Патент на изобретение №2296762
|
||||||||||||||||||||||||||||||||||||||||||||||||
(54) КАРБАМАТЫ ХИНУКЛИДИНА, СПОСОБЫ ИХ ПОЛУЧЕНИЯ И ФАРМАЦЕВТИЧЕСКАЯ КОМПОЗИЦИЯ НА ИХ ОСНОВЕ
(57) Реферат:
Изобретение относится к новым производным карбамата формулы (I) или к их фармацевтическим приемлемым солям,
в которой R1 представляет собой
R3 означает атом водорода, галоген или алкил; R2 означает бензил, фенетил, фуран-2-илметил, фуран-3-илметил, тиофен-2-илметил, тиофен-3-илметил или алкил; p равно 1 или 2, а замещение в азабициклическом кольце может быть в положении 2, 3 или 4. Соединение формулы (I) и их соли обладают ингибирующей активностью в отношении мускариновых рецепторов МЗ и могут найти применения в медицине. 6 н. и 19 з.п. ф-лы, 1 табл.
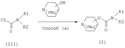
Данное изобретение имеет отношение к новым терапевтически эффективным производным карбамата хинуклидина, к некоторым способам их получения и к фармацевтическим композициям, содержащим названные производные. Новые соединения согласно изобретению являются антимускариновыми агентами с сильным и длительно продолжающимся действием. В частности, названные соединения проявляют высокое сродство в отношении мускариновых рецепторов МЗ. Упомянутый подтип мускаринового рецептора присутствует в железах и гладкой мышце и опосредует возбуждающее действие парасимпатической системы на секрецию желез и сокращение висцеральной гладкой мышцы (Chapter 6, Cholinergic Transmission, in H.P.Rang et al., Pharmacology, Churchill Livingstone, New York, 1995). Поэтому понятно, что антагонисты МЗ оказываются эффективными при лечении заболеваний, характеризующихся повышенным тонусом парасимпатической системы, избыточной секрецией желез или сокращением гладких мышц (R.M.Eglen and S.S.Hegde, (1997), Drug News Perspect., 10(8):462-469). Примерами упомянутого типа заболеваний являются респираторные расстройства, такие как хроническое обструктивное заболевание легких (COPD), бронхит, повышенная реактивность бронхов, астма, кашель и ринит; урологические расстройства, такие как недержание мочи, поллакиурия, нейрогенный или нестабильный мочевой пузырь, цистоспазм или хронический цистит; желудочно-кишечные расстройства, такие как синдром раздраженной толстой кишки, спастический колит, дивертикулит и пептические язвы; и сердечно-сосудистые расстройства, такие как вагус-индуцированная синусовая брадикардия (Chapter 7, Muscarinic Receptor Agonists and Antagonists, in Goodman and Gilman’s The Pharmacological Basis of Therapeutics, 10th edition, McGraw Hill, Ney York, 2001). Соединения по изобретению могут быть использованы сами по себе или в сочетании с другими лекарственными средствами, обычно считающимися эффективными для лечения перечисленных выше заболеваний. Например, их можно вводить в сочетании с Соединения с близкой структурой описаны в нескольких патентах как спазмолитические и антихолинергические средства. Например, в заявке на патент ЕР 747355 описаны производные карбамата, которые характеризуются следующей общей формулой в которой каждый символ имеет следующее значение: кольцо А означает кольцо бензола или пиридина, кольцо R1 означает фенильную группу, которая может иметь заместитель, циклоалкильную или циклоалкенильную группу, содержащую от 3 до 8 атомов углерода или пяти-, или шести-членную азотсодержащую гетероциклическую группу, Х означает простую связь или группу метилена, Y означает простую связь, карбонильную группу, метиленовую группу, которая может быть замещена гидроксильной группой или группой, изображаемой формулой -S(O)l-, и l является целым числом 0-2. Описанные соединения четко отличаются от соединений данного изобретения по их структурным характеристикам, так как они всегда содержат один водород при азоте карбаматной связи. Кроме того, в другой заявке на патент ЕР 801067 описывают соединения, изображаемые формулой в которой Х означает простую связь или группу метилена, l равно 0 или 1, n равно целому числу 1 или 2. Описанные соединения также отличаются от соединений, заявленных в данном изобретении, так как в них азот карбаматной связи включен в циклическую структуру. В WO 01/04118 описаны соединения, имеющие следующую общую формулу в которой В представляет собой группу формулы (i) или (ii): А, В данном изобретении предлагаются новые соединения, которые являются производными карбамата хинуклидина, с сильной активностью антагониста мускариновых рецепторов М3, которые имеют химическую структуру, описанную в формуле (I), или являются их фармацевтически приемлемыми солями, включая соли формулы (II). Формула (I) представляет карбамат следующей общей структуры: которая может быть кватернизирована, чтобы получить фармацевтически приемлемую соль карбамата формулы (I), в частности соль общей формулы (II). в которой R1 представляет собой где R3 представляет собой атом водорода или галогена, или группу низшего алкила с прямой или разветвленной цепью, или цианогруппу; R2 означает группу бензила, фенетила, фуран-2-илметила, фуран-3-илметила, тиофен-2-илметила или тиофен-3-илметила, или алкильную группу с прямой или разветвленной цепью, содержащую 3-8 атомов углерода, группу алкенила, содержащую от 3 до 8 атомов углерода, или группу циклоалкила, содержащую 3-6 атомов углерода; p равно 1 или 2, а замещение в бициклическом кольце может быть во 2, 3 или 4 положении, включая все возможные конфигурации асимметричных атомов углерода; m соответствует целому числу от 0 до 8; А представляет собой группу -CH2-, -CH=CR4-, -CR4=CH-, -CO-, -O-, -S-, -S(O)-, SO2, -NR4- или группу -CR4R5-, в которых R4 и R5, каждый независимо, означают атом водорода, группу низшего алкила с прямой или разветвленной цепью, или R4 и R5 вместе образуют алициклическое кольцо; n означает целое число от 0 до 4; В представляет собой атом водорода, алкоксигруппу, циклоалкильную группу, -COOR4 или -OOCR4, в которых R4 является таким, как описано выше, или цианогруппу, группу нафталинила, группу 5,6,7,8-тетрагидронафталинила, группу бифенила или группу формулы (i) или (ii)
в которых Z означает О, N или S; R3 определен, как указано выше; и R6, R7 и R8, каждый независимо, означают атом водорода или галогена, или группу гидрокси, фенил, -OR4, -SR4, -NR4R5, -NHCOR4, -CONR4R5, -CN, -NO2, -COOR4 или -CF3, или содержащую от 1 до 6 атомов углерода группу алкила с прямой или разветвленной цепью, которая является незамещенной либо замещенной одной или несколькими гидроксильными группами или C1-C6-алкоксигруппами, где R4 и R5, каждый независимо, представляют собой атом водорода, группу низшего алкила с прямой или разветвленной цепью, или R4 и R5 вместе образуют алициклическое кольцо; или R6 и R7 вместе образуют ароматическое, алициклическое или гетероциклическое кольцо; и Х– означает фармацевтически подходящий анион моно- или поливалентной кислоты. В соединениях четвертичного аммония данного изобретения, включая соединения, представленные формулой (II), эквивалент аниона (X–) ассоциирован с положительным зарядом атома N. Х– может быть анионом различных минеральных кислот, таким как, например, хлорид, бромид, иодид, сульфат, нитрат, фосфат, или анионом органической кислоты, таким как, например, ацетат, трифторацетат, малеат, фумарат, цитрат, оксалат, сукцинат, тартрат, малат, манделат, метансульфонат и п-толуолсульфонат. X– предпочтительно является анионом, выбранным из хлорида, бромида, иодида, сульфата, нитрата, ацетата, малеата, оксалата или сукцината. Более предпочтительно, X– означает хлорид, бромид, трифторацетат или метансульфонат. Приведенные в описании группы низшего алкила и фрагменты, если не указано особо, представляют собой алкильные группы с прямой или разветвленной цепью, содержащие от 1 до 6 атомов углерода, предпочтительно от 1 до 4 атомов углерода. Предпочтительные группы и фрагменты низшего алкила включают в себя метил, этил, н-пропил, изо-пропил, н-бутил, втор-бутил и трет-бутил. Упомянутые в описании алкильные группы, содержащие от 3 до 8 углеродов, такие как группы, представленные в группе R2, включают в себя н-пропил, изо-пропил, н-бутил, втор-бутил, трет-бутил, пентил, гексил, гептил и октил. Упомянутые в описании, возможно замещенные группы низшего алкила включают в себя группы алкила с прямой или разветвленной цепью, содержащие от 1 до 6, предпочтительно от 1 до 4 атомов углерода, как упомянуто выше, которые могут быть незамещенными или замещенными в любом положении одним или несколькими заместителями, например 1, 2 или 3 заместителями. Если имеется два или более заместителей, каждый из заместителей может быть одним и тем же или отличаться. Заместитель(и) обычно представляет собой гидрокси- или алкоксигруппы. Упоминаемые в описании группы алкенила, имеющие 3-8 атомов углерода, такие как группы, представленные в группе R2, являются группами с прямой или разветвленной цепью, такими как пропенил, бутенил, пентенил, гексенил, гептенил или октенил с прямой или разветвленной цепью. Двойная связь может находиться в любом положении в группе алкенила, например на концевой связи относительно карбаматной группы. Упоминаемые в описании алкоксигруппы, такие как группы, представленные в группе В, обычно означают группы низшего алкокси, которые являются группами, содержащими от 1 до 6 атомов углерода, предпочтительно от 1 до 4 атомов углерода, с углеводородной цепью, которая является разветвленной или прямой. Предпочтительные алкоксигруппы включают в себя метокси, этокси, н-пропокси, изо-пропокси, н-бутокси, втор-бутокси и трет-бутокси. Упоминаемые в описании циклоалкильные группы и алициклические группы, если не указано особо, обычно содержат от 3 до 8 атомов углерода, предпочтительно от 3 до 6 атомов углерода. Группы циклоалкила и алициклические кольца из 3-6 атомов углерода включают в себя циклопропил, циклобутил, циклопентил и циклогексил. Ароматическое кольцо, упоминаемое в связи с R6 и R7, обычно содержит от 5 до 14, предпочтительно 5-10 атомов углерода. Примеры ароматических групп включают в себя циклопентадиенил, фенил и нафталинил. Упоминаемое в связи с R6 и R7 гетероциклическое кольцо обычно означает 3-10-членное кольцо, такое как 5- или 6-членное кольцо, содержащее один или несколько гетероатомов, выбранных из N, S и O. Обычно присутствует 1, 2, 3 или 4 гетероатома, предпочтительно 1 или 2 гетероатома. Примеры гетероциклических колец включают в себя пиперидил, пирролидил, азетидинил, азиридил, пиперазинил, морфолинил, тиоморфолинил, пирролил, имидазолил, имидазолидинил, пиразолинил, индолинил, изоиндолинил, пиридил, пиразинил, пиримидинил, пиридазинил, индолизинил, изоиндолил, индолил, индазолил, пуринил, хинолизинил, изохинолил, хинолил, фталазинил, нафтиридинил, хиноксалинил, хиназолинил, циннолинил, птеридинил, хинуклидинил, триазолил, пиразолил, триазолил, тетразолил и тиенил. Атом галогена включает в себя атом фтора, хлора, брома или иода, обычно атом фтора, хлора или брома. Соединения по данному изобретению, представленные формулой (I), и их соли, такие как представленные формулой (II), которые могут иметь один или несколько асимметричных атомов углерода, включают в себя все возможные стереоизомеры. Отдельные изомеры и смеси изомеров попадают в объем интересов данного изобретения. Предпочтительные карбаматы формулы (I) представляют собой карбаматы, в которых R1 означает группу фенила, тиофен-2-илметила, тиенила или фуран-2-илметила, которая является незащищенной (то есть R3 означает водород). Однако если R1 защищен группой R3, которая не является водородом, заместитель может находиться в положении 2, 3, 4 или 5 или, если R1 означает группу фенила, в положении 6. Когда R1 соответствует фенилу, заместитель предпочтительно находится в положении 4 кольца. Заместитель R3 предпочтительно означает водород, галоген или низший алкил, предпочтительно водород, фтор, хлор, метил или этил, и особо предпочтительно водород, фтор или метил. Примеры замещенных групп R1 включают в себя галоген-фенил, галоген-тиофен-2-илметил, галоген-тиенил, галоген-фуран-2-илметил, (С1-4-алкил)-фенил, (С1-4-алкил)-тиофен-2-илметил, (С1-4-алкил)-тиенил или (С1-4-алкил)-фуран-2-илметил. Конкретные примеры включают в себя 4-фторфенил, 4-метилфенил, 4-хлорфенил, 4-этилфенил, 3-метилфенил, 3-фторфенил, 3-хлорфенил, 3-этилфенил, фтортиофен-2-илметил, фтортиенил и фторфуран-2-илметил. Особо предпочтительные группы R1 включают в себя фенил, 4-фторфенил, 4-метилфенил, тиофен-2-илметил, тиенил и фуран-2-илметил. Предпочтительные группы R2 включают в себя бензил, тиофен-2-илметил, тиофен-3-илметил, фуран-2-илметил, фенетил, пент-4-енил, пентил, бутил, аллил или циклопентил. Предпочтительные группы -NR1R2 в формуле (I) включает в себя группы -N-(бензил)(фенил); -N-(бензил)(4-фторфенил); -N-(бензил)(п-толилфенил); -N-(бутил)(фенил); -N-(фенил)(тиофен-2-илметил); -N-(фенетил)(фенил); -N-(пентил)(фенил); -N-(пент-4-енил)(фенил); -N-(фенил)(тиофен-3-илметил); -N-(бутил)(тиофен-2-илметил); -N-бис-тиофен-2-илметил; -N-(фуран-2-илметил)(тиофен-2-илметил); -N-(аллил)(тиофен-2-илметил); -N-(циклопентил)(тиофен-2-илметил); -N-(фуран-2-илметил)(фенил) и N-бис-фуран-2-илметил. Предпочтительно, p равно 2. Замещение в азабицикло[2.2.2]октане предпочтительно находится в положении 3. Замещенный атом углерода может иметь (R)- или (S)-конфигурацию, предпочтительно (R)-конфигурацию. Следующие соединения общей формулы (I) предназначены для иллюстрации, а не ограничения рамок данного изобретения. 