Патент на изобретение №2297178
|
||||||||||||||||||||||||||||||||||||||||||||||||||||||||||||||||||||||||||||||||||||||||||||||||||||||||||||||||||||||||||||||||||||||||||||||||||||||||||||||||||||||||||||||||||||||||||||||||||||||||||||||||||||||||||||||||||||||||||||||||||||||||||||||||||||||||||||||||||||||||||||||||||||||||||||||||||||||||||||||||
(54) СПОСОБ ОПРЕДЕЛЕНИЯ БИОЛОГИЧЕСКОГО ВОЗРАСТА ЧЕЛОВЕКА
(57) Реферат:
Способ основан на измерении электропроводимости участков кожного покрова биологически активных Су-точек двенадцати парных бель-меридианов. При первом и втором вариантах проводят определение биологического возраста (БВ) по формуле:
где КВ0 у мужчин равна 8,38, а у женщин – 3,63; Эn0 и Эл0 у мужчин равны 36,33 и 35,91, а у женщин – 34,74 и 34,31; величины
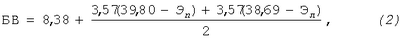
Изобретение относится к области медицины, а именно к геронтологии и гериатрии. В настоящее время для определения биологического возраста (БВ) человека предложено множество морфологических, физиологических, биохимических и психических тестов. Все они практически в произвольных сочетаниях используются теми или иными школами по определению БВ (А.А.Подколзин, В.Н.Крутько, В.И.Донцов и др. «Количественная оценка показателей смертности, старения, продолжительности жизни и биологического возраста» Учебно-методическое пособие для врачей. М.: МГМСУ, 2001, с.16). Информативность и качество оценки БВ с помощью этих тестов во многом зависит от выполнения следующих условий. Показатели, используемые для определения БВ, должны высоко коррелировать с календарным возрастом (KB), достаточно интенсивно и непрерывно изменяться с возрастом, чтобы можно было уловить различия между последовательными возрастными группами. Тесты должны быть независимы от проводимых мероприятий и патологических процессов, сопровождающих старение (болезни не должны имитировать изменение показателя БВ). Тестирование должно быть безопасным, не утомительным для обследуемого, простым для экспериментатора и не занимать много времени. При проведении тестирования, для каждого обследуемого регистрируется набор количественных показателей (биомаркеров старения). Далее эти показатели математически обрабатываются с помощью формул, полученных в результате статистического анализа данных (метода линейной регрессии). Известен способ определения биологического возраста человека (патент РФ №2228137, МКИ 7 А61В 5/16, заяв. 04.11.2002), который для оценки БВ в качестве биомаркеров старения использует антропометрические показатели, а именно – рост, массу тела, окружность грудной клетки на вдохе, окружность грудной клетки на выдохе, окружность грудной клетки на паузе, экскурсию грудной клетки, жизненную емкость легких, силу сжатия кисти правой руки, силу сжатия кисти левой руки. Существенным недостатком этого способа является то, что он не учитывает постоянно возрастающую акселерацию развития, что, несомненно, искажает его результаты. Способ определения скорости старения (патент РФ №2164381, МКИ 7 А61В 10/00, заяв. 10.03.1999), для оценки БВ использует батарею тестов из следующих физиологических и нервно-психических показателей: ударный объем сердца, индекс экономичности работы сердца, вегетативный индекс, общий конъюнктивальный индекс, систолический показатель, время термовосстановления кожи при «холодовой» пробе, продолжительность спазма сосудов кожи на норадреналин, продолжительность задержки дыхания после глубокого вдоха, мышечная сила кисти руки, продолжительность статистической балансировки, символ – цифровой тест Векслера, анкетирование по системе самооценки собственного здоровья. Физиологические тесты из-за возрастного падения функций ряда органов и систем имеют широкие возможности для отбора простых показателей, характеризующих БВ. Однако, во многих из них, используются показатели, которые очень существенно меняются в зависимости от того, какова выраженность патологических процессов у лиц одной возрастной группы. Например, в данном способе на показатели «вегетативный индекс» и «систолический показатель», которые рассчитываются соответственно на основе данных артериального давления и электрокардиограммы (ЭКГ), сильно влияет выраженность атеросклероза для обследуемых людей старческого