Патент на изобретение №2296781
|
||||||||||||||||||||||||||||||||||||||||||||||||||||||||||||||||||||||||||||||||||||||||||||||||||||||||||||||||||||||||||||||||||||||||||||||||||||||||||||||||||||||||||||||||||||||||||||||||||||||||||||||||||||||||||||||||||||||||||||||||||||||||||||||||||||||||||||||
(54) СПОПОБ ПРЕДОТВРАЩЕНИЯ ОБРАЗОВАНИЯ АЛЬДЕГИДНЫХ ПРИМЕСЕЙ В ХОДЕ ОБРАБОТКИ ПЛАВЛЕНИЕМ СЛОЖНОПОЛИЭФИРНОЙ И ПОЛИАМИДНОЙ КОМПОЗИЦИИ
(57) Реферат:
Изобретение касается способов обработки любого сложного полиэфира или полиамида, в ходе тепловой обработки которых выделяются альдегидные соединения. Техническая задача – предотвращение образования альдегидных примесей в конечном продукте. Предложен способ, заключающийся в обработке плавлением композиции сложного полиэфира или полиамида, содержащей соединение, выбранное из группы, состоящей из гидроксиламиновых, о-замещенных гидроксиламиновых, нитроновых и аминоксидных стабилизаторов. 2 н. и 15 з.п. ф-лы, 5 табл.
Изобретение касается смеси сложных полиэфиров, таких как полиэтилентерефталат (ПЭТ) или полиамид, и подходящего соединения, выбранного из группы, состоящей из гидроксиламина, замещенного гидроксиламина, нитрона и аминоксидных стабилизаторов, в которой экструзия компаундирования показывает меньшее остаточное содержание альдегида, чем для индивидуального сложного полиэфира или полиамида, подвергнутого аналогичной обработке. Изобретение относится к любым сложным полиэфирам или полиамидам, используемым в производстве волокон, пленок или литых изделий, например, бутылей или емкостей, которые используются для хранения съестных припасов, например пищи, напитков и воды. Ацетальдегид известен как продукт распада таких сложных полиэфиров, как ПЭТ. Ацетальдегид придает нежелательный привкус или запах воде, разлитой и хранившейся в бутылях из ПЭТ. Давней целью промышленности было снижение уровня ацетальдегида, мигрирующего из стенок бутыли, изготовленной из ПЭТ, в воду или иные напитки, хранящиеся в ней. Проводилось большое количество инженерных или конструктивных изменений экструдеров, машин опрессовки под давлением в пресс-формы и оборудования для производства бутылей с целью уменьшить образование ацетальдегида при обработке полиэтилентерефталата ПЭТ. Проводилась модификация композиции ПЭТ для снижения ее температуры плавления или вязкости расплава, чтобы обеспечить меньшее механическое или тепловое воздействие в ходе обработки ПЭТ на стадии пресс-форм или бутылей. Альдегиды могут образовываться из полиамидов, например из полиамида 6 и полиамида 6,6, в условиях тепловой нагрузки. Эти альдегиды инициируют цепь реакций, результатом которой является нежелательное пожелтение и снижение механических свойств. Патент US 4361681 показывает, что сложный полиэфир, содержащий блокирующие ангидрид агенты, обладает пониженной скоростью генерации ацетальдегида. Патент US 5459224 раскрывает сложные полиэфиры, содержащие блокирующее 4-оксибензилиден агенты с целью придания улучшенной стойкости к погодным воздействиям и фотостабильности, но не упоминается об эволюции ацетальдегида. Однако показывается, что такие сложные полиэфиры годятся для упаковки пищи и напитков. Сложные полиэфиры могут быть синтезированы разными путями, известными из литературы, с использованием различных каталитических систем. ЕР-А-0826713 показывает, что меньший уровень ацетальдегида наблюдается при сополимеризации ПЭТ, когда в ходе полимеризации присутствует фосфит, такой как бис(2,4-ди-трет-бутилфенил)пентаэритритолфосфит. US 4837115, US 5258233, US 5266413, US 5340884, US 5648032, US 5650469, WO-A-93/23474, WO-A-98/07786 и WO-A-98/39388 показывают использование полиамидов как средств для снижения концентрации ацетальдегида, предположительно посредством реакции основания Шиффа с альдегидом, которая обратима в присутствии воды. ЕР-А-0191701 описывает биаксиально ориентированные контейнеры, имеющие превосходные защитные свойства; упомянутый контейнер содержит смесь полиэтилентерефталатной смолы и смолообразного сополимера этилена и винилового спирта. Данная ссылка сосредотачивает внимание на улучшенных газоразделительных свойствах и ничего не говорит о снижении содержания ацетальдегида. Японский патент Sho 62-257959 описывает биаксиально вытянутые сосуды из синтетической смолы, состоящей из полиэтилентерефталата, смешанного с сополимером полиамида, или смешанного с этиленвиниловым спиртом в весовом соотношении от 0,1 до 15 процентов. Примеры ограничиваются одиночным полимером EVOH (EVEL G110, Kuraray Co.). Показано, что меньший уровень ацетальдегида наблюдается тогда, когда присутствует полимер EVOH. Патент ЕР-А-0714832 раскрывает способ получения контейнера, содержащего в стенках бутыли полиэтилентерефталат, поликарбонат или сложный полиэфир ПЭН, который связывает ацетальдегид. Эта добавка, в общем, описывается как полиамид. US 5656221 описывает способ получения сложного полиэфира с пониженной концентрацией ацетальдегида при помощи некоторых катализаторов или в атмосфере инертного газа, или путем добавления амидного соединения. Такие включают в себя коммерческие полиамиды или длинноцепные алифатические амидные соединения. US 5856385 раскрывает использование полиамида или амидного воска для снижения уровня ацетальдегида, который образуется, когда основанный на сорбитоле осветляющий агент нагревается в полиолефинах. Патент US 4873279 раскрывает композицию, включающую в себя сложнополиэфиркарбонатную смолу, сложнополиэфирную смолу и небольшое количество смеси полнела и хотя бы одного эпоксида. US 4394470 раскрывает полиэтилентерефталатную литьевую композицию с карамельным красителем. Карамельный краситель может образовываться in situ из моно- или дисахарида. US 5681879 раскрывает огнестойкую сложнополиэфирную композицию, включающую сложнополиэфирную смолу, многоатомный спирт, имеющий не менее 3 гидроксильных групп, неорганические и основанные на галогене огнеупорные вещества. WO-A-00/66659 раскрывает литьевые композиции, включающие добавки ПЭТ и многоатомного спирта для снижения образования ацетальдегида. WO-A-01/00724 раскрывает использование полиолов для снижения образования ацетальдегида в экструдированных образцах ПЭТ. Производные гидроксиламина, такие как N,N-диалкилгидроксиламины и N,N-дибензилгидроксиламин, хорошо известны как удобные стабилизаторы для различных полимерных субстратов, как это описано, например, в US 4590231, US 4668721, US 4782105 или US 4876300, релевантные части которых приводятся в данной работе в качестве ссылок. Патенты US 4649221, US 4691015 и US 4703073 указывают на использование полигидроксиламиновых соединений, гидроксиламинов, полученных из затрудненных аминов, и производных алкилированного N,N-дибензилгидроксиламина в целях стабилизации полиолефинов. Все три патента показывают, что полиолефиновые композиции стабилизируются против разложения и/или обесцвечивания при выдержке в условиях повышенной температуры, в атмосфере продуктов горения природного газа, под действием гамма-излучения или при длительном хранении при комнатной температуре. US 4612393, US 4696964, US 4720517 и US 4757102 раскрывают использование различных гидроксиламиновых соединений для стабилизации органических материалов. Гидроксиламиновые стабилизаторы раскрыты также в US 4831134, US 5006577, US 5019285, US 5064883, US 5185448 и US 5235056. Патенты US 4666962, US 4666963, US 4678826, US 4753972, US 4757102, US 4760179, US 4929657, US 5057563, US 5021479, US 5045583 и US 5185448 раскрывают использование различных замещенных гидроксиламиновых стабилизаторов для стабилизации органических материалов. US 5081300, US 5162408, US 5844029, US 5880191 и US 5922794 раскрывают применение насыщенных углеводородных аминоксидов для стабилизации термопластических смол. Патент US 4898901 раскрывает использование длинноцепных нитроновых соединений в качестве стабилизаторов процесса для полиолефиновых композиций. Несмотря на попытки, направленные на решение проблемы снижения загрязнения альдегидом, например, в ПЭТ-бутылях для воды, все еще остается потребность в более эффективных способах решения данной проблемы. Настоящее изобретение пригодно для любого сложного полиэфира или полиамида, где альдегидные соединения, например ацетальдегид, образуются или выделяются в ходе тепловой обработки указанных полиэфира или полиамида. Тепловая обработка упомянутого полиэфира или полиамида включает их синтез, термическую выдержку при твердофазной полимеризации (SSP), любую опрессовку под давлением, выдувное формование или выдувное формование с вытяжкой, используемые в производстве преформ, черновых форм или емкостей и бутылей, или при экструзии пленок, или в ходе любой обработки плавлением вышеупомянутых полиэфира и полиамида выше температуры их перехода стеклования и ниже температуры разложения. Настоящее изобретение обеспечивает меньшее количество примесей (например, альдегидов) в ПЭТ-бутылях для воды, что обеспечивает улучшенный вкус или запах воды или других напитков, разлитых в упомянутые ПЭТ-емкости. В этом отношении снижение количества ацетальдегида особенно полезно. Далее композиции по настоящему изобретению не придают нежелательного цвета или помутнения ПЭТ- бутылям. “Помутнение” является нежелательным, видимым невооруженным глазом эффектом. Данное изобретение относится к композиции, стабилизированной против образования альдегидных примесей в ходе обработки плавлением упомянутой композиции, которая включает (а) сложный полиэфир или полиамид, и (б) эффективное стабилизирующее количество хотя бы одного соединения, выбранного из группы, состоящей из i.) гидроксиламиновых стабилизаторов, ii.) замещенных гидроксиламиновых стабилизаторов, iii.) нитроновых стабилизаторов, и iv.) аминоксидных стабилизаторов. Сложный полиэфир или полиамид компонента (а) составляет 95 – 99,99 вес.