1-азабицикло[2.2.2]окт-3-(R)иловый эфир бензилфенилкарбаминовой кислоты 1-азабицикло[2.2.2]окт-3-(R)иловый эфир бензил(4-фторфенил)карбаминовой кислоты 1-азабицикло[2.2.2]окт-3-(R)иловый эфир бензил-п-толилкарбаминовой кислоты 1-азабицикло[2.2.2]окт-3-(R)иловый эфир бутилфенилкарбаминовой кислоты 1-азабицикло[2.2.2]окт-3-(R)иловый эфир фенилтиофен-2-илметилкарбаминовой кислоты 1-азабицикло[2.2.2]окт-3-(R)иловый эфир фенетилфенилкарбаминовой кислоты 1-азабицикло[2.2.2]окт-3-(R)иловый эфир пентилфенилкарбаминовой кислоты 1-азабицикло[2.2.2]окт-3-(R)иловый эфир пент-4-енилфенилкарбаминовой кислоты 1-азабицикло[2.2.2]окт-3-(R)иловый эфир фенилтиофен-3-илметилкарбаминовой кислоты 1-азабицикло[2.2.2]окт-3-(R)иловый эфир бутилтиофен-2-илметилкарбаминовой кислоты 1-азабицикло[2.2.2]окт-3-(R)иловый эфир бис-тиофен-2-илметилкарбаминовой кислоты 1-азабицикло[2.2.2]окт-3-(R)иловый эфир фуран-2-илметил-2-тиофен-2-илметилкарбаминовой кислоты 1-азабицикло[2.2.2]окт-3-(R)иловый эфир аллилтиофен-2-илметилкарбаминовой кислоты 1-азабицикло[2.2.2]окт-3-(R)иловый эфир циклопентилтиофен-2-илметилкарбаминовой кислоты 1-азабицикло[2.2.2]окт-3-(R)иловый эфир фуран-2-илметилфенилкарбаминовой кислоты 1-азабицикло[2.2.2]окт-3-(R)иловый эфир бис-фуран-2-илметилкарбаминовой кислоты 1-азабицикло[2.2.2]окт-3-(R)гепт-4-иловый эфир бензилфенилкарбаминовой кислоты 1-азабицикло[2.2.2]окт-3-(R)окт-4-иловый эфир бензилфенилкарбаминовой кислоты и их фармацевтически приемлемые соли. Предпочтительными солями формулы (II) являются соли, соответствующие предпочтительным определениям R1, R2, -NR1R2 и р, как для формулы (I) выше, и имеющие такую же локализацию и конфигурацию заместителя на азониабициклическом кольце. Кроме того, предпочтительно, чтобы В представлял собой атом водорода или замещенную либо незамещенную группу фенила, пирролила, тиенила или фурила, или группу бифенила, нафталинила, 5,6,7,8-тетрагидронафталинила или группу бензо[1,3]диоксолила, в частности замещенную или незамещенную группу фенила или тиенила, такую как группа 2-тиенила или группа 3-тиенила, особенно группа 2-тиенила. Группа тиенила, пирролила или фурила может быть незамещенной или замещенной группой R3, которая описана выше. Заместитель может находиться в положении 2, 3, 4 или 5 на кольце. Группа фенила может быть незамещенной или замещенной одной, двумя или тремя группами (R6-R8), которые могут располагаться в любом положении на кольце. Обычно группа фенила не замещена или замещена одной группой, например, в положении 2, 3 или 4. Предпочтительно, заместители R6, R7 и R8, каждый независимо, представляют собой атом водорода или галогена или группу гидроксила, метила, трет-бутила, -СН2ОН, 3-гидроксипропила, -OMe, -NMe2, -NHCOMe, -CONH2, -CN, -NO2, -COOMe или -CF3, или R6 и R7 вместе образуют 5- или 6-членное кольцо, такое как кольцо фенила или тиазолила. Более предпочтительно, R6, R7 и R8 означают атом водорода, или галогена, или группу гидроксила, метила, -СН2ОН, -OMe, -NMe, -NHCOMe, -CONH2, -CN, -NO2, -COOMe или -CF3, в особенности атом водорода, гидроксигруппу или атом галогена, где атом галогена предпочтительно является фтором. Примерами замещенных групп фенила, которые могут представлять В, являются толил, включая о-, м- и п-толил, 3-цианофенил, 2-, 3- и 4-гидроксифенил, 2-, 3- и 4-фторфенил и бензотиазолил. Особо предпочтительно В означает группу фенила, 4-фторфенила или 3-гидроксифенила. Обычно, n=0 или 1; m является целым числом от 1 до 6, в частности 1, 2 или 3; а А означает группу -СН2-, -СН=СН-, -СО-, -NMe-, -O- или -S-, в частности группу -СН2-, -СН=СН- или -O-. Примеры подходящих групп -(СН2)m-A-(CH2)n– включают метилен, этилен, аллилен, н-пропилен, и-пропилен, бутилен, 4-метилпент-3-енилен, гептилен, этиленокси, пропиленокси, бутиленокси, сульфаноилпропилен, метиламинопропилен и 4-оксобутилен, предпочтительно метилен, этилен, аллилен, н-пропилен, изо-пропилен, гептилен, этиленокси или пропиленокси. Более предпочтительными солями формулы (II) являются соли, в которых группа азониабицикло замещена при атоме азота группой 3-феноксипропила, 2-феноксиэтила, 3-фенилаллила, фенетила, 4-фенилбутила, 3-фенилпропила, 3-[2-гидроксифенокси]пропила, 3-[4-фторфенокси]пропила, 2-бензилоксиэтила, 3-пиррол-1-илпропила, 2-тиен-2-илэтила, 3-тиен-2-илпропила, 3-фениламинопропила, 3-(метилфениламино)пропила, 3-фенилсульфанилпропила, 3-о-толилоксипропила, 3-(2,4,6-триметилфенокси)пропила, 3-(2-трет-бутил-6-метилфенокси)пропила, 3-(бифенил-4-илокси)пропила, 3-(5,6,7,8-тетрагидронафталин-2-илокси)пропила, 3-(нафталин-2-илокси)пропила, 3-(нафталин-1-илокси)пропила, 3-(2-хлорфенокси)пропила, 3-(2,4-дифторфенокси)пропила, 3-(3-трифторметилфенокси)пропила, 3-(3-цианофенокси)пропила, 3-(4-цианофенокси)пропила, 3-(3-метоксифенокси)пропила, 3-(4-метоксифенокси)пропила, 3-(бензо[1,3]диоксол-5-илокси)пропила, 3-(2-карбамоилфенокси)пропила, 3-(3-диметиламинофенокси)пропила, 3-(4-нитрофенокси)пропила, 3-(3-нитрофенокси)пропила, 3-(4-ацетиламинофенокси)пропила, 3-(3-метоксикарбонилфенокси)пропила, 3-[4-(3-гидроксипропил)фенокси]пропила, 3-(2-гидроксиметилфенокси)пропила, 3-(3-гидроксиметилфенокси)пропила, 3-(4-гидроксиметилфенокси)пропила, 3-(2-гидроксифенокси)пропила, 3-(4-гидроксифенокси)пропила, 3-(3-гидроксифенокси)пропила, 4-оксо-4-тиен-2-илбутила, 3-(1-метил-[1H]-имидазол-2-илсульфанил)пропила, 3-(бензотиазол-2-илокси)пропила, 3-бензилоксипропила, 6-(4-фенилбутокси)гексила, 4-феноксибутила или 2-бензилоксиэтила. Особо предпочтительными солями являются соли, в которых группа азониабицикло замещена по атому азота группой 3-феноксипропила, 2-феноксиэтила, 3-фенилаллила, фенетила, 3-фенилпропила, 3-(3-гидроксифенокси)пропила, 3-(4-фторфенокси)пропила, 3-тиофен-2-илпропила, 1-аллила или 1-гептила. Следующие соли общей формулы (II) предназначены для иллюстрации, а не ограничения рамок данного изобретения. 3-(R)(Бензилфенилкарбамоил-окси)-1-(3-фенилаллил)-1-азониабицикло[2.2.2]октан, бромид 1-Аллил-3-(R)(бензилфенилкарбамоил-окси)-1-азониабицикло[2.2.2]октан, бромид 3-(R)(Бензилфенилкарбамоил-окси)-1-фенетил-1-азониабицикло[2.2.2]октан, бромид 3-(R)(Бензилфенилкарбамоил-окси)-1-(3-тиофен-2-илпропил)-1-азониабицикло[2.2.2]октан, бромид 3-(R)(Бензилфенилкарбамоил-окси)-1-(3-фенилпропил)-1-азониабицикло[2.2.2]октан, бромид 3-(R)(Бензилфенилкарбамоил-окси)-1-(2-феноксиэтил)-1-азониабицикло[2.2.2]октан, бромид 3-(R)(Бутилфенилкарбамоил-окси)-1-(3-фенилаллил)-1-азониабицикло[2.2.2]октан, бромид 1-Аллил-3-(R)(бутилфенилкарбамоил-окси)-1-азониабицикло[2.2.2]октан, бромид 3-(R)(Бутилфенилкарбамоил-окси)-1-(2-феноксиэтил)-1-азониабицикло[2.2.2]октан, бромид 3-(R)(Бутилфенилкарбамоил-окси)-1-[3-(3-гидроксифенокси)пропил]-1-азониабицикло[2.2.2]октан, бромид 3-(R)(Бутилфенилкарбамоил-окси)-1-[3-(4-фторфенокси)пропил]-1-азониабицикло[2.2.2]октан, бромид 3-(R)(Бутилфенилкарбамоил-окси)-1-(3-тиофен-2-илпропил)-1-азониабицикло[2.2.2]октан, бромид 3-(R)(Бутилфенилкарбамоил-окси)-1-(3-фенилпропил)-1-азониабицикло[2.2.2]октан, бромид 3-(R)(Фенилтиофен-2-илметилкарбамоил-окси)-1-(3-тиофен-2-илпропил)-1-азониабицикло[2.2.2]октан, бромид 1-(2-Феноксиэтил)-3-(R)(фенилтиофен-2-илметилкарбамоил-окси)-1-азониабицикло[2.2.2]октан, бромид 1-Аллил-3-(R)(фенилтиофен-2-илметилкарбамоил-окси)-1-азониабицикло[2.2.2]октан, бромид 3-(R)(Фенетилфенилкарбамоил-окси)-1-(2-феноксиэтил)-1-азониабицикло[2.2.2]октан, трифторацетат 1-Гептил-3-(R)(пент-4-енилфенилкарбамоил-окси)-1-азониабицикло[2.2.2]октан, трифторацетат 1-Аллил-3-(R)(фенилтиофен-3-илметилкарбамоил-окси)-1-азониабицикло[2.2.2]октан, трифторацетат 3-(R)(Фенилтиофен-3-илметилкарбамоилокси)-1-(3-тиофен-2-илпропил)-1-азониабицикло[2.2.2]октан, бромид 1-(2-Феноксиэтил)-3-(R)(фенилтиофен-3-илметилкарбамоилокси)-1-азониабицикло[2.2.2]октан, бромид 3-(R)(Бис-тиофен-2-илметилкарбамоилокси)-1-(3-фенилпропил)-1-азониабицикло[2.2.2]октан, бромид 3-(R)(Бис-тиофен-2-илметилкарбамоилокси)-1-(3-тиофен-2-илпропил)-1-азониабицикло[2.2.2]октан, бромид 1-Аллил-3-(R)(аллилтиофен-2-илметилкарбамоилокси)-1-азониабицикло[2.2.2]октан, трифторацетат 3-(R)(Циклопентилтиофен-2-илметилкарбамоилокси)-1-(3-фенилпропил)-1-азониабицикло[2.2.2]октан, трифторацетат 3-(R)(Фуран-2-илметилфенилкарбамоил-окси)-1-(3-фенилпропил)-1-азониабицикло[2.2.2]октан, трифторацетат 1-Аллил-3-(R)(бис-фуран-2-илметилкарбамоил-окси)-1-азониабицикло[2.2.2]октан, трифторацетат В данном изобретении также предлагаются способы получения соединений формул (I) и (II). Соединения общей формулы (I) можно получать по способу (а), проиллюстрированному в следующей схеме и подробно описанному в экспериментальном разделе. В формулах (I), (III) и (IV) R1, R2 и р являются такими, как установлено выше. Соединения общей формулы (III) могут быть получены из соответствующих вторичных аминов по стандартному способу (b), описанному в литературе. Амины общей формулы (V), которые не поставляются коммерчески, получены в результате синтеза по стандартным способам. Например, амины, в которых R1 означает тиофен-2-илметил, а R2 является таким, как определено выше, получают гидроалкилированием. Соответствующий альдегид обрабатывают подходящим первичным амином для образования имина, который восстанавливают боргидридом натрия, чтобы получить вторичный амин. Карбаматы формулы (I) могут быть превращены в фармацевтически приемлемые соли по способам, известным в данной области. Обычно карбамат формулы (I) обрабатывают неорганической или органической кислотой, такой как фумаровая, винная, янтарная или хлористоводородная кислота. Производные четвертичного аммония общей формулы (II) можно получать реакцией алкилирующего агента общей формулы (VI) с соединениями общей формулы (I). В формулах (I), (II) и (VI), R1, R2, А, В, X, n, m, и p являются такими, как описано выше. В формуле (VI) W соответствует любой подходящей уходящей группе, такой как группа X, которая описана выше. Предпочтительно, W представляет группу X. Упомянутая реакция алкилирования может быть проведена по двум различным экспериментальным способам, (с) и (d), которые описываются ниже. В частности, способ (d) представляет собой новый экспериментальный способ, использующий технологию экстракции твердой фазы, что допускает параллельное получение нескольких соединений. Если W представляет собой группу иную, чем X, соль четвертичного аммония формулы (II) получают из продукта способа (с) или (d) посредством проведения реакции обмена по стандартным способам, чтобы заменить анион W– требуемым анионом Х–. Способы (с) и (d) описываются в экспериментальном разделе. Соединения общей формулы (VI), которые не поставляются коммерчески, получены в результате синтеза по стандартным способам. Например, соединения, в которых n = 0, а А = -О-, -S- или -NR4, где R4 определен, как указано выше, получают в результате реакции соответствующего ароматического производного или его калиевой соли с алкилирующим агентом общей формулы Y-(CH2)m-X, в которой X может быть галогеном, а Y может быть галогеном или сложным сульфонатным эфиром. В других примерах соединения общей формулы (VI), в которой n>=1, синтезировали из соответствующего производного спирта общей формулы (VII) по известным способам. В-(СН2)n-A-(СН2)m-OH (VII) Соединениями формулы (IV) могут быть: 4-гидрокси-1-азабицикло[2.2.1]гептан, описанный в WO93/15080 4-гидрокси-1-азабицикло[2.2.2]октан, описанный Grob, C.A. et al. Helv. Chim. Acta (1958), 41, 1184-1190 3(R)-гидрокси-1-азабицикло[2.2.2]октан или 3(S)-гидрокси-1-азабицикло[2.2.2]октан, описанные Ringdahl, R. Acta Pharm. Suec. (1979), 16, 281-283 и коммерчески поставляется фирмой CU Chemie Uetikon GmbH. Структуры полученных соединений подтверждали методами 1Н-ЯМР и МС. Спектры ЯМР регистрировали, используя прибор Varian 300 МГц, и химические сдвиги выражали как миллионные доли ( Способ (а) Пример 54 – Получение 1-азабицикло[2.2.2]окт-3-(R)илового эфира бутилфенилкарбаминовой кислоты. 0,65 г (28,50 ммоль) натрия добавляли к 70 мл сухого толуола. Суспензию кипятили с обратным холодильником при энергичном перемешивании. Когда весь натрий расплавлялся, добавляли 3,60 г (28,30 ммоль) (R)-3-гидрокси-1-азабицикло[2.2.2]октана и продолжали перемешивание в течение 2 часов, и в течение этого времени весь натрий прореагировал с образованием алкоголята. Затем медленно добавляли 6,00 г (28,30 ммоль) фенилбутилкарбамилхлорида, растворенного в 30 мл толуола. Смесь кипятили с обратным холодильником в течение одного часа, а затем реакционную смесь перемешивали в течение всей ночи при комнатной температуре. Суспензию фильтровали и фильтрат выпаривали. К остатку добавляли простой эфир и перемешивали в течение 10 минут. Суспензию фильтровали и фильтрат концентрировали в вакууме с получением 7,18 г коричневого масла. Полученный продукт очищали методом колоночной хроматографии (силикагель, хлороформ/этанол/аммиак 140:8:1) с получением 1,78 г (5,89 ммоль) (22%) чистого продукта, структуру подтверждали 1Н-ЯМР. 300 МГц, CDCl3: Пример 150 – Получение 1-азабицикло[2.2.2]окт-3-(R)илового эфира циклопентилтиофен-2-илметилкарбаминовой кислоты. 0,57 г (24,59 ммоль) натрия добавляли к 70 мл сухого толуола. Суспензию кипятили с обратным холодильником при энергичном перемешивании. Когда весь натрий расплавлялся, добавляли 3,11 г (24,42 ммоль) (R)-3-гидрокси-1-азабицикло[2.2.2]октана и перемешивали в течение 2 часов, и в течение этого времени весь натрий вступал в реакцию с образованием алкоголята. Затем медленно добавляли 4,96 г (20,35 ммоль) циклопентилтиофен-2-илметилкарбамилхлорида, растворенного в 30 мл толуола. Смесь кипятили с обратным холодильником в течение пяти часов, а затем реакционную смесь перемешивали в течение всей ночи при комнатной температуре. Суспензию фильтровали и фильтрат промывали водой. Органический слой экстрагировали 20% HCl, а водный слой подщелачивали 8 н. NaOH и экстрагировали этилацетатом. Органический слой промывали водой, высушивали над безводным Na2SO4 и упаривали. Полученное масло (4,50 г) очищали методом колоночной хроматографии (силикагель, хлороформ/этанол/аммиак 225:8:1) с получением 2,25 г (6,73 ммоль) (33%) чистого продукта, структуру подтверждали 1Н-ЯМР. 300 МГц, (DMSO-d6): Пример 159 – Получение 1-азабицикло[2.2.1]гепт-4-илового эфира бензилфенилкарбаминовой кислоты. В двугорлую колбу в атмосфере азота помещали 3 мл ТГФ и 150 мг (1,33 ммоль) 4-гидрокси-1-азабицикло[2.2.1]гептана. Суспензию охлаждали до -60°С и по каплям добавляли 0,7 мл (1,46 ммоль) диизопропиламида лития (LDA). После добавления позволяли температуре повышаться до 0°С и поддерживали в течение двух часов. В течение 30 минут добавляли раствор 295 мг (1,20 ммоль) бензилфенилкарбамилхлорида в 2 мл ТГФ. Реакционную смесь оставляли для медленного нагревания до комнатной температуры и перемешивали в течение 18 часов. Суспензию фильтровали, а фильтрат концентрировали при пониженном давлении. Остаток экстрагировали дихлорметаном и водой. Органический слой экстрагировали 2 н. HCl, а водный слой подщелачивали 8 н. NaOH и экстрагировали дихлорметаном. Органические слои высушивали над безводным Na2SO4 и упаривали. Полученное масло (162 мг) очищали методом ВЭЖХ-МС с получением 4,86 мг (0,015 ммоль) продукта в виде формиата с 1,3% чистоты, структуру подтверждали 1Н-ЯМР. 300 МГц, (DMSO-d6): Способ (b) Карбамоилхлориды общей формулы (III) получали в соответствии со способами, описанными в литературе: M. Saraswati et al., Drug Development Research (1994), 31, 142-146; G.M. Shutske et al., J. Heterocycl. Chem. (1990), 27, 1617; GB 1246606; US 2762796. Пример 1-1 – Получение бутилфенилкарбамоилхлорида К раствору 6,72 г (45 ммоль) бутилфениламина в 50 мл хлористого метилена, охлажденного до 10°С, при перемешивании медленно добавляли 6,67 г (22,5 ммоль) трифосгена в 40 мл хлористого метилена. Реакция протекала при комнатной температуре в течение 27 часов. Растворитель выпаривали, а остаток дважды экстрагировали н-гексаном. Органический раствор концентрировали в вакууме до получения 9,11 г (43,03 ммоль) желтого масла (96%). 1Н-ЯМР (CDCl3): Пример 1-2 – Получение циклопентилтиофен-2-илметилкарбамилхлорида К раствору 5,0 г (27,58 ммоль) циклопентилтиофен-2-илметил-амина в 40 мл хлористого метилена при 10°С при перемешивании медленно добавляли 4,09 г (13,79 ммоль) трифосгена в 35 мл хлористого метилена. Реакцию проводили при комнатной температуре в течение 64 часов, при кипячении с обратным холодильником в течение 4 часов и еще в течение 25 часов при комнатной температуре. Растворитель выпаривали, а остаток экстрагировали н-гексаном. Органический раствор концентрировали, чтобы получить 4,96 г (20,34 ммоль) коричневого масла (74%). 1Н-ЯМР (CDCl3): Способ (с) Пример 146 – Получение (R)-3-(бис-тиофен-2-илметилкарбамоил-окси)-1-(3-тиофен-2-илпропил)-1-азониабицикло[2.2.2]октана, бромида Смешивали 0,54 г (1,5 ммоль) 1-азабицикло[2.2.2]окт-3-(R)-илового эфира бис-тиофен-2-илметилкарбаминовой кислоты, 7,5 мл тетрагидрофурана и 0,46 г (2,25 ммоль) 2-(3-бромпропилтиофена). Раствор кипятили с обратным холодильником в течение 4 часов и оставляли, чтобы продолжить перемешивание при комнатной температуре в течение 116 часов. Добавляли эфир и полученную суспензию перемешивали в течение 30 минут. Растворитель экстрагировали и добавляли еще эфир. Описанную процедуру повторяли несколько раз для того, чтобы удалить алкилирующий агент. Наконец, суспензию фильтровали, а остаток высушивали в вакуумной печи. Выход составлял 0,69 г (1,22 ммоль) (81%). 1Н-ЯМР (DMSO-d6): Способ (d) Пример 133 – Получение 1-гептил-3-(R)(фенилтиофен-3-илметилкарбамоилокси)-1-азониабицикло[2.2.2]октана, трифторацетата 30 мг (0.08 ммоль) 1-азабицикло[2.2.2]окт-3-(R)илового эфира фенилтиофен-3-илметилкарбаминовой кислоты растворяли в 1 мл ДМСО. К полученному раствору добавляли 75 мг (0,40 ммоль) гептилбромида. После перемешивания в течение ночи при комнатной температуре смесь очищали экстракцией твердой фазы с использованием катионообменного картриджа Mega Bond Elut, предварительно уравновешенного 0,1 М NaH2PO4-буфером при рН=7,5. Реакционную смесь наносили на картридж и промывали сначала 2 мл ДМСО, а затем три раза 5 мл CH3CN, вымывая все исходные материалы. Производное аммония элюировали 5 мл 0,03 М раствора ТФУК в смеси CH3CN:CHCl3 (2:1). Полученный раствор нейтрализовали 300 мг поли(4-винилпиридином), фильтровали и выпаривали досуха. Выход составлял 12 мг (34%) указанного в заголовке соединения. 1Н-ЯМР (DMSO-d6): Также в объем данного изобретения включены фармацевтические композиции, которые содержат в качестве активного ингредиента, по крайней мере, одно производное хинуклидина общей формулы (I) или (II) в комбинации с фармацевтически приемлемым носителем или разбавителем. Предпочтительно, композицию составляют в форме, подходящей для перорального применения. Фармацевтически приемлемый носитель или разбавители, которые смешивают с соединением или соединениями для образования композиции по данному изобретению, сами по себе хорошо известны, и использование определенных наполнителей зависит, в числе прочего, от предполагаемого способа введения композиции. Композиции по данному изобретению адаптированы для перорального применения. В данном случае, композицию для перорального применения можно приготовить в виде таблеток, покрытых пленкой таблеток, жидкого ингаляционного препарата, порошкообразного ингаляционного препарата и ингаляционной аэрозоли. Любой из этих препаратов содержит одно или несколько соединений по изобретению. Такие препараты могут быть приготовлены способами, хорошо известными в данной области. Разбавители, которые могут быть использованы в препаратах композиций, включают в себя те жидкие и твердые разбавители, которые совместимы с активным ингредиентом, при необходимости вместе с окрашивающими и вкусовыми агентами. Таблетки или покрытые пленкой таблетки обычно могут содержать между 0,1 мг и 500 мг, предпочтительно от 0,5 до 200 мг активного ингредиента. Ингаляционные композиции могут содержать от 1 мкг до 1000 мкг, предпочтительно от 10 до 800 мкг активного ингредиента. При лечении человека доза соединения общей формулы (I) или (II) зависит от требуемого эффекта и продолжительности лечения; дозы для взрослых обычно составляют от 0,5 мг до 300 мг в день в виде таблеток и от 10 мкг до 800 мкг в день в виде ингаляционной композиции. Соединения данного изобретения или фармацевтические композиции, содержащие их, могут быть использованы вместе с Фармакологическое действие Следующие примеры демонстрируют прекрасную фармакологическую активность соединений данного изобретения. Результаты относительно связывания мускаринового рецептора человека и влияния на бронхоспазм у морской свинки были получены, как описано ниже. Исследования мускаринового рецептора человека Связывание [3H]-NMS с мускариновыми рецепторами человека проводили согласно Waelbroek et al., (1990), Mol. Pharmacol., 38: 267-273. Исследования выполняли при 25°С. Использовали мембранные препараты из стабильно трансфицированных клеток К1 яичника китайского хомяка (СНО), экспрессирующих гены мускариновых рецепторов М3 человека. Для определения IC50 мембранные препараты суспендировали в DPBS до конечной концентрации 89 мкг/мл для подтипа М3. Мембранную суспензию инкубировали с тритированным соединением в течение 60 минут. После инкубации мембранную фракцию отделяли фильтрованием и определяли связанную радиоактивность. Неспецифическое связывание определяли посредством добавления 10-4 М атропина. Анализировали, по крайней мере, шесть концентраций в дубликатах, чтобы получить индивидуальные кривые замещений. Полученные результаты (Таблица 1) демонстрируют, что соединения данного изобретения характеризуются высоким сродством к мускариновым рецепторам М3, предпочтительно мускариновым рецепторам человека.
