|
|
(21), (22) Заявка: 2002118622/04, 04.12.2000
(24) Дата начала отсчета срока действия патента:
04.12.2000
(30) Конвенционный приоритет:
06.12.1999 US 60/169,091 28.09.2000 US 60/236,037
(43) Дата публикации заявки: 10.01.2004
(46) Опубликовано: 10.04.2007
(56) Список документов, цитированных в отчете о поиске:
ЕР 0183848 A1, 11.06.1986. US 4918074 A, 17.04.1990. JP 08-301871 A, 19.11.1996. RU 940438256 A1, 27.08.1996.
(85) Дата перевода заявки PCT на национальную фазу:
08.07.2002
(86) Заявка PCT:
US 00/32785 (04.12.2000)
(87) Публикация PCT:
WO 01/40231 (07.06.2001)
Адрес для переписки:
119034, Москва, Пречистенский пер., д.14, стр. 1, 4 этаж, “Гоулингз Интернэшнл ИНК.”, В.Н.Дементьеву
|
(72) Автор(ы):
ЭТУОЛ Карнэйл С. (US), ВАККАРО Уэйн (US), ЛЛОЙД Джон (US), ФИНЛЕЙ Хизер (US), ЙАН Лин С. (US), БХАНДАРУ Рао (US)
(73) Патентообладатель(и):
БРИСТОЛ-МАЕРС СКВИББ КОМПАНИ (US)
|
(54) ГЕТЕРОЦИКЛИЧЕСКИЕ ДИГИДРОПИРИМИДИНОВЫЕ СОЕДИНЕНИЯ
(57) Реферат:
Настоящее изобретение относится к дигидропиримидиновым соединениям формулы I*

их энантиомерам, диастереоизомерам и фармацевтически приемлемым солям, где Х1, X2 и X3 вместе с атомами, к которым они присоединены, образуют кольцо

R1 представляет собой водород; R2, R3*, R4, R5, R6 и R7 имеют значения, указанные в п.1 формулы изобретения. Кроме того, объектами изобретения являются отдельные дигидропиримидиновые соединения. Предложенные соединения являются ингибиторами функции кальциевого канала, особенно ингибиторами Кv1 подсемейства потенциал-перекрывающих K+ каналов, особенно ингибиторами Кv1.5, которые связаны со сверхбыстрым активирующим замедленным очистительным K+ потоком Ikur и могут быть использованы для лечения аритмии и Ikur связанных заболеваний. 4 н. и 11 з.п. ф-лы.
Область изобретения
Настоящее изобретение относится к гетероциклическим дигидропиримидиновым соединениям, пригодным в качестве ингибиторов функции калиевого канала (особенно ингибиторов КV1 подсемейства потенциал-перекрывающих К+ каналов, более конкретно ингибиторов КV1.5, которые были связаны со сверхбыстро активирующим замедленным очистительным K+ потоком IKUR) и к фармацевтическим композициям, содержащим такие соединения. Настоящее изобретение далее относится к способам применения таких соединений для лечения аритмии, IKUR-связанных заболеваний и других заболеваний, опосредованных функцией ионного канала.
Предпосылки изобретения
Важность калиевых каналов была впервые исследована приблизительно пятьдесят лет назад, когда Hodgkin и Huxley обнаружили, что ионы калия вливаются в поток, который возбуждает головной гигантский аксон. Исследование в этой области, однако, затруднялось отсутствием селективных, высоко специфичных лигандов для калиевых каналов. Но с приходом технологий рекомбинантной ДНК и технологий сжатого напряжения отдельной клетки, а также всей клетки медленный темп развития в этой области изменился. Действительно, калиевые каналы, которые проявляют функциональные, фармакологические характеристики и характеристики распределения ткани, были клонированы. Указанные клонированные калиевые каналы являются полезными мишенями в испытаниях на идентификацию соединений-кандидатов для лечения различных заболеваний. Калиевые каналы, как оказалось, являются наиболее разнообразным семейством ионных каналов, открытых в настоящее время. Они модулируют ряд клеточных взаимодействий, таких, как сокращение мышц, нейроэндокринную секрецию, частоту и продолжительность действующих потенциалов, электролитный гомеостаз и остаточный мембранный потенциал.
Калиевые каналы экспрессируются в эукариотических и прокариотических клетках и являются элементами контроля электрических и неэлектрических клеточных функций. Калиевые каналы классифицируются в соответствии с их биофизическими и фармакологическими характеристиками. Подклассы указанных каналов называются на основании аминокислотной последовательности и функциональных свойств. Выдающимися среди них являются потенциал-зависимые калиевые каналы, например потенциал-перекрывающие калиевые каналы (например, Kv1, КV2, КV3, Кv4). Подтипы в этих подклассах характеризуются по их предполагаемой функции, фармакологии и распределению в клетках и тканях (Chandy и Gutman, “Voltage-gated potassium channel genes” in Handbook of Receptors и Channels – Ligand и Voltage-gated Ion Channels, ed. R.A. North, 1995; Doupnik и др., Curr. Opin. Neurobiol. 5:268, 1995). Например, Kv1 класс калиевых каналов далее подразделяется в зависимости от молекулярной последовательности канала, например KV1.1, KV1.2, KV1.3, KV1.4, K.V1.5, КV1.6 и КV1.7. Функциональные потенциал-перекрывающие К+ каналы могут существовать в качестве мультимерных структур, образованных при взаимодействии идентичных или различных субъединиц. Этот феномен, как считается, объясняет широкое разнообразие К+ каналов. Однако субъединичные составы природных К+ каналов и физиологическая роль, которую выполняют отдельные каналы, в большинстве случаев, все еще неясна.
Мембранная деполяризация K.V1.3 ингибиторами, как было показано, является эффективным способом предотвращения Т-клеточной пролиферации, и, следовательно, используется во многих аутоиммунных условиях. Ингибирование К+ каналов в плазматической мембране человеческих Т-лимфоцитов, как было установлено, играет роль при вызове иммуносупрессорных ответов при регулировании внутриклеточного Са++ гомеостаза, который, как было обнаружено, является важным в Т-клеточной активации.
KV1.3 перекрывающий напряжение калиевый канал обнаружен в нейронах, клетках крови, остеокластах и Т-лимфоцитах. Chandy и Cahalan лаборатории выдвинули гипотизу, что блокирование KV1.3 канала вызывает иммуносупрессорный ответ (Chandy и др., J. Exp. Med. 160, 369, 1984; Decoursey и др., Nature, 307, 465, 1984). Однако блокаторы K+ канала, применяемые на этих стадиях, были неселективными. До испытаний с пептидом маргатоксином, пептидом, обнаруженном в яде скорпиона, не существовало специфического ингибитора KV1.3 канала для тестирования этой гипотезы. Хотя лаборатория (Price и др., Proc.Natl, Acad, Sci. USA, 86, 10171, 1989) показала, что харибдотоксин блокирует KV1.3 в человеческих Т-клетках, харибдотоксин, как было позже показано, ингибирует четыре различных К+ канала (KV1.3 и три других малой проводимости Ca+ активированных K+ канала) в человеческих Т-лимфоцитах, ограничивая применение этого токсина в качестве пробы для определения физиологической роли KV1.3 (Leonard и др., Ргос. Natl, Acad. Sci, USA, 89, 10094, 1992). Маргатоксин, с другой стороны, блокирует только КV1.3 в Т-клетках и имеет иммуносупрессорную активность как в in vitro, так и in vivo моделях (Lin и др., J. exp. Med, 177,637, 1993). Терапевтическая пригодность этих соединений, однако, ограничена их сильной токсичностью. Недавно сообщалось о классе соединений, который может быть хорошей альтернативой вышеуказанным лекарственным средствам, смотри, например, US 5670504; 5631282; 5696156; 5679705 и 5696156. Хотя решены некоторые проблемы активности/токсичности указанных выше лекарственных средств, эти соединения имеют большой молекулярный вес и обычно получаются синтетическим способом из природного продукта, выделение которых является обременительным и трудоемким.
Иммунорегуляторные нарушения, как было показано, присутствуют в широком ряду аутоиммунных и хронических воспалительных заболеваний, включая системную красную волчанку, хронический ревматоидный артрит, сахарный диабет I и II типа, воспалительные кишечные заболевания, цирроз печени, увеит, рассеянный склероз и другие заболевания, такие как болезнь Крона, язвенный колит, пузырьковый амфигоид, саркоидоз, псориаз, ихтиоз, офтальмопатия Грейвза и астма.
Хотя базовый патогенез каждого из этих состояний может быть различным, в них во всех появляются различные аутоантитела и полуреактивные лимфоциты. Такая полуреактивность может быть обусловлена, частично, отсутствием контроля гомеостаза, при котором функционирует нормальная иммунная система. Также, используя трансплантацию костного мозга или органа, лимфоциты хозяина распознают чужеродные тканевые антигены и начинают производить антитела, которые приводят к отторжению пересаживаемого органа.
С одной стороны, результатом аутоиммунного процесса или процесса отторжения является отторжение ткани, вызванное воспалением клеток и освобождаемых медиаторов. Антивоспалительные агенты, такие как NSAID’s, действуют принципиально, блокируя действия или секрецию указанных медиаторов, но не изменяют иммунологическую основу заболевания. С другой стороны, цитотоксические агенты, такие, как циклофосфамид, действуют таким неспецифическим образом, что изолируют нормальный и аутоиммунный ответы. Наконец, пациенты, которых лечат такими неспецифическими иммуносуппрессорными агентами, вероятно, подвергаются инфекции во время их аутоиммунных заболеваний.
Циклоспорин A (CsA), который был утвержден US FDA в 1983, в настоящее время является лидирующим лекарственным средством, использующимся для предотвращения отторжения трансплантируемых органов. В 1993, FK-506 (Prograf) был утвержден US FDA для предотвращения отторжения при трансплантации печени. CsA и FK-506 ингибируют иммунную систему организма от мобилизации его громадного запаса природных защитных агентов до отторжения чужеродного протеина трансплантата. В 1994 CsA утвержден US FDA для лечения тяжелого псориаза и утвержден European regulatory agencies для лечения поверхностного дерматита. Хотя они являются эффективными для борьбы с отторжением трансплантанта, CsA и FK-506, как известно, вызывают некоторые нежелательные побочные эффекты, включая нефротоксичность, нейротоксичность и гастрокишечное расстройство. Следовательно, все еще остается потребность в получении селективного иммуносупрессанта без этих побочных эффектов. Ингибиторы калиевого канала обещают решить эту проблему.
Фибрилляция предсердия (AF) и колебание предсердия являются наиболее распространенными сердечными аритмиями в клинической практике и увеличиваются в соответствии с возрастом населения. В настоящее время AF поражает более 1 миллиона американцев ежегодно, что составляет более 5% от всех кардиососудистых заболеваний и вызывает более чем 80000 случаев паралича в США. В то время, как AF редко является летальной аритмией, она ответственна за высокую заболеваемость и может приводить к осложнениям, таким, как развитие закупорочной сердечной недостаточности или тромбоэмболизма. В настоящее время доступные антиаритмические лекарственные средства класса I и класса III снижают скорость повторения AF, но они имеют ограниченное применение из-за различных потенциально вредных эффектов, включая проаритмию желудочка. Так как настоящая терапия является неадекватной и чревата побочными эффектами, существует определенная потребность в развитии новых терапевтических подходов.
Антиаритмические агенты класса III являются лекарственными средствами, которые вызывают селективную пролонгированность продолжительности действия потенциала без значительной сердечной депрессии. Доступные лекарственные средства этого класса ограничены. Примеры, такие как соталол и амиодарон, как было показано, обладают интересными свойствами класса III (Singh B.N., Vaughan Williams E.M. “A Third Class of Anti-Arrhythmic Action: Effects On Atrial And Ventricular Intracellular Potentials And Other Pharmacological Actions On Cardiac Muscle, of MJ 1999 And AH 3747” Br. J. Pharmacol 1970; 39:675-689, и Singh B.N., Vaughan Williams E.M, “The Effect of Amiodarone, A New Anti-Anginal Dru г, On Cardiac Muscle”, Br J. Pharmacol 1970; 39:657-667), но они не являются селективными агентами класса III.
Соталол также обладает действиями класса II, которые могут вызывать сердечную депрессию и противопоказаны определенным восприимчивым пациентам. Амиодарон также не является селективным антиаритмическим агентом класса III, так как он обладает накапливающимся электрофизиологическим действием и строго ограничен из-за побочных эффектов (Nademanee, К. “The Amiodarone Odessey”. J. Am. Coll. Cardiol. 1992;20:1063-1065.) Лекарственные средства этого класса, как ожидается, являются эффективными для предотвращения фибрилляции желудочка. Селективные агенты класса III, при определении, как считается, не вызывают миокардиологическую депрессию или индукцию аритмии, обусловленную ингибированием проводимости действующего потенциала, как показано для антиаритмических агентов класса I.
Агенты класса III повышают миокардиологическую устойчивость посредством пролонгирования потенциала продолжительности сердечного действия. Теоретически, пролонгация потенциала сердечного действия может быть достигнута увеличением внутренних потоков (то есть Na+ или Са2+ потоков; здесь и далее INa и ICa соответственно) или снижением внешних реполяризационных калиевых (К+) потоков. Препятствующая очистка (IK) К+ потока является основным внешним потоком, включенным в общий реполяризационный процесс во время действия потенциального плато, тогда как временный внешний (Ito) и внутренний очистительный (IKI)K+ потоки являются ответственными за быструю начальную и конечную фазы реполяризации соответственно. Изучение клеточной электрофизиологии показало, что IK состоит из двух фармакологически и кинетически различных К+ подтипов потока, Ikr (быстрая активация и дезактивация) и Iks (медленная активация и дезактивация) (Sanguinetti и Jurkiewicz, Two Components Of Cardiac Delayed Rectifier K+ Current: Differential Sensitivity To Block Class III Antiarrhythmic Agents, J Gen Physiol 1990, 96:195-215). Антиаритмические агенты класса III, разрабатываемые в настоящее время, включая d-соталол, дофетилид (UK-68798), алмокалант (Н234/09), Е-4031 и метансульфонамид-N-[1′-6-циано-1,2,3,4-тетрагидро-2-нафталенил)-3,4-дигидро-4-гидроксиспиро[2Н-1-бензопиран-2,4′-пиперидин]-6-ил]монохлорид, в основном, если не полностью, блокируют Ikr. Хотя амиодарон является блокатором Iks (Balser J.R, Bennett, P.B., Hondeghem, L.M. и Roden, D.M. “Suppression Of Time-Dependent Outward Current In Guinea Pig Ventricular Myocytes: Actions Of Quinidine And Amiodarone. Circ. Res. 1991, 69:519-529), он также блокирует INa и ICa, выполняя тироидную функцию, в качестве неспецифического адренергического блокатора и действует в качестве ингибитора фермента фосфолипазы (Nademanee, К. “The Amiodarone Odessey” J. Am. Coll.Cardiol. 1992;20:1063-10б5). Следовательно, этот способ лечения аритмии является неопределенным. Большинство агентов класса III, которые, как известно, находятся в разработке, в основном блокируют Ikr.
Входящее возбуждение (вход), как было показано, является значительным механизмом, лежащим в основе аритмий желудочка у человека. Входящее возбуждение требует критического баланса между медленной скоростью проводимости и достаточно короткими устойчивыми периодами, позволяющим инициацию и поддержку складываемых входящих кругооборотов для сосуществования одновременно и поддержки AF. Увеличение сердечной устойчивости при пролонгировании потенциала продолжительности действия (APD), предотвращает и/или завершает входящую аритмию. Большинство селективных антиаритмических агентов класса III, разрабатываемых в настоящее время, таких, как d-соталол и дофетилид, в основном, если не полностью, блокируют Ikr, быстро активируя компонент IK, обнаруженный в предсердии и желудочке человека.
Так как эти Ikr блокаторы повышают APD и устойчивость как в предсердии, так и в желудочке, без осуществления проводимости как таковой, теоретически они представляют собой потенциально пригодные агенты для лечения аритмии, такой как AF. Эти агенты имеют склонность к тому, что они повышают риск проаритмий при медленных скоростях работы сердца. Например, трепетание-мерцание желудочков наблюдалась при использовании указанных соединений (Roden, D.M. “Current Status of Class m Antiarrhythmic Drug Therapy”, Am J. Cardiol., 1993; 72:44B-49В). Этот завышенный эффект при медленных скоростях работы сердца называется “обратная частотная зависимость”, и она противоположна частотно-независимому или частотно-зависимому действиям (Hondeghem, L.M. “Development of Class III Antiarrhythmic Agents”. J.Cadiovasc.Cardiol. 20 (Suppl.2):S17-S22).
Медленно активирующий компонент, препятствующий очистке (Ikc), потенциально превосходит некоторые ограничения Ikr блокаторов, связанные с аритмией желудочка. Из-за их медленной кинетики активации, однако, роль Iks в реполяризации предсердия может быть ограничена благодаря относительно короткому APD предсердия. Следовательно, хотя Iks блокаторы могут обеспечить особое преимущество в случае аритмии желудочка, их способность воздействия на SVT, как считается, является минимальной.
Ультрабыстрая активация препятствующего очистительного К+ потока (Ikur), как полагают, представляет собой природный двойник клонированного калиевого канала, обозначенного Kv1.5 и, когда присутствует в предсердии человека, оказывается, отсутствует в желудочке человека. Более того, из-за быстроты активации и ограниченной медленной инактивации, Ikur, как полагают, делает значительный вклад в реполяризацию предсердия человека. Следовательно, специфический блокатор Ikur, который является соединением, которое блокирует Kv1.5, превосходит ненадолго пришедшие другие соединения по пролонгированию устойчивости при замедлении реполяризации в предсердии человека без образования препятствий в реполяризации желудочка, которая становится аритмогенной после деполяризаций и приобретает продолжительный QT синдром, наблюдаемый при лечении настоящими лекарственными средствами класса III.
В неповрежденных миоцитах предсердия человека ультрабыстрая активация препятствующего очистительного К+ потока Ikur, которая также известна как непрерывный внешний поток, Isus или Iso, идентифицируется и этот поток имеет свойства и кинетику, идентичные свойствам и кинетике, экспрессируемым клоном К+ канала человека (hKv1.5, HK2) при выделении из сердца человека и стабильно экспрессируется в человеческих (НЕК-293) клеточных линиях (Wang и др., 1993, Circ Res 73:1061-1076; Fedida и др., 1993, Circ Res 73:210-216; Snyders и др., 1993, J Gen Physiol 101:513-543) и обычно клонируется из мозга крысы (Swanson и др., 10, Neuron 4:929-939). Хотя различные антиаритмические агенты являются сейчас доступными на рынке, не были получены агенты, имеющие удовлетворительную эффективность и высокую надежность. Например, антиаритмические агенты класса I в соответствии с классификационной схемой Vaughan-Williams (“Classification Of Antiarrhythmic Drugs: In: Cardiac Arrhythmias, edited: E. Sandoe, E. Flensted-Jensen, K. Olesen; Sweden, Astra, Sodertalje, pp449-472, 1981), которые вызывают селективное ингибирование максимальной скорости движения вверх действующего потенциала (max), являются неподходящими для предотвращения фибрилляции желудочка. К тому же, они проблематичны в отношении безопасности, а именно, они вызывают депрессию сокращения миокарда и имеют тенденцию вызывать аритмию, вызванную ингибированием проводимости импульса. Бета-адренорецепторные блокаторы и кальциевые антагонисты, относящиеся к классу II и IV соответственно, имеют недостатки в том, что их действия являются либо ограниченными для конкретного типа аритмии или имеют противопоказания из-за их сердечных депрессивных свойств у определенных пациентов с кардиососудистым заболеванием. Их безопасность, однако, является более высокой, чем безопасность антиаритмических агентов класса I.
Сущность изобретения
Настоящее изобретение относится к гетероциклическим дигидропиримидиновым соединениям следующей формулы I, включая энантиомеры, диастареоизомеры и их соли, полезные в качестве ингибиторов функции калиевого канала (особенно ингибиторов Кv1 подсемейства потенциал-перекрывающих К+ каналов, более конкретно ингибиторов КV1.5, которые связаны со сверхбыстрым активирующим замедленным очистительным K+ потоком IKUR) для лечения заболеваний, таких, как аритмия и IKUR-связанных заболеваний:

где X1, X2 и X3 независимо выбирают из N, NR6, (CR7)q (CHR7)q или С=O, где связи, соединяющие Х1, X2 и Х3 с соседними атомами могут быть простыми или двойными связями, образующими от 5 до 7-членное насыщенное, частично ненасыщенное или ароматическое кольцо;
R1, R2, R3, R4, R5, R6 и R7 являются одинаковыми или различными и независимо выбираются из групп формулы -(CR2)n-(Z1)m-(CH2)p-Z2 или
R1, R2, R3, R4 и R5 могут, в одной или более парах двух (таких, как R1 и R2, R1 и R3, R2 и R3, R3 и R4 или R4 и R5), вместе с атомами, к которым они присоединены, образовывать карбоциклическую, замещенную карбоциклическую, гетероциклическую или замещенную гетероциклическую группу или
R6 и R7 могут, в одной или более парах двух (таких, как R6 и R7, R6 и R6 или R7 и R7), вместе с атомами, к которым они присоединены, образовывать карбоциклическую, замещенную карбоциклическую, гетероциклическую или замещенную гетероциклическую группу;
Z1 представляет собой -CZ3Z4-, -О-, -NZ3-, -S-, -SO-, -SO2-, -C(O)-, -C(O)Z3-, -C(O)NZ4, -C(S)-, -C(=NOZ3)-, алкил, замещенный алкил, алкенил, замещенный алкенил, алкинил, замещенный алкинил, карбоцикло, замещенный карбоцикло, арил, замещенный арил, гетероцикло или замещенный гетероцикло;
Z2 представляет собой водород, -OZ5, -OC(O)Z5, -NZ5-C(O)-Z6, -NZ5-CO2-Z6, -NZ5(C=O)-NZ6Z7, -NZ5Z6, -NO2, галоген, -CN, -C(O)Z5, -CO2Z5, -C(S)Z5, -(C=NOZ5)Z6, -C(O)NZ5Z6, -C(S)NZ5Zб, -SZ5, -SOZ5, -SO2Z5, -SO2NZ5Z6, алкил, замещенный алкил, алкенил, замещенный алкенил, алкинил, замещенный алкинил, карбоцикло, замещенный карбоцикло, арил, замещенный арил, гетероцикло (такой, как гетероарил), или замещенный гетероцикло;
Z3, Z4, Z5, Z6 и Z7 независимо представляют собой водород, галоген, алкил, замещенный алкил, алкенил, замещенный алкенил, алкинил, замещенный алкинил, карбоцикло, замещенный карбоцикло, арил, замещенный арил, гетероцикло или замещенный гетероцикло или
Z3, Z4, Z5, Z6 и Z7 могут, в одной или более парах двух (таких, как Z3 и Z4, Z5 и Z6 или Z6 и Z7), вместе с атомом, к которому они присоединены, образовывать карбоциклическую, замещенную карбоциклическую, гетероциклическую или замещенную гетероциклическую группу;
n и р независимо выбирают из целых чисел от 0 до 10 при этом, когда m является 0, р является также 0;
m является целым числом, выбранным из 0 или 1 и
q является целым числом, выбранным от 1 до 3.
Настоящее изобретение относится к новым способам профилактики и лечения аритмии и IKur-связанных заболеваний, при использовании одного или более соединений формулы I, энантиомеров, диастареоизомеров или их фармацевтически приемлемых солей. Особенно настоящее изобретение относится к новому способу селективного предотвращения и лечения аритмии желудочка.
Кроме того, соединения, входящие в формулу I, так же как энантиомеры, диастареоизомеры и их соли, являются новыми соединениями, включая соединения формулы I* и их соли:

где X1, X2, X3, R1, R2, R4 и R5 являются такими, как определено выше;
R3* представляет собой -OZ5, -OC(O)-Z5, -NZ5-C(O)2-Z6, -NZ5(C=O)-NZ6Z7, -NZ5Z6, -(C=NOZ5)Z6, -C(O)NZ5*Z6*, -C(S)NZ5*Z6*, -SZ5, -SOZ5, -SO2Z5, -SO2NZ5Z6, -C(O)Z3*-Z2*, галоген, алкил, замещенный алкил, алкенил, замещенный алкенил, алкинил, замещенный алкинил, карбоцикло, замещенный карбоцикло, арил, замещенный арил, гетероцикло или замещенный гетероцикло;
Z2* не является водородом, когда Z3* представляет собой гетероцикло; Z3* представляет собой гетероцикло или замещенный гетероцикло;
Z5* представляет собой замещенный алкил, алкенил, замещенный алкенил, алкинил, замещенный алкинил, карбоцикло, замещенный карбоцикло, арил, замещенный арил, гетероцикло или замещенный гетероцикло и
Z6* представляет собой водород, алкил, замещенный алкил, алкенил, замещенный алкенил, алкинил, замещенный алкинил, карбоцикло, замещенный карбоцикло, арил, замещенный арил, гетероцикло или замещенный гетероцикло, при условии, что Z6* не является водородом, когда Z5* представляет собой незамещенный циклоалкил, незамещенный арил или незамещенный бензил,
или Z5* и Z6* вместе с атомом азота, к которому они присоединены, могут образовывать гетероциклическую группу или замещенную гетероциклическую группу при условии, что Z5* и Z6* не образуют вместе незамещенный пиперидинил, незамещенный пирролидинил или незамещенный морфолинил и далее при условии, что когда
(i) R1 и R5 каждый представляет собой водород и
(ii) R2 представляет собой арил или замещенный арил и
(iii) R4 представляет собой гетероциклозамещенный арил и
(iv) X1, X2 и X3 образуют кольцо

где R7* представляет собой Н или алкил,
Z5* и Z6* вместе не образуют незамещенный пиперазинил или N-алкилзамещенный пиперазинил.
Предпочтительные соединения
Соединения формулы I и их соли, где один или более, и особенно все, из X1, X2, X3, R1, R2, R3, R4 и R5 выбираются из следующих значений, являются предпочтительными соединениями настоящего изобретения:
R1 представляет собой водород;
R2 представляет собой водород, алкил, замещенный алкил, арил, замещенный арил, гетероцикло, замещенный гетероцикло, карбоцикло или замещенный карбоцикло;
R3 представляет собой -(CH2)n-Z2, -(CH2)n-C(O)Z3-(CH2)p-Z2 или -(СН2)n-С(O)NZ4-(СН2)р-Z2;
R4 представляет собой алкил или замещенный алкил;
R5 представляет собой водород или -(СН2)n-Z2 и
X1, X2 и X3 вместе с атомами, к которым они присоединены, образуют кольцо, выбранное из

где R6 и/или R7 являются одинаковыми или различными, как определено выше.
Соединения формулы I и их соли, где один или более, и особенно все, из X1, X2, X3, R1, R2, R3, R4 и R5 выбирают из следующих значений, являются более предпочтительными соединениями настоящего изобретения:
R1 представляет собой водород;
R2 представляет собой арил (особенно, если арил представляет собой фенил), замещенный арил, гетероцикло, замещенный гетероцикло, карбоцикло или замещенный карбоцикло;
R3 представляет собой -(CH2)n-Z2, -(СН2)n-С(О)Z3-(CH2)р-Z2 или -(СН2)n-С(O)NZ4-(CH2)p-Z2, где
Z2 выбирают из -C(O)NZ5Z6, -CO2Z5, -SO2Z5, -NZ5Z6, -NZ5CO2Z6, -NZ5C(O)Z6, -OZ5, арил, замещенный арил, гетероцикло, замещенный гетероцикло, алкил или замещенный алкил;
Z3 представляет собой гетероцикло или замещенный гетероцикло и n и p независимо выбирают из целых чисел от 0 до 3;
R4 представляет собой алкил или замещенный алкил;
R5 представляет собой водород или -(CH2)n-Z2, где Z2 выбирают из-C(O)NZ5Z6, -СО2Z5, -NZ5Z6, арила, замещенного арила, алкила или замещенного алкила и
X1, X2 и X3, вместе с атомами, к которым они присоединены, образуют кольцо, выбранное из

Соединения формулы I и их соли, где один или более, и особенно все, из X1, X2, X3, R1, R2, R3, R4 и R5 выбирают из следующих значений, являются наиболее предпочтительными соединениями настоящего изобретения:
R1 представляет собой водород;
R2 представляет собой арил (особенно, если арил представляет собой фенил), замещенный арил, гетероцикло, замещенный гетероцикло, карбоцикло или замещенный карбоцикло;
R3 представляет собой гетероцикло или замещенный гетероцикло, -C(O)NZ5Z6, -C(O)Z3-CONZ5Z6, -C(O)Z3-Z2 или -C(O)Z3-CO2Z5, где Z3 представляет собой гетероцикло или замещенный гетероцикло и Z2 представляет собой арил или замещенный арил;
R4 представляет собой алкил (особенно низший алкил) или замещенный алкил (особенно галогензамещенный алкил или алкоксизамещенный алкил);
R5 представляет собой водород, алкил или замещенный алкил и
X1, X2 и X3, вместе с атомами, к которым они присоединены, образуют кольцо, выбранное из

где R6 представляет собой Н или C(O)Z5, где Z5 представляет собой алкил или карбоцикло, и
R7 независимо выбирают из Н, алкила, замещенного алкила (особенно галогенамещенного), галогена или CN.
Подробное описание изобретения
Далее приводятся определения терминов, использующихся в этом описании. Начальное определение, относящееся здесь к группе или термину, применимо к такой группе или термину в настоящем описании, отдельно или в виде части другой группы, если не указано иначе.
Термины “алк” или “алкил” относятся к линейным или разветвленным цепочечным углеводородным группам, имеющим от 1 до 12 атомов углерода, предпочтительно от 1 до 8 атомов углерода, таким как метил, этил, н-пропил, изопропил, н-бутил, изобутил, трет-бутил, пентил, гексил, гептил, октил и т.д. Низшие алкильные группы, такие как алкильные группы с 1 – 6 атомами углерода, являются обычно наиболее предпочтительными. Термин “замещенный алкил” относится к алкильным группам, замещенным одной или более группами (такими, как группы, указанные выше при определении R1), которые предпочтительно выбирают из арила, замещенного арила, гетероцикло, замещенного гетероцикло, карбоцикло, замещенного карбоцикло, галогена, гидрокси, алкокси (необязательно замещенного), арилокси (необязательно замещенного), алкилэфира (необязательно замещенного), арилэфира (необязательно замещенного), алканоила (необязательно замещенного), арила (необязательно замещенного), циано, нитро, амино, замещенного амино, амидо, лактама, мочевины, уретана, сульфонила и т.д.
Термин “алкенил” относится к линейным или разветвленным цепочечным углеводородным группам, имеющим от 2 до 12 атомов углерода, предпочтительно от 2 до 4 атомов углерода, и по крайней мере одну двойную углерод-углеродную связь (цис или транс), таким как этенил. Термин “замещенный алкенил” относится к алкенильным группам, замещенным одной или более группами (такими, как группы, описанные выше при определении R1), предпочтительно выбираемыми из арила, замещенного арила, гетероцикло, замещенного гетероцикло, карбоцикло, замещенного карбоцикло, галогена, гидрокси, алкокси (необязательно замещенного), арилокси (необязательно замещенного), алкилэфира (необязательно замещенного), арилэфира (необязательно замещенного), алканоила (необязательно замещенного), ариола (необязательно замещенного), циано, нитро, амино, замещенного амино, амидо, лактама, мочевины, уретана, сульфонила и т.д.
Термин “алкинил” относится к линейным или разветвленным цепочечным углеводородным группам, имеющим от 2 до 12 атомов углерода, предпочтительно от 2 до 4 атомов углерода, и по крайней мере одну тройную углерод-углеродную связь, таким как этинил. Термин “замещенный алкинил” относится к алкинильным группам, замещенным одной или более группами (такими, как группы, описанные выше при определении R1), предпочтительно выбираемыми из арила, замещенного арила, гетероцикло, замещенного гетероцикло, карбоцикло, замещенного карбоцикло, галогена, гидрокси, алкокси (необязательно замещенного), арилокси (необязательно замещенного), алкилэфира (необязательно замещенного), арилэфира (необязательно замещенного), алканоила (необязательно замещенного), ариола (необязательно замещенного), циано, нитро, амино, замещенного амино, амидо, лактама, мочевины, уретана, сульфонила и т.д.
Термины “ар” или “арил” относятся к ароматическим гомоциклическим (т.е. углеводородным) моно-, би- или трициклическим кольцевым группам, предпочтительно имеющим от 6 до 12 членов, таким как фенил, нафтил и бифенил. Фенил является предпочтительной арильной группой. Термин “замещенный арил” относится к арильным группам, замещенным одной или более группами (такими, как группы, описанные выше при определении R1), предпочтительно выбираемые из алкила, замещенного алкила, алкенила (необязательно замещенного), арила (необязательно замещенного), гетероцикло (необязательно замещенного), галогена, гидрокси, алкокси (необязательно замещенного), арилокси (необязательно замещенного), алканоила (необязательно замещенного), ароила (необязательно замещенного), алкилэфира (необязательно замещенного), арилэфира (необязательно замещенного), циано, нитро, амино, замещенного амино, амидо, лактама, мочевины, уретана, сульфонила и т.д., где необязательно одна или более пар заместителей вместе с атомами, к которым они присоединены, образуют 3-7 членное кольцо.
Термины “циклоалкил” и “циклоалкенил” относятся к моно-, би- или три гомоциклическим кольцевым группам с 3 – 15 атомами углерода, которые являются соответственно полностью насыщенными и частично ненасыщенными. Термин “циклоалкенил” включает би- и трициклические кольцевые системы, которые не являются ароматическими, но содержат ароматические части (например, флуорен, тетрагидронафтален, дигидроинден и им подобные). Кольца поликольцевых циклоалкильных групп могут быть конденсированными, мостиковыми и/или соединенньми через одну или более спироединиц. Термины “замещенный циклоалкил” и “замещенный циклоалкенил” относятся соответственно к циклоалкильным и циклоалкенильным группам, замещенным одной или более группами (такими, как группы, описанные выше при определении R1), предпочтительно выбранным из арила, замещенного арила, гетероцикло, замещенного гетероцикло, карбоцикло, замещенного карбоцикло, галогена, гидрокси, алкокси (необязательно замещенного), арилокси (необязательно замещенного), алкилэфира (необязательно замещенного), арилэфира (необязательно замещенного), алканоила (необязательно замещенного), ариола (необязательно замещенного), циано, нитро, амино, замещенного амино, амидо, лактама, мочевины, уретана, сульфонила и т.д.
Термины “карбоцикло”, “карбоциклическая” или “карбоциклическая группа” относятся к циклоалкильным и циклоалкенильным группам. Термины “замещенный карбоцикло”, “замещенная карбоциклическая” или “замещенная карбоциклическая группа” относятся к карбоцикло или карбоциклическим группам, замещенным одной или более группами, как определено при определении циклоалкила и циклоалкенила.
Термины “галоген” и “гало” относятся к фтору, хлору, брому и йоду.
Термины “гетероцикл”, “гетероциклический”, “гетероциклическая группа” или “гетероцикло” относятся к полностью насыщенным или частично или полностью ненасыщенным, включая ароматические (“гетероарил”), или неароматические циклические группы (например, 3 – 13 членную моноциклическую, 7 – 17 членную бициклическую или 10 – 20 членную трициклическую кольцевую систему, предпочтительно содержащую всего от 3 до 10 кольцевых атома), которые имеют по крайней мере один гетероатом в по крайней мере одном кольце, содержащем атом углерода. Каждое кольцо гетероциклической группы, содержащее гетероатом, может иметь 1, 2, 3 или 4 гетероатома, выбираемых из атомов азота, атомов кислорода и/или атомов серы, где гетероатомы азота и серы могут быть необязательно окислены и гетероатомы азота могут быть необязательно кватернизированы. Гетероциклическая группа может присоединяться по любому гетероатому или атому углерода кольца или кольцевой системы. Кольца поликольцевых гетероциклов могут быть конденсированными, мостиковыми и/или соединенными через одну или более спироединиц.
Примеры моноциклических гетероциклических групп включают азетидин, пирролидинил, пирролил, пиразолил, оксетанил, пиразолинил, имидазолил, имидазолинил, имидазолидинил, оксазолил, оксазолидинил, изоксазолинил, изоксазолил, тиазолил, тиадиазолил, тиазолидинил, изотиазолил, изотиазолидинил, фурил, тетрагидрофурил, тиенил, оксадиазолил, пиперидинил, пиперазинил, 2-оксопиперазинил, 2-оксопиперидинил, 2-оксопирролодинил, 2-оксоазепинил, азепинил, 4-пиперидонил, пиридил, пиразинил, пиримидинил, пиридазинил, триазинил, тетрагидропиранил, тетразоил, триазолил, морфолинил, тиаморфолинил, тиаморфолинилсульфоксид, тиаморфолинилсульфон, 1,3-диоксолан и тетрагидро-1, 1-диоксотиенил,

и им подобные.
Примеры бициклических гетероциклических групп включают индолил, бензотиазолил, бензоксазолил, бензотиенил, хинуклидинил, хинолинил, тетрагидроизохинолинил, изохинолинил, бензимидазолил, бензопиранил, индолизинил, бензофурил, бензофуранил, дигидробензофуранил, хромонил, кумаринил, бензодиоксолил, дигидробензодиоксолил, бензодиоксинил, циннолинил, хиноксалинил, индазолил, пирролопиридил, фуропиридинил (такой, как фуро[2,3-c]пиридинил, фуро[3,2-b]пиридинил] или фуро[2,3-b]пиридинил), дигидроизоиндолил, дигидрохиназолинил (такой, как 3,4-дигидро-4-оксохиназолинил), тетрагидрохинолинил, азабициклоалкилы (такие, как 6-азабицикло[3.2.1]октан), азаспироалкилы (такие, как 1,4-диокса-8-азаспиро[4.5]декан), имидазопиридинил (такой, как имидазо[1,5-а]пиридин-3-ил), триазолопиридинил (такой, как 1,2,4-триазол[4,3-а]пиридин-3-ил) и гексагидроимидазопиридинил (такой, как 1,5,6,7,8,8а-гексагидроимидазо[1,5-а] пиридин-3-ил),

и им подобные.
Примеры трициклических гетероциклических групп включают карбазолил, бензидолил, фенантролинил, акридинил, фенантридинил, ксантенил и им подобные.
Термины “замещенный гетероцикл”, “замещенный гетероциклический”, “замещенная гетероциклическая группа” и “замещенный гетероцикло” относятся к гетероциклам, гетероциклическиим и гетероциклогруппам, замещенным одной или более группами (такими, как группы, описанные выше при определении R1), предпочтительно выбираемым из алкила, замещенного алкила, алкенила, оксо, арила, замещенного арила, гетероцикло, замещенного гетероцикло, карбоцикло (необязательно замещенного), галогена, гидрокси, алкокси (необязательно замещенного), арилокси (необязательно замещенного), алканоила (необязательно замещенного), ароила (необязательно замещенного), алкилэфира (необязательно замещенного), арилэфира (необязательно замещенного), циано, нитро, амидо, амино, замещенного амино, лактама, мочевины, уретана, сульфонила, и т.д., где необязательно один или более пар заместителей вместе с атомами, с которыми они связаны, образуют 3 – 7 членное кольцо.
Термин “алканоил” относится к алкильной группе (которая может быть необязательно замещена, как определено выше), связанной с карбонильной группой (т.е. -С(О)-алкил). Аналогично термин “ароил” относится к арильной группе (которая может быть необязательно замещена, как указано выше), связанной с карбонильной группой (т.е. -С(О)-арил).
По всему описанию группы и их заместители могут выбираться с получением устойчивых групп и соединений.
Соединения формулы I образуют соли, которые также входят в объем данного изобретения. Ясно, что ссылка на соединение формулы I здесь включают ссылку на его соль, если не указано иначе. Термин “соль(и)”, как здесь используется, обозначает кислую и/или основную соли, полученные с неорганическими и/или органическими кислотами и основаниями. Кроме того, когда соединение формулы I включает как основную так и кислотную группы, могут быть получены цвиттерионы (“внутренние соли”) и включаются в термин “соль(и)”, как здесь используется. Фармацевтически приемлемые (т.е. нетоксичные, физиологически приемлемые) соли являются предпочтительными, хотя пригодны также другие соли, например, на стадиях выделения или очистки, которые могут применяться при их получении. Соли соединений формулы I могут быть получены, например, по реакции соединения I с количеством кислоты или основания, таким, как эквивалентное количество, в такой среде, в которой соль осаждается, или в водной среде с последующей лиофилизацией.
Соединения формулы I, которые включают основную группу, могут образовывать соли с различными органическими и неорганическими кислотами. Примеры кислотных аддитивных солей включают ацетаты (такие, как ацетаты, образованные с уксусной кислотой или тригалогенуксусной кислотой, например трифторуксусной кислотой), адипаты, алгинаты, аскорбаты, аспартаты, бензоаты, бензолсульфонаты, бисульфаты, бораты, бутираты, цитраты, камфораты, камфорсульфонаты, циклопентанпропионаты, диглюконаты, додецилсульфаты, этансульфонаты, фумараты, глюкогептаноаты, глицерофосфаты, гемисульфаты, гептаноаты, гексаноаты, гидрохлориды (образованные с соляной кислотой), гидробромиды (образованные с бромоводородом), гидройодиды, 2-гидроксиэтансульфонаты, лактаты, малеаты (образованные малеиновой кислотой), метансульфонаты (образованные с метансульфоновой кислотой), 2-нафталенсульфонаты, никотинаты, нитраты, оксалаты, пектинаты, персульфаты, 3-фенилпропионаты, фосфаты, пикраты, пивалаты, пропионаты, салицилаты, сукцинаты, сульфаты (такие, как сульфаты, образованные с серной кислотой), сульфонаты (такие, как сульфонаты, упомянутые здесь), тартраты, тиоцианаты, толуолсульфонаты, такие, как тозилаты, ундеканоаты и им подобные.
Соединения формулы I, включающие кислотную группу, могут образовывать соли с различными органическими и неорганическими основаниями. Примеры основных солей включают аммониевые соли, соли щелочных металлов, такие, как соли натрия, лития и калия, соли щелочноземельных металлов, такие, как соли кальция и магния, соли с органическими основаниями (например, органические амины), такие, как бензатины, дициклогексиламины, гидрабамины (образованные с N,N-бис(дегидроабиетил)этилендиамином), N-метил-D-глюкамины, N-метил-D-глюкамиды, трет-бутиламины и соли с аминокислотами, такими, как аргинин, лизин и им подобные.
Основные азотсодержащие группы могут быть кватернизированы агентами, такими, как галогениды низшего алкила (например, метил, этил, пропил и бутилхлориды, бромиды и йодиды), диалкилсульфаты (например, диметил, диэтил, дибутил и диамилсульфаты), длинноцепочечные галогениды (например, децил, лаурил, миристил и стеарилхлориды, бромиды и йодиды), аралкилгалогениды (например, бензил и фенэтилбромиды) и другие.
Пролекарства и сольваты соединений по изобретению также представлены здесь. Термин “пролекарство”, как здесь используется, обозначает соединение, которое при введении субъекту подвергается химическому превращению метаболическими или химическими процессами с получением соединения формулы I или его соли и/или сольвата. Сольватами соединений формулы I являются предпочтительно гидраты.
Для расширения соединений формулы I и их солей, которые могут существовать в их таутомерной форме, все такие таутомерные формы представлены здесь как часть настоящего изобретения.
Все стереоизомеры настоящих соединений, такие, как стереоизомеры, которые могут существовать благодаря асимметрическому углероду с различными R и Z заместителями, включая энантиомерные формы (которые могут существовать даже при отсутствии асимметричного углерода) и диастереоизомерные формы, представлены в объеме данного изобретения. Индивидуальные стереоизомеры соединений изобретения могут, например, быть существенно свободными от других изомеров или могут быть смешаны, например, в виде рацематов или со всякими другими, или другими выбранными стереоизомерами. Хиральные центры настоящего изобретения могут иметь S или R конфигурацию, как определено IUPAC 1974 Recommendations.
Приводимые термины “включающий”, “такие как”, “например” и им подобные относятся к примерным воплощениям и не ограничивают объем настоящего изобретения.
Схемы
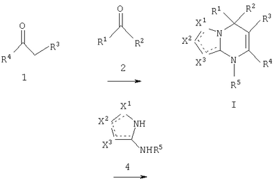
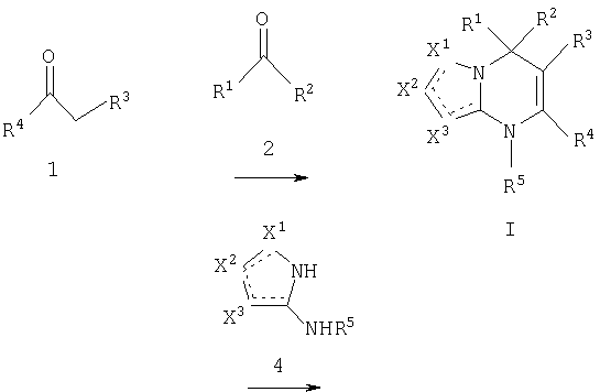
Соединения формулы I могут быть получены с использованием ряда стадий, приведенных ниже.

Соединения 1, 2 и 4, используемые в этом процессе, являются коммерчески доступными или легко получаются способами, хорошо известными специалисту данного уровня техники. Например, соединения формулы 1, где R3=CONZ5Z6 могут быть получены способом Витцемана (JOC 1991, 56(5), 1713), который включает нагревание амина в чистом трет-бутокси- -кетоэфире или в подходящем растворителе (ксилолах, толуоле и т.д.)

Альтернативно соединения формулы 1, где R4=метил и R3=CONZ5Z6, могут быть получены по реакции амина с дикетеном в подходящем растворителе, таком, как дихлорметан, при температурах между -100 -22°С.

Соединения формулы 3 могут быть получены модификацией конденсации по Кновенагелю. Например, конденсация соединения формулы 1 и соединения формулы 2 при температурах между 22-170°С в растворителях, таких, как толуол или диметилформамид, в присутствии кислоты, такой, как уксусная кислота, и основания, такого, как пиперидин, при удалении воды, образующейся во время использования 4Å сухих молекулярных сит или воронки Дина-Старка, приводит к получению соединения формулы 3 в виде смеси цис- и транс- стереоизомеров.

Соединения формулы I могут быть также получены конденсацией соединения формулы 3 с соединениями формулы 4 нагреванием при температурах между 30-150°С в спиртовых растворителях, таких, как этанол или пропанол, или нагреванием между 30-150°С в растворителе, таком, как диметилформамид, и в присутствии основания, такого, как ацетат натрия.

Соединения формулы I, где R=эфир, могут быть получены конденсацией соединений формулы 1, формулы 2 и гетероциклов формулы 4 нагреванием при температурах между 30-150°С в присутствии оснований, таких, как карбонат натрия или гидрокарбонат натрия, в подходящем растворителе, таком, как диметилформамид.

Соединения формулы I, где R3=амид, могут быть получены обработкой соединений формулы I, где R3=эфир, подходящим амином и триметилалюминием в растворителе, таком, как толуол, при температурах между 0-150°С.

Соединения формулы I, где R3=амид, могут быть также получены конденсацией соединений формулы I, где R3=СООН, с подходящим амином способами амидирования, хорошо известными специалисту данного уровня техники. Например, обработка соединения формулы I, где R3=СООН, гидрохлоридом 1-[3-(диметиламино)пропил]-3-этилкарбодиимида (EDCI) и диметиламинопиридином (DMAP) в растворителе, таком, как дихлорметан, приводит к получению соединений формулы I, где R3=амид.

Соединения формулы I, где R5 представляет собой заместитель, который не является водородом, могут быть получены по реакции соединения формулы 5 с реакционноспособным веществом M-R5 так, что получают соединение формулы Ia, где М представляет собой Cl, Br, OR и т.д. и R5 является таким, как определено выше (не водород).

Соединения формулы I, где X1, X2 и X3 образуют кольцо структуры

где R6 представляет собой заместитель, который не является водородом, могут быть получены по реакции соединения формулы 7 с реакционноспособным веществом М-R6 так, что получают соединение формулы Ib, где М представляет собой Cl, Br, OR и т.д. и R6 является таким, как определено выше.

Соединения формулы Ic, где R3 представляет собой аминосодержащий гетероцикл, могут быть получены конденсацией соединений формулы I, где R3 представляет собой кислоту или эфир, с амином, который соединен через линкер с М. М может быть NH2, NHR, SH или ОН. Линкерная единица может быть выбрана из такой, что получаются незамещенные, замещенные или конденсированные гетероциклы.