возраста. Кроме того, известно, что показатели артериального давления изменяются с возрастом существенно нелинейно, и, следовательно, оценка биологического возраста по этому биомаркеру старения, с использованием метода линейной регрессии, будет иметь серьезные погрешности. Другой способ определения биологического возраста человека (патент РФ №2102924, МКИ 6 А61В 5/16, заяв. 12.10.94) использует показатели умственной работоспособности: кратковременная память по Мучнику-Смирнову, психическая продуктивность по таблицам Анфимова, мышление (классификации, толкование пословиц, подбор синонимов и антонимов, метод исключения, ассоциативный эксперимент), внимание (таблицы Шульте-Платонова, тахистокопия). Недостатком этого способа является то, что его результаты могут быть искажены из-за выраженного неравномерного характера старения психических функций. Рассмотренные способы определения биологического возраста человека и другие, действующие в настоящее время, сложны для экспериментатора, требуют больших временных затрат, дорогостоящего специального оборудования и не обеспечивают требуемых условий комфортности для обследуемых. Кроме того, они не позволяют увидеть целостную картину старения, отразить процесс возрастных изменений сразу во всех основных системах организма человека, используя единую шкалу измерений. А это имеет большое значение не только для точной интегральной оценки БВ, но и для выявления систем и органов с наиболее высокой степенью изношенности. Задачей данного изобретения является разработка простого способа определения биологического возраста человека на основе показателей электропунктурных измерений, обеспечивающего быстроту проведения процедуры и расчета БВ как для отдельных систем, так и для всего организма, повышение точности определения БВ за счет широты охвата систем организма и исключения из расчета систем с патологическими отклонениями, повышение комфортности процедуры. Технический результат достигается тем, что в предлагаемом способе, согласно изобретению, проводят электропунктурные измерения в биологически активных Су-точках парных бель-меридианов, воздействуя электрическим током величиной до 10 мкА на обеих кистях на биологически активные точки: А9. I11(7), E11(6), L3(5), D3(5), Н10, B1(3), J6, F5, C35, K32, G69(68), а при измерении Су-точек бель-меридианов, находящихся на одной руке, для правых меридианов используют Су-точки, расположенные на указательном и среднем пальцах кисти, а для левых меридианов используют Су-точки, расположенные на мизинце и безымянном пальцах, затем определяют биологический возраст по формуле: где БВ – значение биологического возраста, Эn и Эл – средние арифметические значения величин электропроводимости правых и левых бель-меридианов конкретного человека; КВ0, Эn0 и Эл0, КВ0 у мужчин равна 8,38, а у женщин – 3,63; Эn0 и Эл0 у мужчин равны 36,33 и 35,91, а у женщин – 34,74 и 34,31;
Также согласно изобретению для повышения точности способа предварительно определяют биологический возраст отдельных систем и органов, при этом у мужчин: и у женщин: где Эn, Эл – величины электропроводимости соответствующих бель-меридианов, затем определяют биологический возраст организма, как среднюю арифметическую величину значений биологических возрастов отдельных систем и органов, не учитывая величины биологических возрастов систем или органов с патологическими отклонениями. Благодаря вышеописанному методу удается быстро получить электропунктурные показатели и на их основе достаточно точно определить биологический возраст с учетом пола, как всего организма, так и его отдельных систем и органов. Способ может применяться в практике медицинских, оздоровительных и геронтологических центров, реабилитационных отделений санаторно-курортного профиля. Способ осуществляется следующим образом. С помощью прибора для электропунктурного тестирования измеряется электропроводимость участков кожного покрова, являющихся проекциями биологически активных Су-точек двенадцати парных бель-меридианов. Измеряемые биологически активные точки (БАТ) бель-меридианов имеют следующие информационно-функциональные связи с классическими меридианами и системами организма (органами): А9 – с меридианом легких и дыхательной системой; I11(7) – с