% и стабилизатор(-ы) компонента (б) составляет, в общем, от 5 до 0,01 вес.%, относительно общего весового количества (а) и (б). Например, компонента (а) содержится 98-99,99 вес.%, и компонента (б) – 2-0,01 вес.%, относительно общего количества (а) и (б); например, компонента (а) содержится от 99 до 99,97 вес.%, а компонента (б) – от 1 до 0,03 вес.%, относительно общего количества (а) и (б). Компонент (б) может быть добавлен к сложному полиэфиру или полиамиду компонента (а) любым известным способом. Например, добавка компонента (б) может быть введена в чистом виде или в виде раствора или дисперсии, с или без последующего испарения растворителя. Компонент (б) может также быть добавлен к стабилизируемому сложному полиэфиру или полиамиду в виде разовой порции, содержащей компонент (б) в концентрации, например, от примерно 2,5 до примерно 25 вес.%. Сложный полиэфир компонента (а) имеет повторяющиеся звенья дикарбоновой кислоты, выбранной из группы, состоящей из ароматических дикарбоновых кислот, имеющих от 8 до 14 углеродных атомов, алифатических дикарбоновых кислот, имеющих от 4 до 12 углеродных атомов, циклоалифатических дикарбоновых кислот, имеющих от 8 до 12 атомов углерода, и их смесей. Примерами таких дикарбоновых кислот являются терефталевая кислота, о-фталевая кислота, нафталендикарбоновая кислота, циклогександикарбоновая кислота, циклогександиуксусная кислота, дифенил-4,4′-дикарбоновая кислота, сукциновая кислота, малеиновая кислота, глутаровая кислота, адипиновая кислота, себациновая кислота и их смеси. Например, дикарбоновыми кислотами являются терефталевая кислота, изофталевая кислота или 2,6-нафталендикарбоновая кислота. Диоловые или гликолевые части сложных полиэфиров компонента (а) выбираются из общей формулы HO-R-OH, где R – алифатическая, циклоалифатическая или ароматическая составляющие с 2-18 атомами углерода. Примерами таких диолов или гликолей являются этиленгликоль, диэтиленгликоль, триэтиленгликоль, пропан-1,3-диол, пропан-1,2-диол, бутан-1,4-диол, пентан-1,5-диол, гексан-1,6-диол, 1,4-циклогександиметанол, 3-метилпентан-2,4-диол, 2-метилпентан-1,4-диол, 2,2-диэтилпропан-1,3-диол, 1,4-ди(гидроксиэтокси)бензол, 2,2-бис(4-гидроксициклогексил)пропан, 2,4-дигидрокси-1,1,3,3-тетраметилциклобутан, 2,2-бис-(3-гидроксиэтоксифенил)пропан, 2,2-бис(4-гидроксипропоксифенил)этан или их смеси. Например, диолом является этиленгликоль или 1,4-циклогександиметанол. Сложный полиэфир компонента (а) представляет собой, например, полиэтилентерефталат (ПЭТ) или полиэтилен-2,6-нафталин-2,6-дикарбоксилат, или отдельно полиэтилентерефталат. Также следует иметь ввиду, что сложным полиэфиром компонента (а) может также быть смесь сложных полиэфиров или сополимеров сложных эфиров, содержащая компоненты, упомянутые выше. Полиамиды настоящего изобретения получают, например, полимеризацией моноамино-монокарбоновой кислоты или ее лактама, имеющей, по крайней мере, 2 атома углерода между амино- и карбоксильной группами кислоты, в основном эквимолярного количества диамина, содержащего, по крайней мере, 2 атома углерода между аминогруппами и дикарбоновой кислотой, или моноаминокарбоновой кислоты или ее лактама, как определенно выше, с, в основном, эквимолярным количеством диамина и дикарбоновой кислоты. Понятие ” в основном эквимолярное” количество включает в себя как строго эквимолярное количество, так и немного отклоняющееся от него, которое включено в общепринятые методы стабилизации вязкости полученных полиамидов. Дикарбоновая кислота может быть использована в виде функционального производного, например сложного эфира или хлорангидрида. Примеры упомянутых выше моноаминомонокарбоновых кислот или их лактамов, которые используют в получении полиамидов, включают соединения, содержащие от 2 до 16 атомов углерода между амино- и карбоксильной группами, упомянутые атомы углерода образуют цикл, содержащий -CO-NH-группу в случае лактама. В качестве отдельных примеров аминокарбоновых кислот и лактамов могут быть упомянуты Диамины, подходящие для получения полиамидов, содержат прямые или разветвленные алкильные, арильные и алкарильные цепочки. Примеры диаминов – триметилендиамин, тетраметилендиамин, пентаметилендиамин, октаметилендиамин, гексаметилендиамин, триметилгексаметилендиамин, м-фенилендиамин и м-ксилилендиамин. Дикарбоновые кислоты могут быть представлены формулой НООС-В-СООН, в которой В – двухвалентная алифатическая или ароматическая группа, содержащая, по крайней мере, 2 атома углерода. Примеры алифатических кислот – себациновая кислота, октадекандионовая, субериновая кислота, глутаровая кислота, пимелиновая кислота и адипиновая кислота. Могут использоваться как кристаллические, так и аморфные полиамиды, с частицами кристаллов с известной стойкостью к действию растворителя. Типичными примерами полиамидов или нейлонов, как их часто называют, являются, например, полиамид-6 (поликапролактам), 6,6 (полигексаметиленадипамид), 11; 12; 4,6; 6,10 и 6,12, также как полиамиды из терефталевой кислоты и/или изофталевой кислоты и триметилгексаметилендиамина; из адипиновой кислоты и м-ксилилендиамина; из адипиновой кислоты, азелаиновой кислоты и 2,2-бис(п-аминофенил)пропана или 2,2-бис(п-аминоциклогексил)пропана и из терефталевой кислоты и 4,4′-диаминодициклогексилметана. Смеси и/или сополимеры двух или более упомянутых выше полиамидов или их форполимеров, соответственно, также рассматриваются в настоящем изобретении. Полиамидами настоящего изобретения являются, например, полиамид-6; 4; 6; 6,6; 6,4; 6,9; 6,10; 6,12; 11 и 12. Например, полиамиды настоящего изобретения – полиамид-4, полиамид-6, полиамид-6,6, полиамид-12 или полиамид-6,4. Полиамиды, по настоящему изобретению, могут также включать известные полиамидные стабилизаторы, например, lrgafos 168 (RTM) (Ciba SC), trganox 1098 (RTM) (Ciba SC), Nylostab S-EED (RTM) (Clariant, CAS#42774-15-2) и Polyad 201 (RTM) (Cul)/Kl/Zn стеараты, весовое соотношение 10%:80%:10%). lrganox 1098 (RTM) (Ciba SC) являет собой N,N’-бис(3,5-ди-трет-бутил-4-гидроксифенилпропионил)гексаметилендиамид. Полиамидные стабилизаторы применяются в обычных для них количествах, например, от приблизительно 0,01 до приблизительно 1 вес.% от веса полиамида. Полиамидные композиции по данному изобретению показывают улучшенную устойчивость к пожелтению и улучшенные механические свойства. Ожидается, что полимер компонента (а) может быть первичным полимером или, альтернативно, переработанным полимером. Дополнительно возможно добавлять стабилизатор или стабилизаторы, описанные для компонента (б), как часть концентрата, со сложным полиэфиром или смолой, содержащей полиамид. Новые композиции, предусмотренные настоящим изобретением, пригодны для использования в производстве емкостей или упаковок для съестных припасов, таких как напитки и пища. Изделия, отлитые из таких сложных полиэфиров или полиамидов, обладают хорошей жесткостью при тонкостенкости, превосходной прозрачностью и хорошими изолирующими свойствами, если речь идет о влаге или атмосферных газах, в частности, диоксиде углерода и кислороде. Особый интерес представляют волокна, пленки или литые изделия. Пластиковые контейнеры и пленки, по настоящему изобретению представляют собой жесткие или гибкие одно- и/или многослойные конструкции. Типичные многослойные конструкции состоят из 2 или более слоев, приготовленных либо термоформованием, либо экструзией многослойных гибких пленок, либо экструзией бутылевидных “преформ” или “черновых форм”, следующей за выдувным формованием преформ в бутыли. В многослойных системах могут использоваться слои любого подходящего пластика. Многослойные емкости и пленки по настоящему изобретению могут быть, например, образованы из слоев сложных полиэфиров, полиамидов, полиолефиновых сополимеров, таких как этиленвинилацетат, полистирол, поливинилхлорид, поливинилиденхлорид, полиамидов, целлюлоз, поликарбонатов, этиленвинилового спирта, поливинилового спирта, стирол-акрилонирила и иономеров, при условии, что, по крайней мере, один слой включает в себя сложнополиэфирную или полиамидную композицию по данному изобретению. Как для пленок, так и для жестких упаковок (бутыли) наружный и внутренний, контактирующий с содержимым слои обычно состоят, например, из таких сложных полиэфиров, как ПЭТ или ПЭН [полиэтиленнафталат], полипропилена, или полиэтилена, например, ПЭВП (HDPE). Серединные слои, часто называемые “барьерными”, “клеющими” или “связывающими” слоями, состоят из одной или более комбинаций из ПЭТ, ПЭН, карбоксилированного полиэтиленового иономера, такого как Surlyn (RTM), гомополимеров винилового спирта или сополимеров, таких как поливиниловый спирт, частично гидролизованный поливинилацетат, поли(этилен-со-виниловый спирт), такой как EVOH или EVAL, нейлонов или полиамидов, таких как Selar® (DuPont), или полиамидов, основанных на метаксилолдиамине (иногда называемом нейлон MXD-6 ), или поливинилиденхлориде (PVDC), или полиуретанов. Таким образом, настоящее изобретение также относится к одно- и многослойной пластиковой емкости или пленке, стабилизированной против образования альдегидных примесей в ходе обработки плавлением указанной пленки или емкости, включающей в себя хотя бы один слой, который содержит (а) сложный полиэфир или полиамид, и (б) эффективное стабилизирующее количество хотя бы одного соединения, выбранного из группы, состоящей из i.) гидроксиламиновых стабилизаторов, ii.) замещенных гидроксиламиновых стабилизаторов, iii.) нитроновых стабилизаторов и iv.) аминоксидных стабилизаторов. Жесткие емкости могут быть изготовлены посредством известных механических процессов: а) одностадийное выдувное литье, так как оно проводится на аппаратах Nissei, Aoki или Uniloy, б) двухстадийное инъекционное литье в преформы, как на аппаратах Netsal или Husky, и конвертированием преформ в бутыли методом выдувного литья (например, на аппаратах Sidel, Corpoplast и Krones), в) интегрированное выдувное литье преформ в бутыли, аналогичное тому, которое проводится на аппаратах Sipa, Krupp Kautex или Huski ISB, и г) выдувное формование с вытяжкой (SBM) преформ в бутыли. Предпочтительно, пластиковой емкостью является жесткая бутыль. Преформы по своей конструкции могут быть одно- или многослойными. Бутыли, необязательно, могут быть подвергнуты дополнительной обработке для улучшения свойств внутренних стенок. Бутыли могут быть необязательно обработаны и снаружи, например, с нанесением поверхностных покрытий. В составе дополнительных поверхностных покрытий могут присутствовать УФ-поглотители и прочие известные стабилизаторы. При использовании известных термоотверждающих методов обычные сложные полиэфиры являются стабильными, в терминах цвета, I.V. и теплорассеивания, при температурах до приблизительно 100°С. Подобные характеристики стабильности описываются здесь термином “жаронаполненная” стабильность. Линейные сложные полиэфиры, применяемые в большинстве своем в изделиях, имеющих “жаронаполненную” стабильность, включают в себя полиэтилентерефталат, полиэтилентерефталат, в котором до 5 мол.