Патент на изобретение №2157724
|
||||||||||||||||||||||||||
(54) ХРОМАТОГРАФИЧЕСКОЕ РАЗДЕЛЕНИЕ ИЗОТОПОВ ЭРБИЯ
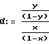
(57) Реферат: Изобретение относится к изотопному анализу. Способ включает загрузку хроматографической колонны разделения, подготовку водного раствора и подготовку растворителя для вымывания. Способ предусматривает заливание водного раствора загрузки эрбия в колонку и заливание растворителя так, чтобы заставить каждый из изотопов эрбия передвигаться вниз через колонну с различной скоростью. Технический результат – процесс осуществляет эффективное и экономичное разделение изотопов эрбия с высоким сечением захвата нейтронов из смесей, содержащих изотопы эрбия. 7 з.п.ф-лы, 4 ил., 1 табл. Настоящее изобретение связано с обработкой эрбия для получения более низкого среднего значения захвата тепловых нейтронов путем частичного или полного разделения его изотопов, таким образом повышая его применимость в качестве внутреннего материала конструкций, например, таких, как покрытие топливного стержня для ядерного реактора. Эрбий (Er) применяется в проектировании ядерного топливного блока в качестве выгораемого ядерного шлака с высоким сечением захвата нейтронов. Его свойства сравнимы или превосходят свойства бора. Его химические свойства подобны свойствам гадолиния Gd (III) за исключением того, что в растворе Er (III) представляет собой слегка более кислый ион, чем Gd (III); поэтому химия его разделения должна быть несколько более мощная, чем для Gd, в аналогичной серии растворителей для элюирования. Ключевым пунктом в проектировании системы обогащения для химии изотопного обогащения Er является то, что ключевые фракции изотопов с высоким сечением заключены в смеси с нежелательными изотопами. Это приводит к требованию многокомпонентных агрегатов извлечения при использовании технологий разделения, таких как, например, экстракция селективными растворителями или колонна ионного обмена неподвижного слоя, которые в основном вырабатывают только “головные” и “хвостовые” фракции, но ничего не вырабатывают в “середине”. В связи с этим требуются многокомпонентные агрегаты, чтобы существенно расчленить фракции прежде, чем нужные голова и хвост появятся из колонны в качестве единой составной части фракции продукта. Если соединить этот пункт обогащения с тем фактом, что выделение Er из руды требует как сложной химии, так и сложного оборудования, то можно прийти к следующему перечню пунктов, к которому сводится любой технологический процесс, который используется для извлечения Er из сырья и для его очистки для изотопно чистого продукта для включения в ядерный топливный блок. Сводка пунктов выглядит следующим образом: а. Отделение эрбия от других редкоземельных элементов и загрязнений в выщелоченной руде – 1. требует большего числа циклов многоступенчатого извлечения из-за относительно низкого характера коэффициентов распределения для большинства экстракционных растворителей; 2. требует большего числа больших, трудоемких, дорогостоящих ступеней на каждый цикл извлечения из-за низкого значения коэффициентов распределения; 3. порождает опасные потери и потери от смешивания растворителей, основанных на органике; 4. требует значительного количества вспомогательных очистных операций для того, чтобы очистить эрбий сразу после того, как его отделили от других редкоземельных элементов, и для того, чтобы подготовить его для изотопного обогащения. б. Отсутствие мощного, компактного обогащения, что снова порождает не опасные потери, такие, как побочный продукт. Вымывание неэффективно из-за характерно низкого коэффициента разделения альфа (вытекающего из того факта, что трехвалентные ионы не образуют легко отделяемые соединения раствора) и из-за его громоздких, капиталоемких стадий разделения, что увеличивает стоимость как функционирования, так и содержания, порождает опасные потери процесса (и, возможно, опасные/радиоактивные смеси, зависящие от состава исходной загрузки) и уменьшают применимость процесса. в. Отсутствует механически выполнимый проект переключателя непрерывного ионного обмена, необходимого, чтобы преодолеть исторические проблемы, связанные с ионным обменом. Эти исторические проблемы представляют собой: 1. характерный периодический режим работы; 2. трудоемкое выключение, требуемое для извлечения продукта, когда колонны работают в режиме хроматографа; 3. сложные проблемы управления процессом, связанные с функционированием процесса и разделением волнового