Предпочтительные соединения по изобретению имеют величину IC50 (нМ) для рецепторов М3 меньше 35, предпочтительно меньше 25, 20 или 15, более предпочтительно менее 10. Испытание на бронхоспазм у морских свинок Исследования проводили согласно H. Konzett and Rossler (1940), Arch. Exp. Path. Pharmacol. 195, 71-74. Водные растворы агентов, которые необходимо тестировать, вводили распылением и ингаляцией анестезированным самцам морских свинок, которым проводили искусственную вентиляцию легких (Dunkin-Hartley). Бронхиальную ответную реакцию на внутривенную стимуляцию ацетилхолином определяли до и после введения лекарственного средства и изменения в легочной резистентности по нескольким временным точкам выражали как процент ингибирования бронхоспазма. Соединения данного изобретения проявляли бронхолитическую активность с высокой эффективностью и длительной продолжительностью действия. Из представленных выше результатов каждый из специалистов в данной области легко может понять, что соединения данного изобретения характеризуются хорошей антимускариновой активностью (М3) и, таким образом, являются эффективными при лечении заболеваний, в которые вовлечен мускариновый рецептор М3, включая респираторные заболевания, такие как хроническое обструктивное заболевание легких, бронхит, астма, повышенная реактивность бронхов и ринит; урологические заболевания, такие как недержание мочи, поллакиурия, нейрогенный мочевой пузырь, ночное недержание мочи, неустойчивый мочевой пузырь, цистоспазм и хронический цистит; желудочно-кишечные заболевания, такие как синдром раздраженной толстой кишки, спастический колит, дивертикулит и образование пептических язв; и сердечно-сосудистые нарушения, такие как вагус-индуцированная синусовая брадикардия. Например, соединения данного изобретения используются для лечения респираторных заболеваний, таких как хроническое обструктивное заболевание легких, хронический бронхит, астма и ринит; урологических заболеваний, таких как недержание мочи, учащенное мочеиспускание при нейрогенной поллакиурии, нейрогенный мочевой пузырь, ночное недержание мочи, неустойчивый мочевой пузырь, цистоспазм и хронический цистит; и желудочно-кишечных заболеваний, таких как синдром раздраженной толстой кишки, спастический колит, дивертикулит. Кроме того, в данном изобретении предлагается соединение формулы (I) или (II) или фармацевтически приемлемая композиция, содержащая соединение формулы (I) или (II), для применения в способе лечения человека и животных, в особенности для лечения респираторного, урологического и желудочно-кишечного заболевания. Кроме того, в данном изобретении предлагается применение соединения формулы (I) или (II) или фармацевтически приемлемой композиции, содержащей соединение формулы (I) или (II), для производства лекарственного средства для лечения респираторного, урологического и желудочно-кишечного заболевания. Далее, соединения формулы (I) или (II) и фармацевтические композиции, содержащие соединение формулы (I) или (II), можно использовать в способе лечения респираторного, урологического и желудочно-кишечного заболевания, который включает введение человеку или животному эффективного количества соединения формулы (I) или (II) или фармацевтической композиции, содержащей соединение формулы (I) или (II), при необходимости такого лечения. Кроме того, соединения формулы (I) и фармацевтические композиции, содержащие соединение формулы (I), можно использовать в комбинации с другими лекарственными средствами, эффективными при лечении упомянутых выше заболеваний. Например, их можно применять в сочетании с Поэтому в данном изобретении далее предлагается комбинированный продукт, содержащий (i) соединение согласно изобретению; и (ii) другое соединение, эффективное при лечении респираторного, урологического или желудочно-кишечного заболевания или нарушения для одновременного, раздельного или последовательного применения. Соединение (ii), которое эффективно при лечении респираторного, урологического или желудочно-кишечного заболевания или нарушения, может представлять собой Далее данное изобретение будет проиллюстрировано следующими примерами. Примеры представлены только как иллюстрация и не должны рассматриваться как ограничение изобретения. Пример 1 1-азабицикло[2.2.2]окт-3-(R)иловый эфир бензилфенилкарбаминовой кислоты Названное в заголовке соединение синтезировали по способу а. Выход на конечной стадии составил 1000 мг, 18%. 1Н-ЯМР (CDCl3): Пример 2 3-(R)(Бензилфенилкарбамоил-окси)-1-метил-1-азониабицикло[2.2.2]октан, трифторацетат Названное в заголовке соединение синтезировали по способу d. Выход на конечной стадии составил 20 мг, 34%. 1Н-ЯМР (DMSO-d6): Пример 3 3-(R)(Бензилфенилкарбамоил-окси)-1-(4-метилпент-3-енил)-1-азониабицикло[2.2.2]октан, трифторацетат Названное в заголовке соединение синтезировали по способу d. Выход на конечной стадии составил 18 мг, 25%. МС [M-CF3COO]+: 419. Пример 4 3-(R)(Бензилфенилкарбамоил-окси)-1-(3-феноксипропил)-1-азониабицикло[2.2.2]октан, трифторацетат Названное в заголовке соединение синтезировали по способу d. Выход на конечной стадии составил 21 мг, 26%. 1Н-ЯМР (DMSO-d6): Пример 5 3-(R)(Бензилфенилкарбамоил-окси)-1-(3-фенилаллил)-1-азониабицикло[2.2.2]октан, бромид Названное в заголовке соединение синтезировали по способу с. Выход на конечной стадии составил 220 мг, 70%. 1Н-ЯМР (DMSO-d6): Пример 6 1-Аллил-3-(R)(бензилфенилкарбамоил-окси)-1-азониабицикло[2.2.2]октан, бромид Названное в заголовке соединение синтезировали по способу с. Выход на конечной стадии составил 230 мг, 85%. 1Н-ЯМР (DMSO-d6): Пример 7 3-(R)(Бензилфенилкарбамоил-окси)-1-(2-гидроксиэтил)-1-азониабицикло[2.2.2]октан, трифторацетат Названное в заголовке соединение синтезировали по способу d. Выход на конечной стадии составил 12 мг, 19%. МС[M-CF3COO]+: 381. Пример 8 3-(R)(Бензилфенилкарбамоил-окси)-1-изопропил-1-азониабицикло[2.2.2]октан, трифторацетат Названное в заголовке соединение синтезировали по способу d. Выход на конечной стадии составил 17 мг, 26%. 1Н-ЯМР (DMSO-d6): Пример 9 3-(R)(Бензилфенилкарбамоил-окси)-1-пропил-1-азониабицикло[2.2.2]октан, трифторацетат Названное в заголовке соединение синтезировали по способу d. Выход на конечной стадии составил 16 мг, 25%. 1Н-ЯМР (DMSO-d6): Пример 10 3-(R)(Бензилфенилкарбамоил-окси)-1-(3-цианопропил)-1-азониабицикло[2.2.2]октан, трифторацетат Названное в заголовке соединение синтезировали по способу d. Выход на конечной стадии составил 13 мг, 19%. 1Н-ЯМР (DMSO-d6): Пример 11 3-(R)(Бензилфенилкарбамоил-окси)-1-циклопропилметил-1-азониабицикло[2.2.2]октан, трифторацетат Названное в заголовке соединение синтезировали по способу d. Выход на конечной стадии составил 9 мг, 14%. МС[M-CF3COO]+: 391. Пример 12 3-(R)(Бензилфенилкарбамоил-окси)-1-(2-этоксиэтил)-1-азониабицикло[2.2.2]октан, трифторацетат Названное в заголовке соединение синтезировали по способу d. Выход на конечной стадии составил 22 мг, 32%. 1Н-ЯМР (DMSO-d6): Пример 13 3-(R)(Бензилфенилкарбамоил-окси)-1-(4-этоксикарбонилбутил)-1-азониабицикло[2.2.2]октан, трифторацетат Названное в заголовке соединение синтезировали по способу d. Выход на конечной стадии составил 14 мг, 18%. 1Н-ЯМР (DMSO-d6): Пример 14 3-(R)(Бензилфенилкарбамоил-окси)-1-(4-фенилбутил)-1-азониабицикло[2.2.2]октан, трифторацетат Названное в заголовке соединение синтезировали по способу d. Выход на конечной стадии составил 14 мг, 18%. 1Н-ЯМР (DMSO-d6): Пример 15 3-(R)(Бензилфенилкарбамоил-окси)-1-[3-(4-фторфенокси)-пропил]-1-азониабицикло[2.2.2]октан, трифторацетат Названное в заголовке соединение синтезировали по способу d. Выход на конечной стадии составил 21 мг, 25%. 1Н-ЯМР (DMSO-d6): Пример 16 3-(R)(Бензилфенилкарбамоил-окси)-1-(3-гидроксипропил)-1-азониабицикло[2.2.2]октан, трифторацетат Названное в заголовке соединение синтезировали по способу d. Выход на конечной стадии составил 12 мг, 18%. 1Н-ЯМР (DMSO-d6): Пример 17 1-(4-Ацетоксибутил-3-(R)(бензилфенилкарбамоил-окси)-1-азониабицикло[2.2.2]октан, трифторацетат Названное в заголовке соединение синтезировали по способу d. Выход на конечной стадии составил 9 мг, 12%. 1Н-ЯМР (DMSO-d6): Пример 18 3-(R)(Бензилфенилкарбамоил-окси)-1-(4-оксо-4-тиофен-2-илбутил)-1-азониабицикло[2.2.2]октан, трифторацетат Названное в заголовке соединение синтезировали по способу d. Выход на конечной стадии составил 16 мг, 19%. 1Н-ЯМР (DMSO-d6): Пример 19 3-(R)(Бензилфенилкарбамоил-окси)-1-[3-(3-гидроксифенокси)пропил]-1-азониабицикло[2.2.2]октан, трифторацетат Названное в заголовке соединение синтезировали по способу d. Выход на конечной стадии составил 17 мг, 21%. 1Н-ЯМР (DMSO-d6): Пример 20 3-(R)(Бензилфенилкарбамоил-окси)-1-гептил-1-азониабицикло[2.2.2]октан, трифторацетат Названное в заголовке соединение синтезировали по способу d. Выход на конечной стадии составил 17 мг, 23%. 1Н-ЯМР (DMSO-d6): Пример 21 1-(2-Бензилоксиэтил)-3-(R)(бензилфенилкарбамоил-окси)-1-азониабицикло[2.2.2]октан, трифторацетат Названное в заголовке соединение синтезировали по способу d. Выход на конечной стадии составил 20 мг, 25%. 1Н-ЯМР (DMSO-d6): Пример 22 1-азабицикло[2.2.2]окт-3-(R)иловый эфир бензил-(4-фторфенил)карбаминовой кислоты Названное в заголовке соединение синтезировали по способу а. Выход на конечной стадии составил 1110 мг, 13%. 1Н-ЯМР (DMSO-d6): Пример 23 1-Аллил-3-(R)[бензил-(4-фторфенил)карбамоил-окси]-1-азониабицикло[2.2.2]октан, трифторацетат Названное в заголовке соединение синтезировали по способу d. Выход на конечной стадии составил 10 мг, 23%. МС [M-CF3COO]+: 395. Пример 24 3-(R)[Бензил-(4-фторфенил)карбамоил-окси]-1-(3-фенилпропил)-1-азониабицикло[2.2.2]октан, трифторацетат Названное в заголовке соединение синтезировали по способу d. Выход на конечной стадии составил 13 мг, 25%. МС [M-CF3COO]+: 473. Пример 25 1-азабицикло[2.2.2]окт-3-(R)иловый эфир бензил-п-толилкарбаминовой кислоты Названное в заголовке соединение синтезировали по способу а. Выход на конечной стадии составил 1070 мг, 11%. 1Н-ЯМР (DMSO-d6): Пример 26 1-Аллил-3-(R)(бензил-п-толилкарбамоил-окси)-1-азониабицикло[2.2.2]октан, трифторацетат Названное в заголовке соединение синтезировали по способу d. Выход на конечной стадии составил 9 мг, 19%. МС [M-CF3COO]+: 391. Пример 27 3-(R)(Бензил-п-толилкарбамоил-окси)-1-(3-фенилпропил)-1-азониабицикло[2.2.2]октан, трифторацетат Названное в заголовке соединение синтезировали по способу d. Выход на конечной стадии составил 13 мг, 25%. МС [M-CF3COO]+: 469. Пример 28 3-(R)-(Бензилфенилкарбамоил-окси)-1-[2-(2-метоксиэтокси)этил]-1-азониабицикло[2.2.2]октан, бромид Названное в заголовке соединение синтезировали по способу с. Выход на конечной стадии составил 390 мг, 84%. 1Н-ЯМР (DMSO-d6): Пример 29 3-(R)-(Бензилфенилкарбамоил-окси)-1-фенетил-1-азониабицикло[2.2.2]октан, бромид Названное в заголовке соединение синтезировали по способу с. Выход на конечной стадии составил 200 мг, 65%. 1Н-ЯМР (DMSO-d6): Пример 30 3-(R)-(Бензилфенилкарбамоил-окси)-1-(3-тиофен-2-илпропил)-1-азониабицикло[2.2.2]октан, бромид Названное в заголовке соединение синтезировали по способу с. Выход на конечной стадии составил 970 мг, 82%. 1Н-ЯМР (DMSO-d6): Пример 31 3-(R)-(Бензилфенилкарбамоил-окси)-1-(3-фенилпропил)-1-азониабицикло[2.2.2]октан, бромид Названное в заголовке соединение синтезировали по способу с. Выход на конечной стадии составил 880 мг, 79%. 