Патент на изобретение №2296759
|
|||||||||||||||||||||||||||||||||||||||||||||||||||||||||||||||||||||||||||||||||||
(54) N-ЗАМЕЩЕННЫЕ 1Н-ИНДОЛ-5-ПРОПИОНОВЫЕ КИСЛОТЫ, ФАРМАЦЕВТИЧЕСКАЯ КОМПОЗИЦИЯ, СОДЕРЖАЩАЯ ЭТИ СОЕДИНЕНИЯ, И ИХ ПРИМЕНЕНИЕ (ВАРИАНТЫ)
(57) Реферат:
Изобретение относится к новым соединениям, представленным общей формулой (I), и их фармацевтически приемлемым солям и сложным эфирам, обладающим агонистической активностью в отношении пероксисомных пролифераторов РАПП где R1 обозначает тиофенил или фенил, необязательно замещенный от одного до трех заместителями, независимо выбранными из галогена, С1–8алкокси, C1–8алкила и С1–8алкила, замещенного одним-тремя атомами галогена; R2 обозначает водород или С1-8алкил; R3 обозначает фенокси, С2-8алкенилокси или С1-8алкокси; R4 обозначает водород или С1-8алкил; причем один из заместителей R5 и R6 обозначает
Настоящее изобретение относится к новым производным индола, используемым как сенсибилизаторы инсулина, в частности активаторы рецептора, активированного пероксисомным пролифератором (РАПП). Главным образом, изобретение относится к соединениям формулы I в которой R1 обозначает арил или гетероарил; R2 обозначает водород, алкил или циклоалкил; R3 обозначает арилокси-, алкенилокси-, алкокси- или алкоксигруппу, замещенную одним-тремя атомами галогена; R4 обозначает водород, алкил или циклоалкил; где любой из заместителей R5 и R6 обозначает
а другой обозначает водород, алкил или циклоалкил, и где связь между углеродными атомами Сa и Сb представлена простой углерод углеродной или двойной связью; R7 обозначает водород, алкил или циклоалкил; R8 обозначает водород, алкил или циклоалкил; где любой из заместителей А и А1 обозначает азот, а другой обозначает кислород или серу; n означает 1, 2 или 3; и их фармацевтически приемлемым солям и сложным эфирам. Соединения формулы I и их фармацевтически приемлемые соли и сложные эфиры являются новыми и обладают ценными фармакологическими свойствами. Они являются сенсибилизаторами инсулина, в частности активаторами рецептора, активированного пероксисомным пролифератором (РАПП). Рецепторы, активированные пероксисомным пролифератором (РАПП), являются представителями суперсемейства ядерных гормональных рецепторов, а именно активированными лигандами факторами транскрипции, регулирующими экспрессию генов. Были идентифицированы и клонированы различные их подтипы. Они включают в себя РАПП Диабет представляет собой заболевание, при котором нарушена способность пациента регулировать уровни глюкозы в крови из-за того, что он частично утратил способность правильно реагировать на действие инсулина. При диабете типа II (Т2Д), который часто называют неинсулинзависимый диабет (НИЗД), которым страдают 80-90% всех больных диабетом в развитых странах, островки Лангерганса поджелудочной железы все еще производят инсулин. Однако органы-мишени, главным образом мышечные, печеночные и жировые ткани, проявляют абсолютную резистентность к стимулированию инсулином, и организм компенсирует это явление выработкой нефизиологически высоких уровней инсулина. Тем не менее, на поздней стадии болезни секреция инсулина снижается в результате истощения поджелудочной железы. В дополнение к этому Т2Д является симптомокомплексом болезни обмена веществ и сердечно-сосудистых заболеваний. Среди сопутствующих заболеваний, ассоциированных с Т2Д, различают, например, невосприимчивость к инсулину, дислипидемию, гипертензию, эндотелиальную дисфункцию и воспалительный атеросклероз. Современное лечение диабета на ранних стадиях в основном включает в себя диету с низким содержанием жира и глюкозы, а также физические упражнения. Однако согласованность (компенсация) может быть посредственной, и по мере того как болезнь прогрессирует, становится необходимым лечение гипогликемическими лекарственными препаратами, например производными сульфонилмочевины или метформина. Недавно был предложен перспективный новый класс лекарственных препаратов, которые восстанавливают чувствительность пациентов к их собственному инсулину, (препараты, индуцирующие чувствительность к инсулину), тем самым, возвращая уровни глюкозы и триглицерида к нормальным уровням и, таким образом, отменяя или, по крайней мере, уменьшая требование в экзогенном инсулине. Пиоглитазон (ActosTM) и росиглитазон (AvandiaTM) принадлежат к классу агонистов РАПП Новые соединения по настоящему изобретению превосходят соединения, известные в уровне техники, ввиду того, что они связывают и активируют оба РАПП В соответствии с этим, соединения формулы I могут быть использованы для профилактики и/или лечения диабета, в частности неинсулинзависимого сахарного диабета, повышенного кровяного давления, повышенных уровней липида и холестерина, атеросклеротических заболеваний или синдрома нарушения обмена веществ. Объектами данного изобретения являются соединения формулы I и их вышеупомянутые фармацевтически приемлемые соли и сложные эфиры, сами по себе и их применение в качестве терапевтически активных веществ, способ изготовления указанных соединений, промежуточных соединений, фармацевтические композиции, лекарственные средства, содержащие указанные соединения, их фармацевтически приемлемые соли и сложные эфиры, применение указанных соединений, сложных эфиров и солей для профилактики и/или лечения заболевания, в особенности, для лечения и/или профилактики диабетов, неинсулинзависимого сахарного диабета, повышенного кровяного давления, повышенных уровней липида и холестерина, атеросклеротических заболеваний или синдрома нарушения обмена веществ и, в частности, для профилактики и/или лечения неинсулинзависимого сахарного диабета, и применение указанных соединений, солей и сложных эфиров для производства лекарственных средств для лечения и/или профилактики заболевания, в особенности, для лечения и/или профилактики диабетов, неинсулинзависимого сахарного диабета, повышенного кровяного давления, повышенных уровней липида и холестерина, атеросклеротических заболеваний или синдрома нарушения обмена веществ. В данном описании термин “алкил”, один или в комбинации, обозначает алкильную группу с прямой или разветвленной цепью, содержащей от 1 до 8 атомов углерода, предпочтительно алкильную группу с прямой или разветвленной цепью, содержащей от 1 до 6 атомов углерода, и наиболее предпочтительно алкильную группу с прямой или разветвленной цепью, содержащей от 1 до 4 атомов углерода. В качестве примеров C1-C8алкильных групп с прямой или разветвленной цепью можно назвать метил, этил, пропил, изопропил, бутил, изобутил, трет-бутил, изомерные пентилы, изомерные гексилы, изомерные гептилы и изомерные октилы, предпочтительно метил и этил, и наиболее предпочтительно метил. Термин “циклоалкил”, один или в комбинации, обозначает циклоалкильное кольцо, содержащее от 3 до 8 атомов углерода и предпочтительно циклоалкильное кольцо, содержащее от 3 до 6 атомов углерода. В качестве примеров С3-С8циклоалкильных групп можно назвать циклопропил, метилциклопропил, диметилциклопропил,циклобутил, метилциклобутил, циклопентил, метилциклопентил, циклогексил, метилциклогексил, диметилциклогексил, циклогептил и циклооктил, предпочтительно циклопропил. Термин “алкокси”, один или в комбинации, обозначает группу формулы алкил -O-, в которой термин “алкил” имеет предварительно данные значения, такую как метокси, этокси, н-пропокси, изопропокси, н-бутокси, изобутокси, втор-бутокси и трет-бутокси, 2-гидроксиэтокси, 2-метоксиэтокси, предпочтительно метокси и этокси, и наиболее предпочтительно метоксигруппу. Термин “алкенил”, один или в комбинации, обозначает алкенильную группу с прямой или разветвленной цепью, содержащей от 2 до 8 атомов углерода и углерод углеродную двойную связь, предпочтительно алкенильную группу с прямой или разветвленной цепью, содержащей от 2 до 6 атомов углерода, и наиболее предпочтительно алкенильную группу с прямой или разветвленной цепью, содержащей от 2 до 4 атомов углерода. В качестве примеров С2-С8алкенильных групп с прямой или разветвленной цепью можно назвать этенил, пропенил, изопропенил, бутенил, изобутенил, изомерные пентенилы, изомерные гексенилы, изомерные гептенилы и изомерные октенилы. Термин “алкенилокси”, один или в комбинации, обозначает группу формулы алкенил -O-, в которой термин “алкенил” имеет предварительно данные значения. В качестве примеров можно назвать этенилокси, пропенилокси, пентенилокси и предпочтительно бутенилоксигруппу. Термин “арил”, один или в комбинации, обозначает фенильную или нафтильную группу, предпочтительно фенильную группу, которая необязательно имеет один или несколько заместителей, предпочтительно от одного до трех заместителей, каждый из которых независимо выбран, например, из галогена, аминогруппы, алкила, алкоксигруппы, алкилкарбонильной группы, циано, карбамоильной группы, алкоксикарбамоильной группы, метилендиоксигруппы, карбоксигруппы, алкоксикарбонильной группы, аминокарбонильной группы, алкиламинокарбонильной группы, диалкиламинокарбонильной группы, гидроксигруппы, нитрогруппы, алкила, замещенного одним-тремя атомами галогена, например, трифторметил; такие как фенил, фторфенил, хлорфенил, метоксифенил, изопропоксифенил, этилфенил, изопропилфенил, трет-бутилфенил, фенил, замещенный трифторметилом, фенил, замещенный двумя метальными группами, фенил замещенный двумя метоксигруппами, фенил, замещенный двумя атомами фтора, фенил, замещенный двумя атомами хлора, фенил, замещенный метилом и фтором, или фенил, замещенный тремя метоксигруппами. Термин “арилокси”, один или в комбинации, обозначает арил -O- группу, в которой термин арил имеет определенные ранее значения. Предпочтительный пример представлен фенилоксигруппой. Термин “аралкил”, один или в комбинации, обозначает алкильную или циклоалкильную группу, как она определена ранее, в которой один или несколько, предпочтительно один атом водорода заменен на арильную группу, как она определена ранее. Предпочтительными группами являются бензил, бензил, замещенный гидрокси, алкоксигруппой или галогеном, предпочтительно фтором. Особенно предпочтительной является бензильная группа. Термин “амино”, один или в комбинации, обозначает первичную, вторичную или третичную аминогруппы, присоединенные через атом азота, причем вторичная аминогруппа имеет алкильный или циклоалкильный заместитель, а третичная аминогруппа имеет два подобных или различных алкильных или циклоалкильных заместителя, либо два заместителя азота вместе образуют кольцо, такие как, например, -NH2, метиламино, этиламино, диметиламино, диэтиламино, метилэтиламино, пирролидин-1-ил или пиперидино и т.д., предпочтительно амино, диметиламино и диэтиламиногруппа, и в особенности первичная аминогруппа. Термин “галоген”, один или в комбинации, обозначает фтор, хлор, бром или иод и предпочтительно фтор, хлор или бром. Термин “карбонил”, один или в комбинации, обозначает группу -С(O)-. Термин “циано”, один или в комбинации, обозначает группу -CN. Термин “гетероарил”, один или в комбинации, обозначает ароматический от 5- до 10-членный гетероцикл, который содержит один или несколько, предпочтительно один или два гетероатома, выбранные из азота, кислорода и серы, причем сера является предпочтительной. При необходимости он может быть замещен по одному или нескольким атомам углерода галогеном, алкилом, алкоксигруппой, цианогруппой, галогеналкилом и/или трифторметилом. Предпочтительными гетероарильными циклами являются пиридинил или тиофен-2-ил, необязательно замещенные одним или несколькими, предпочтительно одним или двумя заместителями, независимо выбранными из галогена, алкила, алкокси, циано, галогеналкила и трифторметила. Особо предпочтительным является тиофен-2-ил. Термин “фармацевтически приемлемые соли” относится к тем солям, которые сохраняют биологическую эффективность и свойства свободных оснований или свободных кислот, которые не являются биологически или иначе нежелательными. Соли образуются с неорганическими кислотами, такими как соляная кислота, бромистоводородная кислота, серная кислота, азотная кислота, фосфорная кислота и тому подобными, предпочтительно соляная кислота, и с органическими кислотами, такими как уксусная кислота, пропионовая кислота, гликолевая кислота, пируватная кислота, щавелевая кислота, малеиновая кислота, малоновая кислота, янтарная кислота, фумаровая кислота, винная кислота, лимонная кислота, бензойная кислота, коричная кислота, миндальная кислота, метансульфоновая кислота, этансульфоновая кислота, п-толуолсульфоновая кислота, салициловая кислота, N-ацетилцистеин и т.п. В дополнение к этому эти соли могут быть приготовлены при добавлении неорганического или органического основания к свободной кислоте. Соли, полученные из неорганического основания, включают, без ограничения перечисленным, соли натрия, калия, лития, аммония, кальция, магния и т.п. Соли, полученные из органического основания, включают, без ограничения перечисленным, соли первичных, вторичных и третичных аминов, замещенных аминов, включая встречающиеся в природе замещенные амины, циклические амины и основные ионообменные смолы, такие как изопропиламин, триметиламин, диэтиламин, триэтиламин, трипропиламин, этаноламин, лизин, аргинин, N-этилпиперидин, пиперидин, полиминовые смолы и т.