фронта; 4. чрезмерное разбавление продукта, связанное с функционированием колонны, и другие. Настоящее изобретение направлено на процесс частичного или полного разделения изотопов эрбия с использованием хроматографии, которая относится к каждому из вышеупомянутых пунктов. Процесс настоящего изобретения использует катионит в качестве неподвижной фазы; водный раствор гетерополярного соединения смеси изотопов эрбия в качестве исходной загрузки; и водный раствор кислоты в качестве подвижной фазы. Процесс включает подвижную фазу, вымывающую растворенное вещество изотопов эрбия, при таких условиях, что каждый из различных естественных изотопов эрбия, первоначально вымытые в объеме вымывающего раствора, отделяется от объемов вымывания других изотопов. В предпочтенном воплощении условия такие, что хотя бы один из объемов вымывания содержит по существу только один изотоп эрбия. Процесс проводится стационарным, непрерывным способом, в непрерывном кольцеобразном хроматографе. Особенно предпочтительное воплощение включает загрузку оксида эрбия, растворенного в водном растворе минеральной кислоты, в непрерывный кольцеобразный хроматограф с неподвижной фазой, которая содержит катионообменную смолу. Подвижной фазой для вымывания является преимущественно водный раствор соляной кислоты, возможно с добавлением хелатообразующих агентов, комплексообразующих агентов или легандов – особенно к химии подвижной фазы -, чтобы повысить разделение. Однако применимы все серные, азотные и специализированные примеси. Непрерывный хроматографический процесс настоящего изобретения поясняется описанием конкретных вариантов его воплощения со ссылками на сопроводительные чертежи, на которых: фиг. 1 изображает общий вид непрерывного кольцеобразного хроматографа (САС) с частичным разрезом секции, иллюстрирующим кольцеобразную конструкцию, фиг. 2 изображает продольный разрез через CAC, показанный на фиг. 1, фиг. 3 изображает вид сверху дна предмета, показанного на фиг. 3, фиг. 4 изображает вид сверху дна CAC. Согласно настоящему изобретению, процесс осуществляет эффективное и экономичное разделение изотопов эрбия с высоким сечением захвата нейтронов из смесей, содержащих изотопы эрбия. Особый интерес представляет собой непрерывное разделение и изоляция изотопа 167Er. Смесь, которая обрабатывается в соответствии с настоящим изобретением, может содержать смесь изотопов эрбия, предварительно отделенных от других редкоземельных металлов, или также может содержать смесь изотопов эрбия и других редкоземельных металлов, таких как, например, La, Ce, Pr, Nd, Sm, Eu, Tb, Dy, Ho, Gd, Tm, Yb, Lu, Y или подобных. Разделение нужных изотопов эрбия преимущественно осуществляется путем использования насыщенной катионообменной смолы, которая представляет собой неподвижную фазу; водного раствора гетерополярного соединения смеси изотопов эрбия в качестве фазы исходной загрузки; и водного раствора кислоты для вымывания в качестве подвижной фазы. Вследствие способности образовывать анионные соединения в концентрированных минеральных кислотах (особенно в кислотных галидах), обогащение эрбия может также осуществляться на анионообменной смоле (анионит), что определяется составом фазы загрузки и подвижной фазы. Исходный материал или фаза загрузки, используемые в процессе согласно настоящему изобретению, могут содержать загрузочный раствор смеси окислов эрбия, которые в растворе преобразуются в ионы, например, путем растворения смеси ионов эрбия в азотной кислоте или других сильных минеральных кислотах, таких как, например, соляная кислота, серная кислота, масляная кислота, или фосфорная кислота, или их смеси. Поэтому фаза загрузки представляет собой любой подходящий раствор ионных соединений эрбия, образованных из смеси изотопов эрбия. Смесь изотопов может быть естественной или может быть частично очищенной, полученной в процессе предварительной очистки. В воплощении, использующем катионообразующую смолу в качестве неподвижной фазы, предпочтенная фаза загрузки такая, которая получена из растворения эрбия в хлоргидрате, который обычно образует ионы Er+3. Желательно, чтобы фаза загрузки имела концентрацию эрбия настолько высокую, насколько это возможно без превышения предела растворимости для растворенного вещества при заданных условиях работы. Естественным следствием хроматографического разделения является разбавление концентрации продуктов, подлежащих разделению на потоки продуктов. Поэтому общая эффективность процесса и особенно минимизация