1Н-ЯМР (DMSO-d6): Пример 32 3-(R)-(Бензилфенилкарбамоил-окси)-1-(2-феноксиэтил)-1-азониабицикло[2.2.2]октан, бромид Названное в заголовке соединение синтезировали по способу с. Выход на конечной стадии составил 360 мг, 67%. 1Н-ЯМР (DMSO-d6): Пример 33 3-(R)(Бензилфенилкарбамоил-окси)-1-[3-(3-цианофенокси)пропил]-1-азониабицикло[2.2.2]октан, трифторацетат Названное в заголовке соединение синтезировали по способу d. Выход на конечной стадии составил 16 мг, 36%. МС [M-CF3COO]+: 496. Пример 34 3-(R)(Бензилфенилкарбамоил-окси)-1-[3-(нафталин-1-илокси)пропил]-1-азониабицикло[2.2.2]октан, трифторацетат Названное в заголовке соединение синтезировали по способу d. Выход на конечной стадии составил 10 мг, 21%. МС [M-CF3COO]+: 521. Пример 35 3-(R)(Бензилфенилкарбамоил-окси)-1-[3-(метилфениламино)пропил]-1-азониабицикло[2.2.2]октан, трифторацетат Названное в заголовке соединение синтезировали по способу d. Выход на конечной стадии составил 12 мг, 28%. МС [M-CF3COO]+: 484. Пример 36 3-(R)-(Бензилфенилкарбамоил-окси)-1-(3-фенилсульфанилпропил)-1-азониабицикло[2.2.2]октан, трифторацетат Названное в заголовке соединение синтезировали по способу d. Выход на конечной стадии составил 8 мг, 18%. 1Н-ЯМР (DMSO-d6): Пример 37 3-(R)-(Бензилфенилкарбамоил-окси)-1-(4-оксо-4-фенилбутил)-1-азониабицикло[2.2.2]октан, трифторацетат Названное в заголовке соединение синтезировали по способу d. Выход на конечной стадии составил 10 мг, 23%. 1Н-ЯМР (DMSO-d6): Пример 38 3-(R)-(Бензилфенилкарбамоил-окси)-1-[3-(2,4,6-триметилфенокси)пропил]-1-азониабицикло[2.2.2]октан, трифторацетат Названное в заголовке соединение синтезировали по способу d. Выход на конечной стадии составил 14 мг, 30%. 1Н-ЯМР (DMSO-d6): Пример 39 3-(R)(Бензилфенилкарбамоил-окси)-1-[3-(2-хлорфенокси)пропил]-1-азониабицикло[2.2.2]октан, трифторацетат Названное в заголовке соединение синтезировали по способу d. Выход на конечной стадии составил 14 мг, 31%. МС [M-CF3COO]+: 506. Пример 40 3-(R)(Бензилфенилкарбамоил-окси)-1-[3-(3-трифторметилфенокси)пропил]-1-азониабицикло[2.2.2]октан, трифторацетат Названное в заголовке соединение синтезировали по способу d. Выход на конечной стадии составил 14 мг, 29%. 1Н-ЯМР (DMSO-d6): Пример 41 3-(R)(Бензилфенилкарбамоил-окси)-1-[3-(бифенил-4-илокси)пропил]-1-азониабицикло[2.2.2]октан, трифторацетат Названное в заголовке соединение синтезировали по способу d. Выход на конечной стадии составил 12 мг, 24%. 1Н-ЯМР (DMSO-d6): Пример 42 3-(R)(Бензилфенилкарбамоил-окси)-1-[3-(2,4-дифторфенокси)пропил]-1-азониабицикло[2.2.2]октан, трифторацетат Названное в заголовке соединение синтезировали по способу d. Выход на конечной стадии составил 10 мг, 22%. 1Н-ЯМР (DMSO-d6): Пример 43 3-(R)(Бензилфенилкарбамоил-окси)-1-[3-(4-метоксифенокси)пропил]-1-азониабицикло[2.2.2]октан, трифторацетат Названное в заголовке соединение синтезировали по способу d. Выход на конечной стадии составил 10 мг, 22%. 1Н-ЯМР (DMSO-d6): Пример 44 3-(R)(Бензилфенилкарбамоил-окси)-1-[3-(5,6,7,8-тетрагидронафталин-2-илокси)пропил]-1-азониабицикло[2.2.2]октан, трифторацетат Названное в заголовке соединение синтезировали по способу d. Выход на конечной стадии составил 10 мг, 21%. 1Н-ЯМР (DMSO-d6): Пример 45 1-[3-(Бензо[1,3]диоксол-5-илокси)пропил]-3-(R)(бензилфенилкарбамоил-окси)-1-азониабицикло[2.2.2]октан, трифторацетат Названное в заголовке соединение синтезировали по способу d. Выход на конечной стадии составил 12 мг, 26%. МС[M-CF3COO]+: 515. Пример 46 3-(R)(Бензилфенилкарбамоил-окси)-1-[3-(2-карбамоилфенокси)пропил]-1-азониабицикло[2.2.2]октан, трифторацетат Названное в заголовке соединение синтезировали по способу d. Выход на конечной стадии составил 10 мг, 22%. 1Н-ЯМР (DMSO-d6): Пример 47 3-(R)(Бензилфенилкарбамоил-окси)-1-[3-(3-диметиламинофенокси)пропил]-1-азониабицикло[2.2.2]октан, трифторацетат Названное в заголовке соединение синтезировали по способу d. Выход на конечной стадии составил 12 мг, 26%. МС[M-CF3COO]+: 514. Пример 48 1-[3-(4-Ацетиламинофенокси)пропил]-3-(R)(бензилфенилкарбамоил-окси)-1-азониабицикло[2.2.2]октан, трифторацетат Названное в заголовке соединение синтезировали по способу d. Выход на конечной стадии составил 12 мг, 25%. 1Н-ЯМР (DMSO-d6): Пример 49 3-(R)(Бензилфенилкарбамоил-окси)-1-[3-(4-метоксикарбонилфенокси)пропил]-1-азониабицикло[2.2.2]октан, трифторацетат Названное в заголовке соединение синтезировали по способу d. Выход на конечной стадии составил 12 мг, 25%. 1Н-ЯМР (DMSO-d6): Пример 50 3-(R)(Бензилфенилкарбамоил-окси)-1-[3-(4-нитрофенокси)пропил]-1-азониабицикло[2.2.2]октан, трифторацетат Названное в заголовке соединение синтезировали по способу d. Выход на конечной стадии составил 12 мг, 26%. 1Н-ЯМР (DMSO-d6): Пример 51 3-(R)(Бензилфенилкарбамоил-окси)-1-[3-(4-гидроксиметилфенокси)пропил]-1-азониабицикло[2.2.2]октан, трифторацетат Названное в заголовке соединение синтезировали по способу d. Выход на конечной стадии составил 10 мг, 22%. МС [M-CF3COO]+: 501. Пример 52 1-азабицикло[2.2.2.]окт-3-(S)иловый эфир бензилфенилкарбаминовой кислоты Названное в заголовке соединение синтезировали по способу а. Выход на конечной стадии составил 1000 мг, 23%. 1Н-ЯМР (DMSO-d6): Пример 53 3-(S)(Бензилфенилкарбамоил-окси)-1-(3-фенилпропил)-1-азониабицикло[2.2.2]октан, трифторацетат Названное в заголовке соединение синтезировали по способу с. Выход на конечной стадии составил 660 мг, 83%. 1Н-ЯМР (DMSO-d6): Пример 54 1-азабицикло[2.2.2.]окт-3-(R)ил эфир бутилфенилкарбаминовой кислоты Названное в заголовке соединение синтезировали по способу а. Выход на конечной стадии составил 1880 мг, 22%. 1Н-ЯМР (DMSO-d6): Пример 55 3-(R)(Бутилфенилкарбамоил-окси)-1-метил-1-азониабицикло[2.2.2]октан, трифторацетат Названное в заголовке соединение синтезировали по способу d. Выход на конечной стадии составил 16 мг, 30%. МС [M-CF3COO]+: 317. Пример 56 3-(R)(Бутилфенилкарбамоил-окси)-1-(4-метилпент-3-енил)-1-азониабицикло[2.2.2]октан, трифторацетат Названное в заголовке соединение синтезировали по способу d. Выход на конечной стадии составил 18 мг, 27%. МС [M-CF3COO]+: 385. Пример 57 3-(R)(Бутилфенилкарбамоил-окси)-1-(3-феноксипропил)-1-азониабицикло[2.2.2]октан, трифторацетат Названное в заголовке соединение синтезировали по способу d. Выход на конечной стадии составил 21 мг, 28%. МС [M-CF3COO]+: 437. Пример 58 3-(R)(Бутилфенилкарбамоил-окси)-1-(3-фенилаллил)-1-азониабицикло[2.2.2]октан, бромид Названное в заголовке соединение синтезировали по способу с. Выход на конечной стадии составил 182 мг, 48%. 1Н-ЯМР (DMSO-d6): Пример 59 1-Аллил-3-(R)(бутилфенилкарбамоил-окси)-1-азониабицикло[2.2.2]октан, бромид Названное в заголовке соединение синтезировали по способу с. Выход на конечной стадии составил 200 мг, 72%. 1Н-ЯМР (DMSO-d6): Пример 60 3-(R)(Бутилфенилкарбамоил-окси)-1-(2-гидроксиэтил)-1-азониабицикло[2.2.2]октан, трифторацетат Названное в заголовке соединение синтезировали по способу d. Выход на конечной стадии составил 13 мг, 19%. МС [M-CF3COO]+: 347. Пример 61 3-(R)(Бутилфенилкарбамоил-окси)-1-изопропил-1-азониабицикло[2.2.2]октан, трифторацетат Названное в заголовке соединение синтезировали по способу d. Выход на конечной стадии составил 20 мг, 29%. МС [M-CF3COO]+: 345. Пример 62 3-(R)(Бутилфенилкарбамоил-окси)-1-пропил-1-азониабицикло[2.2.2]октан, трифторацетат Названное в заголовке соединение синтезировали по способу d. Выход на конечной стадии составил 16 мг, 23%. МС [M-CF3COO]+: 345. Пример 63 3-(R)(Бутилфенилкарбамоил-окси)-1-(3-цианопропил)-1-азониабицикло[2.2.2]октан, трифторацетат Названное в заголовке соединение синтезировали по способу d. Выход на конечной стадии составил 15 мг, 20%. МС [M-CF3COO]+: 370. Пример 64 3-(R)(Бутилфенилкарбамоил-окси)-1-циклопропилметил-1-азониабицикло[2.2.2]октан, трифторацетат Названное в заголовке соединение синтезировали по способу d. Выход на конечной стадии составил 2 мг, 3%. МС [M-CF3COO]+: 357. Пример 65 3-(R)(Бутилфенилкарбамоил-окси)-1-(2-этоксиэтил)-1-азониабицикло[2.2.2]октан, трифторацетат Названное в заголовке соединение синтезировали по способу d. Выход на конечной стадии составил 19 мг, 25%. МС [M-CF3COO]+: 375. Пример 66 3-(R)(Бутилфенилкарбамоил-окси)-1-(4-этоксикарбонилбутил)-1-азониабицикло[2.2.2]октан, трифторацетат Названное в заголовке соединение синтезировали по способу d. Выход на конечной стадии составил 12 мг, 14%. МС [M-CF3COO]+: 431. Пример 67 3-(R)(Бутилфенилкарбамоил-окси)-1-(3-гидроксипропил)-1-азониабицикло[2.2.2]октан, трифторацетат Названное в заголовке соединение синтезировали по способу d. Выход на конечной стадии составил 12 мг, 17%. МС [M-CF3COO]+: 361. Пример 68 3-(R)(Бутилфенилкарбамоил-окси)-1-(3-пиррол-1-илпропил)-1-азониабицикло[2.2.2]октан, трифторацетат Названное в заголовке соединение синтезировали по способу d. Выход на конечной стадии составил 19 мг, 23%. МС [M-CF3COO]+: 410. Пример 69 1-(4-Ацетоксибутил)-3-(R)(бутилфенилкарбамоил-окси)-1-азониабицикло[2.2.2]октан, трифторацетат Названное в заголовке соединение синтезировали по способу d. Выход на конечной стадии составил 10 мг, 12%. МС [M-CF3COO]+: 417. Пример 70 3-(R)(Бутилфенилкарбамоил-окси)-1-(4-оксо-4-тиофен-2-илбутил)-1-азониабицикло[2.2.2]октан, трифторацетат Названное в заголовке соединение синтезировали по способу d. Выход на конечной стадии составил 17 мг, 19%. МС [M-CF3COO]+: 455. Пример 71 3-(R)(Бутилфенилкарбамоил-окси)-1-(4-фенилбутил)-1-азониабицикло[2.2.2]октан, трифторацетат Названное в заголовке соединение синтезировали по способу d. Выход на конечной стадии составил 17 мг, 20%. МС [M-CF3COO]+: 435. Пример 72 3-(R)(Бутилфенилкарбамоил-окси)-1-[3-(3-гидроксифенокси)пропил]-1-азониабицикло[2.2.2]октан, трифторацетат Названное в заголовке соединение синтезировали по способу d. Выход на конечной стадии составил 21 мг, 23%. МС [M-CF3COO]+: 453. Пример 73 3-(R)(Бутилфенилкарбамоил-окси)-1-гептил-1-азониабицикло[2.2.2]октан, трифторацетат Названное в заголовке соединение синтезировали по способу d. Выход на конечной стадии составил 17 мг, 21%. МС [M-CF3COO]+: 401. Пример 74 1-(2-Бензилоксиэтил)-3-(R)(бутилфенилкарбамоил-окси)-1-азониабицикло[2.2.2]октан, трифторацетат Названное в заголовке соединение синтезировали по способу d. Выход на конечной стадии составил 22 мг, 25%. МС [M-CF3COO]+: 437. Пример 75 3-(R)(Бутилфенилкарбамоил-окси)-1-фенетил-1-азониабицикло[2.2.2]октан, бромид Названное в заголовке соединение синтезировали по способу с. Выход на конечной стадии составил 330 мг, 82%. 1Н-ЯМР (DMSO-d6): Пример 76 3-(R)(Бутилфенилкарбамоил-окси)-1-[2-(2-метоксиэтокси)этил]-1-азониабицикло[2.2.2]октан, бромид Названное в заголовке соединение синтезировали по способу с. Выход на конечной стадии составил 520 мг, 81%. 1Н-ЯМР (DMSO-d6): Пример 77 1-азабицикло[2.2.2]окт-3-(R)-иловый эфир бутил-(4-фторфенил)карбаминовой кислоты Названное в заголовке соединение синтезировали по способу а. Выход на конечной стадии составил 1650 мг, 24%. 1Н-ЯМР (DMSO-d6): Пример 78 3-(R)(Бутилфенилкарбамоил-окси)-1-[3-(4-фторфенокси)пропил]-1-азониабицикло[2.2.2]октан, хлорид Названное в заголовке соединение синтезировали по способу с. Выход на конечной стадии составил 390 мг, 75%. 1Н-ЯМР (DMSO-d6): Пример 79 3-(R)(Бутилфенилкарбамоил-окси)-1-(2-феноксиэтил)-1-азониабицикло[2.2.2]октан, бромид Названное в заголовке соединение синтезировали по способу с. Выход на конечной стадии составил 260 мг, 53%. 1Н-ЯМР (DMSO-d6): Пример 80 3-(R)(Бутилфенилкарбамоил-окси)-1-(3-тиофен-2-илпропил)-1-азониабицикло[2.2.2]октан, бромид Названное в заголовке соединение синтезировали по способу с. Выход на конечной стадии составил 1100 мг, 62%. 