|
(21), (22) Заявка: 2005114087/09, 11.05.2005
(24) Дата начала отсчета срока действия патента:
11.05.2005
(43) Дата публикации заявки: 20.11.2006
(46) Опубликовано: 10.04.2007
(56) Список документов, цитированных в отчете о поиске:
RU 2229194 С2, 20.05.2004. RU 2251788 C1, 10.05.2005. RU 2002117539 A, 10.01.2004. US 5015939, 14.05.1991.
Адрес для переписки:
346413, Ростовская обл., г. Новочеркасск, ул. Машиностроителей, 3, ОАО ВЭлНИИ
|
(72) Автор(ы):
Беляев Александр Васильевич (RU)
(73) Патентообладатель(и):
Открытое акционерное общество “Всероссийский научно-исследовательский и проектно-конструкторский институт электровозостроения” (ОАО “ВЭлНИИ”) (RU)
|
(54) СПОСОБ УПРАВЛЕНИЯ ИНДУКТОРНЫМ ДВИГАТЕЛЕМ
(57) Реферат:
Использование: в электротехнике, для управления индукторными двигателями, в том числе тяговыми, имеющими зубчатый статор и ротор. Технический результат заключается в снижении пульсаций момента индукторного двигателя за счет поддержания момента двигателя равным данному на каждом из m интервалов. Сущность: формируют токи в двигателе, для чего определяют временной интервал подачи импульсов напряжения, разбивают его на малые интервалы, для каждого интервала n определяют заданное значение фазного тока двигателя и достигают его, подавая импульс напряжения определенной длительностью. 3 ил
Изобретение относится к способам управления индукторными двигателями, в том числе тяговыми, имеющими зубчатый статор и ротор.
Известен способ управления индукторным двигателем («токовый коридор»), заключающийся в том, что внутри каждого периода датчика положения ротора на фазную обмотку двигателя подают импульсы напряжения так, чтобы ток не выходил за рамки «токового коридора», т.е. был приблизительно постоянным (см. Электровозостроение: сб. науч. тр. ОАО «Всероссийский научно-исследовательский и проектно-конструкторский институт электровозостроения» (ОАО «ВЭлНИИ»). – 2000. – Т.42 – 324 с. на с.186 и журнал «Электротехника» №6/98, с.25-26, рис.2в и 4б).
Изменение в большом диапазоне при постоянном токе предопределяет большие пульсации момента на валу двигателя, что ведет к преждевременному износу приводного механизма и двигателя, а при использовании индукторного двигателя в качестве тягового провоцирует еще и боксование.
Наиболее близким по технической сущности является способ управления индукторным двигателем, заключающийся в том, что формируют токи в двигателе, для чего измеряют периоды датчика положения ротора двигателя, внутри каждого периода датчика положения ротора на фазную обмотку двигателя подают как минимум один импульс напряжения, определяют временной интервал подачи импульсов напряжения, разбивают его на m равных интервалов t, соответствующих углу поворота ротора  , в начале каждого из которых вводят значение фазного тока in-1, соответствующее началу n-го интервала из m, определяют величину фазного тока in по формуле

где М3( n) – заданное значение момента на n-ом интервале;
L( n, in-1) – значение индуктивности в конце n-го интервала при токе in-1;
L( n-1, in-1) – значение индуктивности в конце (n-1)-го интервала при токе in-1;
in-1 – значение фазного тока в конце (n-1)-го интервала,
причем, если в начале n-го интервала фазный ток больше значения in, то импульс напряжения не формируют. (См. описание изобретения к патенту Российской Федерации RU 2229194 С2, кл. 7 Н02Р 8/18, опубл. 20.05.2004 Бюл. №14).
Этот способ имеет следующий недостаток. Если в начале n-го интервала, при превышении фазным током значения in, импульс напряжения не формировать, то значение тока в конце n-го интервала может оказаться меньше in и изменение электромагнитной энергии не соответствовать поддержанию заданного момента двигателя. Поэтому среднее значение момента на интервале  может не соответствовать заданному, что предопределяет пульсации момента двигателя.
Задачей изобретения является снижение пульсаций момента индукторного двигателя за счет поддержания момента двигателя равным заданному на каждом из m интервалов.
Поставленная задача решается способом управления индукторным двигателем, при котором измеряют период сигнала датчика положения ротора, определяют временной интервал подачи импульсов управления внутри сигнала датчика положения ротора и разбивают его на m равных интервалов t, соответствующих углу поворота ротора в . В начале каждого из этих интервалов вводят значение фазного тока in-1, соответствующее началу текущего n-го интервала из m, определяют величину фазного тока in по формуле