R3=эфир или кислота.
Дополнительные соединения в объеме настоящего изобретения могут быть получены из соединений, полученных указанными выше способами, конверсией замещающих групп на другие функциональные группы обычными способами химического синтеза, как показано в следующих примерах.
Соединения формулы I, которые содержат хиральные центры, могут быть получены в нерацемическом виде нерацемическим синтезом или расщеплением, способами, хорошо известными специалисту данного уровня техники. Нерацемические соединения обозначены в примерах как “хиральные”.
В примерах, описанных ниже, может быть необходима защита реакционной группы, такой, как гидрокси, амино, тио или карбоксигрупп, где они нужны в конечном продукте, для устранения их нежелательного участия в реакциях. Введение и удаление защитных групп хорошо известны специалисту данного уровня техники, например, смотри (Green, Т.W. in “Protective Groups in Organic Synthesis”, John Wiley and Sons, 1991).
Использование
Соединения в объеме настоящего изобретения ингибируют Кv1 подсемейство перекрывающих напряжение K+ каналов и, следовательно, являются полезными для лечения и/или предупреждения различных заболеваний, таких как сердечная аритмия, включая аритмию желудочка, аритмию предсердия, трепетание предсердия, фибрилляцию предсердия, осложнения сердечной ишемии, и используются в качестве агентов контроля скорости работы сердца; грудная жаба, включая рельефные симптомы Prinzmetal, вазоспазматические симптомы и близкие симптомы; гастрожелудочные расстройства, включая поточный эзауфагит, функциональную дисперсию, расстройства передвижения (включая запор и диарею) и синдром раздраженного кишечника; расстройства сосудистой и внутренней гладкой мышцы, включая астму, хроническую обструктивную легочную болезнь, зрелый респираторный стрессовый синдром, периферическую сосудистую болезнь (включая перемежающуюся хромоту), венозную недостаточность, импотенцию, церебральный и коронарный паралич и болезнь Raynaud; воспалительное и иммунологическое заболевание, включая воспалительную кишечную болезнь, ревматоидный артрит, отторжение при пересадке, астму, хроническую обструктивную легочную болезнь, фиброз почек и атеросклероз; клеточные пролиферативные расстройства, включая рестеноз и рак (включая лейкемию); расстройства слуховой системы; расстройства зрительной системы, включая пятнистую дегенерацию и катаракты; диабеты, включая диабетическую ретинопатию, диабетическую нефропатию и диабетическую нейропатию; заболевание мышц, включая миотонию и усталость; периферическая нейропатия; расстройства восприятия; мигрень; потерю памяти, включая болезнь Альцгеймера и слабоумие; CNS опосредованная моторная дисфункция, включая болезнь Паркинсона и атаксию; эпилепсия и другие заболевания, связанные с ионным каналом.
В качестве ингибиторов Кv1 подсемейства перекрывающих напряжение К+ каналов соединения настоящего изобретения полезны для лечения различных расстройств, включая отторжение органов-трансплантантов или тканей, трансплантант-против-хозяина болезни, вызванные трансплантацией костного мозга, ревматоидный артрит, системную красную волчанку, тироидит хашимото, рассеянный склероз, тяжелую миастению, увеит диабета типа I, юношеский-начальный или недавний-начальный сахарный диабет, последующий увеит, аллергический энцефаломиелит, гломерулонефрит, инфекционные болезни, вызванные патогенными микроорганизмами, воспалительные и гиперпролиферативные кожные заболевания, псориаз, поверхностный дерматит, контактный дерматит, экземные дерматиты, себорейный дерматит, плоский лишай, пемфигоз, пузырьковый пемфигоид, эпидермолитическую буллозу, крапивницу, гигантскую крапивницу, васкулит, эритему, кожный эозинофил, красную волчанку, прыщи, очаговую алопецию, кератоконъюктивит, весенний конъюктивит, увеит, связанный с болезнью Бекета, кератит, герпесный кератит, коническую роговицу, дистрофию эпителиальной роговицы, лейкому роговицы, окулярный пемфигоз, язвенный склерит Мурена, офтальмопатию Грейвза, синдром Вогт-Койанаги-Харада, саркоидоз, аллергию на пыльцу, обратимую обструктивную болезнь дыхательных путей, бронхиальную астму, аллергическую астму, внутреннюю астму, внешнюю астму, астму от пыли, хроническую или застарелую астму, позднюю астму и гипервосприимчивость дыхательных путей, бронхит, язву желудка, сосудистую опасность, вызванную ишемическими заболеваниями и тромбозом, ишемические кишечные заболевания, легочные кишечные заболевания, некротический энтероколит, кишечные поражения, связанные с термальными ожогами, и лейкотриен В4-опосредованные заболевания, брюшнополостные заболевания, проктит, эозинофильный гастроэнтерит, мастоцитоз, болезнь Крона, язвенный колит, мигрень, ринит, экзему, внутритканевой нефрит. Good-pasture синдром, гемолитический-уремический синдром, диабетическую нефропатию, множественный миозит, Джулиан-Барра синдром, болезнь Мениера, полинейрит, множественный нейрит, мононейрит, радикулопатию, гипертроидизм. Базедову болезнь, чистую красную клеточную аплазию, гипопластическую анемию, гипопластическую анемию, идиопатическую тромбоцитопеническую пурпуру, аутоиммунную гемолитическую анемию, агранулоцитоз, пернициозную анемию, мегалобластическую анемию, анеритроплазию, остеопороз, саркоидоз, фиброз легких, идиопатическую внутритканевую пневмонию, дерматоз, лейкодермию вульгариз, ихтиоз вульгариз, фотоаллергическую чувствительность, кожную Т-клеточную лимфому, артериосклероз, атеросклероз, аортный синдром, узелковый полиартериит, миокардоз, склеродермию, гланулому Вегенера, синдром Сьегрена, адипоз, эозинофильный фаскит, повреждения десны, периодонтит, альвеолярное окостенение, вещественный костный дентис, гломерулонефрит, мужскую системную алопецию или стареющую алопецию при предупреждении эпиляции или проведении наращивания волос и/или стимулировании нарастания волос и роста волос, мышечную дистрофию; Pyoderma и Sezary синдром, болезнь Аддисона, ишемия-реперфузионный ушиб органов, который встречается при сохранении, трансплантации или ишемической болезни, эндотоксин-шок, псевдомембранный колит, колит, вызванный лекарственным средством или радиацией, ишемическую острую почечную недостаточность, хроническую почечную недостаточность, токсикоз, вызванный окислением легких или лекарственными средствами, рак легких, легочную эмфизему, катаракту, сидероз, ретинит, пигентозу, старческую пятнистую дегенерацию, стекловидное рубцевание, щелочное горение роговицы, мультиформу дерматической эритемы, линейный IgA пузырьковый дерматит и связанный дерматит, гингивит, периодонтит, сепсис, панкреатит, заболевания, вызванные загрязнением окружающей среды, старение, карциногенез, метастаз карциномы и гипобаропатии, заболевания, вызванные высвобождением гистамина или лейкотриена-С4, болезнь Бехкета, аутоиммунный гепатит, начальный цирроз печени, склерозный холангит, частичную резекцию печени, острый некроз печени, некроз, вызванный токсином, вирусный гепатит, шок или кислородное голодание, В-вирусный гепатит, ни-А/ни-В гепатит, цирроз, алкогольный цирроз, печеночную недостаточность, скоротечную печеночную недостаточность, позднюю печеночную недостаточность, “острая-при-хронической” печеночную недостаточность, аугенцию хемотерапевтического действия, цитомегаловирусную инфекцию, HCMV инфекцию, СПИД, рак, старческое слабоумие, травму и хроническую бактериальную инфекцию.
Соединения настоящего изобретения являются антиаритмическими агентами, которые полезны для предупреждения и лечения (включая частичное облегчение или излечение) аритмии. В качестве ингибиторов Kv1.5 соединения объема настоящего изобретения особенно полезны для селективного предупреждения и лечения аритмии желудочка, аритмии такой, как фибрилляция предсердия и колебания предсердия. Под селективным предупреждением и лечением аритмии желудочка ” понимают предупреждение или лечение аритмии желудочка, где соотношение пролонгации эффективного рефракторного периода предсердия и пролонгации эффективного рефракторного периода желудочка составляет больше чем 1:1. Это соотношение предпочтительно составляет больше чем 4:1, более предпочтительно больше чем 10:1 и наиболее предпочтительно, чтобы пролонгация эффективного рефракторного ответного периода предсердия достигалась без значительно заметной пролонгации эффективного рефракторного периода желудочка.
К тому же, соединения в объеме настоящего изобретения блокируют IKur и, следовательно, могут быть полезными для предупреждения и лечения всех IKur-связанных условий. “IKur-связанные условия ” представляют собой заболевание, которое может быть предупреждено, частично облегчено или излечено путем введения IKur блокатора. Кv1.5 ген, как известно, экспрессируется в ткани желудка, желудочно-кишечной ткани, легочной артерии и панкреатических бетта-клетках. Следовательно, введение IKur блокатора может обеспечить лечение таких заболеваний, как поточный эзауфагит, функциональная диспепсия, запор, астма и диабеты. К тому же, Кv1.5 экспрессируется в переднем гипофизе. Следовательно, введение IKur блокаторов может стимулировать рост гормона секреции. IKur ингибиторы могут дополнительно использоваться в расстройствах клеточной пролиферации, таких как лейкемия и аутоиммунные заболевания, такие как ревматоидный артрит и отторжение трансплантанта.
Настоящее изобретение, следовательно, относится к способам профилактики или лечения одного или более ранее упомянутых расстройств, включающих стадию введения субъекту, нуждающемуся в них, эффективного количества по крайней мере одного соединения формулы I. В настоящих способах могут применяться другие терапевтические агенты, такие, как агенты, описанные ниже, с соединениями по изобретению. В способах настоящего изобретения такой другой терапевтический агент(ы) может вводиться до, одновременно с или следом за введением соединения(й) настоящего изобретения.
Настоящее изобретение также относится к фармацевтическим композициям, включающим по крайней мере одно из соединений формулы I или их соли, способные предотвращать или лечить одно или более упомянутых заболеваний в их эффективном количестве, и фармацевтически приемлемый носитель или разбавитель. Композиции настоящего изобретения могут включать другие терапевтические агенты, как описано ниже, и могут быть составлены, например, путем применения обычных твердых или жидких носителей или разбавителей, так же как и фармацевтических добавок подходящего типа для способа нужного введения (например, эксципиенты, связующие вещества, консерванты, стабилизаторы, отдушки и т.д.) способами, хорошо известными из уровня техники для фармацевтических составов.
Соединения формулы I могут вводиться подходящими способами, например, орально в виде таблеток, капсул, гранул или порошков; сублингвально; буккально; парентерально, подкожно, внутривенно, внутримышечно или внутригрудинной инъекцией или методами вливания (например, в виде стерильных инъекционных водных или неводных растворов или суспензий); назально, с помощью ингаляционного спрея; местно, в виде крема или мази, или ректально в виде суппозиториев; в дозированных единичных составах, содержащих нетоксичные фармацевтически приемлемые носители или разбавители. Настоящие соединения могут, например, вводиться в виде, подходящем для немедленного высвобождения или длительного высвобождения.
Немедленное высвобождение или длительное высвобождение может достигаться использованием подходящих фармацевтических композиций, включающих соединения по изобретению или, особенно в случае длительного высвобождения, использованием устройств, таких как подкожные имплантанты или осмотические насосы. В случае, когда соединения формулы I вводят для предотвращения или лечения аритмии, соединения могут вводиться при осуществлении химической конверсии до нормального синусного ритма или могут необязательно использоваться в сочетании с электрической кардиоконверсией.
Примеры композиций для орального введения включают суспензии, которые могут содержать, например, микрокристаллическую целлюлозу для придания объема, алгиновую кислоту или алгинат натрия в качестве суспендирующего агента, метилцеллюлозу в качестве усилителя вязкости и подсластители или летучие агенты, известные из уровня техники, и таблетки немедленного высвобождения, которые могут включать, например, микрокристаллическую целлюлозу, дикальцийфосфат, крахмал, стеарат магния и/или лактозу и/или другие добавки, связующие вещества, наполнители, дезинтегранты, разбавители и лубриканты, известные из уровня техники. Соединения формулы I могут также быть доставлены через полость рта при сублингвальном и/или буккальном введении. Формовые таблетки, компрессионные таблетки или таблетки сухой заморозки являются примерами формулы, которые могут использоваться. Примерные композиции включают такие составы настоящего соединения(й) с быстро растворяющими разбавителями, такими как маннитол, лактоза, сукроза и/или циклодекстрины. В такие составы также могут включаться добавки высокого молекулярного веса, такие как целлюлозы (авицель) или полиэтиленгликоли (PEG). Такие составы могут также включать добавки для вспомогательной адгезии слизистой, такие как гидроксипропилцеллюлоза (НРС), гидроксипропилметилцеллюлоза (НРМС), натрийкарбоксиметилцеллюлоза (SCMC), сополимер малеинового ангедрида (например, Gantrez) и агенты для контроля высвобождения, такие как полиакриловый сополимер (например, Carbopol 934). Лубриканты, размягчители, отдушки, красители и стабилизаторы могут также добавляться для свободного изготовления и использования.
Примерные композиции для назального аэрозоля или ингаляционного введения включают солевые растворы, которые могут включать, например, бензиловый спирт или другие консерванты, абсорбционные промотеры для повышения биодоступности и/или другие солюбилизирующие или дисперсионные агенты, известные из уровня техники.
Примерные композиции для парентерального введения включают инъекционные растворы или суспензии, которые могут включать, например, подходящие нетоксичные парентерально приемлемые разбавители или растворители, такие как маннитол, 1,3-бутандиол, вода, раствор Рингера, изотонический раствор хлорида натрия или другие подходящие дисперсионные или увлажняющие и суспендирующие агенты, включая синтетические моно- или диглицериды и жирные кислота, включая олеиновую кислоту.
Примерные композиции ректального введения включают суппозитории, которые могут включать, например, подходящий нераздражающий эксципиент, такой, как масло какао, синтетические эфиры глицерида или полиэтиленгликоли, которые являются твердыми при обычных температурах, но разжижаются и/или растворяются в ректальной полости для высвобождения лекарственного средства.
Примерные композиции для местного введения включают местный носитель, такой, как Plastibase (минеральное масло, желатированное с полиэтиленом).
Эффективное количество соединения настоящего изобретения может быть определено специалистом данного уровня техники и включает примерные дозированные количества для взрослого человека от примерно 0,001 до 100 мг/кг веса тела активного соединения ежедневно, которые могут вводиться в разовой дозе или в виде индивидуальных раздельных доз, таких, как от 1 до 4 раз в день. Ясно, что специфический уровень дозы и частота доз для каждого отдельного субъекта может быть различной и будет зависеть от различных факторов, включающих активность специфического применяемого соединения, метаболитическую стабильность и продолжительность действия этого соединения, тип, возраст, вес тела, общее здоровье, пол и питание субъекта, способ и время введения, скорость выделения, сочетание с лекарствами и сложность особых условий. Предпочтительные субъекты для лечения включают животных, более предпочтительно млекопитающих, таких, как человек и домашние животные, такие, как собаки, кошки и им подобные, субъекты для вышеупомянутых заболеваний.
Соединения настоящего изобретения могут применяться отдельно или в сочетании друг с другом и/или другими подходящими терапевтически активными агентами, полезными для лечения вышеупомянутых расстройств или других заболеваний, включающие другие антиаритмические агенты, такие, как агенты Класса I (например, пропафенон), агенты Класса II (например, карвадиол и пропранолол), агенты Класса III (например, соталол, дофетилид, амиодарон, азимилид и ибутилид), агенты Класса IV (например, дилтиазем и верапамил), 5НТ антагонисты (например, суламсерод, серралин и тропсетрон) и дрондарон; блокаторы кальциевого канала (L-типа и Т-типа), такие как дилтиазем, верапамил, нифедипин, амлодипин и мибефрадил; ингибиторы циклооксигеназы (т.е. СОХ-1 и/или СОХ-2 ингибиторы), такие как аспирин, индометацин, ибупрофен, пироксикам, напроксен, целебрекс, виокс и NSAIDs; антитромботические агенты, такие, как GPIIb/IIIa блокаторы (например, абсиксимаб, эптифибатид и тирофибан), P2Y12 антагонисты (например, клопидогрел, тиклопидин и CS-747), антагонисты рецептора тромбоксана (например, ифетробан), аспирин и PDE-III ингибиторы (например, дипиридамол) с или без аспирина; диуретики, такие, как хлортиазид, гидрохлортиазид, флуметиазид, гидрофлуметиазид, бендрофлуметиазид, метилхлортиазид, трихлорметиазид, политиазид, бензтиазид, трикринафен этакриновой кислота, хлорталидон, фуросемид, музолимин, буметанид, триамтренен, амилорид и спиронолактон; антигипертензивные агенты, такие, как альфа адреноблокаторы, бета адреноблокаторы, блокаторы кальциевого канала, диуретики, ингибиторы ренина, АСЕ ингибиторы, (например, каптоприл, зофеноприл, фозиноприл, эналаприл, цераноприл, цилазоприл, делаприл, пентоприл, хинаприл, рамиприл, лизиноприл), А II антагонисты (например, лозартан, ирбесартан, валсартан), ЕТ антагонисты (например, ситаксентал, атрсентал и соединения, описанные в US 5612359 и 6043265), двойной ET/AII антагонист (например, соединения, описанные в WO 00/01389), ингибиторы нейтральной эндопептидазы (NEP), ингибиторы вазопептидазы (двойные NEP-ACE ингибиторы) (например, омапатрилат и гемопатрилат), нитраты и комбинации таких антигипертензивных агентов; антитромботические/антитромболитические агенты, такие как тканевый плазменогенный активатор (tPA), рекомбинантный tPA, тенектеплаза (TNK), ланотеплаза (nPA), ингибиторы фактора VIIa, ингибиторы фактора Ха, ингибиторы тромбина (например, гирудин и аргатробан), PAI-1 ингибиторы (т.е. инактиваторы ингибиторов тканевого плазменогенного активатора), 2-антиплазминные ингибиторы, стрептокиназа, урокиназа, проурокиназа, комплекс анизоилированного плазменогенного активатора стрептокиназы и плазменогенные активаторы животных или слюнной железы; антикоагулянты, такие как варфарин и гепарины (включая нефракционированные и низкомолекулярные гепарины, такие как эноксапарин и дальтепарин); ингибиторы HMG-CoA редуктазы, такие как правастатин, ловастатин, аторвастатин, симвастатин, NK-104 (a.k.a. итавастатин или нисвастатин или нисбастатин) и ZD-4522 (a.k.a. росувастатин или атавастатин или визастатин); другие холестерин/липидпонижающие агенты, такие как ингибиторы скваленовой синтетазы, фибраты и секвестранты желчной кислоты (например, квестран); антиполиферативные агенты, такие как циклоспорин А, таксол, FK 506 и адриамицин; противоопухолевые агенты, такие как таксол, адриамицин, эпотилоны, цисплатин и карбоплатин; антидиабетические агенты, такие как бигуаниды (например, метформин), ингибиторы глюкозидазы (например, акарбоза), инсулины, мегнитилиды (например, репаглинид), сульфонилмочевины (например, глимеперид, глибурид и глипизид), комбинации бигуанид/глибурида (т.е. глюкованс), тиозолидинедионы (например, троглитазон, розиглитазон и пиоглитазон), PPAR-гамма агонисты, аР2 ингибиторы и DP4 ингибиторы; тироидные миметики (включая антагонисты тироидных рецепторов) (например, тиротропин, политироид, КВ-130015 и дронедарон); антагонисты минералокортикоидного рецептора, такие как спиронолактон и эплеринон; активаторы гормона роста; антиостеопорозные агенты (например, алендронат и ралоксифен); агенты гормонов замещенной терапии, такие как эстроген (включая конъюгированные эстрогены в премарине) и эстрадиол; антидепрессанты, такие как нефазодон и сертралин; антистрессовые агенты, такие как дизепам, лоразепам, буспирон и гидроксизин памоат; оральные контрацептивы; антиязвенные агенты и агенты гастропищеводного заболевания, такие как фамотидин, ранитидин и омепразол; агенты против ожирения, такие как орлистат; сердечные гликозиды, включая дигитализ и оуабаин; ингибиторы фосфодистеразы, включая PDE III ингибиторы (например, цилостазол) и PDE V ингибиторы (например, сильденафил); ингибиторы протеинтирозинкиназы; стероидные антивоспалительные агенты, такие как преднизон и дексаметазон, и другие антивоспалительные агенты, такие как энбрель.
Другие указанные выше терапевтические агенты, при применении в комбинации с соединениями настоящего изобретения, могут использоваться, например, в количествах, указанных в Physicians’ Desk Reference (PDR) или иначе определяется специалистом данного уровня техники.
Испытания для определения степени активности соединения в качестве IKur ингибитора хорошо известны из уровня техники и описаны в литературе, такой как J. Gen. Physiol. Apr; 101(4):513-43, u Br. J. Pharmacol. 1995 May; 115(2):267-74.
Испытания для определения степени активности соединения в качестве ингибитора других членов Кv1 подсемейства также хорошо известны из уровня техники. Например, ингибирование Kv1.1, KV1.2 и Кv1.3 может быть измерено, используя методики, описанные Grissmer S и др., Mol Pharmacol 1994 Jun; 45(6): 1227-34. Ингибирование Кv1.4 может быть измерено, как описано в Petersen KR и Nerbonne JM, Pflugers Arch 1999 Feb;437(3):381-92. Ингибирование Кv1.6 может быть измерено, используя методики, описанные Bowlby MR и Levitan BB, J Neurophysiol 1995 Jun; 73(6):2221-9, и Ингибирование Kv1.7 может быть измерено, используя методики, описанные Kalman К и др., J Biol Chem 1998 Mar 6; 273(10):5851-7.
Соединения в объеме настоящего изобретения проявляют активность в Кv1 испытаниях, таких как испытания, описанные выше.
Все указанные документы в настоящем описании приведены здесь полностью в качестве ссылки.
Следующие примеры и получения описывают метод и способ получения и использования изобретения и являются иллюстрирующими, но не ограничивающими. Ясно, что могут существовать другие воплощения, которые попадают в область и объем изобретения, как описано в формуле, приложенной далее. Сокращения, используемые здесь, приведены ниже.
CDI = карбонилдиимидазол
DCM = дихлорметан
DMAP = диметиламинопиридин
ДМФА = диметилформамид
DMPU = 1,3-диметил-3,4,5,6-тетрагидро-2(1H)-пиримидинон
EDCI (или EDC) = 1-(3-диметиламинопропил)-3-этилкарбодиимида гидрохлорид
М+Н = моноизотопная масса плюс один протон
Et = этил
h = часы
HPLC = высокоэффективная жидкостная хроматография
НОВТ = гидроксибензотриазол
LC/MS = жидкостная хроматография /масс-спектрометрия
Me = метил
мин. = минуты
MS = масс-спектрометрия
NaOAc = ацетат натрия
РРА = полифосфорная кислота
Pr = пропил
Ру = пиридин
PyBrOP = бром-трис-пирролидинофосфонийгексафторфосфат
RT = комнатная температура
Rt = время задержки
TEA = триэтиламин
TFA = трифторуксусная кислота
TLC = тонкослойная хроматография
TMSOTf = триметилсилилтрифторметансульфонат
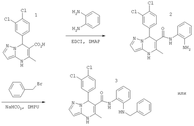
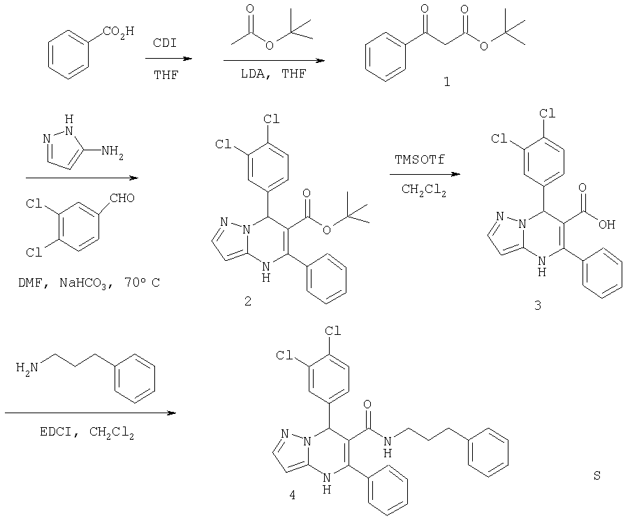
Пример 1
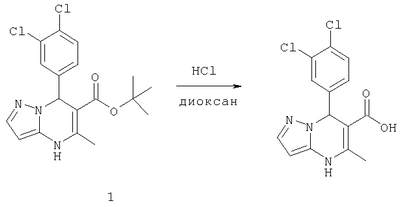
7-(2,3-Дихлорфенил)-4,7-дигидро-5-метилпиразол[1,5-а]пиримидин-6-карбоновой кислоты метиловый эфир

Способ:

reflux = нагревание при кипении с обратным холодильником
Стадия А. Смесь метилацетоацетата 1 (5 мл, 46 ммоль), 2,3-дихлорбензальдегида 2 (8,1 г, 46 ммоль), пиперидина (1,1 мл, 12 ммоль) и уксусной кислота (0,6 мл, 11 ммоль) в толуоле (200 мл) нагревают при кипении с обратным холодильником в течение ночи с азеотропным удалением воды с помощью аппарата Дина-Старка. Смесь охлаждают до комнатной температуры, захолаживают водой, переносят в делительную воронку, разбавляют этилацетатом, промывают водным раствором NaOH (1М), водным раствором HCl (1М), водой, рассолом, а затем концентрируют в вакууме. Остаток очищают с помощью флэш хроматографии (силикагель, 33% этилацетат/гексаны), чтобы получить 10.8 г (85% выход) соединения 3 в виде смеси диастереоизомеров. LS/MS с обращенной фазой: YMC S5 ODS 4.6×50 мм на Ballistic колонке, УФ определение при 220 , 4-минутный градиент (10% МеОН/Н2О с 0,1% TFA-90% МеОН/Н2O с 0,1% TFA), 4 мл/мин. Диастереоизомер A, Rt=3.51 мин. (53%). Диастереоизомер В, Rt=3,70 мин. (45%). MS (M+H: 273).
Стадия В. Смесь соединения 3 (5 г, 18.3 ммоль), 3-аминопиразола 4 (1.5 г, 18.3 ммоль) в 1-пропаноле (60 мл) нагревают при кипении с обратным холодильником в течение 6 часов. Смесь охлаждают до комнатной температуры, затем концентрируют, а затем перекристаллизовывают из этилацетата/гексанов, что дает 1,25 г (20%) полученного соединения в виде желтого твердого вещества. Маточную жидкость концентрируют и очищают с помощью флэш-хроматографии (силикагель, 5% метанол/дихлорметан), что дает дополнительно 1,62 г (26%) названного соединения. Общий выход 2,87 г (46%). LS/MS с обращенной фазой: YMC S5 ODS 4.6×50 мм на Ballistic колонке, УФ определение при 220 , 4-минутный градиент (10% МеОН/Н2О с 0.1% TFA-90% МеОН/H2О с 0,1% TFA), 4 мл/мин. Rt=3.38 мин. (96% чистота). MS (M+H: 338). ЯМР (CDCl3, 400 Мгц) 7.98 (1Н, приб. с), 7.15 (3Н, м), 6.91 (1Н, с), 5.52 (1Н, приб. с), 3.61 (3Н, с), 2.39 (3Н, с).
Примеры 2 и 3
Соединения по примерам 2 и 3, приведенные в таблице ниже, получают по методике, аналогичной примеру 1.
| Пример |
Структура |
Название |
(M+H) |
| 2 |
 |
7-(3,4-Дихлорфенил)-4,7-дигидро-5-метилпиразол[1,5-а]пиримидин-6-карбоновой кислоты метиловый эфир |
338 |
| 3 |
 |
7-(4-Хлорфенил)-4,7-дигидро-5-метилпиразол[ 1,5-а] пиримидин-6-карбоновой кислоты метиловый эфир |
303 |
Пример 4
7-(3,4-Дихлорфенил)-4,7-дигидро-5-метилпиразол[1,5-а]пиримидин-6-карбоновой кислоты 1,1- диметилэтиловый эфир

Способ 1:

Соединение 1. Соединение 1 получают конденсацией трет-бутоксиацетоацетата и 2,4-дихлорбензальдегида, как описано в примере 1, стадия А.
Получение названного соединения. Смесь соединения 1 (44.4 г, 141 ммоль), 3-аминопиразола 2 (17,6 г 212 ммоль) и ацетата натрия (46,3 г, 564 ммоль) в диметилформамиде (300 мл) перемешивают при 70°С в течение ночи (17 часов). Смесь охлаждают до комнатной температуры, переносят в делительную воронку, разбавляют водой и этилацетатом, промывают водой (добавляют небольшое количество метанола, чтобы разрушить эмульсию, которая образуются) и рассолом, сушат над безводным сульфатом натрия, а затем концентрируют. При этом образуется осадок. Его промывают этилацетатом, этиловым эфиром, гексаном и сушат, что дает 8,93 г вещества. Маточную жидкость концентрируют, что дает вторую порцию осадка в количестве 9,32 г. LC/MS анализ показывает, что осадок нечистый. Осадки объединяют, растворяют в дихлорметане, а затем концентрируют с достаточным количеством силикагеля, таким, чтобы получить свободнотекущий порошок. Полученный порошок загружают на хроматографическую колонку, заполненную диоксидом кремния, гелем и дихлорметаном. Элюирование 100% дихлорметаном с последующим 3% метанолом/дихлорметаном дает 15,1 г (29% выход) названного соединения. LS/MS с обращенной фазой: YMC S5 ODS 4,6×50 мм на Ballistic колонке, УФ определение при 220 , 4-минутный градиент (10% МеОН/Н2O с 0,1% TFA-90% MeOH/H2O с 0,1% TFA), 4 мл/мин. Rt=4,63 мин, (97% чистота). MS (M+H: 380). ЯМР (CD3OD, 400 МГц) 7,4 (2Н, м), 7,33 (1Н, д, J=2 гц), 7,08 (1Н, м), 6,21 (1Н, с), 5,68 (1Н, д, J=2 Гц), 2,43 (3Н, с), 1,37 (9Н,с).
Способ 2:

DMF=ДМФА
Смесь трет-бутоксиацетоацетата 1 (22,6 г, 143 ммоль), 3,4-дихлорбензальдегида 2 (25,0 г, 143 ммоль), 3-аминопиразола 3 (15,4 г, 185 ммоль) и гидрокарбоната натрия (36 г, 428 ммоль) в диметилформамиде (250 мл) перемешивают при 70°С в течение ночи (18 часов). Смесь охлаждают до комнатной температуры, захолаживают этилацетатом и водой, переносят в делительную воронку, промывают водой и рассолом, сушат над сульфатом натрия, фильтруют, а затем концентрируют. Остаток перекристаллизовывают из этилацетата/гексана, что дает 16,8 г (31% выход) полученного соединения в виде белого твердого вещества. Данные для полученного соединения приведены в описании способа 1.
Примеры 5 и 6
Соединения по примерам 5 и 6, приведенные в таблице ниже, получают по методике, аналогичной примеру 4, способ 1.
| Пример |
Структура |
Название |
(М+Н) |
| 5 |
 |
7-(3,4-Дихлорфенил)-4,7-дигидро-5 -метил-2-(трифторметил)пиразол[1,5-а]пиримидин-6-карбоновой кислоты 1,1-диметилэтиловый эфир |
448 |
| 6 |
 |
7-(2,3-Дихлорфенил)-4,7-дигидро-5-метил-2-(трифторметил)пиразол[1,5-а]пиримидин-6-карбоновой кислоты 1,1-диметилэтиловый эфир |
448 |
Примеры 7-11
Соединения по примерам 7-11, приведенные в таблице ниже, получают по методике, аналогичной примеру 4, способ 2. Соединение по примеру 4, способ 2, может быть разделено на соответствующие энантиомеры А (пример 8) и В (пример 9) припаративной хиральной HPLC (Chiralcel OD колонка (50 Х 500 мм), элюирование 7% изопропанолом/гексаном, содержащим 0,1% триэтиламин амин при 50 мл/мин.), УФ определение при 254 . Аналитическая HPLC (Chiralcel OD колонка (4,6 X 250 мм) элюирование 10% изопропанолом/гексаном, содержащим 0,1% триэтиламин амин при 1 мл/мин.), УФ определение при 254 , показывает энантиомер A (Rt=6,98 мин., 98% ее), энантиомер В (Rt=9.22 мин., 98% ее).
| Пример |
Структура |
Название |
(М+Н) |
| 7 |
 |
7-(2,3-Дихлорфенил)-4,7-дигидро-5-метилпиразол[1,5-а]пиримидин-6-карбоновой кислоты 1,1-диметилэтиловый эфир |
380 |
| 8 |
 |
7-(3,4-Дихлорфенил)-4,7-дигидро-5-метилпиразол [1-5 а]пиримидин-6-карбоновой кислоты 1,1-диметилэтиловый эфир, энантиомер А |
380 |
| 9 |
 |
7-(3,4-Дихлорфенил)-4,7-дигидро-5-метилпиразол [1,5-а]пиримидин-6-карбоновой кислоты 1,1-диметилэтиловый эфир, энантиомер В |
380 |
| 10 |
 |
7-(3,4-Дихлорфенил)-4,7-дигидро-2,5-диметилпиразол[1,5-а]пиримидин-6-карбоновой кислоты 1,1-диметил- этиловый эфир |
394 |
| 11 |
 |
3-Хлор-7-(3-хлорфенил)-4,7-дигидро-5-метилпиразол[1,5-а] пиримидин-6-карбоновой кислоты 1,1-диметилэтиловый эфир |
380 |
Пример 12
7-(2,3-Дихлорфенил)-4,7-дигидро-4,5-диметилпиразол[1,5-а]пиримидин-6-карбоновой кислоты 1,1-диметилэтиловый эфир

Способ:

DMF=ДМФА
Соединение 1. Соединение 1 получают, как описано в примере 4, способ 1. Получение названного соединения. Гидрид натрия (0.186 г, 7.76 ммоль) добавляют при 0°С в раствор 1 (2.27 г, 5.97 ммоль) в диметилформамиде (30 мл). Через 10 мин., добавляют йодистый метил (0.41 мл, 6.57 ммоль). Затем еще через 85 мин. смесь захолаживают насыщенным раствором хлорида аммония, разбавляют этилацетатом, переносят в делительную воронку, промывают насыщенным раствором хлорида аммония, водой и рассолом, сушат над безводным сульфатом натрия, а затем концентрируют с достаточным количеством силикагеля, таким, чтобы получить свободнотекущий порошок. Полученный порошок загружают на хроматографическую колонку, заполненную 100% дихлорметаном. Элюирование 0-10% этилацетат/дихлорметаном дает 1,16 г (49%) полученного соединения в виде слегка желтого твердого вещества. LS/MS с обращенной фазой: YMC S5 ODS 4,6×50 мм на Ballistic колонке, УФ определение при 220 , 4-минутный градиент 40-100% растворитель В/А (растворитель А: 10% МеОН/Н2О с 0,1% TFA, растворитель В: 90% МеОН/Н2О с 0,1% TFA), 4 мл/мин., Rt=3,46 мин. (96% чистота), MS (M+H:394). ЯМР (CD3С1, 400 МГц) 7,39 (1 Н, д, J=2 Гц), 7,35(1 Н, м), 7,23(1 Н, м), 7,11(1 Н, м), 6,91(1 Н, с), 5,58(1 Н, д, J=2 Гц), 2,38 (3Н, с), 2,62 (3Н, с), 1,27 (9Н,с).
Пример 13
7-(3,4-Дихлорфенил)-4,7-дигидро-4,5-диметилпиразол[1,5-а]пиримидин-6-карбоновой кислоты 1,1-диметилэтиловый эфир

Названное соединение получают по методике, аналогичной методике примера 12, с получением соединения с (M+H): 394.
Пример 14
4,7-Дигидро-5-метил-7-(1-метилэтил)пиразол[1,5-а]пиримидин-6-карбоновой кислоты 1,1-диметилэтиловый эфир

Способ:

Запаянная трубка
DMF=ДМФА
Трубку высокого давления сушат с помощью нагревательного ружья в токе азота. В трубку высокого давления загружают в следующем порядке изобутилальдегид 2 (0,262 г, 3,63 ммоль), диметилформамид (3 мл), трет-бутилацетоацетат 1 (0,574 г, 3,63 ммоль), 3-аминопиразол 3 (0,362 г, 4,36 ммоль) и ацетат натрия (1,22 г, 14,5 ммоль). Смесь продувают азотом. Трубку герметизируют, нагревают до 75°С и перемешивают в течение ночи. Смесь охлаждают до комнатной температуры, разбавляют этилацетатом до объема 20 мл, промывают хлоридом лития (2,4М, 10 мл) и рассолом, сушат над безводным сульфатом натрия, фильтруют, а затем концентрируют, что дает 1,02 желтого масла. Масло очищают с помощью флэш-хроматографии (диоксид кремния, 45% этилацетат/гептан), что дает 0,42 г (41% выход) названного соединения. HPLC с обращенной фазой: YMC S5 ODS 4,6×50 мм на Ballistic колонке, УФ определение при 220 , 4-минутный градиент 0-100% растворитель В/А (растворитель А: 10% МеОН/Н2О с 0,2% РРА, растворитель В: 90% MeOH/H2O с 0,2% РРА), 4 мл/мин. Rt=3,83 мин. (100% чистота). LS/MS с обращенной фазой: YMC S5 ODS 4,6×50 мм на Ballistic колонке, УФ определение при 220 , 4 – минутный градиент 0-100% растворитель В/А (растворитель А: 10% МеОН/Н2O с 0,1% TFA, растворитель В: 90% МеОН/Н2O с 0,1% TFA), 4 мл/мин. Rt=3,06 мин. MS (ЕМ, М+1: 278). ЯМР (CDCl3, 400 МГц): 7,37(1 Н, д, J=2,2 гц), 6,35 (1 Н, с), 5,55(1 Н, д, J=1,8 Гц), 5,29 (1 Н, д, J=2,2 Гц), 2,41 (3Н,с), 1,50 (9Н,с), 1,28-1,19 (1 Н,м), 1,07 (3Н, д, J=7,0 Гц), 0,60 (3Н, д, J=7,0 Гц).
Пример 15
7-Циклопропил-4,7-дигидро-5-метилпиразол[1,5-а]пиримидин-6-карбоновой кислоты 1,1-диметилэтиловый эфир

Названное соединение получают по методике, аналогичной методике примера 14, с получением соединения с (М+Н): 275.
Пример 16
7-(3,4-Дихлорфенил)-4,7-дигидро-5-метилпиразол[1,5-а]пиримидин-6-карбоновой кислоты

Способ:

Соединение 1. Соединение 1 получают, как описано в примере 4.
Получение названного соединения. При комнатной температуре HCI (4M в диоксане) добавляют к твердому веществу соединению 1 (1,13 г, 2,97 ммоль). Твердое вещество растворяют и при этом выпадает осадок. Полученной густой реакционной смеси дают перемешиваться в течение ночи, а затем концентрируют в вакууме, что дает 1,14 г (120%, включая диоксан) полученного соединения в виде белого твердого вещества. LS/MS с обращенной фазой: YMC S5 ODS 4,6×50 мм на Ballistic колонке, УФ определение при 220 , 4-минутный градиент 0-100% растворитель В/А (растворитель А: 10% МеОН/Н2O с 0,1% TFA, растворитель В: 90% MeOH/H2O с 0,1% TFA), 4 мл/мин. Rt=3,54 мин. (93% чистота). MS (M+H: 324). ЯМР (CD3OD, 400 МГц) 7,96 (1 Н, д, J=3 Гц), 7,51 (2Н, м), 7,21 (1 Н, м), 6,49 (1 Н,с), 6,11 (1 Н, д, J=3 Гц), 2,51(3Н, с). Названное соединение используют на следующей стадии без очистки.
Пример 17
7-(3,4-Дихлорфенил)-4,7-дигидро-5-метил-2-(трифторметил)пиразол[1,5-а]пиримидин-6- карбоновая кислота

Способ:

Соединение 1. Соединение 1 (соединение по примеру 5) получают по методике, аналогичной методике примера 4.
Получение названного соединения. Триметилсилилтрифторметансульфонат (0,873 мл, 4,82 ммоль) добавляют при комнатной температуре к раствору соединения 1 (1,08 г, 2,41 ммоль) в дихлорметане (50 мл). После 2 часов добавляют триэтиламин (0,672 мл, 4,82 ммоль) и реакционную смесь выливают в воду. Органический слой отделяют и сушат над Na2SO4, концентрируют и очищают с помощью флэш-хроматографии (50% этилацетат/гексан 100% этилацетат), что дает 0,71 г (75% выход) полученного соединения в виде белого твердого вещества. MS (M+H: 392).
Пример 18
1-[[7-(2,3-Дихлорфенил)-4,7-дигидро-5-метилпиразол[1,5-а]пиримидин-6-ил] карбонил]-4-фенилпиперазин

Способ 1:

Соединение 1. Соединение 1, получают, как описано в примере 1.
Получение названного соединения. Триметилалюминий (1,1 мл, 2,2 ммоль, 2 М в толуоле) добавляют по каплям при комнатной температуре в раствор 1-фенилпиперазина 2 (0,4 мл, 2,2 ммоль) в толуоле (7 мл). Через час соединение 1 (0,50 г, 1,5 ммоль) добавляют и полученную смесь перемешивают при 100°С в течение 18 часов. Смесь охлаждают до комнатной температуры, захолаживают водой, разбавляют этилацетатом, переносят в делительную воронку, промывают водным раствором HCl (1М), водой и рассолом, сушат над безводным сульфатом натрия, а затем концентрируют в вакууме. Остаток очищают с помощью флэш-хроматографии (силикагель, 50% этилацетат/гексаны, а затем 5% метанол/дихлорметан) обеспечивает 0,22 г (32%) твердого вещества, которое затем очищают с помощью перекристаллизации из метанола/этилового эфира, что дает 0,15 г (22%) названного соединения. LS/MS с обращенной фазой: YMC S5 ODS 4,6×50 мм на Ballistic колонке, УФ определение при 220 , 4-минутный градиент 0-100% растворитель В/А (растворитель А: 10% МеОН/Н2О с 0,1% TFA, растворитель В: 90% MeOH/H2O с 0,1% TFA), 4 мл/мин. Rt=3,58 мин., (92% чистота). MS (M+H: 468). Дополнительные данные для полученного соединения приведены при описании способа 2, стадия С, вариант 1.
Способ 2:

reflux = нагревание при кипении с обратным холодильником,
DMF=ДМФА
Стадия А, вариант 1. Смесь N-фенилпиперазина 1 (6,7 мл, 41 ммоль) и трет-бутоксиацетоацетата 2 (6,8 мл, 45 ммоль) в толуоле (50 мл) нагревают при кипении с обратным холодильником в течение ночи. Смесь охлаждают до комнатной температуры, переносят в делительную воронку, разбавляют этиловым эфиром и экстрагируют (3х) водным раствором HCl(1М). Экстракты HCl объединяют и промывают этиловым эфиром (2Х), подщелачивают (рН 9) водным раствором NaOH (50% об/об) и экстрагируют этилацетатом. Экстракты этилацетата объединяют, промывают водой и рассолом, сушат над безводным сульфатом натрия, фильтруют, а затем концентрируют, что дает 9,76 г (97,6%) соединения 4 в виде густого масла с запахом. LS/MS с обращенной фазой: YMC S5 ODS 4,6×50 мм на Ballistic колонке, УФ определение при 220 , 4-минутный градиент 0-100% растворитель В/А (растворитель А:10% MeOH/H2O с 0,1% TFA, растворитель В: 90% МеОН/Н2O с 0,1% TFA), 4 мл/мин. Rt=1,65 мин., (100% чистота). MS (M+H: 247). ЯМР (CDCl3, 400 МГц) 7,28 (2Н, м), 6,91 (3Н, м), 3,80 (2Н, м), 3,78 (2Н, м), 3,59 (4Н, м), 3,19 (4Н, М), 2,30 (3Н, с).
Стадия А, вариант 2. Дикетен 3 (5,50 г, 65,5 ммоль) медленно добавляют в течение 15 мин. при 0°С к раствору 4-фенилпиперазина 1 (5,31 г, 32,7 ммоль) в дихлорметане (50 мл). TLC после 4 часов показывает, что соединение 1 не прореагировало полностью. Добавляют дополнительное количество дикетена (5,50 г, 65,5 ммоль). Затем еще через 1,5 часа реакцию захолаживают 1N NaOH, переносят в делительную воронку, промывают 1N NaOH и рассолом, сушат над сульфатом натрия, концентрируют с достаточным количеством силикагеля, таким, чтобы получить свободнотекущий порошок. Полученный порошок загружают на хроматографическую колонку, заполненную диоксидом кремния и 50% этилацетатом/гексаном. Элюирование 50-100% этилацетатом/гексаном дает 8,2 г (100%) соединения 4 в виде густого желтого масла. Данные для соединения 4 приведены при описании стадии А, вариант 1.
Стадия В: Смесь соединения 4 (9,76 г, 40 ммоль), 2,3-дихлорбензальдегида 6 (7,89 г, 45 ммоль), пиперидина (1,0 мл, 10 ммоль), уксусной кислоты (0,59 мл, 10 ммоль) в толуоле (100 мл) нагревают при кипении с обратным холодильником в течение ночи с азеотропным удалением водой с помощью аппарата Дина-Старка. Смесь охлаждают до комнатной температуры, а затем концентрируют в вакууме, после чего обычно используют на последующих стадиях без дальнейшей очистки. Соединение 6 может быть очищено с помощью хроматографии на силикагеле (30-40% этилацетат/гексаны). LS/MS с обращенной фазой: YMC S5 ODS 4,6×50 мм на Ballistic колонке, УФ определение при 220 , 4 – минутный градиент 0-100% растворитель В/А (растворитель А: 10% МеОН/Н2О с 0,1% TFA, растворитель В: 90% МеОН/Н2O с 0,1% TFA), 4 мл/мин. Rt=3,83 мин. (96% чистота). MS (M+H: 404). ЯМР (CDCl3, 400 МГц) 7,82 (1Н, с), 7,55 (1Н, дд, J=1,8 Гц), 7,48 (1 Н, дд, J=1,8 Гц), 7,23(3Н, м), 6,89(1 Н, приб. т, 7 Гц), 6,8(2Н, д, J=8 Гц), 3,78(2Н, м), 3,34 (1 Н, м), 3,23 (2Н, м), 2,96 (1 Н, м), 2,85 (1 Н, м), 2,50 (3Н, с), 2,42 (1 Н, М).
Стадия С, вариант 1. Смесь соединения 6 (16 г, 40 ммоль), 3-аминопиразола 7 (5,1 г 62 ммоль) и ацетата натрия (10,1 г, 123 ммоль) в диметилформамиде (100 мл) перемешивают при 70°С в течение ночи (17 часов). Смесь охлаждают до комнатной температуры, переносят в делительную воронку, разбавляют водой и этилацетатом, промывают водой (добавляют небольшое количество метанола, чтобы разрушить эмульсию, которая образуются) и рассолом, сушат над безводным сульфатом натрия, а затем концентрируют. Полученный остаток очищают с помощью хроматографии на силикагеле. Элюирование 50% этилацетатом/гексаном, а затем 100% этилацетатом дает 6,2 г (33% выход из соединение 1) названного соединения. Названное соединение разделяют на соответствующие энантиомеры А (пример 28) и В (пример 29) препаративной хиральной HPLC (Chiracel OD колонка (50×500 мм), элюирование 30% изопропанолом/гексаном, содержащим 0,1% триэтиламин амин при 50 мл/мин.), УФ определение при 254 показывает энантиомер A Rt=42 мин., показывает энантиомер В Rt=54 мин. Аналитическая HPLC (Chiracel OD колонка (4,6×250 мм) элюирование 30% изопропанолом/гексаном, содержащим 0,1% триэтиламин амина при 1 мл/мин.), УФ определение при 254 показывает энантиомер А Rt=11,7 мин., показывает энантиомер В Rt=17,6 мин. Данные для энантиомера A: LS/MS с обращенной фазой: YMC S5 ODS 4,6×50 мм на Ballistic колонке, УФ определение при 220 , 4 – минутный градиент 0-100% растворитель В/А (растворитель А: 10% MeOH/H2O с 0,1% TFA, растворитель В: 90% МеОН/Н2О с 0,1% TFA), 4 мл/мин. Rt=3,54 мин, (91% чистота). MS (М+Н: 468). ЯМР (HCI соль 8а, CD3OD, 400 МГц) 7,94 (1 Н, д, J=3 Гц), 7,56 (8Н, м), 7,38 1 Н, м), 6,05 (1 Н, д, J=3 Гц), 4,23 (1 Н,м), 3,57 (7Н, м), 2,01(3Н, с).
Стадия С, вариант 2. Смесь соединения 5 (6,0 г, 15 ммоль), 3-аминопиразола 7 (1,24 г, 15 ммоль) в н-пропаноле (50 мл) нагревают при кипении с обратным холодильником в течение ночи (19 часов). Смесь охлаждают до комнатной температуры, переносят в делительную воронку, разбавляют этилацетатом. При попытке промыть раствор насыщенным раствором хлорида аммония образуется осадок. Его растворяют в воде и метаноле. Полученную смесь промывают водой и рассолом, сушат над безводным сульфатом натрия, а затем концентрируют. Полученный остаток очищают с помощью хроматографии на силикагеле. Элюирование 70% этилацетатом/гексаном, а затем 100% этилацетатом дает 2,7 г (39% выход) полученного соединения в виде белого твердого вещества. Полученное соединение может быть разделено на соответствующие энантиомеры А и В, как описано на стадии С, вариант 1.
Примеры 19-27
Соединения по примерам 19-27, приведенные в таблице ниже, получают по методике, описанной в примере 18, способ 1.
| Пример |
Структура |
Название |
(М+Н) |
| 19 |
 |
1-[[7-(3,4-Дихлорфенил)-4,7- дигидро-5-метилпиразол[1,5-а]пиримидин-6-фенилпиперазин |
468 |
| 20 |
 |
7-(3,4-Дихлорфенил)-4,7-дигидро-5-метил-N-пропилпиразол[1,5-а] пиримидин-6-карбоксамид |
365 |
| 21 |
 |
7-(3,4-Дихлорфенил)-4,7-дигидро-5-метил-N-фенилпиразол[1,5-а]пиримидин-6-карбоксамид |
399 |
| 22 |
 |
4-[[7-(2,3-Дихлорфенил)-4,7- дигидро-5-метилпиразол [1,5-а]пиримидин-6-ил]карбонил]морфолин |
393 |
| 23 |
 |
7-(2,3-Дихлорфенил)-4,7-дигидро-5-метил-N-пропилпиразол[1,5-а]пиримидин-6-карбоксамид |
365 |
| 24 |
 |
7-{2,3-Дихлорфенил)-4,7-дигидро-5-метил-N-фенилпиразол[1,5-a]пиримидин-6-карбоксамид |
399 |
| 25 |
 |
7-(2,3-Дихлорфенил)-4,7-дигидро-5-метил-N-(2-фенилэтил)пиразол[1,5-а]пиримидин-6-карбоксамид |
427 |
| 26 |
 |
7-(3,4-Дихлорфенил)-4,7-дигидро-5-метил-N-(2-фенилэтил)пиразол[1,5-а]пиримидин-6-карбоксамид |
427 |
| 27 |
 |
7-(3,4-Дихлорфенил)-4,7-дигидро-5-метил-N-3-пиридинилпиразол[1,5-а]пиримидин-6-карбоксамид |
400 |
Примеры 28-82
Соединения по примерам 28-82, приведенные в таблице ниже, получают по методике, описанной в примере 18, способ 2.
HPLC разделение по примеру 47, Chiralcel OD колонка (50×500 мм), элюирование 30% изопропанолом/гексаном, содержащими 0,1% триэтиламин при 50 мл/мин. УФ определение при 254 дает энантиомеры А (пример 50) и В (пример 51). Chiralcel OD колонка (4,6×250 мм) элюирование 30% изопропанол/гексан, содержащими 0,1% триэтиламин при 1 мл/мин.), УФ определение при 254 показывает энантиомер A Rt=9,8 мин., >99% ее. Энантиомер В Rt=14,2 мин., >99% ее.
HPLC разделение по примеру 70, Chiralpak AD колонка (50×500 мм), элюирование 15% этанолом/гексаном, содержащими 0,1% триэтиламин при 50 мл/мин. УФ определение при 254 дает энантиомеры А (пример 72) и В (пример 71). Chiralpak AD колонка (4,6×250 мм) элюирование 15% этанолом/гексанами, содержащими 0,1% триэтиламин при 1 мл/мин.), УФ определение при 254 показывает энантиомер А Rt=6.9 мин., >99% ее. Энантиомер В Rt=13.4 мин., >99% ее.
HPLC разделение по примеру 80, Chiralpak AD колонка (50 х 500 мм), элюирование 25% изопропанолом/гексаном, содержащими 0,1% триэтиламин при 50 мл/мин. УФ определение при 254 , приводит энантиомеры А (пример 81) и В (пример 82). Chiralpak AD колонка (4.6×250 мм) элюирование 30% изопропанол/гексан, содержащими 0.1% триэтиламин при 1 мл/мин.), УФ определение при 254 показывает энантиомер А Rt=5,3 мин., >99% ее. Энантиомер В Rt=7.1 мин., >99% ее.
| Пример |
Структура |
Название |
(М+Н) |
| 28 |
 |
1-[[7-(2,3-Дихлорфенил)-4,7-дигидро-5-метилпиразол[1,5-а]пиримидинил]карбонил]-4-фенилпиперазин, энантиомер А |
468 |
| 29 |
 |
1-[[7-(2,3-Дихлорфенил)-4,7-дигидро-5-метилпиразол[1,5-а]пиримидин-6-ил]карбонил]-4-фенилпиперазин, энантиомер В |
468 |
| 30 |
 |
1-[[7-(4-Хлорфенил)-4,7-дигидро-5-метилпиразол [1,5-а]пиримидин-6-ил]карбонил]-4-фенилпиперазин |
433 |
| 31 |
 |
1-[[7-(3,4-Дихлорфенил)-4,7-дигидро-5-метил-N-(фенилметил)пиразол[1,5-а]пиримидин-6-карбоксамид |
413 |
| 32 |
 |
4-[[7-(3,4-Дихлорфенил)-4,7-дигидро-5-метилпиразол[1,5-а]пиримидин-6-ил]карбонил]морфолин |
393 |
| 33 |
 |
1-[[7-(3,4-Дихлорфенил)-4,7-дигидро-5-метилпиразол[1,5-а]пиримидин-6-ил]карбонил]-4-метилпиперазин |
406 |
| 34 |
 |
7-(2,3-Дихлорфенил)-4,7-дигидро-5-метил-N-(фенилметил)пиразол[1,5-а]пиримидин-6-карбоксамид |
413 |
| 35 |
 |
7-(4-Хлорфенил)-4,7-дигидро-5-метил-N-(фенилметил)пиразол[1,5-а]пиримидин-6-карбоксамид |
378 |
| 36 |
 |
4-[[7-(4-Хлорфенил)-4,7-дигидро-5-метилпиразол [1,5-а]пиримидин-6-ил]карбонил]морфолин |
358 |
| 37 |
 |
1-[[7-(3,4-Дихлорфенил)дигидро-5-метилпиразол[ 1,5-а]пиримидинил] карбонил]пиперидин |
391 |
| 38 |
 |
1-[[7-(2,3-Дихлорфенил)дигидро-5-метилпиразол[ 1,5-а]пиримидинил]карбонил]пиперидин |
391 |
| 39 |
 |
7-(3,4-Дихлорфенил)-4,7-дигидро-5-метил-N-(3-фенилпропил)пиразол[1,5-а]пиримидин-6-карбоксамид |
441 |
| 40 |
 |
1-[[5-(3,4-Дихлорфенил)-5,8-дигидро-7-метилимидазо[1,2-а]пиримидин-6-ил]карбонил]-4-фенилпиперазин |
468 |
| 41 |
 |
1-[[7-(3,4-Дихлорфенил)-4,7-дигидро-5-метилпиразол[1,5-а]пиримидин-6-ил]карбонил]-4-(фенилметил)пиперидин |
481 |
| 42 |
 |
1-[[7-(3,4-Дихлорфенил)-4,7-дигидро-5-метил-N,N-дипропилпиразол[1,5-а]пиримидин-6-карбоксамид |
482 |
| 43 |
 |
7-(3,4-Дихлорфенил)-4,7-дигидро-5-метил-N,N-дипропилпиразол[1,5-а]пиримидин-6-карбоксамид |
407 |
| 44 |
 |
1-[[7-(3-Хлорфенил)-4,7-дигидро-5-этилпиразол[1,5-а]пиримидин-6-ил]карбонил]-4-(4-фторфенил)пиперазин |
451 |
| 45 |
 |
1-[[7-(3,4-Дифторфенил)-4,7-дигидро-5-метилпиразол[1,5-а]пиримидин-6-ил]карбонил]-4-(4-фторфенил)пиперазин |
453 |
| 46 |
 |
1-[[7-(3,4-Дихлорфенил)-4,7-дигидро-5-метил[1,2,4]триазол[1,5-а]пиримидин-6-ил]карбонил]-4-фенилпиперазин |
469 |
| 47 |
 |
1-[[7-(2,3-Дихлорфенил)-4,7-дигидро-5-метилпиразол[1,5-а]пиримидин-6-ил]карбонил]-4-(4-фторфенил)пиперазин |
486 |
| 48 |
 |
1-(4-Фторфенил)-4-[(4,7-дигидро-5-метил-7-фенилпиразол[1,5-а]пиримидин-6-ил)карбонил]пиперазин |
417 |
| 49 |
 |
1-[[7-(3,4-Дихлорфенил)-1,2,4,7-тетрагидро-5-метил-2-оксопиразол[1,5-а]пиримидин-6-ил]карбонил]-4-фенилпиперазин |
484 |
| 50 |
 |
1-[[7-(2,3-Дихлорфенил)-4,7-дигидро-5-метилпиразол[1,5-а]пиримидин-6-ил]карбонил]-4-(4-фторфенил)пиперазин, энантиомер А |
486 |
| 51 |
 |
1-[[7-(2,3-Дихлорфенил)-4,7-дигидро-5-метилпиразол[1,5-а]пиримидин-6-ил]карбонил]-4-(4-фторфенил)пиперазин, энантиомер В |
486 |
| 52 |
 |
1-[[5-(2,3-Дихлорфенил)-5,8-дигидро-7-метилимидазо[1,2-а]пиримидин-6-ил]карбонил]-4-фенилпиперазин |
468 |
| 53 |
 |
1-(4-Фторфенил)-4-[[7-(3-фторфенил)-4,7-дигидро-5-метилпиразол[1,5-а]пиримидин-6-ил]карбонил]пиперазин |
435 |
| 54 |
 |
1-[[7-(3,5-Дихлорфенил)-4,7-дигидро-5-метилпиразол[1,5-а]пиримидин-6-ил]карбонил]-4-(4-фторфенил)пиперазин |
486 |
| 55 |
 |
1-[(7-Циклогексил-4,7-дигидро-5-метилпиразол[1,5-а]пиримидин-6-ил)карбонил]-4-фенилпиперазин |
405 |
| 56 |
 |
1-[[7-(2,3-Дихлорфенил)-4,7-дигидро-5-метил-[1,2,4]триазол[1,5-а]пиримидин-6-ил)карбонил]-4-фенилпиперазин |
469 |
| 57 |
 |
1-[[7-(2,3-Дихлорфенил)-4,7-дигидро-2,5-диметилпиразол[1,5-а]пиримидин-6-ил]карбонил]-4-фенилпиперазин |
482 |
| 58 |
 |
7-(2,3-Дихлорфенил)-4,7-дигидро-5-метил-6-[(4-фенил-1-пиперазинил)карбонил]пиразол[1,5-а]пиримидин-3-карбоновой кислоты этиловый эфир |
540 |
| 59 |
 |
1-[[4-(2,3-Дихлорфенил)-4,6,7,8-тетрагидро-2-метил-1Н-пиримидо[1,2-а]пиримидин-3-ил]карбонил]-4-фенилпиперазин |
484 |
| 60 |
 |
4-[[7-(3,4-Дихлорфенил)-4,7-дигидро-5-метилпиразол[1,5-а]пиримидин-6-ил]карбонил]-1-пиперазинкарбоновой кислоты 1,1-диметилэтиловый эфир |
492 |
| 61 |
 |
1-[[7-(3,4-Дихлорфенил)-4,7-дигидро-2,5-диметилпиразол[1,5-а]пиримидин-6-ил]карбонил]-4-фенилпиперазин |
482 |
| 62 |
 |
1-[[7-(3,4-Дихлорфенил)-4,7-дигидро-5-метил-2-фенилпиразол[1,5-а]пиримидин-6-ил]карбонил]-4-фенилпиперазин |
544 |
| 63 |
 |
7-(3,4-Дихлорфенил)-4,7-дигидро-2,5-диметил-N-(3-фенилпропил)пиразол[1,5-а]пиримидин-6-карбоксамид |
455 |
| 64 |
 |
1-[[7-(2,3-Дихлорфенил)-2-(1,1-диметилэтил)-4,7-дигидро-5-метилпиразол[1,5-а]пиримидин-6-ил]карбонил]-4-фенилпиперазин |
524 |
| 65 |
 |
1-[[7-(3,4-Дихлорфенил)-4,7-дигидро-5-метилпиразол[1,5-а]пиримидин-6-ил]карбонил]-4-фенилпиперидин |
467 |
| 66 |
 |
7-(3,4-Дихлорфенил)-4,7-дигидро-5-метил-6-[[(3-фенилпропил)амино]карбонил]пиразол[1,5-а]пиримидин-3-карбоновой кислоты этиловый эфир |
513 |
| 67 |
 |
7-(2,3-Дихлорфенил)-4,7-дигидро-5-метил-6-[(4-фенил-1-пиперазинил)карбонил]пиразол[1,5-а]пиримидин-2-карбоновой кислоты этиловый эфир |
540 |
| 68 |
 |
1-[[3-Циано-7-(2,3-дихлорфенил)-4,7-дигидро-5-метилпиразол[1,5-а]пиримидин-6-ил]карбонил]-4-(4-фторфенил)пиперазин |
511 |
| 69 |
 |
1-[[7-(3,4-Дихлорфенил)-4,7-дигидро-5-метил-2-(трифторметил)пиразол[1,5-а]пиримидин-6-ил]карбонил]-4-(4-фторфенил)пиперазин |
554 |
| 70 |
 |
1-[[7-(2,3-Дихлорфенил)-4,7-дигидро-5-метил-2-(трифторметил)пиразол[1,5-а]пиримидин-6-ил]карбонил]-4-(4-фторфенил)пиперазин |
554 |
| 71 |
 |
1-[[7-(2,3-Дихлорфенил)-4,7дигидро-5-метил-2-(трифторметил)пиразол[1,5-а]пиримидин-6-ил]карбонил]-4-(4-фторфенил)пиперазин, энантиомер В |
554 |
| 72 |
 |
1-[[7-(2,3-Дихлорфенил)-4,7-дигидро-2,5-диметилпиразол[1,5-а]пиримидин-6-ил]карбонил]-4-(4-фторфенил)пиперазин, энантиомер В |
554 |
| 73 |
 |
7-(3,4-Дихлорфенил)-4,7-дигидро-5-метил-N-(3-фенилпропил)-2-(трифторметил)пиразол[1,5-а]пиримидин-6-карбоксамид |
509 |
| 74 |
 |
7-(3,4-Дихлорфенил)-6-[[4-(4-фторфенил)-1-пиперазинил]карбонил]-4,7-дигидро-5-метилпиразол[1,5-а]пиримидин-2-карбоновой кислоты метиловый эфир |
544 |
| 75 |
 |
(2S)-1-[[7-(2,3-Дихлорфенил)-4,7-дигидро-5-метил-2-(трифторметил)пиразол[1,5-а]пиримидин-6-ил]карбонил]-2-(метоксиметил)пирролидин |
489 |
| 76 |
 |
1[[7-(2,3-Дихлорфенил)-2-фтор-4,7-дигидро-5-метилпиразол[1,5-а]пиримидин-6-ил]карбонил]-4-(4-фторфенил)пиперазин |
504 |
| 77 |
 |
(2S)-1-[[2-Хлор-7-(2,3-дихлорфенил)-4,7-дигидро-5-метилпиразол[1,5-а]пиримидин-6-ил]карбонил]-2-(метоксиметил)пирролидин |
455 |
| 78 |
 |
(2S)-1-[[2-Хлор-7-(3,4-дихлорфенил)-4,7-дигидро-5-метилпиразол[1,5-а]пиримидин-6-ил]карбонил]-2-(метоксиметил)пирролидин |
455 |
| 79 |
 |
(2S)-1-[[7-(2,3-Дихлорфенил)-2-фтор-4,7-дигидро-5-метилпиразол[1,5-а]пиримидин-6-ил]карбонил]-2-(метоксиметил)пирролидин |
439 |
| 80 |
 |
1-[[7-3,4-Дихлорфенил-4,7-дигидро-2,5-диметилпиразол[1,5-а]пиримидин-6-ил]карбонил]-4-(4-фторфенил)пиперазин |
500 |
| 81 |
 |
1-[[7-(3,4-Дихлорфенил)-4,7-дигидро-2,5-диметилпиразол[1,5-а]пиримидин-6-ил]карбонил]-4-(4-фторфенил)пиперазин, энантиомер А |
500 |
| 82 |
 |
1-[[7-(3,4-Дихлорфенил)-4,7-дигидро-2,5-диметилпиразол[1,5-а]пиримидин-6-ил]карбонил]-4-(4-фторфенил)пиперазин, энантиомер В |
500 |
Пример 83
7-(2,3-Дихлорфенил)-4,7-дигидро-5-метил-N,N-дипропилпиразол[1,5-а]пиримидин-6-карбоксамид