% этиленгликольных остатков замещены остатками производного 1,4-циклогександиметанола и полиэтилен-2,6-нафталендикарбоксилата, где сложные полиэфиры при помощи методов, хорошо известных из литературы, в достаточной мере термоотверждены и ориентированы для придания желаемой степени кристалличности. Сложнополиэфирные или полиамидные волокна по настоящему изобретению получают известным способом. Они могут быть плетеными или неткаными и получаются путем экструзии расплава с образованием волокон или нитей. В соответствии с известной технологией, такой как непрерывное прядение нити для пряжи или штапельного волокна, и нетканых процессов, таких как соединение прядением и формование дутьем, волокна или нити образуются экструзией расплавленного полимера сквозь мелкие отверстия. Волокна или нити, образованные таким образом, затем вытягиваются или удлиняются. В нетканых процессах, таких как соединение прядением и формование дутьем, волокна или нити располагаются прямо на поверхности, например на движущемся плоском конвейере, и, по крайней мере, частично закреплены одним из множества способов, включая, но не ограничиваясь, тепловые, механические или химические методы плетения. Из литературы известно комбинирование процессов или тканей, полученных разными процессами, для получения композитных тканей, обладающих некоторыми желаемыми характеристиками. Примеры этого – комбинирование соединения прядением и формования дутьем для производства ламинированной ткани, более известной как SMS, предназначенное для представления двух внешних слоев ткани, полученной прядением, и внутреннего слоя ткани, полученной формованием дутьем. Дополнительно, оба этих процесса могут быть совмещены в любом порядке как с процессом кардования штапельного волокна, так и наклеенных тканей, полученных из нетканого волокна методом кардования штапельного волокна. В ламинированных тканях, подобных описанным, слои, как правило, хотя бы частично консолидированы одним из перечисленных выше способов. В ламинированных тканях по данному изобретению хотя бы один слой содержит композицию по настоящему изобретению. Волокна настоящего изобретения описаны, например, в US 5650509, US 5911902, US 6294254, US 5049447, US 5512340, US 6010789, US 5589530 и US 6020421 Волокна по данному изобретению могут быть применены, например, для обивки, в одежде, веревках, сетях, кордах автопокрышек, парашютах и т.п. Литые полиамидные изделия используются, например, применительно к автомобилям (под капотом) и т.п. Сложнополиэфирные пленки хорошо известны из литературы. Например, пленки ПЭТ применяются для упаковки лекарств, пищи, промышленных и декоративных продуктов. Они используются в качестве пленок для деловой графики на этикетках, в подложках для печати, офисной графике и знаках. В качестве промышленных пленок они используются, например, в подкладках, в качестве основы, обратной стороны пленки, защитных покрышек, мембранных выключателей, а также для ламинирования. Они используются, например, в качестве декоративных пленок в области средств массовой информации и в прессе, для защитных применений, в качестве солнцезащитных пленок и пленок датчиков безопасности окон. Например, они применяются в побеленной пленке, в обесцвеченной пленке, в пространственно-устойчивой пленке, в пленке, покрытой в процессе экструзии, в устойчивой к задирам пленке, в поляризующей пленке, в отражающей пленке, в произвольной пленке, в пленке с покрытием, в изолирующей пленке, в пленке, устойчивой к погодным явлениям, в пленке для ламинирования и в зеркальной пленке. Пленки ПЭН используются, например, в этикетках, в гибких печатных платах и электроизоляции. Сложнополиэфирные пленки данного изобретения могут быть использованы, например, в комбинации с другими пленками, такими как полиолефиновые пленки. Полиамидные пленки, например ПА 6 и ПА 6,6, применяются, например, в со-экструдированных упаковочных пленках. Например, полиамидные пленки используются в пищевой упаковке для микроволновых печей. Настоящее изобретение также относится к способу предотвращения образования альдегидных примесей в ходе обработки плавлением сложного полиэфира или полиамида, содержащего эффективное стабилизирующее количество хотя бы одного компонента, включенного в указанный сложный полиэфир или полиамид, и выбранного из группы, состоящей из i.) гидроксиламиновых стабилизаторов, ii.) замещенных гидроксиламиновых стабилизаторов, iii.) нитроновых стабилизаторов, и iv.) аминоксидных стабилизаторов. Таким образом, предпочтительное воплощение настоящего изобретения заключается в использовании компонента (б) для предотвращения образования альдегидных примесей в ходе обработки плавлением сложного полиэфира или полиамида. Гидроксиламиновые стабилизаторы компонента i.), например, раскрываются в патентах US 4590231, 4612393, 4649221, 4668721, 4691015, 4696964, 4703073, 4720517, 4757102, 4782105, 4831134, 4876300, 5006577, 5019285, 5064883, 5185448 и 5235056, подходящие фрагменты которых приведены здесь в виде ссылок. Гидроксиламиновые стабилизаторы компонента i.), применяющиеся в новых композициях и способах, представляют собой, к примеру, соединения формулы (I)
где T1 – линейный или разветвленный алкил с 1 – 36 атомами углерода, циклоалкил с 5-12 атомами углерода, аралкил с 7-9 атомами углерода, или упомянутый аралкил, замещенный одним или двумя алкилами, содержащими от 1 до 12 углеродных атомов, или одним или двумя атомами галогена; и T2 – водород, или, независимо, то же, что и T1. Альтернативно, гидроксиламиновые стабилизаторы компонента i.) настоящего изобретения представляют собой соединения, которые содержат одну или более групп формулы (II)
где Т – группа, образованная пяти- или шестичленным циклом; и R1, R2, R3 и R4 представляют собой, независимо, водород, алкил с 1-4 атомами углерода или фенил. В настоящем изобретении соединениями компонента i.) являются, например, N,N-дигидрокарбилгидроксиламины формулы I, где T1 и T2, независимо, являются бензилом, метилом, этилом, октилом, лаурилом, додецилом, тетрадецилом, гексадецилом, гептадецилом или октадецилом, или где каждый из T1 и T2 представляет собой смесь алкилов, обнаруженных в гидрированном жирном амине. Соединениями компонента i.) в рассматриваемых композициях и способах являются, например, N,N-дигидрокарбилгидроксиламины, выбранные из группы, состоящей из N,N-дибензилгидроксиламина, N,N-диэтилгидроксиламина, N,N-диоктилгидроксиламина, N,N-дилаурилгидроксиламина, N,N-дидодецилгидроксиламина, N,N-дитетрадецилгидроксиламина, N,N-дигексадецилгидроксиламина, N,N-диоктадецилгидроксиламина, N-гексадецил-N-тетрадецилгидроксиламина, N-гексадецил-N-гептадецилгидроксиламина, N-гексадецил-N-октадецилгидроксиламина, N-гептадецил-N-октадецилгидроксиламина, N-метил-N-октадецилгидроксиламина и N,N-дигидрированного жирного гидроксиламина. Компонент i.) в рассматриваемом изобретении может быть, например, N,N-ди(алкил)гидроксиламином, полученным прямым окислением N,N-дигидрированного жирного амина [Jrgastab FS-042 (RTM), Ciba Speciaety Chemicals Corp.]. Замещенные гидроксиламиновые стабилизаторы компонента ii.) представляют собой, например, такие, какие описываются в патентах US 4666962, US 4666963, US 4678826, US 4753972, US 4757102, US 4760179, US 4929657, US 5057563, US 5021479, US 5045583 или US 5185448, раскрытие которых включается в ссылку. Компонент ii.) включает продукты присоединения по реакции Михаэля гидроксиламинов компонента i.) с любым Замещенные гидроксиламины компонента ii.) могут быть производными описанных выше гидроксиламинов формулы I или II при условии, что, если они являются производными гидроксиламинов формулы II, то они ограничиваются производными гидроксиламинов, как описывается в US 5185448 и 5235056. Такие замещенные гидроксиламины могут представлять собой, например, соединения формулы III или IV
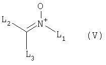
где T1 – линейный или разветвленный алкил, содержащий от 1 до 36 атомов углерода, циклоалкил с числом атомов углерода от 5 до 12, аралкил с числом атомов углерода от 7 до 9, или указанный аралкил, замещенный одним или двумя алкилами с числом углеродных атомов от 1 до 12, или одним или двумя атомами галогена; Т2 – водород, или, независимо, то же, что и T1; и Т3 – аллил, линейный или разветвленный алкил с числом углеродных атомов от 1 до 36, циклоалкил с числом атомов углерода от 5 до 18, циклоалкенил с числом углеродных атомов от 5 до 18, или линейный или разветвленный алкил с числом углеродных атомов от 1 до 4, замещенный фенилом, или фенилом, замещенным одним или двумя алкильными группами с числом углеродных атомов от 1 до 4, или одним или двумя атомами галогена. Например, замещенные гидроксиламины компонента ii.) могут быть О-аллил-N,N-диоктадецилгидроксиламином, или О-н-пропил-N,N-диокта-децилгидроксиламином, или N,N-дигидрированным жирным ацетоксиамином. Нитроны компонента iii.) могут быть, например, такими, как описано в US 4898901, который включается здесь как ссылка. Например, нитроны компонента iii.) имеют формулу V
