|
|
(21), (22) Заявка: 2005133698/09, 02.11.2005
(24) Дата начала отсчета срока действия патента:
02.11.2005
(46) Опубликовано: 10.04.2007
(56) Список документов, цитированных в отчете о поиске:
RU 2245595 C1, 27.01.2005. EP 0509214, 21.10.1992. Антенны и устройства СВЧ. Проектирование фазированных антенных решеток./ Под ред. Д.И.ВОСКРЕСЕНСКОГО. – М.: Радио и связь, 1981, с.47-48, рис.2.31 в. US 4604624 А, 05.08.1986.
Адрес для переписки:
125190, Москва, Ленинградский пр-кт, 80, корп.16, ОАО “НПО “Алмаз”, начальнику отдела по патентно-лицензионной работе
|
(72) Автор(ы):
Виниченко Юрий Петрович (RU), Горшков Игорь Алексеевич (RU), Запорожец Андрей Иванович (RU), Туманская Алла Ефимовна (RU)
(73) Патентообладатель(и):
Открытое акционерное общество “Научно-производственное объединение “АЛМАЗ” имени академика А.А. РАСПЛЕТИНА” (ОАО “НПО “АЛМАЗ”) (RU), Федеральное государственное учреждение “Федеральное агентство по правовой защите результатов интеллектуальной деятельности военного, специального и двойного назначения” при Министерстве юстиции Российской Федерации” (ФГУ “ФАПРИД”) (RU)
|
(54) МАЛОГАБАРИТНАЯ АНТЕННАЯ СИСТЕМА ПРОХОДНОГО ТИПА (ВАРИАНТЫ)
(57) Реферат:
Изобретение относится к проходным фазированным антенным решеткам (ФАР) СВЧ-диапазона с электрическим сканированием луча и может быть использовано при проектировании ФАР, работающих на круговой поляризации поля и у которых размер апертуры в одной плоскости в 2-3 раза меньше размера апертуры в другой плоскости. Технический результат заключается в уменьшении осевого габаритного размера антенной системы. По первому варианту в малогабаритной антенной системе проходного типа, содержащей установленные соосно СВЧ-облучатель, поляризатор и проходную фазированную антенную решетку (ФАР), размер апертуры которой в Е-плоскости существенно меньше размера апертуры в Н-плоскости, СВЧ-облучатель выполнен в виде сдвоенных пирамидальных рупоров, продольные оси которых параллельны, а их общая передняя боковая кромка перпендикулярна Е-вектору поля. По второму варианту в малогабаритной антенной системе проходного типа – размер апертуры в Н-плоскости существенно меньше размера апертуры в Е-плоскости, СВЧ-облучатель выполнен в виде сдвоенных пирамидальных рупоров, продольные оси которых параллельны, а их общая передняя боковая кромка параллельна Е-вектору поля, и на внутренние поверхности стенок рупоров, параллельных Е-вектору поля, нанесен слой диэлектрического материала. 2 н. и 1 з.п. ф-лы, 5 ил.
Изобретение относится к радиотехнике, в частности к проходным фазированным антенным решеткам (ФАР) СВЧ-диапазона с электрическим сканированием луча, и может быть использовано при проектировании ФАР, работающих на круговой поляризации поля и у которых размер апертуры в одной плоскости существенно (в 2-3 раза) меньше размера апертуры в другой плоскости.
Проблема согласования облучателя с прямоугольной проходной ФАР, узкой в одной, например, Е-плоскости и широкой в другой, соответственно, Н-плоскости, заключается в следующем. Фокусное расстояние проходной ФАР прямоугольной формы в плане выбирается из условия обеспечения требуемого амплитудного распределения поля в Н-плоскости, поэтому для создания заданного амплитудного распределения поля в Е-плоскости требуется пирамидальный рупорный облучатель с раскрывом, сравнимым по размеру с апертурой ФАР в этой плоскости. Для уменьшения фазовых искажений в рупоре его длина должна превышать линейный размер раскрыва не менее чем в 4 раза, что в случае размещения антенной системы в ограниченном объеме пространства, например в мобильной РЛС, создает определенные трудности.
