. Schröder, Lübke, The Peptides, том 1, Нью-Йорк, 1965, с. XXII-XXIII; Houben-Weyl, Methoden der Organischen Chemie, том XV/1 и 2, Штуттгарт, 1974). Аминокислота pGlu означает пироглутамил, Nal означает 3-(2-нафтил)аланин, Azagly-NH2 означает соединение формулы NH2-NH-CONH2 и D-Asp означает D-форму аспарагиновой кислоты. Пептиды имеют химическую природу согласно амидам кислот и при гидролизе разлагаются на аминокислоты. Под остатком диаминокислоты, остатком триаминокислоты, остатком тетрааминокислоты понимают пептиды, которые состоят из 2-4 вышеуказанных аминокислот. Из пригодных защитных групп (см., например, T.W. Greene “Protective Groups in Organic Synthesis”) для аминокислот в первую очередь используют следующие: Arg(Tos), Arg(Mts), Arg(Mtr), Arg(PMV), Asp(OBzl), Asp(OBut), Cys(4-MeBzl), Cys(Acm), Cys(SBut), Glu(OBzl), Glu(OBut), His(Tos), His(Fmoc), His(Dnp), His(Trt), Lys(Cl-Z), Lys(Boc), Met(O), Ser(Bzl), Ser(But), Thr(Bzl), Thr(But), Trp(Mts), Trp(CHO), Tyr(Br-Z), Tyr(Bzl) или Tyr(But). В качестве аминозащитных групп предпочтительно используют отщепляемый путем каталитического гидрирования бензилоксикарбонильный остаток (Z-остаток), отщепляемый с помощью слабых кислот 2-(3,5-диметилоксифенил)пропил(2)оксикарбонильный остаток (Ddz-остаток) или тритильный остаток (Trt-остаток) и отщепляемый за счет вторичных аминов 9-флуоренилметилоксикарбонильный остаток (Fmoc-остаток). Количество соединения согласно формуле (I), а также других биологически активных веществ, необходимых для достижения желательного биологического эффекта путем их комбинации, зависит от ряда факторов, например желательного конкретного соединения, предусматриваемого применения, типа введения и клинического состояния пациента. В основном, суточная доза находится в области от 0,1 мг до 100 мг (обычно от 0,1 мг до 50 мг) в сутки на килограмм массы тела, например 0,1-10 мг/кг/сутки. Таблетки или капсулы могут содержать, например, от 0,01 мг до 100 мг, обычно от 0,02 мг до 50 мг. В случае фармацевтически приемлемых солей вышеуказанные данные по массе относятся к массе производимого от соли аминопропанольного иона. Предпочтительно, смеси веществ, однако, находятся вместе с приемлемым носителем в виде фармацевтической композиции. Носитель, естественно, должен быть приемлемым, т.е. быть совместимым с другими компонентами композиции и не являться вредным для здоровья пациента. Носитель может быть твердым веществом или жидкостью или тем и другим и предпочтительно его вместе с соединениями используют для получения готовой лекарственной формы в виде разовой дозы, например в виде таблетки, которая может содержать от 0,05% масс. до 95% масс. биологически активного вещества. Могут присутствовать также другие фармацевтически активные вещества, включая другие соединения согласно формуле (I). Предлагаемые согласно изобретению фармацевтические композиции можно получать согласно любому из известных фармацевтических способов, которые по существу состоят в том, что компоненты смешивают с фармакологически приемлемыми носителями и/или вспомогательными веществами. Предлагаемые согласно изобретению фармацевтические композиции пригодны для орального и перорального (например, подъязычного) введения, хотя наиболее пригодный путь введения в каждом отдельном случае зависит от рода и тяжести излечиваемого состояния и от типа используемого в каждом случае соединения согласно формуле (I). В рамки настоящего изобретения также входят дражированные готовые лекарственные формы и дражированные лекарственные формы с пролонгированным действием. Предпочтительны устойчивые к кислоте и желудочному соку лекарственные формы. Пригодные, устойчивые к желудочному соку покрытия включают ацетатфталат целлюлозы, поливинилацетатфталат, гидроксипропилметилцеллюлозофталат и анионные полимеры метакриловой кислоты и метиловый эфир метакриловой кислоты. Пригодные фармацевтические соединения для орального введения могут находиться в виде разовых доз, как, например, капсулы, оболочки облаток, таблетки для сосания или таблетки, которые содержат, соответственно, определенное количество соединения согласно формуле (I), а также другого биологически активного вещества; в виде порошков или гранулятов; в виде раствора или