усилий, необходимых, чтобы извлечь нужные продукты из продуктовых потоков, достигается лучше всего путем использования настолько высокой концентрации, насколько это возможно, без создания нежелательного риска того, что эрбий выпадает в осадок в течение процесса. Неподвижной фазой может быть любая катионообменная смола, имеющая сродство с катионами эрбия – обычно в водном растворе это – Er+3, но которая может также образовывать соединения с Cl–, SO4-2 или PO4-3, или другими анионами, в зависимости от кислотного растворителя. Желательно, чтобы катионообменная смола была способна проявить очень сильное средство для таких катионов, что отражено большим коэффициентом распределения твердое – к – жидкому в разбавленных растворах минеральной кислоты. Особенно предпочтительно, чтобы значение “альфа” этого коэффициента было больше, чем примерно 1,5 в растворах кислот, крепостью меньше, чем 7 нормаль. Особенно предпочтительно использовать катионы с самой высокой обменной способностью, обычно приблизительно между 0,1 и 1,0 миллиэквивалентов на миллиметр с наиболее возможной способностью приблизительно от 0,1 до 0,5 миллиэквивалентов на миллиметр при условиях вымывания. Основанные на стироле сульфокислые и карбокислые обменники отвечают этому требованию, так же как некоторые фенольные и карбоксильные смолы. Если при использовании анионного обмена допустимы смолы как со слабым основанием, так и с сильным основанием, то предпочтение отдается четвертичным, третичным и пористым смолам с сильным основанием. Также желательно, чтобы неподвижная фаза содержала монодисперсное распределение шаровидных частиц со средним размером частиц меньше, чем приблизительно от 20 до 50 микрон, а еще лучше меньше, чем приблизительно 10 микрон. Уменьшение диаметра частицы, однако, предлагает компромисс улучшенного разделения при большем падении давления. Особенно предпочтительной неподвижной фазой являются сульфированные поперечно связанные полистирольные шарики. Но любое смягчение сильно кислой смолы будет работать на катионный обмен, или смола с сильным основанием будет работать на анионный обмен. Фазой загрузки может быть любой подходящий раствор ионных соединений эрбия, образованных из смеси изотопов эрбия. Смесь изотопа может быть естественной или она может быть частично очищенной, полученной из процесса предварительной очистки. Предпочтенная фаза загрузки такая, которая получается путем гидролиза оксида эрбия с соляной кислотой. Сырой эрбий коммерчески приобретается из Molycorp 98 %-ной чистоты или получается путем выщелачивания растворением основных редкоземельных руд и отделением фракции эрбия. Фракция эрбия обычно содержит естественное распределение изотопов, а также содержит загрязняющие примеси других редкоземельных элементов на уровне (< 2%). Эти соединения очень легко гидролизуются, чтобы произвести водный раствор, подходящий для использования в хроматографическом процессе. Желательно установить pH этого раствора близким к кислотному диапазону, особенно приблизительно между 2 нормалями и 4 нормалями, чтобы уменьшить химический шок к неподвижной фазе в вымывании с высоко кислотным элюентом. Желательно, чтобы фаза загрузки была настолько концентрированной, насколько это возможно без превышения предела растворимости для растворенного вещества. В предпочтенной фазе загрузки предел растворимости составляет около 4 г / 100 г раствора при 0o (273,15 К). Справочник химика и физика (The Handbook of Chemistky and Physics) приводит как ErCl, так и Er(NO3) в качестве растворимых. Подвижная фаза может быть водным раствором кислоты, способным к сольватированию ионов эрбия так, чтобы они могли вымываться вниз колонны. Подвижной фазой или растворителем для вымывания является жидкость, способная к замещению ионов эрбия из их ионной связи с неподвижной фазой. Это преимущественно водный раствор сильной минеральной кислоты. Особенно предпочтительными являются серная, соляная (другие водные кислотные галиды) и азотная кислота, причем азотная и соляная кислота особенно предпочтительны, и отмечается, что либо катионный, либо анионный обмен могут действовать в зависимости от концентраций раствора. Необходимая крепость кислоты зависит от идентичности конкретно применяемой кислоты, но предпочитаются крепости кислоты в интервале от 1,0 до 2,0 нормалей или больше. Особенно предпочитаемый растворитель имеет крепость в интервале около 1,5 и 7,0 нормалей, и еще лучше приблизительно между 1,5 и 4,0 нормалями водных растворов, особенно когда подвижная фаза содержит ионы хлоридов. Эффективная высота колонны должна быть достаточной, чтобы сделать возможной значительное разрешение изотопов эрбия на четко отделенные фракции продуктов. Разрешение должно быть достаточным, чтобы получить чистоту изотопа свыше 50%, а еще лучше, хотя бы 80%. Желательно, чтобы это разрешение было одинаковым по всей колонне, т.