Способ:

Соединение 1. Соединение 1 получают, как описано в примере 18, способ 2, стадия А1, из трет-бутоксиацетоацетата и дипропиламина.
Получение названного соединения. Смесь соединения 1 (0,2 г, 1,1 ммоль), 2,3-дихлорбензальдегида 2 (0,23 г, 1,3 ммоль), пиперидина (0,015 мл, 0,27 ммоль), уксусной кислота (0,027 мл, 0,27 ммоль) и 4Å молекулярных сит (на кончике шпателя) в диметилформамиде (1 мл) перемешивают при 70°С в течение ночи. Смесь охлаждают до комнатной температуры. Добавляют 3-аминопиразол 3 (0,13 г, 1,6 ммоль) и ацетат натрия (0,28 г, 3,5 ммоль) и снова перемешивают в течение ночи при 70°С. Смесь охлаждают до комнатной температуры, переносят в делительную воронку, разбавляют водой и этилацетатомом, промывают водой (добавляют небольшое количество метанола, чтобы разрушить эмульсию, которая образуются) и рассолом, сушат над безводным сульфатом натрия, а затем концентрируют.
Полученный остаток очищают с помощью хроматографии на силикагеле (50% этилацетат/гексан, а затем 100% этилацетатом), чтобы получить 0,10 г (23% выход из соединения 1) названного соединения. LS/MS с обращенной фазой: YMC S5 ODS 4,6×10 50 мм на Ballistic колонке, УФ определение при 220 , 4 – минутный градиент 40-100% растворитель В/А (растворитель А:10% MeOH/H2O с 0,1% TFA, растворитель В: 90% MeOH/H2O с 0,1% TFA), 4 мл/мин. Rt=2,94 мин. (96% чистота). MS (M+H: 407).
Примеры 84-169
Соединения по примерам 84-169, приведенные в таблице ниже, получают по методике, аналогичной методике примера 83.
HPLC разделение по примеру 84, Chiralpak AS колонка (50×500 мм), элюирование 30% изопропанол/гексан, содержащий 0,1% триэтиламин при 50 мл/мин.), УФ определение при 254 определяет энантиомеры А (пример 166) и В (пример 167). Chiralpak AS колонка (4,6×250 мм) элюирование 40% изопропанолом/гексаном, содержащими 0,1% триэтиламин при 1 мл/мин.). УФ определение при 254 показывает энантиомер А Rt=5,53 мин., >99% ее. Энантиомер В Rt=12,0 мин., 98% ее.
HPLC разделение по примеру 165, Chiralpak AD колонка (50×500 мм), элюирование 20% изопропанолом/гексаном, содержащими 0,1% триэтиламин при 50 мл/мин.). УФ определение при 254 , показывает энантиомеры А (пример 169) и В (пример 168). Chiralpak AD колонка (4,6×250 мм) элюирование 20% изопропанолом/гексаном, содержащими 0,1% триэтиламин при 1 мл/мин.). УФ определение при 254 показывает энантиомер А Rt=8,3 мин., >99% ее, энантиомер В Rt=12,8 мин., 98% ее.
| Пример |
Структура |
Название |
(М+Н) |
| 84 |
 |
1-[[7-(3,4-Дихлорфенил)-4,7-дигидро-5-метилпиразол[1,5-а]пиримидин-6-ил]карбонил]-4-(4-фторфенил)пиперазин |
486 |
| 85 |
 |
1-[[7-(2,3-Дифторфенил)-4,7-дигидро-5-метилпиразол[1,5-а]пиримидин-6-ил]карбонил]-4-(4-фторфенил)пиперазин |
453 |
| 86 |
 |
4-[6-[[4-(4-Фторфенил)-1-пиперазинил]карбонил]-4,7-дигидро-5-метилпиразол[1,5-а]пиримидин-7-ил]бензойной кислоты метиловый эфир; |
475 |
| 87 |
 |
1-(4-Фторфенил)-4-[[7-(2-фторфенил)-4,7-дигидро-5-метилпиразол[1,5-а]пиримидин-6-ил]карбонил]пиперазин |
435 |
| 88 |
 |
1-[[7-(2-Хлорфенил)-4,7-дигидро-5-метилпиразол[1,5-а]пиримидин-6-ил]карбонил]-4-(4-фторфенил)пиперазин |
451 |
| 89 |
 |
1-[[7-(2,4-Дихлорфенил)-4,7-дигидро-5-метилпиразол[1,5-а]пиримидин-6-ил]карбонил]-4-(4-фторфенил)пиперазин |
486 |
| 90 |
 |
1-[[4,7-Дигидро-7-(2-метоксифенил)-5-метилпиразол[1,5-a]пиримидин-6-ил]карбонил]-4-(4-фторфенил)пиперазин |
447 |
| 91 |
 |
1-[[7-(2,3-Диметоксифенил)-4,7-дигидро-5-метилпиразол[1,5-а]пиримидин-6-ил]карбонил4-(4-фторфенил)пиперазин |
477 |
| 92 |
 |
1-[[7-(2,4-Диметоксифенил)-4,7-дигидро-5-метилпиразол[1,5-а]пиримидин-6-ил]карбонил4-(4-фторфенил)пиперазин |
477 |
| 93 |
 |
1-[[7-(2,5-Диметоксифенил)-4,7-дигидро-5-метилпиразол[1,5-а]пиримидин-6-ил]карбонил4-(4-фторфенил)пиперазин |
477 |
| 94 |
 |
1-[[4,7-Дигидро-5-метил-7-[2-(трифторметил)фенил]пиразол[1,5-а]пиримидин-6-ил]карбонил]-4-(4-фторфенил)пиперазин |
485 |
| 95 |
 |
1-[[4,7-Дигидро-5-метил-7-(2-метилфенил)пиразол[1,5-а]пиримидин-6-ил]карбонил]-4-(4-фторфенил)пиперазин |
431 |
| 96 |
 |
1-[[4,7-Дигидро-5-метил-7-(3-феноксифенил)пиразол[1,5 -а]пиримидин-6-ил]карбонил]-4-(4-фторфенил)пиперазин |
509 |
| 97 |
 |
1-[[7-(3,4-Диметоксифенил)-4,7-дигидро-5-метилпиразол[1,5-а]пиримидин-6-ил]карбонил]-4-(4-фторфенил)пиперазин |
477 |
| 98 |
 |
1-[[7-(3,5-Диметоксифенил)-4,7-дигидро-5-метилпиразол[1,5-а]пиримидин-6-ил]карбонил4-(4-фторфенил)пиперазин |
477 |
| 99 |
 |
1-[[4,7-Дигидро-5-метил-7-[3-(фенилметокси)фенил]пиразол[1,5-а]пиримидин-6-ил]карбонил]-4-(4-фторфенил)пиперазин |
523 |
| 100 |
 |
1-[[4,7-Дигидро-7-(3-гидроксифенил)-5-метилпиразол[1,5-а]пиримидин-6-ил]карбонил]-4-(4-фторфенил)пиперазин |
433 |
| 101 |
 |
1-[[4,7-Дигидро-5-метил-7-[3-(трифторметил)фенил]пиразол[1,5-а]пиримидин-6-ил]карбонил]-4-(4-фторфенил)пиперазин |
485 |
| 102 |
 |
1-[[4,7-Дигидро-5-метил-7-(3-метилфенил)пиразол[1,5-а]пиримидин-6-ил]карбонил]-4-(4-фторфенил)пиперазин |
431 |
| 103 |
 |
1-[[7-(4-Цианофенил)-4,7-дигидро-5-метилпиразол[1,5-а]пиримидин-6-ил]карбонил]-4-(4-фторфенил)пиперазин |
442 |
| 104 |
 |
1-(4-Фторфенил)-4-[[7-(4-фторфенил)-4,7-дигидро-5-метилпиразол[1,5-а]пиримидин-6-ил]карбонил]пиперазин |
435 |
| 105 |
 |
N-[4-[6-[[4-(4-Фторфенил)-1 пиперазинил]карбонил]-4,7-дигидро-5-метилпиразол[1,5-а] пиримидин-7-ил]фенил]ацетамид |
474 |
| 106 |
 |
1-[[7-[4-(Диметиламино)фенил]-4,7-дигидро-5-метилпиразол[1,5-а]пиримидин-6-ил]карбонил]-4-(4-фторфенил)пиперазин |
460 |
| 107 |
 |
1-[[4,7-Дигидро-7-(4-метоксифенил)-5-метилпиразол[1,5-а]пиримидин-6-ил]карбонил]-4-(4-фторфенил)пиперазин |
447 |
| 108 |
 |
1-[[4,7-Дигидро-5-метил-7-[4-(фенилметокси)фенил]пиразол[1,5-а]пиримидин-6-ил]карбонил]-4-(4-фторфенил)пиперазин |
523 |
| 109 |
 |
1-[[7-(4-Бутоксифенил)-4,7-дигидро-5-метилпиразол[1,5-а]пиримидин-6-ил]карбонил]-4-(4-фторфенил)пиперазин |
489 |
| 110 |
 |
1-[[4,7-Дигидро-5-метил-7-(2-тиенил)пиразол[1,5-а]пиримидин-6-ил]карбонил]-4-(4-фторфенил)пиперазин |
423 |
| 111 |
 |
1-[[4,7-Дигидро-5-метил-7-(3-тиенил)пиразол[1,5-а]пиримидин-6-ил]карбонил]-4-(4-фторфенил)пиперазин |
423 |
| 112 |
 |
1-[[4,7-Дигидро-5-метил-7-[4-(трифторметил)фенил]пиразол[1,5-а]пиримидин-6-ил]карбонил]-4-(4-фторфенил)пиперазин |
485 |
| 113 |
 |
1-[[4,7-Дигидро-5-метил-7-(4-метилфенил)пиразол[1,5-а]пиримидин-6-ил]карбонил]-4-(4-фторфенил)пиперазин |
431 |
| 114 |
 |
1-[[4,7-Дигидро-5-метил-7-(2-нитрофенил)пиразол[1,5-а]пиримидин-6-ил]карбонил]-4-(4-фторфенил)пиперазин |
462 |
| 115 |
 |
1-[[4,7-Дигидро-5-метил-7-(4-нитрофенил)пиразол[1,5-а]пиримидин-6-ил]карбонил]-4-(4-фторфенил)пиперазин |
462 |
| 116 |
 |
1-[[7-(2,6-Дифторфенил)-4,7-дигидро-5-метилпиразол[ 1,5-а]пиримидин-6-ил]карбонил]-4-(4-фторфенил)пиперазин |
453 |
| 117 |
 |
1-[[7-(2,4-Дифторфенил)-4,7-дигидро-5-метилпиразол[1,5-а]пиримидин-6-ил]карбонил]-4-(4-фторфенил)пиперазин |
453 |
| 118 |
 |
1-[[7-(2,5-Дифторфенил)-4,7-дигидро-5-метилпиразол[1,5-а]пиримидин-6-ил]карбонил]-4-(4-фторфенил)пиперазин |
453 |
| 119 |
 |
1-[[7-(3,5-Дифторфенил)-4,7-дигидро-5-метилпиразол[1,5-а]пиримидин-6-ил]карбонил]-4-(4-фторфенил)пиперазин |
453 |
| 120 |
 |
1-[[4,7-Дигидро-5-метил-7-[2-(фенилметокси)фенил]пиразол[1,5-а]пиримидин-6-ил]карбонил]-4-(4-фторфенил)пиперазин |
523 |
| 121 |
 |
1-[[7-(3,4-Диметилфенил)-4,7-дигидро-5-метилпиразол[1,5-а]пиримидин-6-ил]карбонил]-4-(4-фторфенил)пиперазин |
445 |
| 122 |
 |
1-[[4,7-Дигидро-5-метил-7-[4-(трифторметокси)фенил]пиразол[1,5-а]пиримидин-6-ил]карбонил]-4-(4-фторфенил)пиперазин |
501 |
| 123 |
 |
1-[[4,7-Дигидро-5-метил-7-[3-(трифторметокси)фенил]пиразол[1,5-а]пиримидин-6-ил]карбонил]-4-(4-фторфенил)пиперазин |
501 |
| 124 |
 |
1-[[7-(3-Цианофенил)-4,7-дигидро-5-метилпиразол[1,5-а]пиримидин-6-ил]карбонил]-4-(4-фторфенил)пиперазин |
442 |
| 125 |
 |
1-[[4,7-Дигидро-7-(3-метоксифенил)-5-метилпиразол[1,5-а]пиримидин-6-ил]карбонил]-4-(4-фторфенил)пиперазин |
447 |
| 126 |
 |
1-[[7-(4-Хлорфенил)-4,7-дигидро-5-метилпиразол[1,5-а]пиримидин-6-ил]карбонил]-4-(4-фторфенил)пиперазин |
451 |
| 127 |
 |
1-[[4,7-Дигидро-5-метил-7-(4-феноксифенил)пиразол[1,5-а]пиримидин-6-ил]карбонил]-4-(4-фторфенил)пиперазин |
509 |
| 128 |
 |
1-[[4,7-Дигидро-5-метил-7-(3-нитрофенил)пиразол[1,5-а]пиримидин-6-ил]карбонил]-4-(4-фторфенил)пиперазин |
462 |
| 129 |
 |
1-[[4,7-Дигидро-5-метил-7-(5-метил-2-фуранил)пиразол[1,5-а]пиримидин-6-ил]карбонил]-4-(4-фторфенил)пиперазин |
421 |
| 130 |
 |
1-[[4,7-Дигидро-7-(1H-имидазол-2-ил)-5-метилпиразол[1,5-а]пиримидин-6-ил]карбонил]-4-(4-фторфенил)пиперазин |
407 |
| 131 |
 |
1-[[4,7-Дигидро-5-метил-7-(1Н-пиррол-2-ил)пиразол[1,5-а]пиримидин-6-ил]карбонил]-4-(4-фторфенил)пиперазин |
406 |
| 132 |
 |
1-[[4,7-Дигидро-5-метил-7-(2-пиридинил)пиразол[1,5-а]пиримидин-6-ил]карбонил]-4-(4-фторфенил)пиперазин |
418 |
| 133 |
 |
1-[[7-(3-Хлор-4-метоксифенил)-4,7-дигидро-5-метилпиразол[1,5-а]пиримидин-6-ил]карбонил]-4-(4-фторфенил)пиперазин |
481 |
| 134 |
 |
1-[[4,7-Дигидро-7-(4-метокси-1,3-бензодиоксол-6-ил)-5-метилпиразол[1,5-а]пиримидин-6-ил]карбонил]-4-(4-фторфенил)пиперазин |
491 |
| 135 |
 |
1-[[4,7-Дигидро-7-[5-(гидроксиметил)-2-фуранил]-5-метилпиразол[1,5-а]пиримидин-6-ил]карбонил]-4-(4-фторфенил)пиперазин |
437 |
| 136 |
 |
1-[[4,7-Дигидро-7-(1H-индол-3-ил)-5-метилпиразол[1,5-а]пиримидин-6-ил]карбонил]-4-(4-фторфенил)пиперазин |
456 |
| 137 |
 |
1-[[4,7-Дигидро-5-метил-7-(3-пиридинил)пиразол[1,5-а]пиримидин-6-ил]карбонил]-4-(4-фторфенил)пиперазин |
418 |
| 138 |
 |
1-[[4,7-Дигидро-5-метил-7-(3-хинолинил)пиразол[1,5-а]пиримидин-6-ил]карбонил]-4-(4-фторфенил)пиперазин |
468 |
| 139 |
 |
1-[[4,7-Дигидро-5-метил-7-(4-хинолинил)пиразол[1,5-а]пиримидин-6-ил]карбонил]-4-(4-фторфенил)пиперазин |
468 |
| 140 |
 |
1-[[7-(2,3-Дигидро-1,4-бензодиоксин-6-ил)-4,7-дигидро-5-метилпиразол[1,5-а]пиримидин-6-ил]карбонил]-4-(4-фторфенил)пиперазин |
475 |
| 141 |
 |
1-[[4,7-Дигидро-5-метил-7-(2,3,5-трихлорфенил)пиразол[1,5-а]пиримидин-6-ил]карбонил]-4-(4-фторфенил)пиперазин |
520 |
| 142 |
 |
1-[[7-(2,5-Дихлорфенил)-4,7-дигидро-5-метилпиразол[1,5-а]пиримидин-6-ил]карбонил]-4-(4-фторфенил)пиперазин |
486 |
| 143 |
 |
1-(4-Фторфенил)-4-[[7-(3-фуранил)-4,7-дигидро-5-метилпиразол[1,5-а]пиримидин-6-ил]карбонил]пиперазин |
407 |
| 144 |
 |
1-[[7-(2-Бензофуранил)-4,7-дигидро-5-метилпиразол[1,5-а]пиримидин-6-ил]карбонил]-4-(4-фторфенил)пиперазин |
457 |
| 145 |
 |
1-[[4,7-Дигидро-5-метил-7-(3-метилбензо[b]тиофен-2-ил)пиразол[1,5-а]пиримидин-6-ил]карбонил]-4-(4-фторфенил)пиперазин |
487 |
| 146 |
 |
1-[[4,7-Дигидро-5-метил-7-(2-хинолинил)пиразол[1,5-а]пиримидин-6-ил]карбонил]-4-(4-фторфенил)пиперазин |
468 |
| 147 |
 |
1-[[4,7-Дигидро-5-метил-7-(2-тиазолил)пиразол[1,5-а]пиримидин-6-ил]карбонил]-4-(4-фторфенил)пиперазин |
424 |
| 148 |
 |
1-(4-Фторфенил)-4-[[7-(2-фуранил)-4,7-дигидро-5-метилпиразол[1,5-а]пиримидин-6-ил]карбонил]пиперазин |
407 |
| 149 |
 |
1-[[4,7-Дигидро-7-[3-метокси-4-(фенилметокси)фенил]-5-метилпиразол[1,5-а]пиримидин-6-ил]карбонил]-4-(4-фторфенил)пиперазин |
553 |
| 150 |
 |
1-[[4,7-Дигидро-7-[4-метокси-3-(фенилметокси)фенил]-5-метилпиразол[1,5-а]пиримидин-6-ил]карбонил]-4-(4-фторфенил)пиперазин |
553 |
| 151 |
 |
1-[[4,7-Дигидро-5-метил-7-(2-нафталенил)пиразол[1,5-а]пиримидин-6-ил]карбонил]-4-(4-фторфенил)пиперазин |
467 |
| 152 |
 |
1-[[7-[3,4-Бис(фенилметокси)фенил]-4,7-дигидро-5-метилпиразол[1,5-а]пиримидин-6-ил]карбонил]-4-(4-фторфенил)пиперазин |
629 |
| 153 |
 |
1-[[7-(1,3-Бензодиоксол-5-ил)-4,7-дигидро-5-метилпиразол[1,5-а]пиримидин-6-ил]карбонил]-4-(4-фторфенил)пиперазин |
461 |
| 154 |
 |
1-[[7-[3,5-Бис(трифторметил)фенил]-4,7-дигидро-5-метилпиразол[1,5-а]пиримидин-6-ил]карбонил]-4-(4-фторфенил)пиперазин |
553 |
| 155 |
 |
1-[[4,7-Дигидро-5-метил-7-[5-[1-метил-3-(трифторметил)-1Н-пиразол-5-ил]-2-тиенил]пиразол[1,5-а]пиримидин-6-ил]карбонил]-4-(4-фторфенил)пиперазин |
571 |
| 156 |
 |
1-[[7-(5-Этил-2-фуранил)-4,7-дигидро-5-метилпиразол[1,5-а]пиримидин-6-ил]карбонил]-4-(4-фторфенил)пиперазин |
435 |
| 157 |
 |
1-[[7-(2,3-Дигидро-5-бензофуранил)-4,7-дигидро-5-метилпиразол[1,5-а]пиримидин-6-ил]карбонил]-4-(4-фторфенил)пиперазин |
459 |
| 158 |
 |
1-[[7-(3-Бромфенил)-4,7-дигидро-5-метилпиразол[1,5-а]пиримидин-6-ил]карбонил]-4-(4-фторфенил)пиперазин |
496 |
| 159 |
 |
1-[[4,7-Дигидро-5-метил-7-[4-(1-пирролидил)фенил]пиразол[1,5-а]пиримидин-6-ил]карбонил]-4-(4-фторфенил)пиперазин |
486 |
| 160 |
 |
1-[[4,7-Дигидро-5-метил-7-(3-метил-2-тиенил)пиразол[1,5-а]пиримидин-6-ил]карбонил]-4-(4-фторфенил)пиперазин |
437 |
| 161 |
 |
1-[[4,7-Дигидро-5-метил-7-(5-метил-2-тиенил)пиразол[1,5-а]пиримидин-6-ил]карбонил]-4-(4-фторфенил)пиперазин |
437 |
| 162 |
 |
1-[[7-(1,3-Бензодиоксол-4-ил)-4,7-дигидро-5-метилпиразол[1,5-а]пиримидин-6-ил]карбонил]-4-(4-фторфенил)пиперазин |
461 |
| 163 |
 |
1-[[7-(5-Хлор-2-тиенил)-4,7-дигидро-5-метилпиразол[1,5-а]пиримидин-6-ил]карбонил]-4-(4-фторфенил)пиперазин |
457 |
| 164 |
 |
1-[[7-(3,5-Диметилфенил)-4,7-дигидро-5-метилпиразол[1,5-а]пиримидин-6-ил]карбонил]-4-(4-фторфенил)пиперазин |
445 |
| 165 |
 |
1-[[7-(2,3-Дихлорфенил)-4,7 дигидро-2,5-диметилпиразол[1,5-а]пиримидин-6-ил]карбонил]-4-(4-фторфенил)пиперазин |
500 |
| 166 |
 |
1-[[7-(3,4-Дихлорфенил)-4,7- дигидро-5-метилпиразол[1,5-а]пиримидин-6-ил]карбонил]-4-(4-фторфенил)пиперазин, энантиомер А |
486 |
| 167 |
 |
1-[[7-(3,4-Дихлорфенил)-4,7-дигидро-5-метилпиразол[1,5-а]пиримидин-6-ил]карбонил]-4-(4-фторфенил)пиперазин, энантиомер В |
486 |
| 168 |
 |
1-[[7-(2,3-Дихлорфенил)-4,7-дигидро-2,5-диметилпиразол[1,5-а]пиримидин-6-ил]карбонил]-4-(4-фторфенил)пиперазин, энантиомер В |
500 |
| 169 |
 |
1-[[7-(2,3-Дихлорфенил)-4,7-дигидро-2,5-диметилпиразол[1,5-а]пиримидин-6-ил]карбонил]-4-(4-фторфенил)пиперазин, энантиомер А |
500 |
Пример 170
8-[[7-(3,4-Дихлорфенил)-4,7-дигидро-5-метилпиразол[1,5-а]пиримидин-6-ил]карбонил]-1,4-диокса-8-азаспиро[4,5]декан

Способ:

Соединение 1. Соединение 1 получают, как описано в примере 16.
Получение названного соединения. Соединение 2 (0,068 г, 0,47 ммоль) добавляют к суспензии соединения 1 (0,10 г, 0,32 ммоль), EDCI (0,09 г, 0,47 ммоль), DMAP (0,004 г, 0,03 ммоль) в дихлорметане (1 мл). После того как LC/MS показывает, что реакция завершена, смесь загружают непосредственно на Worldwide Monitoring ОЧИЩАЮЩИЙ КАРТРИДЖ (силикагель, CUSIL12M6), который заряжают 100% гексаном. Элюирование проводят 100% гексаном (40 мл), а затем 50% этилацетат/гексаном (40 мл) и 100% этилацетатом (70 мл). Очищенные фракции (TLC анализ) объединяют, что дает 0,043 г (30% выход) полученного соединения в виде белого твердого вещества. LS/MS с обращенной фазой: YMC S5 ODS 4,6×50 мм на Ballistic колонке, УФ определение при 220 , 4 – минутный градиент 40-100% растворитель В/А (растворитель А:10% MeOH/H2O с 0,1% TFA, растворитель В: 90% МеОН/Н2O с 0,1% TFA), 4 мл/мин. Rt=2,12 мин. (97% чистота). MS (M+H: 449). ЯМР (DMSO-d6,400 МГц, 100°С) 9,02 (1 Н, уширенный синглет), 7,49 (1 Н, д, J=8 Гц), 7,26 (1 Н, д, J=2 Гц), 7,14 (1 Н, д, J=2 Гц), 6,95 (1 Н, д, J=8 гц), 6,08 (1 Н, с), 5,55 (1 Н, д, J=2 Гц), 3,84 (4Н, м), 3,55 (2Н,м), 3,20 (2Н, м), 1,86 (3Н, с), 1,37 (2Н, м), 1,26 (2Н, м).
Примеры 171-377
Соединения по примерам 171-377, приведенные в таблице ниже, получают по методике, описанной в примере 170.
HPLC разделение в примере 194, Chiralpak AD колонка (50×500 мм), элюирование 30% изопропанолом/гексанами, содержащими 0,1% триэтиламин при 50 мл/мин.). УФ определение при 254 показывает энантиомеры А (пример 250) и В (пример 251). Chiralpak AD колонка (4,6×250 мм) элюирование 30% изопропанолом/гексанами, содержащими 0,1% триэтиламин при 1 мл/мин.). УФ определение при 254 показывает энантиомер А Rt=5,32 мин., 99% ее. Энантиомер В Rt =8,59 мин., 98% ее.
HPLC разделение по примеру 221, Chiralpak AS колонка (50×500 мм), элюирование 50% изопропанолом/гексанами, содержащими 0,1% триэтиламин при 42 мл/мин.). УФ определение при 254 обеспечивает энантиомеры А (пример 328) и В (пример 329). Chiralpak AS колонка (4,6×250 мм) элюирование 30% изопропанолом/гексанами, содержащими 0,1% триэтиламин амин при 1 мл/мин.). УФ определение при 254 показывает энантиомер А Rt=5,12 мин., >99% ее. Энантиомер В Rt=8,70 мин., >99% ее.
HPLC разделение по примеру 288, Chiralpak AD колонка (50×500 мм), элюирование 30% изопропанолом/гексанами, содержащими 0,1% триэтиламин при 50 мл/мин.). УФ определение при 254 показывает энантиомеры А (пример 376) и В (пример 377). Chiralpak AD колонка (4,6×250 мм) элюирование 30% изопропанолом/гексанами, содержащими 0,1% триэтиламин при 1 мл/мин.). УФ определение при 254 показывает энантиомер A Rt=3,8 мин., >99% ее. Энантиомер В Rt=5,6 мин., >99% ее.
HPLC разделение по примеру 333, Chiralpak AD колонка (50×500 мм), элюирование 40% изопропанолом/гексанами, содержащими 0,1% триэтиламин при 50 мл/мин.). УФ определение при 254 обеспечивает энантиомеры А (пример 364) и В (пример 365). Chiralpak AD колонка (4,6×250 мм) элюирование 40% изопропанолом/гексанами, содержащими 0,1% триэтиламин при 1 мл/мин.). УФ определение при 254 показывает энантиомер А Rt=4,92 мин., >99% ее. Энантиомер В Rt=8,0 мин., >97% ее.
Соединение по примеру 360 разделяют на два чистых диастереизомера с помощью хроматографической колонки (силикагель элюируют 75% этилацетат, гексан). Более быстро элюируется изомер, который представляет собой диастереоизомер 1, более медленно элюируется изомер, который представляет собой диастереоизомер 2. Когда разделяют с помощью TLC (20% ацетон, дихлорметан), диастареоизомер 1 имеет Rf 0,26 и диастереоизомер 2 имеет Rf 0,17. Диастареоизомер 2 затем отделяют в чистотой хиральной форме с помощью препаративной хиральной HPLC (Chiralpak AD 5 см × 50 см колонка, элюируют 13% этанолом в гексане с 0,1% TEA при 50 мл/мин с УФ определением при 254 нм). Более быстро элюируется изомер, который представляет собой энантиомер А (HPLC время сохранения 8,1 мин., 4,6×250 мм Chiralpak AD колонка элюируют 10% этанол, гексан с 0,1% триэтиламином при 2 мл/мин, с УФ определением при 254 нм) и более медленно элюируется изомер, который представляет собой энантиомер В (HPLC время сохранения 10,6 мин., 4,6×250 мм Chiralpak AD колонка элюируют 10% этанол, гексан с 0,1% триэтиламином при 2 мл/мин, с УФ определением при 254 нм). Диастериомер 1 может быть затем отделен в хирально чистотой форме по аналогичной методике, описанной для диастареоизомера 2, приведенного выше, с получением энантиомеров С и D.
| Пример |
Структура |
Название |
(М+Н) |
| 171 |
 |
1-[[7-(3,4-Дихлорфенил)-4,7-дигидро-5-метилпиразол[1,5-а]пиримидин-6-ил]карбонил]-4-(2-метоксифенил)пиперазин |
498 |
| 172 |
 |
1-[[7-(3,4-Дихлорфенил)-4,7-дигидро-5-метилпиразол[1,5-а]-пиримидин-6-ил]карбонил]-4-[3-(трифторметил)фенил]пиперазин |
536 |
| 173 |
 |
1-[[7-(3,4-Дихлорфенил)-4,7-дигидро-5-метилпиразол[1,5-а]пиримидин-6-ил]карбонил]-4-(4-нитрофенил)пиперазин |
513 |
| 174 |
 |
1-(4-Ацетилфенил)-4-[[7-(3,4-дихлорфенил)-4,7-дигидро-5-метилпиразол[1,5-а]пиримидин-6-ил]карбонил]пиперазин |
510 |
| 175 |
 |
1-(2-Хлорфенил)-4-[[7-(3,4-дихлорфенил)-4,7-дигидро-5-метилпиразол[1,5-а]пиримидин-6-ил]карбонил]пиперазин |
502 |
| 176 |
 |
1-[[7-(3,4-Дихлорфенил)-4,7-дигидро-5-метилпиразол[1,5-а]пиримидин-6-ил]карбонил] -4-(4-метоксифенил)пиперазин |
498 |
| 177 |
 |
1 -(3,4-Дихлорфенил)-4-[[7-(3,4-дихлорфенил)-4,7-дигидро-5-метилпиразол[1,5-а]пиримидин-6-ил]карбонил] пиперазин |
537 |
| 178 |
 |
1 -(3,5-Дихлорфенил)-4-[[7-(3,4-дихлорфенил)-4,7-дигидро-5-метилпиразол[1,5-а]пиримидин-6-ил]карбонил] пиперазин |
537 |
| 179 |
 |
1-(4-Хлорфенил)-4-[[7-(3,4-дихлорфенил)-4,7-дигидро-5 -метилпиразол[1,5-а]пиримидин-6-ил]карбонил]пиперазин |
502 |
| 180 |
 |
1 -(3-Хлорфенил)-4-[[7-(3,4-дихлорфенил)-4,7-дигидро – 5 -метилпиразол[1,5 -а]пиримидин-6-ил]карбонил]пиперазин |
502 |
| 181 |
 |
1-[[7-(3,4-Дихлорфенил)-4,7-дигидро-5-метилпиразол[1,5-а]пиримидин-6-ил]карбонил]-4-(3-метоксифенил)пиперазин |
498 |
| 182 |
 |
1-[[7-(3,4-Дихлорфенил)-4,7-дигидро-5-метилпиразол[1,5-а]пиримидин-6-ил]карбонил]-4-(4-метилфенил)пиперазин |
482 |
| 183 |
 |
1-[[7-(3,4-Дихлорфенил)-4,7-дигидро-5-метилпиразол[1,5-а]-пиримидин-6-ил]карбонил]-4-[4-(трифторметил)фенил]пиперазин |
536 |
| 184 |
 |
1-[[7-(3,4-Дихлорфенил)-4,7-дигидро-5-метилпиразол[1,5-а]пиримидин-6-ил]карбонил]-4-(2-фторфенил)пиперазин |
486 |
| 185 |
 |
1-[[7-(3,4-Дихлорфенил)-4,7-дигидро-5-метилпиразол[1,5-а]пиримидин-6-ил]карбонил]-4-(3,4-диметилфенил)пиперазин |
496 |
| 186 |
 |
1-[[7-(3,4-Дихлорфенил)-4,7-дигидро-5-метилпиразол[1,5-а]пиримидин-6-ил]карбонил]-4-(2-пиримидинил)пиперазин |
470 |
| 187 |
 |
7-(3,4-Дихлорфенил)-N-[2-[(4-фторфенил)амино]этил]-4,7-дигидро-5-метилпиразол[1,5-а]пиримидин-6-карбоксамид |
460 |
| 188 |
 |
4-[[7-(3,4-Дихлорфенил)-4,7-дигидро-5-метилпиразол[1,5-а]пиримидин-6-ил]карбонил]-1-пиперазинкарбоновой кислоты фенилметиловый эфир |
526 |
| 189 |
 |
7-(3,4-Дихлорфенил)-N-этил-N-[(2-фторфенил)метил]-4,7-дигидро-5-метилпиразол[1,5-а]пиримидин-6-карбоксамид |
459 |
| 190 |
 |
N-[(3-Хлор-4-метоксифенил)метил]-7-(3,4-дихлорфенил)-4,7-дигидро-5-метилпиразол[1,5-а]пиримидин-6-карбоксамид |
477 |
| 191 |
 |
1-(1,3-Бензодиоксол-5-илметил)-4-[[7-(3,4-дихлорфенил)-4,7-дигидро-5-метилпиразол[1,5-а]пиримидин-6-ил]карбонил]пиперазин |
526 |
| 192 |
 |
4-[[7-(3,4-Дихлорфенил)-4,7-дигидро-5-метилпиразол[1,5-а]пиримидин-6-ил]карбонил]-1-пиперазинкарбоновой кислоты этиловый эфир |
464 |
| 193 |
 |
4-[[7-(3,4-Дихлорфенил)-4,7-дигидро-5-метилпиразол[1,5-а]пиримидин-6-ил]карбонил]-4-(2-пиридинил)пиперазин |
469 |
| 194 |
 |
4-[[7-(3,4-Дихлорфенил)-4,7-дигидро-5-метилпиразол[1,5-а]пиримидин-6-ил]карбонил]-2-(метоксиметил)пирролидин |
421 |
| 195 |
 |
1-[Бис(4-фторфенил)метил]-4-[[7-(3,4-дихлорфенил)-4,7-дигидро-5-метилпиразол[1,5-а]пиримидин-6-ил]карбонил]пиперазин |
594 |
| 196 |
 |
1-[[7-(3,4-Дихлорфенил)-4,7-дигидро-5-метилпиразол[1,5-а]пиримидин-6-ил]карбонил]-4-(2-фуранилкарбонил)пиперазин |
486 |
| 197 |
 |
1-Циклогексил-4-[[7-(3,4-дихлорфенил)-4,7-дигидро-5-метилпиразол[1,5-а]пиримидин-6-ил]карбонил]пиперазин |
474 |
| 198 |
 |
1-[[7-(3,4-Дихлорфенил)-4,7-дигидро-5-метилпиразол[1,5-а]пиримидин-6-ил]карбонил]-4-(2-метоксиэтил)пиперазин |
450 |
| 199 |
 |
1-[[7-(3,4-Дихлорфенил)-4,7-дигидро-5-метилпиразол[1,5-а]пиримидин-6-ил]карбонил]-4-(9Н-флуорен-9-ил)пиперазин |
556 |
| 200 |
 |
(2R)-1-[[7-(3,4-Дихлорфенил)-4,7-дигидро-5-метилпиразол[1,5-а]пиримидин-6-ил]карбонил]-2-(метоксиметил)пирролидин |
421 |
| 201 |
 |
1-[[7-(3,4-Дихлорфенил)-4,7-дигидро-5-метилпиразол[1,5-а]пиримидин-6-ил]карбонил]-4-(2,3-диметилфенил)пиперазин |
496 |
| 202 |
 |
1-[[7-(3,4-Дихлорфенил)-4,7-дигидро-5-метилпиразол[1,5-а]пиримидин-6-ил]карбонил]-2-пиперидинкарбоновой кислоты этиловый эфир |
463 |
| 203 |
 |
1-[[7-(3,4-Дихлорфенил)-4,7-дигидро-5-метилпиразол[1,5-а]пиримидин-6-ил]карбонил]-N,N-диэтил-3-пиперидинкарбоксамид |
490 |
| 204 |
 |
1-[[7-(3,4-Дихлорфенил)-4,7-дигидро-5-метилпиразол[1,5-а]пиримидин-6-ил]карбонил]-3-пиперидинкарбоновой кислоты этиловый эфир |
463 |
| 205 |
 |
1-[[7-(3,4-Дихлорфенил)-4,7-дигидро-5-метилпиразол[1,5-a]пиримидин-6-ил]карбонил]-3-метилпиперидин |
405 |
| 206 |
 |
1-[[7-(3,4-Дихлорфенил)-4,7-дигидро-5-метилпиразол[1,5-а]пиримидин-6-ил]карбонил]-3,5-диметилпиперидин |
419 |
| 207 |
 |
1-[[7-(3,4-Дихлорфенил)-4,7-дигидро-5-метилпиразол[1,5-а]пиримидин-6-ил]карбонил]-4-гидроксипиперидин |
407 |
| 208 |
 |
4-(4-Хлорфенил)-1-[[7-(3,4-дихлорфенил)-4,7-дигидро-5-метилпиразол[1,5-а]пиримидин-6-ил]карбонил]-4-гидроксипиперидин |
517 |
| 209 |
 |
1-[[7-(3,4-Дихлорфенил)-4,7-дигидро-5-метилпиразол[1,5-а]пиримидин-6-ил]карбонил]-4-пиперидинкарбоновой кислоты этиловый эфир |
463 |
| 210 |
 |
1-[[7-(3,4-Дихлорфенил)-4,7-дигидро-5-метилпиразол[1,5-а]пиримидин-6-ил]карбонил]-4-метилпиперидин |
405 |
| 211 |
 |
1-[[7-(3,4-Дихлорфенил)-4,7-дигидро-5-метилпиразол[1,5-а]пиримидин-6-ил]карбонил]-1,2,3,4-тетрагидрохинолин |
439 |
| 212 |
 |
1-[[7-(3,4-Дихлорфенил)-4,7-дигидро-5-метилпиразол[1,5-а]-пиримидин-6-ил]карбонил]-декагидрохинолин |
445 |
| 213 |
 |
2-[[7-(3,4-Дихлорфенил)-4,7-дигидро-5-метилпиразол[1,5-а]пиримидин-6-ил]карбонил]-1,2,3,4-тетрагидроизохинолин |
439 |
| 214 |
 |
2-[[7-(3,4-Дихлорфенил)-4,7-дигидро-5-метилпиразол[1,5-а]пиримидин-6-ил]карбонил]-4-пропилпиперидин |
433 |
| 215 |
 |
2-[[7-(3,4-Дихлорфенил)-4,7-дигидро-5-метилпиразол[1,5-a]пиримидин-6-ил]карбонил]-4-(гидроксидифенилметил) пиперидин |
573 |
| 216 |
 |
7-(3,4-Дихлорфенил)-N-[(2-фторфенил)метил]-4,7-дигидро-5-метилпиразол[1,5-а]пиримидин-6-карбоксамид |
431 |
| 217 |
 |
2-[[7-(3,4-Дихлорфенил)-4,7-дигидро-5-метилпиразол[1,5-а]пиримидин-6-ил]карбонил]-2,3,4,9-тетрагидро-1Н-пиридо[3,4-b]индол |
478 |
| 218 |
 |
7-(3,4-Дихлорфенил)-4,7-дигидро-5-метил-N-[2-(фениламино)этил]пиразол[1,5-а]пиримидин-6-карбоксамид |
442 |
| 219 |
 |
Дихлорфенил)-4,7-дигидро-5-метилпиразол[1,5-а]пиримидин-6-ил]карбонил]-2-[(фениламино)метил]пирролидин |
482 |
| 220 |
 |
N-Циклогексил-7-(3,4-дихлорфенил)-4,7-дигидро-N,5-диметилпиразол[1,5-а]пиримидин-6-карбоксамид |
419 |
| 221 |
 |
3-[[7-(3,4-Дихлорфенил)-4,7-дигидро-5-метилпиразол[1,5-а]пиримидин-6-ил]карбонил]тиазол |
395 |
| 222 |
 |
1-[[7-(3,4-Дихлорфенил)-4,7-дигидро-5-метилпиразол[1,5-а]пиримидин-6-ил]карбонил]пирролидин |
377 |
| 223 |
 |
1-[[7-(3,4-Дихлорфенил)-4,7-дигидро-5-метилпиразол[1,5-а]пиримидин-6-ил]карбонил]-3,4-дигидро-1Н-индол |
425 |
| 224 |
 |
1-[[7-(3,4-Дихлорфенил)-4,7-дигидро-5-метилпиразол[1,5-а]пиримидин-6-ил]карбонил]азетидин |
363 |
| 225 |
 |
1-[[7-(3,4-Дихлорфенил)-4,7-дигидро-5-метилпиразол[1,5-а]пиримидин-6-ил]карбонил]гексагидро-1Н-азепин |
405 |
| 226 |
 |
1-[[7-(3,4-Дихлорфенил)-4,7-дигидро-5-метилпиразол[1,5-а]пиримидин-6-ил]карбонил]октагидроазоцин |
419 |
| 227 |
 |
1-[[7-(3,4-Дихлорфенил)-4,7-дигидро-5-метилпиразол [1,5-а]пиримидин-6-ил]карбонил]-1,2,3,6-тетрагидропиридин |
389 |
| 228 |
 |
7-(3,4-Дихлорфенил)-4,7-дигидро-N,5-диметил-N-[2-(2-пиридинил)этил]пиразол[1,5-а]пиримидин-6-карбоксамид |
442 |
| 229 |
 |
N-[[7-(3,4-Дихлорфенил)-4,7-дигидро-5-метилпиразол[1,5-а]пиримидин-6-ил]карбонил]-N-(фенилметил)глицин этиловый эфир |
499 |
| 230 |
 |
транс-7-(3,4-Дихлорфенил)-4,7-дигидро-5-метил-N-(2-фенилциклопропил)пиразол[1,5-а]пиримидин-6-карбоксиамид |
439 |
| 231 |
 |
1-[[7-(3,4-Дихлорфенил)-4,7-дигидро-5-метилпиразол[1,5-а]пиримидин-6-ил]карбонил]-2-метилпирролидин |
391 |
| 232 |
 |
N-[7-(3,4-Дихлорфенил)-4,7-дигидро-5-метилпиразол[1,5-а]пиримидин-6-ил]карбонил]-2-метилфазиридин |
363 |
| 233 |
 |
1-[[7-(3,4-Дихлорфенил)-4,7-дигидро-5-метилпиразол[1,5-а]пиримидин-6-ил]карбонил]-2-[[(2,6-диметилфенил)амино]метил]пирролидин |
510 |
| 234 |
 |
7-(3,4-Дихлорфенил)-N-этил-4,7-дигидро-5-метил-N-(4-пиридинилметил)пиразол[1,5-а]пиримидин-6-карбоксамид |
442 |
| 235 |
 |
7-(3,4-Дихлорфенил)-4,7-дигидро-N,5-диметил-N-[(1R)-1-фенилэтил]пиразол[1,5-а]пиримидин-6-карбоксамид |
441 |
| 236 |
 |
7-(3,4-Дихлорфенил)-4,7-дигидро-N,5-диметил-N-[(1S)-1-фенилэтил]пиразол[1,5-а]пиримидин-6-карбоксамид |
441 |
| 237 |
 |
6-[[7-(3,4-Дихлорфенил)-4,7-дигидро-5-метилпиразол[1,5-а]пиримидин-6-ил]карбонил]-1,3,3-триметил-6-азабицикло[3.2.1]октан |
459 |
| 238 |
 |
7-(3,4-Дихлорфенил)-N-(гексагидро-1Н-азепин-1-ил)-4,7-дигидро-5-метилпиразол[1,5-а]пиримидин-6-карбоксамид |
420 |
| 239 |
 |
7-(3,4-Дихлорфенил)-4,7-дигидро-5-метилпиразол[1,5-a]пиримидин-6-ил]карбонил]азиридин |
349 |
| 240 |
 |
7-(3,4-Дихлорфенил)-4,7-дигидро-5-метилпиразол[1,5-а]пиримидин-6-ил]карбонил]октагидро-1Н-азонин |
433 |
| 241 |
 |
(2R-транс)-1-[[7-(3,4-Дихлорфенил)-4,7-дигидро-5-метилпиразол[1,5-а]пиримидин-6-ил]карбонил]-2,5-бис(метоксиметил)пирролидин |
465 |
| 242 |
 |
(2S-транс)-1-[[7-(3,4-Дихлорфенил)-4,7-дигидро-5-метилпиразол[1,5-а]пиримидин-6-ил]карбонил]-2,5-бис(метоксиметил)пирролидин |
465 |
| 243 |
 |
N-[7-(3,4-Дихлорфенил)-4,7-дигидро-5-метилпиразол[1,5-а]пиримидин-6-ил]карбонил]-L-пролинамид |
420 |
| 244 |
 |
N-[7-(3,4-Дихлорфенил)-4,7-дигидро-5-метилпиразол[1,5-а]пиримидин-6-ил]карбонил]-D-пролинамид |
420 |
| 245 |
 |
N-[7-(3,4-Дихлорфенил)-4,7-дигидро-5-метилпиразол[1,5-а]пиримидин-6-ил]карбонил]-2,3-дигидро-2-метил-1Н-индол |
439 |
| 246 |
 |
1-[[7-(3,4-Дихлорфенил)-4,7-дигидро-5-метилпиразол[1,5-а]пиримидин-6-ил]карбонил]-2,3-дигидро-5-нитро-1H-индол |
470 |
| 247 |
 |
1-[[7-(3,4-Дихлорфенил)-4,7-дигидро-5-метилпиразол[1,5-а]пиримидин-6-ил]карбонил]-2,3-дигидро-6-нитро-1H-индол |
470 |
| 248 |
 |
4-[[7-(3,4-Дихлорфенил)-4,7-дигидро-5-метилпиразол[1,5-а]пиримидин-6-ил]карбонил]тиоморфолин |
409 |
| 249 |
 |
4-[[7-(3,4-Дихлорфенил)-4,7-дигидро-5-метилпиразол[1,5-а]пиримидин-6-ил]карбонил]-L-пролинметиловый эфир |
435 |
| 250 |
 |
4-[[7-(3,4-Дихлорфенил)-4,7-дигидро-5-метилпиразол[1,5-а]пиримидин-6-ил]карбонил]-2-(метоксиметил)пирролидин, энантиомер А |
421 |
| 251 |
 |
4-[[7-(3,4-Дихлорфенил)-4,7-дигидро-5-метилпиразол[1,5-а]пиримидин-6-ил]карбонил]-2-(метоксиметил)пирролидин, энантиомер В |
421 |
| 252 |
 |
4-[[7-(3,4-Дихлорфенил)-4,7-дигидро-5-метилпиразол[1,5-а]пиримидин-6-ил]карбонил]-L-пролин 1,1-диметилэтиловый эфир |
477 |
| 253 |
 |
4-[[7-(3,4-Дихлорфенил)-4,7-дигидро-5-метилпиразол[1,5-а]пиримидин-6-ил]карбонил]-N-(2-нафталенил)-L-пролинамид |
560 |
| 254 |
 |
1-[[7-(3,4-Дихлорфенил)-4,7-дигидро-5-метилпиразол[1,5-a]пиримидин-6-ил]карбонил]-1,2,3,4-тетрагидро-2-метилхинолин |
453 |
| 255 |
 |
1-[[7-(3,4-Дихлорфенил)-4,7-дигидро-5-метилпиразол[1,5-а]пиримидин-6-ил]карбонил]-6-фтор-1,2,3,4-тетрагидро-2-метилхинолин |
471 |
| 256 |
 |
1-[[7-(3,4-Дихлорфенил)-4,7-дигидро-5-метилпиразол[1,5-а]пиримидин-6-ил]карбонил]-L-пролин фенилметиловый эфир |
511 |
| 257 |
 |
1-[[7-(3,4-Дихлорфенил)-4,7-дигидро-5-метилпиразоло [1,5-а]пиримидин-6-ил]карбонил]-D-пролин фенилметиловый эфир |
511 |
| 258 |
 |
1-[[7-(3,4-Дихлорфенил)-4,7-дигидро-5-метилпиразол[1,5-а]пиримидин-6-ил]карбонил]-4-гидрокси-L-пролин фенилметиловый эфир |
527 |
| 259 |
 |
1-[[7-(3,4-Дихлорфенил)-4,7-дигидро-5-метилпиразол[1,5-а]пиримидин-6-ил]карбонил]-4-(4-фторфенил)-2-метилпиперазин |
500 |
| 260 |
 |
3-Хлор-N-циклогексил-7-(3,4-дихлорфенил)-4,7-дигидро-N,5-диметилпиразол[1,5-а]пиримидин-6-карбоксамид |
453 |
| 261 |
 |
4-[[3-Хлор-7-(3,4-дихлорфенил)-4,7-дигидро-5-метилпиразол[1,5-а]пиримидин-6-ил]карбонил]тиоморфолин |
443 |
| 262 |
 |
1-[[3-Хлор-7-(3,4-дихлорфенил)-4,7-дигидро-5-метилпиразол[1,5-а]пиримидин-6-ил]карбонил]-2,3-дигидро-1Н-индол |
459 |
| 263 |
 |
1-[[3-Хлор-7-(3,4-дихлорфенил)-4,7-дигидро-5-метилпиразол[1,5-а]пиримидин-6-ил]карбонил]гексагидро-1Н-азепин |
439 |
| 264 |
 |
1-[[3-Хлор-7-(3,4-дихлорфенил)-4,7-дигидро-5-метилпиразол[1,5-а]пиримидин-6-ил]карбонил]октагидроазоцин |
453 |
| 265 |
 |
1-[[3-Хлор-7-(3,4-дихлорфенил)-4,7-дигидро-5-метилпиразол[1,5-а]пиримидин-6-ил]карбонил]-1,2,3,6-тетрагидропиридин |
423 |
| 266 |
 |
3-Хлор-7-(3,4-дихлорфенил)-4,7-дигидро-N,5-диметил-N-[(1S)-1-фенилэтил]пиразол[1,5-а]пиримидин-6-карбоксамид |
475 |
| 267 |
 |
3-Хлор-7-(3,4-дихлорфенил)-4,7-дигидро-N,5-диметил-N-[(1R)-1-фенилэтил]пиразол[1,5-а]пиримидин-6-карбоксамид |
475 |
| 268 |
 |
1-[[7-(3,4-Дихлорфенил)-4,7-дигидро-5-метилпиразол[1,5-а]пиримидин-6-ил]карбонил]2-(метоксиметил)пиперидин |
435 |
| 269 |
 |
(3R)-1-[[7-(3,4-Дихлорфенил)-4,7-дигидро-5-метилпиразол[1,5-а]пиримидин-6-ил]карбонил]-3-пирролидиил]карбоновой кислоты 1,1-диметилэтиловый эфир |
492 |
| 270 |
 |
(3S)-1-[[7-(3,4-Дихлорфенил)-4,7-дигидро-5-метилпиразол[1,5-а]пиримидин-6-ил]карбонил]-3-пирролидинил]карбоновой кислоты 1,1 диметилэтиловый эфир |
492 |
| 271 |
 |
(3R)-1-[[7-(3,4-Дихлорфенил)-4,7-дигидро-5-метилпиразол[1,5-а]пиримидин-6-ил]карбонил]-3-(диметиламино)пирролидин |
420 |
| 272 |
 |
N-[1-[[7-(3,4-Дихлорфенил)-4,7-дигидро-5-метилпиразол[1,5-а]пиримидин-6-ил]карбонил]-3-пирролиднил]ацетамид |
434 |
| 273 |
 |
N-[1-[[7-(3,4-Дихлорфенил)-4,7-дигидро-5-метилпиразол[1,5-а]пиримидин-6-ил]карбонил]-3-пирролидинил]-N-метилацетамид |
448 |
| 274 |
 |
7-(3,4-Дихлорфенил)-4,7-дигидро-5-метил-N,N-дипентилпиразол[1,5-а]пиримидин-6-карбоксамид |
463 |
| 275 |
 |
7-(3,4-Дихлорфенил)-N,N-дигексил-4,7-дигидро-5-метилпиразол[1,5-а]пиримидин-6-карбоксамид |
491 |
| 276 |
 |
1-[[3-Хлор-7-(3,4-дихлорфенил)-4,7-дигидро-5-метилпиразол[1,5-а]пиримидин-6-ил]карбонил]пиперидин |
425 |
| 277 |
 |
3-Хлор-7-(3-хлорфенил)-N-циклогексил-4,7-дигидро-N,5-диметилпиразол[1,5-а]пиримидин-6-карбоксамид |
419 |
| 278 |
 |
(2S)-1-[[3-Хлор-7-(3,4-дихлорфенил)-4,7-дигидро-5-метилпиразол [1,5-а]пиримидин-6-ил]карбонил]-2-(метоксиметил)пирролидин |
455 |
| 279 |
 |
1-[[3-Хлор-7-(3,4-дихлорфенил)-4,7-дигидро-5-метилпиразол[1,5-а]пиримидин-6-ил]карбонил]декагидрохинолин |
479 |
| 280 |
 |
2-[[3-Хлор-7-(3,4-дихлорфенил)-4,7-дигидро-5-метилпиразол[1,5-а]пиримидин-6-ил]карбонил]-1,2,3,4-тетрагидроизохинолин |
473 |
| 281 |
 |
4-[[3-Хлор-7-(3-хлорфенил)-4,7-дигидро-5-метилпиразол[1,5-а]пиримидин-6-ил]карбонил]тиоморфолин |
409 |
| 282 |
 |
N-Циклогексил-7-(3,4-дихлорфенил)-4,7-дигидро-N,5-диметил-2-(трифторметил)пиразол[1,5-а]пиримидин-6-карбоксамид |
487 |
| 283 |
 |
7-(3,4-Дихлорфенил)-N,N-диэтил-4,7-дигидро-5-метилпиразол[1,5-а]пиримидин-6-карбоксамид |
379 |
| 284 |
 |
N,N-Дибутил-7-(3,4-дихлорфенил)-4,7-дигидро-5-метилпиразол[1,5-а]пиримидин-6-карбоксамид |
435 |
| 285 |
 |
7-(3,4-Дихлорфенил)-N,N-дигептил-4,7-дигидро-5-метилпиразол[1,5-а]пиримидин-6-карбоксамид |
519 |
| 286 |
 |
1-[[7-(3,4-(Дихлорфенил)-4,7-дигидро-5-метилпиразол[1,5-а]пиримидин-6-ил]карбонил]-азациклотридекан |
489 |
| 287 |
 |
9-[[7-(3,4-Дихлорфенил)-4,7-дигидро-5-метилпиразол[1,5-а]пиримидин-6-ил]карбонил]-додекагидро-1Н-флуорен |
485 |
| 288 |
 |
(2S)-1-[[7-(3,4-Дихлорфенил)-4,7-дигидро-5-метил-2-(трифторметил)пиразол-[1,5-а]пиримидин-6-ил]карбонил]-2-(метоксиметил)пирролидин |
489 |
| 289 |
 |
1-[[3-Хлор-7-(3-хлорфенил)-4,7-дигидро-5-метилпиразол[1,5-а]пиримидин-6-ил]карбонил]пиперидин |
391 |
| 290 |
 |
1-[[3-Хлор-7-(3-хлорфенил)-4,7-дигидро-5-метилпиразол[1,5-а]пиримидин-6-ил]карбонил]гексагидро-1Н-азепин |
405 |
| 291 |
 |
1-[[3-Хлор-7-(3-хлорфенил)-4,7-дигидро-5-метилпиразол[1,5-а]пиримидин-6-ил]карбонил]-октагидроазоцин |
419 |
| 292 |
 |
1-[[3-Хлор-7-(3-хлорфенил)-4,7-дигидро-5-метилпиразол[1,5-а]пиримидин-6-ил]карбонил]-1,2,3,6-тетрагидропиридин |
389 |
| 293 |
 |
3-Хлор-7-(3-хлорфенил)-4,7-дигидро-N,5-диметил-N-[(1S)-1-фенилэтил]пиразол[1,5-а]пиримидин-6-карбоксамид |
441 |
| 294 |
 |
(2S)-1-[[3-Хлор-7-(3-хлорфенил)-4,7-дигидро-5-метилпиразол[1,5-а]пиримидин-6-ил]карбонил]-2-(метоксиметил)пирролидин |
421 |
| 295 |
 |
1-[[3-Хлор-7-(3-хлорфенил)-4,7-дигидро-5 -метилпиразол[1,5-а]пиримидин-6-ил]карбонил]-декагидрохинолин |
445 |
| 296 |
 |
2-[[3-Хлор-7-(3-хлорфенил)-4,7-дигидро-5-метилпиразол[1,5-а]пиримидин-6-ил]карбонил]-1,2,3,4-тетрагидроизохинолин |
439 |
| 297 |
 |
1-[[3-Хлор-7-(2,3-дихлорфенил)-4,7-дигидро-5-метилпиразол[1,5-а]пиримидин-6-ил]карбонил]гексагидро-1Н-азепин |
439 |
| 298 |
 |
1-[[3-Хлор-7-(2,3-дихлорфенил)-4,7-дигидро-5-метилпиразол[1,5-а]пиримидин-6-ил]карбонил]-1,2,3,6-тетрагидропиридин |
423 |
| 299 |
 |
(2S)-1-[[3-Хлор-7-(2,3-дихлорфенил)-4,7-дигидро-5-метилпиразол[1,5-а]пиримидин -6-ил]карбонил]-2-(метоксиметил)пирролидин |
455 |
| 300 |
 |
1-[[7-(3,4-Дихлорфенил)-4,7-дигидро-5-метил-2-(трифторметил)пиразол[1,5-а]пиримидин-6-ил]карбонил]-2,3-дигидро-1Н-индол |
493 |
| 301 |
 |
1-[[7-(3,4-Дихлорфенил)-4,7-дигидро-5-метил-2-(трифторметил)пиразол[1,5-а]пиримидин-6-ил]карбонил]гексагидро-1Н-азепин |
473 |
| 302 |
 |
7-(3,4-Дихлорфенил)-4,7-дигидро-N,5-диметил-N-[(1S)-1-фенилэтил]-2-(трифтор-метил)пиразол[1,5-а]пиримидин-6-карбоксамид |
509 |
| 303 |
 |
7-(3,4-Дихлорфенил)-4,7-дигидро-N,5-диметил-N-[(1R)-1-фенилэтил]-2-(трифтор-метил)пиразол[1,5-а]пиримидин-6-карбоксамид |
509 |
| 304 |
 |
7-(3,4-Дихлорфенил)-4,7-дигидро-N,N-бис(2-метоксиэтил)-5-метилпиразол[1,5-а]пиримидин-6-карбоксамид |
439 |
| 305 |
 |
7-(3,4-Дихлорфенил)-N,N-бис(2-этоксиэтил)-4,7-дигидро-5-метилпиразол[1,5-а]пиримидин-6-карбоксамид |
467 |
| 306 |
 |
7-(3,4-Дихлорфенил)-4,7-дигидро-N-(2-метоксиэтил)-N,5-диметилпиразол[1,5-а}пиримидин-6-карбоксамид |
395 |
| 307 |
 |
7-(3,4-Дихлорфенил)-4,7-дигидро-N-(2-метоксиэтил)-5-метил-N-пропилпиразол[1,5-а]пиримидин-6-карбоксамид |
423 |
| 308 |
 |
1-[[3-Хлор-7-(2,3-дихлорфенил)-4,7-дигидро-5-метилпиразол[1,5-а]пиримидин-6-ил]карбонил]пиперидин |
425 |
| 309 |
 |
2-[[3-Хлор-7-(2,3-дихлорфенил)-4,7-дигидро-5-метилпиразол[1,5-а]пиримидин-6-ил]карбонил]-1,2,3,4-тетрагидроизохинолин |
473 |
| 310 |
 |
1-[[3-Хлор-7-(2,3-дихлорфенил)-4,7-дигидро-5-метилпиразол[1,5-а]пиримидин-6-ил]карбонил]октагидроазоцин |
453 |
| 311 |
 |
3-Хлор-7-(2,3-дихлорфенил)-4,7-дигидро-N,5 -диметил-N-[(1 S)-1 -фенилэтил]пиразол[1,5-а]пиримидин-6-карбоксамид |
475 |
| 312 |
 |
3-Хлор-N-циклогексил-7-(2,3-дихлорфенил)-4,7-дигидро-N,5-диметилпиразол[ 1,5-а] пиримидин-6-карбоксамид |
453 |
| 313 |
 |
3-Хлор-7-(2,3-дихлорфенил)-4,7-дигидро-5-метил-N-(фенилметил)пиразол[ 1,5-а]пиримидин-6-карбоксамид |
447 |
| 314 |
 |
7-(3,4-Дихлорфенил)-N-этил-4,7-дигидро-N-(2-метоксиэтил)-5-метилпиразол[1,5-а]пиримидин-6-карбоксамид |
409 |
| 315 |
 |
N-[[7-(3,4-Дихлорфенил)-4,7-дигидро-5-метилпиразол[1,5-а]пиримидин-6-ил]карбонил]-N-метилглицина этиловый эфир |
423 |
| 316 |
 |
N-[[7-(3,4-Дихлорфенил)-4,7-дигидро-5-метилпиразол[1,5-а]пиримидин-6-ил]карбонил]-N-метилглицина 1,1-диметилэтиловый эфир |
451 |
| 317 |
 |
N-[7-(3,4-Дихлорфенил)-4,7-дигидро-5-метилпиразол[1,5-а]пиримидин-6-ил]карбонил]-N-(2-этокси-2-оксоэтил)глицина этиловый эфир |
495 |
| 318 |
 |
1-[[7-(3,4-Дихлорфенил)-4,7-дигидро-5-метилпиразол[1,5-а]пиримидин-6-ил]карбонил]-2-(3-пиридинил)пиперидин |
468 |
| 319 |
 |
1-[[7-(3,4-Дихлорфенил)-4,7-дигидро-5-метилпиразол[1,5-а]пиримидин-6-ил]карбонил]-1,2,3,4-тетрагидро-6-метилхинолин |
453 |
| 320 |
 |
1-[[7-(3,4-Дихлорфенил)-4,7-,дигидро-5-метилпиразол[1,5-а]пиримидин-6-ил]карбонил]-2-пропилпиперидин |
433 |
| 321 |
 |
1-[[7-(3,4-Дихлорфенил)-4,7-дигидро-5-метилпиразол[1,5-а]пиримидин-6-ил]карбонил]-2-[(диэтиламино)метил]пиперидин |
476 |
| 322 |
 |
7-(3,4-Дихлорфенил)-4,7-дигидро-5-метил-N-(2-феноксиэтил)пиразол[1,5-а]пиримидин-6-карбоксамид |
443 |
| 323 |
 |
1-[(7-Циклопропил-4,7-дигидро-5-метилпиразол[1,5-а]пиримидин-6-ил)карбонил]-4-(4-фторфенил)пиперазин |
381 |
| 324 |
 |
1-[[4,7-Дигидро-5-метил-7-(1-метилэтил)пиразол[1,5-а]пиримидин-6-ил]карбонил]-4-(4-фторфенил)пиперазин |
383 |
| 325 |
 |
(2S)-1-[[4,7-Дигидро-5-метил-7-(1-метилэтил)пиразол[1,5-а]пиримидин-6-ил]карбонил]-2-(метоксиметил)пирролидин |
318 |
| 326 |
 |
1-[[4,7-Дигидро-5-метил-7-(1-метилэтил)пиразол[1,5-а]пиримидин-6-ил]карбонил]-2,3-дигидро-1Н-индол |
322 |
| 327 |
 |
1-[[4,7-Дигидро-5-метил-7-(1-метилэтил)пиразол[1,5-а]пиримидин-6-ил]карбонил]-1,2,3,6-тетрагидропиридин |
286 |
| 328 |
 |
3-[[7-(3,4-Дихлорфенил)-4,7-дигидро-5-метилпиразол[1,5-а]пиримидин-6-ил]карбонил]тиазолидин, энантиомер А |
395 |
| 329 |
 |
3-[[7-(3,4-Дихлорфенил)-4,7-дигидро-5-метилпиразол[1,5-а]пиримидин-6-ил]карбонил]тиазолидин, энантиомер В |
395 |
| 330 |
 |
7-(3,4-Дихлорфенил)-4,7-дигидро-N,5-диметил-N-(фенилметил)пиразол[1,5-а]пиримидин-6-карбоксамид |
427 |
| 331 |
 |
7-(3,4-Дихлорфенил)-4,7-дигидро-N,5-диметил-N-(2-фенилэтил)пиразол[1,5-а]пиримидин-6-карбоксамид |
441 |
| 332 |
 |
7-(3,4-Дихлорфенил)-4,7-дигидро-5-метил-N-(2-фенилэтил)-N-(фенилметил)пиразол[1,5-а]пиримидин-6-карбоксамид |
517 |
| 333 |
 |
(2S)-1-[[7-(3,4-Дихлорфенил)-4,7-дигидро-5-метилпиразол[1,5-а]пиримидин-6-ил]карбонил]-2-(феноксиметил)пирролидин |
483 |
| 334 |
 |
(2R)-1-[[7-(3,4-Дихлорфенил)-4,7-дигидро-5-метилпиразол[1,5-а]пиримидин-6-ил]карбонил]-2-(феноксиметил)пирролидин |
483 |
| 335 |
 |
(2S)-1-[[7-(3,4-Дихлорфенил)-4,7-дигидро-5-метилпиразол[1,5-а]пиримидин-6-ил]карбонил]-2-[(4-фторфенокси)метил]пирролидин |
501 |
| 336 |
 |
(2R)-1-[[7-(3,4-Дихлорфенил)-4,7-дигидро-5-метилпиразол[1,5-а]пиримидин-6-ил]карбонил]-2-[(4-фторфенокси)метил]пирролидин |
501 |
| 337 |
 |
7-(3,4-Дихлорфенил)-N-этил-4,7-дигидро-5-метилпиразол[1,5-а]пиримидин-6-карбоксамид |
351 |
| 338 |
 |
N-Бутил-7-(3,4-дихлорфенил)-4,7-дигидро-5-метилпиразол[1,5-а]пиримидин-6-карбоксамид |
379 |
| 339 |
 |
7-(3,4-Дихлорфенил)-4,7-дигидро-5-метил-N-пентилпиразол[1,5-а]пиримидин-6-карбоксамид |
393 |
| 340 |
 |
7-(3,4-Дихлорфенил)-4,7-дигидро-N-(2-метоксиэтил)-5-метилпиразол[1,5-а]пиримидин-6-карбоксамид |
381 |
| 341 |
 |
(2S)-1-[[7-(3,4-Дихлорфенил)-4,7-дигидро-5-метилпиразол [1,5-а]пиримидин-6-ил]карбонил]-2-(гидроксидифенилметил) пирролидин |
559 |
| 342 |
 |
(2R)-1-[[7-(3,4-Дихлорфенил)-4,7-дигидро-5-метилпиразол[1,5-а]пиримидин-6-ил]карбонил]-2-(гидроксидифенилметил)пирролидин |
559 |
| 343 |
 |
1-[[7-(3,4-Дихлорфенил)-4,7-дигидро-5-метилпиразол[1,5-а]пиримидин-6-ил]карбонил]-2-(3-пиридинил)пирролидин |
454 |
| 344 |
 |
(2S)-1-[[7-(2,3-Дихлорфенил)-4,7-дигидро-5-метилпиразол[1,5-а]пиримидин-6-ил]карбонил]-2-(метоксиметил)пирролидин |
421 |
| 345 |
 |
1-[[7-(3,4-Дихлорфенил)-4,7-дигидро-5-метилпиразол[1,5-а]пиримидин-6-ил]карбонил]-2-фенилпирролидин |
453 |
| 346 |
 |
3-[[7-(3,4-Дихлорфенил)-4,7-дигидро-5-метилпиразол[1,5-а]пиримидин-6-ил]карбонил]-2-фенилтиазолидин |
471 |
| 347 |
 |
3-[[7-(3,4-Дихлорфенил)-4,7-дигидро-5-метилпиразол[1,5-а]пиримидин-6-ил]карбонил]-2-тиазолидинкарбоновой кислоты метиловый эфир |
453 |
| 348 |
 |
7-(3,4-Дихлорфенил)-4,7-дигидро-N,5-диметил-N-(3 -фенилпропил)пиразол[1,5-а]пиримидин-6-карбоксамид |
455 |
| 349 |
 |
7-(3,4-Дихлорфенид)-N-этил-4,7-дигидро-5-метил-N-(3-фенилпропил)пиразол[1,5-а]пиримидин-6-карбоксамид |
469 |
| 350 |
 |
7-(3,4-Дихлорфенил)-4,7-дигидро-5-метил-N-(3-фенилпропил)-N-пропилпиразол[1,5-а]пиримидин-6-карбоксамид |
483 |
| 351 |
 |
N-Бутил-7-(3,4-дихлорфенил)-4,7-дигидро-5-метил-N-(3-фенилпропил)пиразол[1,5-а]пиримидин-6-карбоксамид |
497 |
| 352 |
 |
2-(4-Хлорфенил)-3-[[7-(3,4-дихлорфенил)-4,7-дигидро-5-метилпиразол[1,5-а]пиримидин-6-ил]карбонил]тиазолидин |
505 |
| 353 |
 |
N(Циклопропилметил)-7-(3,4-дихлорфенил)-4,7-дигидро-5-метил-N-пропилпиразол[1,5-а]пиримидин-6-карбоксамид |
419 |
| 354 |
 |
1-[[7-(3,4-Дихлорфенил)-4,7-дигидро-5-метилпиразол[1,5-а]пиримидин-6-ил]карбонил]-4-(2,3-дигидро-2-оксо-1Н-бензимидазол-1-ил)пиперидин |
523 |
| 355 |
 |
8-[[7-(2,3-Дихлорфенил)-4,7-дигидро-5-метилпиразол[1,5-а]пиримидин-6-ил]карбонил]-1-фенил-1,3,8-триазаспиро[4.5]декан-4-он |
537 |
| 356 |
 |
4-(4-Хлорфенил)-1-[[7-(3,4-дихлорфенил)-4,7-дигидро-5-метилпиразол[1,5-а]пиримидин-6-ил]карбонил]-1,2,3,6-тетрагидропиридин |
499 |
| 357 |
 |
1-[[7-(3,4-Дихлорфенил)-4,7-дигидро-5-метилпиразол[1,5-а]пиримидин-6-ил]карбонил]-2-(2-фенилэтил)пирролидин |
481 |
| 358 |
 |
1-[[7-(3,4-Дихлорфенил)-4,7-дигидро-5-метилпиразол[1,5-а]пиримидин-6-ил]карбонил]-2-(4-метоксифенил)пирролидин |
483 |
| 359 |
 |
1-[[7-(3,4-Дихлорфенил)-4,7-дигидро-5-метилпиразол[1,5-а]пиримидин-6-ил]карбонил]-2-(2-метоксифенил)пирролидин |
483 |
| 360 |
 |
1-[[7-(3,4-Дихлорфенил)-4,7-дигидро-5-метилпиразол[1,5-а]пиримидин-6-ил]карбонил]-2-(4-фторфенил)пирролидин |
471 |
| 361 |
 |
(3R)-1-[[7-(3,4-Дихлорфенил)-4,7-дигидро- 5-метилпиразол[1,5-а]пиримидин-6-ил]карбонил]-3-феноксипирролидин |
469 |
| 362 |
 |
(2S)-2-[(Циклогексилокси)метил]-1-[[7-(3,4-дихлорфенил)-4,7-дигидро-5-метилпиразол[1,5-а]пиримидин-6-ил]карбонил]пирролидин |
489 |
| 363 |
 |
1-[[7-(3,4-Дихлорфенил)-4,7-дигидро-5-метилпиразол[1,5-а]пиримидин-6-ил]карбонил]-2-(фенилметил)пирролидин |
467 |
| 364 |
 |
(2S)-1-[[7-(3,4-(Дихлорфенил)-4,7-дигидро-5-метилпиразол[1,5-а]пиримидин-6-ил]карбонил]-2-(феноксиметил)пирролидин, диастереомер А |
483 |
| 365 |
 |
(2S)-1-[[7-(3,4-Дихлорфенил)-4,7-дигидро-5-метилпиразол[1,5-а]пиримидин-6-ил]карбонил]-2-феноксиметил)пирролидин, диастереомер В |
483 |
| 366 |
 |
1-[[7-(3,4-Дихлорфенил)-4,7-дигидро-5-метилпиразол[1,5-а]пиримидин-6-ил]карбонил]-2-(3-метоксифенил)пирролидин |
483 |
| 367 |
 |
(2S)-2-(Бутоксиметил)-1-[[7-(3,4-дихлорфенил)-4,7-дигидро-5-метилпиразол[1,5-а]пиримидин-6-ил]карбонил]пирролидин |
463 |
| 368 |
 |
1-[[7-(3,4-Дихлорфенил)-4,7-дигидро-5-метилпиразол[1,5-а]пиримидин-6-ил]карбонил]-2-(2-тиенил)пирролидин |
459 |
| 369 |
 |
1-[[7-(3,4-Дихлорфенил)-4,7-дигидро-5-метилпиразол[1,5-а]пиримидин-6-ил]карбонил]-2-(4-пиридинил)пирролидин |
454 |
| 370 |
 |
(2S)-1-[[7-(3,4-Дихлорфенил)-4,7-дигидро-5-метилпиразол[1,5-а]пиримидин-6-ил]карбонил]-2-[(метоксиметокси)метил]пирролидин |
451 |
| 371 |
 |
(2S)-2-(1Н-Бензимидазол-1-ил)метил)-1-[[7-(3,4-дихлорфенил)-4,7-дигидро-5-метилпиразол[1,5-а]пиримидин-6-ил]карбонил]пирролидин |
507Г |
| 372 |
 |
1-[[7-(3,4-Дихлорфенил)-4,7-дигидро-5-метилпиразол[1,5-а]пиримидин-6-ил]карбонил]-2-(3-фуранил)пирролидин |
443 |
| 373 |
 |
1-[[7-(3,4-Дихлорфенил)-4,7-дигидро-5-метилпиразол[1,5-а]пиримидин-6-ил]карбонил]-2-(2-пиридинил)пирролидин |
454 |
| 374 |
 |
(3S)-1-[[7-(3,4-Дихлорфенил)-4,7-дигидро-5-метилпиразол[1,5-а]пиримидин-6-ил]карбонил]-3-феноксипирролидин |
469 |
| 375 |
 |
(2S)-1-[[7-(3,4-Дихлорфенил)-4,7-дигидро-5-метилпиразол[1,5-а]пиримидин-6-ил]карбонил]-3-феноксипирролидин |
488 |
| 376 |
 |
(2S)-1-[[7-(3,4-Дихлорфенил)-4,7-дигидро-5-метил-2-(трифторметил)пиразол[1,5-а]пиримидин-6-ил]карбонил]-2-(метоксиметил)пирролидин, энантиомер А |
489 |
| 377 |
 |
(2S)-1-[[7-(3,4-Дихлорфенил)-4,7-дигидро-5-метил-2-(трифторметил)пиразол[1,5-а]-пиримидин-6-ил]карбонил]-2-(метоксиметил)пирродидин, энантиомер В |
489 |
Пример 378
1-[[7-(3,4-Дихлорфенил)-4,7-дигидро-5-метилпиразол[1,5-а]пиримидин-6-ил] карбонил]-L-пролин

Способ:

Соединение 1. Соединение 1 (соединение по примеру 252) получают по методике, описанной в примере 170.
Названное соединение. Соляную кислоту (5 мл, 4М в диоксане) добавляют к соединению 1 (0,05 г, 0,1 ммоль). Полученную смесь перемешивают при комнатной температуре. Через 3 часа смесь концентрируют в вакууме. LC/MS анализ остатка показывает, что исходный продукт остался. Дополнительно добавляют соляную кислоту (5 мл, 4М в диоксане). Полученную смесь перемешивают при комнатной температуре в течение 7 часов. TLC анализ показывает, что соединение 1 полностью вступило в реакцию. Смесь концентрируют в вакууме. Остаток очищают с помощью препаративной HPLC с обращенной фазой, что дает названное соединение в виде смеси диастареоизомеров. LC/MS показывает, что соединение остается загрязненным (50% чистота). LS/MS с обращенной фазой: YMC S5 CDS 4,6×50 мм Ballistic, УФ определение при 220 4-минутный градиент, 0-100% растворитель В/А (растворитель А:10% МеОН/Н2О с 0,1% TFA, растворитель В: 90% МеОН/Н2O с 0,1% TFA), 4 мл/мин. Диастареоизомер A Rt=3,34, диастареоизомер В Rt=3,49 мин. MS (M+H: 421). Продукт растирают в порошок с дихлорметаном, что дает 0,014 г (32% выход) названного соединения (85% чистота HPLC). LS/MS с обращенной фазой: YMC S5 4,6×50 мм комбифильтр, УФ определение при 220 , 4-минутный градиент, 0-100% растворитель В/А (растворитель А:10% MeOH/H2O с 0,2% Н3PO4, растворитель В: 90% MeOH/H2O с 0,2% Н3PO4), 4 мл/мин. Диастареоизомер A Rt=2,82, диастареоизомер В Rt=2,97 мин.
Пример 379
7-(3,4-Дихлорфенил)-4,7-дигидро-N-[(1R)-2,3-дигидро-1Н-инден-1-ил]-5-метил-2 (трифторметил)пиразол[1,5-а]пиримидин-6-карбоксамид

Способ:

Соединение 1. Соединение 1 получают, как описано в примере 17.
Получение названного соединения. К суспензии НОВТ, нанесенного на полистирольную смолу (NovaBiochem, >1,2 ммоль/г, 50 мг, 1,0 эквивалент) в безводном СН2Cl2 (1,0 мл) добавляют соединение 1 (47 мг, 2,0 эквивалента), EDCI (23 мг, 2,0 эквивалента) и DMAP (0,7 мг, 0,1 эквивалента). Суспензию энергично встряхивают, используя VORTEX-GENIE2 в течение 1 часа. Растворитель затем удаляют и полимер промывают последовательно с ДМФА (3×2 мл), ТГФ (3×2 мл) и СН2Cl2 (3×2 мл), энергично встряхивая. Полимер вновь суспендируют в CH2Cl2 (1 мл), а затем к нему добавляют (R)-(-)аминоиндан 2 (0,006 мл, 0,8 эквивалента). Смесь встряхивают в течение 2 часов. Растворитель удаляют и полимер промывают СН2Cl2 (3×1 мл), энергично встряхивая. Все промывки объединяют и растворитель удаляют при пониженном давлении. Остаток очищают через силикагельный картридж, элюируя 100% EtOAc, что дает полученное соединение в виде белого твердого вещества. LS/MS с обращенной фазой: YMC S5 ODS 4.6×50 мм на Ballistic колонке, УФ определение при 220 , 4-минутный градиент 0-100% растворитель В/А (растворитель А: 10% МеОН/H2О с 0,2% Н3PO4, растворитель В: 90% МеОН/H2О с 0,2% Н3PO4), 4 мл/мин. Rt=2,96 мин. (диастереоизомеры, 96% чистота). MS (M+H): 507.
Примеры 380-391
Соединения по примерам 380-391, приведенные в таблице ниже, получают по методике, описанной в примере 379.
| Пример |
Структура |
Название |
(M+H) |
| 380 |
 |
7-(3,4-Дихлорфенил)-N-(2,3-дигидро-1Н-инден-2-ил)-4,7-дигидро-5-метил-2-(трифторметил)пиразол[1,5-а]пиримидин-6-карбоксамид |
507 |
| 381 |
 |
N-[[7-(3,4-Дихлорфенил)-4,7-дигидро-5-метил-2-(трифторметил)пиразол[1,5-а]пиримидин-6-ил]карбонил]-D-фенилаланина метиловый эфир |
553 |
| 382 |
 |
7-(3,4-Дихлорфенил)-4,7-дигидро-5-метил-N-(1,2,3,4-тетрагидро-1-нафталенил)-2-(трифторметил)пиразол[1,5-а]пиримидин-6-карбоксамид |
521 |
| 383 |
 |
7-(3,4-Дихлорфенил)-4,7-дигидро-5-метил-N-[3-(2-оксо-1-пирролидинил)пропил]-2-(трифторметил)пиразол[1,5-а]пиримидин-6-карбоксамид |
516 |
| 384 |
 |
7-(3,4-Дихлорфенил)-N-(2-фуранилметил)-4,7-дигидро- 5-метил-2-(трифторметил)пиразол[1,5-а]пиримидин-6-карбоксамид |
471 |
| 385 |
 |
7-(3,4-Дихлорфенил)-N-[(3,4-дихлорфенил)метил]-4,7-дигидро-5-метил-2-(трифторметил)пиразол[1,5-а]пиримидин-6-карбоксамид |
550 |
| 386 |
 |
7-(3,4-Дихлорфенил)-4,7-дигидро-N-[(2R)-2-(метоксиметил)-1-пирролидинил]-5-метил-2-(трифторметил)пиразол[1,5-а]пиримидин-6-карбоксамид |
504 |
| 387 |
 |
7-(3,4-Дихлорфенил)-4,7-дигидро-5-метил-N-[(тетрагидро-2-фуранил)метил]-2-(трифторметил)пиразол[1,5-а]пиримидин-6-карбоксамид |
475 |
| 388 |
 |
7-(3,4-Дихлорфенил)-4,7-дигидро-N-[(1S)-2,3-дигидро-1Н-инден-1-ил]-5-метил-2-(трифторметил)пиразол[1,5-а]пиримидин-6-карбоксамид |
507 |
| 389 |
 |
7-(3,4-Дихлорфенил)-N-[2-(3,4-дихлорфенил)этил]-4,7-дигидро-5-метил-2-(трифторметил)пиразол[1,5-а]пиримидин-6-карбоксамид |
564 |
| 390 |
 |
7-(3,4-Дихлорфенил)-4,7-дигидро-5-метил-2-(трифторметил)-N-[[4-[(трифторметил)тио]-фенил]метил]пиразол-[1,5-а]пиримидин-6-карбоксамид |
581 |
| 391 |
 |
2(S)-1-[[7-(3,4-Дихлорфенил)-4,7-дигидро-5-метил-2-(трифторметил)пиразол[1,5-а]пиримидин-6-ил]карбонил]-2-(1-пирролидинилметил)пирролидин |
666 |
Пример 392
1-[[7-(3,4-Дихлорфенил)-4,7-дигидро-5-метилпиразол[1,5-а]пиримидин-6-ил]карбонил]-4-(1-нафталенилсульфонил)пиперазин

Способ:

Соединение 1. Соединение 1 (соединение по примеру 60) получают по методике, аналогичной методике примера 18, способ 2.
Стадия А. Соляную кислоту (4М в диоксане) добавляют к твердому соединению 1 (0,53 г, 1,1 ммоль). Немедленно образуется смолистый осадок. Добавляют дихлорметан, смолистый осадок остается. Растворитель декантируют и остаток растирают в порошок с этилацетатом (3х), концентрируют, что дает 0,63 г (130%, содержит остаточный диоксан) гидрохлорида соединения 2 в виде слегка желтого порошка. LS/MS с обращенной фазой: YMC S5 ODS 4,6×50 мм на Ballistic колонке, УФ определение при 220 , 4-минутный градиент 40-100% растворитель В/А (растворитель А: 10% МеОН/Н2O с 0,1% TFA, растворитель В: 90% MeOH/H2O с 0,1% TFA), 4 мл/мин. Rt=0,57 мин. (92% чистота). MS (M+H): 392. Соединение 2 используют без дальнейшей очистки.
Стадия В. Соединение 2 (0,077 г, 0,18 ммоль) и соединение 3 (0,049 г, 0,22 ммоль) суспендируют в дихлорметане (1 мл). Затем добавляют триэтиламин (0,05 мл, 0,36 ммоль). В результате образуется прозрачный раствор. TLC после 30 мин. показывает, что весь исходный продукт израсходовался. Смесь загружают непосредственно на Worldwide Monitoring ОЧИЩАЮЩИЙ.
КАРТРИДЖ (диоксид кремния, CUSIL12M6), который заряжают 100% гексаном. Элюирование проводят 100% гексанами (40 мл), а затем 50% этилацетатом/гексаном (40 мл) и 100% этилацетатом (40 мл). Очищенные фракции (TLC анализ) объединяют, что дает 0,068 г (65% выход) полученного соединения в виде белого твердого вещества. LS/MS с обращенной фазой: YMC S5 ODS 4,6×50 мм на Ballistic колонке, УФ определение при 220 , 4-минутный градиент 40-100% растворитель В/А (растворитель А: 10% МеОН/Н2О с 0,1% TFA, растворитель В: 90% МеОН/H2О с 0,1% TFA), 4 мл/мин. Rt=3,46 мин. (90% чистота). MS (M+H: 582). ЯМР (CDCl3, 400 Мгц): 8.60 (1Н, д, J=8), 8.05 (2Н, м), 7.95 (1Н, м), 7.62 (4Н, м), 7.35 (1Н, д, J=2 Гц), 7.17 (1Н, д, J=8 Гц), 7.06 (1Н, д, J=2 Гц), 6.81 (1Н, д, J=6 Гц), 6.17 (1Н, м), 5.54 (1Н, д, J=2 Гц), 3.23 (8Н, м), 1.86 (3Н, с).
Примеры 393-396
Соединения по примерам 393-396, приведенные в таблице ниже, получают по методике, описанной в примере 392.
| Пример |
Структура |
Название |
(M+H) |
| 393 |
 |
1-[[7-(3,4-Дихлорфенил)-4,7-дигидро-5-метилпиразол [1,5-а]пиримидин-6-ил]карбонил]-4-[(4-этилфенил)сульфонил]пиперазин |
560 |
| 394 |
 |
1-[(4-Бром-5-хлор-2-тиенил)сульфонил]-4-[[7-(3,4-дихлорфенил)-4,7-дигидро-5-метилпиразол[1,5-а]пиримидин-6-ил]карбонил]пиперазин |
651 |
| 395 |
 |
1-[[7-(3,4-Дихлорфенил)-4,7-дигидро-5-метилпиразол[1,5-а]пиримидин-6-ил]карбонил]-4-[[2-(трифторметокси)фенил]сульфонил]пиперазин |
616 |
| 396 |
 |
1-[(5-Хлор-3-метилбензо[b]тиофен-2-ил)сульфонил]-4-[[7-(3,4-дихлорфенил)-4,7-дигидро-5-метилпиразол[1,5-а]пиримидин-6-ил]карбонил]пиперазин |
637 |
Пример 397
1-[[7-(3,4-Дихлорфенил)-4,7-дигидро-5-метилпиразол[1,5-а]пиримидин-6-ил]карбонил]-4-[(3-метоксифенил)карбонил]пиперазин

Способ:

Соединение 1. Соединение 1 получают, как описано на стадии А примера 392. Получение названного соединения. Соединение 1 (0,062 г, 0,15 ммоль) и соединение 2 (0,025 мл, 0,17 ммоль) суспендируют в дихлорметане (1 мл). Затем добавляют триэтиламин (0,040,0,29 ммоль). В результате образуется прозрачный раствор. TLC после 30 мин. показывает, что исходный продукт полностью вступил в реакцию. Смесь загружают непосредственно на Worldwide Monitoring ОЧИЩАЮЩИЙ КАРТРИДЖ (CUSIL12M6), который заряжают 100% гексаном. Элюирование проводят 100% гексанами (40 мл), а затем 50% этилацетатом/гексанами (100 мл) и 100% этилацетатом (100 мл). Очищенные фракции (TLC анализ) объединяют, что дает 0,022 г (29% выход) полученного соединения в виде белого твердого вещества. LS/MS с обращенной фазой: YMC S5 ODS 4.6×50 мм на Ballistic колонке, УФ определение при 220 , 4-минутный градиент 40-100% растворитель В/А (растворитель А: 10% MeOH/H2O с 0,1% TFA, растворитель В: 90% МеОН/Н2О с 0,1% TFA), 4 мл/мин. Rt=2,69 мин. (90% чистота). MS (M+H: 526).
Примеры 398 и 399
Соединения по примерам 398 и 399, приведенные в таблице ниже, получают по методике, описанной в примере 397.
| Пример |
Структура |
Название |
(M+H) |
| 398 |
 |
1-[[7-(3,4-Дихлорфенил)-4,7-дигидро-5-метилпиразол[1,5-а]пиримидин-6-ил]карбонил]-4-(1-оксо-3-фенил-2-пропенил)пиперазин |
522 |
| 399 |
 |
1-[[7-(3,4-Дихлорфенил)-4,7-дигидро-5-метилпиразол[1,5-а]пиримидин-6-ил]карбонил]-4-(4-пиридинилкарбонил)пиперазин |
497 |
Пример 400
1-[[7-(2,3-Дихлорфенил)-4,7-дигидро-4,5-диметилпиразол[1,5-а]пиримидин-6-ил] карбонил] -4-фенилпиперазин

Способ:

Соединение 1. Соединение 1 получают, как описано в примере 18.
Получение названного соединения. Соединение 1 (0,08 г, 0,17 ммоль) растворяют в диметилформамиде (1,0 мл). Добавляют NaH ( 0,005 г, 0,22 ммоль, 60% масло) и смесь перемешивают в течение 5 мин. Затем добавляют йодметан (0,012 мл, 0,18 ммоль). Когда TLC (5% метанол/дихлорметан) анализ показывает, что весь исходный продукт вступил в реакцию, ее захолаживают водой, разбавляют этилацетатом, переносят в делительную воронку, промывают водой и насыщенным раствором рассола, сушат над безводным сульфатом натрия, а затем концентрируют. Остаток очищают с помощью хроматографии на силикагеле, элюируя 100% дихлорметаном, а затем 3% метанолом/дихлорметаном с получением 0,06 г (75%) полученного соединения в виде янтарного масла. LS/MS с обращенной фазой: YMC S5 ODS 4,6×50 мм на Ballistic колонке, УФ определение при 220 , 4-минутный градиент 40-100% растворитель В/А (растворитель А: 10% MeOH/H2O с 0,1% TFA, растворитель В: 90% MeOH/H2O с 0,1% TFA), 4 мл/мин. Rt=2,99 мин. (96% чистота). MS (M+H: 482).
Примеры 401-406
Соединения по примерам 401-406, приведенные в таблице ниже, получают по методике, описанной в примере 400. HPLC разделение по примеру 403, Chiralpak AD колонка (50 × 500 мм), элюирование 35% изопропанолом/гексанами, содержащими 0,1% триэтиламин при 50 мл/мин.). УФ определение при 254 показывает энантиомеры А (пример 405) и В (пример 404). Chiralpak AD колонка (4,6 × 250 мм) элюирование 30% изопропанолом/гексанами, содержащими 0,1% триэтиламин при 1 мл/мин.). УФ определение при 254 показывает энантиомер A Rt=14,4 мин., >99% ее. Энантиомер В Rt=28,7 мин., >99% ее.
| Пример |
Структура |
Название |
(М+Н) |
| 401 |
 |
1-[[7-(3,4-Дихлорфенил)-4,7-дигидро-4,5-диметилпиразол[1,5-а]пиримидин-6-ил]карбонил]пиперидин |
405 |
| 402 |
 |
1-[[7-(3,4-Дихлорфенил)-4,7-дигидро-4,5-диметилпиразол[1,5-а]пиримидин-6-ил]карбонил]-4-(4-фторфенил)пиперазин |
500 |
| 403 |
 |
1-[[7-(2,3-Дихлорфенил)-4,7-дигидро-4,5-диметилпиразол[1,5-а]пиримидин-6-ил]карбонил]-4-(4-фторфенил)пиперазин |
500 |
| 404 |
 |
1-[[7-(2,3-Дихлорфенил)-4,7-дигидро-4,5-диметилпиразол[1,5-а]пиримидин-6-ил]карбонил]-4-(4-фторфенил)пиперазин, энантиомер В |
500 |
| 405 |
 |
1-[[7-(2,3-Дихлорфенил)-4,7-дигидро-4,5-диметилпиразол[1,5-а]пиримидин-6-ил]карбонил]-4-(4-фторфенил)пиперазин, энантиомер А |
500 |
| 406 |
 |
1-[[7-(2,3-Дихлорфенил)-4,7-дигидро-2,4,5-триметилпиразол[1,5-а]пиримидин-6-ил]карбонил]-4-(4-фторфенил)пиперазин |
514 |
Пример 407
1-[[7-(2,3-Дихлорфенил)-4-[(4-фторфенил)метил]-4,7дигидро-2,5-диметилпиразол[1,5-а]пиримидин-6-ил]карбонил]-4-(4-фторфенил)пиперазин

Способ:

Соединение 1. Соединение 1 получают по методике, аналогичной методике примера 18, способ 2.
Получение названного соединения. Соединение 1 (0,10 г, 0,21 ммоль) растворяют в диметилформамиде (1,0 мл). Добавляют NaH (0,007 г, 0,27 ммоль, 60% масло) и смесь перемешивают 5 мин. Затем добавляют 4-фторбензилхлорид (0,028 мл, 0,23 ммоль). Когда TLC (5% метанол/дихлорметан) анализ показывает полное вступление в реакцию исходного продукта, реакцию захолаживают водой, разбавляют этилацетатом, переносят в делительную воронку, промывают водой и насыщенным раствором рассола, сушат над безводным сульфатом натрия, а затем концентрируют. Остаток очищают с помощью хроматографии на силикагеле, элюируя 100% дихлорметаном, а затем 3% метанолом/дихлорметаном с получением 0,09 г (69%) названного соединения в виде янтарного масла. LS/MS с обращенной фазой: YMC S5 ODS 4,6×50 мм на Ballistic колонке, УФ определение при 220 , 4-минутный градиент 40-100% растворитель В/А (растворитель А: 10% МеОН/Н2О с 0,1% TFA, растворитель В: 90% МеОН/Н2O с 0,1% TFA), 4 мл/мин. Rt=3,20 мин. (93% чистота). MS (M+H: 608).
Пример 408
7-(2,3-Дихлорфенил)-6-[[4-(4-фторфенил)-1-пиперазинил]карбонил]-2,5-диметилпиразол[1,5-а]пиримидин-4(7Н)-уксусная кислота этиловый эфир

Способ:

DMF=ДМФА
Соединение 1. Соединение 1 получают по методике, аналогичной методике примера 18, способ 2.
Получение названного соединения. Соединение 1 (0,10 г, 0,21 ммоль) растворяют в диметилформамиде (1,0 мл). Добавляют NaH (0,006 г, 0,24 ммоль, 60% масло) и смесь перемешивают в течение 5 мин. Добавляют этилбромацетат (0,029 мл, 0,26 ммоль). Когда TLC (5% метанол/дихлорметан) анализ показывает полное вступление в реакцию исходного продукта, ее захолаживают водой, разбавляют этилацетатом, переносят в делительную воронку, промывают водой и насыщенным раствором рассола, сушат над безводным сульфатом натрия, а затем концентрируют. Остаток очищают с помощью хроматографии на силикагеле, элюируя 100% дихлорметаном, а затем 3% метанолом/дихлорметаном с получением 0,086 г (74%) названного соединения в виде желтого стекловидного вещества. LS/MS с обращенной фазой: YMC S5 ODS 4,6×50 мм на Ballistic колонке, УФ определение при 220 , 4-минутный градиент 40-100% растворитель В/А (растворитель А: 10% МеОН/Н2O с 0,1% TFA, растворитель В: 90% МеОН/Н2О с 0,1% TFA), 4 мл/мин. Rt=3,22 мин. (97% чистота). MS (M+H: 586).
Пример 409
7-(2,3-Дихлорфенил)-6-[[4-(4-фторфенил)-1-пиперазинил]карбонил]-N,N,2,5-тетраметилпиразол [1,5-а]пиримидин-4(7Н)-ацетамид

Способ:

DMF=ДМФА
Соединение 1. Соединение получают по методике, аналогичной методике примера 18, способ 2.
Получение названного соединения. Соединение 1 (0,05 г, 0,16 ммоль) растворяют в диметилформамиде (0,8 мл). Добавляют NaH (0,005 г, 0,19 ммоль, 60% масло) и смесь перемешивают в течение 5 мин. Добавляют 2-хлор-N,N-диметилацетамид (0,021 мл, 0,21 ммоль). Когда TLC (5% метанол/дихлорметан) анализ показывает полное вступление в реакцию исходного продукта, ее захолаживают водой, разбавляют этилацетатом, переносят в делительную воронку, промывают водой и насыщенным раствором рассола, сушат над безводным сульфатом натрия, а затем концентрируют. Остаток очищают с помощью хроматографии на силикагеле, элюируя 100% дихлорметаном, а затем 3% метанолом/дихлорметаном с получением 0,058 г (62%) названного соединения в виде желтого масла. LS/MS с обращенной фазой: YMC S5 ODS 4,6×50 мм на Ballistic колонке. УФ определение при 220 , 4-минутный градиент 40-100% растворитель В/А (растворитель А: 10% MeOH/H2O с 0,1% TFA, растворитель В: 90% МеОН/Н2O с 0,1% TFA), 4 мл/мин. Rt=2,63 мин. (93% чистота). MS (M+H: 585).
Пример 410
1-[[7-(2,3 -Дихлорфенил)-4-[2-(диметиламино)этил]-4,7-дигидро-2,5-диметилпиразол[1,5-а]пиримидин-6-ил]карбонил]-4-(4-фторфенил)пиперазин

Способ:

DMF=ДМФА
Соединение 1. Соединение 1 получают по методике, аналогичной методике примера 18, способ 2.
Получение названного соединения. Соединение 1 (0,11 г, 0,21 ммоль) растворяют в диметилформамиде (1,0 мл). Добавляют гидрид натрия (0,054 г, 0,47 ммоль, 60% масло) и смесь перемешивают в течение 5 мин. Добавляют гидрохлорид 1-хлор-2-диметиламиноэтана (0,040 г, 0,27 ммоль). Через 25 мин. реакцию захолаживают водой, разбавляют этилацетатом, переносят в делительную воронку, промывают водой и насыщенным раствором рассола, сушат над безводным сульфатом натрия, а затем концентрируют. LC/MS анализ остатка показывает, что он содержит в основном непрореагированнший исходный продукт. Остаток вновь охлаждают в диметилформамиде (1,0 мл). Добавляют гидрид натрия (0,10 г, 4,2 ммоль) и смесь перемешивают в течение 5 мин. Добавляют гидрохлорид 1-хлор-2-диметиламиноэтана (0,15 г, 1,05 ммоль). Когда TLC (5% метанол/дихлорметан) анализ показывает полное вступление в реакцию исходного продукта, ее захолаживают водой, разбавляют этилацетатом, переносят в делительную воронку, промывают водой и насыщенным раствором рассола, сушат над безводным сульфатом натрия, а затем концентрируют. Остаток очищают с помощью хроматографии на силикагеле, элюируя 100% дихлорметаном, а затем 3% метанолом/дихлорметаном с получением 0,030 г (25%) названного соединения в виде стекловидного вещества. LS/MS с обращенной фазой: YMC S5 ODS 4,6×50 мм на Ballistic колонке, УФ определение при 220 , 4-минутный градиент 40-100% растворитель В/А (растворитель А: 10% MeOH/H2O с 0,1% TFA, растворитель В: 90% МеОН/Н2O с 0,1% TFA), 4 мл/мин. Rt=1,72 мин. (92% чистота). MS (M+H: 571).
Пример 411
1-[[4-(Циклопропилметил)-7-(2,3-дихлорфенил)-4,7-дигидро-2,5-диметилпиразол[1,5-а]пиримидин-6-ил]карбонил]-4-(4-фторфенил)пиперазин

Способ:

DMF=ДМФА
Соединение 1. Соединение 1 получают по методике, аналогичной методике примера 18, способ 2.
Получение названного соединения. Соединение 1 (0,11 г, 0,21 ммоль) растворяют в диметилформамиде (1,0 мл). Добавляют гидрид натрия (0,006 г, 0,25 ммоль, 60% масло) и смесь перемешивают в течение 5 мин. Добавляют (бромметил)циклопропан (0,0251 мл, 0,27 ммоль). Когда TLC (5% метанол/дихлорметан) анализ показывает полное вступление в реакцию исходного продукта, ее захолаживают водой, разбавляют этилацетатом, переносят в делительную воронку, промывают водой и насыщенным раствором рассола, сушат над безводным сульфатом натрия, а затем концентрируют. Остаток очищают с помощью хроматографии на силикагеле, элюируя 100% дихлорметаном, а затем 3% метанолом/дихлорметаном с получением 0,104 г (89%) названного соединения в виде стекловидного вещества. LS/MS с обращенной фазой: YMC S5 ODS 4,6×50 мм на Ballistic колонке, УФ определение при 220 , 4-минутный градиент 40-100% растворитель В/А (растворитель А: 10% MeOH/H2O с 0,1% TFA, растворитель В: 90% МеОН/Н2O с 0,1% TFA), 4 мл/мин. Rt=2,99 мин. (95% чистота). MS (M+H: 554).
Пример 412
7-(2,3-Дихлорфенил)-6-[[4-(4-фторфенил)-1-пиперазинил]карбонил]-N,N,2,5-тетраметилпиразол[1,5-а]пиримидин-4(7Н)-карбоксамид