п. Соединение формулы I может также присутствовать в форме цвиттерионов. Особенно предпочтительными фармацевтически приемлемыми солями соединений формулы I являются натриевые соли. Соединения формулы I могут быть также сольватированными, например, гидратированными. Сольватирование может быть произведено по ходу процесса приготовления или может иметь место, например, как следствие гидроскопичных свойств безводных вначале соединний формулы I (гидратация). Термин фармацевтически приемлемые соли включает также физиологически приемлемые сольваты. Термин “фармацевтически приемлемые эфиры” означает, что соединения общей формулы (I) могут быть дериватизированы по функциональным группам для обеспечения производных, которые способны к превращению обратно в исходные соединения in vivo. Примеры таких соединений включают в себя физиологически приемлемые и метаболически неустойчивые (лабильные) производные сложных эфиров, такие как метоксиметильные сложные эфиры, метилтиометильные сложные эфиры и пивалоилоксиметильные сложные эфиры. Дополнительными предпочтительными фармацевтически приемлемыми сложными эфирами являются алкильные, гидроксиалкильные, алкоксиалкильные, аминоалкильные, моно- или диалкиламиноалкильные, морфолиноалкильные, пирролидиноалкильные, пиперидиноалкильные, пиперазиноалкильные, алкилпиперазиноалкильные и арилалкильные сложные эфиры. Кроме этого, в пределах объема притязаний настоящего изобретения находятся любые физиологически приемлемые эквиваленты соединений общей формулы (I), подобные метаболически лабильным производным сложных эфиров, которые способны к получению исходных родительских соединений общей формулы (I) in vivo. Термин “ингибитор липазы” относится к соединениям, которые способны ингибировать действие липаз, например, липаз желудка или поджелудочной железы. Например, орлистат и липстатин, как они описаны в патенте US 4598089, являются потенциальными ингибиторами липазы. Липстатин представляет собой природный продукт микробного происхождения, а орлистат является продуктом гидрирования липстатина. Другие ингибиторы липазы включают класс соединений, которые обычно называют панклицинами. Панклицины являются аналогами орлистата (Mutoh и соавт., 1994). Термин “ингибитор липазы” относится также к ингибиторам липазы, связанным с полимером, например, описанным в публикации международной патентной заявки WO 99/34786 (Geltex Pharmaceuticals Inc.). Эти полимеры характеризуются тем, что они замещены одной или несколькими группами, которые ингибируют липазы. Термин “ингибитор липазы” также включает в себя фармацевтически приемлемые соли этих соединений. Термин “ингибитор липазы” предпочтительно относится к орлистату. Орлистат является известным соединением, применяемым для контроля или профилактики ожирения и гиперлипидемии. См. патент US 4598089 от 1 июля 1986, в котором также описаны способы получения орлистата, и патент US 6004996, в котором раскрыты соответствующие фармацевтические композиции. Другие подходящие фармацевтические композиции раскрыты, например, в публикациях международных заявок WO 00/09122 и WO 00/09123. Дополнительные процессы для получения орлистата описаны в публикациях европейских заявок ЕР 185359, 189577, 443449 и 524495. Предпочтительно орлистат вводят перорально в количестве от 60 до 720 мг в сутки раздельными дозами два или три раза в сутки. Предпочтительно, когда субъекту вводится от 180 до 360 мг/сутки, наиболее предпочтительно, 360 мг/сутки ингибитора липазы, предпочтительно раздельными дозами два или предпочтительно три раза в день. Субъект предпочтительно представляет собой человека, страдающего ожирением или излишним весом, например, человека с индексом массы тела 25 или выше. Вообще, предпочтительно вводить ингибитор липазы в пределах примерно одного или двух часов переваривания пищи, содержащей жир. В общем, для введения ингибитора липазы, определенного выше, предпочтительно, чтобы лечение назначалось человеку, имеющему богатую семейную историю ожирения и приобретшему индекс массы тела 25 или выше. Орлистат можно вводить людям в составе традиционных оральных композиций, таких как таблетки, покрытые таблетки, твердые и мягкие желатиновые капсулы, эмульсии и суспензии. Примерами носителей, которые можно применять для таблеток, покрытых таблеток, драже и твердых желатиновых капсул, являются лактоза, другие сахара и сахарные спирты типа сорбита, маннита, мальтодекстрина, или другие наполнители; поверхностно-активные вещества, такие как лаурилсульфат натрия, Brij 96 или Tween 80; дезинтегранты, такие как гликолят натрия крахмала, кукурузный крахмал или их производные; полимеры, такие как повидон, кросповидон; тальк, стеариновая кислота или ее соли и т.п. Подходящими носителями для мягких желатиновых капсул являются, например, растительные масла, воски, жиры, полутвердые и жидкие полиолы и т.п. Более того, фармацевтические составы могут включать консерваторы, солюбилизаторы, стабилизаторы, увлажнители, эмульсификаторы, подсластители, вещества, придающие цвет и запах, соли для изменения осмотического давления, буферы, покрывающие вещества и антиоксиданты. Они могут также содержать еще и другие терапевтически значимые вещества. Для удобства составы могут быть представлены в виде единичных разовых доз и могут быть приготовлены любым методом, известным в области фармацевтики. Предпочтительно орлистат вводят согласно разработанному составу, показанному в примерах и в US 6004996, соответственно. Предпочтительными являются соединения формулы I и их фармацевтически приемлемые соли, в особенности соединения формулы I. Далее, предпочтительными являются соединения формулы I, в которых R3 обозначает алкоксигруппу или алкоксигруппу, замещенную одним-тремя атомами галогена; R5 обозначает группу
где связь между атомами углерода Са и Сb представляет собой простую или двойную углерод углеродную связь; R6 обозначает водород; R7 обозначает водород; R8 обозначает водород; А обозначает кислород или серу; а А1 обозначает азот. Далее, предпочтительными являются соединения формулы I, в которых R1 обозначает тиофенил или фенил, каждый необязательно замещенный от одного до трех, предпочтительно одним или двумя заместителями, независимо выбранными из галогена, алкоксигруппы, алкила или алкила, замещенного 1-3 атомами галогена. Предпочтительными являются вышеуказанные соединения формулы I, в которых тиофенил представлен тиофен-2-илом. Особенно предпочтительными являются такие соединения, соответствующие формуле I, в которых R1 представляет собой тиофенил, фенил или фенил, замещенный 1-3, предпочтительно одним или двумя заместителями, независимо выбранными из фтора, хлора, метокси, этокси, пропилокси, изопропилокси, метила, этила, пропила изопропила, трет-бутила и трифторметила. Предпочтительными являются указанные выше соединения формулы I, в которых тиофенил представляет собой тиофен-2-ил. Другим предпочтительным вариантом осуществления настоящего изобретения являются соединения формулы I, в которых R2 обозначает водород, метил или этил, предпочтительно водород или метил. Особо предпочтительными являются те соединения формулы I, в которых R2 обозначает метил. Предпочтительными являются соединения формулы I, в которых R3 обозначает метокси, этокси, пропилокси, изопропилокси, фенокси или бутенилокси. Также предпочтительными являются соединения формулы I, в которых R3 обозначает метокси или этокси. Особенно предпочтительными являются те соединения, в которых R3 обозначает этокси. Далее предпочтительными являются соединения формулы I, в которых R4 обозначает метил. Другим предпочтительным объектом данного изобретения являются соединения формулы I, в которых R4 обозначает водород. Предпочтительным является соединение формулы I, где R6 обозначает
а R5 обозначает водород, алкил или циклоалкил и где связь между атомами углерода Сa и Сb обозначает двойную углерод углеродную связь, предпочтительно простую углерод углеродную связь. Особенно предпочтительным является соединение формулы I, в котором R5 обозначает
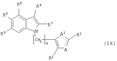
и R6 обозначает водород, алкил или циклоалкил и где связь между атомами углерода Сa и Сb обозначает двойную углерод углеродную связь, предпочтительно простую углерод углеродную связь. Также предпочтительными являются соединения, соответствующие формуле I, где R6 обозначает водород. Далее предпочтительными являются соединения, соответствующие формуле I, где R7 обозначает водород. Другим предпочтительным объектом данного изобретения являются соединения формулы I, в которых R7 обозначает метил. Дальнейшими предпочтительными являются соединения формулы I, где R8 обозначает водород. Другим предпочтительным объектом данного изобретения являются соединения, соответствующие формуле I, где R8 обозначает метил. Предпочтительными являются соединения формулы I, в которых n обозначает 1, 2 или 3. Далее предпочтительными являются такие соединения формулы I, в которых n обозначает 1 или 2. Особенно предпочтительными являются те соединения, в которых n обозначает 1. Также предпочтительными являются соединения формулы I, в которых А обозначает серу. Особенно предпочтительными являются те соединения формулы I, в которых А обозначает кислород. Предпочтительными являются соединения, соответствующие формуле I, где А обозначает азот и А1 обозначает кислород. Эти соединения имеют следующую формулу:
где заместители R1-R8 и n определены, как указано выше. Предпочтительными являются соединения, соответствующие формуле I, где А обозначает азот и А1 обозначает серу. Эти соединения имеют следующую формулу:
где заместители R1-R8 и n имеют значения, определенные выше. Далее предпочтительными являются соединения, соответствующие формуле I, где А1 обозначает азот и А обозначает кислород. Эти соединения имеют следующую формулу:
где заместители R1-R8 и n имеют значения, определенные выше. Далее, предпочтительными являются соединения, соответствующие формуле I, где А1 обозначает азот и А обозначает серу. Эти соединения имеют следующую формулу:
где заместители R1-R8 и n имеют значения, определенные выше. Соединения формулы I могут содержать несколько асимметрических центров и могут быть представлены в форме оптически чистых энантиомеров, смесей энантиомеров, таких как, например, рацематы, оптически чистые диастереомеры, смеси диастереомеров, диастереомерные рацематы или смеси диастереомерных рацематов. Оптически активные формы могут быть получены, например, посредством разделения рацематов с помощью асимметрического синтеза или асимметрической хроматографии (хроматографии с хиральными адсорбентами или элюентами). Термин “асимметрический атом углерода” обозначает атом углерода, имеющий четыре разных заместителя. Согласно конвенции Cahn-Ingold-Prelog, асимметрический атом углерода может быть “R” или “S” конфигурации. Предпочтительными являются хиральные соединения формулы (I), в которых любой из заместителей R5 и R6, предпочтительно R5, обозначает
а другой обозначает водород, алкил или циклоалкил, и асимметрический атом углерода Ca находится в R конфигурации. Особенно предпочтительными являются хиральные соединения формулы(I), в которых любой из заместителей R5 и R6, предпочтительно R5, обозначает
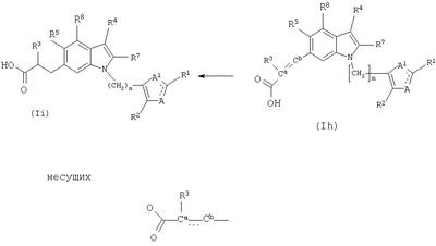
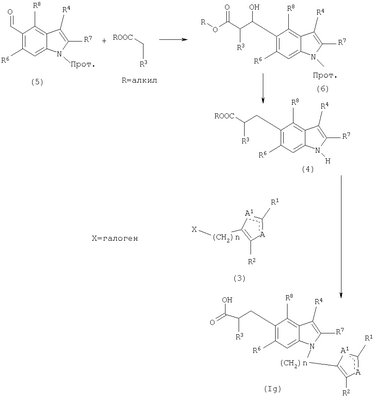
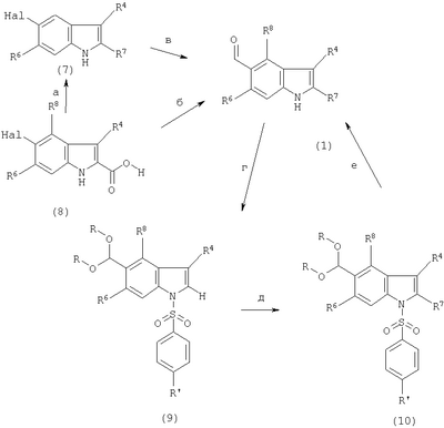
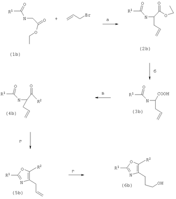
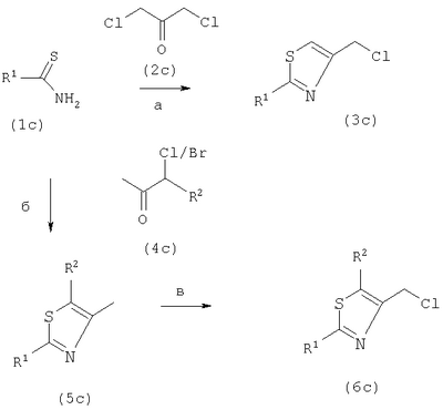
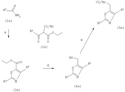
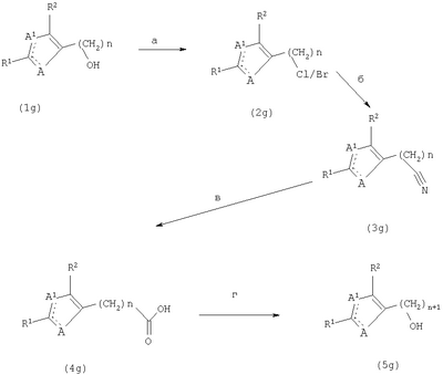
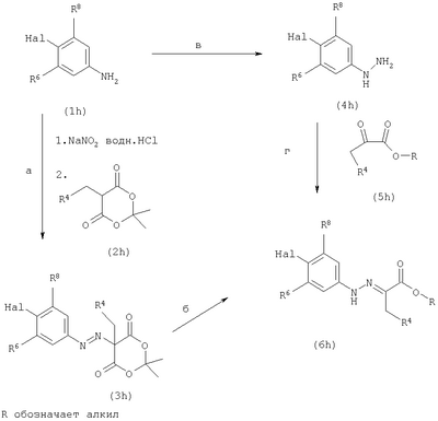
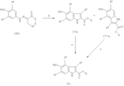
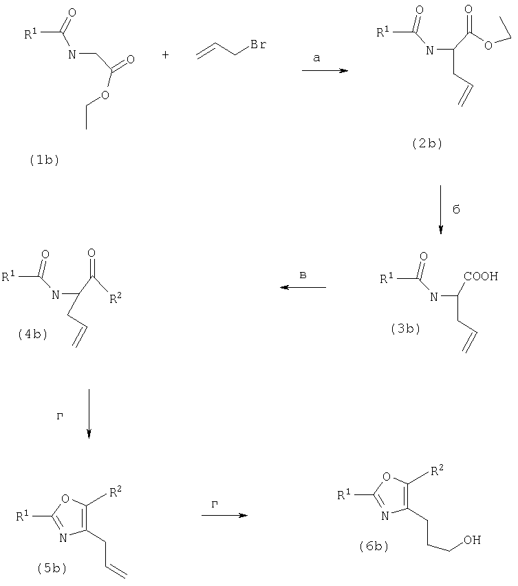
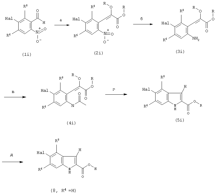
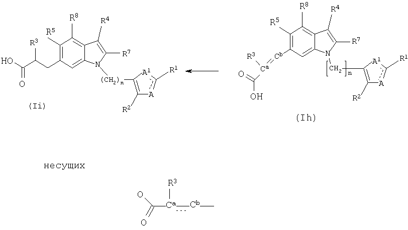
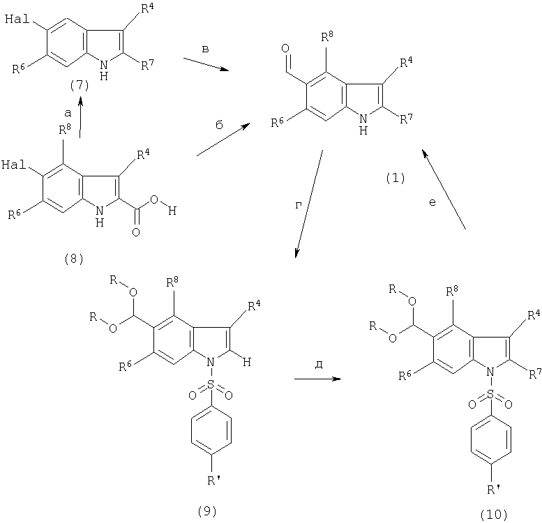
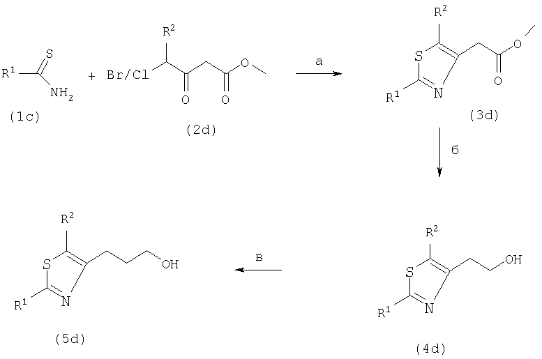