к. любое удаление и отбрасывание ко второй колонне может привести к обратному смешиванию и потере некоторого разделения в пределах различных фракций продукта. Эффективная высота колонны, необходимая для данного разрешения, может быть оценена из применения уравнения Kremser – Brawn – Saunders к эмпирическим данным о способности разделения данной неподвижной фазы, подвижной фазы, растворителя и характеристиках потока. Коэффициент разделения используется, чтобы определить эту способность разделения. Этот коэффициент сам по себе определяется следующей формулой для двойного (бинарного) случая: ,где y обозначает молярную долю нужного изотопа во фракции продукта, обогащенного этим изотопом, и x обозначает молярную долю такого же изотопа в хвостовой фракции. Приблизительные расчеты могут быть выполнены путем выбора одной изотопной фракции в качестве продукта и определения хвостовой фракции как состоящей из других фракций продукта. Итак, если получена фракция продукта, в которой 80% эрбия составляет эрбий 167, и если в составе всех других изотопов вместе содержится только 20% эрбия, тогда , определяющее это разделение, будет следующим.
Расчет коэффициента разделения . зависит от чистоты головных фракций и от количества продукта изотопа, который изолирован (т.е. отрезан) в головных фракциях.
Для чистоты головных фракций 80% с извлечением 80% эрбия 167 необходимое получаетсяY : = .8 ![]() где .2294 = мольная доля 167Er в естественном Er. ![]() x = 0,069 y = 0,8 = 53,747Заметим, что для данной степени разделения, если отдельные полосы извлечения изотопа перекрываются хотя бы частично, то возникает альтернатива выбора – пожертвовать чистотой или обрезать. Выбирая меньшее отрезание, можно увеличить чистоту продукта. Масштаб ступени, коэффициенты ступенчатого разделения для разделения изотопов удобно оцениваются на примере колонн от 25 до 100 см. Для таких колонн значения для эрбия 167 на предпочтенной неподвижной фазе с предпочтенным растворителем для вымывания больше, чем примерно 1,001, и желательно больше, чем примерно 1,005.
Эффективная длина колонны N, требуемая для любой степени очищения, определяется потом из этих данных. Например, если при эталонном значении 25 см получается коэффициент разделения около 1,085, это можно использовать как коэффициент разделения для теоретического шага s в применяемом уравнении Kremser – Brawn – Saunders в оценке числа теоретических шагов.
Для обсуждаемого случая получается следующий результат:![]() NP + 1 = шаг продукта O = шаг загрузки A = коэффициент адсорбции m = наклон равновесной кривой Нормальные значения при x, y, m и A получаются при требуемых длинах колонны от 80 метров до 200 метров. Таблица показывает расчетную длину колонны как функцию от и от желаемой чистоты продукта. Это основано на допущении, что уравнение Kremser – Brawn – Saunders сохраняется в форме Underwood – Fenske, допуская приближение двойной (бинарной) смеси (см. таблицу).
Эффективная высота колонны может быть вертикальная, но может иметь и другую ориентацию. Что важно, так это эффективный путь, который проходит эффективная фаза.
Путь обеспечивается таким образом, что хроматографическое разделение может функционировать непрерывно. Не существует подходящей технологии, доступной в настоящее время, для мгновенного детектирования концентрации любого данного изотопа эрбия. Поэтому имеется преимущество для непрерывно действующей процедуры, которая достигла стационарного состояния так, что определенная воспроизводимость фракции продукта имеет определенное распределение изотопа. Если хроматографическое разделение функционирует в дискретном или порционном режиме, то случайные изменения между циклами могут затруднить воспроизводимость сбора фракций продукта с одними и теми же распределениями изотопа от цикла к циклу. Например, если единичная вертикальная колонна загружается порционным способом, то время вымывания фракции продукта, богатой в отношении конкретного изотопа, может меняться от цикла к циклу из-за случайных переменных, затруднительных для управления, таких как флуктуация концентрации загрузки, и так далее.
