Патент на изобретение №2157727
|
||||||||||||||||||||||||||
(54) КАТАЛИЗАТОР НА НОСИТЕЛЕ, СПОСОБ ПОЛУЧЕНИЯ КАТАЛИЗАТОРА И СПОСОБ ПОЛУЧЕНИЯ СОЛЕЙ КАРБОНОВЫХ КИСЛОТ
(57) Реферат: Описывается катализатор на носителе для получения солей карбоновых кислот, включающий металл на носителе. Он отличается тем, что содержит устойчивый к щелочам носитель, множество частиц закрепляющего металла, представляющего собой платину, палладий, рутений, золото или их смеси, диспергированных и частично внедренных в указанный носитель, при этом невнедренная часть указанных частиц имеет невнедренные поверхности и указанный закрепляющий металл на указанных поверхностях находится в элементарном состоянии, и покрытие из каталитически активного металла в элементарной форме, представляющего собой медь, кобальт, никель, кадмий или их смесь, которое связано и покрывает, по крайней мере, некоторые из невнедренных поверхностей указанных частиц закрепляющего металла, при этом указанное покрытие имеет наружную каталитически активную поверхность. Описывается способ получения катализатора и способ получения солей карбоновых кислот. Технический результат – получение более активного катализатора простым способом. 3 с. и 20 з.п. ф-лы, 2 ил., 3 табл. Настоящее изобретение относится к получению солей карбоновых кислот и, более конкретно, настоящее изобретение относится к способу получения солей карбоновых кислот реакцией первичных спиртов с гидроксилсодержащим основанием в присутствии нового катализатора. Изобретение также относится к получению катализатора и его композиций. Соли карбоновых кислот находят применение в различных областях. Соли могут быть нейтрализованы с получением соответствующих кислот, которые также используются в различных областях, например, в качестве материалов для получения фармацевтических препаратов, агрохимикатов, пестицидов и подобных соединений или их предшественников. Многие карбоновые кислоты являются коммерчески доступными в больших количествах. В патенте США 4782183 (Goto et al.) раскрыт способ производства солей аминокарбоновых кислот, который включает контактирование аминоспирта с гидроксидом щелочного металла в присутствии медного катализатора Ренея или в присутствии медного катализатора, нанесенного на оксид циркония. В патенте США 4910426 (Fields et al.) описан способ получения N-фосфонометилглицина окислением N-фосфонометилэтаноламина или его циклического внутреннего сложного эфира избытком водной щелочи и в присутствии медного катализатора, и с последующим нагреванием при температуре от 200 до 300oC. Полученную соль нейтрализуют кислотой с получением желаемого N-фосфонометилглицина. В патенте США 5292936 (Franczyk) описан улучшенный способ получения соли аминокарбоновой кислоты. В соответствии с этим способом водный раствор аминоспирта контактирует с гидроксидом щелочного металла в присутствии эффективного количества медного катализатора Ренея, который содержит от приблизительно 50 частей на миллион до примерно 10000 частей на миллион элемента, выбранного из группы, состоящей из хрома, титана, ниобия, тантала, циркония, ванадия, молибдена, марганца, вольфрама, кобальта, никеля и их смесей. Хотя с помощью способов предшествующего уровня техники достигаются удовлетворительные результаты по превращению спирта в карбоксилат с использованием медного катализатора или даже медного катализатора ренея, согласно учению настоящего изобретения теперь установлено, что новые катализаторы настоящего изобретения могут быть использованы для превращения спирта в соответствующую соль кислоты за более короткий промежуток времени, чем при использовании других медных катализаторов, включая медные катализаторы Ренея. При проведении таких реакций в промышленных масштабах это приводит к существенной экономии капиталовложений и стоимости операций. В статье “Зависимость селективности дегидрирования циклогексанола от метода приготовления катализаторов типа медь/ -окись алюминия” (Hsin-Fu chang et al. , Applied, Catalysis A: General 103, 1993, 233 – 242) описаны метод неэлектрического нанесения меди (химического меднения), метод осаждения и метод пропитки при получении семи катализаторов типа медь/ -окись алюминия. Изучено влияние метода получения на реакцию дегидрирования циклогексанола. Полученные результаты показывают, что активность дегидрирования повышается по мере увеличения содержания меди в катализаторе до определенного предела и затем уменьшается при дальнейшем увеличении содержания меди.
Сущность изобретенияНастоящее изобретение предлагает новый и полезный способ производства соли карбоновой кислоты, который включает контактирование первичного спирта в присутствии воды с сильным гидроксилсодержащим основанием, таким как гидроксид щелочного металла, гидроксид щелочноземельного металла, гидроксид тетраалкиламмония и т. д., в присутствии эффективного количества катализатора, суспендированного в воде. Катализатор содержит носитель, устойчивый к гидроксидам, от приблизительно 0,05 до примерно 10 мас.%, из расчета на общую массу катализатора, тонко измельченного закрепляющего (связывающего) металла, такого как благородный металл, нанесенный на или внедренный в носитель, от приблизительно 1 до примерно 50 мас.%, из расчета на общую массу катализатора, металла, выбранного из группы медь, кобальт, никель, кадмий и их смеси в элементарном состоянии, который неэлектролитически нанесен, по меньшей мере, на некоторые из частиц закрепляющего металла. Следует понимать, что используемый здесь термин “неэлектролитическое осаждение” означает химическое осаждение закрепляющего металлического покрытия на подходящую основу (субстрат) в отсутствие внешнего источника электрического тока. Настоящее изобретение относится также к катализатору, который может быть использован для получения солей карбоновых кислот и который содержит устойчивый к гидроксидам носитель, такой как уголь, предпочтительно активированный уголь, от приблизительно 0,05 до примерно 10 мас.