1Н-ЯМР (DMSO-d6): Пример 81 3-(R)(Бутилфенилкарбамоил-окси)-1-(3-фенилпропил)-1-азониабицикло[2.2.2]октан, бромид Названное в заголовке соединение синтезировали по способу с. Выход на конечной стадии составил 280 мг, 56%. 1Н-ЯМР (DMSO-d6): Пример 82 1-азабицикло[2.2.2]окт-3-(R)иловый эфир фенилтиофен-2-илметилкарбаминовой кислоты Названное в заголовке соединение синтезировали по способу а. Выход на конечной стадии составил 310 мг, 10%. 1Н-ЯМР (DMSO-d6): Пример 83 1-Метил-3-(R)(фенилтиофен-2-илметилкарбамоил-окси)-1-азониабицикло[2.2.2]октан, бромид Названное в заголовке соединение синтезировали по способу с. Выход на конечной стадии составил 160 мг, 80%. 1Н-ЯМР (DMSO-d6): Пример 84 1-(3-Феноксипропил)-3-(R)(фенилтиофен-2-илметилкарбамоил-окси)-1-азониабицикло[2.2.2]октан, трифторацетат Названное в заголовке соединение синтезировали по способу d. Выход на конечной стадии составил 16 мг, 42%. МС [M-CF3COO]+: 477. Пример 85 1-(3-Фенилпропил)-3-(R)(фенилтиофен-2-илметилкарбамоил-окси)-1-азониабицикло[2.2.2]октан, трифторацетат Названное в заголовке соединение синтезировали по способу d. Выход на конечной стадии составил 13 мг, 35%. 1Н-ЯМР (DMSO-d6): Пример 86 1-(3-Фенилаллил)-3-(R)(фенилтиофен-2-илметилкарбамоил-окси)-1-азониабицикло[2.2.2]октан, трифторацетат Названное в заголовке соединение синтезировали по способу d. Выход на конечной стадии составил 4 мг, 11%. МС [M-CF3COO]+: 459. Пример 87 1-(2-Бензилоксиэтил)-3-(R)(фенилтиофен-2-илметилкарбамоил-окси)-1-азониабицикло[2.2.2]октан, трифторацетат Названное в заголовке соединение синтезировали по способу d. Выход на конечной стадии составил 14 мг, 37%. МС [M-CF3COO]+: 477. Пример 88 1-[3-(3-Гидроксифенокси)пропил]-3-(R)(фенилтиофен-2-илметилкарбамоил-окси)-1-азониабицикло[2.2.2]октан, трифторацетат Названное в заголовке соединение синтезировали по способу d. Выход на конечной стадии составил 11 мг, 28%. МС [M-CF3COO]+: 493. Пример 89 1-Гептил-3-(R)(фенилтиофен-2-илметилкарбамоил-окси)-1-азониабицикло[2.2.2]октан, трифторацетат Названное в заголовке соединение синтезировали по способу d. Выход на конечной стадии составил 13 мг, 37%. МС [M-CF3COO]+: 441. Пример 90 3-(R)(Фенилтиофен-2-илметилкарбамоил-окси)-1-(3-тиофен-2-илпропил)-1-азониабицикло[2.2.2]октан, бромид Названное в заголовке соединение синтезировали по способу с. Выход на конечной стадии составил 140 мг, 48%. 1Н-ЯМР (DMSO-d6): Пример 91 1-(2-Феноксиэтил)-3-(R)(фенилтиофен-2-илметилкарбамоил-окси)-1-азониабицикло[2.2.2]октан, бромид Названное в заголовке соединение синтезировали по способу с. Выход на конечной стадии составил 510 мг, 80%. 1Н-ЯМР (DMSO-d6): Пример 92 1-Аллил-3-(R)(фенилтиофен-2-илметилкарбамоил-окси)-1-азониабицикло[2.2.2]октан, бромид Названное в заголовке соединение синтезировали по способу с. Выход на конечной стадии составил 360 мг, 66%. 1Н-ЯМР (DMSO-d6): Пример 93 1-азабицикло[2.2.2]окт-3-(R)иловый эфир фенетилфенилкарбаминовой кислоты Названное в заголовке соединение синтезировали по способу а. Выход на конечной стадии составил 1400 мг, 17%. 1Н-ЯМР (DMSO-d6): Пример 94 1-Метил-3-(R)(фенетилфенилкарбамоил-окси)-1-азониабицикло[2.2.2]октан, бромид Названное в заголовке соединение синтезировали по способу с. Выход на конечной стадии составил 140 мг, 73%. 1Н-ЯМР (DMSO-d6): Пример 95 1-Аллил-3-(R)(фенетилфенилкарбамоил-окси)-1-азониабицикло[2.2.2]октан, трифторацетат Названное в заголовке соединение синтезировали по способу d. Выход на конечной стадии составил 11 мг, 35%. МС [M-CF3COO]+: 391. Пример 96 3-(R)(Фенетилфенилкарбамоил-окси)-1-(3-феноксипропил)-1-азониабицикло[2.2.2]октан, трифторацетат Названное в заголовке соединение синтезировали по способу d. Выход на конечной стадии составил 16 мг, 41%. МС [M-CF3COO]+: 485. Пример 97 3-(R)(Фенетилфенилкарбамоил-окси)-1-(2-феноксиэтил)-1-азониабицикло[2.2.2]октан, трифторацетат Названное в заголовке соединение синтезировали по способу d. Выход на конечной стадии составил 15 мг, 40%. 1Н-ЯМР (DMSO-d6): Пример 98 3-(R)(Фенетилфенилкарбамоил-окси)-1-(3-фенилпропил)-1-азониабицикло[2.2.2]октан, трифторацетат Названное в заголовке соединение синтезировали по способу d. Выход на конечной стадии составил 14 мг, 37%. 1Н-ЯМР (DMSO-d6): Пример 99 3-(R)(Фенетилфенилкарбамоил-окси)-1-(3-фенилаллил)-1-азониабицикло[2.2.2]октан, трифторацетат Названное в заголовке соединение синтезировали по способу d. Выход на конечной стадии составил 4 мг, 11%. МС [M-CF3COO]+: 467. Пример 100 1-(2-Бензилоксиэтил)-3-(R)(фенетилфенилкарбамоил-окси)-1-азониабицикло[2.2.2]октан, трифторацетат Названное в заголовке соединение синтезировали по способу d. Выход на конечной стадии составил 14 мг, 36%. МС [M-CF3COO]+: 485. Пример 101 1-[3-(3-Гидроксифенокси)пропил]-3-(R)(фенетилфенилкарбамоил-окси)-1-азониабицикло[2.2.2]октан, трифторацетат Названное в заголовке соединение синтезировали по способу d. Выход на конечной стадии составил 14 мг, 35%. 1Н-ЯМР (DMSO-d6): Пример 102 1-Гептил-3-(R)(фенетилфенилкарбамоил-окси)-1-азониабицикло[2.2.2]октан, трифторацетат Названное в заголовке соединение синтезировали по способу d. Выход на конечной стадии составил 15 мг, 42%. 1Н-ЯМР (DMSO-d6): Пример 103 3-(R)(Фенетилфенилкарбамоил-окси)-1-(3-тиофен-2-илпропил)-1-азониабицикло[2.2.2]октан, трифторацетат Названное в заголовке соединение синтезировали по способу d. Выход на конечной стадии составил 15 мг, 39%. МС [M-CF3COO]+: 475. Пример 104 1-азабицикло[2.2.2]окт-3-(R)иловый эфир пентилфенилкарбаминовой кислоты Названное в заголовке соединение синтезировали по способу а. Выход на конечной стадии составил 620 мг, 9%. 1Н-ЯМР (DMSO-d6): Пример 105 1-Метил-3-(R)(пентилфенилкарбамоил-окси)-1-азониабицикло[2.2.2]октан, трифторацетат Названное в заголовке соединение синтезировали по способу с. Выход на конечной стадии составил 130 мг, 68%. 1Н-ЯМР (DMSO-d6): Пример 106 1-Аллил-3-(R)(пентилфенилкарбамоил-окси)-1-азониабицикло[2.2.2]октан, трифторацетат Названное в заголовке соединение синтезировали по способу d. Выход на конечной стадии составил 10 мг, 35%. 1Н-ЯМР (DMSO-d6): Пример 107 3-(R)(Пентилфенилкарбамоил-окси)-1-(3-феноксипропил)-1-азониабицикло[2.2.2]октан, трифторацетат Названное в заголовке соединение синтезировали по способу d. Выход на конечной стадии составил 13 мг, 36%. МС [M-CF3COO]+: 451. Пример 108 3-(R)(Пентилфенилкарбамоил-окси)-1-(2-феноксиэтил)-1-азониабицикло[2.2.2]октан, трифторацетат Названное в заголовке соединение синтезировали по способу d. Выход на конечной стадии составил 14 мг, 40%. 1Н-ЯМР (DMSO-d6): Пример 109 3-(R)(Пентилфенилкарбамоил-окси)-1-(3-фенилпропил)-1-азониабицикло[2.2.2]октан, трифторацетат Названное в заголовке соединение синтезировали по способу d. Выход на конечной стадии составил 13 мг, 37%. 1Н-ЯМР (DMSO-d6): Пример 110 3-(R)(Пентилфенилкарбамоил-окси)-1-(3-фенилаллил)-1-азониабицикло[2.2.2]октан, трифторацетат Названное в заголовке соединение синтезировали по способу d. Выход на конечной стадии составил 4 мг, 12%. МС [M-CF3COO]+: 433. Пример 111 1-(2-Бензилоксиэтил)-3-(R)(пентилфенилкарбамоил-окси)-1-азониабицикло[2.2.2]октан, трифторацетат Названное в заголовке соединение синтезировали по способу d. Выход на конечной стадии составил 15 мг, 42%. МС [M-CF3COO]+: 451. Пример 112 1-[3-(3-Гидроксифенокси)пропил]-3-(R)(пентилфенилкарбамоил-окси)-1-азониабицикло[2.2.2]октан, трифторацетат Названное в заголовке соединение синтезировали по способу d. Выход на конечной стадии составил 12 мг, 32%. МС [M-CF3COO]+: 467. Пример 113 1-Гептил-3-(R)(пентилфенилкарбамоил-окси)-1-азониабицикло[2.2.2]октан, трифторацетат Названное в заголовке соединение синтезировали по способу d. Выход на конечной стадии составил 15 мг, 45%. МС [M-CF3COO]+: 415. Пример 114 3-(R)(Пентилфенилкарбамоил-окси)-1-(3-тиофен-2-илпропил)-1-азониабицикло[2.2.2]октан, трифторацетат Названное в заголовке соединение синтезировали по способу d. Выход на конечной стадии составил 13 мг, 37%. 1Н-ЯМР (DMSO-d6): Пример 115 1-азабицикло[2.2.2]окт-3-(R)иловый эфир пент-4-енилфенилкарбаминовой кислоты Названное в заголовке соединение синтезировали по способу а. Выход на конечной стадии составил 690 мг, 14%. 1Н-ЯМР (DMSO-d6): Пример 116 1-Аллил-3-(R)(пент-4-енилфенилкарбамоил-окси)-1-азониабицикло[2.2.2]октан, трифторацетат Названное в заголовке соединение синтезировали по способу d. Выход на конечной стадии составил 10 мг, 35%. МС [M-CF3COO]+: 355. Пример 117 3-(R)(Пент-4-енилфенилкарбамоил-окси)-1-(3-феноксипропил)-1-азониабицикло[2.2.2]октан, трифторацетат Названное в заголовке соединение синтезировали по способу d. Выход на конечной стадии составил 15 мг, 42%. 1Н-ЯМР (DMSO-d6): Пример 118 3-(R)(Пент-4-енилфенилкарбамоил-окси)-1-(2-феноксиэтил)-1-азониабицикло[2.2.2]октан, трифторацетат Названное в заголовке соединение синтезировали по способу d. Выход на конечной стадии составил 13 мг, 37%. 1Н-ЯМР (DMSO-d6): Пример 119 3-(R)(Пент-4-енилфенилкарбамоил-окси)-1-(3-фенилпропил)-1-азониабицикло[2.2.2]октан, трифторацетат Названное в заголовке соединение синтезировали по способу d. Выход на конечной стадии составил 13 мг, 37%. 1Н-ЯМР (DMSO-d6): Пример 120 3-(R)(Пент-4-енилфенилкарбамоил-окси)-1-(3-фенилаллил)-1-азониабицикло[2.2.2]октан, трифторацетат Названное в заголовке соединение синтезировали по способу d. Выход на конечной стадии составил 4 мг, 12%. МС [M-CF3COO]+: 431. Пример 121 1-(2-Бензилоксиэтил)-3-(R)(пент-4-енилфенилкарбамоил-окси)-1-азониабицикло[2.2.2]октан, трифторацетат Названное в заголовке соединение синтезировали по способу d. Выход на конечной стадии составил 16 мг, 44%. МС [M-CF3COO]+: 449. Пример 122 1-[3-(3-Гидроксифенокси)пропил]-3-(R)(пент-4-енилфенилкарбамоил-окси)-1-азониабицикло[2.2.2]октан, трифторацетат Названное в заголовке соединение синтезировали по способу d. Выход на конечной стадии составил 12 мг, 32%. МС [M-CF3COO]+: 465. Пример 123 1-Гептил-3-(R)(пент-4-енилфенилкарбамоил-окси)-1-азониабицикло[2.2.2]октан, трифторацетат Названное в заголовке соединение синтезировали по способу d. Выход на конечной стадии составил 3 мг, 9%. МС [M-CF3COO]+: 413. Пример 124 1-Метил-3-(R)(пент-4-енилфенилкарбамоил-окси)-1-азониабицикло[2.2.2]октан, трифторацетат Названное в заголовке соединение синтезировали по способу d. Выход на конечной стадии составил 13 мг, 49%. МС [M-CF3COO]+: 429. Пример 125 3-(R)(Пент-4-енилфенилкарбамоил-окси)-1-(3-тиофен-2-илпропил)-1-азониабицикло[2.2.2]октан, трифторацетат Названное в заголовке соединение синтезировали по способу d. Выход на конечной стадии составил 15 мг, 43%. 1Н-ЯМР (DMSO-d6): Пример 126 1-азабицикло[2.2.2]окт-3-(R)иловый эфир пентилтиофен-3-илметилкарбаминовой кислоты Названное в заголовке соединение синтезировали по способу а. Выход на конечной стадии составил 2000 мг, 15%. 1Н-ЯМР (DMSO-d6): Пример 127 1-Аллил-3-(R)(фенилтиофен-3-илметилкарбамоил-окси)-1-азониабицикло[2.2.2]октан, трифторацетат Названное в заголовке соединение синтезировали по способу d. Выход на конечной стадии составил 8 мг, 26%. 1Н-ЯМР (DMSO-d6): Пример 128 1-(3-Феноксипропил)-3-(R)(фенилтиофен-3-илметилкарбамоил-окси)-1-азониабицикло[2.2.2]октан, трифторацетат Названное в заголовке соединение синтезировали по способу d. Выход на конечной стадии составил 12 мг, 31%. МС [M-CF3COO]+: 477. Пример 129 1-(3-Фенилпропил)-3-(R)(фенилтиофен-3-илметилкарбамоил-окси)-1-азониабицикло[2.2.2]октан, трифторацетат Названное в заголовке соединение синтезировали по способу d. Выход на конечной стадии составил 15 мг, 41%. 