Патент на изобретение №2296765
|
|||||||||||||||||||||||||||||||||||||||||||||||||||||||||||||||||||||||||||||||||||||||||||||||||||||||||||||||||||||||||||||||||||||||||||||||||||||||||||||||||||||||||||||||||||||||||||||||||||||||||||||||||||||||||||||||||||||||||||||||||||||||||||||||||||||||||||||||||||||||||||||||||||||||||||||||||||||||||||||||||||||||||||||||||||||||||||||||||||||||||||||||||||||||||||||||||||||||||||||||||||||||||||||||||||||||||||||||||||||||||||||||||||||||||||||||||||||||||||||||||||||||||||||||||||||||||||||||||||||||||||||||||||||||||||||||||||||||||
(54) СПОСОБ ПОЛУЧЕНИЯ СОЛЕЙ N4-ПРОПИЛАЙМАЛИНИЯ С КАРБОНОВЫМИ КИСЛОТАМИ, СТАБИЛЬНЫЙ РАСТВОР N4-ПРОПИЛАЙМАЛИНИЯ ГИДРОМАЛОНАТА И СПОСОБ ЕГО ПОЛУЧЕНИЯ
(57) Реферат:
Изобретение относится к химико-фармацевтической промышленности и медицине, в частности к созданию и использованию биологически активных производных аймалина, обладающих антиаритмическим действием. Способ получения солей N4-пропилаймалиния с карбоновыми кислотами осуществляют посредством нейтрализации N4-пропилаймалиния гидроксида эквивалентным количеством карбоновой кислоты в гомофазе. Целевой продукт выделяют отгонкой растворителя, выход солей 97-99%. Получены ацетат, l-лактат, гидрооксалат, гидромалонат, гидросукцинат, гидроглутарат, l-гидротартрат, гидроцитрат, салицилат, n-аминобензоат. Стабильный раствор N4-пропилаймалиния гидромалоната в воде для инъекций лекарственного средства включает антиоксидант метабисульфит натрия, 5-30 мг/мл N4-пропилаймалиния гидромалоната, антиоксидант аскорбиновую кислоту в эффективных количествах. Предпочтительно стабильный раствор N4-пропилаймалиния гидромалоната содержит 10 мг N4-пропилаймалиния гидромалоната/мл раствора, 0,20% мас. натрия метабисульфита и 0,05% мас. кислоты аскорбиновой в расчете на раствор N4-пропилаймалиния гидромалоната. Технический результат – создание стабильных водных композиций солей N4-пропилаймалиния для инъекций лекарственного средства подбором антиоксидантов. 3 н. и 4 з.п. ф-лы, 5 табл.
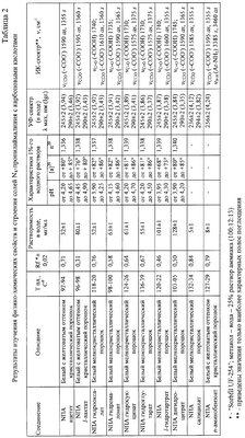
Изобретение относится к области химико-фармацевтической промышленности и медицины и касается биологически активных производных алкалоида аймалина. На основе N4-пропилаймалиния бромида (NПАБ) в Санкт-Петербургской государственной химико-фармацевтической академии разработаны состав и технология перорального антиаритмического препарата промалин, значительно превосходящего исходный аймалин по спектру и выраженности антиаритмического действия. С 1996 г. промалин разрешен к медицинскому применению на территории РФ в виде таблеток по 0,02 г. Однако низкая растворимость N4-пропилаймалиния в воде существенно ограничивает возможность создания на его основе инъекционной лекарственной формы. Известно, что соли N4 Известен способ получения соли N4-пропилаймалиния – бензолсульфоната – из четвертичного производного аймалина N4-пропилаймалиния бромида в виде спиртового раствора, включающий замену аниона на ионообменной смоле и выделение целевого продукта с последующим упариванием маточного раствора и кристаллизацией остатка [Патент 2054428 РФ, МПК C 07 D 471/08]. Способ (наиболее близкий аналог) позволяет получить соль N4-пропилаймалиния с растворимостью низкой, но теоретически достаточной для создания инъекционной лекарственной формы. Недостатками способа являются использование смолы как дополнительного источника загрязнения продукта, низкий выход (до 80%) и необходимость усложнения технологии – упаривание маточника и перекристаллизация продукта, а также использование как основного растворителя метилового спирта – яда, действующего на нервную и сосудистую системы. Известно антиаритмическое средство на основе N4-пропплаималина, позволяющее за счет введения циклодестрина улучшить растворимость N4-пропилаймалина в 40 раз и получить инъекционную форму, содержащую 0,2% действующего вещества [Патент 2102984 РФ, МПК 6 А 61 К 31/475]. Известен способ получения водных композиций действующих начал, чувствительных к окислению [Заявка на патент РФ 2003100090/15, 7 МПК А 61 К 9/08, А 61 К 47/12. Опубл. 