%, из расчета на общую массу катализатора, закрепляющего металла в форме частиц, предпочтительно выбранного из группы металлов платины, палладия, рутения, золота и их смесей, нанесенного на или внедренного в носитель, и от приблизительно 1 до приблизительно 50 мас.%, из расчета на общую массу катализатора, элемента, выбранного из группы медь, кобальт, никель, кадмий и их смесей, на устойчивый к гидроксидам носитель, содержащий от приблизительно 0,05 до приблизительно 10 мас. %, закрепляющего металла, выбранного из группы платина, палладия, рутения, золота и их смесей. Кроме того, в соответствии с настоящим изобретением предлагается новый и полезный способ получения катализатора путем неэлектролитического осаждения элемента, выбранного из группы, включающей медь, кобальт, никель, кадмий и их смеси. Способ включает стадии смешения в воде источника растворимых в воде ионов указанного осаждаемого металла, приемлемого комплексообразующего агента и устойчивого к щелочи носителя, несущего внедренные частицы закрепляющего металла, а затем медленного добавления восстанавливающего агента к полученной смеси для восстановления указанных ионов до элементарного состояния, в результате чего образующийся при восстановлении металл неэлектролитически наносится, по меньшей мере, на некоторые невнедренные поверхности закрепляющего металла. Описание чертежей На фиг. 1 в значительно увеличенном масштабе представлено поперечное сечение нового катализатора настоящего изобретения. Номер позиции 1 показывает устойчивый к щелочам носитель, в который частично внедрены частицы закрепляющего металла 2. Невнедренная поверхность закрепляющего металла покрыта неэлектролитическим покрытием 3 каталитически активного неблагородного металла в элементарном состоянии. На фиг. 2 представлена одна частица закрепляющего металла 2, которая не имеет неэлектролитического покрытия. Частица неблагородного металла, которая прикреплена к носителю, но не нанесена на закрепляющий металл, имеет позицию 4. Детальное описание изобретения Первичные спирты, которые используются в качестве исходного материала в способе настоящего изобретения, могут представлять собой моногидроксильные или полигидроксильные алифатические, циклические или ароматические соединения, включая полиэфиргликоли, которые реагируют с сильным основанием с образованием карбоксилата. Необходимо, чтобы спирт и образующийся карбоксилат были стабильны в сильноосновном растворе и чтобы спирт был растворим в воде, по меньшей мере, частично. Приемлемые первичные одноатомные спирты включают алифатические спирты, которые могут иметь разветвленные, прямые цепочки, или циклические и ароматические спирты, такие как бензиловый спирт, и могут быть замещены различными стерически незатрудненными группами при условии, что замещающие группы не реагируют неблагоприятно с сильным основанием, устойчивым к гидроксиду носителем или катализатором при температурах и давлении, используемых при превращении спирта в кислоту. Подходящие алифатические спирты включают этанол, пропанол, бутанол, пентанол и т.д. Аминоспирты, представленные формулой ,где n принимает целые значения от 2 до 10 или более и m принимает значение, по меньшей мере, 1 и может достигать 50 или более, также могут быть использованы в качестве исходного сырья. Когда заместители R1 и R2 оба представляют собой атом водорода и n принимает значение 2, аминоспирт представляет собой моноэтаноламин. Когда один из заместителей R1 и R2 представляет собой -CH2CH2OH или -CH2COOH, а другой заместитель R представляет собой атом водорода и принимает значение 2, получаемый из аминоспирта продукт представляет собой иминодиацетатную соль. Если оба заместителя R1 и R2 представляют собой -CH2CH2OH или -CH2COOH, получаемым из аминоспирта продуктом может быть нитрилотриацетатная соль. Конкретные аминоспирты включают, например, моноэтаноламин, диэтаноламин, триэтаноламин, N-метилэтаноламин, N-этилэтаноламин, N-изопропилэтаноламин, N-бутилэтаноламин, N-нонилэтаноламин, N-(2-аминоэтил) этаноламин, N-(3-аминопропил) этаноламин, N,N-диметилэтаноламин, N,N-диэтилэтаноламин, N,N-дибутилэтаноламин, N-метилдиэтаноламин, N-этилдиэтаноламин, N-пропилдиэтаноламин, N-бутилдиэтаноламин, N-метил-N-(3-аминопропил)этаноламин и 3-аминопропанол. В приведенной выше формуле заместитель R1 и/или R2 также могут представлять собой алкильную группу с числом атомов углерода от 1 до 6, например метил, этил, пропил, изопропил, бутил, изобутил и им подобные. Путем осуществления настоящего изобретения получают соответствующие соли аминокислот с такими алкильными группами, которые находят применение в различных областях. Заместители R1 или R2 также могут представлять собой фосфонометильную группу, такую, что исходная аминокислота может быть N-фосфонометилэтаноламином, а получаемая соль аминокислоты может быть солью N-фосфонометилглицина. Если один из заместителей R1 или R2 представляет собой фосфонометил, а другой является -CH2CH2OH, то получаемая соль аминокислоты представляет собой соль N-фосфонометилиминодиуксусной кислоты, которая может быть превращена в N-фосфонометилглицин с помощью ряда методов, известных специалистам в этой области. Если один из заместителей R1 или R2 представляет собой фосфонометил, а другой представляет низшую алкильную группу, то получаемой солью аминокислоты будет N-алкил-N-фосфонометилглицинат, который может быть превращен в N-фосфонометилглицин с помощью способа, описанного в патенте США 5068404 (Miller and Balthazor). Другим аспектом настоящего изобретения является применение катализатора настоящего изобретения, где аминоспирт, который дегидрируют до соответствующей соли карбоновой кислоты, представляет собой соединение, имеющее формулу ,где заместитель R1 представляет собой C4-C7 арил, предпочтительно фенил или замещенный фенил, и получаемая соль карбоновой кислоты представляет собой соль щелочного металла N-фосфонометилглицина. Количество катализатора, которое может быть использовано для превращения спирта в соответствующую кислоту, может изменяться от приблизительно 1 мас.