а другой обозначает водород, алкил или циклоалкил, и асимметрический атом углерода Ca находится в S конфигурации. Предпочтительными являются соединения, соответствующие следующей формуле (Ie) и их фармацевтически приемлемые соли и эфиры, в которых R1 обозначает арил или гетероарил; R2 обозначает водород, алкил или циклоалкил; R3 обозначает алкоксигруппу или алкоксигруппу, замещенную 1-3 атомами галогена; R4 обозначает водород, алкил или циклоалкил; А обозначает кислород или серу; n обозначает 1, 2 или 3; и в которых связь между атомами углерода Сa и Сb обозначает простую или двойную углерод углеродную связь. Далее, предпочтительными являются такие соединения формулы Ie, в которых связь между атомами углерода Сa и Сb обозначает двойную углерод углеродную связь. Эти соединения имеют следующую формулу Ia где заместители от R1 до R4, А и n имеют значения, определенные выше. Особенно предпочтительными являются те соединения формулы Ie, в которых связь между атомами углерода Ca и Сb обозначает простую углерод углеродную связь. Эти соединения имеют следующую формулу Ib где заместители R1-R4, А и n имеют значения, определенные выше. Предпочтительными являются хиральные соединения формулы (Ic), в которых заместители R1-R4, А и n имеют значения, определенные выше, а асимметрический атом углерода Сa находится в R конфигурации. Особенно предпочтительными являются хиральные соединения формулы (Id), где R1-R4, А и n имеют значения, определенные выше, а асимметрический атом углерода Сa находится в S конфигурации. В качестве примеров предпочтительных соединений формулы (I) можно назвать следующие: (рац)-2-Этокси-3-[1-(5-метил-2-фенилоксазол-4-илметил)-1Н-индол-5-ил]пропионовая кислота; (S)-2-Этокси-3-[1-(5-метил-2-фенилоксазол-4-илметил)-1Н-индол-5-ил]пропионовая кислота; (рац)-2-Этокси-3-{1-[2-(2-фторфенил)-5-метилоксазол-4-илметил]-1Н-индол-5-ил}пропионовая кислота; (рац)-3-{1-[2-(2-Хлорфенил)-5-метилоксазол-4-илметил]-1Н-индол-5-ил}-2-этоксипропионовая кислота; (S)-3-{1-[2-(2-Хлорфенил)-5-метилоксазол-4-илметил]-1Н-индол-5-ил}-2-этоксипропионовая кислота; (рац)-2-Этокси-3-[1-(5-метил-2-о-толилоксазол-4-илметил)-1Н-индол-5-ил]пропионовая кислота; (рац)-2-Этокси-3-{1-[2-(2-метоксифенил)-5-метилоксазол-4-илметил]-1Н-индол-5-ил}пропионовая кислота; (S)-2-Этокси-3-{1-[2-(2-метоксифенил)-5-метилоксазол-4-илметил]-1Н-индол-5-ил}пропионовая кислота; (рац)-2-Этокси-3-{1-[2-(2-изопропоксифенил)-5-метилоксазол-4-илметил]-1Н-индол-5-ил}пропионовая кислота; (рац)-3-{1-[2-(3-Хлорфенил)-5-метилоксазол-4-илметил]-1Н-индол-5-ил}-2-этоксипропионовая кислота; (рац)-2-Этокси-3-{1-[2-(4-этилфенил)-5-метилоксазол-4-илметил]-1Н-индол-5-ил}пропионовая кислота; (S)-2-Этокси-3-{1-[2-(4-этилфенил)-5-метилоксазол-4-илметил]-1Н-индол-5-ил}пропионовая кислота; (R)-2-Этокси-3-{1-[2-(4-этилфенил)-5-метилоксазол-4-илметил]-1Н-индол-5-ил}пропионовая кислота; (рац)-2-Этокси-3-{1-[2-(4-изопропилфенил)-5-метилоксазол-4-илметил]-1Н-индол-5-ил}пропионовая кислота; (рац)-3-{1-[2-(4-трет-Бутилфенил)-5-метилоксазол-4-илметил]-1Н-индол-5-ил}-2-этоксипропионовая кислота; (рац)-2-Этокси-3-{1-[2-(4-фторфенил)-5-метилоксазол-4-илметил]-1Н-индол-5-ил}пропионовая кислота; (рац)-2-Этокси-3-{1-[5-метил-2-(4-трифторметилфенил)оксазол-4-илметил]-1Н-индол-5-ил}пропионовая кислота; (S)-2-Этокси-3-{1-[5-метил-2-(4-трифторметилфенил)оксазол-4-илметил]-1Н-индол-5-ил}пропионовая кислота; (рац)-3-{1-[2-(3,5-Диметилфенил)-5-метилоксазол-4-илметил]-1Н-индол-5-ил}-2-этоксипропионовая кислота; (рац)-3-{1-[2-(3,5-Диметоксифенил)-5-метилоксазол-4-илметил]-1Н-индол-5-ил}-2-этоксипропионовая кислота; (S)-3-{1-[2-(3,5-Диметоксифенил)-5-метилоксазол-4-илметил]-1Н-индол-5-ил}-2-этоксипропионовая кислота; (рац)-3-{1-[2-(3,5-Дифторфенил)-5-метилоксазол-4-илметил]-1Н-индол-5-ил}-2-этоксипропионовая кислота; (рац)-3-{1-[2-(3,5-Дихлорфенил)-5-метилоксазол-4-илметил]-1Н-индол-5-ил}-2-этоксипропионовая кислота; (рац)-2-Этокси-3-{1-[2-(4-фтор-3-метилфенил)-5-метилоксазол-4-илметил]-1Н-индол-5-ил}пропионовая кислота; (S)-2-Этокси-3-{1-[2-(4-фтор-3-метилфенил)-5-метилоксазол-4-илметил]-1Н-индол-5-ил}пропионовая кислота; (рац)-2-Этокси-3-[1-(5-метил-2-тиофен-2-ил-оксазол-4-илметил)-1Н-индол-5-ил]пропионовая кислота; (рац)-2-Этокси-3-{1-[2-(3,4,5-триметоксифенил)-5-метилоксазол-4-илметил]-1Н-индол-5-ил}пропионовая кислота; (рац)-2-Этокси-3-[1-(2-фенилоксазол-4-илметил)-1Н-индол-5-ил]пропионовая кислота; (рац)-2-Этокси-3-[1-(2-фенилтиазол-4-илметил)-1Н-индол-5-ил]пропионовая кислота; рац-2-Этокси-3-[1-(5-метил-2-фенилтиазол-4-илметил)-1Н-индол-5-ил]пропионовая кислота; (рац)-3-{1-[2-(4-Хлорфенил)тиазол-4-илметил]-1Н-индол-5-ил}-2-этоксипропионовая кислота; (Z)-2-Метокси-3-[1-(5-метил-2-фенилоксазол-4-илметил)-1Н-индол-5-ил]-акриловая кислота; (рац)-2-Метокси-3-[1-(5-метил-2-фенилоксазол-4-илметил)-1Н-индол-5-ил]пропионовая кислота; (Z)-2-Метокси-3-{1-[2-(5-метил-2-фенилоксазол-4-ил)этил]-1Н-индол-5-ил} -акриловая кислота; (рац)-2-Метокси-3-{1-[2-(5-метил-2-фенилоксазол-4-ил)этил]-1Н-индол-5-ил}пропионовая кислота; рац-2-Этокси-3-{1-[2-(4-изопропилфенил)-5-метилоксазол-4-илметил]-3-метил-1Н-индол-5-ил} пропионовая кислота; рац-2-Этокси-3-{3-метил-1-[5-метил-2-(4-трифторметилфенил)оксазол-4-илметил]-1Н-индол-5-ил}пропионовая кислота; рац-3-{1-[2-(2-Хлорфенил)-5-метилоксазол-4-илметил]-3-метил-1Н-индол-5-ил}-2-этоксипропионовая кислота; рац-2-Этокси-3-{1-[2-(4-фтор-3-метилфенил)-5-метилоксазол-4-илметил]-3-метил-1Н-индол-5-ил}пропионовая кислота; рац-2-Этокси-3-{2-метил-1-[5-метил-2-(4-трифторметилфенил)оксазол-4-илметил]-1Н-индол-5-ил}пропионовая кислота; рац-2-Этокси-3-{1-[2-(4-изопропилфенил)-5-метилоксазол-4-илметил]-2-метил-1Н-индол-5-ил}пропионовая кислота; рац-2-Этокси-3-{1-[2-(4-фтор-3-метилфенил)-5-метилоксазол-4-илметил]-2-метил-1Н-индол-5-ил}пропионовая кислота; рац-3-{1-[2-(2-Хлорфенил)-5-метилоксазол-4-илметил]-2-метил-1Н-индол-5-ил}-2-этоксипропионовая кислота; рац-2-Этокси-3-[2-метил-1-(2-фенилтиазол-4-илметил)-1Н-индол-5-ил]пропионовая кислота; рац-3-{1-[2-(4-трет-Бутилфенил)оксазол-4-илметил]-2-метил-1Н-индол-5-ил} -2-этоксипропионовая кислота; рац-3-[1-(5-Метил-2-о-толилоксазол-4-илметил)-1Н-индол-5-ил]-2-пропоксипропионовая кислота; рац-3-{1-[2-(2-Метоксифенил)-5-метилоксазол-4-илметил]-1-индол-5-ил}-2-пропоксипропионовая кислота; рац-3-{1-[5-Метил-2-(4-трифторметилфенил)оксазол-4-илметил]-1Н-индол-5-ил}-2-пропоксипропионовая кислота; рац-3-{1-[5-Метил-2-(4-трифторметилфенил)оксазол-4-илметил]-1Н-индол-5-ил}-2-феноксипропионовая кислота; рац-3-{1-[2-(4-Изопропилфенил)-5-метилоксазол-4-илметил]-1Н-индол-5-ил}-2-феноксипропионовая кислота; рац-3-{1-[2-(2-Хлорфенил)-5-метилоксазол-4-илметил]-1Н-индол-5-ил}-2-феноксипропионовая кислота; рац-3-{1-[2-(4-Фтор-3-метилфенил)-5-метилоксазол-4-илметил]-1Н-индол-5-ил}-2-феноксипропионовая кислота; рац-2-Изопропокси-3-[1-(5-метил-2-о-толилоксазол-4-илметил)-1Н-индол-5-ил]пропионовая кислота; рац-2-Изопропокси-3-{1-[2-(2-метоксифенил)-5-метилоксазол-4-илметил]-1Н-индол-5-ил}пропионовая кислота; рац-3-{1-[2-(2-Хлорфенил)-5-метилоксазол-4-илметил]-1Н-индол-5-ил}-2-изопропоксипропионовая кислота; рац-2-Изопропокси-3-{1-[5-метил-2-(4-трифторметилфенил)оксазол-4-илметил]-1Н-индол-5-ил}пропионовая кислота; рац-2-Бут-3-енилокси-3-[1-(5-метил-2-о-толилоксазол-4-илметил)-1Н-индол-5-ил]пропионовая кислота; рац-2-Бут-3-енилокси-3-{1-[2-(2-метоксифенил)-5-метилоксазол-4-илметил]-1Н-индол-5-ил}пропионовая кислота; рац-2-Бут-3-енилокси-3-{1-[2-(2-хлорфенил)-5-метилоксазол-4-илметил]-1Н-индол-5-ил}пропионовая кислота; рац-2-Бут-3-енилокси-3-{1-[5-метил-2-(4-трифторметилфенил)оксазол-4-илметил]-1Н-индол-5-ил}пропионовая кислота; рац-2-Этокси-3-{2-метил-1-[2-(5-метил-2-фенилоксазол-4-ил)этил]-1Н-индол-5-ил}пропионовая кислота; рац-2-Этокси-3-{2-метил-1-[3-(5-метил-2-фенилоксазол-4-ил)пропил]-1Н-индол-5-ил}пропионовая кислота; рац-2-Этокси-3-{4-метил-1-[5-метил-2-(4-трифторметилфенил)оксазол-4-илметил]-1Н-индол-5-ил}пропионовая кислота; рац-2-Этокси-3-{1-[2-(4-изопропилфенил)-5-метилоксазол-4-илметил]-4-метил-1Н-индол-5-ил}пропионовая кислота; рац-2-Этокси-3-{1-[2-(4-фтор-3-метилфенил)-5-метилоксазол-4-илметил]-4-метил-1Н-индол-5-ил}пропионовая кислота; рац-3-{1-[2-(2-Хлорфенил)-5-метилоксазол-4-илметил]-4-метил-1Н-индол-5-ил}-2-этоксипропионовая кислота; рац-3-{1-[2-(3,5-Диметоксифенил)-5-метилоксазол-4-илметил]-4-метил-1Н-индол-5-ил}-2-этоксипропионовая кислота; рац-2-Этокси-3-{1-[4-метил-2-(4-трифторметилфенил)тиазол-5-илметил]-1Н-индол-5-ил}пропионовая кислота; (Z)-3-{1-[2-(2-Хлорфенил)-5-метилоксазол-4-илметил]-1Н-индол-5-ил}-2-этоксиакриловая кислота; рац-2-Этокси-3-{1-[2-(4-изопропилфенил)-5-метилоксазол-4-илметил]-1Н-индол-6-ил}пропионовая кислота; рац-3-{1-[2-(3,5-Диметоксифенил)-5-метилоксазол-4-илметил]-1Н-индол-6-ил}-2-этоксипропионовая кислота и рац-2-Этокси-3-{1-[2-(4-изопропилфенил)тиазол-4-илметил]-1Н-индол-6-ил}-пропионовая кислота. В качестве примеров особенно предпочтительных соединений формулы (I) можно назвать следующие: (S)-3-{1-[2-(2-Хлорфенил)-5-метилоксазол-4-илметил]-1Н-индол-5-ил}-2-этоксипропионовая кислота; (S)-2-Этокси-3-{1-[2-(2-метоксифенил)-5-метилоксазол-4-илметил]-1Н-индол-5-ил}пропионовая кислота; (S)-2-Этокси-3-{1-[5-метил-2-(4-трифторметилфенил)оксазол-4-илметил]-1Н-индол-5-ил} пропионовая кислота; (S)-3-{1-[2-(3,5-Диметоксифенил)-5-метилоксазол-4-илметил]-1Н-индол-5-ил}-2-этоксипропионовая кислота и (S)-2-Этокси-3-{1-[2-(4-фтор-3-метилфенил)-5-метилоксазол-4-илметил]-1Н-индол-5-ил}пропионовая кислота. В качестве примеров особенно предпочтительных соединений формулы (I) можно назвать следующие: (S)-3-{1-[2-(2-Хлорфенил)-5-метилоксазол-4-илметил]-1Н-индол-5-ил}-2-этоксипропионовая кислота; (S)-2-Этокси-3-{1-[2-(2-метоксифенил)-5-метилоксазол-4-илметил]-1Н-индол-5-ил}пропионовая кислота; (S)-2-Этокси-3-{1-[5-метил-2-(4-трифторметилфенил)оксазол-4-илметил]-1Н-индол-5-ил}пропионовая кислота; (S)-3-{1-[2-(3,5-Диметоксифенил)-5-метилоксазол-4-илметил]-1Н-индол-5-ил}-2-этоксипропионовая кислота; (S)-2-Этокси-3-{1-[2-(4-фтор-3-метилфенил)-5-метилоксазол-4-илметил]-1Н-индол-5-ил}пропионовая кислота; рац-2-Этокси-3-{3-метил-1-[5-метил-2-(4-трифторметилфенил)оксазол-4-илметил]-1Н-индол-5-ил}пропионовая кислота; рац-3-{1-[2-(2-Хлорфенил)-5-метилоксазол-4-илметил]-3-метил-1Н-индол-5-ил}-2-этоксипропионовая кислота; рац-2-Этокси-3-{1-[2-(4-фтор-3-метилфенил)-5-метилоксазол-4-илметил]-3-метил-1Н-индол-5-ил}пропионовая кислота; рац-3-{1-[5-Метил-2-(4-трифторметилфенил)оксазол-4-илметил]-1Н-индол-5-ил}-2-пропоксипропионовая кислота; рац-2-Изопропокси-3-{1-[5-метил-2-(4-трифторметилфенил)оксазол-4-илметил]-1Н-индол-5-ил}пропионовая кислота; рац-2-Бут-3-енилокси-3-{1-[5-метил-2-(4-трифторметилфенил)оксазол-4-илметил]-1Н-индол-5-ил}пропионовая кислота; и рац-2-Этокси-3-{1-[2-(4-изопропилфенил)-5-метилоксазол-4-илметил]-4-метил-1Н-индол-5-ил}пропионовая кислота. Предпочтительным является соединение (S)-3-{1-[2-(2-хлорфенил)-5-метилоксазол-4-илметил]-1Н-индол-5-ил}-2-этоксипропионовая кислота и ее фармацевтически приемлемые соли и эфиры. Особенно предпочтительным является соединение (S)-3-{1-[2-(2-хлорфенил)-5-метилоксазол-4-илметил]-1Н-индол-5-ил}-2-этоксипропионовая кислота. Способы получения соединения формулы I являются объектом данного изобретения. Заместители и признаки, используемые в последующем описании способов, имеют приведенные выше значения, если не указано иначе. Соединения общей формулы (I), в особенности соединения, соответствующие формуле (If) или (Ig), в которых заместители R1-R8, А, А1 и n имеют определенные выше значения, могут быть получены в соответствии со схемой I. Схема I Аналогичная реакционная схема с той же самой последовательностью реакций применима к ряду изомерных соединений, с целью получения соединений общей формулы (I), в частности, соединений, соответствующих формуле (Ih) или (Ii), заместитель в положении 6 индола. Альдегиды (1) могут быть приведены во взаимодействие с солью Виттига [как, например, описано в Tetrahedron, (1994), т.50(25), сс.7543-56], такой как (1,2-диэтокси-2-оксоэтил)трифенилфосфония хлорид или (1-метокси-2-бензилоксиоксоэтил)трифенилфосфония хлорид, в таких растворителях, как изопропанол, дихлорметан или тетрагидрофуран или их смесь, в присутствии основания, такого как карбонат калия или тетраметилгуанидин, предпочтительно при температуре между 0°С и температурой кипения растворителей, с получением сложных акриловых эфиров (2) в виде Е и/или Z изомеров. N-алкилирование индолов (2) гетероциклами (3) может быть осуществлено в таком растворителе, как N,N-диметилформамид или N-метилпирролидон в присутствии такого основания, как гидрид натрия или трет-бутилат калия, предпочтительно при температуре между 0°С и комнатной температурой с последующим гидролизом сложноэфирной группы предпочтительно с помощью LiOH или NaOH в смеси таких растворителей, как диоксан/вода, тетрагидрофуран или этанол/вода, предпочтительно при температуре между 0°С и комнатной температурой с получением акриловых кислот (If). Альтернативно, образование in situ акриловых кислот (If) может быть осуществлено обработкой индолов (2) гетероциклами (3) в присутствии КОН или ДМСО при температуре между 0°С и 80°С, предпочтительно при 22°С. Каталитическое гидрирование соединений (If) в присутствии палладия на угле в таких растворителях, как метанол, этанол, дихлорметан или тетрагидрофуран или их смеси приводит к индолпропионовым кислотам (Ig). Альтернативно, соединения общей формулы (Ig), в которых R1-R8, А, А1 и n имеют определенные ранее значения, могут быть получены в соответствии со схемой II: Схема II Аналогичная реакционная схема с той же самой последовательностью реакций применима к ряду изомерных соединений, с целью получения соединений общей формулы (I), в частности соединений, соответствующих формуле (Ii),
несущих
заместитель в положении 6 индола. Другое получение соединения (Ig) в соответствии со схемой II нужно применять преимущественно в том случае, когда радикалы R3, R4, R5, R6, R7 и R8 являются постоянными, a R1, R2 и А, А1 и n изменяются, и когда синтезируют гомохиральные соединения, после чего следуют реакции того же типа, как показано на Схеме I. В дополнение к этому, образование in situ соединений (Ig) можно осуществить обработкой смеси индолов (4) и гетероциклов (3) избытком гидрида натрия в таком растворителе, как N,N-диметилформамид, при температуре между 0°С и комнатной температурой, что прямо приводит к кислотам (Ig). Гомохиральные кислоты (Ig) могут быть получены приготовлением оптически чистых или оптически обогащенных промежуточных (например, ферментативным разложением на составные части рацемических сложных эфиров (4) с использованием, например, липазы, с последующей этерификацией разложенных кислот после разделения) и последующей трансформацией таких оптически чистых или оптически обогащенных сложных эфиров (4) в оптически чистые или оптически обогащенные кислоты (Ig). Альтернативно, рацемические или оптически обогащенные кислоты (Ig) могут быть разделены на их антиподы известными в данной области методами, такими как разделение антиподов через их диастереомерные соли кристаллизацией с оптически чистыми аминами, как, например, (R) или (S)-1-фенилэтиламин, (R) или (S)-1-нафталин-1-илэтиламин, бруцин, хинин или хинидин, или разделением антиподов специальными хроматографическими методами с применением либо хиральных адсорбентов, либо хиральных элюентов. Соединения общей формулы (I), в особенности соединения, в которых R5 принимает различные значения, могут быть получены в соответствии со Схемой III: Схема III Аналогичная реакционная схема с той же самой последовательностью реакций применима к ряду изомерных соединений с целью получения соединений общей формулы (I), в частности соединений, соответствующих формуле (Ii),