Известна антенная система проходного типа, содержащая установленные соосно рефлектор, рупорный СВЧ-облучатель и проходную ФАР, причем в качестве рефлектора использовано плоское зеркало с поляризатором, выполненное с возможностью поворота вокруг сферического шарнира, расположенного в точке опоры, лежащей в центре симметрии плоского зеркала и на общей оси антенной системы, а рупорный СВЧ-облучатель расположен между проходной ФАР и плоским зеркалом и установлен вне апертуры ФАР так, что его продольная ось проходит через точку опоры плоского зеркала. При этом проходная ФАР и плоское зеркало в плане имеют одинаковую форму, поляризатор выполнен в виде параллельных тонких металлических ребер высотой /8 на отражающей поверхности плоского зеркала, расположенных под углом 40-45° к направлению вектора электрического поля. За счет выноса рупорного облучателя за пределы апертуры ФАР и установки его под углом к оси системы ее габаритные размеры в осевом направлении не значительны, т.к. ограничены в основном толщиной полотна ФАР и ее линейными размерами, поскольку плоскость излучающего раскрыва, обращенного в сторону зеркала, отстоит от точки его опоры на расстоянии, равном 0,3-0,4 линейного размера ФАР, работающей на круговой поляризации поля [1].
Причиной, препятствующей достижению указанного ниже технического результата при использовании известной антенной системы, являются ее сложность и трудности размещения и наладки в ограниченных объемах пространства из-за выноса рупорного СВЧ-облучателя за пределы апертуры ФАР. При упрощении антенной системы за счет исключения плоского зеркала с поляризатором и размещения одиночного рупорного облучателя в фокусе ФАР ее габаритный размер в осевом направлении существенно увеличится. Так, при размере апертуры ФАР в Е- или Н-плоскости порядка (4÷5) , где – длина волны в свободном пространстве, для уменьшения фазовых искажений в рупоре до приемлемого уровня он должен иметь длину не менее (15÷20) .
Сущность изобретения заключается в следующем. Задачей изобретения является упрощение антенной системы проходного типа с возможностью ее размещения и наладки в ограниченных объемах, например мобильных РЛС. Технический результат – уменьшение осевого габаритного размера антенной системы.
Указанный технический результат достигается тем, что в известной антенной системе проходного типа, содержащей установленные соосно СВЧ-облучатель, проходную ФАР и поляризатор, согласно изобретению проходная ФАР, работающая на круговой поляризации поля, имеет прямоугольную форму в плане, причем размер апертуры ФАР в Е-плоскости существенно меньше размера апертуры в Н-плоскости, СВЧ-облучатель выполнен в виде сдвоенных пирамидальных рупоров, продольные оси которых параллельны, а их общая передняя кромка перпендикулярна Е-вектору, поляризатор выполнен проходным пластинчатым и установлен перед общим раскрывом пирамидальных рупоров.
Указанный технический результат достигается тем, что в известной антенной системе проходного типа, содержащей установленные соосно СВЧ-облучатель, проходную ФАР и поляризатор, согласно изобретению проходная ФАР, работающая на круговой поляризации поля, имеет прямоугольную форму в плане, причем размер апертуры ФАР в Н-плоскости существенно меньше размера апертуры в Е-плоскости, СВЧ-облучатель выполнен в виде сдвоенных пирамидальных рупоров, продольные оси которых параллельны, а их общая передняя кромка параллельна Е-вектору, и на внутренние поверхности стенок рупоров, параллельных Е-вектору, нанесен слой диэлектрического материала, поляризатор выполнен проходным пластинчатым и установлен перед общим раскрывом пирамидальных рупоров.