где М3( n) – заданное значение момента на n-ом интервале;
L( n, in-1) – значение индуктивности в конце n-го интервала при токе in-1;
L( n-1, in-1) – значение индуктивности в конце (n-1)-го интервала при токе in-1;
in-1 – значение фазного тока в конце (n-1)-го интервала,
при превышении значением in величины фазного тока формируют импульс напряжения u от начала текущего n-го интервала до момента достижения фазным током величины in. При превышении в начале n-го полупериода фазным током значения in отсчитывают время , прошедшее от начала n-го интервала до достижения фазным током значения in и через время

где 
r – активное сопротивление фазной обмотки;
L( n, in) – значение индуктивности в конце n-го интервала при токе in, подают на фазную обмотку постоянное напряжение u.
Таким образом обеспечивается достижение током необходимого значения в конце n-го интервала, что обеспечивает изменение электромагнитной энергии, необходимое для поддержания на n-ом интервале постоянного момента, равного заданному.
На фиг.1 представлено устройство для реализации способа; на фиг.2 – алгоритм работы устройства; на фиг.3 – временные диаграммы, поясняющие определение времени подачи напряжения на фазную обмотку.
Способ осуществляется микропроцессорной системой, состоящей из блока таймеров 1, процессора 2, оперативного запоминающего устройства (ОЗУ) 3, постоянного запоминающего устройства (ПЗУ) 4, аналогово-цифрового преобразователя (АЦП) 5, блока драйверов 6, транзисторного блока 7, управляющего индукторным двигателем 8, имеющим датчики положения ротора (ДПР) 9. Входы-выходы процессора 2, ОЗУ 3, ПЗУ 4, входы блока таймеров 1, блока драйверов 6 и выход АЦП 5 объединены шиной адресов-данных 10. Выходы блока таймеров 1 и ДПР 9 соединены с шинами прерывания процессора 2. Ток i двигателя 8 поступает на вход АЦП 5. Выходы транзисторного блока 7, запитанного постоянным напряжением u, нагружены на обмотки индукторного двигателя 8.
Процессор, ОЗУ, ПЗУ, блок таймеров, АЦП могут быть интегрированы в специализированный контроллер, например М167-1С (см. каталог продукции «Бортовая промышленная электроника» АО «Каскод», 105037, Москва, Измайловская пл., 7).
Способ реализуется в соответствии с алгоритмом на фиг.2.
Алгоритм состоит их 4-х подпрограмм, которые запускают сигналами прерываний от ДПР 9 и блока таймеров 1 – t1, t2, tm.
Первая подпрограмма начинается по сигналу ДПР. Вводят значение кода из таймера Т, соответствующее периоду сигнала ДПР (блок 11) и снова запускают таймер Т (блок 12). Затем определяют временной интервал [t1, t2] (блок 13) и запускают таймеры t1 и t2 в блоке таймеров 1 (блок 14). В блоке 15 определяется количество интервалов m умножением временного интервала [t1, t2] на значение максимально допустимой частоты переключения транзисторов транзисторного блока 7. Затем в блоке 16 определяют величину интервала t повторения определения необходимого значения тока in и соответствующий угол поворота ротора  . Заканчивается подпрограмма вводом заданного значения момента М3 (блок 17).
Вторая подпрограмма начинается по приходу сигнала таймера t1, запущенного в первой подпрограмме.
В этой подпрограмме запускают таймер m интервала повторения вычислений (блок 18) и номеру интервала повторения вычислений присваивается значение единицы (блок 19).
Таймер m периодически выдает сигналы прерываний, по которым выполняется третья подпрограмма, в которой определяют необходимые значения тока двигателя на каждом интервале повторения вычислений. Для этого в блоке 20 вводят значение тока, соответствующее началу интервала. Затем в блоке 21 обновляют значения индуктивностей для вычисления нужного значения тока на этом интервале, которое определяют в блоке 22 в соответствии с формулой

где М3( n) – заданное значение момента на n-ом интервале;
L( n, in-1) – значение индуктивности в конце n-го интервала при токе in-1;
L( n-1, in-1) – значение индуктивности в конце (n-1)-го интервала при токе in-1;
in-1 – значение фазного тока в конце (n-1)-го интервала.
В блоке 23 сравнивают вычисленную величину тока in, которую необходимо достичь на данном интервале, со значением тока in-1 в начале этого интервала и, если оно больше, включают (блок 24) транзисторы транзисторного блока 7, и при достижении фазным током значения in (блоки 25, 26) транзисторы транзисторного блока 7 выключают (блок 27), снимая с фазной обмотки напряжение u. Если необходимое значение тока в конце интервала in меньше значения тока in-1 в начале интервала, то транзисторы транзисторного блока 7 выключают (блок 29), отсчитывают время (от начала n-го интервала до достижения фазным током значения in (блоки 30…33), затем определяют время (блок 34)