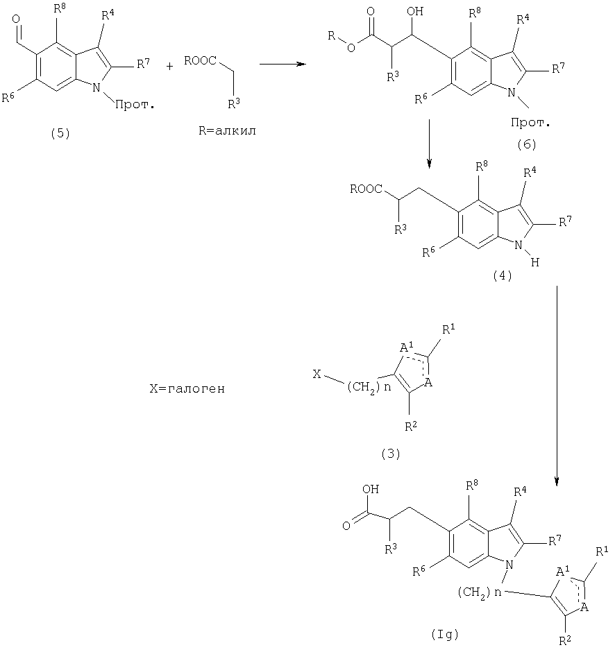
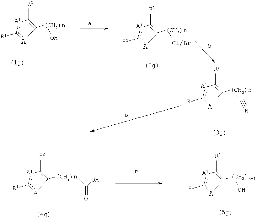
несущих
заместитель в положении 6 индола. Формилиндолы (5), имеющие подходящую защитную функциональную группу на азотной группе индола, например, 2-триметилсиланилэтоксиметильную группу (СЭМ) или бензолсульфонильную группу, могут вступать в реакцию с енолятами эфиров алкокси-, алкенилокси- или арилоксиуксусных кислот (предпочтительно полученных при -78°С в таком растворителе, как тетрагидрофуран, в присутствии основания, такого как диизопропиламид лития) при пониженной температуре с получением альдольных соединений (6) в виде смеси диастереомерных рацематов. Соединения (6) могут быть переведены в индолпропионовые кислоты (4) посредством различных путей синтеза в зависимости от используемой защитной группы и природы радикала R3. Если R3 содержит двойную связь и если в качестве защиты функциональной группы индола используется бензолсульфонильная группа, то тогда предпочтительно применяют следующую двухстадийную методику: 1) удаление воды обработкой п-толуолсульфокислотой в таком растворителе, как бензол, предпочтительно при кипячении; 2) реакцию с магнием в метаноле при нагревании с обратным холодильником, с целью одновременного восстановления двойной связи и удаления защитной группы. Если R3 не содержит двойной связи и если в качестве защиты функциональной группы индола используется 2-триметилсиланилэтоксиметильная группа (СЭМ), то тогда предпочтительно применяют следующую пятистадийную методику: 1) обработку метансульфонилхлоридом в таком растворителе, как дихлорметан, с последующей обработкой, например, 1,8-диазабицикло[5.4.0.]ундек-7-еном(1,5,5) в таком растворителе, как тетрагидрофуран, предпочтительно при повышенной температуре с получением ненасыщенных сложноэфирных соединений в виде смеси Е и/или Z изомеров; 2) гидрирование двойной связи в присутствии, например, палладия на угле в таком растворителе, как этанол; 3) омыление сложноэфирной группы с применением стандартных условий; 4) удаление защитной группы с помощью, например, тетра-бутиламмоний фторида (в виде раствора в тетрагидрофуране) в таком растворителе, как N,N-диметилформамид, в присутствии этилендиамина в предпочтительном интервале температур между 50°С и 80°С; 5) повторную этерификацию с использованием, например, метилиодида, гидрокарбоната натрия в N,N-диметилформамиде. Затем может быть проведено превращение соединений (4) в соединения (Ig) посредством конденсации с гетероциклами (3) так, как показано на Схемах I и II. 5-Формилиндолы (1), в которых R6 представляет собой водород, алкил илициклоалкил, или соответствующие 6-формильные аналоги, в которых R5 представляет собой водород, алкил или циклоалкил, используемые в качестве исходных материалов в Схеме I, являются известными соединениями или могут быть синтезированы методами, известными в данной области. Некоторые выборочные синтетические пути для получения 5-формилиндолов (1), которые также применимы для синтеза 6-формилиндолов, показаны на Схеме IV. Схема IV R обозначает алкил; R’ обозначает водород или алкил. Превращение галогенированных индолов (7) в формилиндолы (1) может быть осуществлено, например, обработкой соответствующих бром- или иодиндолов таким реагентом, как алкиллитий, например, н-бутиллитий, в таком растворителе, как тетрагидрофуран, предпочтительно при -78°С с последующей обработкой N,N-диметилформамидом или карбонилированием галогенированных индолов (7) монооксидом углерода при давлении до 30-50 бар в таких растворителях, как толуол или бензол, в присутствии подходящего катализатора (например, палладиевого катализатора) при температурах между комнатной температурой и 200°С [сравните, например, с Angew Chem., международное издание Англия, (1989), т. 28 (10), с.1386] (стадия в). Альтернативно, формилиндолы (1) могут быть получены из замещенных галогеном индолов (7) или 2-карбокигалогениндолов (8) посредством обработки цианидом меди (I) в хинолине при температурах между 200°С и 270°С (сравните Liebigs Ann. Chem., (1975), cc.160-194) с последующим восстановлением образованных таким образом нитрилов гипофосфитом натрия в присутствии никеля Ренея предпочтительно в смеси воды, уксусной кислоты и пиридина при температурах, находящихся в интервале между комнатной температурой и 60°С [сравните Helvetica Chimica Acta, (1968), т.51, сс.1616-1628] (стадии б или в). Замещенные галогеном индолы (7) с R7=Н по выбору могут быть получены из 2-карбоксигалогениндолов (8) в таком растворителе, как хинолин, в присутствии катализатора декарбоксилирования, такого как медная пыль, при температурах между 200°С и 270°С (стадия а). Формилиндолы (1) с R7=Н могут быть превращены в соответствующие аналоги, в которых R7=алкил, с помощью методов, показанных на Схеме IV: 1) введение защитной функциональной группы для атома азота индола, например, бензолсульфонильной группы (например, с использованием бензолсульфонилхлорида, гидросульфата тетрабутиламмония в толуоле / 50% водный гидроксид натрия); 2) защита альдегидной функциональной группы, например, в виде диалкилацеталя (стадия г); 3) введение заместителя R7 обработкой вначале, например, третбутиллитием в таком растворителе, как тетрагидрофуран, при температурах между -70°С и комнатной температурой, с последующей реакцией с алкилгалогенидом при температурах между -70°С и комнатной температурой (стадия д); 4) удаление защитной группы альдегида с последующим восстановлением соответствующего первичного спирта; 5) удаление защитной группы индола, например, удаление бензолсульфонильной группы с помощью гидроксида калия в метаноле при повышенных температурах; 6) повторное окисление первичного спирта до альдегида, например, с применением условий Сверна (оксалилхлорид/диметилсульфоксид/триэтиламин в дихлорметане, от -78°С до комнатной температуры) (стадия е). Возможные пути синтеза 2-карбоксигалогениндолов (8) показаны на Схемах XII и XIII. Исходные соединения формулы (3), в которых А обозначает кислород, а А1 обозначает азот и n означает 1 или 2, могут быть получены, например, в соответствии со Схемой V. Схема V Альдегиды (1a) имеются в продаже или известны. Их вводят в конденсацию с дикетомонооксимами (2а) в соответствии с тем, как это описано в литературе (Goto Y.; Yamazaki M.; Hamana M.; Chem. Pharm. Bull., (1971), т.19, с.2050) в присутствии сильной кислоты, обычно HCl, в полярном растворителе, таком как АсОН, с получением оксазол-Н-оксидов (3а) (стадия а). Последующей обработкой с помощью POCl3 в дихлорметане при нагревании с обратным холодильником получают соответствующие первичные хлориды (4а) (Goto Y.; Yamazaki M.; Hamana M.; Chem. Pharm. Bull., (1971), т.19, с.2050, стадия б). Эти промежуточные используются либо как таковые, превращенные хорошо известными методами в соответствующие спирты или активированные спирты, такие как мезилаты или тозилаты, или в бромиды или иодиды, или в конечном итоге разрабатываются далее посредством SN2-реакции с NaCN, приводящей через нитрилы 5а (стадия в), полный гидролиз (стадия г) и восстановление (стадия д), например, бораном в тетрагидрофуране, к “строительным блокам” (7а). Наконец, спирты (7а) могут быть превращены в соединения формулы (3), например, обработкой метансульфонилхлоридом в дихлорметане в присутствии такого основания, как триэтиламин, предпочтительно в интервале температур между -20°С и комнатной температурой или посредством реакции с тетрахлоридом углерода или тетрабромидом углерода и трифенилфосфином в таком растворителе, как тетрагидрофуран, предпочтительно в температурном интервале между комнатной температурой и температурой кипения растворителя, что приводит к соединениям формулы (3) в виде метансульфонатов, хлоридов или бромидов, соответственно. 4-Хлорметил-2-арил- или 2-гетероарилоксазолы (4а) с R2, равным водороду, предпочтительно получают из соответствующих арильных или гетероарильных карбоксамидов и 1,3-дихлорацетона, как это описано, например, в Bioorg. Med.Chem.Lett., (2000), т.10(17), сс.2041-2044. Исходные соединения формулы (3), в которых А обозначает кислород, а А1 обозначает азот и n означает 3, могут быть получены, например, в соответствии со Схемой VI: Схема VI Сложные эфиры N-ацилглицина (1b) являются либо коммерчески доступными, либо известными, либо могут быть получены при помощи стандартных операций N-ацилирования. Моноаллилированные сложные эфиры (2b) могут быть легко получены двойным депротонированием (1b) при помощи сильного ненуклеофильного основания, такого как LiHMDS, в апротонном растворителе, таком как ТГФ, обычно при -78°С, с последующей обработкой аллилбромидом с получением селективно С-алкилированных продуктов (2b) (стадия а). Стандартным гидролизом получают промежуточные кислоты (3b) (стадия б), которые затем, следуя хорошо разработанной в литературе методике (J.Med.Chem., (1996), т.39, с.3897), переводят в соединения (4b) (стадия в). Закрытие кольца с получением оксазола с использованием в качестве реагентов трифторуксусной кислоты и ангидрида трифторуксусной кислоты приводит к ключевым промежуточным (5b) (стадия г), которые подвергают превращениям через гидроборатирование, например, с помощью 9-BBN в ТГФ и следующей затем окислительной обработкой Н2О2 и NaOH (стадия д), и в конечном итоге получают целевые спирты (6b). Наконец, спирты (6b) могут быть превращены в соединения формулы (3), например, обработкой метансульфонилхлоридом в дихлорметане в присутствии такого основания, как триэтиламин, предпочтительно в температурном интервале между -20°С и комнатной температурой, или посредством реакции с тетрахлоридом углерода или тетрабромидом углерода и трифенилфосфином в таком растворителе, как тетрагидрофуран, предпочтительно в температурном интервале между комнатной температурой и температурой кипения растворителя; таким образом получая соединения формулы (3) в виде метансульфонатов, хлоридов или бромидов, соответственно. Исходные соединения формулы (3), в которых А обозначает серу, а А1 обозначает азот и n означает 1, могут быть получены, например, в соответствии со Схемой VII: Схема VII Тиоамиды (1с) являются известными соединениями, или они могут быть получены известными в данной области методами, например, обработкой соответствующего карбоксамида пентасульфидом фосфора или реагентом Лауэссона [2,4-бис(4-метоксифенил)-1,3-дитиа-2,4-дифосфетан-2,4-дисульфид], в таком растворителе, как толуол, предпочтительно при температуре между 60°С и температурой кипения растворителя. Тиоамиды (1с) могут быть конденсированы с 1,3-дихлорацетоном в таком растворителе, как ацетон или ацетонитрил, в температурном интервале между комнатной температурой и температурой кипения растворителя, с последующей обработкой сильной кислотой, например, концентрированной серной кислотой, предпочтительно при температуре окружающей среды, приводя таким образом к хлорметильным соединениям (3с) (стадия а). Альтернативно, тиоамиды (1с) конденсируют с альфа-бром- или альфа-хлоркетонами (4с) в таком растворителе, как этанол, предпочтительно при температуре кипения, с получением арилтиазолов (5 с), несущих метильную функциональную группу в положении 4 (стадия б) [ЕР 207453 А2]. Хлорметильные соединения (6с) получают обработкой данных арилтиазолов (5с) N-хлорсукцинимидом в таком растворителе, как ацетонитрил, предпочтительно при температуре кипения (стадия в) [сравните с публикацией международной заявки WO 0119805 А1]. Исходные соединения формулы (3), в которых А обозначает серу, а А1 обозначает азот и n означает 2 или 3, могут быть получены, например, в соответствии со Схемой VIII: Схема VIII Конденсация тиоамидов (1d) с подходящим бис-электрофильным соединением, например, метил 4-бром- или 4-хлор-3-оксоалканоатом (2d), предпочтительно в таком растворителе, как толуол, при повышенных температурах (например, при температуре кипения), приводит к тиазолам (3d), несущим функциональную группу эфира уксусной кислоты в положении 4 (стадия а) [сравните с публикацией международной заявки WO 97/31907 А1]. 