|
(21), (22) Заявка: 2005123043/13, 20.07.2005
(24) Дата начала отсчета срока действия патента:
20.07.2005
(46) Опубликовано: 20.04.2007
(56) Список документов, цитированных в отчете о поиске:
Адрес для переписки:
664038, г.Иркутск, а/я 33, Ю.С. Корзинникову
|
(72) Автор(ы):
Долгополов Александр Афанасьевич (RU), Голованова Елена Николаевна (RU), Шагеева Надежда Марсиловна (RU), Корзинников Юрий Степанович (RU)
(73) Патентообладатель(и):
Корзинников Юрий Степанович (RU)
|
(54) СПОСОБ ПОВЫШЕНИЯ ВСХОЖЕСТИ СЕМЯН ОВСА ПРИ РАННЕВЕСЕННЕМ ПОСЕВЕ В РАЙОНЕ РИСКОВАННОГО ЗЕМЛЕДЕЛИЯ
(57) Реферат:
Изобретение относится к области сельского хозяйства и может быть использовано при выращивании овса в условиях ранневесеннего посева семян в районе рискованного земледелия. Обрабатывают семена овса препаратами регуляторов роста гумат 80 или крезацин методом инкрустации и 2% ПВА (поливинилацетат). Использование изобретения позволяет вдвое повысить полевую всхожесть семян при ранневесеннем сроке посева. 1 ил., 1 табл.
Предлагаемое изобретение относится к области сельского хозяйства, созданию экологически безопасных химических средств защиты растений.
Задачей предлагаемого изобретения является повышение полевой всхожести семян овса при ранневесеннем, апрельском сроке посева. Задача решается применением регуляторов роста гумат 80 Иркутской фирмы “Гумат” и крезацина, включенными в состав для инкрустации – 2% ПВА. Препараты Гумат и крезацин входят в список препаратов, разрешенных к применению на территории РФ (Справочник пестицидов и агрохимикатов, разрешенных к применению на территории РФ. Москва: Агрорус, 2004. – 486 с.). Известно также использование 2% ПВА для обработки семян перед посевом (Борискин В.Д. и др. Способ предпосевной подготовки семян. Заявка на патент РФ №2002133265/12 полож. Решение 28.04.2005 г.).
Неизвестно использование регуляторов роста Гумат 80 и крезацин совместно с 2% ПВА для повышения всхожести семян овса при ранневесеннем сроке посева в районе рискованного земледелия.
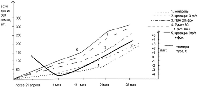
Сущность изобретения раскрывается следующим примером. Крезацин и гумат 80 Иркутской фирмы “Гумат” включают в 2% водную суспензию ПВА (поливинилацетат) и обрабатывают семена перед посевом исходя из нормы расхода 30 л/тонну семян. Семена высевают в ботаническом саду ИрГСХА после подсушивания семян до сыпучести, исходя из нормы 500 шт. семян на 1 м. кв. Всходы подсчитывают через каждые 7-10 дней начиная с даты их появления – 11 мая. Результаты представлены в таблице и на чертеже.
В вариантах без ПВА, а также только с ПВА резкое повышение всхожести наблюдается после 21 мая, когда минимальная температура не опускается ниже +4°.
В вариантах 2% ПВА+крезацин 3 г/т и 2% ПВА+гумат 80 1 г/т всхожесть семян почти вдвое больше, чем в других вариантах (см. чертеж, табл.).
Вывод: применение регуляторов роста крезацин и гумат 80 для подготовки семян методом инкрустирования с 2% ПВА повышает вдвое их полевую всхожесть в условиях ранневесеннего (апрельского) срока посева в Приангарье.
| Таблица |
| Влияние регуляторов роста гумат – 80 и крезацин в 2% ПВА на всхожесть семян овса при ранневесеннем посеве. Число всходов из 480 всхожих семян на 1 м2. |
| Варианты |
Число всходов, шт. |
| 11.05 |
21.05 |
28.05 |
| 1. |
Контроль – биолог |
49 |
68 |
170 |
| 2. |
2% ПВА |
105 |
134 |
256 |
| 3. |
Крезацин 3 г/т – прототип |
82 |
104 |
179 |
| 4. |
2% ПВА+Крезацин 3 г/т |
139 |
257 |
306 |
| 5 |
2% ПВА+Гумат 80 1 г/т |
109 |
201 |
294 |
Источники информации:
1. Зайцев А.М. Влияние зернопаровых севооборотов на плодородие и продуктивность выщелоченного чернозема в лесостепной зоне Приангарья. Автореферат канд. дисс. Улан-Удэ, 2001. – 21 с.
3. Борискин В.Д., Каменьков А.В., Корзинников Ю.С., Гаврилов Е.К. Способ предпосевной подготовки семян. Заявка на патент РФ №2002133265/12, полож. решение 28.04.2005 г.
4. Справочник пестицидов и агрохимикатов, разрешенных к применению на территории Российской Федерации. Москва.: Агрорус, 2004. – 486 с. (Гуматы с.309-312, крезацин с.314-315).
Формула изобретения
Способ повышения полевой всхожести семян овса при ранневесеннем посеве в районе рискованного земледелия путем применения регуляторов роста гумат 80 или крезацина, отличающийся применением регуляторов роста методом инкрустации семян с 2% ПВА (поливинилацетат).
РИСУНКИ
MM4A – Досрочное прекращение действия патента СССР или патента Российской Федерации на изобретение из-за неуплаты в установленный срок пошлины за поддержание патента в силе
Дата прекращения действия патента: 21.07.2007
Извещение опубликовано: 27.02.2009 БИ: 06/2009
|