% до приблизительно 70 мас.%, предпочтительно от 1 до 40 мас.%, из расчета на количество исходного спирта. Как было найдено, катализатор настоящего изобретения может, как правило, быть использован повторно в реакции большее количество раз, чем обычный медный катализатор Ренея. Гидроксилсодержащие основания, приемлемые для использования в способе настоящего изобретения, включают гидроксиды щелочноземельных металлов, такие как гидроксид магния, гидроксид кальция, гидроксид бария и им подобные. Гидроксилсодержащим основанием также может быть тетраалкиламмонийгидроксид, имеющий в каждой алкильной группе до и включая атомов углерода, такие как тетраметиламмонийгидроксид, диметилдипропиламмонийгидроксил, трибутилэтиламмонийгидроксид и им подобные, или другие сильные органические основания, такие как гуанидин и аминогуанидин. Однако предпочтительными являются гидроксиды щелочных металлов. Приемлемые для использования в способе настоящего изобретения гидроксиды щелочных металлов включают гидроксид лития, гидроксид натрия, гидроксид калия, гидроксид рубидия и гидроксил цезия. Благодаря своей доступности и простоте в обращении, предпочтительными являются гидроксид натрия и гидроксид калия; гидроксид натрия является наиболее предпочтительным. Количество гидроксилсодержащего основания, которое необходимо использовать, находится в интервале от 1,0 до 2,0 эквивалентов по отношению к гидроксильным группам используемого в реакции спирта, что определяется после нейтрализации любых кислотных функциональных групп и/или гидролиза любых эфирных функциональных групп исходного аминоспирта. Гидроксид может быть в форме чешуек, порошка, гранул или в виде водного раствора. В способе настоящего изобретения необходимо только обеспечить контакт спирта с гидроксидом щелочного металла в реакционном сосуде в присутствии катализатора настоящего изобретения при температуре в интервале от приблизительно 70oC до 250oC, предпочтительно в интервале от приблизительно 100oC до приблизительно 190oC и наиболее предпочтительно в интервале от приблизительно 140oC до 180oC. При температуре выше приблизительно 220oC катализатор, как правило, начинает терять свою селективность. При температуре ниже приблизительно 50oC удовлетворительные результаты могут быть получены, однако реакция идет неприемлемо медленно. В общем случае, реакция полиэфиргликолей с получением соответствующих солей карбоновых кислот требует более высоких температур. Для достижения требуемой скорости при указанных выше температурах обычно, но не всегда, необходимо избыточное по сравнению с атмосферным давление. Однако желательно, чтобы реакционное давление было как можно ниже, чтобы обеспечить достаточно высокую скорость реакции. Вообще, необходимо превышение минимального давления, при котором реакция протекает в жидкой фазе, предпочтительно в интервале между приблизительно 1,96 х 105 Па и приблизительно 2,94 х 106 Па, предпочтительно в интервале между приблизительно 4,90 х 105 Па и приблизительно 1,96 х 106 Па. Превращение спирта в соль соответствующей кислоты протекает с высвобождением водорода, который осторожно стравливают из находящегося под давлением реакционного сосуда. За счет стравливания можно контролировать скорость и полноту реакции. Как хорошо известно в данной области, нанесение металла неэлектрическим путем приводит к отсутствию внешнеприкладываемого электрического тока путем использования водной ванны для металлизации или водного раствора для осаждения растворимой в воде соли металла, который должен быть осажден. Предпочтительным металлом является медь, которая присутствует в ванне для металлизации в виде водорастворимой соли, такой как сульфат меди (медный купорос) и др. Другие обычные ингредиенты в ванне для металлизации включают восстанавливающий агент, гидроксид щелочного металла, комплексообразующий или хелатообразующий агент и необязательно другие рецептурные добавки, такие как стабилизаторы, поверхностно-активные вещества, осветляющие и смачивающие агенты и т.д. Выбор конкретной композиции для ванны для металлизации определяется рядом факторов, которые хорошо известны в данной области. Предпочтительным восстанавливающим агентом для осаждения меди является формальдегид или другое вещество, которое может быть восстановлено до иона XCOO–, где X представляет собой атом водорода в случае формальдегида и CH3 в случае ацетальдегида. Для неэлектролитического восстановления никеля приемлемые восстанавливающие агенты включают, например, гипофосфит натрия, боргидрид натрия, диметиламино-боран (DMAB) и гидразин. Приемлемые хелатообразующие агенты или комплексообразующие агенты включают тартраты (сегнетова соль), этилендиаминтетрауксусную кислоту (ЕДТА), N-гидроксиэтилэтилендиаминтриуксусную кислоту (HEEДTA), нитрилотриуксусную кислоту (NTA), N,N,N’,N’-тетракис(2-гидроксипропил)этилендиамин (Квадрол хелант; Quadrol chelant) или другие вещества для обеспечения поддержания приемлемой растворимости иона металла в неэлектролитической металлической ванне. Частицы закрепляющего (связывающего) металла, которые должны быть покрыты, внедрены в поверхность устойчивого к щелочам носителя с образованием основы (субстрата). Предпочтительными являются мелкоизмельченные частицы платины, внедренные в угольный носитель. Основа контактирует при выбранных условиях (давление, температура, время) для лучшего осаждения хелатного металла на закрепляющий металл и иногда в виде свободно находящихся частиц металла, прикрепленных к основе. Приемлемые температуры находятся в интервале от температуры замерзания раствора для осаждения до температуры кипения. Толщина металлического покрытия выбирается таким образом, чтобы получить каталитическую поверхность. Обычно толщина основного металлического покрытия на покрытых