где L1 – линейный или разветвленный алкил, содержащий от 1 до 36 атомов углерода, циклоалкил с числом атомов углерода от 5 до 12, аралкил с числом углеродных атомов от 7 до 9, или упомянутый аралкил, замещенный одним или двумя алкилами с числом углеродных атомов от 1 до 12, или одним или двумя атомами галогена; и L2 и L3 являются, независимо, водородом, линейным или разветвленным алкилом, содержащим от 1 до 36 атомов углерода, циклоалкилом с числом атомов углерода от 5 до 12, аралкилом с числом углеродных атомов от 7 до 9, или упомянутым аралкилом, замещенным одним или двумя алкилами с числом углеродных атомов от 1 до 12, или одним или двумя атомами галогена: или L1 и L2 вместе образуют пяти- или шестичленный цикл, включающий атом азота. Нитроны компонента iii.) могут быть соответствующими продуктами окисления гидроксиламинов компонента i.). То есть нитроны компонента iii.) могут быть нитроновыми аналогами гидроксиламинов компонента i.). Например, нитронами могут быть N-бензил- Аминоксидные стабилизаторы компонента iv.) представляют собой, например, такие, которые раскрыты в патентах US 5081300, 5162408, 5844029, 5880191 и 5922794, соответствующие фрагменты которых приводятся здесь в качестве ссылок. Например, аминоксидные стабилизаторы компонента iv.) представляют собой насыщенные третичные аминоксиды, имеющие общую формулу VI:
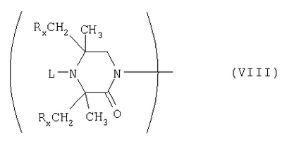
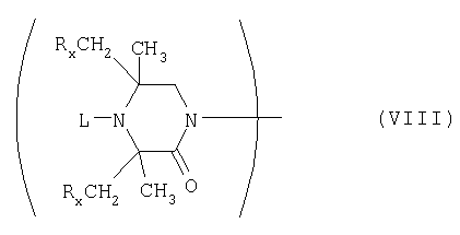
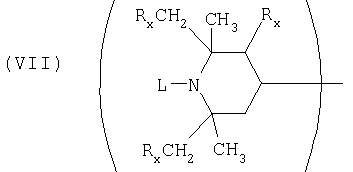
где G1 и G2 – независимо, линейный или разветвленный алкил с числом углеродных атомов от 6 до 36, арил с числом углеродных атомов от 6 до 12, аралкил с числом углеродных атомов от 7 до 36, алкарил с числом углеродных атомов от 7 до 36, циклоалкил с числом атомов углерода от 5 до 36, алкциклоалкил с числом атомов углерода от 6 до 36 или циклоалкилалкил с числом атомов углерода от 6 до 36; G3 – линейный или разветвленный алкил с числом углеродных атомов от 1 до 36, арил с числом углеродных атомов от 6 до12, аралкил с числом углеродных атомов от 7 до 36, алкарил с числом углеродных атомов от 7 до 36, циклоалкил с числом атомов углерода от 5 до 36, алкциклоалкил с числом атомов углерода от 6 до 36 или циклоалкилалкил с числом атомов углерода от 6 до 36; при условии, что хотя бы один из G1, G2 или С3 содержит где G4 – независимо, водород или алкил с числом углеродных атомов от 1 до 8; Rx – водород или метил; L – водород, гидроксигруппа, линейный или разветвленный алкильный остаток C1-30, остаток -C(O)R, где R – линейная или разветвленная алкильная группа C1-30, или остаток -ORy; и Ry – линейный или разветвленный алкил C1-30, алкенил С1-С30, алкинил С2-С30, циклоалкил C5-C12, бициклоалкил С6-С10, циклоалкенил C5-C8, арил С6-С10, аралкил С7-С9, аралкил C7-C9, замещенный алкилом или арилом, или -CO(D), где D – алкил C1-C18, алкокси C1-C18, фенил, фенил, замещенный гидроксилом, алкилом млн алкоксилом, или аминогруппа, или моно- или дизамещенная алкилом или фенилом аминогруппа. Примерами соединений формулы VI являются такие, где G1 и G2 представляют собой, независимо, бензил или замещенный бензил. Также, возможно, чтобы каждый из G1, G2 и G3 был таким же остатком. G1 и G2 могут также, независимо, быть алкильными группами с 8-26 углеродными атомами, например алкильными группами с числом углеродных атомов от 10 до 26. G3 может быть алкильной группой с числом углеродных атомов от 1 до 22, например метильной или замещенной метильной группой. Также рассматриваемые аминоксиды включают такие, в которых G1, G2 и G3 являются такими же алкильными группами с числом углеродных атомов от 6 до 36. Вышеупомянутые остатки G1, G2 и G3 представляют собой, например, насыщенные углеводородные остатки или насыщенные углеводородные остатки, содержащие хотя бы одну из вышеупомянутых долей -О-, -S-, -SO-, -CO2-, -СО- или -CON-. Специалисты, владеющие предметом, будут в состоянии вообразить себе другие подходящие остатки для каждого из G1, G2 и G3, не ограничивающие настоящее изобретение. Интерес представляют аминоксидные стабилизаторы формулы VI, в которых G1 и G2 являются, независимо, алкильными группами с числом углеродных атомов от 8 до 26, a G3 представляет собой метил. Насыщенные аминоксиды компонента iv.) могут также включать полиаминоксиды. Под полиаминоксидами подразумеваются третичные аминоксиды, содержащие хотя бы 2 третичные аминоксидные группы на молекулу. Иллюстративные полиаминоксиды, также называемые “политретаминоксиды”, включают третичные аминоксидные аналоги алифатических и алициклических диаминов, например, таких как 1,4-диаминобутан, 1,6-диаминогексан, 1,10-диаминодекан и 1,4-диаминоциклогексан, а также диамины ароматического ряда, такие, как, например, диаминоантрахиноны и диаминоанизолы. Третичные аминоксиды – производные олигомеров и полимеров вышеупомянутых диаминов также включены в компонент iv.). Пригодные аминоксиды также включают присоединенные к полимерам аминоксиды, например, к полиолефинам, полиакрилатам, сложным полиэфирам, полиамидам, полистиролам и т.п. Когда аминоксид присоединяется к полимеру, среднее значение аминоксида к полимеру может изменяться в широких пределах, так как не всем полимерным цепям необходимо содержать аминоксид. Все вышеупомянутые аминоксиды могут, необязательно, содержать хотя бы одну долю -О-, -S-, -SO-, -CO2-, -СО- или -CONG4-. Например, каждый третий аминоксид полимерного третичного амина может содержать остаток C1. Группы G1, G2 и G3 в соединениях формулы VI могут быть присоединены к молекуле, содержащей затрудненный амин. Известные из литературы затрудненные амины и аминоксиды настоящей заявки могут быть присоединены к затрудненному амину любым способом и в любую структурную позицию затрудненного амина. Подходящие затрудненные амины, выступающие в роли части соединения компонента iv.), включают в себя амины, обладающие общей формулой VII или VIII: где L и Rx – такие, как было описано выше. Также включаются аминоксиды, содержащие более одного затрудненного амина и более одного насыщенного аминоксида на молекулу. Затрудненный амин может быть присоединен к политрет-аминоксиду или к полимерному субстрату, как обсуждалось выше. Особыми примерами компонента (б) является одно или более соединений, выбранных из: i) N,N-ди(алкил)гидроксиламин, полученный прямым окислением N,N-дигидрогенизированного жирного амина [Irgastab FS-042 (RTM)], ii) О-аллил-N,N-диоктадецилгидроксиламин, iii.) N-октадецил- iv.) Genox EP (RTM), ди(С16-С18)алкилметиламиноксид, CAS#204933-93-7. Irgastab FS-042 (RTM) имеется в наличии у Ciba Specialty Chemicals. Genox EP (RTM) имеется в наличии у GE Chemicals. О-аллил-N,N-диоктадецилгидроксиламин – как тот, что готовится в Примере 3 патента US 5045583. N-октадецил- Данное изобретение также имеет отношение к способу формования преформы или бутыли, или емкости, подходящей для хранения воды (минеральной, натуральной, озонированной) или других пищевых продуктов, который позволяет оставаться неизменным желаемому вкусу воды или пищи, хранимой в емкости, после ее помещения в указанную емкость, изготовленную из сложнополиэфирной или полиамидной композиции по данному изобретению. Данная пластиковая емкость или пленка, стабилизированная соединением или соединениями компонента (б), может также содержать их в себе в количестве от приблизительно 0,01 до приблизительно 10 вес.%; например, от приблизительно 0,025 до приблизительно 5 вес.%, например, от приблизительно 0,1 до приблизительно 3 вес.%, относительно общего веса композиции, с дополнительными со-добавками, такими как антиоксиданты, другие УФ-поглотители, затрудненные амины, фосфиты или фосфониты, бензофуран-2-оны, тиосинергетики, полиамидные стабилизаторы, стеараты металлов, кристаллообразующие агенты, наполнители, упрочняющие агенты, смазочные материалы, эмульгаторы, пигменты, красители, оптические осветлители, огнеупорные добавки, антистатики, вспенивающие реагенты и тому подобное, как те материалы, что перечислены ниже, или их смеси. 1. Антиоксиданты 1.1. Алкилированные монофенолы, например, 2,6-ди-трет-бутил-4-метилфенол, 2-трет-бутил-4,6-диметилфенол, 2,6-ди-трет-бутил-4-этилфенол, 2,6-ди-трет-бутил-4-н-бутилфенол, 2,6-ди-трет-бутил-4-изобутилфенол, 2,6-дициклопентил-4-метилфенол, 2-( 1.2. Алкилтиометилфенолы. например, 2,4-диоктилтиометил-6-трет-бутилфенол, 2,4-диоктилтиометил-6-метилфенол, 2,4-диоктилтиометил-6-этилфенол, 2,6-ди-додецилтиометил-4-нонилфенол. 1.3. Гидрохиноны и алкилированные гидрохиноны, например, 2,6-ди-трет-бутил-4-метоксифенол, 2,5-ди-трет-бутилгидрохинон, 2,5-ди-трет-амилгидрохинон, 2,6-дифенил-4-октадецилоксифенол, 2,6-ди-трет-бутилгидрохинон, 2,5-ди-трет-бутил-4-гидроксианизол, 3,5-ди-трет-бутил-4-гидроксианизол, 3,5-ди-трет-бутил-4-гидроксифенилстеарат, бис(3,5-ди-трет-бутил-4-гидроксифенил)адипат. 1.4. Токоферолы, например, 1.5. Гидроксилированные тиодифениловые эфиры, например, 2,2′-тиобис(6-трет-бутил-4-метилфенол), 2,2′-тиобис(4-октилфенол), 4,4′-тиобис(6-трет-бутил-3-метилфенол), 4,4′-тиобис(6-трет-бутил-2-метилфенол), 4,4′-тиобис(3,6-ди-втор-амилфенол), 4,4′-бис(2,6-диметил-4-гидроксифенил)дисульфид. 