суспензии в водной или неводной жидкости или в виде эмульсии масло-в-воде или вода-в-масле. Эти композиции можно получать, как уже упоминалось, любыми пригодными фармацевтическими способами, которые включают стадию введения в контакт биологически активного вещества и носителя (который может состоять из одного или нескольких дополнительных компонентов). В общем, композиции получают путем равномерного и гомогенного смешения биологически активного вещества с жидким и/или высокодисперсным твердым носителем, после чего продукт, если необходимо, формуют. Так, например, таблетку можно получать тем, что порошок или гранулят соединения подвергают прессованию или формованию, в случае необходимости, вместе с одним или несколькими дополнительными компонентами. Прессованные таблетки можно получать в пригодной машине путем таблетирования соединения в “свободно текучей” форме, как, например, в виде порошка или гранулята, в случае необходимости, смешанного со связующим, придающим скользкость веществом, инертным разбавителем и/или одним (несколькими) поверхностно-активным веществом/диспергатором. Формованные таблетки можно получать в пригодной машине путем формования порошкообразного, смоченного инертным жидким разбавителем соединения. Фармацевтические композиции, которые пригодны для перорального (подъязычного) введения, включают таблетки для сосания, содержащие соединение согласно формуле (I), а также другое биологически активное вещество вместе c вкусовой добавкой, обычно сахарозой и гуммиарабиком или трагантом, и пастилки, включающие соединение в инертной основе, как желатин и глицерин или сахароза и гуммиарабик. В качестве других биологически активных веществ для комбинированных препаратов пригодны: все антидиабетические средства, которые указаны в “Roten Liste” 2001, глава 12. Их можно комбинировать с предлагаемыми согласно изобретению соединениями формулы (I) для синергического повышения действия. Введение комбинации биологически активных веществ можно осуществлять либо путем раздельного введения (разделенного по времени введения) биологически активных веществ пациенту, либо в виде комбинированных препаратов, в случае которых в фармацевтической композиции находятся несколько биологически активных веществ. Большинство названных ниже биологически активных веществ указано в словаре фармакопеи США USAN и под международным названием лекарственных средств, фармакопея США, Роквилл, 2001. Антидиабетические средства охватывают инсулин и производные инсулина, как, например, Lantus® (см. www.lantus.com.) или HMR 1964, быстро действующие инсулины (см. патент США 6221633); GLP-1-производные, например, раскрытые в международной заявке WO 98/08871 фирмы Novo Nordisk A/S, а также орально эффективные гипогликемические биологически активные вещества. Орально эффективные гипогликемические биологически активные вещества предпочтительно включают сульфонилмочевины, бигуаниды, меглитиниды, оксадиазолидиндионы, тиазолидиндионы, ингибиторы глюкозидазы, антагонисты глюкагона, агонисты GLP-1, открыватели калиевых каналов, например, раскрытые в международных заявках WO 97/26265 и WO 99/03861 фирмы Novo Nordisk A/S; сенсибилизаторы инсулина; ингибиторы ферментов печени, принимающих участие в стимуляции глюконеогенеза и/или гликогенолиза; модуляторы впитывания глюкозы; изменяющие жировой обмен соединения, как антигиперлипидемические биологически активные вещества и антилипидемические биологически активные вещества; соединения, которые снижают потребность в приеме пищи; агонисты PPAR и PXR и биологически активные вещества, которые воздействуют на АТФ-зависимый калиевый канал бета-клеток. Согласно варианту осуществления изобретения, соединения формулы (I) вводят в комбинации с ингибитором HMG-CoA-редуктазы, как симвастатин, флувастатин, правастатин, ловастатин, аторвастатин, церивастатин, розувастатин. Согласно варианту осуществления изобретения, соединения формулы (I) вводят в комбинации с ингибитором резорбции холестерина, как, например, эзетимиб, тиквесид, памаквесид. Согласно варианту осуществления изобретения, соединения формулы (I) вводят в комбинации с агонистом PPAR-гамма, как, например, розиглитазоном, пиоглитазоном, JTT-501, GI 262570.