2004.05.10; (86) FR 01/01749 (06.06.2001); (87) WO 01/93830 (13.12.2001); US 20040054012. Method for obtaining aqueous formulations of oxidation-sensitive active principles; A1. Опубл. March 18, 2004]. В конвенционных заявках предложен способ получения водного раствора, чувствительного к окислению действующего начала фенольной природы, сохраняющегося в течение продолжительного периода времени, отличающийся тем, что осуществляют обескислороживание раствора путем барботажа по меньшей мере одного инертного газа и/или вакуумирования до содержания находящегося в нем кислорода ниже 2 млн-1, вышеуказанный водный раствор действующего начала, в случае необходимости, помещают в атмосферу инертного газа и вносят в закрытый сосуд, где давление составляет максимально 65000 Па, содержание кислорода в водном растворе составляет величину ниже или равную 2 млн-1, причем в раствор добавляют антиоксидант для усиления эффекта обескислороживания. По одному из зависимых пунктов способ отличается тем, что водный раствор, содержащий по меньшей мере одно фенольное действующее начало с добавленным, в случае необходимости, антиоксидантом и, в случае необходимости, гидроксиполикарбоновой кислотой, подвергают глубокому обескислороживанию. Способ касается стабилизации водных композиций, чувствительных к окислению действующих начал фенольной природы. Введенное в формулу словосочетание «в случае необходимости» подтверждает большую вероятность возникновения синергетических эффектов в случае каждого нового варианта технического решения. Наибольшая активность и терапевтическая широта из солей N4-пропилаймалиния с карбоновыми кислотами при растворимости, позволяющей получить водные растворы с концентрацией до 6%, обнаружены у N4-пропилаймалиния гидромалоната. Однако водные растворы N4-пропилаймалиния гидромалоната не стабильны. Предварительными исследованиями найдены состав и способ его получения, когда 1%-ный водный раствор N4 Задачей группы изобретений является разработка технологичного способа получения обладающих высокой растворимостью, пригодных без дополнительной очистки для приготовления стабильных растворов солей N4-пропилаймалиния с карбоновыми кислотами; разработка и оптимизация состава, пригодного для инъекций, удовлетворяющего требованиям ГФ XI, на основе гидромалоната N4-пропилаймалиния – соли, обладающей наибольшей активностью и терапевтической широтой, а также способа получения указанного состава. Задача группы изобретений решается осуществлением способа получения солей N4-пропилаймалиния с карбоновыми кислотами из четвертичного производного аймалина, включающего солеобразование и выделение целевого продукта, отличающегося тем, что процесс солеобразования ведут в гомофазе в среде этанола путем нейтрализации N4-пропилаймалиния гидроксида эквивалентным количеством карбоновой кислоты, выделение целевого продукта осуществляют путем отгонки растворителя, а солями N4-пропилаймалиния являются, по крайней мере: ацетат, l-лактат, гидрооксалат, гидромалонат, гидросукцинат, гидроглутарат, l-гидротартрат, гидроцитрат, салицилат, n-аминобензоат, предпочтительно гидромалонат. Задача группы изобретений решается разработкой способа получения солей N4-пропилаймалиния