частицах закрепляющего металла составляет от приблизительно 0,3 до 500 нм, предпочтительно от 1 до 5 нм. В ванне для неэлектролитической металлизации также могут быть использованы поверхностно-активные вещества (ПАВ). Приемлемыми ПАВ являются вещества, которые могут понижать поверхностное натяжение жидкости или межфазное натяжение жидкости или межфазное натяжение между жидкостью и твердым веществом. Такие вещества обычно имеют общий признак водорастворимого (гидрофильного) фрагмента, присоединенного к органическому (гидрофобному) фрагменту, и включают детергенты и эмульгаторы. Устойчивые к гидроксидам носители катализатора необходимы, так как реакцию превращения спирта в соль соответствующей кислоты проводят в сильнощелочном растворе. Приемлемые носители включают оксид титана, оксид циркония и уголь. Предпочтительным является уголь, и наиболее предпочтителен активированный уголь. Закрепляющий металл в виде частиц, осажденный на устойчивый к гидроксиду носитель, может быть благородным металлом. Под благородными металлами подразумевают золото, платину, палладий, рутений или их смеси. Из них предпочтительной является платина. Количество закрепляющего металла, осаждаемого на устойчивый к гидроксиду носитель, может меняться от приблизительно 0,05 до приблизительно 10 мас. % из расчета на общую массу катализатора. Когда на устойчивый к гидроксиду носитель осаждается менее чем приблизительно 0,05 мас.% закрепляющего металла, то этого количества закрепляющего металла недостаточно для того, чтобы в сочетании с медью, кобальтом, никелем и/или кадмием обеспечить удовлетворительную каталитическую активность для многих реакций. С другой стороны, при осаждении на носитель более чем приблизительно 10 мас. % закрепляющего металла из расчета на общую массу катализатора размер кристаллитов наносимого металла имеет тенденцию увеличиваться. Больший размер кристаллов наносимого элементарного металла иногда приводит к пониженной каталитической активности. Предпочтительно использовать от приблизительно 0,1 до приблизительно 5 мас. % закрепляющего металла из расчета на общую массу катализатора. Приемлемые устойчивые к гидроксидам носители, содержащие необходимое количество закрепляющего металла, могут быть коммерчески получены. Катализатор настоящего изобретения получают путем осаждения от приблизительно 1 до приблизительно 50 мас.% (из расчета на общую массу катализатора) элемента, выбранного из группы, состоящей из меди, кобальта, никеля, кадмия и их смеси, на устойчивый к гидроксидам носитель, содержащий от приблизительно 0,05 до приблизительно 10 мас.% закрепляющего металла, предпочтительно выбранного из группы, состоящей из платины, палладия, рутения, золота и их смесей. Количество осаждаемого элемента (то есть меди, кобальта, никеля и/или кадмия) должно быть достаточным для того, чтобы покрыть, по меньшей мере, некоторое количество внедренных частиц. Серебро может быть осаждено на закрепляющий металл, когда закрепляющий металл не является серебром. Кроме покрытых частиц может присутствовать, по меньшей мере, некоторое количество частиц осаждаемого металла, внедренных в поверхность носителя, но не прикрепленных к закрепляющему металлу. Для измерения относительной концентрации осажденных поверхностных атомов в катализаторе используют метод рентгенофотоэлектронной спектроскопии (РЭС). С помощью этого метода установлено, что предпочтительно в катализаторах настоящего изобретения поверхностное атомное отношение (измеренное РЭС) осажденного металла на закрепляющий металл составляет более чем 2,0, более предпочтительно поверхностное атомное отношение (измеренное РЭС) выше, чем соответствующее объемное атомное отношение. Для осаждения закрепляющего металла на устойчивую к щелочи основу и осаждения меди, кобальта, никеля и/или кадмия на закрепляющий металл могут быть использованы любые методики. Предпочтительно, однако, использовать метод неэлектролитического осаждения металла. Названный выше метод неэлектролитического осаждения металла относится к химическому осаждению наносимого металлического покрытия на подходящую основу (субстрат) в отсутствие внешнеприкладываемого источника электрического тока. Независимо от способа осаждения закрепляющего металла на основу, размер частиц закрепляющего металла является важным параметром, так как размер частиц оказывает влияние на размер осаждаемых кристаллов меди, кобальта, никеля и/или кадмия. Средний размер кристаллитов меди, кобальта, никеля, кадмия или их смесей должен быть меньше, чем приблизительно 500 и в случае меди предпочтительно, чтобы средний размер кристаллитов составлял менее приблизительно 300 . Не основываясь на какой-либо конкретной теории, заявители предполагают, что однородное распределение закрепляющего металла является наилучшим с точки зрения достижения высоких выходов в реакции, но не является необходимым для достижения высоких скоростей реакции. Кроме того, вероятно, что большое значение имеет наличие небольших, хорошо измельченных, высокодиспергированных частиц закрепляющего металла.
На практике основу, содержащую закрепляющий металл, добавляют в и суспендируют в воде. Затем готовят раствор для металлизации, например раствор для нанесения медного покрытия, путем смешения раствора для металлизации в соответствующих соотношениях, пока суспензию основы и воды осторожно перемешивают при температуре от приблизительно 0 до 30oC или выше в открытом сосуде. Раствор для металлизации, содержащий комплексообразующий агент и восстанавливающий агент, добавляют к суспензии небольшими порциями, проверяя pH после каждого добавления. Через определенный промежуток времени к суспензии медленно добавляют следующую порцию. Количество добавляемого раствора для металлизации зависит от желаемой величины массовых процентов каталитического элемента на закрепляющем металле катализатора. По окончании осаждения каталитического элемента получают практически бесцветный фильтрат.