меридианом перикарда и сосудистой системой; Е11(6) – с меридианом сердца и сердцем; L3(5) – с меридианом печени и печенью; D3(5) – с меридианом поджелудочной железы-селезенки и соответствующими органами, причем, правая ветвь меридиана связана с поджелудочной железой, а левая ветвь – с селезенкой; Н10 – с меридианом почек и почками; В1(3) – с меридианом толстого кишечника и толстым кишечником; J6 – с тройным обогревателем и эндокринной системой; F5 – с меридианом тонкого кишечника и тонким кишечником; С35 – с меридианом желудка и желудком; К32 – с меридианом желчного пузыря и желчным пузырем; G69(68) – с меридианом мочевого пузыря и мочеполовой системой. Указанные номера точек в скобках являются заменяющими и используются в случае невозможности произвести измерения на основных (кожные повреждения и др.). В основе выбора точек для обследования применяется универсальная система соответствия, разработанная доктором Пак Дже У (Лак Джи-Ву «Руководство по Су Джок (кисть и стопа) акупунктуре». Москва, Печатный двор, 1993). При исследовании Су-точек на обеих кистях воздействуют на биологически активные точки А9, I11(7), E11(6), L3(5), D3(5), Н10, B1(3), J6, F5, C35, K32, G69(68). При измерении Су-точек бель-меридианов, находящихся на одной руке, для правых меридианов используют Су-точки, расположенные на указательном и среднем пальцах кисти, а для левых меридианов используют Су-точки, расположенные на мизинце и безымянном пальцах. Измерение Су-точек по одной руке применяется для ускорения процедуры обследования, а также в случае отсутствия одной конечности рук или пальцев кисти, используемых при измерении. После выбора Су-точек воздействуют постоянным электрическим током до 10 мкА на участки кожного покрова, являющиеся проекциями этих точек, и измеряют относительную электропроводимость. Измерение производится цифровым измерительным прибором для электропунктурного тестирования, который содержит активный и пассивный электроды, источник питания, узел измерения. Активный электрод выполнен в виде наконечника с диаметром 2 мм, а пассивный – в виде пластинки. Активный электрод наконечником прикладывают к участку кожи, где находится БАТ, и надавливают, а пассивный электрод в это время пациентом удерживается пальцами в противоположной руке. Измерение производится в течение до 3 секунд до появления на табло прибора максимального цифрового показателя. При необходимости измерение можно повторить. Перед измерением необходимо смачивать наконечник активного электрода физиологическим раствором. При выявлении на исследуемом участке кожи (в основном ладонной поверхности) повышенной потливости, необходимо его просушить бумажной салфеткой, а затем произвести измерение. После проведения электропунктурных измерений, по полученным показателям с помощью математических формул (1-27) рассчитывают биологический возраст с учетом пола, как для всего организма, так и для его отдельных систем. При этом количественная оценка БВ в данном способе производится двумя вариантами. Первый вариант вычисления БВ является наиболее простым и быстрым, а второй вариант требует больше времени для расчета, но является более точным и позволяет выявить системы организма с патологическими отклонениями и с ускоренным темпом старения. Для первого варианта достаточно вычислить средние арифметические значения измеренных величин правых и левых бель-меридианов и, подставив их в формулу (1), определить БВ соответственно у мужчин или у женщин. Для нахождения БВ по второму варианту необходимо первоначально определить БВ отдельно для каждой системы или органа у мужчин по формулам (2-14), а у женщин по формулам (15-27). Затем на основе вычисленных значений БВ отдельных систем и органов определяют биологический возраст всего организма у мужчин и женщин по формуле: где БВi – значение БВ отдельной системы или органа; n – число исследуемых систем и органов. Одним из необходимых условий для повышения качества оценки БВ является независимость от патологических процессов, сопровождающих старение. Данный способ определения БВ обеспечивает это условие путем выявления систем и органов с патологическими отклонениями и исключение их из расчета. Предлагается следующий вариант выявления патологических отклонений: где Snami – степень патологических отклонений; БВi – значение БВ конкретной системы или органа; БВc – среднее всех значений БВ отдельных систем и органов (без исключений);