с карбоновыми кислотами, отличающегося тем, что дополнительно осуществляют потенциометрический контроль процесса солеобразования, а эквивалентному количеству карбоновой кислоты при нейтрализации N4-пропилаймалиния гидроксида соответствует максимальный скачок потенциала. Задача изобретения решается разработкой способа получения солей N4-пропилаймалиния с карбоновыми кислотами, отличающегося тем, что дополнительно осуществляют кондуктометрический контроль процесса солеобразования, а эквивалентному количеству карбоновой кислоты при нейтрализации N4-пропилаймалиния гидроксида соответствует резкое изменение электропроводности системы. Задача группы изобретений решается созданием стабильного раствора N4-пропилаймалиния гидромалоната в воде для инъекций, включающего антиоксидант метабисульфит натрия, отличающегося тем, что содержит 5-30 мг/мл N4-пропилаймалиния гидромалоната, дополнительно включает антиоксидант аскорбиновую кислоту в эффективных количествах, и предназначен для получения пригодного для инъекций лекарственного средства, применяемого в кардиологии. Задача группы изобретений решается созданием стабильного раствора N4-пропилаймалиния гидромалоната, отличающегося тем, что содержит предпочтительно 10 мг N4-пропилаймалтния гидромалоната/мл раствора, 0,20% мас. натрия метабисульфита и 0,05% мас. кислоты аскорбиновой. Задача группы изобретений решается разработкой способа получения стабильного раствора N4-пропилаймалиния гидромалоната, отличающегося тем, что натрия метабисульфит и кислоту аскорбиновую в эффективных количествах растворяют в половинном количестве воды для инъекций, обедненной кислородом, вводят при перемешивании N4-пропилаймалиния гидромалонат и доводят водой до конечного объема с содержанием 5-30 мг N4-пропилаймалиния гидромалоната/мл раствора, вытесняют из раствора кислород и хранят готовый раствор в среде инертного газа. Задача группы изобретений решается разработкой способа получения стабильного раствора N4-пропилаймалиния гидромалоната, отличающегося тем, что готовый раствор содержит 10 мг N4-пропилаймалиния гидромалоната/мл раствора, 0,20% мас. натрия метабисульфита и 0,05% мас. кислоты аскорбиновой. Примеры конкретного осуществления группы изобретений Пример 1. Способ получения солей N4-пропилаймалиния с карбоновыми кислотами методом эквивалентного смешивания в гомофазе В 20 мл спирта этилового 96% растворяют 1 г (2,71 ммоль) высушенного до постоянной массы NПАГ (рабочий раствор A). В 50 мл спирта этилового 96% растворяют 1 г l-винной кислоты (рабочий раствор В). К рабочему раствору А в герметичной емкости при постоянном перемешивании частями по 0,5 мл прибавляют эквивалентное количество (2,71 ммоль, 21 мл) свежеприготовленного рабочего раствора В. Полученный спиртовый раствор в течение 3 часов перемешивают с активированным углем, фильтруют через мелкопористый фильтр, растворитель отгоняют в вакууме (10 мм рт.ст.), остатки влаги удаляют вакуумной отгонкой с абсолютным этанолом. Твердый продукт высушивают в вакууме (20 мм рт.ст.) над оксидом фосфора (V) до постоянной массы. Выход 1,38 г (97,4%). Т.