Полученный водный раствор в одном из вариантов осуществления настоящего изобретения содержит следующие активные ингредиенты:сульфат меди – 4,0 г/л формальдегид – 6,0 г/л гидроксид натрия – 9,0 г/л избыточный хелант EДTA – 0,06 молярный Затем полученный катализатор отфильтровывают и промывают дистиллированной водой. Фильтрование лучше всего проводить в инертной атмосфере, такой как слой азота, для того, чтобы исключить воздействие воздуха на катализатор. При промывке катализатора удаляются непрореагировавшие компоненты, такие как примеси, присутствующие в количествах, исчисляемых в частях на миллион, и непрореагировавший восстанавливающий агент, такой как формальдегид. Установлено, что от приблизительно 0,5 до 1,5 мас.% щелочного металла обычно остается на катализаторе, что обычно не оказывает отрицательного влияния. Катализатор необходимо хранить таким образом, чтобы исключить воздействие на него кислорода, предпочтительно хранить его под слоем воды. Изобретение также иллюстрируется примерами, которые однако не ограничивают его. Как указывалось выше, предпочтительный способ получения катализатора настоящего изобретения включает стадии первичного перемешивания или смешения в воде источника растворимых в воде ионов металла, таких как ионы меди, подходящего комплексообразующего агента и устойчивого к щелочам носителя, несущего внедренные частицы закрепляющего металла, а затем медленного добавления к перемешиваемой смеси, например, путем добавления по каплям, восстанавливающего агента, такого как формальдегид, гидразин или подобные соединения. Ионы металла восстанавливаются до элементарного состояния, и металл, получаемый при восстановлении, неэлектролитически осаждается на, по меньшей мере, части невнедренной поверхности закрепляющего металла. Некоторая часть восстановленного металла может быть осаждена в виде отдельных частиц металла на носитель, не осаждаясь на закрепляющий металл. Пример 1 Этот пример иллюстрирует получение катализатора настоящего изобретения. В однолитровый стеклянный стакан, содержащий стержень магнитной мешалки длиной 5 см, покрытый тефлоновым полимером, на магнитной перемешивающей пластине, добавляют 169 мл дистиллированной воды и платину (5 мас.%) на активированном угле в виде порошка (oт фирмы Degussa Corporation of Ridgefield Park, NJ), что соответствует 13,37 г из расчета на сухой вес. В отдельном однолитровом стакане готовят раствор для нанесения медного покрытия путем добавления при перемешивании в указанном порядке следующих компонентов, большинство из которых получено от фирмы MacDermid, Inc. of Waterbury, CT: (1) 687 мл деионизированной воды (2) 90 мл МАС u Рleх Urtra Dep 1000 B* (3) 54 мл МАС u Рlex Urtra Dep 1000 A* (4) 18 мл МАС u Рlex Urtra Dep 1000 D* (5) 5 мл 37% мас/мас. формальдегида * запатентованные продукты фирмы MACDermid ОБЩИЙ ОБЪЕМ 854 мл В соответствии с описанием продуктов фирмы MacDermid для продукта с кодом N 17970 полученный водный раствор содержит следующие активные ингредиенты: сульфат меди – 4,0 г/л формальдегид – 6,0 г/л гидроксид натрия – 9,0 г/л избыточный хелант EДTA – 0,06 молярный Полученный раствор для нанесения покрытия фильтруют и затем добавляют к перемешиваемой суспензии 5% платины на активированном угле при температуре 40oC, добавляя порциями по 122 мл через каждые 3 минуты. Ведут контроль pH для проверки степени протекания реакции. Когда выделение газа становится слишком энергичным, увеличивают время между добавлениями. После завершения добавления раствора для нанесения покрытия катализатор отфильтровывают с использованием вакуумной колбы объемом 4 литра, фильтрующей воронки из крупного стекла объемом 350 мл и стеклянного колпака над воронкой, продуваемого азотом. После фильтрования твердое вещество промывают тремя-четырьмя порциями по 250 мл деионизированной воды. Сухой вес катализатора, полученного по этому способу, составляет 18,4 грамма. Микроанализ катализатора показывает, что элементный состав соответствует 13,4 мас.% меди и 3,4 мас.% платины из расчета на общую массу катализатора. Средний размер кристаллов меди, определенный по уширению линий дифракции рентгеновских лучей, составляет 157 .
Пример 2Этот пример иллюстрирует другой способ приготовления катализатора настоящего изобретения. В двухлитровый стеклянный стакан, содержащий стержень магнитной мешалки длиной 2,5 см, покрытый тефлоновым полимером на магнитной перемешивающей пластине, добавляют дистиллированную воду (190 мл), а затем платину (5 мас. %) на активированном угле (от фирмы Degussa Corporation), что соответствует 16,42 г (сухой вес). Водный раствор для нанесения медного покрытия готовят в 4-литровом стакане добавлением при перемешивании следующих компонентов: (1) 500 мл деионизированной воды (2) NaKC4H4O6 4H2O (тартрат) [29,99 г, 0,106 моля], перемешивают до растворения(3) В отдельном стакане растворяют 11,79 грамма CuSO4 5H2O (3 грамма Cu), (0,047 моля) в 400 мл деионизированной воды.
(4) Добавляют медный раствор (3) к полученному раствору тартрата (2)(5) Добавляют 13,60 г 50%-ного (мас.) NaOH (0,17 моля) (6) 11,35 мл 37%-ного (мас.) формальдегида (0,15 моля) ОБЩИЙ ОБЪЕМ 1125 мл Полученный раствор для нанесения металлического покрытия добавляют к суспензии платины (6 мас.%) на угле примерно в 12 порций по 79 мл, порции добавляют отдельно каждые 2,5 минуты. Измеряют pH для проверки степени протекания реакции и для разделения добавления порций во времени, если выделение газа из раствора становится слишком интенсивным. После добавления раствора для металлизации к суспензии катализатор отфильтровывают как и в примере 1. Сухой вес полученного катализатора составляет 20,03 г. Анализируют состав. Найдено, что содержание меди составляет 14,5%, платины 3,8% из расчета на общую массу катализатора. Средний размер кристаллов меди составляет 119 .
Пример 3Повторяют пример 2, за исключением того, что компоненты от (1) до (5) смешивают вместе с платиной на угольной основе и после этого к полученной смеси в течение 30 минут добавляют по каплям формальдегид. В результате получают улучшенное осаждение меди на платину по сравнению с композицией катализатора, полученной по способу примера 2, Катализатор оценивают при проведении превращения диэтаноламина в соль соответствующей кислоты. Показано, что в данной реакции выход соли соответствующей кислоты составляет более 95%. Пример 4 Этот пример иллюстрирует превращение диэтаноламина в динатриевую соль иминодиуксусной кислоты (DSIDA) с использованием катализатора примера 1. В автоклав объемом 300 мл, снабженный мешалкой и 0,5-микронным фильтром, установленным у дна автоклава, в атмосфере аргона загружают 15 г катализатора примера 1, 50%-ный раствор гидроксида натрия (61,5 г, 0,77 моля), водный раствор диэтаноламина (78,9 мас.%, 0,36 моля) и дистиллированную воду (47,5 г). Автоклав быстро нагревают до требуемой температуры, поддерживая давление 1,03 106 Па, при перемешивании со скоростью около 800 оборотов в минуту. Контроль за ходом реакции осуществляют по выделению из реакционной смеси газообразного водорода. После завершения реакции автоклав охлаждают до комнатной температуры. Полученную реакционную смесь выгружают через дно автоклава через фильтр и собирают. Затем в автоклав добавляют дистиллированную воду и катализатор перемешивают с водой, которую затем также сливают через дно автоклава. Используют приблизительно от 100 мл до 200 мл воды. В автоклав в атмосфере азота снова загружают реагенты (за исключением катализатора) и повторяют описанную выше методику. Результаты девяти циклов приведены в таблице 1.