n – число всех анализируемых систем и органов (n=13). Если величина степени патологических отклонений больше или равно 1,5 (Snami Исключение величины БВ такой системы или органа из формулы (28) значительно повышает точность интегральной оценки биологического возраста человека. Рассмотрим конкретные примеры определения биологического возраста на основе показателей электропунктурных измерений для мужчин и женщин. Оценка БВ для них производилась двумя вариантами. При анализе результатов определения БВ предпочтение отдается величине БВ, вычисленного с помощью второго варианта. В примерах выводы приведены для этого варианта. Пример 1. Пациент Б., пол – мужской, дата обследования: 23.08.2005, календарный возраст: 41,5 лет
1-й вариант: а) находим средние арифметические значения измеренных величин электропроводимости правых и левых бель-меридианов: Эn=26,58 (у.е.); Эл=25,0 (у.е.). б) подставляя вычисленные средние значения электропроводимости (Эn и Эл) в формулу (1), находим значение биологического возраста для данного человека БВ=45,89 (лет) 2-й вариант: Подставляя измеренные величины правых и левых меридианов (табл.1) в формулы 2-14, соответствующие этим меридианам и определенным системам и органам, получим для них следующие значения БВ. а) для дыхательной системы: БВ=66,37 (лет); б) для толстого кишечника: БВ=44,74 (лет); в) для желудка: БВ=15,41 (лет); г) для поджелудочной железы: БВ=48,53 (лет); д) для селезенки: БВ=40,94 (лет); е) для сердца: БВ=42,47 (лет); ж) для тонкого кишечника: БВ=43,84 (лет); з) для мочеполовой системы: БВ=50,97 (лет); и) для почек: БВ=39,44 (лет); к) для сосудистой системы: БВ=71,31 (лет); л) для эндокринной системы: БВ=44,61 (лет); м) для желчного пузыря: БВ=37,83 (лет); н) для печени: БВ=34,89 (лет); о) Определяем величину БВс, как среднюю арифметическую величину всех вычисленных значений БВ исследуемых систем и органов по формуле (28): БВc=44,72 (лет). n) Для всего ряда значений БВ исследуемых систем и органов, используя программу Excel 2000, находим среднее квадратичное отклонений (
р) Для каждой системы организма с помощью формулы (29) определяется степень патологических отклонений (Snami).
с) Исключив из формулы (28) значения БВ дыхательной системы, сосудистой системы и желудка, имеющие патологические отклонения (Snam i БВ=42,83 (лет) Вывод: Биологический возраст данного человека на 1,33 года больше календарного, что отражает физиологическое (естественное) старение организма. Патологические отклонения выявлены в желудке, дыхательной и сосудистой системах. Пример 2. Пациентка Т., пол – женский, дата обследования: 24.08.2005, календарный возраст: 58,1 лет
1-й вариант а) находим средние арифметические значения электропроводимости правых и левых бель-меридианов: Эn=22,58 (у.е.) Эл=20,41 (у.е.) б) подставляя вычисленные средние значения электропроводимости (Эn и Эл) в формулу (1), находим значение биологического возраста для данного человека БВ=54,62 (лет) 2-й вариант: Подставляя измеренные величины правых и левых меридианов (табл.2) в формулы 15-27, соответствующие этим меридианам и определенным системам и органам, получим для них следующие значения БВ. а) для дыхательной системы: БВ=59,32 (лет); б) для толстого кишечника: БВ=72,85 (лет); в) для желудка: БВ=55,97 (лет); г) для поджелудочной железы: БВ=41,47 (лет); д) для селезенки: БВ=36,23 (лет); е) для сердца: БВ=57,35 (лет); ж) для тонкого кишечника: БВ=61,04 (лет); з) для мочеполовой системы: БВ=52,61 (лет); и) для почек: БВ=86,83 (лет); к) для сосудистой системы: БВ=45,82 (лет); л) для эндокринной системы: БВ=76,35 (лет); м) для желчного пузыря: БВ=53,30 (лет); н) для печени: БВ=30,13 (лет). о) Определяем величину БВс, как среднюю арифметическую величину всех вычисленных значений БВ исследуемых систем и органов по формуле (28): БВс=56,09 (лет) п) Для всего ряда значений БВ отдельных систем и органов, используя программу Excel 2000, находим среднее квадратичное отклонений (
p) Для каждой исследуемой системы или органа с помощью формулы (29) определяется степень патологических отклонений (Snam i).