Способ:

THF=ТГФ
Соединение 1. Соединение 1 получают по методике, аналогичной методике примера 18, способ 2.
Получение названного соединения. Соединение 1 (0,22 г, 0,44 ммоль) растворяют в тетрагидрофуране (3,0 мл). Добавляют гидрид натрия (0,106 г, 4,44 ммоль, 60% масло) и смесь перемешивают в течение 5 мин. Добавляют N,N-диметилкарбамоилхлорид (0,12 мл, 1,33 ммоль). Смесь перемешивают в течение ночи. Когда TLC (5% метанол/дихлорметан) анализ показывает полное вступление в реакцию исходного продукта, ее захолаживают водой, разбавляют этилацетатом, переносят в делительную воронку, промывают водой и насыщенным раствором рассола, сушат над безводным сульфатом натрия, а затем концентрируют. Остаток очищают с помощью хроматографии на силикагеле, элюируя 100% дихлорметаном, а затем 3% метанолом/дихлорметаном с получением 0,22 г (87% выход) названного соединения. LC/MS показывает, что соединение загрязнено. Полученное соединение затем очищают с помощью хроматографии на силикагеле, элюируя 10% этилацетатом/гексаном, а затем 50% этилацетатом/гексанами и 100% этилацетатом, чтобы получить 0,118 г (47% выход) названного соединения в виде белого стекловидного вещества. LS/MS с обращенной фазой: YMC S5 ODS 4,6×50 мм на Ballistic колонке, УФ определение при 220 , 4-минутный градиент 40-100% растворитель В/А (растворитель А: 10% МеОН/Н2О с 0,1% TFA, растворитель В: 90% МеОН/Н2О с 0,1% TFA), 4 мл/мин. Rt=2,45 мин. (95% чистота). MS (M+H: 571).
Пример 413
1-[[7-(2,3-Дихлорфенил)-4,7-дигидро-4-метил-5-(трифторметил)пиразол[1,5-а]пиримидин-6-ил]карбонил]-4-(4-фторфенил)пиперазин

Способ:

reflux = нагревание при кипении с обратным холодильником,
DMF=ДМФА
Стадия А. Уксусный ангидрид (0,77 мл, 8,14 ммоль) по каплям добавляют к раствору 4-(4-фторфенил)пиперазина 1 (1,17 г, 6,49 ммоль) в дихлорметане (10 мл). TLC через 30 мин. показывает, что реакция завершена. Смесь переносят в делительную воронку, промывают водой и рассолом, сушат над безводным сульфатом натрия, а затем концентрируют, что дает 1,28 г (89% выход) соединения 2 в виде светлого твердого вещества. LS/MS с обращенной фазой: YMC S5 ODS 4,6×50 мм на Ballistic колонке, УФ определение при 220 , 4-минутный градиент 0-100% растворитель В/А (растворитель А: 10% МеОН/Н2О с 0,1% TFA, растворитель В: 90% MeOH/H2O с 0,1% TFA), 4 мл/мин. Rt=1,58 мин. (92% чистота). MS (M+H: 223). ЯМР (CDCl3, 400 МГц): 6,96 (2Н, м), 6,89 (2Н, м), 3,77 (2Н, м), 3,62 (2Н, м), 3,07 (4Н, м), 2,14 (3Н, с). Соединение 2 используют без дальнейшей очистки на следующей стадии.
Стадия В: Гексаметилдисилилазид лития (6,1 мл, 6,1 ммоль, 1М в тетрагидрофуране) по каплям добавляют к охлажденному до -78°С раствору соединения 2 (1,22 г, 5,5 ммоль) в тетрагидрофуране (25 мл). После 40 мин. добавляют 2,2,2-трифторэтилтрифторацетат (0,9 мл, 6,6 ммоль) к полученному желтому раствору. Реакция изменяет цвет с желтого на прозрачный. Затем еще через 10 мин. удаляют баню с охлаждением и смеси дают нагреться до комнатной температуры. После еще 30 мин. реакцию захолаживают насыщенным раствором хлорида аммония, разбавляют этилацетатом, переносят в делительную воронку, промывают насыщенным раствором хлорида аммония, водой и рассолом, сушат над безводньм сульфатом натрия, а затем концентрируют с достаточным количеством силикагеля, таким, чтобы получить свободнотекущий порошок. Полученный порошок загружают на хроматографическую колонку, заполненную силикагелем и 30% этилацетатом/гексанами. Элюирование проводят 30% этилацетатом/гексанами, что дает 0,998 г (57% выход) соединения 3 в виде желтого твердого вещества. LS/MS с обращенной фазой: YMC S5 ODS 4,6×50 мм на Ballistic колонке, УФ определение при 220 , 4-минутный градиент 40-100% растворитель В/А (растворитель А: 10% МеОН/Н2О с 0,1% TFA, растворитель В: 90% МеОН/Н2О с 0,1% TFA), 4 мл/мин. Rt=2,87 мин. (90% чистота). MS (M+H: 319). ЯМР (CDCl3, 400 МГц): (указанное соединение существует в енольной форме) 7,00 (2Н, м), 6,90 (2Н, м), 5,80 (1 Н, с), 3,79 (4Н, м), 3,13 (4Н, м).
Стадия С. Соединение 3 и соединение 4 конденсируют, как описано в примере 18, способ 2, стадия В, с получением соединение 5. Соединение 5 используется в следующей стадии без дальнейшей очистки.
Стадия D. Соединение 5 и соединение 6 конденсируют, как описано в примере 18, способ 2, стадия С 1, чтобы получить соединение 7. LC/MS с обращенной фазой сырого 6: YMC S5 ODS 4,6×50 мм на Ballistic колонке, УФ определение при 220 , 4-минутный градиент 0-100%, растворитель В/А (растворитель А: 10% МеОН/Н2О с 0,1% TFA, растворитель В: 90% МеОН/Н2O с 0,1% TFA), 4 мл/мин. Rt=4,12 мин. (58% чистота). MS (M+H: 540). Соединение 7 очищают с помощью хроматографии на силикагеле, элюируя 20-50% этилацетатом/гексанами, а затем перекристаллизацией из этилацетата/гексанов, что дает 0,084 г (6% выход) соединения 7 в виде белого твердого вещества. LC с обращенной фазой: YMC S5 ODS 4,6×50 мм на Ballistic колонке, УФ определение при 220 , 4-минутный градиент 0-100% растворитель В/А (растворитель А: 10% MeOH/H2O с 0,2% Н3PO4, растворитель В: 90% МеОН/Н2O 5 с 0,2% Н3PO4), 4 мл/мин. Rt=4,15 мин. (92% чистота).
Стадия Е. Соединение 7 (0,05 г, 0,14 ммоль) растворяют в диметилформамиде (1,0 мл). Добавляют NaH (0,005 г, 0,19 ммоль, 60% масло) и смесь перемешивают в течение 305 мин. Добавляют йодметан (0,010 мл, 0,16 ммоль). Смесь перемешивают еще в течение 2 часов и затем захолаживают насыщенным раствором хлорида аммония, разбавляют этилацетатом, переносят в делительную воронку, промывают водой и насыщенным раствором рассола, сушат над безводным сульфатом натрия, а затем концентрируют. Остаток очищают с помощью препаративной HPLC с обращенной фазой: YMC S5 ODS 20×100 мм на Ballistic колонке, УФ определение при 220 , 10-минутный градиент 30-100% растворитель В/А (растворитель А: 10% МеОН/Н2O с 0,1% TFA, растворитель В: 90% MeOH/H2O с 0,1% TFA), 20 мл/мин. Rt=10,6 мин., с получением 0,037 г (45%) названного соединения. LS/MS с обращенной фазой: YMC S5 ODS 4,6×50 мм на Ballistic колонке, УФ определение при 220 , 4-минутный градиент 0-100% растворитель В/А (растворитель А: 10% МеОН/H2О с 0,1% TFA, растворитель В: 90% МеОН/Н2O с 0,1% TFA), 4 мл/мин. Rt=3,83 мин. MS (M+H: 568). LC с обращенной фазой: YMC S5 ODS 4,6×50 мм на Ballistic колонке, УФ определение при 220 , 4-минутный градиент 0-100% растворитель В/А (растворитель А: 10% МеОН/Н2O с 0,2% Н3PO4, растворитель В: 90% МеОН/Н2O с 0,2% Н3PO4), 4 мл/мин. Rt=4,37 мин., 89% чистота.
Примеры 414-421
Соединения по примерам 414-421, приведенные в таблице ниже, получают по методике, описанной в примере 413.
HPLC разделение по примеру 416, Chiralpak AD колонка (50×500 мм), элюирование 50% изопропанолом/гексанами, содержащими 0,1% триэтиламин при 50 мл/мин.). УФ определение при 254 показывает энантиомеры А (пример 418) и В (пример 417). Chiralpak AD колонка (4,6×250 мм) элюирование 50% изопропанолом/гексанами, содержащими 0,1% триэтиламин при 1 мл/мин.). УФ определение при 254 показывает энантиомер А Rt=14,4 мин., 89% ее. Энантиомер В Rt=28,7 мин., 87% ее.
| Пример |
Структура |
Название |
(М+Н) |
| 414 |
 |
1-[[7-(2,3-Дихлорфенил)-4,7-дигидро-5-(трифторметил)пиразол[1,5 -а]пиримидин-6-ил]карбонил]-4-(4-фторфенил)пиперазин |
554 |
| 415 |
 |
1-[[7-(2,3-Дихлорфенил)-4,7-дигидро-2-метил-5-(трифторметил)пиразол[1,5-а]пиримидин-6-ил]карбонил]-4-(4-фторфенил)пиперазин |
554 |
| 416 |
 |
1-[[7-(2,3-Дихлорфенил)-4,7-дигидро-2,4-диметил-5-(трифторметил)пиразол[1,5-а]пиримидин-6-ил]карбонил]-4-(4-фторфенил)пиперазин |
568 |
| 417 |
 |
1-[[7-(2,3-Дихлорфенил)-4,7-дигидро-2,4-диметил-5-(трифторметил)пиразол[1,5-а]пиримидин-6-ил]карбонил]-4-(4-фторфенил)пиперазин, энантиомер В |
568 |
| 418 |
 |
1-[[7-(2,3-Дихлорфенил)-4,7-дигидро-2,4-диметил-5-(трифторметил)пиразол[1,5-а]пиримидин-6-ил]карбонил] -4-(4-фторфенил)пиперазин, энантиомер А |
568 |
| 419 |
 |
1-[[7-(3,4-Дихлорфенил)-4,7-дигидро-5-(трифторметил)пиразол[1,5-а]пиримидин-6-ил]карбонил]-4-(4-фторфенил)пиперазин |
540 |
| 420 |
 |
1-[[7-(3,4-Дихлорфенил)-4,7-дигидро-2-метил-5-(трифторметил)пиразол[1,5-а]пиримидин-6-ил]карбонил]-4-(4-фторфенил)пиперазин |
554 |
Пример 421
1-[[1-Бензоил-7-(2,3-дихлорфенил)-1,2,4,7-тетрагидро-5-метил-2-оксопиразол[1,5-а]пиримидин-6-ил]карбонил]-4-фенилпиперазин

Способ:

Соединение 1. Соединение 1 получают по методике, аналогичной примеру 18, способ 2.
Получение названного соединения. Бензоилхлорид (0,007 мл, 0,06 ммоль) и пиридин (0,008 мл, 0,10 ммоль) добавляют к охлажденному до 0°С раствору соединения 1 (0,05 г, 0,17 ммоль) в дихлорметане (5 мл). После 1 часа TLC показывает, что реакция завершена. Реакцию захолаживают метанолом, а затем концентрируют. Остаток очищают с помощью хроматографии на силикагеле, элюируя 80% этилацетатом/гексанами, чтобы получить 0,024 г (81%) названного соединения в виде белого твердого вещества. LS/MS с обращенной фазой: YMC S5 ODS 4,6×50 мм на Ballistic колонке, УФ определение при 220 , 4-минутный градиент 0-100% растворитель В/А (растворитель А: 10% МеОН/Н2O с 0,1% TFA, растворитель В: 90% МеОН/Н2O с 0,1% TFA), 4 мл/мин. Rt=4,05 мин. (86% чистота). (М+Н: 588). ЯМР (CDCl3, 400 МГц): 8.08 (1 Н, с), 8,06 (1 Н, с), 7,51 (1 Н, м), 7,37 (2Н, т, J=8 Гц), 7,28 (1 Н, м), 7,18 (2Н, м), 7,08 (1 Н, м), 6,9-6,7 (3Н, м), 6,45 (1H, уширенный синглет), 5,60 (1 Н, уширенный синглет), 4,15-2,8 (6Н, м), 2,20 (1 Н, уширенный синглет), 1,88 (3Н, с), 1,45 (1Н, уширенный синглет).
Примеры 422-431
Соединения по примерам 422-431, приведенные в таблице ниже, получают по методике, описанной в примере 421.
| Пример |
Структура |
Название |
(М+Н) |
| 422 |
 |
1-[[1-Бензоил-7-(3,4-дихлорфенил)-1,2,4,7-тетрагидро-5-метил-2-оксопиразол[1,5-а]пиримидин-6-ил]карбонил]-4-фенилпиперазин |
588 |
| 423 |
 |
1-[[1-Ацетил-7-(3,4-дихлорфенил)-1,2,4,7-тетрагидро-5-метил-2-оксопиразол[1,5-а]пиримидин-6-ил]карбонил]-4-фенилпиперазин |
526 |
| 424 |
 |
1-[[7-(3,4-Дихлорфенил)-1,2,4,7-тетрагидро-5-метил-2-оксо-1-(1-оксобутил)-пиразол[1,5-а]пиримидин-6-ил]карбонил]-4-фенилпиперазин |
554 |
| 425 |
 |
1-[[1-(Циклопропилкарбонил)-7-(3,4-дихлорфенил)-1,2,4,7-тетрагидро-5-метил-2-оксопиразол[1,5-а]пиримидин-6-ил]карбонил]-4-фенилпиперазин |
552 |
| 426 |
 |
1-[[1-(Циклопропилкарбонил)-7-(2,3-дихлорфенил)-1,2,4,7-тетрагидро-5-метил-2-оксопиразол[1,5-а]пиримидин-6-ил]карбонил]-4-(4-фторфенил)пиперазин |
570 |
| 427 |
 |
1-[[7-(2,3-Дихлорфенил)-1,2,4,7-тетрагидро-5-метил-1-(3-метил-1-оксобутил)-2-оксопиразол[1,5-а]пиримидин-6-ил]карбонил]-4-(4-фторфенил)пиперазин |
586 |
| 428 |
 |
1-[[7-(2,3-Дихлорфенил)-(2,2-диметил-1-оксопропил)-1,2,4,7-тетрагидро-5-метил-2-оксопиразол[1,5-а]пиримидин-6-ил]карбонил]-4-фенилпиперазин |
568 |
| 429 |
 |
1-[[1-(Циклопропилкарбонил)-7-(3,4-дихлорфенил)-1,2,4,7-тетрагидро-5-метил-2-оксопиразол[1,5-а]пиримидин-6-ил]карбонил]-4-(4-фторфенил)пиперазин |
570 |
| 430 |
 |
1-[[1-(Циклобутилкарбонил)-7-(3,4-дихлорфенил)-1,2,4,7-тетрагидро-5-метил-2-оксопиразол[1,5-а]пиримидин-6-ил]карбонил]-4-(4-фторфенил)пиперазин |
584 |
| 431 |
 |
1-[[7-(3,4-Дихлорфенил)-1,2,4,7-тетрагидро-5-метил-1-(2-метил-1-оксопропил)-2-оксопиразол[1,5-а]пиримидин-6-ил]карбонил]-4-(4-фторфенил)пиперазин |
572 |
Пример 432
1-[[7-(2,3-Дихлорфенил)-1,2,4,7-тетрагидро-5-метил-1-[(1-метилэтил)сульфонил]-2-оксопиразол[1,5-а]пиримидин-6-ил]карбонил]-4-фенилпиперазин

Способ:

Соединение 1. Соединение 1 получают по методике, аналогичной методике примера 18, способ 2.
Получение названного соединения. Изопропилсульфонилхлорид (0,11 мл, 0,97 ммоль) и пиридин (0,12 мл, 1,46 ммоль) добавляют к охлажденному до 0°С раствору соединения 1 (0,234 г, 0,487 ммоль) в дихлорметане (10 мл). Полученной смеси дают нагреться до комнатной температуры. После 5 часов TLC показывает, что реакция завершена. Реакцию захолаживают метанолом, а затем концентрируют. Остаток очищают с помощью хроматографии на силикагеле, элюируя 5% метанол/этилацетат, чтобы получить 0,095 г (33%) названного соединения в виде бледно-желтого твердого вещества. LS/MS с обращенной фазой: YMC S5 ODS 4,6×50 мм на Ballistic колонке, УФ определение при 220 , 4-минутный градиент 0-100% растворитель В/А (растворитель А: 10% MeOH/H2O с 0,1% TFA, растворитель В: 90% МеОН/Н2O с 0,1% TFA), 4 мл/мин. Rt=3,57 мин. (92% чистота). (М+Н: 590).
Пример 433
1-[[7-(3,4-Дихлорфенил)-1,2,4,7-тетрагидро-5-метил-1-[(1-метилэтил)сульфонил]-2-оксопиразол[1,5-а]пиримидин-6-ил]карбонил]-4-(4-фторфенил)пиперазин

Данное соединение получают по методике, аналогичной методике примера 432. (М+Н) 608.
Пример 434
7-(2,3-Дихлорфенил)-4,7-дигидро-5-метил-N-(1-метилэтил)-2-оксо-6-[(4-фенил-1 пиперазинил)карбонил]пиразол[1,5-а]пиримидин-1(2Н)-карбоксамид

Способ:

Соединение 1. Соединение 1 получают по методике, аналогичной методике примера 18, способ 2.
Получение названного соединения. Изопропилизоцианат (0,034 мл, 0,35 ммоль) и пиридин (0,057 мл, 0,706 ммоль) добавляют к охлажденному до 0°С раствору соединения 1 (0,170 г, 0,350 ммоль) в дихлорметане (50 мл). Полученной смеси дают нагреться до комнатной температуры. После 5 часов TLC показывает, что реакция завершена. Реакцию захолаживают метанолом, а затем концентрируют. Остаток очищают с помощью хроматографии на силикагеле, элюируя 75% этилацетатом/гексанами, чтобы получить 0,027 г (13%) названного соединения в виде белого твердого вещества. LS/MS с обращенной фазой: YMC S5 ODS 4,6×50 мм на Ballistic колонке, УФ определение при 220 , 4-минутный градиент 0-100% растворитель В/А (растворитель А: 10% МеОН/H2О с 0,1% TFA, растворитель В: 90% MeOH/H2O с 0,1% TFA), 4 мл/мин. Rt=3,68 мин. (95% чистота). (М+Н: 569).
Примеры 435 и 436
Соединения по примерам 435 и 436, приведенные в таблице ниже, получают по методике, описанной в примере 434.
| Пример |
Структура |
Название |
(М+Н) |
| 435 |
 |
7-(2,3-Дихлорфенил)-4,7-дигидро-N,5-диметил-2-оксо-6-[(4-фенил-1-пиперазинил)карбонил]пиразол[1,5-а]пиримидин-1(2Н)-карбоксамид |
541 |
| 436 |
 |
7-(2,3-Дихлорфенил)-4,7-дигидро-5-метил-2-оксо-6-[(4-фенил-1-пиперазинил)карбонил]пиразол[1,5-а]пиримидин-1(2Н)-карбоксамид |
527 |
Пример 437
7-(3,4-Дихлорфенил)-6-[[4-(4-фторфенил)-1-пиперазинил]карбонил]-4,7-дигидро-N,N,5-триметил-2-оксопиразол[1,5-а]пиримидин-1(2Н)-карбоксамид

Способ:

Соединение 1. Соединение 1 получают по методике, аналогичной методике примера 18, способ 2.
Получение названного соединения. Диметилкарбамоилхлорид (0,10 мл, 1,1 ммоль) добавляют к охлажденному до 0°С раствору соединения 1 (0,52 г, 1,0 ммоль) в пиридине (5 мл). Полученную смесь перемешивают при 0°С в течение 30 мин., удаляют баню с охлаждением и смесь концентрируют. Остаток растворяют в этилацетате, промывают водой и рассолом, сушат над безводным сульфатом натрия, а затем концентрируют. Остаток очищают с помощью хроматографии на силикагеле, элюируя 5% метанолом/этилацетатом, чтобы получить 0,038 г (6%) названного соединения в виде белого твердого вещества. LS/MS с обращенной фазой: YMC S5 TurboPack Pro 4,6×33 колонка, УФ определение при 220 . 2 мин. градиент 0-100% растворитель В/А (растворитель А: 10% МеОН/Н2O с 0,1% TFA, растворитель В: 90% МеОН/Н2O с 0,1% TFA), 4 мл/мин. Rt=1,97 мин. (92% чистота). MS (M+H: 573).
Пример 438
1-[[1-(3-Бутенил)-7-(3,4-дихлорфенил)-1,2,4,7-тетрагидро-5-метил-2-оксопиразол[1,5-а]пиримидин-6-ил]карбонил]-4-(4-фторфенил)пиперазин

Способ:

Соединение 1. Соединение 1 получают по методике, аналогичной методике примера 18, способ 2.
Получение названного соединения. (Бромметил)циклопропан (0,246 мл, 1,82 ммоль) добавляют к смеси соединения 1 (0,831 г, 1,66 ммоль) и карбоната калия в диметилформамиде (10 мл). Полученной смеси дают перемешиваться при комнатной температуре в течение 4 часов. Реакцию разбавляют этилацетатом, переносят в делительную воронку, промывают водой и рассолом, сушат над безводным сульфатом натрия, а затем концентрируют. Остаток очищают с помощью хроматографии на силикагеле, элюируя 5% метанолом/этилацетатом, чтобы получить 0,030 г (3%) названного соединения. LS/MS с обращенной фазой: YMC S5 ODS 4,6×50 мм на Ballistic колонке, УФ определение при 220 , 4-минутный градиент 0-100% растворитель В/А (растворитель А: 10% MeOH/H2O с 0,1% TFA, растворитель В: 90% MeOH/H2O с 0,1% TFA), 4 мл/мин. Rt=2,99 мин. (87% чистота). (М+Н: 556).
| Примеры 439 и 440 |
1-[[7-(3,4-Дихлорфенил)-1,2,4,7-тетрагидро-5-метил-2-оксо-1,4-бис -(2,2,2-трифторэтил)пиразол[-1,5-а] 6-ил]карбонил]-4-(4-фторфенил)пиперазин |
| 1-[[7-(3,4-Дихлорфенил)-1,2,4,7-тетрагидро-5-метил-2-оксо-1(2,2,2-трифторэтил)пиразол[1,5-а]пиримидин–6-ил]карбонил]-4-(4-фторфенил) пиперазин |
 |
 |
Пример 439 Способ: |
Пример 440 |

DMF=ДМФА
Соединение 1. Соединение 1 получают по методике, аналогичной методике примера 18, способ 2.
Названное соединение. 2,2,2-Трифторэтилтрифторметансульфонат (0,49 г, 2,1 ммоль) добавляют к раствору соединения 1 (0,967 г, 1,93 ммоль) в диметилформамиде (10 мл). Затем добавляют гидрид натрия (0,12 г, 2,89 ммоль). Когда TLC (10% метанол/этилацетат) показывает полное вступление в реакцию соединения 1, полученную смесь разбавляют этилацетатом, переносят в делительную воронку, промывают водой и рассолом, сушат над безводным сульфатом натрия, а затем концентрируют. Остаток очищают с помощью хроматографии на силикагеле, элюируя 100% этилацетатом, а затем 10% метанол/этилацетатом, что дает смесь названных соединений. Полученные соединения разделяют с помощью препаративной HPLC с обращенной фазой YMC S5 ODS 20×100 мм колонка, 25 мл/мин., 15-минутный градиент элюирование 50%-100% растворитель В/А (растворитель А: 10% MeOH/H2O с 0,1% TFA, растворитель В: 90% MeOH/H2O с 0,1% TFA). Соединение по примеру 439 Rt=11,05 мин., соединение примера 440 Rt=11,88 мин. Соединение по примеру 439: LS/MS с обращенной фазой: YMC S5 4,6×50 на Ballistic колонке, УФ определение при 220 , 4 мин. градиент 0-100% растворитель В/А (растворитель А: 10% MeOH/H2O с 0,1% TFA, растворитель В: 90% МеОН/Н2O с 0,1% TFA), 4 мл/мин. Rt=2,87 мин., 95% чистота). MS (M+H: 584). Соединение по примеру 440: LS/MS с обращенной фазой: YMC S5 4,6×50 на Ballistic колонке, УФ определение при 220 , 4 мин. градиент 0-100% растворитель В/А (растворитель А: 10% MeOH/H2O с 0,1% TFA, растворитель В: 90% MeOH/H2O с 0,1% TFA), 4 мл/мин. Rt=3,25 мин., 85% чистота). MS (M+H: 666).
Пример 441
7-(3,4-Дихлорфенил)-6-[[4-(4-фторфенил)-1-пиперазинил]карбонил]-4,7-дигидро-5-метил-2-оксопиразол[1,5-а]пиримидин-1(2Н)-карбоновой кислоты 1-метилэтиловый эфир

Способ:

Соединение 1. Соединение 1 получают по методике, аналогичной методике примера 18, способ 2.
Получение названного соединения. Изопропилхлорформиат (1,0 мл, 1,0 ммоль, 1М в толуоле) добавляют к охлажденному до 0°С раствору соединения 1 (0,46 г, 0,92 ммоль) в пиридине (5 мл). Полученную смесь перемешивают при 0°С в течение 30 мин. и удаляют баню с охлаждением. После 2 часов добавляют метанол, чтобы резко охладить реакцию и смесь концентрируют. Остаток очищают с помощью хроматографии на силикагеле, элюируя 5% метанолом/этилацетатом, чтобы получить 0,057 г (11%) названного соединения в виде светло-розового твердого вещества. LS/MS с обращенной фазой: YMC S5 ODS 4,6×50 колонка, УФ определение при 220 , 4 мин. градиент 0-100% растворитель В/А (растворитель А: 10% МеОН/Н2O с 0,1% TFA, растворитель В: 90% МеОН/H2О с 0,1% TFA), 4 мл/мин. Rt=3,67 мин., 95% чистота). (М+Н: 573).
Пример 442
1-[(4,7-Дигидро-5-метилпиразол[1,5-а]пиримидин-6-ил)карбонил]-4-фенилпиперазин

Способ:

DMF=ДМФА
Соединение 1. Соединение 1 получают по методике, аналогичной методике примера 18, способ 2.
Стадия А. Соединение 2 (0,6 мл, 4,4 ммоль) и уксусный ангидрид (0,83 мл, 8,8 ммоль) добавляют к раствору соединения 1 (0,72 г, 2,9 ммоль) в диметилформамиде (10 мл). Смеси дают перемешиваться в течение ночи, затем ее выливают в воду, а затем экстрагируют дихлорметаном. Экстракты объединяют, сушат над безводным сульфатом натрия, а затем концентрируют. Остаток очищают с помощью хроматографии на силикагеле, элюируя 50% этилацетатом/гексанами до 100% этилацетатом/гексанами, что дает 0,290 г (38% выход) соединения 3 в виде бесцветного сиропа. (М+Н: 259).
Стадия В. Конденсация соединения 3 и соединение 4, проводимая, как описано в примере 18, способ 2, стадия С, приводит к названному соединению. LS/MS с обращенной фазой: YMC S5 ODS 4,6×50 мм на Ballistic колонке, УФ определение при 220 , 4-минутный градиент 0-100% растворитель В/А (растворитель А: 10% МеОН/Н2О с 0,1% TFA, растворитель В: 90% МеОН/Н2О с 0,1% TFA), 4 мл/мин. Rt=1,96 мин. (87% чистота). (М+Н: 323).
Пример 443
7-(3,4-Дихлорфенил)-6-[[4-(4-фторфенил)-1-пиперазинил]карбонил]-4,7-дигидро-5-метилпиразол[1,5-а]пиримидин-2-карбоновая кислота

Способ:

THF=ТГФ
Соединение 1. Соединение 1 получают по методике, аналогичной методике примера 18, способ 2.
Стадия А. Гидроксид лития (0,43 г, 1,8 ммоль) растворяют в воде (3 мл) и медленно добавляют при комнатной температуре к раствору соединения 1 в тетрагидрофуране (9 мл). Полученную смесь перемешивают при комнатной температуре в течение 3 часов. TLC показывает, что соединение 1 полностью прореагировало. Смесь захолаживают, добавляя кислую смолу Dowex. Смолу отфильтровывают. Фильтрат разбавляют этилацетатом, промывают водой и рассолом, сушат над безводным сульфатом натрия, а затем концентрируют, что дает 0,41 г (86% выход) соединения 2 в виде слегка желтого твердого вещества. LS/MS с обращенной фазой: YMC S5 ODS 4,6×50 колонка, УФ определение при 220 , 4 мин. градиент 0-100% растворитель В/А (растворитель А: 10% МеОН/Н2О с 0,1% TFA, растворитель В: 90% МеОН/Н2О с 0,1% TFA), 4 мл/мин. Rt=3,37 мин., 96% чистота). MS (M+H: 530).
Стадия В. EDCI (0,025 г, 0,13 ммоль), DMAP (0,003 г, 0,02 ммоль) добавляют к раствору соединения 2 (0,0508 г, 0,1 ммоль) и диэтиламина (0,014 мл, 0,13 ммоль) в дихлорметане (3 мл). Смесь перемешивают в течение ночи. TLC показывает, что некоторое количество исходного продукта осталось. Растворитель удаляют при пониженном давлении. Полученный остаток очищают с помощью хроматографии на силикагеле, элюируя 5% метанолом/этилацетатом, что дает названное соединение в виде белого твердого вещества. LS/MS с обращенной фазой: YMC S5 4,6×50 на Ballistic колонке, УФ определение при 220 , 4 мин. градиент 0 – 100% растворитель В/А (растворитель А: 10% MeOH/H2O с 0,1% TFA, растворитель В: 90% МеОН/Н2O с 0,1% TFA), 4 мл/мин. Rt=3,74 мин., 91% чистота). MS (M+H: 585).
Примеры 444-449
Соединения по примерам 445-450, приведенные в таблице ниже, получают по методике, описанной в примере 443.
| Пример |
Структура |
Название |
(M+H) |
| 444 |
 |
7-(3,4-Дихлорфенил)-N,N-диэтил-6-[[4-(4-фторфенил)-1-пиперазинил]карбонил]-4,7-дигидро-5-метилпиразол[1,5-а]пиримидин-2-карбоксамид |
585 |
| 445 |
 |
7-(3,4-Дихлорфенил)-6-[[4-(4-фторфенил)-1-пиперазинил]карбонил]-4,7-гидро-N-(4-метилпиразол[1,5-а]пиримидин-2-карбоксамид; |
621 |
| 446 |
 |
1-[[7-(3,4-Дихлор-фенил)-4,7дигидро-5-метил-2-[[(28)-2-(1-пирролидинилметил)-1-пирролидинил]карбонил]-пиразол[1,5-а]пиримидин-6-ил]карбонил]-4-(4-фторфенил)пиперазин |
666 |
| 447 |
 |
7-(3,4-Дихлорфенил)-6-[[4-(4-фторфенил)-1-пиперазинил]карбонил]-4,7-дигидро-5-метилпиразол[1,5-а]пиримидин-2-карбоксамид |
529 |
| 448 |
 |
7-(3,4-Дихлорфенил)-6-[[4-(4-фторфенил)-1-пиперазинил]карбонил]-4,7-дигидро-5-метил-N-(фенилметил)пиразол-[1,5-а]пиримидин-2-карбоксамид |
619 |
| 449 |
 |
7-(3,4-Дихлорфенил)-6-[[4-(4-фторфенил)-1-пиперазинил]карбонил]-4,7-дигидро-5-метил-N-(2-фенилэтил)пиразол[1,5-а]пиримидин-2-карбоксамид |
633 |
Пример 450
1-[[2-Циано-7-(3,4-дихлорфенил)-4,7-дигидро-5-метилпиразол[1,5-а]пиримидин-6-ил]карбонил]-4-(4-фторфенил)пиперазин

Способ:

Соединение 1. Соединение 1 (соединение по примеру 447) получают по методике, аналогичной методике примера 443.
Получение названного соединения. Ангидрид трифторуксусной кислоты (0,036 мл, 0,21 ммоль) добавляют к охлажденному до 0°С раствору соединения 1 (0,103 г, 0,19 ммоль) и триэтиламина (0,054 мл, 0,39 ммоль) в дихлорметане (5 мл). После 10 мин. TLC (5% метанол/этилацетат) показывает, что соединение 1 осталось. Добавляют вновь ангидрид трифторуксусной кислоты (0,036 мл, 0,21 ммоль) и триэтиламин (0,054 мл, 0,39 ммоль). Через 10 мин. TLC (5% метанол/этилацетат) показывает, что соединение 1 все еще осталось. Смесь нагревают до комнатной температуры и перемешивают в течение еще 30 мин. Реакцию выливают в насыщенный раствор гидрокарбоната натрия, экстрагируют дихлорметаном. Экстракты объединяют, сушат над безводным сульфатом натрия, а затем концентрируют. Полученный остаток очищают с помощью хроматографии на силикагеле, элюируя 2% метанолом/этилацетатом с входом 0,018 г (19% выход) названного соединения в виде белого твердого вещества. LS/MS с обращенной фазой: YMC S5 4,6×33 колонка, УФ определение при 220 , 2 мин. градиент 0-100% растворитель В/А (растворитель А: 10% MeOH/H2О с 0,1% TFA, растворитель В: 90% МеОН/Н2O с 0,1% TFA), 4 мл/мин. Rt=3,60 мин., 81% чистота). MS(M+H:511).
Пример 451
3-Бром-7-(3,4-дихлорфенил)-4,7-дигидро-5-метилпиразол[1,5-а]пиримидин-6-карбоновой кислоты 1,1-диметилэтиловый эфир

Способ:

Соединение 1. Соединение 1 получают, как описано в примере 4.
Получение названного соединения. Фенилтриметиламмонийтрибромид (0,057 г,0,14 ммоль) добавляют к охлажденному до 0°С раствору соединения 1 (0,05 г, 0,13 ммоль) в дихлорметане (2 мл). Смеси дают нагреться до комнатной температуры в течение 4 часов. Растворитель удаляют при пониженном давлении. Полученный остаток очищают с помощью препаративной TLC (Analtech, силикагель, 20×20 см, 1000 мк). Элюирование проводят 25% ацетоном/гексаном, что приводит к 0,047 г (79% выход) названного соединения в виде белого твердого вещества. HPLC с обращенной фазой: YMC S5 ODS 4,6×50 мм на Ballistic колонке, УФ определение при 220 , 4-минутный градиент 0-100% растворитель В/А (растворитель А: 10% МеОН/Н2O с 0,2% Н3PO4, растворитель В: 90% МеОН/H2О с 0,2% Н3PO4), 4 мл/мин. Rt=4,67 мин. (95% чистота). LS/MS с обращенной фазой: YMC S5 ODS 4,6×50 мм на Ballistic колонке, УФ определение при 220 , 4-минутный градиент 0-100% растворитель В/А (растворитель А: 10% МеОН/Н2O с 0,1% TFA, растворитель В: 90% MeOH/H2O с 0,1% TFA), 4 мл/мин. Rt=4,19 мин. MS (ЕМ, М+1: 458). ЯМР (COCl3, 400 МГц): 7,37 (1 Н, д, J=2,0 Гц), 7,36 (1 Н, д, J=8,0 гц), 7,33 (1 Н, с), 7,12 (1 Н, дд, J=2,2 и 8,4 Гц), 6,38 (1 Н, с), 6,27 (1 Н, с), 2,53 (3Н, с), 1,36 (9Н, с).
Пример 452
1-[[3-Бром-7-(2,3-дихлорфенил)-4,7-дигидро-5-метилпиразол[1,5-а]пиримидин-6-ил]карбонил]-4-фенилпиперазин

Соединение по примеру 452 получают по методике, аналогичной методике примера 451. (М+Н) 547.
Пример 453
1-[[3-Хлор-7-(2,3-дихлорфенил)-4,7-дигидро-5-метилпиразол[1,5-а]пиримидин-6-ил]карбонил]-4-фенилпиперазин

Способ:

Соединение 1. Соединение 1 получают по методике, аналогичной методике примера 18, способ 2.
Получение названного соединения. N-Хлорсукцинимид (0,0102 г, 0,076 ммоль) добавляют к охлажденному до 0°С раствору соединения 1 (0,0343 г, 0,073 ммоль) в дихлорметане (4 мл). Смеси дают нагреться до комнатной температуры в течение 2 часов. Растворитель удаляют при пониженном давлении. Полученный остаток очищают с помощью препаративной TLC (Analtech, силикагель, 20×20 см, 1000 мк). Элюирование проводят 50% ацетоном/гексаном, что обеспечивает 0,0287 г (77% выход) названного соединения в виде желтого масла, которое затвердевает после стояния. HPLC с обращенной фазой: YMC S5 ODS 4,6×50 мм на Ballistic колонке, УФ определение при 220 , 4-минутный градиент 0-100% растворитель В/А (растворитель А: 10% МеОН/Н2О с 0,2% РРА, растворитель В: 90% MeOH/H2O с 0,2% РРА), 4 мл/мин. Rt=4,21 мин. (91% чистота). LS/MS с обращенной фазой: YMC S5 ODS 4,6×50 мм на Ballistic колонке, УФ определение при 220 , 4-минутный градиент 0-100% растворитель В/А (растворитель А: 10% МеОН/Н2О с 0,1% TFA, растворитель В: 90% МеОН/Н2O с 0,1% TFA), 4 мл/мин. Rt=3,72 мин. MS (ЕМ, М+1: 501).
Примеры 454-463
Соединения по примерам 454-463, приведенные в таблице ниже, получают по методике, описанной в примере 453.
Соединение по примеру 456 получают из одного энантиомера В по примеру 30, соединения по примеру 457 и из одного энантиомера А по примеру 29. Chiralpak AD колонка (4,6×250 мм) элюирование 30% изопропанолом/гексанами, содержащиими 0,1% триэтиламин при 1 мл/мин.), УФ определение при 254 . Пример 456 Rt=5,9 мин., >99% ее. Пример 457 Rt=6,3 мин., >99% ее.
Соединение по примеру 458 получают из одного энантиомера А по примеру 51, соединения по примеру 459 и из простого энантиомера В примера 52. Chiralcel OD колонка (4,6×250 мм) элюирование 30% изопропанолом/гексанами, содержащими 0,1% триэтиламин при 1 мл/мин.), УФ определение при 254 , Пример 458 Rt =7,8 мин., >99% ее. Пример 459 Rt=8,4 мин., >99% ее.
Соединение по примеру 460 получают из одного энантиомера А по примеру 169, соединения по примеру 461 и из простого энантиомера В примера 168. Chiralpak AD колонка (4,6×250 мм) элюирование 20% изопропанолом/гексанами, содержащими 0,1% триэтиламин при 1 мл/мин.), УФ определение при 254 , Пример 461 Rt=9,2 мин., >99% ее. Пример 460 Rt=9,4 мин., >99% ее.
Соединение по примеру 462 получают из одного энантиомера А по примеру 81, соединения по примеру 463 и из простого энантиомера В примера 82. Chiralpak AD колонка (4,6×250 мм) элюирование 20% изопропанолом/гексанами, содержащими 0,1% триэтиламин при 1 мл/мин.), УФ определение при 254 , Пример 462 Rt=8,25 мин., >99% ее. Пример 463 Rt=8,28 мин., >99% ее.
| Пример |
Структура |
Название |
(М+Н) |
| 454 |
 |
1-[[3-Хлор-7-(2,3-дихлорфенил)-4,7-дигидро-5-метилпиразол[1,5-а]пиримидин-6-ил]карбонил]-4-(4-фторфенил)пиперазин |
520 |
| 455 |
 |
1-[[3-Хлор-7-(3,4-дихлорфенил)-4,7-дигидро-5-метилпиразол[1,5-а]пиримидин-6-ил]карбонил]-4-(4-фторфенил)пиперазин |
520 |
| 456 |
 |
1-[[3-Хлор-7-(2,3-дихлорфенил)-4,7-дигидро-5-метилпиразол[1,5-а]пиримидин-6-ил]карбонил]-4-фенилпиперазин, энантиомер В |
502 |
| 457 |
 |
1-[[3-Хлор-7-(2,3-дихлорфенил)-4,7-дигидро-5-метилпиразол[1,5-а]пиримидин-6-ил]карбонил]-4-фенилпиперазин, энантиомер А |
502 |
| 458 |
 |
1-[[3-Хлор-7-(2,3-дихлорфенил)-4,7-дигидро-5-метилпиразол [1,5-а]пиримидин-6-ил]карбонил]-4-(4-фторфенил)пиперазин, энантиомер А |
520 |
| 459 |
 |
1-[[3-Хлор-7-(2,3-дихлорфенил)-4,7-дигидро-5-метилпиразол[1,5-а]пиримидин-6-ил]карбонил]-4-(4-фторфенил)пиперазин, энантиомер В |
520 |
| 460 |
 |
1-[[3-Хлор-7-(2,3-дихлорфенил)-4,7-дигидро-2,5-диметилпиразол[1,5-а]пиримидин-6-ил]карбонил]-4-(4-фторфенил)пиперазин, энантиомер А |
534 |
| 461 |
 |
1-[[3-Хлор-7-(2,3-дихлорфенил)-4,7-дигидро-2,5-диметилпиразол[1,5-а]пиримидин-6-ил]карбонил]-4-(4-фторфенил)пиперазин, энантиомер В |
534 |
| 462 |
 |
1-[[3-Хлор-7-(3,4-дихлорфенил)-4,7-дигидро-2,5-диметилпиразол[1,5-а]пиримидин-6-ил]карбонил]-4-(4-фторфенил)пиперазин, энантиомер А |
534 |
| 463 |
 |
1-[[3-Хлор-7-(3,4-дихлорфенил)-4,7-дигидро-2,5-диметилпиразол[1,5-а]пиримидин-6-ил]карбонил]-4-(4-фторфенил)пиперазин, энантиомер В |
534 |
Пример 464
3-Хлор-7-(3,4-дихлорфенил)-4,7-дигидро-5-метилпиразол[1,5-а]пиримидин-6-карбоновой кислоты 1,1-диметилэтиловый эфир

Способ:

Соединение 1. Соединение 1 получают, как описано в примере 4.
Получение названного соединения. Гидрохлорид пиридина (0,020 г, 0,173 ммоль) добавляют к охлажденному до 0°С раствору соединения 1 (0,060 г, 0,158 ммоль) в дихлорметане (4 мл). После 2 мин. добавляют N-хлорсукцинимид (0,0231 г, 0,174 ммоль). Смеси дают нагреться до комнатной температуры и ее перемешивают в течение 13 часов. Растворитель удаляют при пониженном давлении. Полученный остаток очищают с помощью препаративной TLC (Analtech, силикагель, 20×20 см, 1000 мк). Элюирование проводят 20% ацетоном/гексаном, что приводит к 0,0092 г (14% выход) названного соединения в виде желтого масла. HPLC с обращенной фазой: YMC S5 ODS 4,6×50 мм на Ballistic колонке, УФ определение при 220 , 4-минутный градиент 0-100% растворитель В/А (растворитель А: 10% MeOH/H2O с 0,2% РРА, растворитель В: 90% МеОН/Н2O с 0,2% РРА), 4 мл/мин. Rt=4,61 мин. (94% чистота). LC/MS с обращенной фазой: YMC S5 ODS 4,6×50 мм на Ballistic колонке, УФ определение при 220 , 4-минутный градиент 0-100% растворитель В/А (растворитель А: 10% MeOH/H2O с 0,1% TFA, растворитель В: 90% MeOH/H2O с 0,1% TFA), 4 мл/мин. Rt=4,71 мин. MS (ЕМ, М+1: 414). ЯМР (CDCl3, 400 МГц): 7,37 (1 Н,с), 7,36 (1 Н, д, J=1,7 Гц), 7,36 (1 Н, д, J=8,4 Гц), 7,12 (1 Н, дд, J=2,0 и 8,4 Гц), 6,45 (1 Н, уширенный синглет), 6,24 (1 Н,с), 2,52 (3Н,с), 1,36 (9Н,с).
Пример 465
7-(3,4-Дихлорфенил)-4,7-дигидро-5-метил-6-(5-фенил-2-оксазолил)пиразол[1,5-а] пиримидин

Способ:

Соединение 1. Соединение 1 синтезируют, как описано в примере 16.
Соединение 3. Соединение 1 (200 мг, 0,62 ммоль) суспендируют в 2 мл дихлорметана. Добавляют триэтиламин (300 мкл, 2,2 ммоль) и 2-аминоацетофенон 2 (116 мг, 0,68 ммоль), а затем бром-трис-пирролидинфосфонийгексафторфосфат (PyBrOP) (312 мг, 0,68 ммоль). Все твердые вещества растворяют с добавлением PyBrOP и реакционную массу перемешивают в течение 4 часов. Смесь загружают на силикагель и очищают с помощью флэш-хроматографии на силикагеле, элюируя 40% ацетоном, гексаном с выходом 106 мг (39%) розового твердого вещества. 1Н ЯМР (400 МГц, CDCl3) 44180-148-16;1H COSY (400 МГц, CD3OD); 13С ЯМР (100 МГц, CDCl3); HPLC >99% при 4,0 мин. (YMC S5 ODS 4,6×50 мм колонка; 10-90% метанол, вода с 0,2% фосфорной кислотой градиент более 4 мин.; 4 мл/мин.; УФ определение при 220 нм).
Получение названного соединения. Амид 3 (100 мг, 0,22 ммоль) растворяют в 2 мл оксихлорида фосфора и нагревают до 112°C в течение 2 часов. Смесь затем захолаживают на льду и экстрагируют этилацетатом. Экстракты сушат более сульфатом магния, фильтруют и растворитель удаляют с получением 339 мг коричневого масла. Масло очищают с помощью флэш-хроматографии на силикагеле, элюируя 20-40% ацетоном, гексаном с выходом 50 мг (51%) названного соединения в виде белого порошка, т.пл. 229-231°C. 1Н ЯМР (400 МГц, CD3OD); MS (ESI) m/z 423 (MH+; HPLC >99% при 4,7 мин. (YMC S5 ODS 4.6×50 мм колонка; 10-90% метанол, вода с 0,2% фосфорной кислотой градиент более 4 мин., затем поддерживают при 90% метаноле, воде; 4 мл/мин.; УФ определение при 220 нм).
Примеры 466-469
Соединения по примерам 466-473, приведенные в таблице ниже, получают по методике, описанной в примере 465.
| Пример |
Структура |
Название |
(М+Н) |
| 466 |
 |
7-(3,4-Дихлорфенил)-4,7-дигидро-5-метил-6-(5-фенил-1,3,4-оксадиазол-2-ил)пиразол[1,5-а]пиримидин |
424 |
| 467 |
 |
6-(1Н-Бензимидазол-2-ил)-7-(3,4-дихлорфенил)-4,7-дигидро-5-метилпиразол[1,5-а]пиримидин |
396 |
| 468 |
 |
6-(2-Бензотиазолил)-7-(3,4-дихлорфенил)-4,7-дигидро-5-метилпиразол[1,5-а]пиримидин |
413 |
| 469 |
 |
7-(3,4-Дихлорфенил)-4,7-дигидро-5-метил-6-(1-метил-1Н-бензимидазол-2-ил)пиразол[1,5-а]пиримидин |
410 |
Пример 470
7-(3,4-Дихлорфенил)-4,7-дигидро-5-метил-6-[5-(трифторметил)-1-пропил-1Н-бензимидазол-2-ил]пиразол[1,5-а]пиримидин

Способ:

Соединение 2. К раствору кислоты 1, полученной, как описано в примере 16 (0,15 г, 0,463 ммоль), добавляют 2-(н-пропиламино)-5-трифторметиланилин (0,141 г, 0,648 ммоль) и DMAP (5 мг, cat.), затем EDCI (0,124 г, 0,0648 ммоль) и раствор перемешивают при комнатной температуре в течение 2 часов. Реакцию обрабатывают насыщенным раствором гидрокарбоната натрия, органический раствор сушат над сульфатом магния и растворитель упаривают. Сырой продукт 2 затем используют без дальнейшей очистки.
Получение названного соединения. Соединение 2 растворяют в оксихлориде фосфора (4 мл) и нагревают до 80°С в течение 4 часов. TLC показывает, что реакция не завершена полностью. Добавляют оксихлорид фосфора (2 мл) и смесь нагревают в течение 2 часов, затем оставляют стоять при комнатной температуре в течение ночи. Смесь затем захолаживают на льду, подщелачивают с гидроксидом аммония и экстрагируют этилацетатом. Экстракты сушат сульфатом магния, а затем концентрируют. Сырой продукт очищают с помощью препаративной хроматографии с обращенной фазой (YMC PACK ODSA S3 20×100 мм колонка 50-100 метанол, вода с 0,1% TFA градиент более 10 мин.; 20 мл/мин.; УФ определение при 220 нм.) Нужные фракции упаривают, остаток распределяют между насыщенным раствором гидрокарбоната натрия и этилацетатом, органический раствор сушат и растворитель удаляют под вакуумом с получением продукта (27 мг, 11,5%) в виде рыжего стекловидного вещества. [М+Н] m/z, 506; HPLC 91,1% при 4,6 мин. (YMC S5 ODS 4,6×50 мм колонка; 10-90% метанол, вода с 0,2% фосфорной кислотой, градиент более 4 мин.; 4 мл/мин.; УФ определение при 220 нм).
Примеры 471-482
Соединения по примерам 471-482, приведенные в таблице ниже, получают по методике, описанной в примере 470.
HPLC разделенное по примеру 480, Chiralcel OD колонка (50×500 мм), элюирование 25% изопропанолом/гексанами, содержащими 0,1% триэтиламина при 50 мл/мин.), УФ определение при 254 определяют энантиомеры А (пример 481) и В (пример 482). Аналитическая Chiralcel OD колонка (4,6×250 мм) элюирование 25% изопропанолом/гексанами, содержащими 0,1% триэтиламин при 1 мл/мин.), УФ определение при 254 , показывает энантиомер A Rt=7,2 мин., >99% ее. Энантиомер В Rt=10,0 мин., >99% ее.
| Пример |
Структура |
Название |
(М+Н) |
| 471 |
 |
6-(5-Бутил-1,3,4-оксадиазол-2-ил)-7-(3,4-дихлорфенил)-4,7-дигидро-5-метилпиразол[1,5-а]пиримидин |
404 |
| 472 |
 |
1-[[7-(3,4-Дихлорфенил)-4,7-дигидро-5-метил-6-(4-метил-1Н-бензимидазол-2-ил)пиразол[1,5-а]пиримидин |
410 |
| 473 |
 |
1-[[7-(2,3-Дихлорфенил)-4,7-дигидро-5-метил-6-(1-метил-1Н-бензимидазол-2-ил)пиразол[1,5-а]пиримидин |
410 |
| 474 |
 |
7-(3,4-Дихлорфенил)-4,7-дигидро-6-(имидазо[1,5-а]пиридин-3-ил)-5-метилпиразол[1,5-а]пиримидин |
510 |
| 475 |
 |
7-(3,4-Дихлорфенил)-6-(1-этил-5-нитро-1Н-бензимидазол-2-ил)-4,7-дигидро-5-метилпиразол[1,5-а]пиримидин |
469 |
| 476 |
 |
6-[5-Хлор-1-(1-метилэтил)-1Н-бензимидазол-2-ил]-7-(3,4-дихлорфенил)-4,7-дигидро-5-метилпиразол[1,5-а]пиримидин |
472 |
| 477 |
 |
6-(5-Хлор-1-этил-1Н-бензимидазол-2-ил)-7-(3,4-дихлорфенил)-4,7-дигидро-5-метилпиразол[1,5-а]пиримидин |
458 |
| 478 |
 |
7-(3,4-Дихлорфенил)-6-(5-фтор-1-пропил-1Н-бензимидазол-2-ил)-4,7-дигидро-5-метилпиразол[1,5-а]пиримидин |
456.35 |
| 479 |
 |
7-(3,4-Дихлорфенил)-4,7-дигидро-5-метил-6-[1-(1-метилэтил)-5-(трифторметил)-1Н-бензимидазол-2-ил]пиразол[1,5-а]пиримидин |
506 |
| 480 |
 |
7-(3,4-Дихлорфенил)-6-(5-фтор-1-метил-1Н-бензимидазол-2-ил)-4,7-дигидро-5-метилпиразол[1,5-а]пиримидин |
428 |
| 481 |
 |
7-(3,4-Дихлорфенил)-6-(5-фтор-1-метил-1Н-бензимидазол-2-ил)-4,7-дигидро-5-метилпиразол[1,5-а]пиримидин, энантиомер А |
428 |
| 482 |
 |
7-(3,4-Дихлорфенил)-6-(5-фтор-1-метил-1Н-бензимидазол-2-ил)-4,7-дигидро-5-метилпиразол[1,5-а]пиримидин, энантиомер В |
428 |
Пример 483
7-(3,4-Дихлорфенил)-4,7-дигидро-5-метил-6-[1-(фенилметил)-1Н-бензимидазол-2-ил]пиразол[1,5-а]пиримидин

Способ:


Соединение 1. Получают, как описано в примере 16.
Соединение 2. Получают из соединения 1 и фенилендиамина по методике, аналогичной методике примера 470.
Соединение 3. Суспензию 2 (50 мг 0,121 ммоль), NaHCO3 (50 мг, 0,6 ммоль) и бензилбромида (20 мг, 0,121 ммоль) в DMPU (0,5 мл) перемешивают при комнатной температуре в течение ночи. Добавляют еще эквивалент бензилбромида для завершения реакции. Суспензию распределяют между водой и этилацетатом, органическую фазу сушат (MgSO4) и растворитель упаривают. Остаток хроматографируют с помощью флеш-хроматографии на диоксиде кремния, элюируя гексаном-ацетоном 2:1 с получением одного или обоих соединений 3 и 3* (точная структура не была определена) (24,8 мг, 41%) в виде белого твердого вещества. Т.пл. 135-140; [M+H]+ m/z 504; HPLC 100% при 4,4 мин. (YMC S5 ODS 4,6×50 мм колонка; 10-90% метанол, вода с 0,2% фосфорной кислотой, градиент более 4 мин.; 4 мл/ мин.; УФ определение при 220 нм).
Получение названного соединения. Соединение(с) 3/3* растворяют в оксихлориде фосфора (1,5 мл) и нагревают до 80°С в течение 5 часов. Затем нагревание прекращают и смесь оставляют стоять при комнатной температуре в течение ночи. Смесь захолаживают на льду, подщелачивают гидроксидом аммония и экстрагируют этилацетатом. Экстракты сушат над сульфатом магния, а затем концентрируют. Остаток очищают с помощью флэш-хроматографии (силикагель, 50% ацетон/гексаны), что дает 6,6 мг названного соединения в виде твердого вещества красно-коричневого цвета. Т.пл. 225-230; [М+Н]+ m/z 486; HPLC 100% при 3,8 мин. (YMC S5 ODS 4,6×50 мм колонка; 10-90% метанол, вода с 0,2% фосфорной кислотой, градиент более 4 мин.; 4 мл/ мин.; УФ определение при 220 нм).
Пример 484
7-(3,4-Дихлорфенил)-4,7-дигидро-5-(метоксиметил)-N-(2-пиридинилметил)пиразол[1,5-а]пиримидин-6-карбоксамид

Схема:

Синтез 3. Раствор перекристаллизованного (ацетон, гексан) 2,2-диметил-1,3-диоксан-4,6-диона (1, 25,0 г, 173,5 ммоль) в дихлорметане (350 мл) обрабатывают пиридином (27,4 г, 346,9 ммоль). Реакционную смесь охлаждают до -5,1°С. К перемешиваемому раствору добавляют раствор метоксиацетилхлорида (2, 20,7 г, 190,8 ммоль) в дихлорметане (150 мл) более 50 мин., поддерживая температуру реакции выше 1,5°С. Реакционная смесь становится оранжевой и образуется осадок. Реакционной смеси дают нагреться до 17,5°С в течение более 40 мин. Реакционная смесь становится темно-бордовой и твердые вещества растворяют.
После того как TLC (100% этилацетат) покажет, что реакция завершена, ее захолаживают 3,7% водным раствором соляной кислоты (500 мл) и водный слой, экстрагируют дихлорметаном). Органические экстракты объединяют и промывают насыщенным водным раствором хлорида натрия, сушат над безводным сульфатом магния и фильтруют. Растворитель удаляют. Полученное масло сушат в высоком вакууме до постоянной массы, что дает 3 (33,11 г) с 88,3% выходом.
Синтез 4. К раствору 3 (33,1 г, 153 ммоль) в 100 мл толуола добавляют 2-метил-2-пропанол (100 мл, 1,05 моль) и реакцию нагревают при кипячении с обратным холодильником. После 1,5 часов реакционную массу концентрируют, что дает 4 (30,2 г) со 100% выходом.
Синтез 5. К раствору -кетоэфира 4 (30,2 г, 160,6 ммоль) в диметилформамиде (120 мл) добавляют 3,4-дихлорбензальдегид (28,13 г, 160,6 ммоль), а затем 3-аминопиразол (14,7 г, 176,7 ммоль), затем гидрокарбонат натрия (54 г, 642,6 ммоль). Реакционную смесь нагревают до 70°С в течение 48 часов. Затем ее охлаждают до 35°С и переносят в быстро перемешиваемую воду (1,5 л) при комнатной температуре. Полученное грязно-белое твердое вещество фильтруют. Фильтрат твердого вещества разжижают водой (1 л) и фильтруют вновь. Сырой пирог (165 г) растворяют в этилацетате (1 л), что дает двухфазную смесь. Смесь промывают насыщенным водным раствором хлорида натрия (500 мл). Органический слой сушат над безводным сульфатом магния и фильтруют. Растворитель удаляют. Полученный сырой материал очищают с помощью хроматографической колонки, используя 40% этилацетат в гексане как элюент, что дает 5 (22,6 г, 34,3%) в виде белого порошка.
Синтез 6. К раствору дигидропиримидина трет-бутилового эфира 5 (10,13 г, 24,7 ммоль) в дихлорметане (150 мл) добавляют раствор триметилсилилтрифторметансульфоната (11 г, 49,5 ммоль) в дихлорметане (11 мл). Через 1 час медленно добавляют гексан (300 мл) и реакцию концентрируют до 250 мл. Продукт, образующий смолу и супернатант, декантируют. Добавляют гексан (250 мл) и смеси дают перемешиваться в течение 1 часа. Смола затвердевает с образованием порошка. Супернатант декантируют вновь и добавляют еще 250 мл гексана. Смесь перемешивают в течение 10 мин. и фильтруют. Полученный сырой пирог промывают гексаном (250 мл) и получают хороший грязно-белый порошок 6, который подвергается сушке с отсосом.
Синтез 7. К суспензии дигидропиримидиновой кислоты 6 (100 мг, 0.28 ммоль) в дихлорметане (10 мл) добавляют EDCI (76 мг, 0.39 ммоль), а затем раствор 2-пиридилметиламина (32,4 мг, 0,39 ммоль) в дихлорметане (1 мл). Через 2,5 часа, реакционную массу упаривают досуха и сырую смесь очищают с помощью хроматографии на силикагеле, используя 10% метанол в дихлорметане как элюент, что дает полученное соединение (90 мг, 72.4%) в виде грязно-белого порошка. Масс-спектр m/z (М+Na)+ 466.
Примеры 485-496
Следующие соединения получают по методике, описанной в примере 484.
| Пример |
Структура |
Название |
МС (m/z) |
| 485 |
 |
7-(2,3-Дихлорфенил)-4,7-дигидро-5-(метоксиметил)-N-(2-пиридинилметил)пиразол[1,5-а]пиримидин-6-карбоксамид |
444 (М+Н)* |
| 486 |
 |
1-[[7-(3,4-Дихлорфенил)-4,7-дигидро-5-(метоксиметил)пиразол[1,5-а]пиримидин-6-ил]карбонил]-2-(4-фторфенил)пирролидин |
501 (M+H)+ |
| 487 |
 |
7-(3,4-Дихлорфенил)-4,7-дигидро-5-(метоксиметил)-N-(3-фенилпропил)пиразол[1,5-а]пиримидин-6-карбоксамид |
471 (М+Н)+ |
| 488 |
 |
1-[[7-(3,4-Дихлорфенил)-4,7-дигидро-5-(метоксиметил)пиразол[1,5-а]пиримидин-6-ил]карбонил]-4-(4-фторфенил)пиперазин |
516 (M+H)+ |
| 489 |
 |
1-[[7-(3,4-Дихлорфенил)-4,7-дигидро-5-(метоксиметил)пиразол[1,5-а]пиримидин-6-ил]карбонил]пиперидин |
421 (М+Н)+ |
| 490 |
 |
(2S)-1-[[7-(3,4-Дихлорфенил)-4,7-дигидро-5-(метоксиметил)пиразол[1,5-а]пиримидин-6-ил]карбонил]-2-(метоксиметил)пирролидин |
451 (M+H)+ |
| 491 |
 |
7-(3,4-Дихлорфенил)-4,7-дигидро-5-(метоксиметил)-N,N-дипропилпиразол[1,5-а]пиримидин-6-карбоксамид |
437 (M+H)+ |
| 492 |
 |
5-Циклогексил-7-(3,4-дихлорфенил)-4,7-дигидро-N-(3-фенилпропил)пиразол[1,5-а]пиримидин-6-карбоксамид |
509 (М+Н) |
| 493 |
 |
1-[[5-Циклогексил-7-(3,4-дихлорфенил)-4,7-дигидропиразол[1,5-а]пиримидин-6-ил]карбонил]-4-(4-фторфенил)пиперазин |
554 (М+Н) |
| 494 |
 |
1-[[5-Циклогексил-7-(3,4-дихлорфенил)-4,7-дигидропиразол[1,5-а]пиримидин-6-ил]карбонил]пиперидин |
459 (М+Н) |
| 495 |
 |
(2S)-1-[[5-Циклогексил-7-(3,4-дихлорфенил)-4,7-дигидропиразол[1,5-а]пиримидин-6-ил]карбонил]-2-(метоксиметил)пирролидин |
489 (М+Н) |
| 496 |
 |
5-Циклогексил-7-(3,4-дихлорфенил)-4,7-дигидро-N,N-дипропилпиразол[1,5-а]пиримидин-6-карбоксамид |
475 (М+Н) |
Пример 497
7-(3,4-Дихлорфенил)-4,7-дигидро-6-(имидазо[1,5-а]пиридин-3-ил)-5-(метоксиметил)пиразол[1,5-а]пиримидин

Схема

Синтез 1. Синтез 1 осуществляется так же, как описано в примере 484.
Синтез 2. Названное соединение синтезируют по методике, аналогичной методике, описанной в примере 465. Продукт очищают с помощью препаративной TLC в 10% метаноле в дихлорметане. Масс-спектр m/z (М+Н)+ 426.
Пример 498
7-(2,3-Дихлорфенил)-4,7-дигидро-6-(имидазо[1,5-а]пиридин-3-ил)-5-(метоксиметил)пиразол[1,5-а]пиримидин

Названное соединение синтезируют по методике, аналогичной методике примера 497. Масс-спектр m/z (M+H)+ 426.
Пример 499
7-(3,4-Дихлорфенил)-6-(5-фтор-1-метил-1Н-бензимидазол-2-ил)-4,7-дигидро-5-(метоксиметил)пиразол[1,5-а]пиримидин

Исходя из соединения 6 из примера 484 полученное соединение синтезируют по методике, аналогичной методике примера 470. МС m/z (M+H)+ 458. Названное соединение может быть выделено в чистой хиральной форме с помощью препаративной хиральной HPLC (Chiralpak AD 5 см ×50 см колонка элюируют 25% изопропанол в гексане с 0,1% TEA при 50 мл/мин, УФ определение при 254 нм). Более быстро элюируется изомер (пример 503), который представляет собой энантиомер А (HPLC время сохранения 6,8 мин., 4,6×250 мм Chiralpak AD колонка элюируют 25% изопропанолом, гексаном с 0,1% триэтиламином при 1 мл/мин, УФ определение при 220 нм) и медленно элюируется изомер (пример 504), который представляет собой энантиомер В (HPLC время сохранения 12,0 мин., 4,6×250 мм Chiralpak AD колонка элюируют 25% изопропанолом, гексаном с 0,1% триэтиламином при 1 мл/мин, УФ определение при 254 нм).
Примеры 500-504
Последующие соединения по примерам синтезированы по методике, аналогичной методике примера 499.
| Пример |
Структура |
Название |
Масс спектр |
| 500 |
 |
7-(2,3-Дихлорфенил)-6-(4-фтор-1 -метил-1Н-бензимидазол-2-ил)-4,7-дигидро-5-(метоксиметил)пиразол[1,5-а]пиримидин |
458 (M+H)+ |
| 501 |
 |
7-(3,4-Дихлорфенил)-6-(4-фтор-1 -метил-1Н-бензимидазол-2-ил)-4,7-дигидро-5-(метоксиметил)пиразол[1,5-а]пиримидин |
458 (M+H)+ |
| 502 |
 |
7-(2,3-Дихлорфенил)-6-(5-фтор-1-метил-1Н-бензимидазол-2-ил)-4,7-дигидро-5-(метоксиметил)пиразол[1,5-а]пиримидин |
458 (M+H)+ |
| 503 |
 |
7-(3,4-Дихлорфенил)-6-(5-фтор-1-метил-1Н-бензимидазол-2-ил)-4,7-дигидро-5-(метоксиметил)пиразол[1,5-а]пиримидин, энантиомер А |
458 (М+Н) |
| 504 |
 |
7-(3,4-Дихлорфенил)-6-(5-фтор-1-метил-1Н-бензимидазол-2-ил)-4,7-дигидро-5-(метоксиметил)пиразол[1,5-а]пиримидин, энантиомер В |
458 (М+Н) |
Пример 505
7-(3,4-Дихлорфенил)-4,7-дигидро-5-фенил-N-(3-фенилпропил)пиразол[1,5-а]пиримидин-6-карбоксамид

Схема

THF=ТГФ
Синтез 1. Раствор безойной кислоты (3,05 г, 25 ммоль) в тетрагидрофуране (25 мл) обрабатывают CDI (4,05 г, 25 ммоль) при температуре окружающей среды. В отдельной колбе генерируют литийдиизопропиламид при -78°С при обработке раствора тетрагидрофурана (40 мл), диизопропиламина (10,6 мл, 76,0 ммоль) с 2,5 М н-бутиллитием в гексане (30 мл, 75,0 ммоль). По каплям добавляют трет-бутилацетат и реакцию перемешивают при -78°С в течение 1 часа. Енолат переносят при -78°С к перемешиваемому раствору имидазолилбензоата, полученному ранее. Полученный раствор охлаждают до -78°С. После добавления енолата образуется густая суспензия, которая разрушается при встряхивании. Реакционной смеси дают перемешиваться в течение 1 часа при -78°С. Добавляют 1N водный раствор соляной кислоты, пока рН не станет равной 4. Реакционной смеси дают нагреться до температуры окружающей среды при перемешивании. Реакционную смесь экстрагируют диэтиловьм эфиром. Объединенные органические слои промывают водным раствором IN соляной кислоты, водным раствором 10% гидрокарбоната натрия, насыщенным водным раствором хлорида натрия, сушат над сульфатом магния и фильтруют. Растворитель удаляют, что дает 1 (5.0 г, 91%) в виде масла.
Синтез 2. Соединение 2 синтезируют по методике, аналогичной методике получения соединения 5 в примере 484.
Синтез 3. Соединение 3 синтезируют по методике, аналогичной методике получения соединения 6 в примере 484.
Синтез 4. Указанное соединение синтезируют по методике, аналогичной методике получения соединения 7 в примере 484. Масс спектр m/z (M+H)+ 503.
Примеры 506-509
Последующие соединения по примерам 506-509 синтезированы по методике, аналогичной методике примера 505.
| Пример |
Структура |
Название |
Масс спектр |
| 506 |
 |
1-[[7-(3,4-Дихлорфенил)-4,7-дигидро-5-фенилпиразол[1,5-а]пиримидин-6-ил]карбонил]-4-(4-фторфенил)пиперазин |
448 (М+H)+ |
| 507 |
 |
1-[[7-(3,4-Дихлорфенил)-4,7-дигидро-5-фенилпиразол[1,5-а]пиримидин-6-ил]карбонил] пиперидин |
459 (М+H)+ |
| 508 |
 |
(2S)-1-[[7-(3,4-Дихлорфенил)-4,7-дигидро-5-фенилпиразол [1,5-а]пиримидин-6-ил]карбонил]-2-метоксиметил)пирролидин |
483 (M+H)+ |
| 509 |
 |
7-(3,4-Дихлорфенил)-4,7-дигидро-5-фенил-N,N-дипропилпиразол[1,5-а]пиримидин-6-карбоксамид |
475 (М+Н) |
Пример 510
1-[[7-(3,4-Дихлорфенил)-4,7-дигидро-5-метилпиразол[1,5-а]пиримидин-6-ил]карбонил]-2-фенилпиразолидин

Схема:

Получение 3. К раствору дигидропиримидиновой кислоты 1 (0,336 г, 1 ммоль) в дихлорметане (10 мл) добавляют 1-фенилпиразолидин 2 (0,215 г, 1,5 ммоль, используя методику получения, описанную в Tempahedron, 1973,29,4045), а затем 1-[3-(диметиламино)пропил]-3-этилкарбодиимид гидрохлорид (0,278 г, 1,5 ммоль) и смесь перемешивают при комнатной температуре в течение 2 часов. Растворитель упаривают и остаток очищают с помощью хроматографии на силикагеле, элюируют этилацетатом, что дает соединение 3 (0,184 г, 39%) в виде белого порошка. (М+Н)+=455.
Пример 511
6-(1-Хлор-6,7-дигидро-5Н-пирроло[1,2-с]имидазол-3-ил)-7-(3,4-дихлорфенил)-4,7-дигидро-5-метилпиразол[1,5-а]пиримидин

Схема:

Получение В. При 20°С EDCI (100 мг, 0,52 ммоль) добавляют к перемешиваемой суспензии карбоновой кислоты А (120 мг, 0,37 ммоль) в CH2Cl2. Через 5 минут добавляют амид пролина (60 мг, 0,52 ммоль) и реакционную смесь перемешивают при температуре окружающей среды в течение 3 часов. Полученную желтую суспензию концентрируют при пониженном давлении, растворяют в 2 мл ацетона и наносят непосредственно на препаративную силикагельую TLC пластину (20×20 см, 1 мм толщина, 254 нм УФ индикатор), элюируя 10% МеОН в CH2Cl2. Продукт В выделяют в виде диастареоизомера в соотношении 1:1 (79 мг, 50% выход, в виде бледного желтого стекловидного вещества.) HPLC: Rt 2,61 и 2,80 мин. (YMC S5 ODS 4,6×50 мм на Ballistic колонке) 10-90% МеОН/вода с 0,2% РРА линейным градиентом более 4 мин., 4 мл/мин., УФ определено при 220 нм. LCMS: Rt 2,63 и 2,81 мин. (YMC S5 ODS 4,6×50 мм на Ballistic колонке) 10-90% МеОН/вода с 0,1% TFA линейный градиент более 4 мин., 4 мл/мин., УФ определено при 220 нм. Масс спектр m/z (М+H)+ 420.
Получение С. Оксихлорид фосфора (4 мл) добавляют к диастареоизомерам В (190 мг, 0,46 ммоль). Суспензию нагревают до 100°С в течение 12 часов, после чего осадок растворяют до образования раствора оранжевого цвета. Охлажденную реакционную смесь выливают осторожно в насыщенный раствор К2СО3 (примерно 20 мл) и экстрагируют с EtOAc (3×30 мл). Объединенные органические части сушат над Na2SO4, декантируют, а затем концентрируют с образованием оранжевого масла, которое очищают непосредственно препаративной HPLC: Rt 28,40 мин. (YMC S5 ODS 30×250 мм колонка с обращенной фазой С 18) 30-90% МеОН/вода с 0,1% TFA линейным градиентом более 30 мин., 25 мл/мин., УФ определено при 220 нм. Продукт С (96 мг, 51% выход) получают в виде свободного основания после удаления МеОН из HPLC фракции, добавления 1,0 M NaOH и экстрагирования в CH2Cl2 (3×30 мл). Энантиомеры отделяются хиральной препаративной HPLC: Rt 42,4 и 59,0 мин. (Хиральная Pak OD 50×500 мм колонка с нормальной фазой) 15% EtOH/гексан Isocratic, 50 мл/мин., УФ определено при 220 нм. Оба энантиомера выделены как бледные желтые порошки (34 мг энантиомера А и 38 мг энантиомера В). Хиральная HPLC энантиомер В: (Хиральная Pak OD 4,6×250 мм колонка с нормальной фазой) 15% EtOH/гексан Isocratic, 2 мл/мин., УФ определено при 220 нм 100% ее. Хиральная HPLC энантиомер А: RТ 4,94 мин. (Хиральная Pak OD 4,6×250 мм колонка с нормальной фазой) 15% EtOH/гексан Isocratic, 2 мл/мин., УФ определено при 220 нм 100% ее.
Пример 512
7-(3,4-Дихлорфенил)-4,7-дигидро-5-метил-6-(1-метил-1Н-тиено[3,4-d]имидазол-2-ил)пиразол[1,5-а]пиримидин

Схема:

reflux=нагревание при кипении с обратныи холодильником,
DMF=ДМФА
Получение соединения 1, как описано в примере 16.
Получение соединения 2. К суспензии кислоты (152,9 мг, 0,47 ммоль) в 5 мл безводного дихлорметана добавляют трихлорацетонитрил (57,0 мкл, 0,67 ммоль) и трифенилфосфин (186,2 мг, 0,71 ммоль). Смесь становится прозрачной и ей дают перемешиваться при комнатной температуре в течение 1 часа. Реакционную смесь переносят в раствор 3,4-диаминотиофена гидрохлорида (88,5 мг, 0,47 ммоль) и триэтиламина (198,0 мкл, 1,42 ммоль) в 5 мл дихлорметана. Реакцию анализируют, используя TLC или LC/MS. После завершения взаимодействия реакционную смесь загружают непосредственно на силикагель и элюируют 5% метанол/дихлорметаном с выходом желаемого амида в виде белого твердого вещества (132,3 мг, 67%).
Получение соединения 3. Суспензию полученного амида (107 мг, 0,25 ммоль) и пентахлорида фосфора (53,1 мг, 0,25 ммоль) в хлороформе (20 мл) нагревают при кипячении с обратным холодильником в атмосфере сухого аргона в течение 5 часов, после чего смеси дают охладиться до комнатной температуры, затем ее перемешивают в течение ночи. Растворитель удаляют при пониженном давлении и остаток вновь охлаждают в этилацетате и быстро промывают насыщенным водным раствором гидрокарбоната натрия. Органический слой отделяют, сушат над сульфатом натрия, а затем концентрируют, что дает сырой тиеноимидазол, который очищают с помощью флэш-хроматографии, используя 100% этилацетат, что дает коричневое твердое вещество (73 мг, 71%).
Получение соединения 4. К раствору тиеноимидазола (22,4 мг, 0,06 ммоль) в 2 мл безводного ДМФА добавляют йодметан (4,5 мкл, 0,07 ммоль) и карбонат калия (15,4 мг, 0,11 ммоль). Смеси дают перемешиваться при комнатной температуре в течение ночи. Реакцию захолаживают, используя метанол. Смесь разбавляют этилацетатом, промывают 10% LiCl (3×10 мл) и рассолом (10 мл). Органический слой отделяют, сушат над сульфатом натрия, а затем концентрируют, что дает остаток, который в дальнейшем очищают, используя флэш-хроматографию (5% МеОН/этилацетат) и (6% МеОН/хлороформ), что дает названное соединение в виде белого твердого вещества (4,5 мг, 20%).
Пример 513
7-(3,4-Дихлорфенил)-4,7-дигидро-5-метил-6-(4-метил-4Н-имидазо[3,4-d] [1,2,5]тиадиазол-5-ил)пиразол[1,5-а]пиримидин

Схема:

reflux=нагревание при кипении с обратным холодильником,
DMF=ДМФА
Получение соединения 5. К суспензии кислоты (120 мг, 0,37 ммоль) в 5 мл безводного дихлорметана добавляют трихлорацетонитрил (55,9 мкл, 0,56 ммоль) и трифенилфосфин (146,2 мг, 0,56 ммоль). Смесь становиться прозрачной и ей дают перемешиваться при комнатной температуре в течение 1 часа. Реакционную смесь переносят в раствор 3,4-диамино-1,2,5-тиадиазола (51,7 мг, 0,45 ммоль, полученного в соответствии с J. Heterocycl. Chem. 1976, 13, 13) и триэтиламина (103,6 мкл, 0,74 ммоль) в 5 мл дихлорметана. Реакцию анализируют, используя TLC или LC/MS. После завершения взаимодействия реакционную смесь загружают непосредственно на силикагель и элюируют 50% этилацетатом/гексаном с выходом желаемого амида в виде желтого твердого вещества (56,4 мг, 30%).
Получение соединения 6. Суспензию полученного амида (80 мг, 0,19 ммоль) и пентахлорида фосфора (79 мг, 0,38 ммоль) в хлороформе (10 мл) перемешивают при комнатной температуре в атмосфере сухого аргона в течение одного часа и затем нагревают до кипячения в колбе с обратным холодильником в течение 2 часов. Смеси дают охладиться до комнатной температуры и растворитель удаляют при пониженном давлении. Остаток вновь растворяют в этилацетате и быстро промывают насыщенным водным раствором гидрокарбоната натрия. Органический слой отделяют, сушат над сульфатом натрия, а затем концентрируют, что дает сырой тиодиазоимидазол, который очищают с помощью флэш-хроматографии, используя 80% этилацетат/гексан, что дает желтое твердое вещество (29 мг, 38%).
Получение соединения 7. К раствору тиадиазоимидазола (29 мг, 0,07 ммоль) в 2 мл безводного ДМФА добавляют йодметан (4,9 мкл, 0,08 ммоль) и карбонат калия (19,9 мг, 0,14 ммоль). Смеси дают перемешиваться при комнатной температуре в атмосфере сухого аргона в течение 3 часов. Реакцию захолаживают, используя метанол, разбавляют этилацетатом, промывают 10% LiCl (3×10 мл) и рассолом (10 мл). Органический слой отделяют, сушат над сульфатом натрия, а затем концентрируют, что дает остаток, который очищают, используя HPLC, что дает названное соединение в виде белого твердого вещества (1,6 мг, 5%).
Пример 514
7-(3,4-Дихлорфенил)-6-(1,6-дигидро-1,3,6-триметилимидазо[4,5-с]пиразол-5-ил)-4,7-дигидро-5-метилпиразол[1,5-а]пиримидин

Схема:

Получение соединения 8. К суспензии кислоты (150 мг, 0,46 ммоль) в 5 мл безводного дихлорметана добавляют трихлорацетонитрил (69,8 мкл, 0,70 ммоль) и трифенилфосфин (182,7 мг, 0,70 ммоль). Смесь становиться прозрачной и ей дают перемешиваться при комнатной температуре в течение 1 часа. Реакционную смесь переносят в раствор диаминопиразола (получают в соответвии с J. Med. Chem. 1995, 38, 3524) и триэтиламина (129,5 мкл, 0,93 ммоль) в 5 мл дихлорметана. Реакцию анализируют, используя TLC или LC/MS. После завершения взаимодействия реакционную смесь загружают непосредственно на силикагель и элюируют 10% метанолом/этилацетатом с выходом желаемого амида в виде белого твердого вещества.
Получение соединения 9. Суспензию полученного амида (39,5 мг, 0,09 ммоль) в оксихлориде фосфора (10 мл) перемешивают при 80°С в атмосфере сухого аргона в течение ночи. Смеси дают охладиться до комнатной температуры и растворитель удаляют при пониженном давлении. Остаток вновь растворяют в этилацетате и быстро промывают насыщенным водным раствором гидрокарбоната натрия. Органический слой отделяют, сушат над сульфатом натрия, а затем концентрируют, что дает остаток, который очищают с помощью флэш-хроматографии, используя 10% метанол/дихлорметан, что дает желаемый продукт в виде светло-коричневого твердого вещества (13,9 мг, 37%).
Пример 515
1-[[7-(3,4-Дихлорфенил)-4,7-дигидро-5-метил-2-(трифторметил)пиразол[1,5-a]пиримидин-6-ил]карбонил]-2-(2-тиенил)пирролидин

Схема:

Получение соединения 1, как описано в примере 17.
Получение соединения 3. К суспензии полистирола, с нанесенным HOBt реагентом (5,2 г, 8,0 ммоль) в 100 мл безводного дихлорметана, в реакционном сосуда которого на дне находится фриттовый стеклянный фильтр, добавляют кислоту (4,7 г, 12,0 ммоль), 1-[3-(диметиламино)пропил]-3- этилкарбодиимид гидрохлорид (2,3 г, 12,0 ммоль) и 4-диметиламинопиридин (98 мг, 0,8 ммоль). Смесь встряхивают, используя орбитальный вибратор в течение 3 часов при комнатной температуре. Растворитель отсасывают через фильтрацию и смолу промывают безводным ДМФА (3×30 мл), безводным ТГФ (3×30 мл) и безводным дихлорметаном (3×30 мл). Смоле, на которую нанесен активированный эфир, дают высохнуть в вакууме в течение ночи. Общий выход определяют, основываясь на прибавке массы, что сставляет 84%.
Получение соединения 4. Смолу, содержащую НОВтрет-активированный эфир (58 мг, 0,05 ммоль) помещают в резервуар, в который вливают 2-(2′-тиенил)пирролидин (80 мкл 0,5 М, 0,04 ммоль). Суспензию встряхивают при комнатной температуре в течение 3 часов и затем добавляют полистирол с нанесенным изоцианатовым реагентом (83 мг, 0,08 ммоль) и суспензию встряхивают еще в течение 2 часов. Растворитель удаляют через фильтрирование и смолу промывают дихлорметаном (2×0,5 мл). Все фильтраты объединяют, а затем концентрируют при пониженном давлении, что дает желаемый продукт в виде белого твердого вещества (18 мг). 100% очистку продукта контролируют, используя LC/MS, т/г становится 527.
Примеры 516-587
Последующие соединения синтезированы по методике, аналогичной методике примера 515. Указанные соединения, которые имели плохую очистку, очищают, используя препаративную HPLC, что дает соответствующие желаемые продукты.
| Пример |
Структура |
Название |
Масс спектр |
| 516 |
 |
1-[[7-(3,4-Дихлорфенил)-4,7-дигидро-5-метил-2-(трифторметил)пиразол[1,5-а]пиримидин-6-ил]карбонил]-2-(4-метоксифенил)пирролидин |
551 (M+H)+ |
| 517 |
 |
1-[[7-(3,4-Дихлорфенил)-4,7-дигидро-5-метил-2-(трифторметил)пиразол[1,5-а]пиримидин-6-ил]карбонил]-2-(3-фуранил)пирролидин |
511 (M+H)+ |
| 518 |
 |
1-[[7-(3,4-Дихлорфенил)-4,7-дигидро-5-метил-2-(трифторметил)пиразол[1,5-а]пиримидин-6-ил]карбонил]-2-(2-пиридинил)пирролидин |
522 (M+H)+ |
| 519 |
 |
1-[[7-(3,4-Дихлорфенил)-4,7-дигидро-5-метил-2-(трифторметил)пиразол[1,5-а]пиримидин-6-ил]карбонил]-2-(4пиридинил)пирролидин |
535 (М+Н) |
| 520 |
 |
1-[[7-(3,4-Дихлорфенил)-4,7-дигидро-5-метил-2-(трифторметил)пиразол[1,5-а]пиримидин-6-ил]карбонил]-2-(фенилметил)пирролидин |
535 (М+Н) |
| 521 |
 |
1-[[7-(3,4-Дихлорфенил)-4,7-дигидро-5-метил-2-(трифторметил)пиразол[1,5-а]пиримидин-6-ил]карбонил]-2-(2-метоксифенил)пирролидин |
551 (М+Н) |
| 522 |
 |
1-[[7-(3,4-Дихлорфенил)-4,7-дигидро-5-метил-2-(трифторметил)пиразол[1,5-а]пиримидин-6-ил]карбонил]-2-(2-фенилэтил)пирролидин |
549 (М+Н) |
| 523 |
 |
7-(3,4-Дихлорфенил)-N-(2,3-диметилциклогексил)-4,7-дигидро-5-метил-2-(трифторметил)пиразол[1,5-а]пиримидин-6-карбоксамид |
501 (М+Н) |
| 524 |
 |
7-(3,4-Дихлорфенил)-4,7-дигидро-5-метил-N-[1-(1-нафталенил)этил]-2-(трифторметил)пиразол[1,5-а]пиримидин-6-карбоксамид |
545 (М+Н) |
| 525 |
 |
7-(3,4-Дихлорфенил)-4,7-дигидро-5-метил-N-[2-(1-пиперидинил)этил]-2-(трифторметил)пиразол[1,5-а]пиримидин-6-карбоксамид |
502 (М+Н) |
| 526 |
 |
7-(3,4-Дихлорфенил)-N-(2,2-дифенилэтил)-4,7-дигидро-5-метил-2-(трифторметил)пиразол[1,5-а]пиримидин-6-карбоксамид |
571 (М+Н) |
| 527 |
 |
N-[2-(1-Циклогексен-1-ил)этил]-7-(3,4-дихлорфенил)-4,7-дигидро-5-метил-2-(трифторметил)пиразол[1,5-а]пиримидин-6-карбоксамид |
499 (М+Н) |
| 528 |
 |
7-(3,4-Дихлорфенил)-4,7-дигидро-5-метил-N-[2-(фенилтио)этил]-2-(трифторметил)пиразол[1,5-а]пиримидин-6-карбоксамид |
527 (М+Н) |
| 529 |
 |
N-(1,1′-Бициклогексил]-2-ил)-7-(3,4-дихлорфенил)-4,7-дигидро-5-метил-2-(трифторметил)пиразол[1,5-а]пиримидин-6-карбоксамид |
555 (М+Н) |
| 530 |
 |
7-(3,4-Дихлорфенил-N-[[(2,6-дихлорфенил)метил]тио]этил]-4,7-дигидро-5-метил-2-(трифторметил)пиразол[1,5-а]пиримидин-6-карбоксамид |
610 (М+Н) |
| 531 |
 |
N-[(2-Хлор-6-метилфенил)метил]-7-(3,4-дихлорфенил)-4,7-дигидро-5-метил-2-(трифторметил)пиразол[1,5-а]пиримидин-6-карбоксамид |
629 (М+Н) |
| 532 |
 |
N(-(Бицикло[2.2.1]гептан-2-ил)-7-(3,4-дихлорфенил)-4,7-дигидро-5-метил-2-(трифторметил)пиразол[1,5-а]пиримидин-6-карбоксамид |
485 (М+Н) |
| 533 |
 |
N-Циклобутил-7-(3,4-дихлорфенил)-4,7-дигидро-5-метил-2-(трифторметил)пиразол[1,5-а]пиримидин-6-карбоксамид |
445 (М+Н) |
| 534 |
 |
N-Циклопентил-7-(3,4-дихлорфенил)-4,7-дигидро-5-метил-2-(трифторметил)пиразол[1,5-а]пиримидин-6-карбоксамид |
458 (М+Н) |
| 535 |
 |
N-Циклогексил-7-(3,4-дихлорфенил)-4,7-дигидро-5-метил-2-(трифторметил)пиразол[1,5-а]пиримидин-6-карбоксамид |
473 (М+Н) |
| 536 |
 |
7-(3,4-Дихлорфенил)-4,7-дигидро-5-метил-N-(2-метилциклогексил)-2-(трифторметил)пиразол[1,5-а]пиримидин-6-карбоксамид |
487 (М+Н) |
| 537 |
 |
N-(Циклогексилметил)-7-(3,4-дихлорфенил)-4,7-дигидро-5-метил-2-(трифторметил)пиразол[1,5-а]пиримидин-6-карбоксамид |
487 (М+Н) |
| 538 |
 |
N-(2-Цианоэтил)-7-(3,4-дихлорфенил)-4,7-дигидро-N,5-диметил-2-(трифторметил)пиразол[1,5-а]пиримидин-6-карбоксамид |
458 (М+Н) |
| 539 |
 |
7-(3,4-Дихлорфенил)-4,7-дигидро-5-метил-N-[2-(1-метил-2-пирролидинил)этил]-2-(трифторметил)пиразол[1,5-а]пиримидин-6-карбоксамид |
502 (М+Н) |
| 540 |
 |
7-(3,4-Дихлорфенил)-N-[(1-этил-2-пирролидинил)метил]-4,7-дигидро-5-метил-2-(трифторметил)пиразол[1,5-а]пиримидин-6-карбоксамид |
502 (М+Н) |
| 541 |
 |
7-(3,4-Дихлорфенил)-4,7-дигидро-5-метил-N-[2-(1-пирролидинил)этил]-2-(трифторметил)пиразол[1,5-а]пиримидин-6-карбоксамид |
488 (М+Н) |
| 542 |
 |
N-Циклогексил-7-(3,4-дихлорфенил)-N-этил-4,7-дигидро-5-метил-2-(трифторметил)пиразол[1,5-а]пиримидин-6-карбоксамид |
501 (М+Н) |
| 543 |
 |
N-Циклогептил-7-(3,4-дихлорфенил)-4,7-дигидро-5-метил-2-(трифторметил)пиразол[1,5-а]пиримидин-6-карбоксамид |
487 (М+Н) |
| 544 |
 |
7-(3,4-Дихлорфенил)-4,7-дигидро-[(1S,2S)-1-(гидроксиметил)-2-метилбутил]-5-метил-2-(трифторметил)пиразол[1,5-а]пиримидин-6-карбоксамид |
491 (М+Н) |
| 545 |
 |
3-[[7-(3,4-Дихлорфенил)-4,7-дигидро-5-метил-2-(трифторметил)пиразол[1,5-а]пиримидин-6-ил]карбонил]тиазолидин |
463 (М+Н) |
| 546 |
 |
1-[[7-(3,4-Дихлорфенил)-4,7-дигидро-5-метил-2-(трифторметил)пиразол[1,5-а]пиримидин-6-ил]карбонил] пирролидин |
445 (М+Н) |
| 547 |
 |
7-(3,4-Дихлорфенил)-4,7-дигидро-5-метил-N-(2-тиенилметил)-2-(трифторметил)пиразол[1,5-а]пиримидин-6-карбоксамид |
487 (М+Н) |
| 548 |
 |
1-[[7-(3,4-Дихлорфенил)-4,7-дигидро-5-метил-2-(трифторметил)пиразол[1,5-а]пиримидин-6-ил]карбонил]-4-метилпиперазин |
474 (М+Н) |
| 549 |
 |
8-[[7-(3,4-Дихлорфенил)-4,7-дигидро-5-метил-2-(трифторметил)пиразол[1,5-а]пиримидин-6-ил]карбонил]-1,4-диокса-8-азаспиро[4.5]декан |
517 (М+Н) |
| 550 |
 |
1-[[7-(3,4-Дихлорфенил)-4,7-дигидро-5-метил-2-(трифторметил)пиразол[1,5-а]пиримидин-6-ил]карбонил]-4-(фенилметил)пиперидин |
549 (М+Н) |
| 551 |
 |
7-(3,4-Дихлорфенил)-4,7-дигидро-5-метил-N-[4-(4-морфолинил)фенил]-2-(трифторметил)пиразол[1,5-а]пиримидин-6-карбоксамид |
552 (М+Н) |
| 552 |
 |
7-(3,4-Дихлорфенил)-4,7-дигидро-5-метил-N-[3-(4-морфолинил)пропил]-2-(трифторметил)пиразол[1,5-а]пиримидин-6-карбоксамид |
518 (М+Н) |
| 553 |
 |
7-(3,4-Дихлорфенил)-4,7-дигидро-N,5-диметил-N-[2-(2-пиридинил)этил]-2-(трифторметил)пиразол[1,5-а]пиримидин-6-карбоксамид |
510 (М+Н) |
| 554 |
 |
7-(3,4-Дихлорфенил)-N-(2,3 -дигидро-1,4-бензодиоксин-6-ил)-4,7-дигидро-5-метил-2-(трифторметил)пиразол[1,5-а]пиримидин-6-карбоксамид |
525 (М+Н) |
| 555 |
 |
7-(3,4-Дихлорфенил)-4,7-дигидро-5-метил-N-(1-фенилэтил)-2-(трифторметил)пиразол[1,5-а]пиримидин-6-карбоксамид |
495 (М+Н) |
| 556 |
 |
7-(3,4-Дихлорфенил)-4,7-дигидро-5-метил-N-(1-метилпропил)-2-(трифторметил)пиразол[1,5-а]пиримидин-6-карбоксамид |
447 (М+Н) |
| 557 |
 |
7-(3,4-Дихлорфенил)-4,7-дигидро-5-метил-N-(фенилметил)-2-(трифторметил)пиразол[1,5-а]пиримидин-6-карбоксамид |
481 (М+Н) |
| 558 |
 |
7-(3,4-Дихлорфенил)-N-[(2-фторфенил)метил]-4,7-дигидро-5-метил-2-(трифторметил)пиразол[1,5-а]пиримидин-6-карбоксамид |
499 (M+H) |
| 559 |
 |
N-[(2-Хлорфенил)метил]-7-(3,4-дихлорфенил)-4,7-дигидро-5-метил-2-(трифторметил)пиразол[1,5-а]пиримидин-6-карбоксамид |
515 (М+Н) |
| 560 |
 |
7-(3,4-Дихлорфенил)-N-[(4-фторфенил)метил]-4,7-дигидро-5-метил-2-(трифторметил)пиразол[1,5- а]пиримидин-6-карбоксамид |
499 (М+Н) |
| 561 |
 |
7-(3,4-Дихлорфенил)-4,7-дигидро-5-метил-N-(2-фенилэтил)-2-(трифторметил)пиразол[1,5-а]пиримидин-6-карбоксамид |
495 (М+Н) |
| 562 |
 |
N-[2-(4-Хлорфенил)этил]-7-(3,4-дихлорфенил)-4,7-дигидро-5-метил-2-(трифторметил)пиразол[1,5-а]пиримидин-6-карбоксамид |
530 (М+Н) |
| 563 |
 |
7-(3,4-Дихлорфенил)-4,7-дигидро-5-метил-N,N-бис(2-метилпропил)-2-(трифторметил)пиразол[1,5-а]пиримидин-6-карбоксамид |
503 (М+Н) |
| 564 |
 |
7-(3,4-Дихлорфенил)-N-[(3,4-дихлорфенил)метил]-4,7-дигидро-N,5-диметил-2-(трифторметил)пиразол[1,5-а]пиримидин-6-карбоксамид |
564 (М+Н) |
| 565 |
 |
N-[(2-Хлорфенил)метил]-7-(3,4-дихлорфенил)-4,7-дигидро-N,5-диметил-2-(трифторметил)пиразол[1,5-а]пиримидин-6-карбоксамид |
530 (М+Н) |
| 566 |
 |
7-(3,4-Дихлорфенил)-N-этил-4,7-дигидро-5-метил-N-(1-метилэтил)-2-(трифторметил)пиразол[1,5-а]пиримидин-6-карбоксамид |
461 (М+Н) |
| 567 |
 |
7-(3,4-Дихлорфенил)-4,7-дигидро-5-метил-N-(фенилметил)-N-пропил-2-(трифторметил)пиразол[1,5-а]пиримидин-6-карбоксамид |
523 (М+Н) |
| 568 |
 |
7-(3,4-Дихлорфенил)-4,7-дигидро-5-метил-N-[[4-(1-метилэтил)фенил]метил]-2-(трифторметил)пиразол[1,5-а]пиримидин-6-карбоксамид |
523 (М+Н) |
| 569 |
 |
7-(3,4-Дихлорфенил)-N-[2-[этил(3-этилфенил)амино]этил]-4,7-дигидро-5-метил-2-(трифторметил)пиразол[1,5-а]пиримидин-6-карбоксамид |
552 (М+Н) |
| 570 |
 |
N-(Циклопропилметил)-7-(3,4-дихлорфенил)-4,7-дигидро-5-метил-2-(трифторметил)пиразол[1,5-а]пиримидин-6-карбоксамид |
445 (М+Н) |
| 571 |
 |
7-(3,4-Дихлорфенил)-N-[2-(6-фтор-1Н-индол-3-ил)этил]-4,7-дигидро-5-метил-2-(трифторметил)пиразол[1,5-а]пиримидин-6-карбоксамид |
552 (М+Н) |
| 572 |
 |
N-[2-(Бутилэтиламино)этил]-7-(3,4-дихлорфенил)-4,7-дигидро-5-метил-2-(трифторметил)пиразол[1,5-а]пиримидин-6-карбоксамид |
518 (М+Н) |
| 573 |
 |
7-(3,4-Дихлорфенил)-4,7-дигидро-5-метил-N-[1-(фенилметил)-3-пирролидинил]-2-(трифторметил)пиразол[1,5-а]пиримидин-6-карбоксамид |
550 (М+Н) |
| 574 |
 |
7-(3,4-Дихлорфенил)-4,7-дигидро-5-метил-N-[[4-(трифторметокси)фенил]метил]-2-(трифторметил)пиразол[1,5-а]пиримидин-6-карбоксамид |
565 (М+Н) |
| 575 |
 |
7-(3,4-Дихлорфенил)-4,7-дигидро-5-метил-N-[[3-(трифторметокси)фенил]метил]-2-(трифторметил)пиразол[1,5-а]пиримидин-6-карбоксамид |
565 (М+Н) |
| 576 |
 |
7-(3,4-Дихлорфенил)-4,7-дигидро-5-метил-N-[(1R)-1-(1-нафталенил)этил]-2-(трифторметил)пиразол[1,5-а]пиримидин-6-карбоксамид |
545 (М+Н) |
| 577 |
 |
7-(3,4-Дихлорфенил)-4,7-дигидро-5-метил-N-[(1S)-1-(1-нафталенил)этил]-2-(трифторметил)пиразол[1,5-а]пиримидин-6-карбоксамид |
545 (М+Н) |
| 578 |
 |
N-[(1S)-1-Циклогексилэтил]-7-(3,4-дихлорфенил)-4,7-дигидро-5-метил-2-(трифторметил)пиразол[1,5-а]пиримидин-6-карбоксамид |
501 (М+Н) |
| 579 |
 |
7-(3,4-Дихлорфенил)-4,7-дигидро-5-метил-N-(трицикло[3.3.1.1<3,7]декан-1-илметил)-2-(трифторметил)пиразол[1,5-а]пиримидин-6-карбоксамид |
539 (М+Н) |
| 580 |
 |
7-(3,4-Дихлорфенил)-4,7-дигидро-5-метил-N-[(1R,2S,5R)-5-метил-2-(1-метилэтил)циклогексил]-2-(трифторметил)пиразол[1,5-а]пиримидин-6-карбоксамид |
511 (М+Н) |
| 581 |
 |
7-(3,4-Дихлорфенил)-4,7-дигидро-5-метил-N-[2-(4-феноксифенил)этил]-2-(трифторметил)пиразол[1,5-а]пиримидин-6-карбоксамид |
529 (М+Н) |
| 582 |
 |
7-(3,4-Дихлорфенил)-4,7-дигидро-5-метил-N-[[4-(1,2,3-тиадиазол-4-ил)фенил]метил]-2-(трифторметил)пиразол[1,5-а]пиримидин-6-карбоксамид |
565 (М+Н) |
| 583 |
 |
7-(3,4-Дихлорфенил)-4,7-дигидро-5-метил-N-(1-метил-1-фенилэтил)-2-(трифторметил)пиразол[1,5-а]пиримидин-6-карбоксамид |
509 (М+Н) |
| 584 |
 |
7-(3,4-Дихлорфенил)-4,7-дигидро-5-метил-N-[(5-метил-2-фуранил)метил]-2-(трифторметил)пиразол[1,5-а]пиримидин-6-карбоксамид |
584 (М+Н) |
| 585 |
 |
7-(3,4-Дихлорфенил)-N-[[(2S)-1-этил-2-пирролидинил]метил]-4,7-дигидро-5-метил-2-(трифторметил)пиразол[1,5-а]пиримидин-6-карбоксамид |
502 (М+Н) |
| 586 |
 |
7-(3,4-Дихлорфенил)-N-(4,6-диметил-2-пиридинил)-4,7-дигидро-5-метил-2-(трифторметил)пиразол[1,5-а]пиримидин-6-карбоксамид |
596 (М+Н) |
| 587 |
 |
7-(3,4-Дихлорфенил)-N-(1,1-диметилэтиловый)-4,7-дигидро-5-метил-2-(трифторметил)пиразол[1,5-а]пиримидин-6-карбоксамид |
447 (М+Н) |
Пример 588
1-[[7-(3,4-Дихлорфенил)-4,7-дигидро-5-метилпиразол[1,5-а]пиримидин-6-ил]карбонил]-2-(3-метил-1,2,4-оксадиазол-5-ил)пирролидин

Схема:

Синтез 3. Смесь N-(трет-бутоксикарбонил)-L-пролина 1 (0,5 г, 2,3 ммоль), гидроксиамидина 2 (0,172 г, 2,3 ммоль, получают, используя методику, раскрытую в J. Fluor. Chem. 1999, 95, 127) и гидрата 1-гидроксибензотриазола (0,323 г, 2,4 ммоль) в 22% диметилформамиде в дихлорметане (9 мл) перемешивают при комнатной температуре в течение 0,5 часов. Затем добавляют 1-[3-(диметиламино)пропил]-3-этилкарбодиимид гидрохлорида (0,757 г, 3,9 ммоль) и смесь перемешивают при комнатной температуре в течение еще 2 часов, когда HPLC показывает, что реакция завершена. Реакционную смесь разбавляют водой и экстрагируют дихлорметаном. Органический слой промывают последовательно насыщенным водным раствором гидрокарбоната натрия, насыщенным водным раствором хлорида натрия и сушат над сульфатом магния. Удаление растворителя приводит к получению белого твердого вещества с (М+Н)+ 272, постоянной для связанного продукта 3.
Получение 4. Твердое вещество 3 растворяют в тетрагидрофуране (17 мл), добавляют карбонат цезия (1,6 г) и смесь нагревают при 50-70°С в течение 18 часов, после чего HPLC показывает полное превращение 3. Реакционную массу разбавляют водой и экстрагируют этилацетатом. Органический слой сушат над сульфатом магния и упаривают, что дает светло-зеленое окрашенное масло, которое имеет (М+Н)+ 254, соответствующей желаемому оксадиазолу 4, который используют без дальнейшей очистки.
Синтез 5. К раствору 4 (0,288 г, 1,1 ммоль) в дихлорметане (9 мл) добавляют 0,9 мл трифторуксусной кислоты и раствор перемешивают при комнатной температуре в течение 18 часов, после чего HPLC показывает отсутствие 4. Реакционную смесь концентрируют и остаток очищают с помощью ионообменной хроматографии (используя BioRad AG-50W-X2 смолу, 200-400 меш, H+-форма), элюируют 2N аммонием в метаноле, что дает со снятой защитой пирролидин 5 в виде масла (0,122 г,70%). (М+Н)+=154.
Синтез 6. К раствору дигидропиримидиновой кислоты (0,21 г, 0,65 ммоль) в дихлорметане (10 мл) добавляют пирролидин 5 (0,139 г, 0,9 ммоль), а затем 1-[3-(диметиламино)пропил]-3-этилкарбодиимид гидрохлорид (0,174 г, 0,9 ммоль) и реакционную массу перемешивают при комнатной температуре в течение 1,5 часов. Растворитель упаривают и остаток очищают с помощью хроматографии на силикагеле, элюируют этилацетатом, что дает два диастареоизомера: быстро движущийся, менее полярный диастареоизомер 1 и медленно движущийся, более полярный диастареоизомер 2, оба в виде белого аморфного твердого вещества с (М+H)+ 460.
Пример 589
1-[[7-(3,4-Дихлорфенил)-4,7-дигидро-5-метилпиразол[1,5-а]пиримидин-6-ил]карбонил]-2-(3-метил-1,2,4-оксадиазол-5-ил)пиперидин

Схема:

Синтез 4. Смесь (+/-) N-(трет-бутоксикарбонил)пипеколиновой кислоты 1 (0,8 г, 3,5 ммоль), 1-гидроксибензотриазол гидрата (1,14 г, 5,9 ммоль) и 1-[3-(диметиламино)пропил]-3-этилкарбодиимид гидрохлорид (0,49 г, 3,6 ммоль) в 22% диметилформамиде в дихлорметане (20 мл) перемешивают при комнатной температуре в течение 0,5 часов. Затем добавляют гидроксиамидин 2 (0,26 г, 3,5 ммоль, получают, используя методику, раскрытую в J. Fluor. Chem. 1999, 95, 127) и смесь перемешивают при комнатной температуре еще в течение 18 часов, когда HPLC показывает завершение реакции. Реакционную смесь разбавляют водой и экстрагируют дихлорметаном. Органический слой промывают последовательно насыщенным водным раствором гидрокарбоната натрия, насыщенным водным раствором хлорида натрия и сушат над сульфатом магния. Отгонка растворителя дает прозрачное масло с (М+Н)+ 285, соответствующую связанному продукту 3. Масло 3 растворяют в тетрагидрофуране (25 мл), добавляют карбонат цезия (2,5 г) и смесь нагревают при 50-70°С в течение 18 часов, после чего HPLC показывает полное превращение 3. Реакцию разбавляют водой и экстрагируют этилацетатом. Органический слой сушат над сульфатом магния и упаривают, что дает прозрачное масло, которое имеет (М+H)+ 267, соответствующую желаемому оксадиазолу 4, который используют без дальнейшей очистки.
Синтез 5. К раствору 4 (0,82 г, 3,1 ммоль) в дихлорметане (20 мл) добавляют 2 мл трифторуксусной кислоты и раствор перемешивают при комнатной температуре в течение 18 часов, после чего HPLC показывает отсутствие 4. Реакционную смесь концентрируют и остаток очищают с помощью ионообменной хроматографии (используя BioRad AG-50W-X2 смолу, 200-400 меш, в H+-форме), элюирование 2N аммонием в метанол, что дает пирролидин 5 со снятой защитой в виде масла (0,46 г, 89%). (М+Н)+=167.
Синтез названного соединения. К раствору дигидропиримидиновой кислоты (0,64 г, 2,0 ммоль) в дихлорметане (30 мл) добавляют пирролидин 5 (0,462 г, 2,8 ммоль), а затем 1-[3-(диметиламино)пропил]-3-этилкарбодиимид гидрохлорида (0,53 г, 2,8 ммоль) и реакционную массу перемешивают при комнатной температуре в течение 2,5 часов. Растворитель упаривают и остаток очищают с помощью хроматографии на силикагеле, этилацетат элюируют, что дает два диастареоизомера: незначительное количество и менее полярный диастареоизомер (диастареоизомер 1) и большее количество более полярного диастареоизомера (диастареоизомер 2), оба в виде белого аморфного твердого вещества с (M+H)+ 473.
Формула изобретения
1. Дигидропиримидиновые соединения формулы I*