1.6. Алкилиденбисфенолы, например, 2,2′-метиленбис(6-трет-бутил-4-метилфенол), 2,2′-метиленбис(6-трет-бутил-4-этилфенол), 2,2′-метиленбис[4-метил-6-( 1.7. О-, N- и S-бензиловые соединения, например, 3,5,3′,5′-тетра-трет-бутил-4,4′-дигидроксидибензиловый эфир, октадецил-4-гидрокси-3,5-диметилбензил-меркаптоацетат, тридецил-4-гидрокси-3,5-ди-трет-бутилбензилмеркаптоацетат, трис(3,5-ди-трет-бутил-4-гидроксибензил)амин, бис(4-трет-бутил-3-гидрокси-2,6-диметилбензил)дитиотерефталат, бис(3,5-ди-трет-бутил-4-гидроксибензил)-сульфид, изооктил-3,5-ди-трет-бутил-4-гидроксибензилмеркаптоацетат. 1.8. Гидроксибензилированные малонаты, например, диоктадецил-2,2-бис(3,5-ди-трет-бутил-2-гидроксибензил)малонат, ди-октадецил-2-(3-трет-бутил-4-гидрокси-5-метилбензил)малонат, ди-додецилмеркаптоэтил-2,2-бис(3,5-ди-трет-бутил-4-гидроксибензил)малонат, бис[4-(1,1,3,3-тетра-метилбутил)фенил]-2,2-бис(3,5-ди-трет-бутил-4-гидроксибензил)малонат. 1.9. Ароматические гидроксибензиловые соединения, например, 1,3,5-трис(3,5-ди-трет-бутил-4-гидроксибензил)-2,4,6-триметилбензол, 1,4-бис(3,5-ди-трет-бутил-4-гидроксибензил)-2,3,5,6-тетраметилбензол, 2,4,6-трис(3,5-ди-трет-бутил-4-гидроксибензил)фенол. 1.10. Триазиновые соединения, например, 2,4-бис(октилмеркапто)-6-(3,5-ди-трет-бутил-4-гидроксианилино)-1,3,5-триазин, 2-октилмеркапто-4,6-бис(3,5-ди-трет-бутил-4-гидроксианилино)-1,3,5-триазин, 2-октилмеркапто-4,6-бис(3,5-ди-трет-бутил-4-гидроксифенокси)-1,3,5-триазин, 2,4,6-трис(3,5-ди-трет-бутил-4-гидроксифенокси)-1,2,3-триазин, 1,3,5-трис(3,5-ди-трет-бутил-4-гидроксибензил)-изоцианурат, 1,3,5-трис(4-трет-бутил-3-гидрокси-2,6-диметилбензил)изоцианурат, 2,4,6-трис(3,5-ди-трет-бутил-4-гидроксифенилэтил)-1,3,5-триазин, 1,3,5-трис(3,5-ди-трет-бутил-4-гидроксифенилпропионил)гексагидро-1,3,5-триазин, 1,3,5-трис(3,5-дициклогексил-4-гидроксибензил)изоцианурат. 1.11. Бензилфосфонаты, например, диметил-2,5-ди-трет-бутил-4-гидроксибензилфосфонат, диэтил-3,5-ди-трет-бутил-4-гидроксибензилфосфонат, диоктадецил-3,5-ди-трет-бутил-4-гидроксибензилфосфонат, диоктадецил-5-трет-бутил-4-гидрокси-3-метилбензилфосфонат, кальциевая соль моноэтилового эфира 3,5-ди-трет-бутил-4-гидроксибензилфосфоновой кислоты. 1.12. Ациламинофенолы, например, 4-гидроксилауранилид, 4-гидрокси-стеаранилид, октил-N-(3,5-ди-трет-бутил-4-гидроксифенил)карбамат. 1.13. Эфиры 1 14. Эфиры 1.15. Эфиры 1.16. Эфиры 3,5-ди-трет-бутил-4-гидроксифенилуксусной кислоты с одно- или многоатомными спиртами, например, с метанолом, этанолом, н-октанолом, октадеканолом, 1,6-гександиолом, 1,9-нонандиолом, этиленгликолем, 1,2-пропандиолом, неопентилгликолем, тиодиэтиленгликолем, диэтиленгликолем, триэтиленгликолем, пентаэритритолом, трис(гидроксиэтил)изоциануратом, N,N’-бис(гидроксиэтил)оксамидом, 3-тиаундеканолом, 3-тиапентадеканолом, триметилгександиолом, триметилолпропаном, 4-гидроксиметил-1-фосфа-2,6,7-триоксабицикло[2.2.2]октаном. 1.17 Амиды 1.18. Аскорбиновая кислота (витамин С). 1.19. Аминовые антиоксиданты, например, N,N’-ди-изопропропил-п-фенилендиамин, N,N’-втор-бутил-п-фенилендиамин, N,N’-бис(1,4-диметилпентил)-п-фенилендиамин, N,N’-бис(1-этил-3-метилпентил)-п-фенилендиамин, N,N’-бис(1-метилгептил)-п-фенилендиамин, N,N’-дициклогексил-п-фенилендиамин, N,N’-ди-фенил-п-фенилендиамин, N,N’-бис(2-нафтил)-п-фенилендиамин, N-изопропил-N’-фенил-п-фенилендиамин, N-(1,3-диметилбутил)-N’-фенил-п-фенилендиамин, N-(1-метилгептил)-N’-фенил-п-фенилендиамин, N-циклогексил-N’-фенил-п-фенилендиамин, 4-(п-толуолсульфамоил)дифениамин, N,N’-деметил-N,N’-ди-втор-бутил-п-фенилендиамин, дифениламин, N-аллилдифениламин, 4-изо-пропоксидифениламин, N-фенил-1-нафтиламин, N-(4-трет-октилфенил)-1-наф-тиламин, N-фенил-2-нафтиламин, октилированный дифениламин, например, N,N’-ди-трет-октилдифениламин, 4-н-бутиламинофенол, 4-бутириламинофенол, 4-нонаноиламинофенол, 4-додеканоиламинофенол, 4-октадеканоиламинофенол, бис(4-метоксифениламин, 2,6-ди-трет-бутил-4-диметиламинометилфенол, 2,4′-диаминодифенилметан, 4,4′-диаминодифенилметан, N,N,N’,N’-тетраметил-4,4′-диаминодифенилметан, 1,2-бис[(2-метилфенил)амино]этан, 1,2-бис(фенил-амино)пропан, (о-толил)бигуанид, бис[4-(1′,3′-диметилбутип)фенил]амин, трет-октилированный N-фенил-1-нафтиламин, смесь моно- и диалкилированных трет-бутил/трет-октилдифениламинов, смесь моно- и диалкилированных нонилдифениламинов, смесь моно- и диалкилированных додецилдифениламинов, смесь моно- и диалкилированных изопропил/изогексил-дифениламинов, смесь моно- и диалкилированных трет-бутилдифениламинов, 2,3-дигидро-3,3-диметил-4Н-1,4-бензтриазмн, фентриазин, смесь моно- и диалкинированных трет-бутил/трет-октилфентриазинов, смесь моно- и диалкилированных трет-октилфентриазинов, N-аллилфентриазин, N,N,N’,N’-тетра-фенил-1,4-диаминобут-2-ен. 2. Светостабилизаторы и УФ-поглотители 2.1. 2-(2′-Гидроксифенил)бензтоиазолы, например, 2-(2′-гидрокси-5′-метилфенол)бензтриазол, 2-(3′,5′-ди-трет-бутил-2′-гидроксифенил)бензтриазол, 2-(5′-трет-бутил-2′-гидроксифенил)бензтриазол, 2-(2′-гидрокси-5′-(1,1,3,3-тетра-метилбутил)фенил)бензтриазол, 2-(3′,5′-ди-трет-бутил-2′-гидроксифенил)-5-хлорбензтрназол, 2-(3′-трет-бутил-2′-гидрокси-5′-метилфенил)-5-хлор-бензтриазол, 2-(3′-втор-бутил-5′-трет-бутил-2′-гидроксифенил)бензтриазол, 2-(2′-гидрокси-4′-октилоксифенил)бензтриазол, 2-(3′,5′-ди-трет-амил-2′-гидроксифенил) бензтриазол, 2-(3′,5′-бис( 2.2. 2-Гидроксибензофеноны, например, 4-гидрокси-, 4-метокси-, 4-октилокси-, 4-децилокси-, 4-додецилокси-, 4-бензилокси-, 4,2′,4′-тригидрокси- и 2′-гидрокси-4,4′-диметокси- производные. 2.3. Сложные эфиры замещенных и незамещенных бензойных кислот, например, 4-трет-бутилфенилсалицилат, фенилсалицилат, октилфенилсалицилат, дибензоилрезорцин, бис(4-трет-бутилбензоил)резорцин, бензоилрезорцин, 2,4-ди-трет-бутилфенил-3,5-ди-трет-бутил-4-гидроксибензоат, гексадецил-3,5-ди-трет-бутил-4-гидроксибензоат, октадецил-3,5-ди-трет-бутил-4-гидроксибензоат, 2-метил-4,6-ди-трет-бутилфенил-3,5-ди-трет-бутил-4-гидроксибензоат. 2.4. Акрилаты, например, этил- 2.5. Соединения никеля, например, никелевые комплексы 2,2′-тиобис[4-(1,1,3,3-тетраметилбутил)фенол], такие как комплексы 1:1 или 1:2, с или без дополнительных лигандов, таких как н-бутиламин, триэтаноламин или N-цикло-гексилдиэтаноламин, никельдибутилдитиокарбамат, никелевые соли моноалкиловых сложных эфиров, например метилового или этилового эфиров, 4-гидрокси-3,5-ди-трет-бутилбензилфосфониевой кислоты, никелевые комплексы кетоксимов, например, 2-гидрокси-4-метилфенилундецилкетоксима, никелевые комплексы 1-фенил-4-лаурил-5-гидроксипиразола с или без дополнительных лигандов. 2.6. Стерически затрудненные амины, например, бис(2,2,6,6-тетраметил-4-пиперидил)себацат, бис(2,2,6,6-тетраметил-4-пиперидил)сукцинат, бис(1,2,2,6,6-пентаметил-4-пиперидил)себацат, бис(1-октилокси-2,2,6,6-тетраметил-4-пипе-ридил)себацат, бис(1,2,2,6,6-пентаметил-4-пиперидил)-н-бутил-3,5-ди-трет-бутил-4-гидроксибензилмалонат, продукт конденсации 1-(2-гидроксиэтил)-2,2,6,6-тетраметил-4-гидроксипиперидина и сукциновой кислоты, линейные или циклические продукты конденсации N,N’-бис(2,2,6,6-тетраметил-4-пиперидил)гексаметилендиамина и 4-трет-октиламино-2,6-дихлор-1,3,5-триазина, трис(2,2,6,6-тетраметил-4-пиперидил)нитрилотриацетат, тетракис(2,2,6,6-тет-раметил-4-пиперидил)-1,2,3,4-бутан-тетракарбоксилат, 1,1′-(1,2-этандиил)-бис(3,3,5,5-тетраметилпиперазинон), 4-бензоил-2,2,6,6-тетраметилпиперидин, 4-стеарилокси-2,2,6,6-тетраметилпиперидин, бис(1,2,2,6,6-пентаметил-пиперидил)-2-н-бутил-2-(2-гидрокси-3,5-ди-трет-бутилбензил)малонат, 3-н-октил-7,7,9,9-тетраметил-1,3,8-триазаспиро[4.5]декан-2,4-дион, бис(1-октилокси-2,2,6,6-тетраметилпиперидил)себацат, бис(1-октилокси-2,2,6,6-тетраметилпиперидил)-сукцинат, линейные или циклические продукты конденсации N,N’-бис(2,2,6,6-тетраметил-4-пиперидил)гексаметилендиамина и 4-морфолино-2,6-дихлор-1,3,5-триазина, продукт конденсации 2-хлор-4,6-бис(4-н-бутиламино-2,2,6,6-тетраметилпиперидил)-1,3,5-триазина и 1,2-бис(3-аминопропиламино)этана, продукт конденсации 2-хлор-4,6-ди-(4-н-бутиламино-1,2,2,6,6-пентаметил-пиперидил)-1,3,5-триазина и 1,2-бис(3-аминопропиламино)этана, 8-ацетил-3-додецил-7,7,9,9-тетраметил-1,3,8-триазаспиро[4.5]декан-2,4-дион, 3-додецил-1-(2,2,6,6-тетраметил-4-пиперидил)пирролидин-2,5-дион, 3-додецил-1-(1,2,2,6,6-пентаметил-4-пиперидил)пирролидин-2,5-дион, смесь 4-гексадецилокси- и 4-стеарилокси-2,2,6,6-тетраметилпиперидина, продукт конденсации N,N’-бис(2,2,6,6-тетраметил-4-пиперидил)гексаметилендиамина и 4-циклогексиламино-2,6-дихлор-1,3,5-триазина, продукт конденсации 1,2-бис(3-амино-пропиламино)этана и 2,4,6-трихлор-1,3,5-триазина так же как и 4-бутиламино-2,2,6,6-тетраметилпиперидина (CAS рег. №[136504-96-6]); продукт конденсации 1,6-гександиамина и 2,4,6-трихлор-1,3,5-триазина, также как и N,N-дибутиламина и 4-бутиламино-2,2,6,6-тетраметилпиперидина (CAS Reg. №[129268-64-7]); N-(2,2,6,6-тетраметил-4-пиперидил)-н-додецилсукцинимид, N-(1,2,2,6,6-пента-метил-4-пиперидил)-н-додецилсукцинимид, 2-ундецил-7,7,9,9-тетраметил-1-окса-3,8-диаза-4-оксоспиро[4,5]декан, продукт взаимодействия 7,7,9,9-тетраметил-2-циклоундецил-1-окса-3,8-диаза-4-оксоспиро[4,5]декана и эпихлоргидрина, 1,1-бис-(1,2,2,6,6-пентаметил-4-пиперидилоксикарбонил)-2-(4-метоксифенил)этен, N,N’-бис-формил-N,N’-бис(2,2,6,6-тетраметил-4-пиперидил)гексаметилендиамин, двойной сложный эфир 4-метоксиметиленмалоновой кислоты и 1,2,2,6,6-пентаметил-4-гидроксипиперидина, поли[метилпропил-3-окси-4-(2,2,6,6-тетраметил-4-пиперидил)]силоксан, продукт взаимодействия сополимера Стерически затрудненный амин также может быть одним из соединений, описанных в GB-A-2 301 106 как компонент l-а), l-b), l-c), l-d), l-e), l-f), l-g), l-h), l-i), l-j), l-k) или l-l), в частности светостабилизатором 1-а-1, 1-а-2, 1-b-1, 1-c-1, 1-c-2, 1-d-1, 1-d-2, 1-d-3, 1-e-1, 1-f-1, 1-g-1, 1-g-2 или 1-k-1, приведенным на страницах 68-73 указанного патента GB-A-2 301 106. Стерически затрудненный амин может также быть одним из соединений, описанных в ЕР-А-0 782 994, например таких, какие описаны в пунктах 10 или 38, или в Примерах 1-12, или в там же приведенных D1-D5. 