Пример 5Этот пример иллюстрирует превращение диэтаноламина в динатриевую соль иминодиуксусной кислоты с использованием катализатора примера 2. Повторяют методику примера 4 за исключением того, что вместо катализатора примера 1 используют катализатор примера 2. Результаты приведены в таблице 2. Пример 6 Этот пример иллюстрирует получение другого катализатора настоящего изобретения и его использование. В 4-литровый стеклянный стакан, содержащий стержень магнитной мешалки длиной 5 см, покрытый тефлоновым полимером, и установленный на магнитной перемешивающей пластине, добавляют дистиллированную воду (471 мл) и влажный палладий (3 мас.%) на активированном угле, что соответствует 40,5 г 3 мас.% палладия на активированном угле из расчета на сухой вес. В отдельном 4-литровом стакане готовят раствор для нанесения медного покрытия добавлением при перемешивании следующих компонентов в указанном порядке: (1) 1918,6 мл деионизированной воды (2) 251,2 мл MAC u Plex Urtra Dep 1000 B (3) 150,73 мл MAC u Plex Urtra Dep 1000 A (4) 50,24 мл MAC u Plex Urtra Dep 1000 D (5) 13,96 мл 37%-ного (мас.) формальдегида ОБЩИЙ ОБЪЕМ 2384,8 мл Этот раствор для металлизации добавляют к суспензии 3%-ного (мас.) палладия на активированном угле, полученном от фирмы Engelhard Corporation of Iselin, NJ, добавляя порциями по 200 мл через каждые 2,5 минуты. Степень протекания реакции контролируют измерением pH. Когда выделение газа становится слишком интенсивным, время между добавлением порций увеличивают. После добавления раствора для нанесения металлического покрытия катализатор отфильтровывают с использованием 4-литровой вакуумной колбы, фильтрующей воронки из пористого стекла на 500 мл и стеклянного колпака над верхом воронки, продуваемом азотом. После фильтрования твердый материал промывают тремя-четырьмя порциями деионизированной воды по 250 мл. Сухой вес катализатора, полученного по этому способу, составляет 54,27 г и микроанализ катализатора показывает, что элементный состав соответствует 13,5 мас.% меди и 2,1 мас. % палладия из расчета на общую массу катализатора. Средний размер кристаллов меди, определенный по уширению линий дифракции рентгеновских лучей, составляет 127 .
Повторяют способ примера 5 за исключением того, что используют вышеуказанный катализатор. Результаты приведены в таблице 3.
Пример 7Этот пример иллюстрирует использование катализатора настоящего изобретения для превращения N-(2-гидроксиэтил)аминометилфосфоновой кислоты в N-фосфонометилглицин. В никелевый автоклав объемом 300 мл, снабженный мешалкой, загружают смесь N-(2-гидроксиэтил) аминометилфосфоновой кислоты (12,0 г, 0,077 моля), воды (120 г), 50%-ного (мас.) гидроксида натрия (21,7 г, 0,271 моля) и 12,5 г катализатора примера 2. Автоклав герметично закрывают, нагревают до 150oC при давлении 9,32 105 Па и перемешивают жидкую фазу в автоклаве до тех пор, пока выделение водорода практически не прекратится. Выход N-фосфонометилглицина в виде его натриевой соли составляет 94 мас.%.
Пример 8Этот пример иллюстрирует превращение 2-оксо-3-оксазолидинилметилфосфоновой кислоты в N-фосфонометилглицин в виде соли с использованием катализатора настоящего изобретения. Повторяют способ примера 7 за исключением того, что вместо N-(2-гидроксиэтил)аминометилфосфоновой кислоты используют N-фосфонометил-2-оксазолидон, полученный по способу, описанному в патенте США 4547324. После прекращения выделения водорода выход N-фосфонометилглицина составляет 86 мас.%, что определено с помощью высокоэффективной жидкостной хроматографии (ВЭЖХ). Пример 9 Этот пример иллюстрирует использование медного катализатора примера 2 для превращения 3-аминопропанола в 3-аминопропионат натрия. Смесь, состоящую из 3-аминопропанола (49,8 г, 0,66 моля), суспензии 12 г катализатора примера 2 в 50 г воды, 50%-ного (мас.) NaOH (57 г, 0,7 моля) и 25 г деионизированной воды, загружают в никелевый реактор Парра объемом 300 мл, снабженный мешалкой, газорегулятором для поддержания постоянного обратного давления в реакторе и индикатором Портера (Porter) массы потока водорода, соединенный с компьютером 1BM. Нагреванием до 160oC вызывают быстрое выделение водорода, и после его прекращения результаты анализа отфильтрованной полученной смеси методом ЯМР соответствуют соотношению 85 : 153-аминопропионата натрия и пропионата натрия соответственно. Пример 10 Этот пример иллюстрирует использование катализатора настоящего изобретения для превращения ароматического спирта в соль соответствующей кислоты. Смесь, содержащую бензиловый спирт (62,6 г, 0,58 моля), суспензию 12 г катализатора примера 2 в 50 г воды, 50%-ного (мас.) NaOH (50,3 г, 0,63 моля) и 24 г деионизированной воды, загружают в реактор, описанный в примере 7. Нагревание до 160oC приводит к выделению водорода. Через 30 минут температуру поднимают до 170oC для ускорения конверсии. После прекращения выделения водорода отфильтрованную реакционную смесь анализируют методом ЯМР. Полученные спектры 1H и 13С ЯМР продукта согласуются со спектрами бензоата натрия. Аликвоту полученной смеси подкисляют НС1 и перекристаллизовывают из воды, получают белые пластинки: т.пл. 121-122oC (лит. т.пл. 122,4oC). Пример 11 Этот пример иллюстрирует использование катализатора настоящего изобретения для превращения полиола в соответствующую кислоту. В автоклав примера 7 загружают этиленгликоль (30,3 г, 0,49 моля), 12 г катализатора примера 2 в 50 г воды, 50%-ный (мас.) NaOH (39,77 г, 0,497 моля) и 70 г деионизироваиной воды. Смесь нагревают до 160oC, при этом наблюдается быстрое выделение водорода. После прекращения выделения водорода анализ отфильтрованной реакционной смеси методом ВЭЖХ указывает, что выход составляет 95 вес.%, в которые входит примерно 90 мол.% гликолята натрия и 10 мол.% оксалата натрия. Пример 12 Этот пример иллюстрирует превращение коричного спирта в соответствующую кислоту. В никелевый автоклав объемом 300 мл загружают коричный спирт (50,0 г, 0,37 моля), гидроксид натрия (34,6 г, 0,43 моля), катализатор примера 2 (12,8 г катализатора, суспендированного в 48,6 г воды) и воду (75 г). Автоклав герметично закрывают и продувают азотом. Автоклав нагревают при давлении 1,0 106 Па до 170oC. После прекращения выделения водорода продукт реакции отфильтровывают и основный фильтрат экстрагируют диэтиловым эфиром. Водную фазу подкисляют и экстрагируют эфиром. Кислый и основный экстракты упаривают и анализируют. Получают 3-фенилпропионат натрия (69 мол.%), 3-фенилпропанол (25 мол.%) и бензоат натрия (8 мол.%).