и через это время (блок 35) подают на фазную обмотку напряжение u, включая транзисторы (блок 36) транзисторного блока 7. В блоке 28 значение номера интервала увеличивается на единицу, что соответствует следующему интервалу повторения вычислений.
Подачу импульсов управления прекращают четвертой подпрограммой с приходом сигнала прерывания от таймера t2, при этом осуществляют сброс всех таймеров (блок 37) и выключают транзисторный бок 7 (блок 38).
Предлагаемый способ позволяет в случае превышения током необходимого его значения в конце интервала достичь необходимого значения именно в конце интервала, обеспечив такое изменение электромагнитной энергии, которое реализует поддержание заданного момента индукторного двигателя, снизив его пульсации.
Фиг.3 поясняет получение формулы (1). Кривая i1 описывает изменение фазного тока индукторного двигателя при отсутствии напряжения на фазной обмотке. Ток спадает по экспоненте, проходящей через точки с координатами
(tn-1, in-1) – соответствует началу n-го интервала;
– соответствует уменьшению тока до величины in.
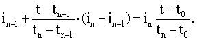
Заменяя экспоненту прямой, проходящей через две точки, имеем

Кривая i1 описывает изменение фазного тока после подачи импульса напряжения амплитудой u. Ток возрастает по экспоненте, проходящей через точки с координатами
(t0, 0) – соответствует пересечению экспонентой оси времени;
(tn, in) – соответствует концу n-го интервала.
Заменяя экспоненту прямой, проходящей через эти две точки, имеем

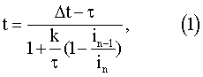
Если в момент времени t подать напряжение u, то до конца n-го интервала ток по экспоненте i2 достигнет значения in, что обеспечит необходимое значение момента индукторного двигателя М3.
Для определения момента времени t подачи напряжения приравняем токи i1 и i2


Обозначив

имеем

Время от достижения спадающим по экспоненте i1 током значения in до подачи напряжения u

где t=tn-tn-1 – временной интервал подачи импульсов напряжения.
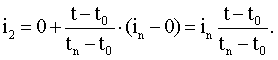
Определим время t0. Ток i2 описывается экспонентой

с постоянной времени , соответствующей концу n-го интервала при токе in.
Для точки с координатами (tn, in)

отсюда

Тогда, учитывая tn-t0=-k,

и 
а время от достижения током значения in до подачи напряжения u

Исследование данного способа управления на том же стенде, где испытывался прототип, показали снижение пульсаций момента индукторного двигателя, но по сравнению с прототипом на 30% в зоне номинальных и высоких скоростей.
Формула изобретения
Способ управления индукторным двигателем, заключающийся в том, что формируют токи в двигателе, для чего измеряют периоды сигнала датчика положения ротора двигателя, внутри каждого периода датчика положения ротора на фазную обмотку двигателя подают как минимум один импульс напряжения, определяют временной интервал подачи импульсов напряжения, разбивают его на m равных интервалов t, соответствующих углу поворота ротора  , в начале каждого из которых вводят значение фазного тока in-1, соответствующее началу текущего n-го интервала из m, определяют величину фазного тока in по формуле

где М3( n) – заданное значение момента на n-ом интервале;
L( n, in-1) – значение индуктивности в конце n-го интервала при токе in-1;
L( n, in-1) – значение индуктивности в конце (n-1)-го интервала при токе in-1;
in-1 – значение фазного тока в конце (n-1)-го интервала,
при превышении значением in величины фазного тока формируют импульс напряжения U от начала текущего n-го интервала до момента достижения фазным током величины in, отличающийся тем, что при превышении в начале n-го полупериода фазным током значения in отсчитывают время , прошедшее от начала n-го интервала до достижения фазным током значения in и через время

где 
r – активное сопротивление фазной обмотки;
L( n, in) – значение индуктивности в конце n-го интервала при токе in, подают на фазную обмотку постоянное напряжение U.
РИСУНКИ
MM4A – Досрочное прекращение действия патента СССР или патента Российской Федерации на изобретение из-за неуплаты в установленный срок пошлины за поддержание патента в силе
Дата прекращения действия патента: 12.05.2007
Извещение опубликовано: 27.07.2008 БИ: 21/2008
|