2.7. Стерически затрудненные амины, замещенные гидроксизамещенной алкоксильной группой у атома азота, например, такие соединения, как 1-(2-гидрокси-2-метилпропокси)-4-октадеканоилокси-2,2,6,6-тетраметилпиперидин, 1-(2-гидрокси-2-метилпропокси)-4-гексадеканоилокси-2,2,6,6-тетраметилпиперидин, продукт взаимодействия 1-оксил-4-гидрокси-2,2,6,6-тетраметилпиперидина с углеродным радикалом т-амилового спирта, 1-(2-гидрокси-2-метилпропокси)-4-гидрокси-2,2,6,6-тетраметилпиперидин, 1-(2-гидрокси-2-метилпропокси)-4-оксо-2,2,6,6-тетраметилпиперидин, бис(1-(2-гидрокси-2-метилпропокси)-2,2,6,6-тетраметилпиперидин-4-ил)себацат, бис(1-(2-гидрокси-2-метилпропокси)-2,2,6,6-тетраметилпиперидин-4-ил)адипат, бис(1-(2-гидрокси-2-метилпропокси)-2,2,6,6-тетраметилпиперидин-4-ил) сукцинат, бис(1-(2-гидрокси-2-метилпропокси)-2,2,6,6-тетраметилпиперидин-4-ил) глутарат и 2,4-бис{N-[1-(2-гидрокси-2-метилпропокси)-2,2,6,6-тетраметилпиперидин-4-ил]-N-бутиламино}-6-(2-гидроксиэтиламино)-s-триазин. 2.8. Оксамиды, например, 4,4′-диоктилоксиоксанилид, 2,2′-диэтоксиоксанилид, 2,2′-диоктилокси-5,5′-ди-трет-бутоксанилид, 2,2′-дидодецилокси-5,5′-ди-трет-бутоксанилид, 2-этокси-2′-этилоксанилид, N, N’-бис(3-диметиламино-пропил)оксамид, 2-этокси-5-трет-бутил-2′-этоксанилид и его смесь с 2-этокси-2′-этил-5,4′-ди-трет-бутоксанилидом, смеси о- и п-метокси-дизамещенных оксанилидов и смеси о- и п-этокси-дизамещенных оксанилидов. 2.9. 2-(2-Гидроксифенил)-1,3.5-триазины, например, 2,4,6-трис(2-гидрокси-4-октилоксифенил)-1,3,5-триазин, 2-(2-гидрокси-4-октилоксифенил)-4,6-бис(2,4-диметилфенил)-1,3,5-триазин, 2-(2,4-дигидроксифенил)-4,6-бис(2,4-диметил-фенил)-1,3,5-триазин, 2,4-бис(2-гидрокси-4-пропилоксифенил)-6-(2,4-диметил-фенил)-1,3,5-триазин, 2-(2-гидрокси-4-октилоксифенил)-4,6-бис(4-метилфенил)-1,3,5-триазин, 2-(2-гидрокси-4-додецилоксифенил)-4,6-бис(2,4-диметилфенил)-1,3,5-триазин, 2-(2-гидрокси-4-тридецилоксифенил)-4,6-бис(2,4-диметилфенил)-1,3,5-триазин, 2-[2-гидрокси-4-(2-гидрокси-3-бутилоксипропокси)фенил]-4,6-бис(2,4-диметил)-1,3,5-триазин, 2-[2-гидрокси-4-(2-гидрокси-3-октилокси-пропилокси)фенил]-4,6-бис(2,4-диметил)-1,3,5-триазин, 2-[4-(додецилокси/тридецилокси-2-гидроксипропокси)-2-гидроксифенил]-4,6-бис(2,4-диметилфенил)-1,3,5-триазин, 2-[2-гидрокси-4-(2-гидрокси-3-додецилоксипропокси)фенил]-4,6-бис(2,4-диметилфенил)-1,3,5-триазин, 2-(2-гидрокси-4-гексилокси)фенил-4,6-дифенил-1,3,5-триазин, 2-(2-гидрокси-4-метоксифенил)-4,6-дифенил-1,3,5-триазин, 2,4,6-трис[2-гидрокси-4-(3-бутокси-2-гидроксипропокси)фенил]-1,3,5-триазин, 2-(2-гидроксифенил)-4-(4-метоксифенил)-6-фенил-1,3,5-триазин, 2-{2-гидрокси-4-[3-(2-этилгексил-1-окси)-2-гидроксипропилокси]фенил}-4,6-бис(2,4-диметилфенил)-1,3,5-триазин. 3. Деактиваторы металлов, например, N,N’-дифенилоксамид, N-салицилаль-N’-салицилоил гидразин, N,N’-бис(салицилоил)гидразин, N,N’-бис(3,5-ди-трет-бутил-4-гидроксифенилпропионил)гидразин, 3-салицилоиламино-1,2,4-триазол, бис(бензилиден)оксалил дигидразид, оксанилид, изофталоил дигидразид, себацоил бисфенилгидразид, N,N’-диацетиладипоил дигидразид, N,N’-бис-(салицилоил)оксалил дигидразид, N,N’-бис(салицилоил)тиопропионил дигидразид. 4. Фосфиты и фосфониты, например, трифенилфосфит, фосфиты дифенилалкилов, фенилдиалкилов, фосфит трис(нонилфенила), трилаурилфосфит, триоктадецилфосфит, дистеарилпентаэритритолдифосфит, трис(2,4-ди-трет-бутилфенил)фосфит, диизодецилпентаэритритолдифосфит, бис(2,4-ди-трет-бутилфенил)пентаэритритолдифосфит, бис(2,4-дикумилфенил)-пентаэритритолдифосфит, бис(2,6-ди-трет-бутил-4-метилфенил)пентаэритритол-дифосфит, диизодецилоксипентаэритритолдифосфит, бис(2,4-ди-трет-бутил-6-метилфенил)пентаэритритолдифосфит, бис(2,4,6-трис(трет-бутнлфенил)-пентаэритритолдифосфит, тристеарилсорбитолтрифосфит, тетракис(2,4-ди-трет-бутилфенил)-4,4′-бифенилендифосфонит, 6-изооктилокси-2,4,8,10-тетра-трет-бутил-12Н-дибензи[d,g]-1,3,2-диоксафосфоцин, бис(2,4-ди-трет-бутил-6-метилфенил)метилфосфит, бис(2,4-ди-трет-бутил-6-метилфенил)этилфосфат, 6-фтор-2,4,8,10-тетра-трет-бутил-12-метил-дмбензи[d,g]-1,3,2-диоксафосфоцин, 2,2′,2”-нитрил-[триэтилтрис(3,3′,5,5′-тетра-трет-бутил-1,1′-бифенил-2,2′-диил)-фосфит], 2-этилгексил(3,3′,5,5′-тетра-трет-бутил-1,1′-бифеннл-2,2′-диил)фосфит, 5-бутил-5-этил-2-(2,4,6-три-трет-бутилфенокси)-1,3,2-диоксафосфиран. Особо предпочтительны следующие фосфиты: Трис(2,4-ди-трет-бутилфенил) фосфат (Irgafos 168 (RTM), Ciba Specialty Chemicals Inc.), трис(нонилфенил) фосфит 5. Бензофураноны и индолиноны, например, которые описаны в US 4325863, US 4338244, US 5175312, US 5216052, US 5252643, DE-A-4316611, DE-A-4316622, DE-A-4316876, EP-A-0589839 или ЕР-А-0591102 или 3-[4-(2-ацетоксиэтокси)-фенил]-5,7-ди-трет-бутилбензофуран-2-он, 5,7-ди-трет-бутил-3-[4-(2-стеароил-оксиэтокси)фенил]бензофуран-2-он, 3,3′-бис[5,7-ди-трет-бутил-3-(4-[2-гидрокси-этокси]фенил)бензофуран-2-он], 5,7-ди-трет-бутил-3-(4-этоксифенил)бензофуран-2-он, 3-(4-ацетокси-3,5-диметилфенил)-5,7-ди-трет-бутилбензофуран-2-он, 3-(3,5-диметил-4-пивалоилоксифенил)-5,7-ди-трет-бутилбензофуран-2-он, 3-(3,4-диметилфенил)-5,7-ди-трет-бутилбензофуран-2-он, 3-(2,3-диметилфенил)-5,7-ди-трет-бутилбензофуран-2-он. 6. Тиосинергетики. например, дилаурилтиодипропионат или дистеарил-тиодипропионат. 7. Перекись-разрушающие соединения, например, сложные эфиры 8. Полиамидные стабилизаторы, например, соли меди в сочетании с иодидными и/или фосфорными соединениями и солями двухвалентного марганца. 9. Основные со-стабилизаторы, например, меламин, поливинилпирролидон, дициандиамид, триаллилцианурат, производные мочевины, производные гидразина, амины, полиамиды, полиуретаны, соли щелочных и щелочноземельных металлов высших жирных кислот, например, стеарат кальция, стеарат цинка, бехенат магния, стеарат магния, рицинолеат натрия и пальмитат кальция, пирокатехолат цинка или мышьяка. 10. Зародышеобразующие реагенты, например, такие неорганические вещества, как тальк, оксиды металлов, такие как диоксид титана или оксид магния, фосфаты, карбонаты или сульфаты предпочтительно щелочноземельных металлов; органические соединения, такие как моно- и поликарбоновые кислоты и их соли, например, 4-трет-бутилбензойная кислота, адипиновая кислота, дифенилуксусная кислота, сукцинат или бензоат натрия; полимерные соединения, такие как ионные сополимеры (иономеры). Особо предпочтительны 1,3:2,4-бис(3′,4′-диметилбензилиден)сорбитол, 1,3:2,4-ди(параметилдибензилиден)сорбитол и 1,3:2,4-ди(бензилиден)сорбитол. 11. Наполнители и упрочняющие агенты, например, карбонат кальция, силикаты, стекловолокна, стеклогранулы, асбесты, тальк, каолин, слюда, сульфат бария, оксиды и гидроксиды металлов, углеродная сажа, графит, древесные опилки и опилки или волокна других натуральных продуктов, синтетические волокна. 12. Диспергирующиеся реагенты, такие как минеральное масло или полиэтиленоксидные воска. 13. Прочие добавки, например, пластификаторы, смазочные материалы, эмульгаторы, пигменты, краски, реологические добавки, катализаторы, агенты контроля потока, оптические осветлители, скользящие вещества, сшивающие реагенты, ускорители сшивания, галоген-разрушающие вещества, дымоподавители, огнестойкие реагенты, антистатики, осветлители (такие, как замещенные и незамещенные бисбензилиденовые сорбитолы, бенэоксазиноновые УФ-поглотители, такие как 2,2′-п-фенилен-бис(3,1-бензоксазин-4-он), Cyasorb 3638 (RTM) (CAS# 186-59-4), и вспенивающие агенты. Также предполагается, что настоящие сложнополиэфирные или полиамидные композиции в дальнейшем могут быть стабилизированы против образования альдегидных примесей в ходе обработки плавлением введением в них поливинилового спирта, сополимера этилена и винилового спирта, многоатомных спиртов, полиакриламида, полиметакриламида или акриламида или сополимера метакриламида с хотя бы одним этиленненасыщенным со-мономером. Дополнительно, настоящее изобретение также имеет отношение к сложнополиэфирной или полиамидной композиции, стабилизированной против образования альдегидных примесей в ходе обработки плавлением указанной композиции, которая включает в себя (а) сложный полиэфир или полиамид, и (б) эффективное стабилизирующее количество хотя бы одного соединения, выбранного из группы, включающей i.) гидроксиламиновые стабилизаторы, ii.) замещенные гидроксиламиновые стабилизаторы, iii.) нитроновые стабилизаторы, и iv.) аминоксидные стабилизаторы, и необязательно (с) эффективное стабилизирующее количество полимера, который является поливиниловым спиртом или сополимером этилена и винилового спирта: и необязательно (d) эффективное стабилизирующее количество многоатомного спирта формулы Е-(ОН)n, где n составляет от 2 до 4000, и Е представляет собой гидрокарбильную долю: и необязательно (e) эффективное стабилизирующее количество полимера, такого как полиакриламид, полиметакриламид, или акриламид или сополимер метакриламида с хотя бы одним этиленненасыщенным со-мономером. Гидрокарбильная доля, в соответствии с настоящим изобретением, является, например, алифатической, циклоалифатической, ароматической или моно-, ди- или полисахаридной долей. Гидрокарбильная доля Е может быть прервана гетероатомами, например -О-. Многоатомными спиртами компонента (d) могут, например, являться глицерин, 1,2,3-бутантриол, 1,2,4-бутантриол, эритритол, рибитол, ксилитол, дульцитол, сорбитол, 1,2,3-циклогексантриол, инозитол, глюкоза, галактоза, манноза, галактуроновая кислота, ксилоза, глюкозамин, галактозамин, 1,1,2,2-тетраметилоилциклогексан, 1,1,1 -триметилолпропан, 1,1,2-триметилоилпропан, 1,1,1-триметилолбутан, 1,1,2-триметилолбутан, 1,1,1-триметилолпентан, 1,1,2-триметилолпентан, 1,2,2-триметилолпентан, триметилолпентан, пентаэритритол, дипентаэритритол, 1,1,3,3-тетрагидроксипропан, 1,1,5,5-тетрагидроксипентан, 2,2,6,6-тетракис(гидроксиметил)циклогексан и 2,2,6,6-тетракис(гидроксиметил)-циклогексанол. Особый интерес представляет триметилолпентан, пентаэритритол или дипентаэритритол. Многоатомным спиртом является, например, крахмал, целлюлоза или сахар или сахарный спирт. Многоатомные спирты включают деградированный крахмал (декстрины и циклодекстрины), мальтозу и ее производные, мальтитол, мальтопентаозгидрат, мальтогептозу, мальтотетраозу, моногидрат мальтозы, D,L-глюкозу, декстрозу, сахарозу и D-маннитол. Коммерческие многоатомные спирты включают триметилолпропан, триэтилолпропан, глицерин, сорбитол и пентаэритритол. Сложный полиэфир или полиамид компонента (а) составляет 95-99,99 вес.