Особенно предпочтительный непрерывно действующий хроматограф представляет собой непрерывный кольцеобразный хроматограф. Это устройство было разработано Национальной Лабораторией Оаk Ridge(Oak Ridge National Laboratory) и содержит кольцеобразную неподвижную фазу, которая вращается вокруг оси кольца. Патент Соединенных Штатов N 5.098.678 включен ссылкой. Кольцевое пространство заполнено упаковкой неподвижной фазы материала, как, например, смоляными шариками, между двумя концентрическими цилиндрами разных диаметров с вертикальными осями. Канал загрузки выполнен при определенном угловом положении, и один или более каналов растворителя для вымывания выполнены при некотором угловом смещении относительно канала загрузки. Желательно располагать слой стеклянных шариков над неподвижной фазой и загружать растворитель для вымывания на стеклянные шарики, в то время как сырье эрбия загружается прямо наверх неподвижной фазы. Это должно предотвратить любые нежелательные эффекты смешивания.
Данное устройство обеспечивается рядом каналов продукта, установленных в ряде угловых положений, которые могут задаваться произвольно так, чтобы удовлетворять определенному набору условий работы. Каждый канал продукта собирает объем вымывания, который определенное время находился в колонне. Неподвижная фаза обычно вращается с постоянной скоростью, так что любой вертикальный сегмент кольцеобразного слоя находится над определенным фиксированным каналом сбора продукта, в заданное время после того, как этот сегмент загружен сырьем эрбия и растворителем для вымывания. Поэтому каждый канал сбора продукта имеет угловое положение, которое соответствует определенному времени элюирования для определенной скорости вращения неподвижной фазы, и для определенной скорости потока через подвижную фазу.
Скорость потока через неподвижную фазу управляется падением давления по эффективной высоте неподвижной фазы и физическими характеристиками неподвижной фазы, т.е. размером частиц и объемом пустот упаковки. Это падение давления может быть обеспечено гидростатическим напором сырья и растворителя для вымывания, но желательно, чтобы оно обеспечивалось нагнетанием давления устройства. Давление, требуемое, чтобы достичь определенной скорости потока, определяется природой неподвижной фазы; чем меньше средняя частица смоляных шариков, составляющих неподвижную фазу, тем больше падение давления, требуемое для получения заданной скорости потока на протяжении определенной эффективной высоты. Однако коэффициент разделения для любой данной теоретической стадии улучшается по мере того, как средний размер частицы смоляных шариков уменьшается. Таким образом, эффективная высота, необходимая, чтобы добиться данной степени разделения, уменьшается по мере того, как способность разделения единиц длины (или теоретической высоты шага) увеличивается путем уменьшения среднего размера частиц смоляных шариков.
Скорость потока по эффективной высоте неподвижной фазы и скорость вращения неподвижной фазы должны быть скоординированы так, чтобы определенная фракция продукта всегда извлекалась в одном и том же угловом положении и, таким образом, всегда подводилась к одному и тому же каналу сбора продукта.
Желательно, чтобы хроматограф работал в режиме смещения, в котором не более чем 5%, еще лучше не более чем 1% эффективной высоты колонны загружался раствором загрузки перед началом элюирования. Это обычно достигается путем использования раствора загрузки, который имеет недостаточную крепость кислоты, чтобы высвободить катионы эрбия из ионной связи с катионообменной смолой, и путем загрузки не более чем 5%, еще лучше около 1% (или меньше) от эффективной высоты перед добавлением растворителя для вымывания достаточной крепости, чтобы заставить катионы эрбия передвигаться вниз колонны при подходящих скоростях. В непрерывном кольцеобразном хроматографе этот результат достигается путем координации углового смещения между каналом загрузки и каналом растворителя для вымывания, и скорости вращения кольцеобразного слоя так, чтобы временной интервал между загрузкой и вымыванием являлся достаточным для желаемой степени проникновения. Соотношение между временем загрузки и глубиной проникновения, в свою очередь, определяется скоростью потока через кольцеобразный слой.