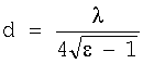
Толщина слоя диэлектрического материала определяется по формуле
,
где – длина волны в свободном пространстве;
– диэлектрическая проницаемость диэлектрического материала.
Группа изобретений поясняется чертежами, на которых представлены: фиг.1 – общий вид предлагаемой малогабаритной антенной системы проходного типа; фиг.2 – раскрыв рупорного СВЧ-облучателя по первому варианту и распределение поля в нем; фиг.3 – раскрыв рупорного СВЧ-облучателя по второму варианту и распределение поля в нем; фиг.4 – ДН рупорного СВЧ-облучателя по первому варианту: а) в Н-плоскости, б) в Е-плоскости; фиг.5 – ДН рупорного СВЧ-облучателя по второму варианту: а) в Н-плоскости, б) в Е-плоскости.
Предлагаемая малогабаритная антенная система проходного типа, работающая на круговой поляризации поля (фиг.1), содержит установленные соосно плоскую прямоугольную проходную ФАР 1, поляризатор 2, сдвоенный рупорный СВЧ-облучатель 3, горловины которого соединены с делителем мощности 4. Плоская прямоугольная проходная ФАР 1 может иметь существенно различные размеры апертуры в Е- и Н- плоскостях. Она состоит из набора размещенных в определенном порядке антенных элементов, в качестве которых может быть использован, например, приемопередающий элемент, содержащий фазовращатель, выполненный в виде намагничивающей обмотки, внутри которой установлен центральный цилиндрический ферритовый стержень (фазосдвигающая секция), обладающий высокой намагниченностью. К торцам центрального ферритового стержня присоединены боковые цилиндрические ферритовые стержни-излучатели с более низкой намагниченностью. Указанные детали выполнены с одинаковым диаметром, жестко соединены между собой и заключены в общий отрезок круглого металлизированного волновода, образованного путем напыления или гальванического нанесения слоя металла на их поверхность, за исключением концов боковых ферритовых стержней, являющихся собственно излучателями электромагнитных волн (ЭМВ) [2]. Геометрические размеры проходной ФАР 1 и, соответственно, количество антенных элементов в ней определяются конструкцией и назначением РЛС, в которой используется данная антенная система.
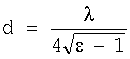
Для антенной системы (фиг.1), в которой размер прямоугольной апертуры (позиция 11) ФАР 1 в Е-плоскости существенно меньше размера апертуры в Н-плоскости, СВЧ-облучатель выполнен в виде сдвоенных пирамидальных рупоров 31, 32, продольные оси которых параллельны, а их общая передняя кромка 5 перпендикулярна Е-вектору поля (фиг.2). Для антенной системы, в которой размер прямоугольной апертуры ФАР 1 в Н-плоскости существенно меньше размера апертуры в Е-плоскости, СВЧ-облучатель выполнен в виде сдвоенных пирамидальных рупоров 31, 32, продольные оси которых параллельны, а их общая передняя кромка 5 параллельна Е-вектору (фиг.3). В пирамидальных рупорах 31, 32 на внутренние поверхности стенок, параллельных Е-вектору, нанесен слой диэлектрического материала 6 или наклеены диэлектрические пластины толщиной d, определяемой по формуле, полученной из известного соотношения для прямоугольных волноводов, частично заполненных диэлектриком [3],
,
где – длина волны в свободном пространстве;
– диэлектрическая проницаемость диэлектрического материала.
Горловины рупоров 31, 32 соединены с делителем мощности 4, выходной фланец которого соединен с прямоугольным волноводом, связанным с приемопередающим трактом РЛС.
Поляризатор 5 выполнен в виде прямоугольной рамки, внутри которой под углом 45° к ее сторонам установлены металлические пластины, и размещен перед раскрывом сдвоенного рупорного СВЧ-облучателя 3. Линейные размеры поляризатора 5 превышают линейные размеры общего раскрыва сдвоенного рупорного СВЧ-облучателя 3 в Е- и Н- плоскостях на (0,03-0,032) и (0,2-0,24) соответственно.