Согласно варианту осуществления изобретения, соединения формулы (I) вводят в комбинации с агонистом PPAR-альфа, как, например, GW 9578, GW 7647. Согласно варианту осуществления изобретения, соединения формулы (I) вводят в комбинации с агонистами смешанных PPAR-альфа/гамма, как, например, GW 1536, AVE 8042, AVE 8134, AVE 0847, или как описывается в РСТ/US00/11833, PCT/US00/11490, патенте ФРГ 10142734.4. Согласно варианту осуществления изобретения, соединения формулы (I) вводят в комбинации с фибратом, как, например, фенофибрат, клофибрат, безафибрат. Согласно варианту осуществления изобретения, соединения формулы (I) вводят в комбинации с ингибитором МТР, как, например, имплитапид, BMS-201038, R-103757. Согласно варианту осуществления изобретения, соединения формулы (I) вводят в комбинации с ингибитором резорбции желчной кислоты (см., например, патент США 6245744 или 6221897), как, например, HMR 1741. Согласно варианту осуществления изобретения, соединения формулы (I) вводят в комбинации с ингибитором СЕТР, как, например, JTT-705. Согласно варианту осуществления изобретения, соединения формулы (I) вводят в комбинации с полимерным адсорбером желчной кислоты, как, например, холестирамином, колесевеламом. Согласно варианту осуществления изобретения, соединения формулы (I) вводят в комбинации с индуктором LDL-рецептора (см. патент США 6342512), как, например, HMR 1171, HMR 1586.Согласно варианту осуществления изобретения, соединения формулы (I) вводят в комбинации с ингибитором АСАТ, как, например, авасимиб. Согласно варианту осуществления изобретения, соединения формулы (I) вводят в комбинации с антиоксидантом, как, например, ОРС-14117. Согласно варианту осуществления изобретения, соединения формулы (I) вводят в комбинации с ингибитором липопротеинлипазы, как, например, NO-1886. Согласно варианту осуществления изобретения, соединения формулы (I) вводят в комбинации с ингибитором АТФ-цитратлиазы, как, например, SB-204990. Согласно варианту осуществления изобретения, соединения формулы (I) вводят в комбинации с ингибитором скваленсинтетазы, как, например, BMS-188494. Согласно варианту осуществления изобретения, соединения формулы (I) вводят в комбинации с антагонистом липопротеина(ов), как, например, CI-1027 или никотиновая кислота. Согласно варианту осуществления изобретения, соединение формулы (I) вводят в комбинации с ингибитором липазы, как, например, орлистат. Согласно варианту осуществления изобретения, соединения формулы (I) вводят в комбинации с инсулином. Согласно варианту осуществления, соединения формулы (I) вводят в комбинации с сульфонилмочевиной, как, например, толбутамид, глибенкламид, глипицид или глимепирид. Согласно варианту осуществления, соединения формулы (I) вводят в комбинации с бигуанидом, как, например, метформин. Согласно варианту осуществления, соединения формулы (I) вводят в комбинации с меглитинидом, как, например, репаглинид. Согласно варианту осуществления, соединения формулы (I) вводят в комбинации с тиазолидиндионом, как, например, троглитазон, циглитазон, пиоглитазон, розиглитазон или раскрытые в международной заявке WO 97/41097 на имя Dr. Reddy’s Research Foundation соединения, в особенности 5-[[4-[(3,4-дигидро-3-метил-4-оксо-2-хиназолинилметокси]фенил]метил]-2,4-тиазолидиндион. Согласно варианту осуществления, соединения формулы (I) вводят в комбинации с ингибитором Согласно варианту осуществления, соединения формулы (I) вводят в комбинации с биологически активным веществом, которое воздействует на АТФ-зависимый калиевый канал бета-клеток, как, например, толбутамид, глибенкламид, глипицид, глимепирид или репаглинид. Согласно варианту осуществления, соединения формулы (I) вводят в комбинации с более чем одним из вышеуказанных соединений, например, в комбинации с сульфонилмочевиной и метформином, сульфонилмочевиной и акарбозой, репаглинидом и метформином, инсулином и сульфонилмочевиной, инсулином и метформином, инсулином и троглитазоном, инсулином и ловастатином, и т.