пл. 120-122°С. Rf (“Silufol UV-254”, система А) 0,76 (N4-пропилаймалиния l-гидротартрат, катион); 0,41 (специфическая примесь); Rf (“Silufol UV-254”, система В) 0,46 (N4-пропилаймалиния l-гидротартрат, анион). УФ-спектр (0,005% раствор в воде), Аналогичным образом получали следующие соли N4-пропилаймалиния (NПА): NПА гидрооксалат, NПА гидромалонат, NПА гидросукцинат, NПА дигидроцитрат. Пример 2. Методом эквивалентного смешивания в гомофазе с потенциометрическим контролем процесса солеобразования В 100 мл спирта этилового 96% растворяют 3 г (8,13 ммоль) высушенного до постоянной массы NПАГ (рабочий раствор А). В 100 мл спирта этилового 96% растворяют 5 г малоновой кислоты (рабочий раствор В). К рабочему раствору А в герметичной емкости при постоянном перемешивании частями по 0,5 мл, а вблизи точки конца солеобразования по 0,1 мл добавляют свежеприготовленный рабочий раствор В. После добавления каждой порции рабочего раствора В фиксируют значение ЭДС системы. Нейтрализацию завершают в точке, соответствующей максимальному скачку потенциала, который наблюдался после добавления 16,9 мл рабочего раствора В. Из полученного спиртового раствора выделяют N4-пропилаймалиния гидромалонат, как указано в примере 1. Выход 3,82 г (99,2%). Т.пл. 99-101°С. Rf (“Silufol UV-254”, система А) 0,75 (N4-пропилаймалиния гидромалонат, катион); 0,42 (специфическая примесь); Rf (система В) 0,58 (N4-пропилаймалиния гидромалонат, анион). УФ-спектр (0,005% раствор в воде), Пример 3. Методом эквивалентного смешивания в гомофазе с кондуктометрическим контролем процесса солеобразования В 100 мл спирта этилового 96% растворяют 10 г (27,1 ммоль) высушенного до постоянной массы NПАГ (рабочий раствор А). В 100 мл спирта этилового 96% растворяют 10 г l-винной кислоты (рабочий раствор В). К рабочему раствору А в герметичной емкости при постоянном перемешивании частями по 1 мл, а вблизи точки конца солеобразования по 0,1 мл добавляют свежеприготовленный рабочий раствор В. После добавления каждой порции рабочего раствора В фиксируют значение электропроводности системы. Нейтрализацию завершают в точке, соответствующей резкому изменению электрометрического параметра (излом кондуктограммы), которое наблюдалось после добавления 40,1 мл рабочего раствора В. Из полученного раствора выделяют N4-пропилаймалиния l-гидротартрат, как указано в примере 1. Выход 14,0 г (99,5%). Т.пл. 120-122°С. Rf (“Silufol UV-254”, система А) 0,76 (N4-пропилаймалиния l-гидротартрат, катион); 0,41 (специфическая примесь); Rf (система В) 0,46 (N4-пропилаймалиния l-гидротартрат, анион). Спектральные характеристики выделенного продукта идентичны приведенным в примере 1. С использованием кондуктометрического способа контроля солеобразования (нейтрализация NПАГ до излома кондуктограммы) было получено 10 солей N4-пропилаймалиния (NПА) с карбоновыми кислотами различной структуры и основности: NПА ацетат, NПА l-лактат, NПА гидрооксалат, NПА гидромалонат, NПА гидросукцинат, NПА гидроглутарат, NПА l-гидротартрат, NПА дигидроцитрат, NПА салицилат, NПА n-аминобензоат. Выход солей после отгона растворителя составил 97-99%. Особо следует отметить, что в ИК-спектрах всех синтезированных СПА соотношение “свободная карбоксильная группа-карбоксилат – анион” соответствовало расчетному значению для заданной формулы соли (табл.1). Для подтверждения строения синтезированных солей использовали: электронную спектроскопию, ИК-спектроскопию, 1Н ЯМР-спектроскопию, 13С ЯМР-спектроскопию. Удаление остатков влаги вакуумной отгонкой с абсолютным этанолом и последующие, приведенные в примере 1 необходимые для получения сухой субстанции операции не обязательны в случае организации одновременного производства в заводских условиях соли (NПА гидромалоната) и ее инъекционной лекарственной формы. Соль может храниться в герметичной емкости не менее недели, и более – под инертным газом. Результаты изучения физико-химических свойств и строения солей N4-пропилаймалиния с карбоновыми кислотами приведены в табл.2. Пример 4. Составы (стабильный раствор)