%, и полимер компонента (с) составляет от 5 до 0,01 вес.%, относительно общего веса компонентов (а) и (с). Например, сложный полиэфир или полиамид компонента (а) составляет 99,925-99,995 вес.%, и полимер компонента (с) составляет от 0,075 до 0,005 вес.%, относительно общего веса компонентов (а) и (с). Сложный полиэфир или полиамид компонента (а) составляет 95-99,99 вес.%, и многоатомный спирт компонента (d) составляет от 5 до 0,01 вес.%, относительно общего веса компонентов (а) и (d). Например, компонент (а) составляет от 98 до 99,99 вес.%, и компонент (d) составляет от 2 до 0,01 вес.%, относительно общего веса (а) и (d); например, компонент (а) составляет от 99 до 99,97 вес.%, и компонент (d) составляет от 1 до 0,03 вес.%, относительно общего веса (а) и (d). Сложный полиэфир или полиамид компонента (а) составляет 95-99,99 вес.%, и полимер компонента (е) составляет от 5 до 0,01 вес.% относительно общего веса компонентов (а) и (е). Также было обнаружено, что некоторые пигменты и/или краски или другие красители в композициях по данному изобретению предотвращают пожелтение стабилизированных сложнополиэфирных и полиамидных композиций. Следовательно, настоящее изобретение также относится к композиции, стабилизированной против образования альдегидных примесей и пожелтения в ходе обработки плавлением указанной композиции, которая включает в себя (а) сложный полиэфир или полиамид, и (б) эффективное стабилизирующее количество хотя бы одного соединения, выбранного из группы, состоящей из i.) гидроксиламиновых стабилизаторов, ii.) замещенных гидроксиламиновых стабилизаторов, iii.) нитроновых стабилизаторов, и iv.) аминоксидных стабилизаторов, и (с) один или более красителей, выбранных из группы, состоящей из пигментов или красок. Подходящими являются органические или неорганические пигменты или краски Например, подходят соли кобальта, голубой ультрамарин, полимерные растворимые синие краски и медная фталоцианиновая синь. Из солей кобальта подходят алюминат кобальта, ацетат кобальта, стеарат кобальта и октоат кобальта. Пригодными пигментами являются, например, красные, синие или фиолетовые органические пигменты. Например, подходят органические пигменты Дикето-пирроло-пиррола, хинакридона, азо-сконденсированные, антрахинон, перинон, комплексы хрома, бензимидазолин, аминоантрахинон, нафтол, индантрон, карбазолдиоксазин и соединения класса периленов. Пригодные пигменты и красители включают Ciba Cromophtal Violet В и Violet GT (RTM) (из класса диоксазинов), Pigment Violet 23 и 37, Disperse Violet 57, Solvent Violet 13, Ciba Oracet Violet TR (RTM), Ciba Oracet Violet В (RTM) и Bayer Macrolex Violet В Gran (RTM) (из класса антрахиноновых красителей), PV-19, Cromophtal Violet R RT-891-D (RTM), Cromophtal Red 2020 (RTM), Monastral Red Y RT-759 (RTM) Monastral Red В RT-790-D (RTM), PR-202 (RTM), Monastral Magenta RT-235-D (RTM), и Monastral Red В RT195-D (RTM) все из класса хинакридоновых пигментов. Также пригодны SV-46 (RTM), Fitamid Violet RB (RTM) (комплексные хромовые красители 1:2), и SB-132 (RTM), Filamid Blue R (RTM) (антрахинон). Дополнительные краски включают PR-177 (RTM), Cromophtal Red A3B (RTM) (антрахинон), PR-264 (RTM), Jrgazin DPP Rubine TR (RTM) (дикето-пирроло-пиррол), SR-135 (RTM), Oracet Red G (RTM) (перинон), PB 15:3 (RTM), Cromophtal Blue 4 GNP (RTM), Cromopytal Blue LGLD (RTM), PB 15:1 (RTM), lrgalite Blue BSP (RTM), PB-60 (RTM), Cromophtal Blue A3R (RTM) (индантрон), SB-67 (RTM), и Ciba Oracet Blue G (RTM). Нижеследующие примеры служат только для иллюстративных целей и не могут быть расценены как ограничивающие объем данного изобретения в какой бы то ни было степени. Общее – шарики для ПЭТ-бутылей подвергаются компаундированию экструзией для имитации тепловой обработки, которую проходит ПЭТ при тепловой опрессовке под давлением в преформы бутылей, и последующей опрессовке в бутыли. Эффективность внесения добавки для снижения образования ацетальдегида определяется количественным анализом с использованием термодесорпции GC-MS или GC-FID после принятия опубликованных методов. Нестабилизированный ПЭТ экструдируется каждый день для получения контрольного полимера для измерения образования ацетальдегида. Экструзия – ПЭТ предварительно высушивается в атмосфере азота при пониженном давлении в сушильном шкафу при температуре приблизительно 70°С до уровня влаги приблизительно 30 ppm, который определяется на влагометре Mitsubishi VA-06. Винтовой неперекрестный экструдер Leistritz (18 мм или 27 мм) настраивается следующим образом: установка температур = горловина (220-230°С), зоны и фильера (270°С), реальная температура экструзии расплава 275-280°С, вращение 100-110 об/мин, шаг подачи = 10-15 ppm. Цвет шариков ПЭТ – индекс пожелтения (Yl), а также L* a*, b* по ASTM D1925, D65 10 град·мин, включая отражение, измерены на шариках ПЭТ с использованием DCI спектрофотометра. Анализ на ацетальдегид – концентрация ацетальдегида в ПЭТ количественно определяется, используя метод термической десорпции GC-MS, заимствованный у В.Nijassen et al., Packaging Technology and Science, 9, 175 (1996), S.Yong Lee, SPE ANTEC 1997. pp.857-861; и M. Dong et al., J.Chromatographic Science, 18, 242 (1980). Общий пример приведен ниже: Образцы ПЭТ анализируются в двух экземплярах путем отвешивания 250 мг измельченных в порошок шариков ПЭТ, приготовленных криогенным распылением, в запрессовывающуюся емкость объемом 5 мл. Емкость с образцом выдерживается при 120°С в течение 1 часа в анализаторе TEKMAR, модель 5000. Газ (5 cc) затем подается через теплопередатчик в систему HSONS MD-800 GC-MS для выявления ацетальдегида методом SIR. Ацетальдегид регистрируется при наблюдении его фрагментарных ионов со значениями 29 и 44 м/е. Также фиксируется общий ионный поток (TIC) GC-MS в области времени удерживания 4-8 минут. При такой методике наличие ацетальдегида в образцах подтверждается 3 различными детекторами. Альтернативно, GC, оснащенный детектором пламенной ионизации (FID), используется вместо системы GC-MS. Количество ацетальдегида в экспериментальной смеси может быть получено из соотношения площадей под пиками известного образца ПЭТ-смолы и экспериментальной смеси ПЭТ. Пример 1: Стабилизация полиэтилентерефталата (ПЭТ). В качестве контрольного ПЭТ используется нестабилизированный коммерческий ПЭТ [CLEARTUF 7207 (RTM), Shell]. Когда ПЭТ компаундируется методом экструзии, то наблюдается значительное снижение количества ацетальдегида (АА) в образцах, стабилизированных добавками по данному изобретению, по сравнению с нестабилизированным ПЭТ. Процент снижение АА – это количество АА за вычетом количества АА в контрольном образце, причем все измерено методом GC-HD. Содержания добавок даны в частях на миллион (ppm), основываясь на ПЭ. Результаты представлены в Таблице 1.
“Гидроксиламин-А” – N,N-дигидрированный жирный гидроксиламин, приготовленный как описано в Примере 9 патента US 4876300. “Нитрон” – соответствующий нитрон, главным образом N-октадецил- Видно, что добавки по настоящему изобретению обеспечивают значительное снижение ацетальдегида по сравнению с контрольным образцом в ПЭТ. Пример 2: Стабилизация полиэтилентерефталата (ПЭТ). В качестве контрольного ПЭТ используется нестабилизированный коммерческий ПЭТ [CLEARTUF 7207 (RTM), Shell, no данным сертификата анализа – 1,4 ppm AA]. На момент проведения однократной экструзии в нестабилизированном ПЭТ содержание AA повышается приблизительно до 3,0 ppm, указывая на то, что ПЭТ выделяет нежелательный AA при нагреве при обработке плавлением. При компаундировании ПЭТ методом экструзии наблюдается значительное снижение количества ацетальдегида (AA) в образцах, стабилизированных добавками по данному изобретению, по сравнению с нестабилизированным ПЭТ. Процент снижение AA – количество за вычетом количества AA в контрольном образце, причем все измерено методом GC-HD. Содержания добавок даны в частях на миллион (ppm), основываясь на ПЭТ. Результаты представлены в Таблице 2.
“Гидроксиламин-А” – N,N-дигидрированный жирньм гидроксиламин, приготовленный как описано в Примере 9 патента US 4876300. “Нитрон” – соответствующий нитрон, главным образом N-октадецил- “DBHA” представляет собой дибензилгидроксиламин, Aldrich Chemical Co., 98%. Видно, что добавки по настоящему изобретению обеспечивают значительное снижение ацетальдегида по сравнению с контрольным образцом в ПЭТ. Пример 3: Стабилизация полиэтилентерефталата (ПЭТ). В качестве контрольного ПЭТ используется нестабилизированный коммерческий ПЭТ [CLEARTUF 7207 (RTM), Shell]. При компаундировании ПЭТ методом экструзии наблюдается значительное снижение количества ацетальдегида (АА) в образцах, стабилизированных добавками по данному изобретению, по сравнению с нестабилизированным ПЭТ. Процент снижения АА – количество АА за вычетом АА в контрольном образце, причем все измерено методом GC-FID. Содержания добавок даны в частях на миллион (ppm), основываясь на ПЭТ. Результаты представлены в Таблице 3.