1Н-ЯМР (DMSO-d6): Пример 130 1-(3-Фенилаллил)-3-(R)(фенилтиофен-3-илметилкарбамоил-окси)-1-азониабицикло[2.2.2]октан, трифторацетат Названное в заголовке соединение синтезировали по способу d. Выход на конечной стадии составил 4 мг, 11%. МС [M-CF3COO]+: 459. Пример 131 1-(2-Бензилоксиэтил)-3-(R)(фенилтиофен-3-илметилкарбамоил-окси)-1-азониабицикло[2.2.2]октан, трифторацетат Названное в заголовке соединение синтезировали по способу d. Выход на конечной стадии составил 16 мг, 42%. МС [M-CF3COO]+: 477. Пример 132 1-[3-(3-Гидроксифенокси)пропил]-3-(R)(фенилтиофен-3-илметилкарбамоил-окси)-1-азониабицикло[2.2.2]октан, трифторацетат Названное в заголовке соединение синтезировали по способу d. Выход на конечной стадии составил 13 мг, 33%. МС [M-CF3COO]+: 493. Пример 133 1-Гептил-3-(R)(фенилтиофен-3-илметилкарбамоил-окси)-1-азониабицикло[2.2.2]октан, трифторацетат Названное в заголовке соединение синтезировали по способу d. Выход на конечной стадии составил 12 мг, 34%. 1Н-ЯМР (DMSO-d6): Пример 134 1-Метил-3-(R)(фенилтиофен-3-илметилкарбамоил-окси)-1-азониабицикло[2.2.2]октан, трифторацетат Названное в заголовке соединение синтезировали по способу d. Выход на конечной стадии составил 12 мг, 42%. МС [M-CF3COO]+: 357. Пример 135 3-(R)(Фенилтиофен-3-илметилкарбамоил-окси)-1-(3-тиофен-2-илпропил)-1-азониабицикло[2.2.2]октан, бромид Названное в заголовке соединение синтезировали по способу с. Выход на конечной стадии составил 500 мг, 78%. 1Н-ЯМР (DMSO-d6): Пример 136 3-(R)(Фенилтиофен-3-илметилкарбамоил-окси)-1-(2-феноксиэтил)-1-азониабицикло[2.2.2]октан, бромид Названное в заголовке соединение синтезировали по способу с. Выход на конечной стадии составил 350 мг, 63%. 1Н-ЯМР (DMSO-d6): Пример 137 1-азабицикло[2.2.2]окт-3-(R)иловый эфир бутилтиофен-2-илметилкарбаминовой кислоты Названное в заголовке соединение синтезировали по способу а. Выход на конечной стадии составил 1300 мг, 29%. 1Н-ЯМР (DMSO-d6): Пример 138 1-Аллил-3-(R)(фенилтиофен-2-илметилкарбамоил-окси)-1-азониабицикло[2.2.2]октан, трифторацетат Названное в заголовке соединение синтезировали по способу d. Выход на конечной стадии составил 10 мг, 23%. 1Н-ЯМР (DMSO-d6): Пример 139 3-(R)(Бутилтиофен-2-илметилкарбамоил-окси)-1-(3-фенилпропил)-1-азониабицикло[2.2.2]октан, трифторацетат Названное в заголовке соединение синтезировали по способу d. Выход на конечной стадии составил 13 мг, 25%. 1Н-ЯМР (DMSO-d6): Пример 140 1-азабицикло[2.2.2]окт-3-(R)иловый эфир бис-тиофен-2-илметилкарбаминовой кислоты Названное в заголовке соединение синтезировали по способу а. Выход на конечной стадии составил 340 мг, 7%. 1Н-ЯМР (DMSO-d6): Пример 141 1-Аллил-3-(R)(бис-тиофен-2-илметилкарбамоил-окси)-1-азониабицикло[2.2.2]октан, трифторацетат Названное в заголовке соединение синтезировали по способу d. Выход на конечной стадии составил 9 мг, 19%. 1Н-ЯМР (DMSO-d6): Пример 142 3-(R)(Бис-тиофен-2-илметилкарбамоил-окси)-1-(3-фенилпропил)-1-азониабицикло[2.2.2]октан, бромид Названное в заголовке соединение синтезировали по способу с. Выход на конечной стадии составил 690 мг, 82%. 1Н-ЯМР (DMSO-d6): Пример 143 1-азабицикло[2.2.2]окт-3-(R)иловый эфир фуран-2-илметилкарбаминовой кислоты Названное в заголовке соединение синтезировали по способу а. Выход на конечной стадии составил 700 мг, 10%. 1Н-ЯМР (DMSO-d6): Пример 144 1-Аллил-3-(R)(фуран-2-илметилтиофен-2-илметилкарбамоил-окси)-1-азониабицикло[2.2.2]октан, трифторацетат Названное в заголовке соединение синтезировали по способу d. Выход на конечной стадии составил 7 мг, 15%. МС [M-CF3COO]+: 387. Пример 145 3-(R)(Фуран-2-илметилтиофен-2-илметилкарбамоил-окси)-1-(3-фенилпропил)-1-азониабицикло[2.2.2]октан, трифторацетат Названное в заголовке соединение синтезировали по способу d. Выход на конечной стадии составил 11 мг, 20%. 1Н-ЯМР (DMSO-d6): Пример 146 3-(R)(бис-Тиофен-2-илметилкарбамоил-окси)-1-(3-тиофен-2-илпропил)-1-азониабицикло[2.2.2]октан, бромид Названное в заголовке соединение синтезировали по способу с. Выход на конечной стадии составил 690 мг, 81%. 1Н-ЯМР (DMSO-d6): Пример 147 1-азабицикло[2.2.2]окт-3-(R)иловый эфир аллилтиофен-2-илметилкарбаминовой кислоты Названное в заголовке соединение синтезировали по способу а. Выход на конечной стадии составил 3220 мг, 30%. 1Н-ЯМР (DMSO-d6): Пример 148 3-Аллил-3-(R)(аллилтиофен-2-илметилкарбамоил-окси)-1-азониабицикло[2.2.2]октан, трифторацетат Названное в заголовке соединение синтезировали по способу d. Выход на конечной стадии составил 10 мг, 24%. 1Н-ЯМР (DMSO-d6): Пример 149 3-(R)(Аллилтиофен-2-илметилкарбамоил-окси)-1-(3-фенилпропил)-1-азониабицикло[2.2.2]октан, трифторацетат Названное в заголовке соединение синтезировали по способу d. Выход на конечной стадии составил 11 мг, 22%. 1Н-ЯМР (DMSO-d6): Пример 150 1-азабицикло[2.2.2]окт-3-(R)иловый эфир циклопентилтиофен-2-илметилкарбаминовой кислоты Названное в заголовке соединение синтезировали по способу а. Выход на конечной стадии составил 2250 мг, 33%. 1Н-ЯМР (DMSO-d6): Пример 151 1-Аллил-3-(R)(циклопентилтиофен-2-илметилкарбамоил-окси)-1-азониабицикло[2.2.2]октан, трифторацетат Названное в заголовке соединение синтезировали по способу d. Выход на конечной стадии составил 10 мг, 22%. 1Н-ЯМР (DMSO-d6): Пример 152 3-(R)(Циклопентилтиофен-2-илметилкарбамоил-окси)-1-(3-фенилпропил)-1-азониабицикло[2.2.2]октан, трифторацетат Названное в заголовке соединение синтезировали по способу d. Выход на конечной стадии составил 13 мг, 24%. 1Н-ЯМР (DMSO-d6): Пример 153 1-азабицикло[2.2.2]окт-3-(R)иловый эфир фуран-2-илметилфенилкарбаминовой кислоты Названное в заголовке соединение синтезировали по способу а. Выход на конечной стадии составил 1400 мг, 18%. 1Н-ЯМР (DMSO-d6): Пример 154 1-Аллил-3-(R)(фуран-2-илметилфенилкарбамоил-окси)-1-азониабицикло[2.2.2]октан, трифторацетат Названное в заголовке соединение синтезировали по способу d. Выход на конечной стадии составил 7 мг, 16%. 1Н-ЯМР (DMSO-d6): Пример 155 3-(R)(Фуран-2-илметилфенилкарбамоил-окси)-1-(3-фенилпропил)-1-азониабицикло[2.2.2]октан, трифторацетат Названное в заголовке соединение синтезировали по способу d. Выход на конечной стадии составил 11 мг, 21%. 1Н-ЯМР (DMSO-d6): Пример 156 1-азабицикло[2.2.2]окт-3-(R)иловый эфир бис-фуран-2-илметилкарбаминовой кислоты Названное в заголовке соединение синтезировали по способу а. Выход на конечной стадии составил 2100 мг, 22%. 1Н-ЯМР (DMSO-d6): Пример 157 1-Аллил-3-(R)(бис-фуран-2-илметилкарбамоил-окси)-1-азониабицикло[2.2.2]октан, трифторацетат Названное в заголовке соединение синтезировали по способу d. Выход на конечной стадии составил 7 мг, 16%. 1Н-ЯМР (DMSO-d6): Пример 158 3-(R)(бис-фуран-2-илметилкарбамоил-окси)-1-(3-фенилпропил)-1-азониабицикло[2.2.2]октан, трифторацетат Названное в заголовке соединение синтезировали по способу d. Выход на конечной стадии составил 11 мг, 20%. 1Н-ЯМР (DMSO-d6): Пример 159 1-азабицикло[2.2.1]гепт-4-иловый эфир бензилфенилкарбаминовой кислоты Названное в заголовке соединение синтезировали по способу а. Выход на конечной стадии составил 4,86 мг, 1,3% в виде формиата. 1Н-ЯМР (DMSO-d6): Пример 160 1-азабицикло[2.2.2]окт-4-иловый эфир бензилфенилкарбаминовой кислоты Названное в заголовке соединение синтезировали по способу а. Выход на конечной стадии составил 2,56 мг, 1% в виде формиата. 1Н-ЯМР (DMSO-d6): Примеры 161-165 иллюстрируют фармацевтические композиции согласно данному изобретению и способы их получения. Пример 161 Получение фармацевтической композиции: таблетки Состав: Соединение по данному изобретению 50 мг Лактоза 113,6 мг Микрокристаллическая целлюлоза 28,4 мг Рыхлый кремниевый ангидрид 1,5 мг Стеарат магния 1,5 мг Используя смеситель, 15 г соединения данного изобретения смешивали с 340,8 г лактозы и 85,2 г микрокристаллической целлюлозы. Смесь подвергали прессованию в формах, используя роликовый компактор с получением хлопьевидного прессованного материала. Хлопьевидный прессованный материал измельчали, используя молотковую дробилку, и измельченный материал просеивали через сито 20 меш. К просеянному материалу добавляли порцию 4,5 г рыхлого кремниевого ангидрида и 4,5 г стеарата магния и смешивали. Смешанный продукт обрабатывали в таблетировочной машине, снабженной системой штамп/пробойник 7,5 мм в диаметре, получая в результате 3000 таблеток, каждая из которых имеет вес 150 мг. Пример 162 Приготовление фармацевтической композиции: покрытые таблетки Состав: Соединение по данному изобретению 5,0 мг Лактоза 95,2 мг Кукурузный крахмал 40,8 мг Поливинилпирролидон 7,5 мг Стеарат магния 1,5 мг Гидроксипропилцеллюлоза 2,3 мг Полиэтиленгликоль 0,4 мг Двуокись титана 1,1 мг Очищенный тальк 0,7 мг Используя машину для гранулирования сыпучего материала, 15 г соединения данного изобретения смешивали с 285,6 г лактозы и 122,4 г кукурузного крахмала. Отдельно растворяли 22,5 г поливинилпирролидона в 127,5 г воды с получением связывающего раствора. Используя машину для гранулирования сыпучего материала, связывающий раствор разбрызгивали на вышеупомянутую смесь, чтобы получить грануляты. К полученным гранулятам добавляли порцию 4,5 г стеарата магния и смешивали. Полученную смесь обрабатывали в таблетировочной машине, снабженной двояковогнутой системой штамп/пробойник 6,5 мм в диаметре, получая в результате 3000 таблеток, каждая из которых имеет вес 150 мг. Отдельно готовили покрывающий раствор суспендированием 6,9 г гидроксипропилметилцеллюлозы 2910, 1,2 г полиэтиленгликоля 6000, 3,3 г двуокиси титана и 2,1 г очищенного талька в 72,6 г воды. Используя устройство для нанесения покрытия High Coated, 3000 полученных таблеток покрывали покрывающим раствором, чтобы получить покрытые пленкой таблетки, каждая из которых имеет вес 154,5 мг. Пример 163 Приготовление фармацевтической композиции: жидкий ингаляционный препарат Состав: Соединение данного изобретения 400 мкг Физиологический раствор 1 мл Порцию 40 мг соединения данного изобретения растворяли в 90 мл физиологического раствора и раствор доводили до общего объема 100 мл тем же самым физиологическим раствором, распределяли порциями в 1 мл в ампулы емкостью 1 мл, а затем стерилизовали при 115°С в течение 30 минут, чтобы получить жидкий ингаляционный препарат. Пример 164 Приготовление фармацевтической композиции: порошкообразный ингаляционный препарат Состав: Соединение данного изобретения 200 мкг Лактоза 4000 мкг Порцию 20 г соединения данного изобретения равномерно смешивали с 400 г лактозы и порцию 200 мг смеси упаковывали в порошковый пульверизатор для эксклюзивного применения, чтобы получить порошкообразный ингаляционный препарат. Пример 165 Приготовление фармацевтической композиции: ингаляционный аэрозоль. Состав: Соединение данного изобретения 200 мкг Дегидратированный (абсолютный) этиловый спирт USP 8400 мкг 1,1,1,2-Тетрафторэтан (HFC-134A) 46810 мкг Концентрат активного ингредиента получали растворением 0,0480 г соединения данного изобретения в 20160 г этилового спирта. Концентрат вводили в подходящий аппарат для заполнения. Концентрат активного ингредиента наливали в аэрозольный контейнер, головное пространство контейнера продували парами азота или HFC-134A (продувающие ингредиенты не должны содержать более 1 ч/млн кислорода) и герметически закрывали клапаном. Затем в герметически закрытый контейнер под давлением вводили 11,2344 г пропеллента HFC-134A.