Малогабаритная антенная система проходного типа работает следующим образом. В режиме передачи с выхода делителя мощности 4 (фиг.1) в первый 31 и второй 32 пирамидальные рупоры поступает волна Н10. В первом варианте изобретения для плоской проходной ФАР 1 с апертурой, имеющей форму вытянутого прямоугольника с узкой стороной в Е-плоскости, общая передняя боковая кромка 5 пирамидальных рупоров 31, 32 перпендикулярна Е-вектору поля и она не влияет на распространение волны. Амплитудное распределение поля (на фиг.2 показано пунктирными линиями) в СВЧ-облучателе 3 будет таким, как у рупора без внутренней перегородки, а фазовое распределение в каждом рупоре 31, 32 определяется размерами его раскрыва. Характерный вид суммарной ДН такого сдвоенного рупорного СВЧ-облучателя представлен на фиг.4а, 4б. В данном примере размер апертуры ФАР 1 в Е-плоскости составлял около 5 , а в Н-плоскости – примерно 11 . Видно, что в Н-плоскости ДН СВЧ-облучателя соответствует ДН одиночного рупора такого же размера, а в Е-плоскости соответствует ДН одиночного рупора длиной (15÷20) , и с раскрывом, равным раскрыву сдвоенного рупорного облучателя. При этом края раскрыва ФАР 1 облучаются требуемым уровнем мощности. Благодаря этому расстояние между плоскостью раскрыва ФАР 1 и плоскостью поляризатора 2 может составлять (10-15) , а длина пирамидальных рупоров 31, 32 – всего (3-3,5) , что в СВЧ-диапазоне существенно уменьшает габаритный размер антенной системы в осевом направлении.
Во втором варианте для ФАР 1 с прямоугольной апертурой, узкой в Н-плоскости, общая передняя боковая кромка 5 пирамидальных рупоров 31, 32 параллельна Е-вектору и электрическое поле на этой кромке обращается в 0. При этом без дополнительных мер ДН в плоскости Н будет иметь боковые лепестки порядка – 8 дБ. Покрытие же внутренних боковых стенок, параллельных Е-вектору, слоем диэлектрического материала 6 позволяет создать в рупорах 31, 32 в Н-плоскости трапециевидное распределение поля (на фиг.3 показано пунктирными линиями) и уменьшить боковые лепестки до уровня -12 дБ. Чем выше диэлектрическая проницаемость диэлектрического материала и, соответственно, меньше его толщина, тем форма распределения поля в рупоре ближе к прямоугольной, а суммарное распределение поля СВЧ-облучателя 3 в Н-плоскости ближе к равномерному. Аналогичные ДН сдвоенного рупорного СВЧ-облучателя 3 для ФАР 1, размер апертуры которой в Е-плоскости составлял примерно 11 , а в Н-плоскости – около 5 , представлены на фиг.5а, 5б. В этом случае ДН в Е-плоскости соответствует ДН одиночного рупора такого же размера, а в Н-плоскости – ДН одиночного рупора с равномерным распределением поля в раскрыве, длиной (15÷20) и с раскрывом, равным раскрыву сдвоенного рупорного облучателя. Это, как и в первом варианте, позволяет существенно уменьшить габаритный размер антенной системы в осевом направлении.