Пример 5. Способ получения стабильного раствора Для приготовления раствора используют воду для инъекций, через которую предварительно барботируют аргон в течение 15 мин, 2 г натрия метабисульфита и 0,5 г кислоты аскорбиновой растворяют в 500 мл воды для инъекций в аппарате с мешалкой, вносят 10 г N4-пропилаймалиния гидромалоната, перемешивают при комнатной температуре до полного растворения. Доводят объем раствора до 1 л водой для инъекций, перемешивают в течение 5 мин. Дополнительно барботируют аргон через раствор в течение 15 мин. Раствор фильтруют последовательно через мембранные фильтры с диаметром пор 1 мкм и 0,22 мкм на установке фирмы “Millipore” под давлением аргона. Ампулы заполняют раствором автоматически шприцевым способом и запаивают способом оттяжки капилляра на установке “Rota” тип R910/41 (Германия). При этом в каждую ампулу из боросиликатного стекла первого гидролитического класса (тип D, ISO 9187), вместимостью 1 мл, перед наполнением и после него подают аргон. Запаянные ампулы с раствором стерилизуют насыщенным паром при температуре (121±1)°С и избыточном давлении (0,11±0,02) МПа в течение 8 мин в стерилизаторе паровом типа ГК-100-2 (Россия). Ампулы проверяют на герметичность погружением в раствор метиленового синего. Контроль на механические включения осуществляют визуально на установке УК-2 (Россия) согласно РД 42-501-98 (Инструкция по контролю на механические включения инъекционных лекарственных средств). Затем ампулы этикетируют и упаковывают. Технологический процесс проводят в соответствии с ГОСТ 52249-2004 “Правила производства и контроля качества лекарственных средств”. В табл.3 приведены сравнительные данные антиаритмического действия субстанции и инъекционного препарата N4-пропилаймалиния гидромалоната. Таким образом разработана технология получения солей N4-пропилаймалиния с карбоновыми кислотами, характеризующаяся высоким выходом и качеством целевых продуктов и не требующая больших материальных и временных затрат, что свидетельствует о возможности ее успешного использования в промышленных условиях. Электриметрический контроль процесса солеобразования позволяет выделять соли N4-пропилаймалиния с карбоновыми кислотами необходимого состава. Реализация инъекционного состава осуществлена для раствора N4-пропилаймалиния гидромалоната, позволяющего получать водные растворы с концентрацией до 6%, показывающие наибольшую активность и терапевтическую широту. Соотношение ингредиентов стабильных растворов N4-пропилаймалиния гидромалоната подобрано экспериментально, не очевидно и обеспечивает синергетический эффект. В прототипе при проверке стабильности растворов методом «ускоренного старения» было обнаружено, что разложение действующего вещества можно уменьшить снижением рН раствора путем запайки ампул в токе диоксида углерода. Хранение растворов в течение 2 лет при комнатной температуре показало, что понижение рН отрицательно влияет на стабильность тех же растворов. Примеры сравнительного изучения использования в качестве инертного газа двуокиси углерода и аргона представлены в табл.4. Сочетание выбранных антиоксидантов в предложенном соотношении дает больший эффект, чем каждый из антиоксидантов в вариациях концентраций. Стабилизация инъекционных растворов только системой антиоксидантов без запайки ампул и хранения в среде инертного газа или только «газовой защитой» также не позволяют получить препарат, удовлетворяющий требованиям ГФ XI. В табл.5 приведены результаты анализа партий препарата по разработанному авторами проекту ФСП. Несоблюдение способа получения солей N4-пропилаймалиния с карбоновыми кислотами, соотношения ингредиентов или технологии стабильного раствора N4-пропилаймалиния гидромалоната не позволяют добиться необходимого качества инъекционного препарата при получении и хранении.