Смещение может быть осуществлено либо isocratic, либо наклонной подачей растворителя для элюирования. В предшествующем случае растворитель для элюирования может просто подаваться из естественного канала, тогда как в последнем случае используются несколько каналов при существенно больших угловых смещениях относительно канала загрузки. В наклонном режиме вымывание начинает действовать под влиянием первоначального раствора для вымывания до тех пор, пока не произойдет некоторое разделение изотопов эрбия, а затем подается растворитель для вымывания с более высокой кислотностью. Это увеличивает скорость миграции катионов эрбия вниз колонны и минимизирует диапазон объемов вымывания или времени, за которое данный компонент или фракция продукта выйдет из колонны, или, другими словами, эта процедура минимизирует уширение полосы.
Уменьшение объемов элюирования наклонным вымыванием или другими способами увеличивает концентрацию продукта, т.е. изотопа эрбия, во фракции продукта. Предпочтительны концентрации фракции продукта больше, чем примерно 1,5 г/л, особенно между приблизительно 5 и 20 г/л.
Скорость потока внизу колонны определяется падением давления от вершины до дна колонны и природы неподвижной фазы. Чем меньше средний размер частиц смоляных шариков, составляющих неподвижную фазу, тем выше падение давления, требуемого для получения данной скорости потока. На это соотношение также действует распределение размеров частиц смоляных шариков. Имеется однако максимально достижимая скорость потока для любой данной неподвижной фазы из катионообменной смолы, которая не может быть превышена путем приложения дополнительного давления. Поставщики таких смол оценивают смолы в терминах скорости потока на единицу падения давления и максимально достижимой скорости потока.
Желательно использовать неподвижную фазу, которая обеспечит мощности потока в интервале около 0,1 – 20 галлонов в одну минуту на каждый квадратный фут (от 4 до 800 л в одну минуту на каждый квадратный метр) площади поперечного сечения. Имеется соотношение между достижимыми мощностями потока и эффективной высотой колонны, необходимой для данной степени чистоты. Для данной системы неподвижной фазы и растворителя для вымывания коэффициент разделения s теоретического шага (участка) неподвижной фазы будет увеличиваться при уменьшении среднего размера частицы смоляных шариков неподвижной фазы. Однако при уменьшении этого размера частицы также уменьшается пропускная способность потока стационарной фазы. Поэтому имеется обратное отношение между s и пропускной способностью потока. Итак, более высокая мощность потока потребует большей эффективной высоты колонны, чтобы достичь такой же степени разделения или чистоты фракции продукта.
Более того, имеется дополнительное ограничение в том, чтобы давление, требуемое для достижения нужной мощности потока, не превышало возможности доступных насосов, герметизирующих прокладок и трубопроводов. Требуемое давление представляет собой функцию обоих как падения давления, необходимого на единицу эффективной высоты, так и полной эффективной высоты, необходимой для желаемой степени разделения. Поэтому при увеличении пропускной способности потока у неподвижной фазы, путем изменения ее физической конфигурации и, следовательно, при уменьшении ее коэффициента разделения s теоретического шага требуемая эффективная высота и требуемое полное падение давления также увеличиваются. С другой стороны, по мере того, как коэффициент разделения s теоретического шага увеличивается путем изменения в распределении размера соляного шарика, и, следовательно, пропускная способность потока у стационарной фазы уменьшается, падение давления для данной эффективной высоты увеличивается. Предпочтительно падение давления меньше, чем приблизительно 2758 кПа (кило паскалей) (400 фунтов на квадратный дюйм), еще точнее приблизительно между 345 и 1042 кПа (50 и 150 фунтов на кв. дюйм).
Так, чтобы на практике получить систему с коммерческой мощностью, необходимо использовать неподвижную фазу, которая проявит одновременно как приемлемый коэффициент разделения s теоретического шага, так и приемлемую мощность потока на единицу эффективной высоты с приемлемым падением давления. Этого можно достигнуть подходящим подбором как ионизирующей способности катионообменной смолы неподвижной фазы, так и растворителей для вымывания.
В предпочтенном способе несколько каналов сбора продукта используется для того, чтобы собрать определенную фракцию продукта. Это выполняется путем близкого расположения этих каналов сбора так, чтобы они были больше, чем промежуток углового пробега вращения, который соответствует периоду времени вымывания этой определенной фракции, но не распространяется на угловые положения, при которых любая значительная порция любой другой фракции продукта могла бы вымываться. Конечно, это требует, чтобы интервалы времени вымывания различных фракций продукта существенно не перекрывались. Такое устройство стремится застраховаться от того, чтобы незначительные флуктации в стабилизированном поведении вымывания, которые могут вызвать небольшое опережение либо запаздывание времени вымывания требуемой фракции продукта, не привели к какой-либо потере этой фракции.