Пример 13Этот пример иллюстрирует превращение политетрагидрофурана (ПТГФ) в соль соответствующей кислоты. Используемый в этом примере политетрагидрофуран представляет собой линейный цепочечный полимер формулы H(OCH2CH2CH2CH2)n OH со средним молекулярным весом приблизительно 250. В автоклав объемом 300 мл загружают 15 г катализатора, полученного в соответствии с примером 2, 35,0 г 50%-ного (мас.) гидроксида натрия, 37,8 г политетрагидрофурана и 61 г деионизированной воды. Содержимое автоклава быстро нагревают до температуры между 160-170oC, поддерживая давление 1,03 106 Па. Смесь перемешивают со скоростью 800 оборотов в минуту. После прекращения выделения водорода продукт реакции охлаждают до 95oC и извлекают из автоклава. Автоклав промывают приблизительно 150 мл дистиллированной воды. Фильтрат и промывочную воду объединяют и анализируют на содержание двухосновной кислоты. Конверсия диолового полимера в соль соответствующей двухосновной кислоты является по существу количественной.
Пример 14Повторяют пример 13 за исключением того, что вместо политетрагидрофурана используют полиэтиленгликоль, имеющий средний молекулярный вес приблизительно 200. Практически 100% диола превращается в динатриевую соль соответствующей двухосновной кислоты, имеющую химическую формулу NaOOCCH2-(OCH2CH2)x -OCH2COONa. Пример 15 В этом примере осуществляют превращение N-бензил-N- фосфонометиламиноэтанола в соответствующую соль щелочного металла N-фосфонометилглицина. Повторяют пример 13 за исключением того, что вместо ПТГФ используют 35 г N-бензил-N-фосфонометиламиноэтанола. Получают N-фосфонометилглицин с выходом более 95%. Несмотря на то, что изобретение было описано с помощью конкретных вариантов осуществления, которые приведены выше, следует понимать, что это сделано только с целью иллюстрации, так как из приведенного описания другие варианты и рабочие методики очевидны для квалифицированного в данной области специалиста. Например, медный катализатор настоящего изобретения может быть использован для любого числа других реакций, отличных от превращения спирта в кислоту, например реакций гидрирования и дегидрирования, которые являются общими для медных катализаторов. Кроме того, неэлектролитически покрытые катализаторы настоящего изобретения, которые представляют собой никель, кобальт, кадмий или их смеси, объединенные с закрепляющим металлом, могут использоваться для катализа тех реакций, в которых такие металлы обычно используются в качестве катализатора. Таким образом, могут быть сделаны изменения без отступления от сущности описанного изобретения. Формула изобретения
.
3. Катализатор по п.1, отличающийся тем, что он содержит носитель, представляющий собой оксид титана, оксид циркония или углерод.
4. Катализатор по п.1, отличающийся тем, что частицы непокрытого закрепляющего металла также внедрены в носитель.
5. Катализатор по п.1, отличающийся тем, что он содержит закрепляющий металл в количестве от 0,05 до 10 мас.% катализатора.
6. Катализатор по п.1, отличающийся тем, что он представляет собой каталитически активный порошок.
7. Катализатор по п.1, отличающийся тем, что он содержит покрывающий металл в количестве от 1 до 50 мас.% катализатора.
8. Катализатор по п.1, отличающийся тем, что он содержит отдельные частицы меди, также внедренные в носитель.
9. Способ получения солей карбоновых кислот путем взаимодействия первичного спирта с гидроксилсодержащим основанием в присутствии катализатора, отличающийся тем, что используют каталитическое количество катализатора на носителе по любому из пп.1 – 8.
10. Способ по п.9, отличающийся тем, что гидроксилсодержащее основание представляет собой гидроксид натрия или калия.
11. Способ по п.9, отличающийся тем, что первичный спирт представляет собой первичный аминоспирт.
12. Способ по п.9, отличающийся тем, что используют катализатор на углероде.
13. Способ по п.11, отличающийся тем, что аминоспирт представляет собой мноэтаноламин, диэтаноламин, триэтаноламин, N-метилэтаноламин, N-этилэтаноламин, N-изопропилэтаноламин, N-бутилэтаноламин, N-нонилэтаноламин, N-(2-аминоэтил)этаноламин, N-(3-аминопропил)этаноламин, N,N-диметилэтаноламин, N, N-диэтилэтаноламин, N,N-дибутилэтаноламин, N-метилдиэтаноламин, N-этилдиэтаноламин, N-пропилдиэтаноламин, N-бутилдиэтаноламин, N-метил-N-(3-аминопропил)этаноламин или 3-аминопропанол.
14. Способ по п.13, отличающийся тем, что аминоспирт представляет собой диэтаноламин и получаемая соль карбоновой кислоты представляет собой двойную соль щелочного металла иминодиуксусуной кислоты.
15. Способ по п.14, отличающийся тем, что щелочной металл представляет собой натрий или калий.
16. Способ по п.14, отличающийся тем, что аминоспирт представляет собой моноэтаноламин.