4-Бром-3-оксоалканоаты (2d) являются известными соединениями или могут быть получены известными в данной области методами [сравните с публикацией международной заявки WO 01/79202 А1]. Тиазолы (3d) затем могут быть восстановлены, например, алюмогидридом лития, до тиазолов (4d) (стадия б). По выбору, может быть проведено удлинение боковой цепи стандартными методами, такими как превращение спиртовой функциональной группы в отщепляемую (удаляемую) группу, например, мезилат, последующей обработкой цианидом, омылением и восстановлением с получением тиазолов (5d) с гидроксипропильной функциональной группой, присоединенной в положении 4 (стадия в). В конечном счете, спирты (4d) и (5d) могут быть активированы до мезилатов или тозилатов с использованием известных стандартных методов. Исходные соединения формулы (3), в которых А обозначает серу, а А1 обозначает азот и n означает 1, могут быть получены, например, в соответствии со Схемой IX. Схема IX Тиоамиды (1e) являются известными соединениями, или они могут быть получены известными в данной области методами, например, обработкой соответствующего карбоксамида с пентасульфидом фосфора или реагентом Лауэссона [2,4-бис(4-метоксифенил)-1,3-дитиа-2,4-дифосфетан-2,4-дисульфид], в таком растворителе, как толуол, предпочтительно при температуре между 60°С и температурой кипения растворителя. Тиоамиды (1е) могут быть введены в реакцию с алкил-2-галогенацетоацетатами (2е) в таком растворителе, как этанол, предпочтительно при температуре кипения, с получением сложных эфиров тиазолкарбоновой кислоты (3е) (стадия а). Восстановление этих сложных эфиров (3е), предпочтительно с помощью алюмогидрида лития в таком растворителе, как простой эфир или тетрагидрофуран, предпочтительно между 0°С и комнатной температурой приводит к первичным спиртам (4е) (стадия б), которые могут быть использованы сами по себе или могут быть превращены в соответствующие галоидсодержащие соединения (5е), например, обработкой метансульфонилхлоридом в дихлорметане в присутствии 2,6-лутидина, предпочтительно между -20°С и температурой кипения дихлорметана [сравните с публикацией международной заявки WO 02/28433], обработкой тионилхлоридом в таком растворителе, как дихлорметан или хлороформ, предпочтительно при температуре между -20°С и +50°С или обработкой тетрабромметаном, трифенилфосфином в таком растворителе, как тетрагидрофуран при температуре между 0°С и температурой кипения тетрагидрофурана (стадия в). Исходные соединения формулы (3), в которых А обозначает кислород, а А1 обозначает азот и n означает 1, могут быть получены, например, в соответствии со Схемой X. Схема Х 4-Замещенные 2-арилоксазол-5-карбоксилаты (2f) (R2 обозначает алкильную или циклоалкильную группу) могут быть получены из N-ароиламинокислот (1f), как описано в J.Chem.Soc., Chem. ComMun., (1995), сс.2335-2336: 1) N-ароиламинокислоты (1f) обрабатывают оксалилхлоридом в таком растворителе, как бензол, дихлорметан или тетрагидрофуран, предпочтительно при комнатной температуре с последующим упариванием с добавлением толуола; 2) полученные таким образом неочищенные промежуточные соединения обрабатывают триэтиламином и спиртом, предпочтительно между 0°С и комнатной температурой (стадия а). Восстановление хорошо известными методиками сложноэфирной группы в соединении (2f), например, с помощью диизобутилалюмогидрида в таком растворителе, как тетрагидрофуран, приводит к первичным спиртам (3f) (стадия б). Наконец, спирты (3f) могут быть превращены в соединения формулы (3), например, обработкой метансульфонилхлоридом в дихлорметане в присутствии такого основания, как триэтиламин, предпочтительно в температурном интервале между -20°С и комнатной температурой, или посредством реакции с тетрахлоридом углерода или тетрабромидом углерода и трифенилфосфином в таком растворителе, как тетрагидрофуран, предпочтительно в температурном интервале между комнатной температурой и температурой кипения растворителя; таким образом получая соединения формулы (3) в виде метансульфонатов, хлоридов или бромидов, соответственно. Исходные соединения формулы (3), в которых n означает 2 или 3, могут быть получены из исходных соединений формулы (3), в которых n означает 1 или 2, например, в соответствии со Схемой XI. Схема XI Арилоксазольные спирты или арилтиазольные спирты (1g) с длиной цепи, содержащей n атомов углерода, могут быть превращены в их аналоги с длиной цепи, содержащей n+1 атомов углерода, посредством хорошо известных в данной области методов (Схема XI), например, путем превращения группы первичного спирта в подходящую удаляемую группу, например, галоидную (стадия а), реакцией с ионом цианида (стадия б), омылением (стадия в) с последующим восстановлением образованной кислоты (соединения (4g)) до первичных спиртов (5g), например, с использованием диборана в тетрагидрофуране (стадия г). Наконец, спирты (5g) могут быть превращены в соединения формулы (3), например, обработкой метансульфонилхлоридом в дихлорметане в присутствии такого основания, как триэтиламин, предпочтительно в температурном интервале между -20°С и комнатной температурой, или посредством реакции с тетрахлоридом углерода или тетрабромидом углерода и трифенилфосфином в таком растворителе, как тетрагидрофуран, предпочтительно в температурном интервале между комнатной температурой и температурой кипения растворителя; таким образом, получая соединения формулы (3) в виде метансульфонатов, хлоридов или бромидов, соответственно. Исходные соединения формулы (8) могут быть получены, например, в соответствии со Схемой XII или Схемой XIII: Приготовление 2-карбоксигалогениндолов (8), где R6 представляет собой водород, алкил или циклоалкил, посредством реакций Фишера для синтеза индола показано на Схеме XII; схема описывает синтез 5-галогениндолов, но в равной степени применима к синтезу 6-галогениндолов, в которых R5 представляет собой водород, алкил или циклоалкил: Схема XII (часть а) Схема XII (часть б) R обозначает алкил. Галогенанилины (1h) могут быть превращены в диазокислоты Мелдрума (3h) посредством диазотизации галогенанилинов (1h) с помощью, например, нитрита натрия в водной кислоте при температуре около 0°С, с последующей реакцией с кислотой Мелдрума (2h) в такой смеси растворителей, как этанол/вода, предпочтительно при рН, близком к нейтральному, и в температурном интервале между 0°С и 60°С (сравните с Organic Process Research & Development, (1998), т.2, сс.214-220) (стадия а). Обработка (3h) алкоголятом, предпочтительно этилатом натрия, в соответствующем спирте предпочтительно при комнатной температуре приводит к гидразонам (6h) (сравните с Organic Process Research & Development, (1998), т.2, сс.214-220) (стадия б). Альтернативно, галогенанилины (1h) могут быть превращены в гидразины (4h), например, обработкой нитритом натрия в соляной кислоте, предпочтительно при температурах между -10°С и комнатной температурой, с последующим постадийным восстановлением образованной соли диазония при помощи, например, олово(II)-хлорида, предпочтительно в подобном температурном интервале (стадия в). Гидразины (4h) могут быть затем обработаны производными пируватной кислоты (5h) в таком растворителе, как дихлорметан или толуол, предпочтительно в температурном интервале между комнатной температурой и температурой кипения растворителя, необязательно с удалением образовавшейся воды при помощи молекулярных сит или с использованием ловушки Дина Старка, с получением гидразонов (6h) (стадия г). Затем может быть осуществлено образование индолов посредством обработки гидразонов (6h), например, сильной кислотой, такой как серная кислота или п-толуолсульфокислота, в таком растворителе, как толуол или ксилол, предпочтительно при повышенной температуре вплоть до температуры кипения растворителя, или полифосфорной кислотой в качестве реагента и растворителя, предпочтительно при температурах между 150°С и 200°С (сравните с J.Chem.Soc., (1955), cc.3499-3503) (стадия д). Исходя из несимметричных галогенанилинов (1h), образуются изомеры индола 7h и 7’h. Эти два изомера могут быть разделены известными в данной области методами, например, при помощи хроматографии или кристаллизации. Изомер 7h и изомер 7’h могут служить промежуточными соединениями для получения желаемых 2-карбоксигалогениндолов (8), которые получают омылением сложных эфиров индола (7h или 7’h), например, при помощи гидроксида лития в смеси диоксана и воды при температурном интервале между комнатной температурой и 80°С (стадия е). Приготовление 2-карбоксигалогениндолов (8), в которых R6 представляет собой водород, алкил или циклоалкил, исходя из производных орто-нитробензальдегида, показано на Схеме XIII; эта схема описывает синтез 5-галогениндолов, но она в равной степени применима к 6-галогениндолам, в которых R5 представляет собой водород, алкил или циклоалкил: Схема XIII R обозначает алкил. Производные орто-нитробензальдегида (1i) вводят в реакцию с солью Виттига, такой как хлорид (1,2-диэтокси-2-оксоэтил)трифенилфосфония в таком растворителе, как изопропанол, дихлорметан или тетрагидрофуран или их смесь в присутствии такого основания как карбонат калия или тетраметилгуанидин, предпочтительно между 0°С и температурой кипения растворителя, с получением сложных эфиров нитрофенилакриловой кислоты (2i) в виде Е и/или Z изомеров (стадия а). Восстановление эфиров нитрофенилакриловой кислоты (2i), например, железным порошком в таком растворителе, как уксусная кислота, предпочтительно между 60°С и 100°С приводит к сложным аминофенилакриловым эфирам (3i) (стадия б). Ацетилирование в стандартных условиях сложных аминофенилакриловых эфиров (3i) (например, ацетилхлорид, триэтиламин в дихлорметане между 0°С и комнатной температурой) (стадия в), приводит к соединениям (4i), которые претерпевают формирование индола при обработке сильной кислотой, такой как п-толуолсульфокислота в растворителе, таком как толуол, предпочтительно при температуре кипения растворителя (стадия г). Омыление сложных эфиров индола (5i), например, с помощью гидроксида лития в смеси диоксана и воды в температурном интервале между комнатной температурой и 80°С приводит затем к 2-карбоксигалогениндолам (8, R4=H) (стадия д). Превращение соединения формулы I в фармацевтически приемлемую соль может быть осуществлено обработкой такого соединения неорганической кислотой, например, гидрогалогенидной кислотой, такой как, к примеру, соляная кислота или бромистоводородная кислота, серная кислота, азотная кислота, фосфорная кислота и т.д., или органической кислотой, такой как, к примеру, уксусная кислота, лимонная кислота, малеиновая кислота, фумаровая кислота, винная кислота, метансульфоновая кислота или п-толуолсульфокислота. Соответствующие соли карбоновых кислот могут быть также приготовлены из соединений формулы I обработкой физиологически совместимыми основаниями, такими как гидроксид натрия или калия, или третичными аминами, такими как триэтиламин. Превращение соединений формулы I в фармацевтически приемлемые сложные эфиры или амиды может быть осуществлено, например, обработкой подходящих амино- или гидроксильных групп, присутствующих в молекулах, карбоновой кислотой, такой как уксусная кислота, в присутствии конденсирующего реагента, такого как гексафторфосфат бензотриазол-1-илокситрис(диметиламино)фосфония (ВОР) или N,N-дициклогексилкарбодиимид (DCCI) с образованием эфира карбоновой кислоты или амида карбоновой кислоты. Предпочтительно, превращение соединений формулы I в фармацевтически приемлемые сложные эфиры может быть осуществлено, например, обработкой соединений формулы I в присутствии конденсирующего реагента, такого как гексафторфосфат бензотриазол-1-илокситрис(диметиламино)фосфония (ВОР) или N,N-дициклогексилкарбодиимид (DCCI) и 4-диметиламинопиридина соответствующим спиртом в растворителе, таком как, например, N,N-диметилформамид, согласно методам, известным в уровне техники. Предпочтительно способ получения соединения, соответствующего формуле I, включает одну из следующих реакций: а) реакцию соединения, соответствующего формуле
в присутствии соединения, соответствующего формуле
б) реакцию соединения, соответствующего формуле
в присутствии соединения, соответствующего формуле
в) гидрирование соединения, соответствующего формуле где R3 обозначает алкоксигруппу или алкоксигруппу, замещенную одним-тремя атомами галогена; R3 обозначает
причем связь между атомами углерода Сa и Сb обозначает углерод углеродную простую или двойную связь; R6 обозначает водород; R7 обозначает водород; R8 обозначает водород; А обозначает кислород или серу; А1 обозначает азот; Х обозначает галоген или СН3SO3, а R обозначает алкил, арил или арилалкил. Далее, предпочтительным является способ получения соединения, соответствующего формуле I, включающий одну из следующих реакций: а) реакцию соединения, соответствующего формуле
в присутствии соединения, соответствующего формуле
где любой один из радикалов R5 и R6 обозначает
а другой обозначает водород, алкил или циклоалкил и где связь между атомами углерода Сa и Сb обозначает углерод углеродную простую или двойную связь; Х обозначает галоген или СН3SO3; R обозначает алкил, арил или арилалкил; радикалы R1-R4, R7, R8, A, A1 и n имеют значения, определенные выше. Предпочтительной является вышеуказанная реакция в таком растворителе, как N,N-диметилформамид или N-метилпирролидон, в присутствии такого основания, как, например, гидрид натрия или трет-бутилат калия, предпочтительно между 0°С и комнатной температурой, с последующим гидролизом сложноэфирной функции, предпочтительно при помощи LiOH или NaOH в такой смеси растворителей, как диоксан/вода, тетрагидрофуран или этанол/вода, предпочтительно между 0°С и комнатной температурой. Более предпочтительной является вышеуказанная реакция в присутствии КОН в ДМСО при температуре между 0°С и 80°С, предпочтительно при 22°С. б) гидрирование соединения, соответствующего формуле в котором любой один из радикалов R5 и R6 обозначает