Гидроксиламин-А” – N,N-дигидрированный жирный гидроксиламин, приготовленный как описано в Примере 9 патента US 4876300. “Гидроксиламин-В” – коммерческий образец N,N-дигидрированного жирного гидроксиламина, Irgastab FS-042 (RTM), Ciba Specialty Chemicats Corp., CAS#143925-92-2. “Аминоксид” – Genox EP (RTM), ди(С16-С18)алкилметиламиноксид, CAS#204933-93-7, GE Chemicals. Видно, что добавки по настоящему изобретению обеспечивают значительное снижение ацетальдегида по сравнению с контрольным образцом в ПЭТ. Пример 4: Стабилизация полиэтилентерефталата (ПЭТ). В качестве контрольного ПЭТ используется нестабилизированный коммерческий ПЭТ [CLEARTUF 8006 (RTM), Shell]. При компаундировании ПЭТ методом экструзии наблюдается значительное снижение количества ацетальдегида (АА) в образцах, стабилизированных добавками по данному изобретению по сравнению с нестабилизированным ПЭТ. Процент снижения АА – это количество АА за вычетом количества АА в контрольном образце, причем все измерено методом GC-HD. Содержания добавок даны в частях на миллион (ppm), основываясь на ПЭТ. Результаты представлены в Таблице 4.
В роли ацетоксиамина выступает N,N-дигидрированного жирного ацетоксиамин, приготовленный из гидроксиламина-А Примера 1 и уксусного ангидрида. Видно, что ацетоксиамин по настоящему изобретению обеспечивает значительное снижение ацетальдегида по сравнению с контрольным образцом в ПЭТ. Пример 5: Стабилизация полиэтилентерефталата (ПЭТ). Основная ПЭТ – смола готовится экструдивным компаундированном гидроксиламина-В [N,N-дигидрированный жирный гидроксиламин, Irgastab FS-042 (RTM), Ciba Specialty Chemicals Corp.] при 0,25 вес.% в ПЭТ. Основная смола высушивается, а образцы, приведенные ниже в таблице 5, готовятся путем экструзии смешанного окрашенного пигментами ПЭТ с основной ПЭТ- смолой. Полученные продукты высушивают и спрессовывают под давлением в 60 mil пластинки, для определения цветовых данных используют DCI – колориметр, работающий в проходящем свете. Сравнение цветовых значений для основной ПЭТ-смолы, содержащей 0,25% Irgastab FS-042 (RTM) (значение b* составляет 10,83), с окрашенными образцами показывает, что в рассматриваемых композициях, стабилизированных против образования ацетальдегида, пожелтение в значительной мере предотвращается. Oracet Viotet TR (краситель) принадлежит классу антрахиноновых. Cromophtal Blue 4GNP принадлежит к фталоцианиновому классу.
Пример 6: Литые изделия из полиамида 4; 6,6; 6; 12; и 6,4, волокна и пленки и ПЭТ-волокна и пленки готовятся путем экструзии расплава с добавками, как в примерах 1-5. Наблюдается значительное снижение альдегидных примесей. Пример 7: Повторяются примеры 1-6 с дополнительным включением дипентаэритритола в образцы по изобретению. Достигаются превосходные результаты.
Формула изобретения
1. Способ предотвращения образования альдегидных примесей в ходе обработки плавлением сложного полиэфира или полиамида (а), содержащего введенное в упомянутый сложный полиэфир или полиамид соединение (b), выбранное из группы, состоящей из i) гидроксиламиновых стабилизаторов; ii) о-замещенных гидроксиламиновых стабилизаторов; iii) нитроновых стабилизаторов; iv) аминоксидных стабилизаторов. 2. Способ по п.1, где компонент (а) представляет собой сложный полиэфир. 3. Способ по п.1, где сложный полиэфир (компонент (а)) составляет 95-99,99 вес.%, и стабилизаторы (компонент (b)) составляют от 5 до 0,01 вес.% относительно общего количества (а) и (b). 4. Способ по п.1, где сложный полиэфир (компонент (а)) представляет собой поли(этилентерсфталат) (ПЭТ) или поли(этилен-2,6-нафтален-2,6-дикарбоксилат). 5. Способ по п.1, где гидроксиламиновые стабилизаторы (i) представляют собой соединения формулы 1
где Т1 – линейный или разветвленный алкил с 1-36 атомами углерода, циклоалкил с 5-12 атомами углерода, аралкил с 7-9 атомами углерода или упомянутый аралкил, замещенный одним или двумя алкилами с 1-12 углеродными атомами или одним или двумя атомами галогена; и Т2 – водород или, независимо, имеет то же значение, что и Т1, или гидроксиламиновые стабилизаторы (i) представляют собой соединения, содержащие один или более групп формулы (II)
где Т является группой, образующей пяти- или шестичленный цикл; и R1, R2, R3 и R4 независимо представляют собой водород, алкил с 1-4 атомами углерода или фенил. 6. Способ по п.1, в котором гидроксиламиновые стабилизаторы (i) выбирают из группы, состоящей из N,N-дибензилгидроксиламина, N,N-диэтилгидроксиламина, N,N-диоктилгидроксиламина, N,N-дилаурилгидроксиламина, N-дидодецилгидроксиламина, N,N-дитетрадецилгидроксиламина, N,N-дигексадецилгидроксиламина, N,N-диоктадецилгидроксиламина, N-гексадецил-N-тетрадецилгидроксиламина, N-гексадецил-N-гептадецилгидроксиламина, N-гексадецил-N-октадецилгидроксиламина, N-гептадецил-N-октадецилгидроксиламина, N-метил-N-октадецилгидроксиламина и N,N-дигидрированного жирного гидроксиламина. 7. Способ по п.1, в котором компонент (i) представляет собой N,N-ди-(алкил)гидроксиламин, полученный прямым окислением N,N-дигидрированного жирного амина. 8. Способ по п.1, в которой о-замещенные гидроксиламиновые стабилизаторы (ii) имеют формулу III или IV
где Т1 – линейный или разветвленный алкил с 1-36 атомами углерода, циклоалкил с 5-12 атомами углерода, аралкил с 7-9 атомами углерода или упомянутый аралкил, замещенный одним или двумя алкилами с 1-12 углеродными атомами или одним или двумя атомами галогена; Т2 – водород или, независимо, представляет собой то же, что и Т1; и Т3 – аллил, линейный или разветвленный алкил с 1-36 атомами углерода, циклоалкил с 5-18 атомами углерода, циклоалкенил с 5-18 атомами углерода или линейный или разветвленный алкил с 1-4 атомами углерода, замещенный фенилом, или фенилом, замещенным одной или двумя алкильными группами, содержащими от 1 до 4 углеродных атомов, или одним или двумя атомами галогена. 9. Способ по п.1, в котором компонент (ii) представляет собой O-аллил-N,N-диоктадецилгидроксиламин, или O-н-пропил-N,N-диоктадецилгидроксиламин, или N,N-дигидрированный жирный ацетоксиамин. 10. Способ по п.1, где нитроновые стабилизаторы (iii) имеют формулу V
где L1 – линейный или разветвленный алкил с 1-36 атомами углерода, циклоалкил с 5-12 атомами углерода, аралкил с 7-9 атомами углерода в цепи или упомянутый аралкил, замещенный одним или двумя алкилами с 1-12 углеродными атомами или одним или двумя атомами галогена; и L2 и L3, независимо, представляют собой водород, линейный или разветвленный алкил с 1-36 атомами углерода, циклоалкил с 5-12 атомами углерода, аралкил с 7-9 атомами углерода или упомянутый аралкил, замещенный одним или двумя алкилами с 1-12 углеродными атомами или одним или двумя атомами галогена; или L1 и L2 вместе образуют пяти- или шестичленный цикл, включающий атом азота. 11. Способ по п.1, где нитроновые стабилизаторы (iii) выбирают из группы, состоящей из N-бензил- 12. Способ по п.1, где аминоксидные стабилизаторы (iv) представляют собой соединения формулы VI
где G1 и G2, независимо, являются линейным или разветвленным алкилом, содержащим от 6 до 36 атомов углерода, арилом, содержащим от 6 до 12 углеродных атомов, аралкилом, содержащим от 7 до 36 атомов углерода, алкарилом, содержащим от 7 до 36 углеродных атомов, циклоалкилом, содержащим от 5 до 36 атомов углерода, алкциклоалкилом, содержащим от 6 до 36 атомов углерода или циклоалкилалкилом с числом углеродных атомов от 6 до 36; G3 – линейный или разветвленный алкил, содержащий от 1 до 36 атомов углерода, арил, содержащий от 6 до 12 углеродных атомов, аралкил, содержащий от 7 до 36 атомов углерода, алкарил, содержащий от 7 до 36 углеродных атомов, циклоалкил, содержащий от 5 до 36 атомов углерода, алкциклоалкил, содержащий от 6 до 36 атомов углерода, или циклоалкилалкил с числом углеродных атомов от 6 до 36; при условии, что хотя бы один из G1, G2 или G3 содержит G4 – независимо, водород или алкил с 1-8 атомами углерода; Rx – водород или метил; L – водород, гидроксигруппа, линейный или разветвленный алкильный остаток С1-30, остаток -C(O)R, в котором R является линейной или разветвленной алкильной группой С1-30, или остатком -ORy; и Ry – линейный или разветвленный алкил С1-30, С2-С30 алкенил, алкинил С2-С30, циклоалкил C5-C12, бициклоалкил С6-С10, циклоалкенил C5-C8, арил С6-С10, аралкил C7-C9, аралкил С7-С9, замещенный алкилом или арилом, или -CO(D), где D – алкил С1-С18, алкоксил C1-C18, фенил, фенил, замещенный гидрокси, алкил или алкоксигруппой, или аминогруппа, или моно- или дизамещенная алкилом или фенилом аминогруппа. 13. Способ по п.1, включающий в себя необязательно (c) полимер, представляющий собой поливиниловый спирт или сополимер этилена и винилового спирта; и, необязательно, (d) многоатомный спирт формулы Е-(ОН)n, где n – от 2 до 4000 и Е – углеводородный остаток; и, необязательно, (e) полимер, являющийся полиакриламидом, полиметакриламидом или сополимером акриламида или метакриламида с, по крайней мере, одним этиленненасыщенным сомономером. 14. Способ по п.1, включающий дополнительно (с) один или более красителей, выбранных из группы, состоящей из пигментов и красок. 15. Способ по п.1, в котором сложный полиэфир представляет собой одно- или многослойный пластиковый контейнер или пленку. 16. Способ по п.1, в котором сложный полиэфир имеет вид жесткой бутыли. 17. Использование компонента (b) по п.1 для предотвращения образования альдегидных примесей в ходе обработки плавлением сложного полиэфира или полиамида.
|
||||||||||||||||||||||||||||||||||||||||||||||||||||||||||||||||||||||||||||||||||||||||||||||||||||||||||||||||||||||||||||||||||||||||||||||||||||||||||||||||||||||||||||||||||||||||||||||||||||||||||||||||||||||||||||||||||||||||||||||||||||||||||||||||||||||||||||||

-аминокапроновая кислота, бутиролактам, пивалолактам, 

,
-ненасыщенным кетоном, сложным эфиром, амидом или фосфонатом. Компонент ii.) включает также продукты реакции конденсации по Манниху гидроксиламинов компонента i.) с формальдегидом и вторичными аминами. Компонент ii.) включает также о-алкенилзамещенные аналоги рассматриваемых гидроксиламинов компонента i.), как это описано в US 5045583. Компонент ii.) включает также незатрудненные замещенные гидроксиламиновые стабилизаторы, как это раскрыто в US 5185448. Компонент ii.) включает также ацильные производные гидроксиламиновых стабилизаторов компонента i.), например, как те, что раскрываются в US 5021479.




-токоферол,
-токоферол и их смеси (витамин Е).