д. Согласно дальнейшему варианту осуществления, соединения формулы (I) вводят в комбинации с модуляторами CART (см. “Cocaine-amphetamin-regulated transcript influences energy metabolism, anxiety and gastric emptying in mice” A. Asakawa и др., М: Hormone and Metabolic Research, 33 (9), 554-558 (2001)); антагонистами NPY, как, например, нафталин-1-сульфокислота ({4-[(4-аминохиназолин-2-иламино)метил]циклогексилметил}амид; гидрохлорид (CGP 71683A)); агонистами МС4 (как, например, 1-амино-1,2,3,4-тетрагидронафталин-2-карбоновая кислота [2-(3а-бензил-2-метил-3-оксо-2,3,3а,4,6,7-гексагидропиразоло-[4,3-c]пиридин-5-ил)-1-(4-хлорфенил)-2-оксоэтил]амид; (WO-01/91752)); антагонистами орексина (например, 1-(2-метилбензоксазол-6-ил)-3-[1,5]нафтиридин-4-илмочевина; гидрохлорид (SB-334867-A)); Н3-агонистами (соль щавелевой кислоты 3-циклогексил-1-(4,4-диметил-1,4,6,7-тетрагидроимидазо[4,5-c]-пиридин-5-ил)пропан-1-она (WO-00/63208)); агонистами фактора некроза опухоли; антагонистами CRF (например, [2-метил-9-(2,4,6-триметилфенил)-9Н-1,3,9-триазафлуорен-4-ил]дипропиламин (WO-00/66585)); антагонистами CRF BP (например, урокортин); агонистами урокортина, агонистами Согласно варианту осуществления изобретения, другим биологически активным веществом является лептин, см., например, Javier Salvador, Javier Gomez-Ambrosi, Gema Fruhbeck “Perspectives in the therapeutic use of leptin”, Expert Opinion on Pharmacotherapy, 2 (10), 1615-1622 (2001). Согласно варианту осуществления, другим биологически активным веществом является дексамфетамин или амфетамин. Согласно варианту осуществления, другим биологически активным веществом является фенфлурамин или дексфенфлурамин. Согласно еще одному варианту осуществления, другим биологически активным веществом является сибутрамин. Согласно варианту осуществления, другим биологически активным веществом является орлистат. Согласно варианту осуществления, другим биологически активным веществом является мазиндол или фентермин. Согласно варианту осуществления, соединения формулы (I) можно вводить в комбинации с балластными веществами, предпочтительно нерастворимыми балластными веществами (см., например, Carob/Caromax® (H.J. Zunft и др. “Carob pulp preparation for treatment of hypercholesterolemia”, ADVANCES IN THERAPY, 18 (5), 230-236 (сентябрь-октябрь 2001 г.). Каромакс представляет собой содержащий кароб продукт фирмы Nutrinova, Nutrition Specialties and Food Ingredients GmbH, Industriepark Höchst, 65926 Франкфурт-на-Майне)). Комбинирование с Caromax® можно осуществлять в композиции или путем раздельного введения соединений формулы (I) и Caromax®. Caromax® при этом можно вводить также в форме пищевых продуктов, как, например, в хлебобулочных изделиях или батончиках мюсли. Комбинация соединений формулы (I) с Caromax® отличается, наряду с повышением действия, в особенности в отношении снижения LDL-холестерина, по сравнению с индивидуальными биологически активными веществами, также своей улучшенной совместимостью. Понятно, что любая пригодная комбинация предлагаемых согласно изобретению соединений с одним или несколькими вышеуказанными соединениями и, на выбор, одним или несколькими другими фармакологически активными веществами рассматривается как подпадающая под объем притязаний настоящего изобретения. Комбинированные препараты, соответственно, смеси веществ, содержащие соединения формулы (I), представляют собой идеальные лекарственные средства для лечения нарушений липидного обмена и/или нарушений углеводного обмена, в особенности гиперлипидемии и метаболического синдрома. Комбинированные препараты также пригодны для воздействия на уровень холестерина в сыворотке, а также для профилактики и лечения артериосклеротических явлений. Следующие композиции служат для пояснения изобретения, однако, не ограничивают его объема. Пример А Мягкие желатиновые капсулы, содержащие 100 мг биологически активных веществ на капсулу:
Пример В Эмульсия, содержащая 60 мг биологически активного вещества на 5 мл:
Пример С Ректальная лекарственная форма, содержащая 40 мг биологически активных веществ на суппозиторий:
Пример D Таблетки, содержащие 40 мг биологически активных веществ на таблетку:
Пример Е Драже, содержащее 50 мг биологически активных веществ на драже:
Пример F Для получения содержимого твердых желатиновых капсул пригодны следующие рецептуры:
Пример G Капли могут быть приготовлены по следующей рецептуре: (100 мг биологически активного вещества в 1 мл = 20 капель):