его энантиомеры, диастереоизомеры и фармацевтически приемлемые соли,
где X1, X2 и X3 вместе с атомами, к которым они присоединены образуют кольцо

R1 представляет собой водород;
R2 представляет собой водород, низший алкил, моноциклический циклоалкил с 3-6 атомами углерода, моно- или бициклический арил, незамещенный или замещенный 1-3 заместителями, выбранными из галогена, низшего алкила, гидрокси, циано, нитро, низшего алкокси, необязательно замещенного фенилом, трифторметила, трифторметокси, фенокси, низшего алкоксикарбонила, пирродинила и амино, необязательно замещенного низшим алканоилом или низшими алкильными группами, 5-6-членную гетероциклическую или гетероарильную группу, содержащую 1-2 гетероатома, выбранных из атомов азота, кислорода и серы, необязательно конденсированную с бензольным кольцом и необязательно замещенную заместителем, выбранным из низшего алкила, необязательно замещенную гидрокси, низшего алкокси, галогена, пиразолилом, замещенным низшей алкильной группой, и трифторметилом;
R4 представляет собой низший алкил, необязательно замещенный низшим алкокси, трифторметил, циклогексил или фенил;
R5 представляет собой водород или группу -(CH2)nZ2, где Z2 выбран из низшего алкила, фенила, замещенного галогеном, трифторметила, циклопропила, низшего алкоксикарбонила, ди(низший алкил)амино и ди(низший алкил)аминокарбонила; n выбирают из целых чисел от 0 до 2;
R6 представляет собой водород, низший алкил, незамещенный или замещенный атомами галогена, низший алкенил, низший алканоил, бензоил, С3-4циклоалкилкарбонил, низший алкоксикарбонил, карбамоил, необязательно моно- или дизамещенный низшим алкилом, низший алкилсульфонил;
R7 представляет собой водород, низший алкил, фенил, трифторметил, циано, галоген, CO2Z5 или C(O)NZ5Z6;
Z5 представляет собой водород или низший алкил;
Z6 представляет собой водород, низший алкил, необязательно замещенный фенилом, или фенил, замещенный гидрокси, или
Z5 и Z6 вместе с атомом азота, к которому они присоединены, образуют пирролидиногруппу, замещенную низшим алкилом, который замещен пирролидиногруппой;
R3* представляет собой гетероциклическую группу, выбранную из оксазолила, оксадиазолила, бензимидазолила, бензотиазолила, имидазо[1,5-а]пиридинила, 6,7-дигидро-5Н-пирроло[1,2-с]имидазолила, 1-Н-тиено[3,4-d]имидазолила, 4Н-имидазо[4,5-с][1,2,5]тиадиазолила и 1,6-дигидро-1Н-имидазо[4,5-с]пиразолила, которая может быть замещена 1-3 заместителями, выбранными из низшего алкила, необязательно замещенного фенилом, галогена, трифторметила, нитро и фенила; или
R3* представляет собой группу C(O)NZ5*Z6*,
где Z5* представляет собой низший алкил, замещенный 1-2 заместителями, выбранными из гидрокси, низшего алкокси, циано, низшего алкоксикарбонила, фенокси, фенилтио, низшего алкилтио, замещенного фенильной группой, которая замещена атомами галогена, аминогруппы, замещенной 1-2 группами, выбранными из низшего алкила и фенила, необязательно замещенного галогеном или низшим алкилом, моноциклического циклоалкила или циклоалкенила с 3-6 атомами углерода или трицикло[3.3.1.13,7]децила, моно- или бициклического арила, незамещенного или замещенного 1-2 заместителями, выбранными из низшего алкила, низшего алкокси, галогена, фенокси, трифторметокси, трифторметилтио и 1,2,3-тиадиазолила, 5-6-членной моноциклической, гетероциклической или гетероарильной группы, содержащей 1-2 гетероатома, выбранных из атомов азота, кислорода и серы, необязательно замещенной низшей алкильной группой или оксогруппой, бициклической 9-членной гетероарильной группы, содержащей гетероатом азота, которая замещена галогеном; моно- или бициклический арил, незамещенный или замещенный морфолиногруппой; 3-12-членную насыщенную или частично ненасыщенную карбоциклическую группу, которая может быть замещена 1-2 низшими алкильными группами или фенилом, пиридил, незамещенный или замещенный 2 низшими алкильными группами; 2,3-дигидробензо-1,4-диоксанил; пирролидинил, замещенный фенил(низшим алкилом) или низшим алкоксиалкилом; азепанил;
Z6* представляет собой водород, низший алкил, который может быть замещен низшим алкокси, низшим алкоксикарбонилом или фенилом;
или Z5*HZ6* вместе с атомом азота, к которому они присоединены, образуют насыщенную или частично ненасыщенную моноциклическую, или бициклическую, или трициклическую гетероциклическую группу, содержащую от 3 до 13 атомов, в том числе 1-3 гетероатома, выбранных из атомов азота, кислорода и серы, которая является незамещенной или замещенной 1-2 заместителями, выбранными из низшего алкила, необязательно замещенного 1 -3 заместителями, представляющими собой гидрокси, фенил, необязательно замещенный галогеном, низший алкокси, необязательно замещенный низшим алкокси, фенокси, необязательно замещенный галогеном, аминогруппу, моно- или дизамещенную низшей алкильной группой или фенилом, который может быть замещен низшими алкильными группами, бензодиоксолил, пирролидинил и бензимидазолил; фенила, необязательно замещенного 1-2 заместителями, представляющими собой низший алкил, галоген, низший алкокси, низший алканоил, трифторметил, нитро, низший алкоксикарбонил, необязательно замещенный фенилом, пиримидинил, пиридил; флуоренила или циклогексила; карбоксила или низшего алкоксикарбонила, необязательно замещенного фенилом; гетероарила, выбранного из пиридила, тиенила, фурила, оксадиазола, необязательно замещенного низшим алкилом, бензимидазолила, замещенного оксогруппой; гидрокси или оксогруппы; нитро; аминогруппы, моно- или дизамещенной низшей алкильной группой, низшим алканоилом или низшим алкоксикарбонилом; фенокси, необязательно замещенного низшей алкоксигруппой; карбамоила, необязательно замещенного 1 или 2 группами, выбранными из низшего алкила или нафтила; безоильной группы, замещенной низшей алкоксигруппой; группы -С(O)(гетероцикло), где гетероцикло представляет собой, пиридил, фурил или пиперидил, или группы -С(O)стирил; группы – SO2(С6-10арил), необязательно замещенной низшим алкилом или трифторметокси; группы – SO2(гетероарил), замещенной 1-2 атомами галогена, где гетероарил представляет собой тиенил или бензотиенил;
при условии, что Z5* и Z6* не образуют вместе незамещенный пиперидинил, незамещенный пирролидинил или незамещенный морфолинил.
2. Соединение по п.1, у которого R4 представляет собой низший алкил или низший алкил, замещенный низшим алкокси.
3. Соединение по п.1, у которого
R1 представляет собой водород;
R2 представляет собой арил или замещенный арил или гетероциклическую группу или замещенную гетероциклическую группу, определенные в п.1;
R4 представляет собой низший алкил или низший алкил, замещенный низшим алкокси, или трифторметил;
R5 представляет собой водород, -(CH2)n-Z2, где Z2 выбран из низшего алкила, трифторметила, циклопропила, низшего алкоксикарбонила, ди(низший алкил)амино и ди(низший алкил)аминокарбонила и n равно 0-2; и
R7 представляет собой низший алкил.
4. Соединение по п.1, у которого
R1 представляет собой водород;
R2 представляет собой фенил, фенил, замещенный 1-3 заместителями, указанными в п.1, гетероциклическую группу или замещенную гетероциклическую, определенную в п.1;
R4 представляет собой низший алкил или низший алкил, замещенный низшим алкокси;
R5 представляет собой водород, низший алкил или низший алкил, замещенный фенилом, замещенным галогеном; трифторметилом, циклопропилом, низшим алкоксикарбонилом, ди(низший алкил)амино и ди(низший алкил)аминокарбонилом; и
R7 представляет собой низший алкил, -CO2(низший алкил), -CF3, -CN, F или Cl.
5. Соединение по п.4, у которого
R1 представляет собой водород;
R2 представляет собой фенил или замещенный, как указано в п.1, фенил гетероциклическую группу или замещенную гетероциклическую группу, определенную в п.1;
R4 представляет собой низший алкил или алкил, замещенный низшим алкокси;
R5 представляет собой водород, или низший алкил,
R7 представляет собой низший алкил.
6. Соединение по п.5, у которого
R1 представляет собой водород;
R2 представляет собой фенил, замещенный 1-3 заместителями, указанными в п.1, или гетероциклическую группу, определенную в п.1, замещенную заместителями, указанными в п.1;
R4 представляет собой низший алкил или низший алкил, замещенный низшим алкокси;
R5 представляет собой водород, низший алкил или низший алкил, замещенный заместителями, указанными в п.1; и
R7 представляет собой низший алкил, -CO2 (низший алкил), -CF3, -CN, F или Cl.
7. Соединение по п.1, представляющее собой
7-(3,4-Дихлорфенил)-4,7-дигидро-5-метил-6-(5-фенил-2-оксазолил)пиразол[1,5-а]пиримидин;
7-(3,4-Дихлорфенил)-4,7-дигидро-5-метил-6-(5-фенил-1,3,4-оксадиазол-2-ил)пиразол[1,5-а]пиримидин;
6-(1Н-Бензимидазол-2-ил)-7-(3,4-дихлорфенил)-4,7-дигидро-5-метилпиразол[1,5-а]пиримидин
7-(3,4-Дихлорфенил)-4,7-дигидро-5-метил-6-(1-метил-1Н-бензимидазол-2-ил)пиразол[1,5-а]пиримидин;
7-(3,4-Дихлорфенил)-4,7-дигидро-5-метил-6-[5-(трифторметил)-1-пропил-1Н-бензимидазол-2-ил]пиразол[1,5-а]пиримидин;
6-(5-Бутил-1,3,4-оксадиазол-2-ил)-7-(3,4-дихлорфенил)-4,7-дигидро-5-метилпиразол[1,5-а]пиримидин;
1-[[7-(2,3-Дихлорфенил)-4,7-дигидро-5-метил-6-(1-метил-1Н-бензимидазол-2-ил)пиразол[1,5-а]пиримидин;
7-(3,4-Дихлорфенил)-4,7-дигидро-6-(имидазо[1,5-а]пиридин-3-ил)-5-метилпиразол[1,5-а]пиримидин;
7-(3,4-Дихлорфенил)-6-(1-этил-5-нитро-1Н-бензимидазол-2-ил)-4,7-дигидро-5-метилпиразол[1,5-а]пиримидин;
6-[5-Хлор-1-(1-метилэтил)-1Н-бензимидазол-2-ил]-7-(3,4-дихлорфенил)-4,7-дигидро-5-метилпиразол[1,5-а]пиримидин;
6-(5-Хлор-1-этил-1Н-бензимидазол-2-ил)-7-(3,4-дихлорфенил)-4,7-дигидро-5-метилпиразол[1,5-а]пиримидин;
7-(3,4-Дихлорфенил)-6-(5-фтор-1-пропил-1Н-бензимидазол-2-ил)-4,7-дигидро-5-метилпиразол[1,5-а]пиримидин;
7-(3,4-Дихлорфенил)-4,7-дигидро-5-метил-6-[1-(1-метилэтил)-5-(трифторметил)-1Н-бензимидазол-2-ил]пиразол[1,5-а]пиримидин;
7-(3,4-Дихлорфенил)-6-(5-фтор-1-метил-1Н-бензимидазол-2-ил)-4,7-дигидро-5-метилпиразол[1,5-а]пиримидин;
7-(3,4-Дихлорфенил)-4,7-дигидро-5-метил-6-[1-(фенилметил)-1Н-бензимидазол-2-ил]пиразол[1,5-а]пиримидин;
7-(3,4-Дихлорфенил)-4,7-дигидро-6-(имидазо[1,5-а]пиридин-3-ил)-5-(метоксиметил)пиразол[1,5-а]пиримидин;
7-(2,3-Дихлорфенил)-4,7-дигидро-6-(имидазо[1,5-а]пиридин-3-ил)-5-(метоксиметил)пиразол[1,5-а]пиримидин;
7-(3,4-Дихлорфенил)-6-(5-фтор-1-метил-1Н-бензимидазол-2-ил)-4,7-дигидро-5-(метоксиметил)пиразол[1,5-а]пиримидин;
7-(2,3-Дихлорфенил)-6-(4-фтор-1-метил-1Н-бензимидазол-2-ил)-4,7-дигидро-5-(метоксиметил)пиразол[1,5-а]пиримидин;
7-(3,4-Дихлорфенил)-6-(4-фтор-1-метил-1Н-бензимидазол-2-ил)-4,7-дигидро-5-(метоксиметил)пиразол[1,5-а]пиримидин;
7-(2,3-Дихлорфенил)-6-(5-фтор-1-метил-1Н-бензимидазол-2-ил)-4,7-дигидро-5-(метоксиметил)пиразол[1,5-а]пиримидин;
6-(1-Хлор-6,7-дигидро-5Н-пирроло[1,2-с]имидазол-3-ил)-7-(3,4-дихлорфенил)-4,7-дигидро-5-метилпиразол[1,5-а]пиримидин;
7-(3,4-Дихлорфенил)-4,7-дигидро-5-метил-6-(1-метил-1Н-тиено[3,4-d]имидазол-2-ил)пиразол[1,5-а]пиримидин;
и 
8. Соединение по п.1, представляющее собой
1-[[7-(2,3-Дихлорфенил)-4,7-дигидро-5-метилпиразол[1,5-а]пиримидин-6-ил]карбонил]-4-фенилпиперазин;
1-[[7-(3,4-Дихлорфенил)-4,7-дигидро-5-метилпиразол[1,5-а]пиримидин-6-ил]карбонил]-4-фенилпиперазин;
7-(2,3-Дихлорфенил)-4,7-дигидро-5-метил-N-(2-фенилэтил)пиразол[1,5-а]пиримидин-6-карбоксамид;
7-(3,4-Дихлорфенил)-4,7-дигидро-5-метил-N-(2-фенилэтил)пиразол[1,5-а]пиримидин-6-карбоксамид;
7-(3,4-Дихлорфенил)-4,7-дигидро-5-метил-N-3-пиридинилпиразол[1,5-а]пиримидин-6-карбоксамид;
1-[[7-(4-Хлорфенил)-4,7-дигидро-5-метилпиразол[1,5-а]пиримидин-6-ил]карбонил]-4-фенилпиперазин;
1-[[7-(3,4-Дихлорфенил)-4,7-дигидро-5-метилпиразол[1,5-а]пиримидин-6-ил]карбонил]-4-метилпиперазин;
7-(3,4-Дихлорфенил)-4,7-дигидро-5-метил-N(3-фенилпропил)пиразол[1,5-а]пиримидин-6-карбоксамид;
1-[[7-(3,4-Дихлорфенил)-4,7-дигидро-5-метилпиразол[1,5-а]пиримидин-6-ил]карбонил]-4-(фенилметил)пиперидин;
1-[[7-(3,4-Дихлорфенил)-4,7-дигидро-5-метилпиразол[1,5-а]пиримидин-6-ил]карбонил]-4-(фенилметил)пиперазин;
1-[[7-(3-Хлорфенил)-4,7-дигидро-5-метилпиразол[1,5-а]пиримидин-6-ил]карбонил]-4-(4-фторфенил)пиперазин;
1-[[7-(3,4-Дифторфенил)-4,7-дигидро-5-метилпиразол[1,5-а]пиримидин-6-ил]карбонил]-4-(4-фторфенил)пиперазин;
1-[[7-(2,3-Дихлорфенил)-4,7-дигидро-5-метил-пиразол[1,5-а]пиримидин-6-ил] карбонил]-4-(4-фторфенил)пиперазин;
1-(4-Фторфенил)-4-[(4,7-дигидро-5-метил-7-фенилпиразол[1,5-а]пиримидин-6-ил]карбонил]пиперазин;
1-(4-Фторфенил)-4-[[7-(3-фторфенил)-4,7-дигидро-5-метилпиразол[1,5-а]пиримидин-6-ил]карбонил]пиперазин;
1-[[7-(3,5-Дихлорфенил)-4,7-дигидро-5-метил-пиразол[1,5-а]пиримидин-6-ил]карбонил]-4-(4-фторфенил)пиперазин;
1-[(7-Циклогексил-4,7-дигидро-5-метилпиразол[1,5-а]пиримидин-6-ил)карбонил]-4-фенилпиперазин;
1-[[7-(2,3-Дихлорфенил)-4,7-дигидро-2,5-диметилпиразол[1,5-а]пиримидин-6-ил]карбонил]-4-фенилпиперазин;
7-(2,3-Дихлорфенил)-4,7-дигидро-5-метил-6-[(4-фенил-1-пиперазинил)-карбонил]пиразол[1,5-а]пиримидин-3-карбоновой кислоты этиловый эфир;
4-[[7-(3,4-Дихлорфенил)-4,7-дигидро-5-метилпиразол[1,5-а]пиримидин-6-ил]карбонил]-1-пиперазинкарбоновой кислоты 1,1-диметилэтиловый эфир;
1-[[7-(3,4-Дихлорфенил)-4,7-дигидро-2,5-диметилпиразол[1,5-а]пиримидин-6-ил]карбонил]-4-фенилпиперазин;
1-[[7-(3,4-Дихлорфенил)-4,7-дигидро-5-метил-2-фенилпиразол[1,5-а]пиримидин-6-ил]карбонил]-4-фенилпиперазин;
7-(3,4-Дихлорфенил)-4,7-дигидро-2,5-диметил-N-(3-фенилпропил)пиразол[1,5-а]пиримидин-6-карбоксамид;
1-[[7-(2,3-Дихлорфенил)-2-(1,1-диметил)-4,7-дигидро-5-метилпиразол[1,5-а]пиримидин-6-ил]карбонил]-4-фенилпиперазин;
1-[[7-(3,4-Дихлорфенил)-4,7-дигидро-5-метилпиразол[1,5-а]пиримидин-6-ил]карбонил]-4-фенил-пиперидин;
7-(3,4-Дихлорфенил)-4,7-дигидро-5-метил-6-[[(3-фенилпропил)амино]карбонил]пиразол[1,5-а]пиримидин-3-карбоновой кислоты этиловый эфир;
7-(2,3-Дихлорфенил)-4,7-дигидро-5-метил-6-[(4-фенил-1-пиперазинил)-карбонил]пиразол[1,5-а]пиримидин-2-карбоновой кислоты этиловый эфир;
1-[[3-Циано-7-(2,3-дихлорфенил)-4,7-дигидро-5-метилпиразол[1,5-а]пиримидин-6-ил]карбонил]-4-(4-фторфенил)пиперазин;
1-[[7-(3,4-Дихлорфенил)-4,7-дигидро-5-метил-2-(трифторметил)пиразол[1,5-а]пиримидин-6-ил]карбонил]-4-(4-фторфенил)пиперазин;
1-[[7-(2,3-Дихлорфенил)-4,7-дигидро-5-метил-2-(трифторметил)пиразол[1,5-а]пиримидин-6-ил]карбонил]-4-(4-фторфенил)пиперазин;
7-(3,4-Дихлорфенил)-4,7-дигидро-5-метил-N(3-фенилпропил)-2-(трифторметил)пиразол[1,5-а]пиримидин-6-карбоксамид;
7-(3,4-Дихлорфенил)-6-[[4-(4-фторфенил)-1-пиперазин]карбонил]-4,7-дигидро-5-метилпиразол[1,5-а]пиримидин-2-карбоновой кислоты метиловый эфир;
(2S)-1-[[7-(2,3-Дихлорфенил)-4,7-дигидро-5-метил-2-(трифторметил)пиразол[1,5-а]пиримидин-6-ил]карбонил]-2-(метоксиметил)пирролидин;
1-[[7-(2,3-Дихлорфенил)-2-фтор-4,7-дигидро-5-метилпиразол[1,5-а]пиримидин-6-ил]карбонил]-4-(4-фторфенил)пиперазин;
(2S)-1-[[2-Хлор-7-(2,3-дихлорфенил)-4,7-дигидро-5-метилпиразол[1,5-а]пиримидин-6-ил]карбонил]-2-(метоксиметил)пирролидин;
(2S)-1-[[2-Хлор-7-(3,4-дихлорфенил)-4,7-дигидро-5-метилпиразол[1,5-а]пиримидин-6-ил]карбонил]-2-(метоксиметил)пирролидин;
(2S)-1-[[7-(2,3-Дихлорфенил)-2-фтор-4,7-дигидро-5-метилпиразол[1,5-а]пиримидин-6-ил]карбонил]-2-(метоксиметил)пирролидин;
1-[[7-(3,4-Дихлорфенил)-4,7-дигидро-2,5-диметилпиразол[1,5-а]пиримидин-6-ил]карбонил]-4-(4-фторфенил)пиперазин;
1-[[7-(3,4-Дихлорфенил)-4,7-дигидро-5-метилпиразол[1,5-а]пиримидин-6-ил]карбонил]-4-(4-фторфенил)пиперазин;
1-[[7-(2,3-Дифторфенил)-4,7-дигидро-5-метилпиразол[1,5-а]пиримидин-6-ил]карбонил]-4-(4-фторфенил)пиперазин;
4-[6-[[4-(4-Фторфенил)-1-пиперазинил]карбонил]-4,7-дигидро-5-метилпиразол[1,5-а]пиримидин-7-ил]бензойной кислоты метиловый эфир;
1-(4-Фторфенил)-4-[[7-(2-фторфенил)-4,7-дигидро-5-метилпиразол[1,5-а]пиримидин-6-ил]карбонил]пиперазин;
1-[[7-(2-Хлорфенил)-4,7-дигидро-5-метилпиразол[1,5-а]пиримидин-6-ил]карбонил]-4-(4-фторфенил)пиперазин;
1-[[7-(2,4-Дихлорфенил)-4,7-дигидро-5-метилпиразол[1,5-а]пиримидин-6-ил]карбонил]-4-(4-фторфенил)пиперазин;
1-[[4,7-Дигидро-7-(2-метоксифенил)-5-метилпиразол[1,5-а]пиримидин-6-ил]карбонил]-4-(4-фторфенил)пиперазин;
1-[[7-(2,3-Диметоксифенил)-4,7-дигидро-5-метилпиразол[1,5-а]пиримидин-6-ил]карбонил]-4-(4-фторфенил)пиперазин;
1-[[7-(2,4-Диметоксифенил)-4,7-дигидро-5-метилпиразол[1,5-а]пиримидин-6-ил]карбонил]-4-(4-фторфенил)пиперазин;
1-[[7-(2,5-Диметоксифенил)-4,7-дигидро-5-метилпиразол[1,5-а]пиримидин-6-ил]карбонил]-4-(4-фторфенил)пиперазин;
-[[4,7-Дигидро-5-метил-7-[2-(трифторметил)фенил]пиразол[1,5-а]пиримидин-6-ил]карбонил]-4-(4-фторфенил)пиперазин;
1-[[4,7-Дигидро-5-метил-7-(2-метилфенил)пиразол[1,5-а]пиримидин-6-ил]карбонил]-4-(4-фторфенил)пиперазин;
1-[[4,7-Дигидро-5-метил-7-(3-феноксифенил)пиразол[1,5-а]пиримидин-6-ил]карбонил]-4-(4-фторфенил)пиперазин;
1-[[7-(3,4-Диметилфенил)-4,7-дигидро-5-метилпиразол[1,5-а]пиримидин-6-ил]карбонил]-4-(4-фторфенил)пиперазин;
1-[[7-(3,5-Диметоксифенил)-4,7-дигидро-5-метилпиразол[1,5-а]пиримидин-6-ил]карбонил]-4-(4-фторфенил)пиперазин;
1-[[4,7-Дигидро-5-метил-7-[3-(фенилметокси)фенил]пиразол[1,5-а]пиримидин-6-ил]карбонил]-4-(4-фторфенил)пиперазин;
1-[[4,7-Дигидро-7-(3-гидроксифенил)-5-метилпиразол[1,5-а]пиримидин-6-ил]карбонил]-4-(4-фторфенил)пиперазин;
1-[[4,7-Дигидро-5-метил-7-[3-(трифторметил)фенил]пиразол[1,5-а]пиримидин-6-ил]карбонил]-4-(4-фторфенил)пиперазин;
1-[[4,7-Дигидро-5-метил-7-(3-метилфенил)пиразол[1,5-а]пиримидин-6-ил]карбонил]-4-(4-фторфефенил)пиперазин;
1-[[7-(4-Цианофенил)-4,7-дигидро-5-метилпиразол[1,5-а]пиримидин-6-ил]карбонил]-4-(4-фторфенил)пиперазин;
1-(4-Фторфенил)-4-[[7-(4-фторфенил)-4,7-дигидро-5-метилпиразол[1,5-а]пиримидин-6-ил]карбонил]пиперазин;
N[4-[6-[[4-(4-Фторфенил)-1-пиперазинил]карбонил]-4,7-дигидро-5-метилпиразол[1,5-а]пиримидин-7-ил]фенил]ацетамид;
1-[[7-[4-(Диметил-амино)фенил]-4,7-дигидро-5-метилпиразол[1,5-а]пирмидин-6-ил]карбонил]-4-(4-фторфенил)пиперазин;
1-[[4,7-Дигидро-7-(4-метоксифенил)-5-метилпиразол[1,5-а]пиримидин-6-ил]карбонил]-4-(4-фторфенил)пиперазин;
1-[[4,7-Дигидро-5-метил-7-[4-(фенилметокси)фенил]пиразол[1,5-а]пиримидин-6-ил]карбонил]-4-(4-фторфенил)пиперазин;
1-[[7-(4-Бутоксифенил)-4,7-дигидро-5-метилпиразол[1,5-а]пиримидин-6-ил]карбонил]-4-(4-фторфенил)пиперазин;
1-[[4,7-Дигидро-5-метил-7-(2-тиенил)пиразол[1,5-а]пиримидин-6-ил]карбонил]-4-(4-фторфенил)пиперазин;
1-[[4,7-Дигидро-5-метил-7-(3-тиенил)пиразол[1,5-а]пиримидин-6-ил]карбонил]-4-(4-фторфенил)пиперазин;
1-[[4,7-Дигидро-5-метил-7-[4-(трифторметил)фенил]пиразол[1,5-а]пиримидин-6-ил]карбонил]-4-(4-фторфенил)пиперазин;
1-[[4,7-Дигидро-5-метил-7-(4-метилфенил)пиразол[1,5-а]пиримидин-6-ил]карбонил]-4-(4-фторфенил)пиперазин;
1-[[4,7-Дигидро-5-метил-7-(2-нитрофенил)пиразол[1,5-а]пиримидин-6-ил]карбонил]-4-(4-фторфенил)пиперазин;
1-[[4,7-Дигидро-5-метил-7-(4-нитрофенил)пиразол[1,5-а]пиримидин-6-ил]карбонил]-4-(4-фторфенил)пиперазин;
1-[[7-(2,6-Дифторфенил)-4,7-дигидро-5-метилпиразол[1,5-а]пиримидин-6-ил]карбонил]-4-(4-фторфенил)пиперазин;
1-[[7-(2,4-Дифторфенил)-4,7-дигидро-5-метилпиразол[1,5-а]пиримидин-6-ил]карбонил]-4-(4-фторфенил)пиперазин;
1-[[7-(2,5-Дифторфенил)-4,7-дигидро-5-метилпиразол[1,5-а]пиримидин-6-ил]карбонил]-4-(4-фторфенил)пиперазин;
1-[[7-(3,5-Дифторфенил)-4,7-дигидро-5-метилпиразол[1,5-а]пиримидин-6-ил]карбонил]-4-(4-фторфенил)пиперазин;
1-[[4,7-Дигидро-5-метил-7-[2-(фенилметокси)фенил]пиразол[1,5-а]пиримидин-6-ил]карбонил]-4-(4-фторфенил)пиперазин;
1-[[7-(3,4-Диметоксифенил)-4,7-дигидро-5-метилпиразол[1,5-а]пиримидин-6-ил]карбонил]-4-(4-фторфенил)пиперазин;
1-[[4,7-Дигидро-5-метил-7-[4-(трифторметокси)фенил]пиразол[1,5-а]пиримидин-6-ил]карбонил]-4-(4-фторфенил)пиперазин;
1-[[4,7-Дигидро-5-метил-7-[3-(трифторметокси)фенил]пиразол[1,5-а]пиримидин-6-ил]карбонил]-4-(4-фторфенил)пиперазин;
1-[[7-(3-Цианофенил)-4,7-дигидро-5-метилпиразол[1,5-а]пиримидин-6-ил]карбонил]-4-(4-фторфенил)пиперазин;
1-[[4,7-Дигидро-7-(3-метоксифенил)-5-метилпиразол[1,5-а]пиримидин-6-ил]карбонил]-4-(4-фторфенил)пиперазин;
1-[[7-(4-Хлорфенил)-4,7-дигидро-5-метилпиразол[1,5-а]пиримидин-6-ил]карбонил]-4-(4-фторфенил)пиперазин;
1-[[4,7-Дигидро-5-метил-7-(4-феноксифенил)пиразол[1,5-а]пиримидин-6-ил]карбонил]-4-(4-фторфенил)пиперазин;
1-[[4,7-Дигидро-5-метил-7-(3-нитрофенил)пиразол[1,5-а]пиримидин-6-ил]карбонил]-4-(4-фторфенил)пиперазин;
1-[[4,7-Дигидро-5-метил-7-(5-метил-2-фуранил)пиразол[1,5-а]пиримидин-6-ил]карбонил]-4-(4-фторфенил)пиперазин;
1-[[4,7-Дигидро-7-(1Н-имидазол-2-ил)-5-метилпиразол[1,5-а]пиримидин-6-ил]карбонил]-4-(4-фторфенил)пиперазин;
1-[[4,7-Дигидро-5-метил-7-(1Н-пиррол-2-ил)пиразол[1,5-а]пиримидин-6-ил]карбонил]-4-(4-фторфенил)пиперазин;
1-[[4,7-Дигидро-5-метил-7-(2-пиридинил)пиразол[1,5-а]пиримидин-6-ил]карбонил]-4-(4-фторфенил)пиперазин;
1-[[7-(3-Хлор-4-метоксифенил)-4,7-дигидро-5-метилпиразол[1,5-а]пиримидин-6-ил]карбонил]-4-(4-фторфенил)пиперазин;
1-[[4,7-Дигидро-7-(4-метокси-1,3-бензодиоксол-6-ил)-5-метилпиразол[1,5-а]пиримидин-6-ил]карбонил]-4-(4-фторфенил)пиперазин;
1-[[4,7-Дигидро-7-[5-(гидроксиметил)-2-фуранил]-5-метилпиразол[1,5-а]пиримидин-6-ил]карбонил]-4-(4-фторфенил)пиперазин;
1-[[4,7-Дигидро-7-(1Н-индол-3-ил)-5-метилпиразол[1,5-а]пиримидин-6-ил]карбонил]-4-(4-фторфенил)пиперазин;
1-[[4,7-Дигидро-5-метил-7-(3-пиридинил)пиразол[1,5-а]пиримидин-6-ил]карбонил]-4-(4-фторфенил)пиперазин;
1-[[4,7-Дигидро-5-метил-7-(3-хинолинил)пиразол[1,5-а]пиримидин-6-ил]карбонил]-4-(4-фторфенил)пиперазин;
1-[[4,7-Дигидро-5-метил-7-(4-хинолинил)пиразол[1,5-а]пиримидин-6-ил]карбонил]-4-(4-фторфенил)пиперазин;
1-[[7-(2,3-Дигидро-1,4-бензодиокс-6-ил)-4,7-дигидро-5-метилпиразол[1,5-а]пиримидин-6-ил]карбонил]-4-(4-фторфенил)пиперазин;
1-[[4,7-Дигидро-5-метил-7-(2,3,5-трихлор-фенил)пиразол[1,5-а]пиримидин-6-ил]карбонил]-4-(4-фторфенил)пиперазин;
1-[[7-(2,5-Дихлорфенил)-4,7-дигидро-5-метилпиразол[1,5-а]пиримидин-6-ил]карбонил]-4-(4-фторфенил)пиперазин;
1-(4-Фторфенил)-4-[[7-(3-фуранил)-4,7-дигидро-5-метилпиразол[1,5-а]пиримидин-6-ил]карбонил]-пиперазин;
1-[[7-(2-Бензофуранил)-4,7-дигидро-5-метилпиразол[1,5-а]пиримидин-6-ил]карбонил]-4-(4-фторфенил)пиперазин;
1-[[4,7-Дигидро-5-метил-7-(3-метилбензо[b]тиофен-2-ил)пиразол[1,5-а]пиримидин-6-ил]карбонил]-4-(4-фторфенил)пиперазин;
1-[[4,7-Дигидро-5-метил-7-(2-хинолинил)пиразол[1,5-а]пиримидин-6-ил]карбонил]-4-(4-фторфенил)пиперазин;
1-[[4,7-Дигидро-5-метил-7-(2-тиазолил)пиразол[1,5-а]пиримидин-6-ил]карбонил]-4-(4-фторфенил)пиперазин;
1-(4-Фторфенил)-4-[[7-(2-фуранил)-4,7-дигидро-5-метилпиразол[1,5-а]пиримидин-6-ил]карбонил]пиперазин;
1-[[4,7-Дигидро-7-[3-метокси-4-(фенилметокси)фенил]-5-метилпиразол[1,5-а]пиримидин-6-ил]карбонил]-4-(4-фторфенил)пиперазин;
1-[[4,7-Дигидро-7-[4-метокси-3-(фенилметокси)фенил]-5-метилпиразол[1,5-а]пиримидин-6-ил]карбонил]-4-(4-фторфенил)пиперазин;
1-[[4,7-Дигидро-5-метил-7-(2-нафталенил)пиразол[1,5-а]пиримидин-6-ил]карбонил]-4-(4-фторфенил)пиперазин;
1-[[7-[3,4-Бис(фенил-метокси)фенил]-4,7-дигидро-5-метилпиразол[1,5-а]пиримидин-6-ил]карбонил]-4-(4-фторфенил)пиперазин;
1-[[7-(1,3-бензодиоксол-5-ил)-4,7-дигидро-5-метилпиразол[1,5-а]пиримидин-6-ил]карбонил]-4-(4-фторфенил)пиперазин;
1-[[7-[3,5-Бис(трифторметил)фенил]-4,7-дигидро-5-метилпиразол[1,5-а]пирмидин-6-ил]карбонил]-4-(4-фторфенил)пиперазин;
1-[[4,7-Дигидро-5-метил-7-[5-[1-метил-3-(трифторметил)-1Н-пиразол-5-ил]-2-тиенил]пиразол[1,5-а]пиримидин-6-ил]карбонил]-4-(4-фторфенил)пиперазин;
1-[[7-(5-Этил-2-фуранил)-4,7-дигидро-5-метилпиразол[1,5-а]пиримидин-6-ил]карбонил]-4-(4-фторфенил)пиперазин;
1-[[7-(2,3-Дигидро-5-Бензофуранил)-4,7-дигидро-5-метилпиразол[1,5-а]пиримидин-6-ил]карбонил]-4-(4-фторфенил)пиперазин;
1-[[7-(3-Бромфенил)-4,7-дигидро-5-метилпиразол[1,5-а]пиримидин-6-ил]карбонил]-4-(4-фторфенил)пиперазин;
1-[[4,7-Дигидро-5-метил-7-[4-(1-пирролидинил)-фенил]пиразол]1,5-а]пиримидин-6-ил]карбонил]-4-(4-фторфенил)пиперазин;
1-[[4,7-Дигидро-5-метил-7-(5-метил-2-тиенил)пиразол[1,5-а]пиримидин-6-ил]карбонил]-4-(4-фторфенил)пиперазин;
1-[[7-(1,3-Бензодиоксол-4-ил)-4,7-дигидро-5-метилпиразол[1,5-а]пиримидин-6-ил]карбонил]-4-(4-фторфенил)пиперазин;
трет-[[7-(5-Хлор-2-тиенил)-4,7-дигидро-5-метилпиразол[1,5-а]пиримидин-6-ил]карбонил]-4-(4-фторфенил)пиперазин;
1-[[7-(3,5-Диметилфенил)-4,7-дигидро-5-метилпиразол[1,5-а]пиримидин-6-ил]карбонил]-4-(4-фторфенил)пиперазин;
1-[[7-(2,3-Дихлорфенил)-4,7-дигидро-2,5-диметилпиразол[1,5-а]пиримидин-6-ил]карбонил]-4-(4-фторфенил)пиперазин;
8-[[7-(3,4-Дихлорфенил)-4,7-дигидро-5-метилпиразол[1,5-а]пиримидин-6-ил]карбонил]-1,4-диокса-8-азаспиро[4.5]декан;
1-[[7-(3,4-Дихлорфенил)-4,7-дигидро-5-метилпиразол[1,5-а]пиримидин-6-ил]карбонил]-4-(2-метокси-фенил)пиперазин;
1-[[7-(3,4-Дихлорфенил)-4,7-дигидро-5-метилпиразол[1,5-а]-пиримидин-6-ил]карбонил]-4-[3-(трифторметил)-фенил]пиперазин;
1-[[7-(3,4-Дихлорфенил)-4,7-дигидро-5-метилпиразол[1,5-а]пиримидин-6-ил]карбонил]-4-(4-нитрофенил)пиперазин;
1-(4-Ацетилфенил)-4-[[7-(3,4-дихлорфенил)-4,7-дигидро-5-метилпиразол[1,5-а]пиримидин-6-ил]карбонил]пиперазин;
1-(2-Хлорфенил)-4-[[7-(3,4-дихлорфенил)-4,7-дигидро-5-метилпиразол[1,5-а]пиримидин-6-ил]карбонил]пиперазин;
1-[[7-(3,4-Дихлорфенил)-4,7-дигидро-5-метилпиразол[1,5-а]пиримидин-6-ил]-карбонил]-4-(4-метоксифенил)пиперазин;
1-(3,4-Дихлорфенил)-4-[[7-(3,4-дихлорфенил)-4,7-дигидро-5-метилпиразол[1,5-а]пиримидин-6-ил]-карбонил]пиперазин;
1-(3,5-Дихлорфенил)-4-[[7-(3,4-дихлорфенил)-4,7-дигидро-5-метилпиразол[1,5-а]пиримидин-6-ил]-карбонил]пиперазин;
1-(4-Хлорфенил)-4-[[7-(3,4-дихлорфенил)-4,7-дигидро-5-метил-пиразол[1,5-а]пиримидин-6-ил]карбонил]пиперазин;
1-(3-Хлорфенил)-4-[[7-(3,4-дихлорфенил)-4,7-дигидро-5-метилпиразол[1,5-а]пиримидин-6-ил]карбонил]пиперазин;
1-[[7-(3,4-Дихлорфенил)-4,7-дигидро-5-метилпиразол[1,5-а]пиримидин-6-ил]карбонил]-4-(3-метоксифенил)пиперазин;
1-[[7-(3,4-Дихлорфенил)-4,7-дигидро-5-метилпиразол[1,5-а]пиримидин-6-ил]карбонил]-4-(4-метилфенил)пиперазин;
1-[[7-(3,4-Дихлорфенил)-4,7-дигидро-5-метилпиразол[1,5а]-пиримидин-6-ил]карбонил]-4-[4-(трифторметил)-фенил]пиперазин;
1-[[7-(3,4-Дихлорфенил)-4,7-дигидро-5-метилпиразол[1,5-а]пиримидин-6-ил]карбонил]-4-(2-фторфенил)пиперазин;
1-[[7-(3,4-Дихлорфенил)-4,7-дигидро-5-метилпиразол[1,5-а]пиримидин-6-ил]карбонил]-4-(3,4-диметилфенил)пиперазин;
7-(3,4-Дихлорфенил)-N-[2-[(4-фторфенил)амино]этил]-4,7-дигидро-5-метилпиразол[1,5-а]пиримидин-6-карбоксамид;
4-[[7-(3,4-Дихлорфенил)-4,7-дигидро-5-метилпиразол[1,5-а]пиримидин-6-ил]карбонил]-1-пиперазинкарбоновой кислоты фенилметиловый эфир;
7-(3,4-Дихлорфенил)-N-этил-N-[(2-фторфенил)метил]-4,7-дигидро-5-метилпиразол[1,5-а]пиримидин-6-карбоксамид;
N-[(3-Хлор-4-метоксифенил)метил]-7-(3,4-дихлорфенил)-4,7-дигидро-5-метилпиразол[1,5-а]пиримидин-6-карбоксамид;
1-(1,3-бензодиоксол-5-илметил)-4-[[7-(3,4-дихлорфенил)-4,7-дигидро-5-метилпиразол[1,5-а]пиримидин-6-ил]карбонил]пиперазин;
4-[[7-(3,4-Дихлорфенил)-4,7-дигидро-5-метилпиразол[1,5-а]пиримидин-6-ил]карбонил]-1-пиперазинкарбоновой кислоты этиловый эфир;
1-[[7-(3,4-Дихлорфенил)-4,7-дигидро-5-метилпиразол[1,5-а]пиримидин-6-ил]карбонил]-4-(2-пиридинил)пиперазин;
(2S)-1-[[7-(3,4-Дихлорфенил)-4,7-дигидро-5-метилпиразол[1,5-а]пиримидин-6-ил]карбонил]-2-(метоксиметил)пирролидин;
1-[Бис(4-фторфенил)-метил]-4-[[7-(3,4-дихлорфенил)-4,7-дигидро-5-метилпиразол[1,5-а]пиримидин-6-ил]карбонил]пиперазин;
1-[[7-(3,4-Дихлорфенил)-4,7-дигидро-5-метилпиразол[1,5-а]пиримидин-6-ил]карбонил]-4-(2-фуранил-карбонил)пиперазин;
1-Циклогексил-4-[[7-(3,4-дихлорфенил)-4,7-дигидро-5-метилпиразол[1,5-а]пиримидин-6-ил]карбонил]пиперазин;
1-[[7-(3,4-Дихлорфенил)-4,7-дигидро-5-метилпиразол[1,5-а]пиримидин-6-ил]карбонил]-4-(2-метоксиэтил)пиперазин;
1-[[7-(3,4-Дихлорфенил)-4,7-дигидро-5-метилпиразол[1,5-а]пиримидин-6-ил]карбонил]-4-(9Н-флуорен-9-ил)пиперазин;
(2R)-1-[[7-(3,4-Дихлорфенил)-4,7-дигидро-5-метилпиразол[1,5-а]пиримидин-6-ил]карбонил]-2-(метокси-метил)пирролидин;
1-[[7-(3,4-Дихлорфенил)-4,7-дигидро-5-метилпиразол[1,5-а]пиримидин-6-ил]карбонил]-4-(2,3-диметил-фенил)пиперазин;
1-[[7-(3,4-Дихлорфенил)-4,7-дигидро-5-метилпиразол[1,5-а]пиримидин-6-ил]карбонил]-2-пиперидин-карбоновой кислоты этиловый эфир;
1-[[7-(3,4-Дихлорфенил)-4,7-дигидро-5-метилпиразол[1,5-а]пиримидин-6-ил]карбонил]-N,N-диэтил-3-пиперидинкарбоксамид;
1-[[7-(3,4-Дихлорфенил)-4,7-дигидро-5-метилпиразол[1,5-а]пиримидин-6-ил]карбонил]-3-пиперидин-карбоновой кислоты этиловый эфир;
1-[[7-(3,4-Дихлорфенил)-4,7-дигидро-5-метилпиразол[1,5-а]пиримидин-6-ил]карбонил]-3-метилпиперидин;
1-[[7-(3,4-Дихлорфенил)-4,7-дигидро-5-метилпиразол[1,5-а]пиримидин-6-ил]карбонил]-3,5-диметилпиперидин;
1-[[7-(3,4-Дихлорфенил)-4,7-дигидро-5-метилпиразол[1,5-а]пиримидин-6-ил]карбонил]-4-гидроксипиперидин;
4-(4-Хлорфенил)-1-[[7-(3,4-дихлорфенил)-4,7-дигидро-5-метилпиразол[1,5-а]пирмидин-6-ил]карбонил]-4-гидроксипиперидин;
1-[[7-(3,4-Дихлорфенил)-4,7-дигидро-5-метилпиразол[1,5-а]пиримидин-6-ил]карбонил]-4-пиперидинкарбоновой кислоты этиловый эфир;
1-[[7-(3,4-Дихлорфенил)-4,7-дигидро-5-метилпиразол[1,5-а]пиримидин-6-ил]карбонил]-4-метилпиперидин;
1-[[7-(3,4-Дихлорфенил)-4,7-дигидро-5-метилпиразол[1,5-а]пиримидин-6-ил]карбонил]-1,2,3,4-тетрагидрохинолин;
1-[[7-(3,4-Дихлорфенил)-4,7-дигидро-5-метилпиразол[1,5-а]-пиримидин-6-ил]карбонил]декагидрохинолин;
2-[[7-(3,4-Дихлорфенил)-4,7-дигидро-5-метилпиразол[1,5-а]пиримидин-6-ил]карбонил]-1,2,3,4-тетрагидроизохинолин;
1-[[7-(3,4-Дихлорфенил)-4,7-дигидро-5-метилпиразол[1,5-а]пиримидин-6-ил]карбонил]-4-пропилпиперидин;
1-[[7-(3,4-Дихлорфенил)-4,7-дигидро-5-метилпиразол[1,5-а]пиримидин-6-ил]карбонил]-4-(гидроксидифенилметил)пиперидин;
7-(3,4-Дихлорфенил)-N-[(2-фторфенил)метил]-4,7-дигидро-5-метилпиразол[1,5-а]пиримидин-6-карбоксамид;
2-[[7-(3,4-Дихлорфенил)-4,7-дигидро-5-метилпиразол[1,5-а]пиримидин-6-ил]карбонил]-2,3,4,9-тетрагидро-1Н-пиридо[3,4-b]индол;
7-(3,4-Дихлорфенил)-4,7-дигидро-5-метил-N-[2-(фениламино)-этил]пиразол[1,5-а]пиримидин-6-карбоксамид;
(2S)-1-[[7-(3,4-Дихлорфенил)-4,7-дигидро-5-метилпиразол[1,5-а]пиримидин-6-ил]карбонил]-2-[(фенил-амино)метил]пирролидин;
N-Циклогексил-7-(3,4-дихлорфенил)-4,7-дигидро-N,5-диметилпиразол[1,5-а]пиримидин-6-карбоксамид;
3-[[7-(3,4-Дихлорфенил)-4,7-дигидро-5-метилпиразол[1,5-а]пиримидин-6-ил]карбонил]тиазол;
1-[[7-(3,4-Дихлорфенил)-4,7-дигидро-5-метилпиразол[1,5-а]пиримидин-6-ил] карбонил]-3,4-дигидро-1Н-индол;
1-[[7-(3,4-Дихлорфенил)-4,7-дигидро-5-метилпиразол[1,5-а]пиримидин-6-ил]карбонил]азетидин;
1-[[7-(3,4-Дихлорфенил)-4,7-дигидро-5-метилпиразол[1,5-а]пиримидин-6-ил]карбонил]гексагидро-1Н-азепин;
1-[[7-(3,4-Дихлорфенил)-4,7-дигидро-5-метилпиразол[1,5-а]пиримидин-6-ил]карбонил]октагидроазоцин;
1-[[7-(3,4-Дихлорфенил)-4,7-дигидро-5-метилпиразол[1,5-а]пиримидин-6-ил]карбонил]-1,2,3,6-тетрагидропиридин;
7-(3,4-Дихлорфенил)-4,7дигидро-N,5-диметил-N-[2-(2-пиридинил)-этил]пиразол[1,5-а]пиримидин-6-карбоксамид;
N-[[7-(3,4-Дихлорфенил)-4,7дигидро-5-метилпиразол[1,5-а]пиримидин-6-ил]карбонил]-N-(фенилметил)глицин этиловый эфир;
транс-7-(3,4-Дихлорфенил)-4,7-дигидро-5-метил-N-(2-фенилциклопропил)пиразол[ 1,5-а]пиримидин-6-карбоксамид;
1-[[7-(3,4-Дихлорфенил)-4,7-дигидро-5-метилпиразол[1,5-а]пиримидин-6-ил] карбонил]-2-метилпирролидин;
1-[[7-(3,4-Дихлорфенил)-4,7-дигидро-5-метилпиразол[1,5-а]пиримидин-6-ил]карбонил]-2-метилазиридин;
(2S)-1-[[7-(3,4-Дихлорфенил)-4,7-дигидро-5-метилпиразол[1,5-а]пиримидин-6-ил]карбонил]-2-[[(2,6-диметилфенил)амино]метил]пирролидин;
7-(3,4-Дихлорфенил)-N-этил-4,7-дигидро-5-метил-N-(4-пиридинилметил)пиразол[1,5-а]пиримидин-6-карбоксамид;
7-(3,4-Дихлорфенил)-4,7-дигидро-N,5-диметил-N-[(1R)-1-фенилэтил]пиразол[1,5-а]пиримидин-6-карбоксамид;
7-(3,4-Дихлорфенил)-4,7-дигидро-N,5-диметил-N-[(1S)-1-фенилэтил]пиразол[1,5-а]пиримидин-6-карбоксамид;
6-[[7-(3,4-Дихлорфенил)-4,7-дигидро-5-метилпиразол[1,5-а]пиримидин-6-ил]карбонил]-1,3,3-триметил-6-азабицикло[3.2.1]октан;
7-(3,4-Дихлорфенил)-N-(гексагидро-1Н-азепин-1-ил)-4,7-дигидро-5-метилпиразол[1,5-а]пиримидин-6-карбоксамид;
1-[[7-(3,4-Дихлорфенил)-4,7-дигидро-5-метилпиразол[1,5-а]пиримидин-6-ил]карбонил]азиридин;
1-[[7-(3,4-Дихлорфенил)-4,7-дигидро-5-метилпиразол[1,5-а]пиримидин-6-ил]карбонил]октагидро-1Н-азонин;
(2R-транс)-1-[[7-(3,4-Дихлорфенил)-4,7-дигидро-5-метилпиразол[1,5-а]пиримидин-6-ил]карбонил]-2,5-бис(метоксиметил)-пирролидин;
(2S-транс)-1-[[7-(3,4-Дихлорфенил)-4,7-дигидро-5-метилпиразол[1,5-а]пиримидин-6-ил]карбонил]-2,5-бис-(метоксиметил)пирролидин;
1-[[7-(3,4-Дихлорфенил)-4,7-дигидро-5-метилпиразол[1,5-а]пиримидин-6-ил]карбонил]-L-пролинамид;
1-[[7-(3,4-Дихлорфенил)-4,7-дигидро-5-метилпиразол[1,5-а]пиримидин-6-ил]карбонил]-D-пролинамид;
1-[[7-(3,4-Дихлорфенил)-4,7-дигидро-5-метилпиразол[1,5-а]пиримидин-6-ил]карбонил]-2,3-дигидро-2-метил-1Н-индол;
1-[[7-(3,4-Дихлорфенил)-4,7-дигидро-5-метилпиразол[1,5-а]пиримидин-6-ил]карбонил]-2,3-дигидро-5-нитро-1Н-индол;
1-[[7-(3,4-Дихлорфенил)-4,7-дигидро-5-метилпиразол[1,5-а]пиримидин-6-ил]карбонил]-2,3-дигидро-6-нитро-1Н-индол;
4-[[7-(3,4-Дихлорфенил)-4,7-дигидро-5-метилпиразол[1,5-а]пиримидин-6-ил]карбонил]тиоморфолин;