с) Исключив из формулы (28) значения БВ почек и печени, имеющие патологические отклонения (Snami БВ=55,66 (лет) Вывод. Биологический возраст данного человека меньше календарного на 2,44 года, что соответствует физиологическому старению организма. Патологические отклонения выявлены в почках и печени. Ускоренный темп старения – в эндокринной системе и толстом кишечнике. Пример 3. Пациентка А., пол – женский, дата обследования: 18.09.2005, календарный возраст: 41,2 года
1-й вариант а) находим средние арифметические значения измеренных величин электропроводимости правых и левых бель-меридианов: Эn=23,83 (у.е.) Эл=23,16 (у.е.) б) подставляя вычисленные средние значения электропроводимости (Эn и Эл) в формулу (1), находим значение биологического возраста для данного человека БВ=46,84 (лет) 2-й вариант: Подставляя измеренные величины правых и левых меридианов (табл.3) в формулы 15-27, соответствующие этим меридианам и определенным системам и органам, получим для них следующие значения БВ. а) для дыхательной системы: БВ=46,84 (лет); б) для толстого кишечника: БВ=50,35 (лет); в) для желудка: БВ=55,97 (лет); г) для поджелудочной железы: БВ=26,32 (лет); д) для селезенки: БВ=33,29 (лет); е) для сердца: БВ=48,88 (лет); ж) для тонкого кишечника: БВ=46,76 (лет); з) для мочеполовой системы: БВ=47,85 (лет); и) для почек: БВ=63,46 (лет); к) для сосудистой системы: БВ=26,44 (лет); л) для эндокринной системы: БВ=55,55 (лет); м) для желчного пузыря: БВ=58,42 (лет); н) для печени: БВ=52,95 (лет). о) Определяем величину БВc, как среднюю арифметическую величину всех вычисленных значений БВ систем и органов по формуле (28): БВc=47,16 (лет) п) Для всего ряда значений БВ исследуемых систем и органов, используя программу Excel 2000, находим среднее квадратичное отклонений (
р) Для каждой системы или органа с помощью формулы (29) определяется степень патологических отклонений (Snami)
с) Исключив из формулы (28) значения БВ поджелудочной железы и сосудистой системы, имеющие патологические отклонения (Snami БВ=50,94 (лет) Вывод. Биологический возраст данного человека превышает календарный на 9,74 года, что отражает умеренно ускоренный темп старения организма. Патологические отклонения выявлены в поджелудочной железе и сосудистой системе. Ускоренный темп старения – в почках, желчном пузыре и желудке. Пример 4. Пациент К., пол – мужской, дата обследования: 22.04.2005, календарный возраст: 38,0 лет
1-й вариант а) находим средние арифметические значения измеренных величин электропроводимости правых и левых бель-меридианов: Эn=33,24 (у.е.) Эл=27,89 (у.е.) б) подставляя вычисленные средние значения электропроводимости (Эn и Эл) в формулу (1), находим значение биологического возраста для данного человека БВ=30,56 (лет) 2-й вариант: Подставляя измеренные величины правых и левых меридианов (табл.4) в формулы 2-14, соответствующие этим меридианам и определенным системам организма, получим для них следующие значения БВ. а) для дыхательной системы: БВ=30,67 (лет); б) для толстого кишечника: БВ=33,06 (лет); в) для желудка: БВ=13,33 (лет); г) для поджелудочной железы: БВ=22,35 (лет); д) для селезенки: БВ=27,79 (лет); е) для сердца: БВ=41,12 (лет); ж) для тонкого кишечника: БВ=47,26 (лет); з) для мочеполовой системы: БВ=44,87 (лет); и) для почек: БВ=28,26 (лет); к) для сосудистой системы: БВ=27,77 (лет), л) для эндокринной системы: БВ=14,72 (лет); м) для желчного пузыря: БВ=27,01 (лет); н) для печени: БВ=33,58 (лет). о) Определяем величину БВс, как среднюю арифметическую величину всех вычисленных значений БВ отдельных систем и органов по формуле (28): БВс=30,14 (лет) п) Для всего ряда значений БВ систем и органов, используя программу Excel 2000, находим среднее квадратичное отклонений (
р) Для каждой исследуемой системы или органа с помощью формулы (29) определяется степень патологических отклонений (Snami).