Синергическое действие комбинаций соединений формулы (I) c другими биологически активными веществами тестировали в эксперименте на животных. Для этого из группы соединений формулы (I) тестировали следующее соединение формулы (VI): Биологическое исследование предлагаемых согласно изобретению комбинированных препаратов проводили на хомяках. Для эксперимента использовали самцов сирийского хомяка (Mesocricetus auratus) в возрасте 8-10 недель. Животные получали обогащенный 0,1% холестерина стандартный корм (фирма Teklad, 8604M). Дополнительная нормальная контрольная группа получала только стандартный корм. Тестируемыми веществами обрабатывали орально в течение 10 следующих друг за другом дней 1 раз в сутки с помощью желудочного зонда, контрольной группе вводили индифферентную основу лекарственного препарата. На 5-й и 6-й дни эксперимента собирали фекалии для анализа на желчную кислоту. На 10-й день эксперимента у животных осуществляли отбор ретроорбитальной крови и определяли уровень липидов в плазме. На 9-й день эксперимента животным вводили орально радиоактивный индикатор для определения абсорбции холестерина аналогично способу, описанному Zilversmith и др. На 11-й день эксперимента животных умерщвляли, у животных извлекали печени для анализа на холестерин и для получения микросом. В микросомах печени ex vivo определяли активность 7 Влияние эзетимиба в комбинации с соединением формулы (VI) на резорбцию холестерина: продолжительность эксперимента: 10 дней
Используют К00 04513 в качестве исходного раствора (1 мг/мл в этаноле). Вещества растворяют в 2%-ном этаноле при конечной концентрации 5%. Затем растворы суспендируют с 0,4% картофельного крахмала. Введение осуществляют между 7-8 часами в количестве 10 мл/кг. Корм: Теклад 8604М СН: 032201М. Подопытные животные: самец сирийского хомяка (Mesocricetus auratus), фирма Harlan, масса 100-120 г в начале адаптации. Измеряемые параметры: расход корма; масса животного (еженедельно); масса печени; параметры безопасности (СН; TG; ALAT/ASAT; AP; CK; HDL/LDL-CH); холестерин печени (ВЭЖХ) = 1х500 мг в С2Н5ОН/КОН; активность CYP7 (микросомы печени в виде пула групп по 0,5 г – получение в день эксперимента); сбор фекалий на 5-7-й день для определения желчной кислоты. Синтез холестерина: Введение внутривенно 14С-октаноата в количестве 10 мкКи/100 г массы животного за 1 час до окончания эксперимента (наркоз с помощью изофлурана); отбор 2х500 мг печени в С2Н5ОН/КОН. Резорбция холестерина Введение перорально 2 мкКи 3Н-ситостерина/1 мкКи 14С-холестерина в 0,5 мл смеси трикаприн:трикаприлин в соотношении 1:1; сбор фекалий на 8-10-й день; фекалии затем высушивают и сжигают для определения изотопов на приборе “Oximat” (Packard). Из таблицы можно видеть, что соединения формулы (I) в комбинации с эзетимибом оказывают синергическое действие на параметры плазмы.
Формула изобретения
1. Комбинация веществ, содержащая соединение формулы (VI) а также эзетимиб для профилактики или лечения нарушений липидного обмена или метаболического синдрома. 2. Комбинация веществ по п.1 для профилактики или лечения гиперлипидемии. 3. Применение комбинации веществ по п.1 или 2 в качестве лекарственного средства для профилактики или лечения нарушений липидного обмена или метаболического синдрома. 4. Применение комбинации веществ по п.1 или 2 в качестве лекарственного средства для профилактики или лечения гиперлипидемии. 5. Применение комбинации веществ по п.1 или 2 в качестве лекарственного средства для профилактики или лечения артериосклеротических явлений. 6. Способ введения комбинации веществ по п.1 или 2, отличающийся тем, что соединение формулы (VI) и эзетимиб вводят раздельно по времени, предпочтительно в течение 10 мин. 7. Способ по п.6, отличающийся тем, что вводят комбинацию веществ в качестве лекарственного средства для профилактики или лечения нарушений липидного обмена. 8. Способ получения комбинации веществ по п.1 или 2, отличающийся тем, что активные вещества смешивают с фармацевтически пригодным носителем и эту смесь доводят до пригодной для введения формы.
|
||||||||||||||||||||||||||||||||||||||||||||||||||||||||||||||||||||||||||||||||||||||||||||||||||||||||||||||||||||


– или
-форме. В качестве примера следует указать лактозу, мальтозу и целлобиозу.