а другой обозначает водород, алкил или циклоалкил; а связь между атомами углерода Сa и Сb обозначает углерод углеродную двойную связь; R1-R4,R7, R8, А, А1 и n имеют определенные выше значения. Предпочтительным является гидрирование в присутствии палладия на угле в таких растворителях, как метанол, этанол, дихлорметан или тетрагидрофуран или их смеси. Предпочтительными промежуточными соединениями являются: этиловый эфир (Z)-2-этокси-3-(1Н-индол-5-ил)акриловой кислоты; этиловый эфир рац-2-этокси-3-(1Н-индол-5-ил)пропионовой кислоты; (S)-2-этокси-3-(1Н-индол-5-ил)пропионовая кислота; метиловый эфир (S)-2-этокси-3-(1Н-индол-5-ил)пропионовой кислоты; этиловый эфир (R)-2-этокси-3-(1Н-индол-5-ил)пропионовой кислоты; бензиловый эфир (Z)-3-(1Н-индол-5-ил)-2-метоксиакриловой кислоты; этиловый эфир рац-2-этокси-3-(3-метил-1Н-индол-5-ил)пропионовой кислоты; этиловый эфир рац-2-этокси-3-(2-метил-1Н-индол-5-ил)пропионовой кислоты; метиловый эфир рац-3-(1Н-индол-5-ил)-2-пропоксипропионовой кислоты; метиловый эфир рац-3-(1Н-индол-5-ил)-2-феноксипропионовой кислоты; метиловый эфир рац-3-(1Н-индол-5-ил)-2-изопропоксипропионовой кислоты; метиловый эфир рац-2-бут-3-енилокси-3-(1Н-индол-5-ил)пропионовой кислоты; этиловый эфир рац-2-этокси-3-(4-метил-1Н-индол-5-ил)пропионовой кислоты и этиловый эфир рац-2-этокси-3-(1Н-индол-6-ил)пропионовой кислоты. Как описано выше, соединения формулы (I) настоящего изобретения могут быть использованы в качестве лекарственных средств для лечения и/или профилактики заболеваний, которые модулируются агонистами РАПП Соединения формулы I, описанные выше для использования в качестве терапевтически активных веществ, являются следующим объектом настоящего изобретения. Предпочтительным является применение в качестве терапевтически активных веществ для профилактики и/или лечения диабета, неинсулинзависимого сахарного диабета, повышенного кровяного давления, повышенных уровней липида и холестерина, атеросклероза, синдрома нарушения обмена веществ, и особенно предпочтительным является неинсулинзависимый сахарный диабет. Также, объектом изобретения являются описанные выше соединения для приготовления лекарственных средств для лечения и/или профилактики заболеваний, которые модулируются агонистами РАПП Подобно этому, объектом изобретения являются фармацевтические композиции, содержащие соединение формулы I, описанное выше, и терапевтически инертный носитель. Другим объектом настоящего изобретения является вышеуказанная фармацевтическая композиция, дополнительно содержащая терапевтически эффективное количество ингибитора липазы, в особенности, когда ингибитор липазы представлен орлистатом. Объектом изобретения является также применение описанных выше соединений для приготовления лекарственных средств, в частности, для лечения и/или профилактики заболеваний, которые модулируются агонистами РАПП Следующим объектом настоящего изобретения является применение соединения формулы I в производстве лекарственного средства для лечения и/или профилактики заболеваний, которые модулируются агонистами РАПП Следующий объект настоящего изобретения включает соединения, которые изготавливают в соответствии с одним из описанных способов. Другим объектом изобретения является способ лечения и/или профилактики заболеваний, которые модулируются агонистами РАПП Методы анализа Для определения активности соединений формулы I могут быть применены следующие тесты. Исходную информацию по проводимым методам анализа можно найти у: Nichols JS и соавт., “Development of a scintillation proximity assay for peroxisome proliferator – activated receptor gamma lig and binding domain”, (1998), Anal. Biochem., т.257, сс.112-119. Клоны кДНК полной длины человеческого РАПП Индукцию, экспрессию и очистку слитых белков ГТ-ЛСД осуществляют в клетках штамма Е.coli BL21(pLysS) стандартными методами (ссылка: Current Protocols in Molecular Biology, Wiley Press, изд-во Ausubel и соавт.). Анализ связывания радиолиганда Связывание рецептора РАПП Связывание рецептора РАПП Полученную взвесь инкубируют в течение 1 ч при к.т. и центрифугируют в течение 2 мин при 1300 g. Супернатант, содержащий несвязанный белок, удаляют, а полусухие округлые гранулы, содержащие покрытые рецептором зерна, растворяют в 50 мкл буфера ТКЕ. Для связывания с радиолигандом добавляют, например, 10000 число распадов/мин 2(S)-(2-бензоилфениламино)-3-{4-[1,1-дитритио-2-(5-метил-2-фенилоксазол-4-ил)этокси]фенил}пропионовой кислоты в 50 мкл, реакцию инкубируют при к.т. в течение 1 ч. и проводят подсчет сцинтилляционного совпадения. Все анализы связывания осуществляют в 96-луночных планшетах и количество связанного лиганда измеряют на приборе Packard TopCount с использованием оптических пластин (OptiPlates) (фирмы Packard). Неспецифическое связывание определяют в присутствии 10 М несвязанного соединения. Кривые доза-ответ строят по результатам трех повторов в диапазоне концентраций от 10-10 М до 10-4М. Анализы транскрипционного репортерного гена люциферазы Клетки почки детеныша хомяка (ВНК21 АТСС CCL10) выращивают в среде Игла, модифицированной Дульбеко (DMEM), содержащей 10% FBS при 37°С в атмосфере 95%O2:5%CO2. Клетки высевают в 6-луночный планшет при плотности 10 клеток/лунку и затем случайным образом партиями трансфицируют экспрессионными плазмидами либо pFA-РАПП Соединения по настоящему изобретению демонстрируют значения IC50 от 0,1 нМ до 50 мкМ, предпочтительно от 1 нМ до 10 мкМ, в частности, 1-3500 нМ, более предпочтительно от 20 до 1000 нМ, для РАПП В следующей таблице представлены измеренные значения для некоторых отобранных соединений по настоящему изобретению и для соединений, известных из уровня техники (например: Rosiglitazone, Drugs, 1999, т.57(6), сс.921-930).
Соединения формулы I и их фармацевтически приемлемые соли и сложные эфиры могут быть использованы в качестве лекарственных средств, например, в форме фармацевтических препаратов для энтерального, парентерального или местного введения. Их можно вводить, например, перорально, к примеру, в форме таблеток, покрытых таблеток, драже, твердых и мягких желатиновых капсул, растворов, эмульсий или суспензий, ректально, к примеру, в форме суппозиториев, парентерально, к примеру, в форме растворов для инъекций или растворов для вливания, или местно, к примеру, в форме мазей, кремов или масел. Получение фармацевтических препаратов может быть осуществлено методами, известными любому квалифицированному в данной области специалисту, путем переведения описанных соединений формулы I и их фармацевтически приемлемых солей и эфиров в галеновые лекарственные формы для введения совместно с подходящими нетоксичными, инертными, терапевтически совместимыми твердыми или жидкими носителями и, при необходимости, с традиционными фармацевтическими адъювантами. Подходящие материалы для носителей представлены не только неорганическими материалами, но также органическими материалами носителей. Так, например, в качестве материалов носителей для таблеток, покрытых таблеток, драже и твердых желатиновых капсул могут быть использованы лактоза, кукурузный крахмал или их производные, тальк, стеариновая кислота и ее соли. Подходящими материалами носителя для мягких желатиновых капсул являются, например, растительные масла, воски, жиры и политвердые и жидкие полиолы (в зависимости от природы активного ингредиента в случае мягких желатиновых капсул может вообще не потребоваться никакого носителя). Подходящими материалами носителя для приготовления растворов и сиропов являются, например, вода, полиолы, сахароза, инвертный сахар и т.п.). Подходящими материалами носителя растворов для инъекций являются, например, вода, спирты, полиолы, глицерин и растительные масла. Подходящими материалами носителя для суппозиториев являются, например, природные и затвержденные масла, воски, жиры и полижидкие или жидкие полиолы. Подходящими материалами носителя для местных препаратов являются глицериды, полусинтетические и синтетические глицериды, гидрированные масла, жидкие воски, жидкие парафины, жидкие жирные спирты, стеролы, полиэтиленгликоли и производные целлюлозы. Обычные стабилизаторы, консерванты, увлажнители, эмульсификаторы, вещества, улучшающие консистентность, вещества, улучшающие запах, соли для изменения осмотического давления, буферные вещества, солюбилизаторы, окрашивающие вещества и маскирующие вещества, а также антиоксиданты можно рассматривать в качестве фармацевтических адъювантов. Дозировка соединений формулы I может изменяться в широких пределах в зависимости от заболевания, которое нужно контролировать, возраста и индивидуальных особенностей пациента и режима введения, и может быть, конечно, подобрана в каждом конкретном случае в зависимости от индивидуальных потребностей. Для взрослых пациентов суточная доза составляет приблизительно от 0,1 мг до приблизительно 1000 мг, в особенности следует рассматривать дозу от 0,1 мг до приблизительно 100 мг. Далее предпочтительной дозой для взрослых является приблизительно от 1 мг до приблизительно 1000 мг, в особенности следует рассматривать дозу от 1 мг до приблизительно 100 мг. В зависимости от дозировки бывает удобным вводить суточную дозу в виде нескольких единичных дозированных форм. Удобно, когда фармацевтические препараты содержат приблизительно 0,05-500 мг, предпочтительно 0,05-100 мг соединения формулы I. Предпочтительные фармацевтические препараты содержат приблизительно 0,5-500 мг, предпочтительно 0,5-100 мг соединения формулы I. Следующие примеры служат для более подробной иллюстрации данного изобретения. Тем не менее, они никоим образом не предназначены для ограничения объема притязаний. Примеры а) Приготовление промежуточных соединений: Препарат 1 Этиловый эфир рац-2-этокси-3-(1Н-индол-5-ил)пропионовой кислоты а) Этиловый эфир (Z)-2-этокси-3-(1Н-индол-5-ил)акриловой кислоты К раствору 25,73 г (1,2-диэтокси-2-оксоэтил)трифенилфосфония хлорида в 200 мл дихлорметана добавляют при 0°С 8,0 мл тетраметилгуанидина и смесь нагревают до 22°С. Смесь обрабатывают 5,81 г 5-формилиндола и продолжают перемешивание при 40°С в течение 16 ч. Смесь снова обрабатывают 25,73 г соли Виттига и 8,0 мл тетраметилгуанидина и продолжают перемешивание при 40°С в течение 24 ч, после чего превращение завершается. Смесь упаривают и остаток распределяют между этилацетатом и водой. Органический слой сушат, упаривают и остаток подвергают хроматографии на силикагеле (н-гексан/этилацетат, 2:1) с получением 9,80 г соединения, указанного в заголовке, в виде масла, которое затвердевает при выдерживании при 22°С, превращаясь в бледно-желтое твердое вещество. МС:(М)+259,2. б) Этиловый эфир рац-2-этокси-3-(1Н-индол-5-ил)пропионовой кислоты. Суспензию этилового эфира 9,7 г (Z)-2-этокси-3-(1Н-индол-5-ил)акриловой кислоты в 100 мл EtOH и 1,0 г Pd/C (10%) гидрируют при 22°С в течение 2 ч, после чего поглощение водорода прекращается. Суспензию фильтруют, фильтрат упаривают и остаток подвергают хроматографии на силикагеле (н-гексан/этилацетат, 2:1) с получением 8,7 г соединения, указанного в заголовке, в виде белого твердого вещества. МС:(М)+262,2. Препарат 2 Этиловый эфир (R)-2-этокси-3-(1Н-индол-5-ил)пропионовой кислоты и метиловый эфир (S)-2-этокси-3-(1Н-индол-5-ил)пропионовой кислоты Раствор 5,00 г этилового эфира рац-2-этокси-3-(1Н-индол-5-ил)-пропионовой кислоты в 170 мл трет-бутилметилового эфира эмульсифицируют при помощи перемешивания с 675 мл 0,1 М хлорида натрия, 3 мМ фосфата натрия при рН 7,0. Добавляют 200 мг хиразима L-6 (поставляемого в продажу фирмой Roche Diagnostics) и поддерживают рН 7,0 посредством контролируемого добавления при интенсивном перемешивании 0,1 н. раствора гидроксида натрия (рН-стат). После потребления 81,6 мл (43% конверсия; 5,7 ч) реакционную смесь экстрагируют (2×500 мл дихлорметана) и получают (R)-обогащенный этиловый эфир. Водную фазу подкисляют до рН 2,5 и экстрагируют (3×500 мл дихлорметана) с получением 1,64 г (S)-2-этокси-3-(1Н-индол-5-ил)пропионовой кислоты в виде желтоватой пены, 94% (Chiralcel-OJ, 25 см × 4,6 мм; 80% гептан / 20% (EtOH+1,5% ТФУ). МС: (М)+233,1. [ К перемешиваемому раствору 0,70 г (S)-кислоты в 6 мл метанола и 0,6 мл воды добавляют 0,6 М раствор диазометана в этиловом эфире до прекращения выделения газа (15 мл). Смесь упаривают и остаток подвергают хроматографии на RP-18 (СН3CN/Н2О, 1:1) с получением 0,37 г метилового эфира (S)-2-этокси-3-(1Н-индол-5-ил)пропионовой кислоты в виде коричневого масла. МС:(М+Н)+248,2. (R)-обогащенный сложный эфир (2,91 г, 81%) подвергают второму аналогичному ферментативному гидролизу (100 мл трет-бутилметиловый эфир, 400 мл буфера, 30 мг хиразима L-6). После поглощения 12,4 мл титрующего вещества (45 ч) реакционную смесь экстрагируют (3×500 мл дихлорметана) с получением 2,45 г этилового эфира (R)-2-этокси-3-(1Н-индол-5-ил)пропионовой кислоты в виде коричневого масла, 96% (условия см. выше). МС:(М+Н)+262,1, (M+NH4)+279,1. [ Препарат 3 Бензиловый эфир (Z)-3-(1Н-индол-5-ил)-2-метоксиакриловой