1-[[7-(3,4-Дихлорфенил)-4,7-дигидро-5-метилпиразол[1,5-а]пиримидин-6-ил]карбонил]-L-пролин метиловый эфир;
1-[[7-(3,4-Дихлорфенил)-4,7-дигидро-5-метилпиразол[1,5-а]пиримидин-6-ил]карбонил]-L-пролин 1,1-диметилэтиловый эфир;
1-[[7-(3,4-Дихлорфенил)-4,7-дигидро-5-метилпиразол[1,5-а]пиримидин-6-ил]карбонил]-N-(2-нафталенил)-1-пролинамид;
1-[[7-(3,4-Дихлорфенил)-4,7-дигидро-5-метилпиразол[1,5-а]пиримидин-6-ил]карбонил]-1,2,3,4-тетрагидро-2-метилхинолин;
1-[[7-(3,4-Дихлорфенил)-4,7-дигидро-5-метилпиразол[1,5-а]пиримидин-6-ил]карбонил]-6-фтор-1,2,3,4-тетрагидро-2-метилхинолин;
1-[[7-(3,4-Дихлорфенил)-4,7-дигидро-5-метилпиразол[1,5-а]пиримидин-6-ил]карбонил]-L-пролин фенилметиловый эфир;
1-[[7-(3,4-Дихлорфенил)-4,7-дигидро-5-метилпиразол[1,5-а]пиримидин-6-ил]карбонил]-D-пролин фенилметиловый эфир;
1-[[7-(3,4-Дихлорфенил)-4,7-дигидро-5-метилпиразол[1,5-а]пиримидин-6-ил]карбонил]-4-гидрокси-L-пролин фенилметиловый эфир;
1-[[7-(3,4-Дихлорфенил)-4,7-дигидро-5-метилпиразол[1,5-а]пиримидин-6-ил]карбонил]-4-(4-фторфенил)-2-метилпиперазин;
3-Хлор-N-Циклогексил-7-(3,4-дихлорфенил)-4,7-дигидро-N,5-диметилпиразол[1,5-а]пиримидин-6-карбоксамид;
4-[[3-Хлор-7-(3,4-дихлорфенил)-4,7-дигидро-5-метилпиразол[1,5-а]пиримидин-6-ил]карбонил]тиоморфолин;
1-[[3-Хлор-7-(3,4-дихлорфенил)-4,7-дигидро-5-метилпиразол[1,5-а]пиримидин-6-ил]карбонил]-2,3-дигидро-1Н-индол;
1-[[3-Хлор-7-(3,4-дихлорфенил)-4,7-дигидро-5-метил-пиразол[1,5-а]пиримидин-6-ил]карбонил]гексагидро-1Н-азепин;
1-[[3-Хлор-7-(3,4-дихлорфенил)-4,7-дигидро-5-метилпиразол[1,5-а]пиримидин-6-ил]карбонил]октагидроазоцин;
1-[[3-Хлор-7-(3,4-дихлорфенил)-4,7-дигидро-5-метилпиразол[1,5-а] пиримидин-6-ил]карбонил]-1,2,3,6-тетрагидропиридин;
3-Хлор-7-(3,4-дихлорфенил)-4,7-дигидро-N,5-диметил-N-[(1S)-1-фенилэтил]-пиразол[1,5-а]пиримидин-6-карбоксамид;
3-Хлор-7-(3,4-дихлорфенил)-4,7-дигидро-N,5-диметил-N-[(1R)-1-фенилэтил]-пиразол[1,5-а]пиримидин-6-карбоксамид;
1-[[7-(3,4-Дихлорфенил)-4,7-дигидро-5-метилпиразол[1,5-а]пиримидин-6-ил]-карбонил]-2-(метоксиметил)пиперидин;
[(3R)-1-[[7-(3,4-Дихлорфенил)-4,7-дигидро-5-метилпиразол[1,5-а]пиримидин-6-ил]карбонил]-3-пирролидинил]карбоновой кислоты 1,1-диметилэтиловый эфир;
[(3S)-1-[[7-(3,4-Дихлорфенил)-4,7-дигидро-5-метилпиразол[1,5-а]пиримидин-6-ил]карбонил]-3-пирролидинил]карбоновой кислоты 1,1-диметилэтиловый эфир;
(3R)-1-[[7-(3,4-Дихлорфенил)-4,7-дигидро-5-метилпиразол[1,5-а]пиримидин-6-ил]карбонил]-3-(диметиламино)пирролидин;
N-[1-[[7-(3,4-Дихлорфенил)-4,7-дигидро-5-метилпиразол[1,5-а]пиримидин-6-ил]карбонил]-3-пирролидинил]ацетамид;
N-[1-[[7-(3,4-Дихлорфенил)-4,7-дигидро-5-метилпиразол[1,5-а]пиримидин-6-ил]карбонил]-3-пирролидинил]-N-метилацетамид;
3-Хлор-7-(3-хлорфенил)-N-циклогексил-4,7-дигидро-N,5-диметилпиразол[1,5-а]пиримидин-6-карбоксамид;
(2S)-1-[[3-Хлор-7-(3,4-дихлорфенил)-4,7-дигидро-5-метил-пиразол[1,5-а]пиримидин-6-ил]карбонил]-2-(метоксиметил)пирролидин;
1-[[3-Хлор-7-(3,4-дихлорфенил)-4,7-дигидро-5-метилпиразол[1,5-а]пиримидин-6-ил]карбонил]декагидрохинолин;
2-[[3-Хлор-7-(3,4-дихлорфенил)-4,7-дигидро-5-метилпиразол[1,5-а]пиримидин-6-ил]карбонил]-1,2,3,4-тетрагидроизохинолин;
4-[[3-Хлор-7-(3-хлорфенил)-4,7-дигидро-5-метилпиразол[1,5-а]пиримидин-6-ил]карбонил]тиоморфолин;
N-Циклогексил-7-(3,4-дихлорфенил)-4,7-дигидро-N,5-диметил-2-(трифторметил)пиразол[1,5-а]пиримидин-6-карбоксамид;
1-[[7-(3,4-Дихлорфенил)-4,7-дигидро-5-метилпиразол[1,5-а]пиримидин-6-ил]карбонил]азациклотридекан;
1-[[7-(3,4-Дихлорфенил)-4,7-дигидро-5-метилпиразол[1,5-а]пиримидин-6-ил]карбонил]додекагидро-1Н-флуорен;
(2S)-1-[[7-(3,4-Ди-хлорфенил)-4,7-дигидро-5-метил-2-(трифторметил)пиразол-[1,5-а]пиримидин-6-ил]карбонил]-2-(метоксиметил)пирролидин;
1-[[3-Хлор-7-(3-хлорфенил)-4,7-дигидро-5-метилпиразол[1,5-а]пиримидин-6-ил]карбонил]гексагидро-1Н-азепин;
1-[[3-Хлор-7-(3-хлорфенил)-4,7-дигидро-5-метилпиразол[1,5-а]пиримидин-6-ил]карбонил]октагидроазоцин;
1-[[3-Хлор-7-(3-хлорфенил)-4,7-дигидро-5-метилпиразол[1,5-а]пиримидин-6-ил]карбонил]-1,2,3,6-тетрагидропиридин;
3-Хлор-7-(3-хлорфенил)-4,7-дигидро-N,5-диметил-N-[(1S)-1-фенилэтил]пиразол[1,5-а]пиримидин-6-карбоксамид;
(2S)-1-[[3-Хлор-7-(3-хлорфенил)-4,7-дигидро-5-метилпиразол[1,5-а]пиримидин-6-ил]карбонил]-2-(метоксиметил)пирролидин;
1-[[3-Хлор-7-(3-хлорфенил)-4,7-дигидро-5-метилпиразол[1,5-а]пиримидин-6-ил]карбонил]декагидрохинолин;
2-[[3-Хлор-7-(3-хлорфенил)-4,7-дигидро-5-метилпиразол[1,5-а]пиримидин-6-ил]карбонил]-1,2,3,4-тетрагидроизохинолин;
1-[[3-Хлор-7-(2,3-дихлорфенил)-4,7-дигидро-5-метилпиразол[1,5-а]пиримидин-6-ил]карбонил]гексагидро-1Н-азепин;
1-[[3-Хлор-7-(2,3-дихлорфенил)-4,7-дигидро-5-метилпиразол[1,5-а]пиримидин-6-ил]карбонил]-1,2,3,6-тетрагидропиридин;
(2S)-1-[[3-Хлор-7-(2,3-дихлорфенил)-4,7-дигидро-5-метилпиразол[1,5-а]пиримидин-6-ил]карбонил]-2-(метоксиметил)пирролидин;
1-[[7-(3,4-Дихлорфенил)-4,7-дигидро-5-метил-2-(трифторметил)пиразол[1,5-а]пиримидин-6-ил]карбонил]-2,3-дигидро-1Н-индол;
1-[[7-(3,4-Дихлорфенил)-4,7-дигидро-5-метил-2-(трифторметил)пиразол[1,5-а]пиримидин-6-ил]карбонил]гексагидро-1H-азепин;
7-(3,4-Дихлорфенил)-4,7-дигидро-N,5-диметил-N-[(1S)-1-фенилэтил]-2-(трифторметил)пиразол[1,5-а]пиримидин-6-карбоксамид;
7-(3,4-Дихлорфенил)-4,7-дигидро-N,5-диметил-N-[(1R)-1-фенилэтил]-2-(трифторметил)пиразол[1,5-а] пиримидин-6-карбоксамид;
7-(3,4-Дихлорфенил)-4,7-дигидро-N,N-бис(2-метоксиэтил)-5-метилпиразол[1,5-а]пиримидин-6-карбоксамид;
7-(3,4-Дихлорфенил)-N,N-бис(2-этоксиэтил)-4,7-дигидро-5-метилпиразол[1,5-а]пиримидин-6-карбоксамид;
7-(3,4-Дихлорфенил)-4,7-дигидро-N-(2-метоксиэтил)-N,5-диметилпиразол[1,5-а]пиримидин-6-карбоксамид;
7-(3,4-Дихлорфенил)-4,7-дигидро-N-(2-метоксиэтил)-5-метил-N-пропилпиразол[1,5-а] пиримидин-6-карбоксамид;
2-[[3-Хлор-7-(2,3-дихлорфенил)-4,7-дигидро-5-метилпиразол[1,5-а]пиримидин-6-ил]карбонил]-1,2,3,4-тетрагидроизохинолин;
1-[[3-Хлор-7-(2,3-дихлорфенил)-4,7-дигидро-5-метилпиразол[1,5-а]пиримидин-6-ил]карбонил]октагидроазоцин;
3-Хлор-7-(2,3-дихлорфенил)-4,7-дигидро-N,5-диметил-]N-[(1S)-1-фенилэтил]пиразол[1,5-а]пиримидин-6-карбоксамид;
3-Хлор-N-циклогексил-7-(2,3-дихлорфенил)-4,7-дигидро-N,5-диметилпиразол[1,5-а]пиримидин-6-карбоксамид;
7-(3,4-Дихлорфенил)-N-этил-4,7-дигидро-N-(2-метоксиэтил)-5-метилпиразол[1,5-а]пиримидин-6-карбоксамид;
N-[[7-(3,4-Дихлорфенил)-4,7-дигидро-5-метилпиразол[1,5-а]пиримидин-6-ил] карбонил]-Н-метилглицин этиловый эфир;
N-[[7-(3,4-Дихлорфенил)-4,7-дигидро-5-метилпиразол[1,5-а]пиримидин-6-ил]карбонил]-N-метилглицин 1,1-диметилэтиловый эфир;
N-[[7-(3,4-Дихлорфенил)-4,7-дигидро-5-метилпиразол[1,5-а]пиримидин-6-ил]карбонил]-N-(2-этокси-2-оксоэтил)глицин этиловый эфир;
1-[[7-(3,4-Дихлорфенил)-4,7-дигидро-5-метилпиразол[1,5-а]пиримидин-6-ил]карбонил]-2-(3-пиридинил)пиперидин;
1-[[7-(3,4-Дихлорфенил)-4,7-дигидро-5-метилпиразол[1,5-а]пиримидин-6-ил]карбонил]-1,2,3,4-тетрагидро-6-метилхинолин;
1-[[7-(3,4-Дихлорфенил)-4,7-дигидро-5-метилпиразол[1,5-а]пиримидин-6-ил]карбонил]-2-пропилпиперидин;
1-[[7-(3,4-Дихлорфенил)-4,7-дигидро-5-метилпиразол[1,5-а]пиримидин-6-ил] карбонил]-2-[(диэтиламино)метил]пиперидин;
7-(3,4-Дихлорфенил)-4,7-дигидро-5-метил-N-(2-феноксиэтил)-пиразол[1,5-а]пиримидин-6-карбоксамид;
1-[(7-циклопропил-4,7-дигидро-5-метилпиразол[1,5-а]пиримидин-6-ил)карбонил]-4-(4-фторфенил)пиперазин;
1-[[4,7-Дигидро-5-метил-7-(1-метилэтил)пиразол[1,5-а]пиримидин-6-ил]карбонил]-4-(4-фторфенил)пиперазин;
(2S)-1-[[4,7-Дигидро-5-метил-7-(1-метилэтил)пиразол[1,5-а]пиримидин-6-ил]карбонил]-2-(метоксиметил)пирролидин;
1-[[4,7-Дигидро-5-метил-7-(1-метилэтил)пиразол[1,5-а]пиримидин-6-ил]карбонил]-2,3-дигидро-1Н-индол;
1-[[4,7-Дигидро-5-метил-7-(1-метилэтил)пиразол[1,5-а]пиримидин-6-ил]карбонил]-1,2,3,6-тетрагидропиридин;
7-(3,4-Дихлорфенил)-4,7-дигидро-N,5-диметил-N-(фенилметил)пиразол[1,5-а]пиримидин-6-карбоксамид;
7-(3,4-Дихлорфенил)-4,7-дигидро-N,5-диметил-N-(2-фенилэтил)пиразол[1,5-а]пиримидин-6-карбоксамид;
7-(3,4-Дихлорфенил)-4,7-дигидро-5-метил-N-(2-фенилэтил)-N-(фенилметил)пиразол[1,5-а]пиримидин-6-карбоксамид;
(2S)-1-[[7-(3,4-Дихлорфенил)-4,7-дигидро-5-метилпиразол[1,5-а]пиримидин-6-ил]карбонил]-2-(феноксиметил)пирролидин;
(2R)-1-[[7-(3,4-Дихлорфенил)-4,7-дигидро-5-метилпиразол[1,5-а]пиримидин-6-ил]карбонил]-2-(феноксиметил)пирролидин;
(2S)-1-[[7-(3,4-Дихлорфенил)-4,7-дигидро-5-метилпиразол[1;5-а]пиримидин-6-ил]карбонил]-2-[(4-фторфенокси)метил]-пирролидин;
(2R)-1-[[7-(3,4-Дихлорфенил)-4,7-дигидро-5-метилпиразол[1,5-а]пиримидин-6-ил]карбонил]-2-[(4-фторфенокси)метил]-пирролидин;
7-(3,4-Дихлорфенил)-4,7-дигидро-N-(2-метоксиэтил)-5-метилпиразол[1,5-а]пиримидин-6-карбоксамид;
(2S)-1-[[7-(3,4-Дихлорфенил)-4,7-дигидро-5-метилпиразол[1,5-а]пиримидин-6-ил]карбонил]-2-(гидроксидифенилметил)пирролидин;
(2R)-1-[[7-(3,4-Дихлорфенил)-4,7-дигидро-5-метилпиразол[1,5-а]пиримидин-6-ил]карбонил]-2-(гидроксидифенилметил)пирролидин;
1-[[7-(3,4-Дихлорфенил)-4,7-дигидро-5-метилпиразол[1,5-а]пиримидин-6-ил]карбонил]-2-(3-пиридинил)пирролидин;
(2S)-1-[[7-(2,3-Дихлорфенил)-4,7-дигидро-5-метилпиразол[1,5-а]пиримидин-6-ил]карбонил]-2-(метоксиметил)пирролидин;
1-[[7-(3,4-Дихлорфенил)-4,7-дигидро-5-метилпиразол[1,5-а]пиримидин-6-ил]карбонил]-2-фенилпирролидин;
3-[[7-(3,4-Дихлорфенил)-4,7-дигидро-5-метилпиразол[1,5-а]пиримидин-6-ил]карбонил]-2-фенилтиазолидин;
3-[[7-(3,4-Дихлорфенил)-4,7-дигидро-5-метилпиразол[1,5-а]пиримидин-6-ил]карбонил]-2-тиазолидинкарбоновой кислоты метиловый эфир;
7-(3,4-Дихлорфенил)-4,7-дигидро-N,5-диметил-N-(3-фенилпропил)пиразол[1,5-а]пиримидин-6-карбоксамид;
7-(3,4-Дихлорфенил)-N-этил-4,7-дигидро-5-метил-N-(3-фенилпропил)пиразол[1,5-а]пиримидин-6-карбоксамид;
7-(3,4-Дихлорфенил)-4,7-дигидро-5-метил-N-(3-фенилпропил)-N-пропилпиразол[1,5-а]пиримидин-6-карбоксамид;
N-Бутил-7-(3,4-дихлорфенил)-4,7-дигидро-5-метил-N-(3-фенилпропил)пиразол[1,5-а]пиримидин-6-карбоксамид;
2-(4-Хлорфенил)-3-[[7-(3,4-дихлорфенил)-4,7-дигидро-5-метилпиразол[1,5-а]пиримидин-6-ил]карбонил]тиазолидин;
N-(Циклопропилметил)-7-(3,4-дихлорфенил)-4,7-дигидро-5-метил-N-пропилпиразол[1,5-а]пиримидин-6-карбоксамид;
1-[[7-(3,4-Дихлорфенил)-4,7-дигидро-5-метилпиразол[1,5-а]пиримидин-6-ил]карбонил]-4-(2,3-дигидро-2-оксо-1Н-бензимидазол-1-ил)пиперидин;
8-[[7-(2,3-Дихлорфенил)-4,7-дигидро-5-метилпиразол[1,5-а]пиримидин-6-ил]карбонил]-1-фенил-1,3,8-триазаспиро[4.5]декан-4-он;
4-(4-Хлорфенил)-1-[[7-(3,4-дихлорфенил)-4,7-дигидро-5-метилпиразол[1,5-а]пиримидин-6-ил]карбонил]-1,2,3,6-тетрагидропиридин;
1-[[7-(3,4-Дихлорфенил)-4,7-дигидро-5-метилпиразол[1,5-а]пиримидин-6-ил]карбонил]-2-(2-фенилэтил)пирролидин;
1-[[7-(3,4-Дихлорфенил)-4,7-дигидро-5-метилпиразол[1,5-а]пиримидин-6-ил]карбонил]-2-(4-метоксифенил)пирролидин;
1-[[7-(3,4-Дихлорфенил)-4,7-дигидро-5-метилпиразол[1,5-а]пиримидин-6-ил]карбонил]-2-(2-метоксифенил)пирролидин;
(3R)-1-[[7-(3,4-Дихлорфенил)-4,7-дигидро-5-метилпиразол[1,5-а]пиримидин-6-ил]карбонил]-3-феноксипирролидин;
(2S)-2-[(Циклогексилокси)метил]-1-[[7-(3,4-дихлорфенил)-4,7-дигидро-5-метилпиразол[1,5-а]пиримидин-6-ил]карбонил]пирролидин;
1-[[7-(3,4-Дихлорфенил)-4,7-дигидро-5-метилпиразол[1,5-а]пиримидин-6-ил]карбонил]-2-(фенилметил)пирролидин;
1-[[7-(3,4-Дихлорфенил)-4,7-дигидро-5-метилпиразол[1,5-а]пиримидин-6-ил]карбонил]-2-(3-метоксифенил)пирролидин;
(2S)-2-(Бутоксиметил)-1-[[7-(3,4-дихлорфенил)-4,7-дигидро-5-метилпиразол[1,5-а]пиримидин-6-ил]карбонил]пирролидин;
1-[[7-(3,4-Дихлорфенил)-4,7-дигидро-5-метилпиразол[1,5-а]пиримидин-6-ил]карбонил]-2-(2-тиенил)пирролидин;
1-[[7-(3,4-Дихлорфенил)-4,7-дигидро-5-метилпиразол[1,5-а]пиримидин-6-ил]карбонил]-2-(4-пиридинил)пирролидин;
(2S)-1-[[7-(3,4-Дихлорфенил)-4,7-дигидро-5-метилпиразол[1,5-а]пиримидин-6-ил]карбонил]-2-[(метоксиметокси)-метил]пирролидин;
(2S)-2-(1Н-Бензимидазол-1-илметил)-1-[[7-(3,4-дихлорфенил)-4,7-дигидро-5-метилпиразол[1,5-а]пиримидин-6-ил]карбонил]пирролидин;
1-[[7-(3,4-Дихлорфенил)-4,7-дигидро-5-метилпиразол[1,5-а]пиримидин-6-ил]карбонил]-2-(3-фуранил)пирролидин;
1-[[7-(3,4-Дихлорфенил)-4,7-дигидро-5-метилпиразол[1,5-а]пиримидин-6-ил]карбонил]-2-(2-пиридинил)пирролидин;
(3S)-1-[[7-(3,4-Дихлорфенил)-4,7-дигидро-5-метилпиразол[1,5-а]пиримидин-6-ил]карбонил]-3-феноксипирролидин;
2S-1-[[7-(3,4-Дихлорфенил)-4,7-дигидро-5-метилпиразол[1,5-а]пиримидин-6-ил]карбонил]-3-феноксипирролидин;
7-(3,4-Дихлорфенил)-4,7-дигидро-N-[(1R)-2,3-дигидро-1Н-инден-1-ил]-5-метил-2-(трифторметил)пиразол[1,5-а]пиримидин-6-карбоксамид;
7-(3,4-Дихлорфенил)-N-(2,3-дигидро-1Н-инден-2-ил)-4,7-дигидро-5-метил-2-(трифторметил)пиразол[1,5-а]пиримидин-6-карбоксамид;
N-[[7-(3,4-Дихлорфенил)-4,7-дигидро-5-метил-2-(трифторметил)пиразол[1,5-а]пиримидин-6-ил]карбонил]-D-фенилаланин метиловый эфир;
7-(3,4-Дихлорфенил)-4,7-дигидро-5-метил-N-(1,2,3,4-тетрагидро-1-нафталенил)-2-(трифторметил)пиразол[1,5-а]пиримидин-6-карбоксамид;
7-(3,4-Дихлорфенил)-4,7-дигидро-5-метил-N-[3-(2-оксо-1-пирролидинил)пропил]-2-(трифторметил)пиразол[1,5-а]пиримидин-6-карбоксамид;
7-(3,4-Дихлорфенил)-N-(2-фуранилметил)-4,7-дигидро-5-метил-2-(три-фторметил)пиразол[1,5-а]пиримидин-6-карбоксамид;
7-(3,4-Дихлорфенил)-N-[(3,4-дихлорфенил)метил]-4,7-дигидро-5-метил-2-(трифторметил)пиразол[1,5-а]пиримидин-6-карбоксамид;
7-(3,4-Дихлорфенил)-4,7-дигидро-N-[(2R)-2-(метоксиметил)-1-пирролидинил]-5-метил-2-(трифторметил)пиразол[1,5-а]пиримидин-6-карбоксамид;
7-(3,4-Дихлорфенил)-4,7-дигидро-5-метил-N-[(тетрагидро-2-фуранил)-метил]-2-(трифторметил)пиразол[1,5-а]пиримидин-6-карбоксамид;
7-(3,4-Дихлорфенил)-4,7-дигидро-N-[(1S)-2,3-дигидро-1Н-инден-1-ил]-5-метил-2-(трифторметил)пиразол[1,5-а]пиримидин-6-карбоксамид;
7-(3,4-Дихлорфенил)-N-[2-(3,4-дихлорфенил)этил]-4,7-дигидро-5-метил-2-(трифторметил)пиразол[1,5-а]пиримидин-6-карбоксамид;
7-(3,4-Дихлорфенил)-4,7-дигидро-5-метил-2-(трифторметил)-N-[[4-[(трифторметил)тио]-фенил]метил]пиразол-[1,5-а]пиримидин-6-карбоксамид;
(2S)-1-[[7-(3,4-Дихлорфенил)-4,7ди-гидро-5-метил-2-(трифторметил)пиразол[1,5-а]пиримидин-6-ил]карбонил]-2-(1-пирролидинилметил)пирролидин;
1-[[7-(3,4-Дихлорфенил)-4,7-дигидро-5-метилпиразол[1,5-а]пиримидин-6-ил]карбонил]-4-(1-нафталенилсульфонил)пиперазин;
1-[[7-(3,4-Дихлорфенил)-4,7-дигидро-5-метилпиразол[1,5-а]пиримидин-6-ил]карбонил]-4-[(4-этилфенил)сульфонил]пиперазин;
1-[(4-Бром-5-хлор-2-тиенил)сульфонил]-4-[[7-(3,4-дихлорфенил)-4,7-дигидро-5-метилпиразол[1,5-а]пиримидин-6-ил]карбонил]пиперазин;
1-[[7-(3,4-Дихлорфенил)-4,7-дигидро-5-метилпиразол[1,5-а]пиримидин-6-ил]карбонил]-4-[[2-(трифторметокси)фенил]сульфонил]пиперазин;
1-[(5-Хлор-3-метил-Бензо[b]тиофен-2-ил)сульфонил]-4-[[7-(3,4-дихлорфенил)-4,7-дигидро-5-метилпиразол[1,5-а]пиримидин-6-ил]карбонил]пиперазин;
1-[[7-(3,4-Дихлорфенил)-4,7-дигидро-5-метилпиразол[1,5-а]пиримидин-6-ил] карбонил]-4-[(3-метоксифенил)карбонил]пиперазин;
1-[[7-(3,4-Дихлорфенил)-4,7-дигидро-5-метилпиразол[1,5-а]пиримидин-6-ил]карбонил]-4-(1-оксо-3-фенил-2-пропенил)пиперазин;
1-[[7-(3,4-Дихлорфенил)-4,7-дигидро-5-метилпиразол[1,5-а]пиримидин-6-ил]карбонил]-4-(4-пиридинилкарбонил)пиперазин;
1-[[7-(2,3-Дихлорфенил)-4,7-дигидро-4,5-диметилпиразол[1,5-а]пиримидин-6-ил]карбонил]-4-фенилпиперазин;
1-[[7-(3,4-Дихлорфенил)-4,7-дигидро-4,5-диметилпиразол[1,5-а]пиримидин-6-ил]карбонил]-4-(4-фторфенил)пиперазин;
1-[[7-(2,3-Дихлорфенил)-4,7-дигидро-4,5-диметилпиразол[1,5-а]пиримидин-6-ил]карбонил]-4-(4-фторфенил)пиперазин;
1-[[7-(2,3-Дихлорфенил)-4,7-дигидро-2,4,5-триметилпиразол[1,5-а]пиримидин-6-ил]карбонил]-4-(4-фторфенил)пиперазин;
1-[[7-(2,3-Дихлорфенил)-4-[(4-фторфенил)метил]-4,7дигидро-2,5-диметилпиразол[1,5-а]пиримидин-6-ил]карбонил]-4-(4-фторфенил)пиперазин;
7-(2,3-Дихлорфенил)-6-[[4-(4-фторфенил)-1-пиперазинил]карбонил]-2,5-диметилпиразол[1,5-а]пиримидин-4(7Н)-уксусная кислоты этиловый эфир;
7-(2,3-Дихлорфенил)-6-[[4-(4-фторфенил)-1-пиперазинил]карбонил]-N,N,2,5-тетраметилпиразол[1,5-а]пиримидин-4(7Н)-ацетамид;
1-[[7-(2,3-Дихлорфенил)-4-[2-(диметиламино)этил]-4,7-дигидро-2,5-диметилпиразол[1,5-а]пиримидин-6-ил]карбонил]-4-(4-фторфенил)пиперазин;
1-[[4-(Циклопропилметил)-7-(2,3-Дихлорфенил)-4,7-дигидро-2,5-диметилпиразол[1,5-а]пиримидин-6-ил]карбонил]-4-(4-фторфенил)пиперазин;
7-(2,3-Дихлорфенил)-6-[[4-(4-фторфенил)-1-пиперазинил]карбонил]-N,N,2,5-тетраметилпиразол[1,5-а]пиримидин-4(7Н)-карбоксамид;
1-[[7-(2,3-Дихлорфенил)-4,7-дигидро-4-метил-5-(трифторметил)пиразол[1,5-а]пиримидин-6-ил]карбонил]-4-(4-фторфенил)пиперазин;
1-[[7-(2,3-Дихлорфенил)-4,7-дигидро-5-(трифторметил)пиразол[1,5-а]пиримидин-6-ил]карбонил]-4-(4-фторфенил)пиперазин;
1-[[7-(2,3-Дихлорфенил)-4,7-дигидро-2-метил-5-(трифторметил)пиразол[1,5-а]пиримидин-6-ил]карбонил]-4-(4-фторфенил)пиперазин;
1-[[7-(2,3-Дихлорфенил)-4,7-дигидро-2,4-диметил-5-(трифторметил)пиразол[1,5-а]пиримидин-6-ил]карбонил]-4-(4-фторфенил)пиперазин;
1-[[7-(3,4-Дихлорофенил)-4,7-дигидро-5-(трифторметил)пиразол[1,5-а]пиримидин-6-ил]карбонил]-4-(4-фторфенил)пиперазин;
1-[7-(3,4-Дихлорфенил)-4,7-дигидро-2-метил-5-(трифторметил)пиразол[1,5-а]пиримидин-6-ил]карбонил]-4-(4-фторфенил)пиперазин;
1-[[1-Бензоил-7-(2,3-дихлорфенил)-1,2,4,7-тетрагидро-5-метил-2-оксопиразол[1,5-а]пиримидин-6-ил]карбонил]-4-фенилпиперазин;
1-[[1-Бензоил-7-(3,4-дихлорфенил)-1,2,4,7-тетрагидро-5-метил-2-оксопиразол[1,5-а]пиримидин-6-ил]карбонил]-4-фенилпиперазин;
1-[[1-Ацетил-7-(3,4-дихлорфенил)-1,2,4,7-тетрагидро-5-метил-2-оксопиразол[1,5-а]пиримидин-6-ил]карбонил]-4-фенилпиперазин;
1 -[[7-(3,4-Дихлорфенил)-1,2,4,7-тетрагидро-5-метил-2-оксо-1-(1-оксобутил)-пиразол[1,5-а]пиримидин-6-ил]карбонил]-4-фенилпиперазин;
1-[[1-(циклопропилкарбонил)-7-(3,4-дихлорфенил)-1,2,4,7-тетрагидро-5-метил-2-оксопиразол[1,5-а]пиримидин-6-ил]карбонил]-4-фенилпиперазин;
1-[[1-(циклопропилкарбонил)-7-(2,3-дихлорфенил)-1,2,4,7-тетрагидро-5-метил-2-оксопиразол[1,5-а]пиримидин-6-ил]карбонил]-4-(4-фторфенил)пиперазин;
1-[[7-(2,3-Дихлорфенил)-1,2,4,7-тетрагидро-5-метил-1-(3-метил-1-оксобутил)-2-оксопиразол[1,5-а]пирмидин-6-ил]карбонил]-4-(4-фторфенил)пиперазин;
1-[[7-(2,3-Дихлорфенил)-(2,2-диметил-1-оксопропил)-1,2,4,7-тетрагидро-5-метил-2-оксопиразол[1,5-а]пиримидин-6-ил]карбонил]-4-фенилпиперазин;
1-[[1-(Циклопропилкарбонил)-7-(3,4-дихлорфенил)-1,2,4,7-тетрагидро-5-метил-2-оксопиразол[1,5-а]пиримидин-6-ил]карбонил]-4-(4-фторфенил)пиперазин;
1-[[1-(Циклобутилкарбонил)-7-(3,4-дихлорфенил)-1,2,4,7-тетрагидро-5-метил-2-оксопиразол[1,5-а]пиримидин-6-ил]карбонил]-4-(4-фторфенил)пиперазин;
1-[[7-(3,4-Дихлорфенил)-1,2,4,7-тетрагидро-5-метил-1-(2-метил-1-оксопропил)-2-оксопиразол[1,5-а]пиримидин-6-ил]карбонил]-4-(4-фторфенил)пиперазин;
1-[[7-(2,3-Дихлорфенил)-1,2,4,7-тетрагидро-5-метил-1-[(1-метилэтил)сульфонил]-2-оксопиразол[1,5-а]пиримидин-6-ил]карбонил]-4-фенилпиперазин;
1-[[7-(3,4-Дихлорфенил)-1,2,4,7-тетрагидро-5-метил-1-[(1-метилэтил)сульфонил]-2-оксопиразол[1,5-а]пиримидин-6-ил]карбонил]-4-(4-фторфенил)пиперазин;
7-(2,3-Дихлорфенил)-4,7-дигидро-5-метил-N-(1-метилэтил)-2-оксо-6-[(4-фенил-1-пиперазинил)карбонил]пиразол[1,5-а]пиримидин-1(2Н)-карбоксамид;
7-(2,3-Дихлорфенил)-4,7-дигидро-N,5-диметил-2-оксо-6-[(4-фенил-1-пиперазинил)карбонил]пиразол[1,5-а]пиримидин-1(2Н)-карбоксамид;
7-(2,3-Дихлорфенил)-4,7-дигидро-5-метил-2-оксо-6-[(4-фенил-1-пиперазинил)карбонил]пиразол[1,5-а]пиримидин-1(2Н)-карбоксамид;
7-(3,4-Дихлорфенил)-6-[[4-(4-фторфенил)-1-пиперазинил]карбонил]-4,7-дигидро-N,N,5-триметил-2-оксопиразол[1,5-а]пиримидин-1(2Н)-карбоксамид;
1-[[1-(3-Бутенил)-7-(3,4-дихлорфенил)-1,2,4,7-тетрагидро-5-метил-2-оксопиразол[1,5-а]пиримидин-6-ил]карбонил]-4-(4-фторфенил)пиперазин;
1-[[7-(3,4-Дихлорфенил)-1,2,4,7-тетрагидро-5-метил-2-оксо-1-(2,2,2-трифторэтил)пиразол-[1,5-а]пиримидин-6-ил]карбонил]-4-(4-фторфенил)пиперазин;
1-[[7-(3,4-Дихлорфенил)-1,2,4,7тетрагидро-5-метил-2-оксо-1,4-бис(2,2,2-трифторэтил)пиразол[1,5-а]пиримидин-6-ил]карбонил]-4-(4-фторфенил)пиперазин;
7-(3,4-Дихлорфенил)-6-[[4-(4-фторфенил)-1-пиперазинил]карбонил]-4,7-дигидро-5-метил-2-оксопиразол[1,5-а]пиримидин-1(2Н)-карбоновой кислоты 1-метилэтиловый эфир;
1-[(4,7-Дигидро-5-метилпиразол[1,5-а]пиримидин-6-ил)карбонил]-4-фенилпиперазин;
7-(3,4-дихлорфенил)-6-[[4-(4-фторфенил)-1-пиперазинил]карбонил]-4,7-дигидро-5-метилпиразол[1,5-а]пиримидин-2-карбоновой кислоты;
7-(3,4-Дихлорфенил)-N,N-диэтил-6-[[4-(4-фторфенил)-1-пиперазинил]карбонил]-4,7-дигидро-5-метилпиразол[1,5-а]пиримидин-2-карбоксамид;
7-(3,4-Дихлорфенил)-6-[[4-(4-фторфенил)-1-пиперазинил]карбонил]-4,7-дигидро-N-(4-гидроксифенил)-5-метилпиразол[1,5-а]пиримидин-2-карбоксамид;
1-[[7-(3,4-Дихлорфенил)-4,7дигидро-5-метил-2-[[(2S)-2-(1-пирролидинилметил)-1-пирролидинил]карбонил]-пиразол[1,5-а]пиримидин-6-ил]карбонил]-4-(4-фторфенил)пиперазин;
7-(3,4-Дихлорфенил)-6-[[4-(4-фторфенил)-1-пиперазинил]карбонил]-4,7-дигидро-5-метилпиразол[1,5-а]пиримидин-2-карбоксамид;
7-(3,4-Дихлорфенил)-6-[[4-(4-фторфенил)-1-пиперазинил]карбонил]-4,7-дигидро-5-метил-N-(фенилметил)пиразол-[1,5-а]пиримидин-2-карбоксамид;
7-(3,4-Дихлорфенил)-6-[[4-(4-фторфенил)-1-пиперазинил]карбонил]-4,7-дигидро-5-метил-N-(2-фенилэтил)-пиразол[1,5-а]пиримидин-2-карбоксамид;
1-[[2-Циано-7-(3,4-дихлорфенил)-4,7-дигидро-5-метилпиразол[1,5-а]пиримидин-6-ил]карбонил]-4-(4-фторфенил)пиперазин;
1-[[3-Бром-7-(2,3-дихлорфенил)-4,7-дигидро-5-метилпиразол[1,5-а]пиримидин-6-ил]карбонил]-4-фенилпиперазин;
1-[[3-Хлор-7-(2,3-дихлорфенил)-4,7-дигидро-5-метилпиразол[1,5-а]пиримидин-6-ил]карбонил]-4-фенилпиперазин;
1-[[3-Хлор-7-(2,3-дихлорфенил)-4,7-дигидро-5-метилпиразол[1,5-а]пиримидин-6-ил]карбонил]-4-(4-фторфенил)пиперазин;
1-[[3-Хлор-7-(3,4-дихлорфенил)-4,7-дигидро-5-метилпиразол[1,5-а]пиримидин-6-ил]карбонил]-4-(4-фторфенил)пиперазин;
7-(3,4-Дихлорфенил)-4,7-дигидро-5-(метоксиметил)-N-(2-пиридинилметил)пиразол[1,5-а]пиримидин-6-карбоксамид;
7-(2,3-Дихлорфенил)-4,7-дигидро-5-(метоксиметил)-N-(2-пиридинилметил)пиразол[1,5-а]пиримидин-6-карбоксамид;
1-[[7-(3,4-Дихлорфенил)-4,7-дигидро-5-(метоксиметил)пиразол[1,5-а]пиримидин-6-ил]карбонил]-2-(4-фторфенил)пирролидин;
7-(3,4-Дихлорфенил)-4,7-дигидро-5-(метоксиметил)-N-(3-фенилпропил)пиразол[1,5-а]пиримидин-6-карбоксамид;
1-[[7-(3,4-Дихлорфенил)-4,7-дигидро-5-(метоксиметил)пиразол[1,5-а]пиримидин-6-ил]карбонил]-4-(4-фторфенил)пиперазин;
(2S)-1-[[7-(3,4-Дихлорфенил)-4,7-дигидро-5-(метоксиметил)пиразол[1,5-а]пиримидин-6-ил]карбонил]-2-(метоксиметил)пирролидин;
5-Циклогексил-7-(3,4-дихлорфенил)-4,7-дигидро-N-(3-фенилпропил)пиразол[1,5-а]пиримидин-6-карбоксамид;
1-[[5-Циклогексил-7-(3,4-дихлорфенил)-4,7-дигидропиразол[1,5-а]пиримидин-6-ил]карбонил]-4-(4-фторфенил)пиперазин;
(2S)-1-[[5-Циклогексил-7-(3,4-дихлорфенил)-4,7-дигидропиразол[1,5-а]пиримидин-6-ил]карбонил]-2-(метоксиметил)пирролидин;
7-(3,4-Дихлорфенил)-4,7-дигидро-5-фенил-N-(3-фенилпропил)пиразол[1,5-а]пиримидин-6-карбоксамид;
1-[[7-(3,4-Дихлорфенил)-4,7-дигидро-5-фенилпиразол[1,5-а]пиримидин-6-ил]карбонил]-4-(4-фторфенил)пиперазин;
(2S)-1-[[7-(3,4-Дихлорфенил)-4,7-дигидро-5-фенилпиразол[1,5-а]пиримидин-6-ил]карбонил]-2-(метоксиметил)пирролидин;
1-[[7-(3,4-Дихлорфенил)-4,7-дигидро-5-метилпиразол[1,5-а]пиримидин-6-ил]карбонил]-2-фенилпиразолидин;
1-[[7-(3,4-Дихлорфенил)-4,7-дигидро-5-метил-2-(трифторметил)пиразол[1,5-а]пиримидин-6-ил]карбонил]-2-(2-тиенил)пирролидин;
1-[[7-(3,4-Дихлорфенил)-4,7-дигидро-5-метил-2-(трифторметил)пиразол[1,5-а]пиримидин-6-ил]карбонил]-2-(4-метоксифенил)пирролидин;
1-[[7-(3,4-Дихлорфенил)-4,7-дигидро-5-метил-2-(трифторметил)пиразол[1,5-а]пиримидин-6-ил]карбонил]-2-(3-фуранил)пирролидин;
1-[[7-(3,4-Дихлорфенил)-4,7-дигидро-5-метил-2-(трифторметил)пиразол[1,5-а]пиримидин-6-ил]карбонил]-2-(2-пиридинил)пирролидин;
1-[[7-(3,4-Дихлорфенил)-4,7-дигидро-5-метил-2-(трифторметил)пиразол[1,5-а]пиримидин-6-ил]карбонил]-2-(4-пиридинил)пирролидин;
1-[[7-(3,4-Дихлорфенил)-4,7-дигидро-5-метил-2-(трифторметил)пиразол[1,5-а]пиримидин-6-ил]карбонил]-2-(фенилметил)пирролидин;
1-[[7-(3,4-Дихлорфенил)-4,7-дигидро-5-метил-2-(трифторметил)пиразол[1,5-а]пиримидин-6-ил]карбонил]-2-(2-метоксифенил)пирролидин;
1-[[7-(3,4-Дихлорфенил)-4,7-дигидро-5-метил-2-(трифторметил)пиразол[1,5-а]пиримидин-6-ил]карбонил]-2-(2-фенилэтил)пирролидин;
7-(3,4-Дихлорфенил)-N-(2,3-диметилциклогексил)-4,7-дигидро-5-метил-2-(трифторметил)пиразол[1,5-а]пиримидин-6-карбоксамид;
7-(3,4-Дихлорфенил)-4,7-дигидро-5-метил-N-[1-(1-нафталенил)этил]-2-(трифторметил)пиразол[1,5-а]пиримидин-6-карбоксамид;
7-(3,4-Дихлорфенил)-4,7-дигидро-5-метил-N-[2-(1-пиперидинил)этил]-2-(трифторметил)пиразол[1,5-а]пиримидин-6-карбоксамид;
7-(3,4-Дихлорфенил)-N-(2,2-дифенилэтил)-4,7-дигидро-5-метил-2-(трифторметил)пиразол[1,5-а]пиримидин-6-карбоксамид;
N-[2-(1-Циклогексен-1-ил)этил]-7-(3,4-дихлорфенил)-4,7-дигидро-5-метил-2-(трифторметил)пиразол[1,5-а]пиримидин-6-карбоксамид;
7-(3,4-Дихлорфенил)-4,7-дигидро-5-метил-N-[2-(фенилтио)этил]-2-(трифторметил)пиразол[1,5-а]пиримидин-6-карбоксамид;
N-([1,1-Бициклогексил]-2-ил)-7-(3,4-дихлорфенил)-4,7-дигидро-5-метил-2-(трифторметил)пиразол[1,5-а]пиримидин-6-карбоксамид;
7-(3,4-Дихлорфенил)-N-[2-[[(2,6-дихлорфенил)метил]тио]этил]-4,7-дигидро-5-метил-2-(трифторметил)пиразол[1,5-а]пиримидин-6-карбоксамид;
N-[(2-Хлор-6-метилфенил)метил]-7-(3,4-дихлорфенил)-4,7-дигидро-5-метил-2-(трифторметил)пиразол[1,5-а]пиримидин-6-карбоксамид;
N-(Бицикло[2.2.1]гептан-2-ил)-7-(3,4-дихлорфенил)-4,7-дигидро-5-метил-2-(трифторметил)пиразол[1,5-а]пиримидин-6-карбоксамид;
N-Циклобутил-7-(3,4-дихлорфенил)-4,7-дигидро-5-метил-2-(трифторметил)пиразол[1,5-а]пиримидин-6-карбоксамид;
N-Циклопентил-7-(3,4-дихлорфенил)-4,7-дигидро-5-метил-2-(трифторметил)пиразол[1,5-а]пиримидин-6-карбоксамид;
N-Циклогексил-7-(3,4-дихлорфенил)-4,7-дигидро-5-метил-2-(трифторметил)пиразол[1,5-а]пиримидин-6-карбоксамид;
7-(3,4-Дихлорфенил)-4,7-дигидро-5-метил-N-(2-метилциклогексил)-2-(трифторметил)пиразол[1,5-а]пиримидин-6-карбоксамид;
N-(Циклогексилметил)-7-(3,4-дихлорфенил)-4,7-дигидро-5-метил-2-(трифторметил)пиразол[1,5-а]пиримидин-6-карбоксамид;
N-(2-Цианоэтил)-7-(3,4-дихлорфенил)-4,7-дигидро-N,5-диметил-2-(трифторметил)пиразол[1,5-а]пиримидин-6-карбоксамид;
7-(3,4-Дихлорфенил)-4,7-дигидро-5-метил-N-[2-(1-метил-2-пирролидинил)этил]-2-(трифторметил)пиразол[1,5-а]пиримидин-6-карбоксамид;
7-(3,4-Дихлорфенил)-N-[(1-этил-2-пирролидинил)метил]-4,7-дигидро-5-метил-2-(трифторметил)пиразол[1,5-а]пиримидин-6-карбоксамид;
7-(3,4-Дихлорфенил)-4,7-дигидро-5-метил-N-[2-(1-пирролидинил)этил]-2-(трифторметил)пиразол[1,5-а]пиримидин-6-карбоксамид;
N-Циклогексил-7-(3,4-дихлорфенил)-N-этил-4,7-дигидро-5-метил-2-(трифторметил)пиразол[1,5-а]пиримидин-6-карбоксамид;
N-Циклогептил-7-(3,4-дихлорфенил)-4,7-дигидро-5-метил-2-(трифторметил)пиразол[1,5-а]пиримидин-6-карбоксамид;
7-(3,4-Дихлорфенил)-4,7-дигидро-[(1S,2S)-1-(гидроксиметил)-2-метилбутил]-5-метил-2-(трифторметил)пиразол[1,5-а]пиримидин-6-карбоксамид;
3-[[7-(3,4-Дихлорфенил)-4,7дигидро-5-метил-2-(трифторметил)пиразол[1,5-а]пиримидин-6-ил]карбонил]тиазолидин;
7-(3,4-Дихлорфенил)-4,7-дигидро-5-метил-N-(2-тиенилметил)-2-(трифторметил)пиразол[1,5-а]пиримидин-6-карбоксамид;
1-[[7-(3,4-Дихлорфенил)-4,7дигидро-5-метил-2-(трифторметил)пиразол[1,5-а]пиримидин-6-ил]карбонил]-4-метилпиперазин;
8-[[7-(3,4-Дихлорфенил)-4,7дигидро-5-метил-2-(трифторметил)пиразол[1,5-а]пиримидин-6-ил]карбонил]-1,4-диокса-8-азаспиро[4.5]декан;
1-[[7-(3,4-Дихлорфенил)-4,7-дигидро-5-метил-2-(трифторметил)пиразол[1,5-а]пиримидин-6-ил]карбонил]-4-(фенилметил)пиперидин;
7-(3,4-Дихлорфенил)-4,7-дигидро-5-метил-N-[4-(4-морфолинил)фенил]-2-(трифторметил)пиразол[1,5-а]пиримидин-6-карбоксамид;
7-(3,4-Дихлорфенил)-4,7-дигидро-5-метил-N-[3-(4-морфолинил)пропил]-2-(трифторметил)пиразол[1,5-а]пиримидин-6-карбоксамид;
7-(3,4-Дихлорфенил)-4,7-дигидро-N,5-диметил-N-[2-(2-пиридинил)этил]-2-(трифторметил)пиразол[1,5-а]пиримидин-6-карбоксамид;
7-(3,4-Дихлорфенил)-N-(2,3-дигидро-1,4-бензодиоксин-6-ил)-4,7-дигидро-5-метил-2-(трифторметил)пиразол[1,5-а]пиримидин-6-карбоксамид;
7-(3,4-Дихлорфенил)-4,7-дигидро-5-метил-N-(1-фенилэтил)-2-(трифторметил)пиразол[1,5-а]пиримидин-6-карбоксамид;
7-(3,4-Дихлорфенил)-4,7-дигидро-5-метил-N-(фенилметил)-2-(трифторметил)пиразол[1,5-а]пиримидин-6-карбоксамид;
7-(3,4-Дихлорфенил)-N-[(2-фторфенил)метил]-4,7-дигидро-5-метил-2-(трифторметил)пиразол[1,5-а]пиримидин-6-карбоксамид;
N-[(2-Хлорфенил)метил]-7-(3,4-дихлорфенил)-4,7-дигидро-5-метил-2-(трифторметил)пиразол[1,5-а]пиримидин-6-карбоксамид;
7-(3,4-Дихлорфенил)-N-[(4-фторфенил)метил]-4,7-дигидро-5-метил-2-(трифторметил)пиразол[1,5-а]пиримидин-6-карбоксамид;
7-(3,4-Дихлорфенил)-4,7-дигидро-5-метил-N-(2-фенилэтил)-2-(трифторметил)пиразол[1,5-а]пиримидин-6-карбоксамид;
N-[2-(4-Хлорфенил)этил]-7-(3,4-дихлорфенил)-4,7-дигидро-5-метил-2-(трифторметил)пиразол[1,5-а]пиримидин-6-карбоксамид;
7-(3,4-Дихлорфенил)-N-[(3,4-дихлорфенил)метил]-4,7-дигидро-N,5-диметил-2-(трифторметил)пиразол[1,5-а]пиримидин-6-карбоксамид;
N-[(2-Хлорфенил)метил]-7-(3,4-дихлорфенил)-4,7-дигидро-N,5-диметил-2-(трифторметил)пиразол[1,5-а]пиримидин-6-карбоксамид;
7-(3,4-Дихлорфенил)-4,7-дигидро-5-метил-N-(фенилметил)-N-пропил-2-(трифторметил)пиразол[1,5-а]пиримидин-6-карбоксамид;
7-(3,4-Дихлорфенил)-4,7-дигидро-5-метил-N-[[4-(1-метилэтил)фенил]метил]-2-(трифторметил)пиразол[1,5-а]пиримидин-6-карбоксамид;
7-(3,4-Дихлорфенил)-N-[2-[этил(3-метилфенил)амино]этил]-4,7-дигидро-5-метил-2-(трифторметил)пиразол[1,5-а]пиримидин-6-карбоксамид;
N-(Циклопропилметил)-7-(3,4-дихлорфенил)-4,7-дигидро-5-метил-2-(трифторметил)пиразол[1,5-а]пиримидин-6-карбоксамид;
7-(3,4-Дихлорфенил)-N-[2-(6-фтор-1Н-индол-3-ил)этил]-4,7-дигидро-5-метил-2-(трифторметил)пиразол[1,5-а]пиримидин-6-карбоксамид;
N-[2-(Бутилэтиламино)этил]-7-(3,4-дихлорфенил)-4,7-дигидро-5-метил-2-(трифторметил)пиразол[1,5-а]пиримидин-6-карбоксамид;
7-(3,4-Дихлорфенил)-4,7-дигидро-5-метил-N-[1-(фенилметил)-3-пирролидинил]-2-(трифторметил)пиразол[1,5-а]пиримидин-6-карбоксамид;
7-(3,4-Дихлорфенил)-4,7-дигидро-5-метил-N-[[4-(трифторметокси)фенил]метил]-2-(трифторметил)пиразол[1,5-а]пиримидин-6-карбоксамид;
7-(3,4-Дихлорфенил)-4,7-дигидро-5-метил-N-[[3-(трифторметокси)фенил]метил]-2-(трифторметил)пиразол[1,5-а]пиримидин-6-карбоксамид;
7-(3,4-Дихлорфенил)-4,7-дигидро-5-метил-N-[(1R)-1-(1-нафталенил)этил]-2-(трифторметил)пиразол[1,5-а]пиримидин-6-карбоксамид;
7-(3,4-Дихлорфенил)-4,7-дигидро-5-метил-N-[(1S)-1-(1-нафталенил)этил]-2-(трифторметил)пиразол[1,5-а]пиримидин-6-карбоксамид;
N-[(1S)-1-Циклогексилэтил]-7-(3,4-дихлорфенил)-4,7-дигидро-5-метил-2-(трифторметил)пиразол[1,5-а]пиримидин-6-карбоксамид;
7-(3,4-Дихлорфенил)-4,7-дигидро-5-метил-N-(трицикло[3.3.1.13,7] декан-1-илметил)-2-(трифторметил)пиразол[1,5-а]пиримидин-6-карбоксамид;
7-(3,4-Дихлорфенил)-4,7-дигидро-5-метил-N-[(1R,2S,5R)-5-метил-2-(1-метилэтил)циклогексил]-2-(трифторметил)пиразол[1,5-а]пиримидин-6-карбоксамид;
7-(3,4-Дихлорфенил)-4,7-дигидро-5-метил-N-[2-(4-феноксифенил)этил]-2-(трифторметил)пиразол[1,5-а]пиримидин-6-карбоксамид;
7-(3,4-Дихлорфенил)-4,7-дигидро-5-метил-N-[[4-(1,2,3-тиадиазол-4-ил)фенил]метил]-2-(трифторметил)пиразол[1,5-а]пиримидин-6-карбоксамид;
7-(3,4-Дихлорфенил)-4,7-дигидро-5-метил-N-(1-метил-1-фенилэтил)-2-(трифторметил)пиразол[1,5-а]пиримидин-6-карбоксамид;
7-(3,4-Дихлорфенил)-4,7-дигидро-5-метил-N-[(5-метил-2-фуранил)метил]-2-(трифторметил)пиразол[1,5-а]пиримидин-6-карбоксамид;
7-(3,4-Дихлорфенил)-N-[[(2S)-1-этил-2-пирролидинил]метил]-4,7-дигидро-5-метил-2-(трифтормэтул)пиразол[1,5-а]пиримидин-6-карбоксамид;
7-(3,4-Дихлорфенил)-N-(4,6-диметил-2-пиридинил)-4,7-дигидро-5-метил-2-(трифторметил)пиразол[1,5-а]пиримидин-6-карбоксамид;
1-[[7-(3,4-Дихлорфенил)-4,7-дигидро-5-метилпиразол[1,5-а]пиримидин-6-ил]карбонил]-2-(3-метил-1,2,4-оксадиазол-5-ил)пирролидин;
1-[[7-(3,4-Дихлорфенил)-4,7-дигидро-5-метилпиразол[1,5-а]пиримидин-6-ил]карбонил]-2-(3-метил-1,2,4-оксадиазол-5-ил)пиперидин.
9. Соединение по п.1, у которого R3* выбран из
или
или 
10. Соединение по п.1, у которого R7 выбран из низшего алкила, -СО2(низшего алкила), трифторметила, циано, фтора или хлора.
11. Соединение 7-(3,4-дихлорфенил)-6-(5-фтор-1-метил-1Н-бензимидазол-2-ил)-4,7-дигидро-5-(метоксиметил)пиразол[1,5-а]пиримидин, его энантиомеры, сольваты и соли.
12. Соединение 1-[[7-(3,4-дихлорфенил)-4,7-дигидро-5-метилпиразол[1,5-а]пиримидин-6-ил]карбонил]-2-(4-фторфенил)пирролидин, его энантиомеры, диастереомеры, сольваты и соли.
13. Дигидропиримидиновые соединения формулы

где R3 выбран из
или 
R4 выбран из Н, -СН3 или СН2ОСН3;
R5 выбран из Н или низшего алкила;
R7 выбран из Н, СН3, CF3, F, Cl или Br;
R8 независимо выбран из Н, ОН, низшего алкила, -OR11, где R11 представляет собой низший алкил или фенил, Cl, F, Br, CF3 или CN, а r – целое число от 1 до 3;
R9 – низший алкил и R10 представляет собой F, Cl или Br.
14. Соединение по п.13, у которого R представляет собой
или 
R4, R5 и R7 имеют значения, как в п.13, R8 независимо выбран из F, Cl или Br, a r целое число от 1 до 3.
15. Соединение по п.14, у которого R8 представляет собой Cl и r равен 2.
|
|