с) Исключив из формулы (28) значения БВ тонкого кишечника, эндокринной системы и желудка, имеющие патологические отклонения (Snami БВ=31,65 (лет) Вывод: Биологический возраст данного человека на 6,35 лет меньше календарного, что отражает умеренно замедленное старение организма. Патологические отклонения выявлены в желудке, тонком кишечнике и эндокринной системе.
Формула изобретения
1. Способ определения биологического возраста человека, отличающийся тем, что проводят измерения электропроводимости в биологически активных Су-точках парных бель-меридианов, воздействуя электрическим током величиной до 10 мкА на обеих кистях на биологически активные точки: А9, I11(7), Е11(6), L3(5), D3(5), Н10, В1(3), J6, F5, С35, К32, 069(68), а при измерении Су-точек бель-меридианов, находящихся на одной руке, для правых меридианов используют Су-точки, расположенные на указательном и среднем пальцах кисти, а для левых меридианов используют Су-точки, расположенные на мизинце и безымянном пальцах, затем определяют биологический возраст по формуле
где БВ – значение биологического возраста; КВ0 у мужчин равна 8,38, а у женщин 3,63; Эп0 и Эл0 у мужчин равны 36,33 и 35,91, а у женщин – 34,74 и 34,31;
Эп и Эл – средние арифметические значения величин электропроводимости правых и левых бель-меридианов. 2. Способ определения биологического возраста человека, отличающийся тем, что предварительно определяют биологический возраст отдельных систем и органов, при этом у мужчин: для поджелудочной железы: для селезенки: и у женщин: для поджелудочной железы: для селезенки: где Эп, Эл – величина электропроводимости соответствующих бель-меридианов, затем определяют биологический возраст организма, как среднюю арифметическую величину значений биологических возрастов отдельных систем и органов, не учитывая величины биологических возрастов систем или органов с патологическими отклонениями.
|
||||||||||||||||||||||||||||||||||||||||||||||||||||||||||||||||||||||||||||||||||||||||||||||||||||||||||||||||||||||||||||||||||||||||||||||||||||||||||||||||||||||||||||||||||||||||||||||||||||||||||||||||||||||||||||||||||||||||||||||||||||||||||||||||||||||||||||||||||||||||||||||||||||||||||||||||||||||||||||||||


у мужчин равны 3,7 и 3,57, а у женщин – 4,0 и 3,84; Эn и Эл – средние арифметические значения величин электропроводимости правых и левых бель-меридианов. При этом при втором варианте биологический возраст организма определяют как среднюю арифметическую величину значений биологических возрастов отдельных систем и органов, не учитывая величины биологических возрастов систем или органов с патологическими отклонениями. Способ повышает точность определения за счет учета состояния органов и систем организма человека. 2 н.п.ф-лы, 4 табл.
– статистические величины, вычисленные с помощью метода линейной регрессии, при этом



























– среднее квадратичное отклонение для ряда всех значений БВ исследуемых систем и органов;
1,5), то считается, анализируемая система или орган имеет патологические отклонения, которые могут влиять на оценку БВ, искажая его значения.




















































у мужчин равны 3,7 и 3,57, а у женщин – 4,0 и 3,84;
