Формула изобретения
1. Способ получения солей N4-пропилаймалиния с карбоновыми кислотами из четвертичного производного аймалина, включающий солеобразование и выделение целевого продукта, отличающийся тем, что процесс солеобразования ведут в гомогенной фазе в среде этанола посредством нейтрализации N4-пропилаймалиния гидроксида эквивалентным количеством карбоновой кислоты, выделение целевого продукта осуществляют путем отгонки растворителя, а солями N4-пропилаймалиния являются, по крайней мере, ацетат, l-лактат, гидрооксалат, гидромалонат, гидросукцинат, гидроглутарат, l-гидротартрат, гидроцитрат, салицилат, n-аминобензоат, предпочтительно гидромалонат. 2. Способ получения солей N4-пропилаймалиния с карбоновыми кислотами по п.1, отличающийся тем, что дополнительно осуществляют потенциометрический контроль процесса солеобразования, а эквивалентному количеству карбоновой кислоты при нейтрализации N4-пропилаймалиния гидроксида соответствует максимальный скачок потенциала. 3. Способ получения солей N4-пропилаймалиния с карбоновыми кислотами по п.1, отличающийся тем, что дополнительно осуществляют кондуктометрический контроль процесса солеобразования, а эквивалентному количеству карбоновой кислоты при нейтрализации N4-пропилаймалиния гидроксида соответствует резкое изменение электропроводности системы. 4. Стабильный раствор N4-пропилаймалиния гидромалоната в воде для инъекций, включающий антиоксидант метабисульфит натрия, отличающийся тем, что содержит 5-30 мг/мл N4-пропилаймалиния гидромалоната, дополнительно включает антиоксидант аскорбиновую кислоту в эффективных количествах и предназначен для получения пригодного для инъекций лекарственного средства, применяемого в кардиологии. 5. Стабильный раствор N4-пропилаймалиния гидромалоната по п.4, отличающийся тем, что содержит предпочтительно 10 мг N4-пропил-аймалиния гидромалоната/мл раствора, 0,20 мас.% натрия метабисульфита и 0,05 мас.% кислоты аскорбиновой в расчете на раствор N4-пропилаймалиния гидромалоната. 6. Способ получения стабильного раствора N4-пропилаймалиния гидромалоната по п.4 или 5, отличающийся тем, что натрия метабисульфит и кислоту аскорбиновую в эффективных количествах растворяют в половинном количестве воды для инъекций, обедненной кислородом, вводят при перемешивании N4-пропилаймалиния гидромалонат и доводят водой до конечного объема с содержанием 5-30 мг/мл N4-пропилаймалиния гидромалоната, вытесняют из раствора кислород и хранят готовый раствор в среде инертного газа. 7. Способ получения стабильного раствора N4-пропилаймалиния гидромалоната по п.6, отличающийся тем, что готовый раствор содержит 10 мг N4-пропилаймалиния гидромалоната/мл раствора, 0,20 мас.% натрия метабисульфита и 0,05 мас.% кислоты аскорбиновой в расчете на раствор N4-пропилаймалиния гидромалоната.
|
|||||||||||||||||||||||||||||||||||||||||||||||||||||||||||||||||||||||||||||||||||||||||||||||||||||||||||||||||||||||||||||||||||||||||||||||||||||||||||||||||||||||||||||||||||||||||||||||||||||||||||||||||||||||||||||||||||||||||||||||||||||||||||||||||||||||||||||||||||||||||||||||||||||||||||||||||||||||||||||||||||||||||||||||||||||||||||||||||||||||||||||||||||||||||||||||||||||||||||||||||||||||||||||||||||||||||||||||||||||||||||||||||||||||||||||||||||||||||||||||||||||||||||||||||||||||||||||||||||||||||||||||||||||||||||||||||||||||||

max, нм (lg
): 246 (3,87), 290 (3,38). ИК-спектр (диск с калия бромидом),
, см-1: 750-730, 1115-1020, 1482, 1610 (бензольное кольцо индола), 1355 (COO–, s), 1597 (COO–, as), 1739 (C=O карбоксильной группы), 2775 (N-СН3), 3390 (ОН). ЯМР 1H спектр (в DMSO-d6),
, м.д.: 2,75 (N-СН3, с); 6,64-7,60 (4Н, ароматика); 11,46 (протон свободной карбоксильной группы, с).