Хроматограф может быть настроен так, чтобы отделять изотопы эрбия из смеси только изотопов эрбия, либо также отделять изотопы эрбия из смеси изотопов эрбия и других редкоземельных металлов. В последнем случае все другие редкоземельные металлы будут собираться как единая фракция продукта, хотя это может повлечь объединение выхода ряда каналов продукта. Конечно, если разделение элементов производилось в одной колонне и разделение изотопов или разделения в другой, то условия функционирования в каждой колонне могут быть оптимизированы в отношении функций этой колонны.
В частности, предпочтенное устройство для использования в воплощении настоящего изобретения изображено на фиг. 1 – 4. Непрерывный кольцеобразный хроматограф 10, изображенный на фиг. 1, содержит два концентрических цилиндра 30 и 35, которые ограничивают кольцеобразное пространство 32, видное на фиг. 2. Сверху это кольцеобразное пространство 32 представляет собой плиту распределителя 20. Подающие трубы или каналы 21 и 23 проходят сквозь плиту распределителя 20 и оканчиваются питательными соплами 22 и 24 соответственно. Сопла питания 22 предназначены для того, чтобы подавать фазу загрузки к шарикам обменной смолы 27, которые упакованы в кольцеобразном пространстве 32. Для простоты иллюстрации эти шарики изображены так, как будто они только частично заполняют кольцеобразное пространство 32. С другой стороны, сопла питания 24 предназначены, чтобы загружать растворитель для вымывания на слой стеклянных шариков 26, которые находятся сверху на шариках обменной смолы 27. Поэтому сопла питания 24 несколько короче, чем сопла питания 22. Это устройство загрузки служит для того, чтобы избежать любого обратного смешивания фазы загрузки.
Центральная полость, ограниченная внутренним цилиндром 35, плотно закрыта крышкой 31 так, чтобы трубку или канал 25 можно было использовать для приложения давления к кольцеобразному слою смоляных шариков 27.
Дно кольцеобразного пространства 32 задано плитой продукта 40. Как видно из фиг. 4, большое количество выводящих продукт каналов или трубок 41 проходят сквозь эту плиту. Это позволяет собирать множество фракций продукта, а также облегчает регулирование действующих условий для того, чтобы позволить сбор продукта при различных угловых смещениях.
Плита распределителя 20 закрепляется в фиксированном положении сверху над кольцеобразным пространством 32 держателем 62, который подвижно связан со штативом 61, прикрепленным к плите основания 60. Также к этой базовой плите 60 присоединена колонна поддержки 63, на которую опирается, вращаясь, плита продукта 40. Вал 70 проходит сквозь эту колонну поддержки 63 и плиту основания 60 и соединяет плиту продукта 40 со средством вращения, не показанным. К базовой плите 60 также присоединяется кольцеобразный желоб (лоток) сбора 50, который может быть подразделен на любое число подходящих сегментов, каждый из которых имеет собственный выход 51.
Непрерывный кольцеобразный хроматограф 10 функционирует путем вращения кольцеобразного пространства 32, заполненного смоляными шариками 27 под фиксированной плитой распределителя 20 и его соплами питания 22 и 24. Вращательная сила обеспечивается валом 70.
Изотопы эрбия последовательно извлекаются из ионообменной смолы образуют фракцию требуемых изотопов в виде направленной вниз подвижной ленты раствора вымывания, содержащего эти изотопы. Требуемая фракция, когда она достигает нужного отверстия колонны, выводящего продукт, может быть очень легко собрана и отделена от остатка раствора вымывания. Изоляция необходимого изотопа эрбия выполняется путем получения подходящего коэффициента разделения и изолирования требуемого изотопа эрбия 167 на основе подходящего времени выхода в соответствующие отверстия.
Формула изобретения
РИСУНКИ
MM4A Досрочное прекращение действия патента Российской Федерации на изобретение из-за неуплаты в установленный срок пошлины за поддержание патента в силе
Дата прекращения действия патента: 17.06.2003
Извещение опубликовано: 10.05.2005 БИ: 13/2005
|
||||||||||||||||||||||||||

используется, чтобы определить эту способность разделения. Этот коэффициент сам по себе определяется следующей формулой для двойного (бинарного) случая:
,