ЭМВ с линейной поляризацией и сферическим фронтом излучается сдвоенным пирамидальным СВЧ-облучателем 3 в направлении поляризатора 2, пройдя который, приобретает круговую поляризацию. Излучаемая ЭМВ падает на приемные излучатели антенных элементов проходной ФАР 1, распространяется в ферритовых стержнях, заключенных в металлизированном волноводе, проходит через фазовращатель, где с помощью обмоток набора фазы фазовращателя и установки фазы получает соответствующий фазовый сдвиг. При этом фазирование антенных элементов включает также соответствующую коррекцию на квазисферичность фазового фронта падающей волны. Через передающие излучатели антенных элементов СВЧ-энергия плоским фронтом излучается в пространство в заданном направлении. В режиме приема процесс протекает в обратном порядке. Приходящая из пространства плоская волна с круговой поляризацией попадает на теперь приемные излучатели, проходит через антенные элементы ФАР 1, где приобретает соответствующие фазовые сдвиги, в том числе коррекцию на квазисферичность фазового фронта излучаемой волны, и излучается излучателями в сторону поляризатора 2, с помощью которого ее круговая поляризация преобразуется в линейную, возбуждающую пирамидальные рупоры 31, 32 СВЧ-облучателя.
Использование группы изобретений позволяет строить простые по конструкции малогабаритные в осевом направлении антенные системы с плоскими прямоугольными проходными ФАР, узкими в одной плоскости поля и широкими в другой.
Источники информации
1. Патент RU 2245595, Н 01 Q 21/00, 2005.
2. Патент RU 30215 U1, Н 01 Р 1/16, Н 01 Q 21/00, 2003.
3. Егоров Ю.В. Частично заполненные прямоугольные волноводы. – М.: Сов. радио, 1967, стр.58.
Формула изобретения
1. Малогабаритная антенная система проходного типа, содержащая установленные соосно СВЧ-облучатель, поляризатор и проходную фазированную антенную решетку (ФАР), отличающаяся тем, что проходная ФАР, работающая на круговой поляризации поля, имеет прямоугольную форму в плане, причем размер апертуры ФАР в Е-плоскости существенно меньше размера апертуры в Н-плоскости, СВЧ-облучатель выполнен в виде сдвоенных пирамидальных рупоров, продольные оси которых параллельны, а их общая передняя боковая кромка перпендикулярна Е-вектору поля, поляризатор выполнен проходным пластинчатым и установлен перед общим раскрывом пирамидальных рупоров.
2. Малогабаритная антенная система проходного типа, содержащая установленные соосно СВЧ-облучатель, поляризатор и проходную фазированную антенную решетку (ФАР), отличающаяся тем, что проходная ФАР, работающая на круговой поляризации поля, имеет прямоугольную форму в плане, причем размер апертуры ФАР в Н-плоскости существенно меньше размера апертуры в Е-плоскости, СВЧ-облучатель выполнен в виде сдвоенных пирамидальных рупоров, продольные оси которых параллельны, а их общая передняя боковая кромка параллельна Е-вектору поля и на внутренние поверхности стенок рупоров, параллельных Е-вектору поля, нанесен слой диэлектрического материала, поляризатор выполнен проходным пластинчатым и установлен перед общим раскрывом пирамидальных рупоров.
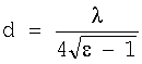
3. Малогабаритная антенная система по п.2, отличающаяся тем, что толщина d слоя диэлектрического материала определяется по формуле:
,
где – длина волны в свободном пространстве;
– диэлектрическая проницаемость диэлектрического материала.
РИСУНКИ
PD4A – Изменение наименования обладателя патента СССР или патента Российской Федерации на изобретение
(73) Новое наименование патентообладателя:
Открытое акционерное общество “Головное системное конструкторское бюро Концерна ПВО “Алмаз-Антей” имени академика А.А. Расплетина” (RU)
(73) Новое наименование патентообладателя:
Федеральное государственное учреждение “Федеральное агентство по правовой защите результатов интеллектуальной деятельности военного, специального и двойного назначения” при Министерстве юстиции Российской Федерации” (ФГУ “ФАПРИД”) (RU)
Адрес для переписки:
125190, Москва, Ленинградский пр-кт, 80, корп. 16, ОАО “ГСКБ” АЛМАЗ-АНТЕЙ”
Извещение опубликовано: 27.09.2008 БИ: 27/2008
|
|