Формула изобретения
1. Соединение, которое представляет собой карбамат формулы (I)
в которой R1 представляет собой
R3 означает атом водорода или галогена или группу алкила с прямой или разветвленной цепью, содержащую от 1 до 6 атомов углерода, или цианогруппу; R2 означает группу бензила, фенетила, фуран-2-илметила, фуран-3-илметила, тиофен-2-илметила или тиофен-3-илметила или группу алкила с прямой или разветвленной цепью, содержащую от 3 до 8 атомов углерода, группу алкенила, содержащую от 3 до 8 атомов углерода, или циклоалкильную группу из 3-6 атомов углерода; p равно 1 или 2, а замещение в азабициклическом кольце может быть в положении 2, 3 или 4, включая все возможные конфигурации асимметричных атомов углерода, или его фармацевтически приемлемая соль. 2. Соединение по п.1, которое представлено формулой (II) в которой R1, R2 и p определены, как указано в п.1; m означает целое число от 0 до 8; А означает группу -CH2-, -CH=CR4-, -CR4=CH-, -СО-, -O-, -S-, -S(O)-, -SO2-, -NR4- или -CR4R5-, в которых R4 и R5 каждый независимо означают атом водорода, группу алкила с прямой или разветвленной цепью, содержащую от 1 до 6 атомов углерода, или R4 и R5 вместе образуют алициклическое кольцо, содержащее от 3 до 8 атомов углерода; n соответствует целому числу от 0 до 4; В означает атом водорода, алкоксигруппу, содержащую от 1 до 6 атомов углерода, циклоалкильную группу, содержащую от 3 до 6 атомов углерода, -COOR4 или -OOCR4, в которых R4 определено, как указано выше, или цианогруппу, группу нафталинила, группу 5,6,7,8-тетрагидронафталинила, бифенильную группу или группу формулы (i) или (ii)
где Z означает О, N или S; R3 определено, как указано выше, и R6, R7 и R8 каждый независимо означают атом водорода или галогена или группу гидрокси, фенил, -OR4, -SR4, -NR4R5, -NHCOR4, -CONR4R5, -CN, -NO2, -COOR4 или -CF3 или содержащую от 1 до 6 атомов углерода группу алкила с прямой или разветвленной цепью, которая является незамещенной либо замещенной одной или несколькими гидроксильными группами или C1-C6-алкоксигруппами; где R4 и R5 каждый независимо означают атом водорода, группу алкила, содержащую от 1 до 6 атомов углерода с прямой или разветвленной цепью, или R4 и R5 вместе образуют алициклическое кольцо, содержащее от 3 до 8 атомов углерода; или R6 и R7 вместе образуют ароматическое кольцо, содержащее от 5 до 14 атомов углерода, алициклическое кольцо, содержащее от 3 до 8 атомов углерода, или гетероциклическое кольцо, содержащее от 3 до 10 членов; и X– означает фармацевтически приемлемый анион моно- или поливалентной кислоты. 3. Соединение по п.1 или п.2, в котором p равно 2. 4. Соединение по любому из пп.1-3, в котором R1 означает группу фенила, 4-фторфенила, 4-метилфенила, тиофен-2-илметила, тиенила или фуран-2-илметила. 5. Соединение по любому из предшествующих пунктов, в котором R2 означает группу бензила, тиофен-2-илметила, тиофен-3-илметила, фуран-2-илметила, фенетила, пент-4-енила, пентила, бутила, аллила или циклопентила. 6. Соединение по любому из предшествующих пунктов, в котором В представляет собой атом водорода или замещенную или незамещенную группу фенила, пирролила, тиенила или фурила, или группу бифенила, нафталинила, 5,6,7,8-тетрагидронафталинила или бензо[1,3]диоксолила. 7. Соединение по п.6, в котором В означает замещенную или незамещенную группу фенила и R6, R7 и R8 каждый независимо означают атом водорода или галогена или группу гидроксила, метила, -CH2ОН, -OMe, -NMe2, -NHCOMe, -CONH2, -CN, -NO2, -COOMe или -CF3. 8. Соединение по п.7, где В означает группу фенила, 4-фторфенила или 3-гидроксифенила. 9. Соединение по любому из предшествующих пунктов, в котором n=0 или 1; m соответствует целому числу от 1 до 6 и А означает группу -CH2-, -СН=СН-, -СО-, -NMe, -О- или -S-. 10. Соединение по п.9, в котором m равно 1, 2 или 3, а A означает группу -СН2-, -СН=СН- или -O-. 11. Соединение по любому из предшествующих пунктов, в котором B-(CH2)n-A-(CH2)m– соответствует группе, выбранной из 3-феноксипропила, 2-феноксиэтила, 3-фенилаллила, фенетила, 3-фенилпропила, 3-(3-гидроксифенокси)пропила, 3-(4-фторфенокси)пропила, 3-тиофен-2-илпропила, 1-аллила и 1-гептила. 12. Соединение по любому из предшествующих пунктов, в котором X– представляет собой анион хлорида, бромида или трифторацетата. 13. Соединение по любому из предшествующих пунктов, в котором бициклическая группа замещена в положении 3. 14. Соединение по п.13, в котором заместитель в положении 3 имеет (R)-конфигурацию. 15. Соединение по любому из предшествующих пунктов, которое является отдельным (одиночным) изомером. 16. Соединение по п.1, которое представляет собой: 1-азабицикло[2.2.2]окт-3-(R)иловый эфир бензилфенилкарбаминовой кислоты; 1-азабицикло[2.2.2]окт-3-(R)иловый эфир бензил(4-фторфенил)карбаминовой кислоты; 1-азабицикло[2.2.2]окт-3-(R)иловый эфир бензил-п-толилкарбаминовой кислоты; 1-азабицикло[2.2.2]окт-3-(R)иловый эфир бутилфенилкарбаминовой кислоты; 1-азабицикло[2.2.2]окт-3-(R)иловый эфир фенилтиофен-2-илметилкарбаминовой кислоты; 1-азабицикло[2.2.2]окт-3-(R)иловый эфир фенетилфенилкарбаминовой кислоты; 1-азабицикло[2.2.2]окт-3-(R)иловый эфир пентилфенилкарбаминовой кислоты; 1-азабицикло[2.2.2]окт-3-(R)иловый эфир пент-4-енилфенилкарбаминовой кислоты; 1-азабицикло[2.2.2]окт-3-(R)иловый эфир фенилтиофен-3-илметилкарбаминовой кислоты; 1-азабицикло[2.2.2]окт-3-(R)иловый эфир бутилтиофен-2-илметилкарбаминовой кислоты; 1-азабицикло[2.2.2]окт-3-(R)иловый эфир бис-тиофен-2-илметилкарбаминовой кислоты; 1-азабицикло[2.2.2]окт-3-(R)иловый эфир фуран-2-илметил-2-тиофен-2-илметилкарбаминовой кислоты; 1-азабицикло[2.2.2]окт-3-(R)иловый эфир аллилтиофен-2-илметилкарбаминовой кислоты; 1-азабицикло[2.2.2]окт-3-(R)иловый эфир циклопентилтиофен-2-илметилкарбаминовой кислоты; 1-азабицикло[2.2.2]окт-3-(R)иловый эфир фуран-2-илметилфенилкарбаминовой кислоты; 1-азабицикло[2.2.2]окт-3-(R)иловый эфир бис-фуран-2-илметилкарбаминовой кислоты; 1-азабицикло[2.2.1]гепт-4-(R)иловый эфир бензилфенилкарбаминовой кислоты; 1-азабицикло[2.2.2]окт-4-(R)иловый эфир бензилфенилкарбаминовой кислоты, или его фармацевтически приемлемая соль. 17. Соединение по п.2, которое представляет собой: 3-(R)(Бензилфенилкарбамоилокси)-1-(3-фенилаллил)-1-азониабицикло[2.2.2]октан, бромид; 1-Аллил-3-(R)(бензилфенилкарбамоилокси)-1-азониабицикло[2.2.2]октан, бромид; 3-(R)(Бензилфенилкарбамоилокси)-1-фенетил-1-азониабицикло[2.2.2]октан, бромид; 3-(R)(Бензилфенилкарбамоилокси)-1-(3-тиофен-2-илпропил)-1-азониабицикло[2.2.2]октан, бромид; 3-(R)(Бензилфенилкарбамоилокси)-1-(3-фенилпропил)-1-азониабицикло[2.2.2]октан, бромид; 3-(R)(Бензилфенилкарбамоилокси)-1-(2-феноксиэтил)-1-азониабицикло[2.2.2]октан, бромид; 3-(R)(Бутилфенилкарбамоилокси)-1-(3-фенилаллил)-1-азониабицикло[2.2.2]октан, бромид; 1-Аллил-3-(R)(бутилфенилкарбамоилокси)-1-азониабицикло[2.2.2]октан, бромид; 3-(R)(Бутилфенилкарбамоилокси)-1-(2-феноксиэтил)-1-азониабицикло[2.2.2]октан, бромид; 3-(R)(Бутилфенилкарбамоилокси)-1-[3-(3-гидроксифенокси)пропил]-1 азониабицикло[2.2.2]октан, бромид; 3-(R)(Бутилфенилкарбамоилокси)-1-[3-(4-фторфенокси)пропил] 1-азониабицикло[2.2.2]октан, бромид; 3-(R)(Бутилфенилкарбамоилокси)-1-(3-тиофен-2-илпропил)-1-азониабицикло[2.2.2]октан, бромид; 3-(R)(Бутилфенилкарбамоилокси)-1-(3-фенилпропил)-1-азониабицикло[2.2.2]октан, бромид; 3-(R)(Фенилтиофен-2-илметилкарбамоилокси)-1-(3-тиофен-2-илпропил)-1-азониабицикло[2.2.2]октан, бромид; 1-(2-Феноксиэтил)-3-(R)(фенилтиофен-2-илметилкарбамоилокси)-1-азониабицикло[2.2.2]октан, бромид; 1-Аллил-3-(R)(фенилтиофен-2-илметилкарбамоилокси)-1-азониабицикло[2.2.2]октан, бромид; 3-(R)(Фенетилфенилкарбамоилокси)-1-(2-феноксиэтил)-1-азониабицикло[2.2.2]октан, трифторацетат; 1-Гептил-3-(R)(пент-4-енилфенилкарбамоилокси)-1-азониабицикло[2.2.2]октан, трифторацетат; 1-Аллил-3-(R)(фенилтиофен-3-илметилкарбамоилокси)-1-азониабицикло[2.2.2]октан, трифторацетат; 3-(R)(Фенилтиофен-3-илметилкарбамоилокси)-1-(3-тиофен-2-илпропил)-1-азониабицикло[2.2.2]октан, бромид; 1-(2-Феноксиэтил)-3-(R)(фенилтиофен-3-илметилкарбамоилокси)-1-азониабицикло[2.2.2]октан, бромид; 3-(R)(Бис-тиофен-2-илметилкарбамоилокси)-1-(3-фенилпропил)-1-азониабицикло[2.2.2]октан, бромид; 3-(R)(Бис-тиофен-2-илметилкарбамоилокси)-1-(3-тиофен-2-илпропил)-1-азониабицикло[2.2.2]октан, бромид; 1-Аллил-3-(R)(аллилтиофен-2-илметилкарбамоилокси)-1-азониабицикло[2.2.2]октан, трифторацетат; 3-(R)(Циклопентилтиофен-2-илметилкарбамоилокси)-1-(3-фенилпропил)-1-азониабицикло[2.2.2]октан, трифторацетат; 3-(R)(Фуран-2-илметилфенилкарбамоилокси)-1-(3-фенилпропил)-1-азониабицикло[2.2.2]октан, трифторацетат или 1-Аллил-3-(R)(бис-фуран-2-илметилкарбамоилокси)-1-азониабицикло[2.2.2]октан, трифторацетат. 18. Соединение по любому из предшествующих пунктов, которое характеризуется тем, что имеет значение IC50 (нМ) для мускариновых рецепторов МЗ менее 35. 19. Способ получения карбамата формулы (I)
в которой R1, R2 и p определены, как указано в любом из пп.1, 3-5 или 13-16, который включает взаимодействие соединения формулы (III)
с соединением формулы (IV)
где R1, R2 и p в формулах (III) и (IV) определены, как указано в любом из пп.1, 3-5 или 13-16. 20. Способ получения соли формулы (II) в которой R1, R2, p, m, n, А, В и Х определены как указано в любом из пп.1-17, который включает кватернизацию атома азота азабициклического кольца соединения формулы (I)
где R1, R2 и p определены, как указано в любом из пп.1, 3-5 или 13-16, алкилирующим агентом формулы (VI)
в которой m, n, А и В определены, как указано выше, a W означает уходящую группу; и, если W представляет собой группу иную, чем группа X, проведение реакции обмена в соответствии со стандартными методами, чтобы заменить анион W требуемым анионом X–. 21. Способ по п.20, при котором W означает группу X, которая определена в п.2 или 12. 22. Способ по п.20 или 21, в котором полученную реакционную смесь очищают экстракцией твердой фазы. 23. Фармацевтическая композиция, обладающая ингибирующей активностью в отношении мускариновых рецепторов МЗ и содержащая соединение по любому из пп.1-18 в смеси с фармацевтически приемлемым носителем или разбавителем. 24. Применение соединения по любому из пп.1-18 в производстве лекарственного средства для лечения респираторного, урологического или желудочно-кишечного заболевания или нарушения. 25. Способ ингибирования мускариновых рецепторов у пациента, который включает введение нуждающемуся в этом пациенту – человеку или животному эффективного количества соединения по любому из пп.1-18.
PD4A – Изменение наименования обладателя патента СССР или патента Российской Федерации на изобретение
(73) Новое наименование патентообладателя:
Адрес для переписки:
Извещение опубликовано: 10.03.2008 БИ: 07/2008
PC4A – Регистрация договора об уступке патента СССР или патента Российской Федерации на изобретение
Прежний патентообладатель:
(73) Патентообладатель:
Договор № РД0044772 зарегистрирован 18.12.2008
Извещение опубликовано: 27.01.2009 БИ: 03/2009
MM4A – Досрочное прекращение действия патента СССР или патента Российской Федерации на изобретение из-за неуплаты в установленный срок пошлины за поддержание патента в силе
Дата прекращения действия патента: 21.12.2009
Извещение опубликовано: 10.11.2010 БИ: 31/2010
|
||||||||||||||||||||||||||||||||||||||||||||||||

,
,
,
,
,
,
,
,
или
;
2-агонистами, стероидами, противоаллергическими лекарственными средствами, ингибиторами фосфодиэстеразы IV и/или антагонистами лейкотриена D4 (LTD4) для одновременного, раздельного или последовательного применения при лечении респираторного заболевания. Предлагаемые соединения используются для лечения рассмотренных выше респираторных заболеваний в комбинации с 
представляет собой азотсодержащее насыщенное гетерокольцо, которое может иметь заместитель при атоме азота и которое может содержать поперечную связь,
означает группу арила, группу циклоалкила, группу циклоалкенила или группу гетероарила,

, R1, R2, R3, m, n, p, X–, Q, R8, R9 и R10 описаны в п.1 цитируемой заявки.






) относительно внутреннего стандарта – тетраметилсилана. Чистоту соединений определяли посредством ВЭЖХ, используя хроматографию с обращенной фазой на приборе Waters, и получали величины выше 95%. Молекулярные ионы получали электрораспылительной ионизационной масс-спектрометрией на приборе Hewlett Packard. Исследования ВЭЖХ-МС проводили на приборе Gilson, снабженном бинарным насосом (поршневой насос Gilson 321); вакуумным дегазатором (Gilson 864); инжектором – коллектором фракций (жидкостной манипулятор Gilson 215); двумя инъекционными модулями, аналитическим и препаративным (Gilson 819); клапаном (Gilson Valvemate 7000); разделяющим устройством 1/1000 (Acurate by LC Packings); подающим насосом (Gilson 307); диодным детектором (Gilson 170) и детектором МС (Thermoquest Finnigan aQa, квадрупольный масс-спектрометр с ионизационными режимами ES (электрораспыление) и ACPI (химическая ионизация при атмосферном давлении)). ВЭЖХ-МС контролировали посредством IBM PC.

или 