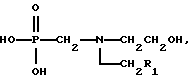
17. Способ по п.11, отличающийся тем, что аминоспирт представляет собой соединение формулы![]() где заместитель R1 представляет собой C4-C7 арил, и получаемая соль карбоновой кислоты представляет собой соль щелочного металла N-фосфонометилглицина. 18. Способ по п.17, отличающийся тем, что заместитель R1 представляет собой фенил. 19. Способ по п.11, отличающийся тем, что аминоспирт представляет собой N-(2-гидроксиэтил)аминометилфосфоновую кислоту и получаемая соль карбоновой кислоты представляет собой соль щелочного металла N-фосфонометилглицина. 20. Способ по п.11, отличающийся тем, что аминоспирт представляет собой 2-оксо-3-оксазолидинилметилфосфоновую кислоту и получаемая соль карбоновой кислоты представляет собой соль щелочного металла N-фосфонометилглицина. 21. Способ получения катализатора по пп.1 – 8, заключающийся в неэлектролитическом нанесении меди, кобальта, никеля, кадмия или их смеси в элементарном состоянии на закрепляющий металл – платину, палладий, рутений, золото или их смесь путем смешения источника осаждаемых ионов, комплексообразующего агента и устойчивого к щелочам носителя с внедренными частицами закрепляющего металла в присутствии воды и последующего медленного добавления восстановителя к полученной смеси для восстановления осаждаемых ионов до металла. 22. Способ по п.21, заключающийся в том, что осаждаемые ионы представляют собой медь и в качестве источника ионов меди используют сульфат меди. 23. Способ по пп.21 и 22, заключающийся в том, что используют комплексообразующий агент, представляющий собой тартрат, ЕДТА, НЕЕТА, NТА или их смеси. Приоритет по пунктам: 01.07.94 по пп.1-3, 5-7, 9-15, 19-23; 20.03.95 по пп.4, 8, 16-18. РИСУНКИ
MM4A Досрочное прекращение действия патента Российской Федерации на изобретение из-за неуплаты в установленный срок пошлины за поддержание патента в силе
Дата прекращения действия патента: 27.05.2003
Извещение опубликовано: 20.11.2004 БИ: 32/2004
|
||||||||||||||||||||||||||

-окись алюминия” (Hsin-Fu chang et al. , Applied, Catalysis A: General 103, 1993, 233 – 242) описаны метод неэлектрического нанесения меди (химического меднения), метод осаждения и метод пропитки при получении семи катализаторов типа медь/
,
,
и в случае меди предпочтительно, чтобы средний размер кристаллитов составлял менее приблизительно 300
. Не основываясь на какой-либо конкретной теории, заявители предполагают, что однородное распределение закрепляющего металла является наилучшим с точки зрения достижения высоких выходов в реакции, но не является необходимым для достижения высоких скоростей реакции. Кроме того, вероятно, что большое значение имеет наличие небольших, хорошо измельченных, высокодиспергированных частиц закрепляющего металла.
На практике основу, содержащую закрепляющий металл, добавляют в и суспендируют в воде. Затем готовят раствор для металлизации, например раствор для нанесения медного покрытия, путем смешения раствора для металлизации в соответствующих соотношениях, пока суспензию основы и воды осторожно перемешивают при температуре от приблизительно 0 до 30oC или выше в открытом сосуде. Раствор для металлизации, содержащий комплексообразующий агент и восстанавливающий агент, добавляют к суспензии небольшими порциями, проверяя pH после каждого добавления. Через определенный промежуток времени к суспензии медленно добавляют следующую порцию. Количество добавляемого раствора для металлизации зависит от желаемой величины массовых процентов каталитического элемента на закрепляющем металле катализатора. По окончании осаждения каталитического элемента получают практически бесцветный фильтрат.
Полученный водный раствор в одном из вариантов осуществления настоящего изобретения содержит следующие активные ингредиенты:
.
Пример 2
4H2O (тартрат) [29,99 г, 0,106 моля], перемешивают до растворения
.
Пример 3
.
Повторяют способ примера 5 за исключением того, что используют вышеуказанный катализатор. Результаты приведены в таблице 3.
Пример 7
.
3. Катализатор по п.1, отличающийся тем, что он содержит носитель, представляющий собой оксид титана, оксид циркония или углерод.
4. Катализатор по п.1, отличающийся тем, что частицы непокрытого закрепляющего металла также внедрены в носитель.
5. Катализатор по п.1, отличающийся тем, что он содержит закрепляющий металл в количестве от 0,05 до 10 мас.% катализатора.
6. Катализатор по п.1, отличающийся тем, что он представляет собой каталитически активный порошок.
7. Катализатор по п.1, отличающийся тем, что он содержит покрывающий металл в количестве от 1 до 50 мас.% катализатора.
8. Катализатор по п.1, отличающийся тем, что он содержит отдельные частицы меди, также внедренные в носитель.
9. Способ получения солей карбоновых кислот путем взаимодействия первичного спирта с гидроксилсодержащим основанием в присутствии катализатора, отличающийся тем, что используют каталитическое количество катализатора на носителе по любому из пп.1 – 8.
10. Способ по п.9, отличающийся тем, что гидроксилсодержащее основание представляет собой гидроксид натрия или калия.
11. Способ по п.9, отличающийся тем, что первичный спирт представляет собой первичный аминоспирт.
12. Способ по п.9, отличающийся тем, что используют катализатор на углероде.
13. Способ по п.11, отличающийся тем, что аминоспирт представляет собой мноэтаноламин, диэтаноламин, триэтаноламин, N-метилэтаноламин, N-этилэтаноламин, N-изопропилэтаноламин, N-бутилэтаноламин, N-нонилэтаноламин, N-(2-аминоэтил)этаноламин, N-(3-аминопропил)этаноламин, N,N-диметилэтаноламин, N, N-диэтилэтаноламин, N,N-дибутилэтаноламин, N-метилдиэтаноламин, N-этилдиэтаноламин, N-пропилдиэтаноламин, N-бутилдиэтаноламин, N-метил-N-(3-аминопропил)этаноламин или 3-аминопропанол.
14. Способ по п.13, отличающийся тем, что аминоспирт представляет собой диэтаноламин и получаемая соль карбоновой кислоты представляет собой двойную соль щелочного металла иминодиуксусуной кислоты.
15. Способ по п.14, отличающийся тем, что щелочной металл представляет собой натрий или калий.
16. Способ по п.14, отличающийся тем, что аминоспирт представляет собой моноэтаноламин.
17. Способ по п.11, отличающийся тем, что аминоспирт представляет собой соединение формулы