кислоты К раствору 3,70 г (1-метокси-2-бензилоксиоксоэтил)трифенилфосфония хлорида в 60 мл дихлорметана добавляют при 0°С 1,07 мл тетраметилгуанидина и смесь нагревают до 22°С. Смесь обрабатывают 2,25 г 5-формилиндола и продолжают перемешивание при 40°С в течение 16 ч. Смесь снова обрабатывают 3,70 г соли Виттига и 1,07 мл тетраметилгуанидина и продолжают перемешивание при 40°С в течение 24 ч, после чего превращение завершается. Смесь упаривают и остаток распределяют между этилацетатом и водой. Органический слой сушат, упаривают и остаток подвергают хроматографии на силикагеле (н-гексан/этилацетат, 4:1) с получением 1,67 г соединения, указанного в заголовке, в виде бледно-желтого масла. МС:(М+Н)+308,2. Препарат 4 Этиловый эфир рац-2-этокси-3-(3 -метил-1Н-индол-5-ил)пропионовой кислоты Аналогично методике, описанной для препаратов 1а) и 1б), 3-метил-1H-индол-5-карбальдегид [Helv.Chim. Acta, (1968), т.51(7), сс.1616-28] подвергают взаимодействию с (1,2-диэтокси-2-оксоэтил)трифенилфосфония хлоридом в дихлорметане в присутствии тетраметилгуанидина с получением этилового эфира (Z)-2-этокси-3-(3-метил-1Н-индол-5-ил)акриловой кислоты, который последовательно гидрируют с получением вещества, указанного в заголовке, в виде бесцветного масла. МС:(М+Н)+276,3. Препарат 5 Этиловый эфир рац-2-этокси-3-(2-метил-1Н-индол-5-ил)пропионовой кислоты а) 2-Метил-1Н-индол-5-карбальдегид Смесь 3,9 г 2-метил-1Н-индол-5-карбонитрила [Journal of Organic Chemistry, (1994), т.9(21), сс.6372-7], 7,22 г моногидрата гипофосфита натрия и 2,60 г Ni-Ренея в смеси 110 мл уксусной кислоты (50%) / пиридин, 1:1, перемешивают при 45°С в течение 75 мин. После охлаждения до комнатной температуры, реакционную смесь фильтруют (дикалит), затем фильтрат выливают в смесь воды со льдом и экстрагируют 3 раза этилацетатом. Объединенные органические фазы промывают водой, высушивают над сульфатом магния и упаривают. Остаток кристаллизуют из н-гептана с получением 3,19 г 2-метил-1Н-индол-5-карбальдегида в виде бледно-красного твердого вещества. МС:(М)+159,1. б) Этиловый эфир рац-2-этокси-3-(2-метил-1Н-индол-5-ил)пропионовой кислоты Аналогично методике, описанной для препаратов 1а) и 1б), 2-метил-1Н-индол-5-карбальдегид подвергают взаимодействию с (1,2-диэтокси-2-оксоэтил)трифенилфосфония хлоридом в дихлорметане в присутствии тетраметилгуанидина с получением этилового эфира (Z)-2-этокси-3-(2-метил-1Н-индол-5-ил)акриловой кислоты, который последовательно гидрируют с получением вещества, указанного в заголовке, в виде бесцветного масла. МС:(М+Н)+276,3. Препарат 6 Метиловый эфир рац-3-(1Н-индол-5-ил)-2-пропоксипропионовой кислоты а) 1-(2-триметилсиланилэтоксиметил)-1Н-индол-5-карбальдегид К перемешиваемой суспензии 5,45 г гидрида натрия (55% в минеральном масле) в 100 мл N,N-диметилформамида добавляют при 0-5°С раствор 16,8 г индол-5-карбоксальдегида в 100 мл N,N-диметилформамида и затем 24,46 мл 2-(триметилсилил)этоксиметилхлорида. Реакционную смесь затем нагревают до температуры окружающей среды и продолжают перемешивание в течение 16 часов. Затем ее выливают в лед, нейтрализуют до рН 4 с помощью 1 н. HCl и экстрагируют трижды этилацетатом. Объединенные органические фазы промывают водой, высушивают над сульфатом магния и упаривают с получением коричневого масла, которое очищают хроматографией (силикагель, элюент: градиент н-гептан / EtOAc) с получением 25,52 г 1-(2-триметилсиланилэтоксиметил)-1 Н-индол-5-карбальдегид в виде светло-желтого масла. МС:(М)+275,2. б) Этиловый эфир 3-гидрокси-2-пропокси-3-[1-(2-триметилсиланил-этоксиметил)-1Н-индол-5-ил]пропионовой кислоты (смесь диастереомеров) К раствору 30 ммолей диизопропиламида лития в 50 мл тетрагидрофурана добавляют при -78°С 4,39 г этилового эфира пропоксиуксусной кислоты [Journal of the American Chemical Society, (1996), т.118(41), сс.9901-9907], растворенного в 25 мл тетрагидрофурана; после 30 мин перемешивания при -78°С добавляют раствор 3,31 г 1-(2-триметилсиланилэтоксиметил)-1Н-индол-5-карбальдегида в 30 мл тетрагидрофурана и еще через 30 мин реакционную смесь гасят добавлением 25 мл Н2О и дают нагреться до температуры окружающей среды. Затем ее экстрагируют этилацетатом и объединенные органические фазы промывают водой, высушивают над сульфатом магния и упаривают с получением бледно-коричневого масла, которое очищают хроматографией (силикагель, градиент н-гептан / EtOAc) с получением этилового эфира 4,65 г 3-гидрокси-2-пропокси-3-[1-(2-триметилсиланилэтоксиметил)-1Н-индол-5-ил]пропионовой кислоты (смесь диастереомеров) в виде желтого масла. МС:(М+NH4)+439,4. в) Этиловый эфир 2-пропокси-3-[1-(2-триметилсиланилэтоксиметил)-1Н-индол-5-ил]-(Z,Е)-акриловой кислоты 3,67 г этилового эфира 3-гидрокси-2-пропокси-3-[1-(2-триметилсиланилэтоксиметил)-1Н-индол-5-ил]пропионовой кислоты (смесь диастереомеров) растворяют в 100 мл дихлорметана и охлаждают до 0°С; затем проводят обработку 1,40 мл триэтиламина, после чего добавляют 0,67 мл метансульфонилхлорида. После двух часов перемешивания при 0°С, реакционную смесь выливают в холодный раствор гидрокарбоната натрия в воде и экстрагируют этилацетатом с получением, после высушивания над сульфатом магния и упаривания, 3,65 г неочищенного этилового эфира 3-хлор-2-пропокси-3-[1-(2-триметилсиланилэтоксиметил)-1Н-индол-5-ил]пропионовой кислоты (смесь диастереомеров). Этот неочищенный промежуточный продукт растворяют в 100 мл тетрагидрофурана и обрабатывают 3,82 г 1,8-диазабицикло[5.4.0.]ундец-7-ена(1,5,5). Реакционную смесь затем перемешивают в течение 8 часов при 50°С, после чего выливают в лед, нейтрализуют до рН 4 с помощью 1 н. HCl и трижды экстрагируют этилацетатом. Объединенные органические фазы промывают водой, высушивают над сульфатом магния и упаривают с получением светло-коричневого масла, которое очищают хроматографией (силикагель, градиент н-гептан / EtOAc) с получением 1,84 г этилового эфира 2-пропокси-3-[1-(2-триметилсиланилэтоксиметил)-1Н-индол-5-ил]-(Z,Е)-акриловой кислоты в виде светло-желтого масла. МС:(М+Н)+404,5. г) Этиловый эфир рац-2-пропокси-3-[1-(2-триметилсиланилэтоксиметил)-1Н-индол-5-ил]пропионовой кислоты 1,81 г этилового эфира 2-пропокси-3-[1-(2-триметилсиланилэтоксиметил)-1Н-индол-5-ил]-(Z,Е)-акриловой кислоты гидрируют над 0,45 г Pd-C 10% в 75 мл этанола; через 90 мин реакционную смесь фильтруют и упаривают с получением 1,67 г неочищенного продукта, который очищают хроматографией (силикагель, градиент н-гептан / EtOAc) с получением этилового эфира 1,43 г рац-2-пропокси-3-[1-(2-триметилсиланилэтоксиметил)-1Н-индол-5-ил]-пропионовой кислоты в виде светло-желтого масла. МС:(М+Н)+406,4. д) рац-2-пропокси-3-[1-(2-триметилсиланилэтоксиметил)-1Н-индол-5-ил]-пропионовая кислота Растворяют 1,23 г этилового эфира рац-2-пропокси-3-[1-(2-триметилсиланилэтоксиметил)-1Н-индол-5-ил]пропионовой кислоты в 40 мл диоксана, затем обрабатывают 7,6 мл раствора гидроксида лития (1 молярный раствор в воде) и перемешивают в течение 16 часов при температуре окружающей среды. Экстрагирование реакционной смеси Н2О/HCl и дихлорметаном, с последующим высушиванием органической фазы сульфатом натрия и упариванием приводит к 1,27 г сырого продукта, который очищают хроматографией (силикагель, градиент н-гептан / EtOAc) с получением 0,98 г рац-2-пропокси-3-[1-(2- триметилсиланилэтоксиметил)-1Н-индол-5-ил]-пропионовой кислоты в виде светло-желтого масла. МС:(М-Н)–376,3. е) рац-3-(1Н-индол-5-ил)-2-пропоксипропионовая кислота Растворяют 0,96 г рац-2-пропокси-3-[1-(2-триметилсиланилэтоксиметил)-1Н-индол-5-ил]пропионовой кислоты в 40 мл N,N-диметилформамида. Добавляют 0,94 мл этилендиамина, после чего добавляют 7,63 мл раствора фторида тетрабутиламмония (1 молярный раствор в тетрагидрофуране); затем к реакционной смеси прибавляют небольшое количество молекулярных сит и смесь нагревают до 80°С. Через 6 часов смесь охлаждают до к.т., фильтруют, фильтрат выливают в ледяную воду и трижды экстрагируют дихлорметаном. Органические фазы промывают водой, высушивают над MgSO4, вновь фильтруют и упаривают. Сырую рац-3-(1Н-индол-5-ил)-2-пропокси-пропионовую кислоту используют на следующей стадии без очистки. ж) Метиловый эфир рац-3-(1Н-индол-5-ил)-2-пропоксипропионовой кислоты Сырую рац-3-(1Н-индол-5-ил)-2-пропоксипропионовую кислоту растворяют в 5 мл N,N-диметилформамида, затем последовательно добавляют 0,54 г гидрокарбоната натрия и 0,32 мл метилиодида. Перемешивают смесь при к.т. в течение 7 часов, затем выливают в ледяную воду и трижды экстрагируют этилацетатом; после высушивания над MgSO4 и упаривания, получают сырой продукт, который очищают хроматографией (силикагель, градиент н-гептан / EtOAc) с получением 0,47 г метилового эфира рац-3-(1Н-индол-5-ил)-2-пропоксипропионовой кислоты в виде светло-желтого масла. MC:(M)+261,1 Препарат 7 Метиловый эфир рац-3-(1Н-индол-5-ил)-2-феноксипропионовой кислоты Аналогично методике, описанной для препаратов 1б) и 1ж), указанное в заголовке соединение получают из 1-(2-триметилсиланилэтоксиметил)-1Н-индол-5-карбальдегида [препарат 6а)] и этилового эфира феноксиуксусной кислоты в виде бесцветного масла. МС:(М+Н)+296,2. Препарат 8 Метиловый эфир рац-3-(1Н-индол-5-ил)-2-изопропоксипропионовой кислоты Аналогично методике, описанной для препаратов 1б) и 1ж), указанное в заголовке соединение получают из 1-(2-триметилсиланилэтоксиметил)-1Н-индол-5-карбальдегида [препарат 6а)] и этилового эфира изопропоксиуксусной кислоты [Tetrahedron (1982), т.38(17), сс.2733-9] в виде светло-желтого твердого вещества. МС:(М+Н)+262,1. Препарат 9 Метиловый эфир рац-2-бут-3-енилокси-3-(1Н-индол-5-ил)пропионовой кислоты а) 1-бензолсульфонил-1Н-индол-5-карбальдегид Растворяют 15,8 г индол-5-карбальдегида в 300 мл тетрагидрофурана и охлаждают до 0°С. Затем небольшими порциями прибавляют 5,12 г гидрида натрия (55% в минеральном масле) с последующим медленным добавлением 15,2 мл бензолсульфонилхлорида, капля за каплей. После этого реакционной смеси позволяют нагреться до температуры окружающей среды и продолжают перемешивание в течение 16 часов. Затем ее выливают в лед, нейтрализуют с помощью 1 н. HCl до рН 4 и трижды экстрагируют этилацетатом. Объединенные органические фазы промывают водой, высушивают над сульфатом магния и упаривают с получением сырого продукта, который очищают хроматографией (силикагель, градиент н-гептан / EtOAc) с получением 4,09 г 1-бензолсульфонил-1Н-индол-5-карбальдегида в виде розового твердого вещества. MC:(M)+285,1. б) Этиловый эфир 3-(1-бензолсульфонил-1Н-индол-5-ил)-2-бут-3-енилокси-3-гидроксипропионовой кислоты (смесь диастереомеров) К раствору 17,7 мл диизопропиламида лития (2 молярный раствор в тетрагидрофуране) в 40 мл тетрагидрофурана добавляют раствор 5,61 г этилового эфира бут-3-енилоксиуксусной кислоты [Tetrahedron, (1982), т.38(17), cc.2733-9] в 30 мл тетрагидрофурана при -78°С. После перемешивания в течение 30 мин прибавляют раствор 4,05 г 1-бензолсульфонил-1Н-индол-5-карбальдегида в 30 мл тетрагидрофурана и перемешивание при -78°С продолжают в течение еще 30 мин. Затем реакцию гасят добавлением 50 мл насыщенного раствора хлорида аммония в воде и позволяют ей нагреться до температуры окружающей среды. Затем экстрагируют этилацетатом и объединенные органические фазы промывают водой, высушивают над сульфатом магния и упаривают с получением сырого продукта, который очищают хроматографией (силикагель, градиент н-гептан / EtOAc) с получением 4,37 г этилового эфира 3-(1-бензолсульфонил-1Н-индол-5-ил)-2-бут-3-енилокси-3-гидроксипропионовой кислоты (смесь диастереомеров) в виде бесцветного масла. МС:(М)+443,2. в) Этиловый эфир 3-(1-бензолсульфонил-1Н-индол-5-ил)-2-бут-3-енилокси-(Z,Е)-акриловой кислоты Растворяют 3,87 г этилового эфира 3-(1-бензолсульфонил-1Н-индол-5-ил)-2-бут-3-енилокси-3-гидроксипропионовой кислоты (смесь диастереомеров) в 200 мл бензола и прибавляют 0,16 г п-толуолсульфокислоты; затем смесь перемешивают в течение 16 часов при 80°С. После упаривания растворителя остаток очищают хроматографией (силикагель, градиент н-гептан / дихлорметан) с получением 3,28 г этилового эфира 3-(1-бензолсульфонил-1Н-индол-5-ил)-2-бут-3-енилокси-(Z,Е)-акриловой кислоты в виде светло-желтого масла. МС:(М+Н)+426,1. г) Метиловый эфир рац-2-бут-3-енилокси-3-(1Н-индол-5-ил)пропионовой кислоты Растворяют 2,97 г этилового эфира 3-(1-бензолсульфонил-1Н-индол-5-ил)-2-бут-3-енилокси-(Z,Е)-акриловой кислоты в 100 мл метанола. Затем добавляют 1,70 г магния (0) и реакционную смесь нагревают до 60°С. Через 15 мин ее охлаждают до температуры окружающей среды и перемешивание продолжают в течение 4 часов. Затем упаривают растворитель, а остаток выливают в лед, нейтрализуют при помощи 1 н. HCl до рН 4 и трижды экстрагируют этилацетатом. Объединенные органические фазы промывают водой, высушивают над сульфатом магния и упаривают с получением сырого продукта, который очищают хроматографией (силикагель, градиент н-гептан / EtOAc) с получением 1,60 г метилового эфира рац-2-бут-3-енилокси-3-(1Н-индол-5-ил)-пропионовой кислоты в виде светло-желтого масла. МС: (М+H)+274,2. Препарат 10 Этиловый эфир рац-2-этокси-3-(4-метил-1Н-индол-5-ил)пропионовой кислоты а) Этиловый эфир 3-(3-бром-2-метил-6-нитрофенил)-2-этокси-(Z,Е)-акриловой кислоты Аналогично методике, описанной для препарата 1а), 3-бром-2-метил-6-нитробензальдегид [Европейская патентная заявка (1982), ЕР 54180 А2] вводят в реакцию с (1,2-диэтокси-2-оксоэтил)трифенилфосфония хлоридом в дихлорметане в присутствии тетраметилгуанидина и получают этиловый эфир 3-(3-бром-2-метил-6-нитрофенил)-2-(Z,Е)-этоксиакриловой кислоты в виде светло-желтого масла. МС:(M+H)+358,0; 360,0. б) Этиловый эфир 3-(6-амино-3-бром-2-метилфенил)-2-этокси-(Z,Е)-акриловой кислоты Растворяют 14,25 г (39,8 ммоля) этилового эфира 3-(3-бром-2-метил-6-нитрофенил)-2(Z,Е)-этоксиакриловой кислоты в 150 мл уксусной кислоты. Добавляют небольшими порциями 6,67 г (119,4 ммоля) железного порошка и затем реакционную смесь перемешивают в течение 16 часов. Для завершения реакции ее нагревают при 80°С в течение еще 2 часов, затем охлаждают до комнатной температуры и выливают в раствор гидрокарбоната натрия в Н2О. Добавляют 150 мл этилацетата и смесь интенсивно перемешивают 30 минут, затем фильтруют (дикалит) и экстрагируют (два раза) этилацетатом. Объединенные органические фазы промывают водой, высушивают над сульфатом магния и упаривают с получением сырого продукта, который очищают хроматографией (силикагель, градиент н-гептан / EtOAc) с получением 7,11 г этилового эфира 3-(6-амино-3-бром-2-метилфенил)-2-этокси-(Z,Е)-акриловой кислоты в виде оранжевого твердого вещества. MC:(M+H)+328,1; 330,1. в) Этиловый эфир 3-(6-ацетиламино-3-бром-2-метилфенил)-2-этокси-(Z,Е)-акриловой кислоты Растворяют 6,7 г (20,4 ммоля) этилового эфира 3-(6-амино-3-бром-2-метилфенил)-2-этокси-(Z,Е)-акриловой кислоты в 100 мл дихлорметана; затем добавляют при перемешивании 7,11 мл (51,0 ммоль) триэтиламина. После этого смесь охлаждают до 5°С и по каплям добавляют 1,61 мл (22,5 ммоля) ацетилхлорида. Затем смеси позволяют нагреться до температуры окружающей среды. После перемешивания в течение 90 минут реакционную смесь выливают в ледяную воду и трижды экстрагируют дихлорметаном. Объединенные органические фазы промывают водой, высушивают над сульфатом магния и упаривают с получением сырого продукта, который очищают хроматографией (силикагель, градиент н-гептан / EtOAc) с получением 7,76 г этилового эфира 3-(6-ацетиламино-3-бром-2-метилфенил)-2-этокси-(Z,Е)-акриловой кислоты в виде светло-желтого масла. МС: (М-C2Н5)+340,0; 342,0. г) Этиловый эфир 5-бром-4-метил-1Н-индол-2-карбоновой кислоты Растворяют 7,63 г (20,6 моля) этилового эфира 3-(6-ацетиламино-3-бром-2-метилфенил)-2-этокси-(Z,Е)-акриловой кислоты в 300 мл толуола; затем добавляют 0,36 г (2,06 ммоля) п-толуолсульфокислоты и реакционную смесь кипятят с обратным холодильником при перемешивании в течение 18 часов. После упаривания растворителя остаток растворяют в дихлорметане, добавляют воду и подводят значение рН до рН 8-9. Затем смесь трижды экстрагируют дихлорметаном. Объединенные органические фазы промывают водой, высушивают над сульфатом магния и упаривают с получением 5,43 г сырого этилового эфира 5-бром-4-метил-1Н-индол-2-карбоновой кислоты в виде светло-желтого твердого вещества. MC:(M)+281,0; 283,0. д) 5-Бром-4-метил-1Н-индол-2-карбоновая кислота Растворяют 5,37 г (19,0 молей) этилового эфира 5-бром-4-метил-1Н-индол-2-карбоновой кислоты в 150 мл диоксана; затем добавляют 38,1 мл (38,1 ммоля) раствора гидроксида лития (1 молярный раствор в воде) и реакционную смесь перемешивают в течение 60 часов при комнатной температуре. После упаривания растворителя остаток растворяют в дихлорметане; добавляют воду и подводят значение рН до рН 2-3; затем смесь трижды экстрагируют дихлорметаном. Объединенные органические фазы промывают водой, высушивают над сульфатом магния и упаривают с получением 4,82 г сырой 5-бром-4-метил-1Н-индол-2-карбоновой кислоты в виде грязно-белого твердого вещества. МС:(М-Н)–252,0; 254,0. е) 4-Метил-1Н-индол-5-карбонитрил Растворяют 4,71 г (18,5 ммолей) 5-бром-4-метил-1Н-индол-2-карбоновой кислоты и 5,03 г (56,2 ммоля) цианида меди в 35 мл хинолина и раствор нагревают при 230°С в течение 90 минут. Затем реакционную смесь охлаждают до температуры окружающей среды и выливают в измельченный лед. Подводят значение рН смеси до рН 2-3 и смесь последовательно трижды экстрагируют простым эфиром. Объединенные органические фазы промывают водой, высушивают над сульфатом магния и упаривают с получением сырого продукта, который очищают хроматографией (силикагель, градиент н-гептан / EtOAc) с получением 2,36 г 4-метил-1Н-индол-5-карбонитрила в виде светло-коричневого твердого вещества. MC:(M+H)+157,2. ж) 4-Метил-1Н-индол-5-карбальдегид Аналогично методике, описанной для препарата 1а), 4-метил-1Н-индол-5-карбонитрил вводят в реакцию с моногидратом гипофосфита натрия в присутствии Ni-Ренея в смеси уксусная кислота/пиридин и получают 4-метил-1Н-индол-5-карбальдегид в виде светло-желтого твердого вещества. МС:(М+H)+160,2. з) Этиловый эфир рац-2-этокси-3-(4-метил-1H-индол-5-ил)пропионовой кислоты Аналогично методике, описанной для препаратов 1а) и 1б), 4-метил-1H-индол-5-карбальдегид вводят в реакцию с (1,2-диэтокси-2-оксоэтил)трифенил фосфония хлоридом в дихлорметане в присутствии тетраметилгуанидина и получают этиловый эфир (Z,Е)-2-этокси-3-(4-метил-1Н-индол-5-ил)акриловой кислоты, который последовательно гидрируют с получением соединения, указанного в заголовке, в виде светло-коричневого твердого вещества. МС:(M+NH4)+293,2. Препарат 11 Этиловый эфир рац-2-этокси-3-(1Н-индол-6-ил)пропионовой кислоты Аналогично методике, описанной для препаратов 1а) и 1б), 1Н-индол-6-карбальдегид вводят в реакцию с (1,2-диэтокси-2-оксоэтил)трифенилфосфония хлоридом в дихлорметане в присутствии тетраметилгуанидина и получают этиловый эфир (Z,Е)-2-этокси-3-(1Н-индол-6-ил)акриловой кислоты, который последовательно гидрируют с получением соединения, указанного в заголовке, в виде бесцветного твердого вещества. МС:(М+H)+262,2. б) Получение конечных соединений Общее описание алкилирования индолов с последующим in situ гидролизом (Примеры 1-32, 34) К раствору 1 ммоля индола в 7 мл ДМСО добавляют при 22°С 4 ммоля порошкообразного КОН, продолжают перемешивание в течение 15 мин, после чего добавляют раствор 1,7 моля хлорида или мезилата в 1 мл ДМСО и продолжают перемешивание до завершения реакции (в течение ночи). Темную реакционную смесь подкисляют до рН=3 с помощью муравьиной кислоты и затем распределяют между этилацетатом и насыщенным водным раствором NH4Cl. Водный слой несколько раз экстрагируют этилацетатом, а органический слой несколько раз промывают водой. Объединенные органические слои высушивают, упаривают, а остаток подвергают хроматографии на силикагеле или RP-18 с использованием смеси этилацетат/н-гексан или CH3CN/H2O, соответственно, в различных соотношениях, и получают соединения, охарактеризованные в следующих примерах. Пример 1 рац-2-Этокси-3-[1-(5-метил-2-фенилоксазол-4-илметил)-1Н-индол-5-ил]-пропионовая кислота Исходя из этилового эфира рац-2-этокси-3-(1Н-индол-5-ил)пропионовой кислоты и 4-хлорметил-2-фенил-5-метилоксазола, соединение, указанное в заголовке, получают с выходом 64% в виде бледно-желтого твердого вещества. МС:(М-Н)–403,3. Пример 2 (S)-2-Этокси-3-[1-(5-метил-2-фенилоксазол-4-илметил)-1Н-индол-5-ил]-пропионовая кислота Исходя из метилового эфира (S)-2-этокси-3-(1Н-индол-5-ил)пропионовой кислоты и 4-хлорметил-2-фенил-5-метилоксазола, соединение, указанное в заголовке, получают с выходом 64% в виде бесцветного масла. МС:(М-Н)–403,3. Пример 3 рац-2-Этокси-3-{1-[2-(2-фторфенил)-5-метилоксазол-4-илметил]-1Н-индол-5-ил}пропионовая кислота Исходя из этилового эфира рац-2-этокси-3-(1Н-индол-5-ил)пропионовой кислоты и 4-хлорметил-2-(2-фторфенил)-5-метилоксазола, соединение, указанное в заголовке, получают с выходом 47% в виде желтого твердого вещества. МС:(М+Н)+423,3. Пример 4 рац-3-{1-[2-(2-Хлорфенил)-5-метилоксазол-4-илметил]-1Н-индол-5-ил}-2-этоксипропионовая кислота Исходя из этилового эфира рац-2-этокси-3-(1Н-индол-5-ил)пропионовой кислоты и 4-хлорметил-2-(2-хлорфенил)-5-метилоксазола, соединение, указанное в заголовке, получают с выходом 31% в виде желтого твердого вещества. MC:(M+H)+439,3. Пример 5 (S)-3-{1-[2-(2-Хлорфенил)-5-метилоксазол-4-илметил]-1Н-индол-5-ил}-2-этоксипропионовая кислота Исходя из метилового эфира (S)-2-этокси-3-(1Н-индол-5-ил)пропионовой кислоты и 4-хлорметил-2-(2-хлорфенил)-5-метилоксазола, соединение, указанное в заголовке, получают с выходом 56% в виде бледно-коричневого аморфного твердого вещества. МС:(М-Н)–437,2. Пример 6 рац-2-Этокси-3-[1-(5-метил-2-о-толилоксазол-4-илметил)-1Н-индол-5-ил]-пропионовая кислота Исходя из этилового эфира рац-2-этокси-3-(1Н-индол-5-ил)пропионовой кислоты и 4-хлорметил-5-метил-2-о-толилоксазола, соединение, указанное в заголовке, получают с выходом 43% в виде бледно-коричневого твердого вещества. MC:(M+H)+419,3. Пример 7 рац-2-Этокси-3-{1-[2-(2-метоксифенил)-5-метилоксазол-4-илметил1-1Н-индол-5-ил}-пропионовая кислота Исходя из этилового эфира рац-2-этокси-3-(1Н-индол-5-ил)пропионовой кислоты и 4-хлорметил-2-(2-метоксифенил)-5-метилоксазола, соединение, указанное в заголовке, получают с выходом 56% в виде бледно-желтого твердого вещества. МС:(М+Н)+435,3. Пример 8 (S)-2-Этокси-3-{1-[2-(2-метоксифенил)-5-метилоксазол-4-илметил]-1Н-индол-5-ил}-пропионовая кислота Исходя из метилового эфира (S)-2-этокси-3-(1Н-индол-5-ил)пропионовой кислоты и 4-хлорметил-2-(2-метоксифенил)-5-метилоксазола, соединение, указанное в заголовке, получают с выходом 66% в виде бледно-желтого твердого вещества. МС:(М-Н)–433,2. Пример 9 рац-2-Этокси-3-{1-[2-(2-изопропоксифенил)-5-метилоксазол-4-илметил]-1Н-индол-5-ил}пропионовая кислота Исходя из этилового эфира рац-2-этокси-3-(1Н-индол-5-ил)пропионовой кислоты и 4-хлорметил-2-(2-изопропоксифенил)-5-метилоксазола, соединение, указанное в заголовке, получают с выходом 60% в виде коричневого масла. МС:(М+H)+463,3. Пример 10 рац-3-{1-[2-(3-Хлорфенил)-5-метилоксазол-4-илметил]-1Н-индол-5-ил}-2-этокси-пропионовая кислота Исходя из этилового эфира рац-2-этокси-3-(1Н-индол-5-ил)пропионовой кислоты и 4-хлорметил-2-(3-хлорфенил)-5-метилоксазола, соединение, указанное в заголовке, получают с выходом 21% в виде желтого твердого вещества. МС:(М+Н)+439,3. Пример 11 рац-2-Этокси-3-{1-[2-(4-этилфенил)-5-метилоксазол-4-илметил]-1Н-индол-5-ил}-пропионовая кислота Исходя из этилового эфира рац-2-этокси-3-(1Н-индол-5-ил)пропионовой кислоты и 4-хлорметил-2-(4-этилфенил)-5-метилоксазола, соединение, указанное в заголовке, получают с выходом 41% в виде желтого твердого вещества. МС:(M+H)+433,4. Пример 12 (S)-2-Этокси-3-{1-[2-(4-этилфенил)-5-метилоксазол-4-илметил]-1Н-индол-5-ил}-пропионовая кислота Исходя из метилового эфира (S)-2-этокси-3-(1Н-индол-5-ил)пропионовой кислоты и 4-хлорметил-2-(4-этилфенил)-5-метилоксазола, соединение, указанное в заголовке, получают с выходом 47% в виде бесцветного твердого вещества. МС:(М-Н)–431,3. Пример 13 (R)-2-Этокси-3-{1-[2-(4-этилфенил)-5-метилоксазол-4-илметил]-1Н-индол-5-ил}-пропионовая кислота Исходя из этилового эфира (R)-2-этокси-3-(1Н-индол-5-ил)пропионовой кислоты и 4-хлорметил-2-(4-этилфенил)-5-метилоксазола, соединение, указанное в заголовке, получают с выходом 60% в виде бледно-желтого твердого вещества. МС:(М-Н)–431,2. Пример 14 рац-2-Этокси-3-{1-[2-(4-изопропилфенил)-5-метилоксазол-4-илметил]-1Н-индол-5-ил}-пропионовая кислота Исходя из этилового эфира рац-2-этокси-3-(1Н-индол-5-ил)пропионовой кислоты и 4-хлорметил-2-(4-изопропилфенил)-5-метилоксазола, соединение, указанное в заголовке, получают с выходом 48% в виде желтого твердого вещества. МС: (М+Н)+447,4. Пример 15 рац-3-{1-[2-(4-трет-Бутилфенил)-5-метилоксазол-4-илметил]-1Н-индол-5-ил}-2-этоксипропионовая кислота Исходя из этилового эфира рац-2-этокси-3-(1Н-индол-5-ил)пропионовой кислоты и 4-хлорметил-2-(4-трет-бутилфенил)-5-метилоксазола, соединение, указанное в заголовке, получают с выходом 50% в виде коричневого масла. MC:(M+H)+461,3. Пример 16 рац-2-Этокси-3-{1-[2-(4-фторфенил)-5-метилоксазол-4-илметил]-1Н-индол-5-ил}-пропионовая кислота Исходя из этилового эфира рац-2-этокси-3-(1Н-индол-5-ил)пропионовой кислоты и 4-хлорметил-2-(4-фторфенил)-5-метилоксазола, соединение, указанное в заголовке, получают с выходом 39% в виде бесцветного твердого вещества. МС:(М+Н)+423,3. Пример 17 рац-2-Этокси-3-{1-[5-метил-2-(4-трифторметилфенил)оксазол-4-илметил]-1Н-индол-5-ил}пропионовая кислота Исходя из этилового эфира рац-2-этокси-3-(1Н-индол-5-ил)пропионовой кислоты и 4-хлорметил-5-метил-2-(4-трифторметилфенил)оксазола, соединение, указанное в заголовке, получают с выходом 27% в виде желтого твердого вещества. МС:(М+H)+473,2. Пример 18 (S)-2-Этокси-3-{1-[5-метил-2-(4-трифторметилфенил)оксазол-4-илметил]-1Н-индол-5-ил}пропионовая кислота Исходя из метилового эфира (S)-2-этокси-3-(1Н-индол-5-ил)пропионовой кислоты и 4-хлорметил-5-метил-2-(4-трифторметилфенил)оксазола, соединение, указанное в заголовке, получают с выходом 50% в виде бледно-желтого твердого вещества. МС:(М-Н)–471,1. Пример 19 рац-3-{1-[2-(3.5-Диметилфенил)-5-метилоксазол-4-илметил]-1Н-индол-5-ил}-2-этоксипропионовая кислота Исходя из этилового эфира рац-2-этокси-3-(1Н-индол-5-ил)пропионовой кислоты и 4-хлорметил-2-(3,5-диметилфенил)-5-метилоксазола, соединение, указанное в заголовке, получают с выходом 45% в виде бледно-желтого твердого вещества. МС:(M+H)+433,4. Пример 20 рац-3-{1-[2-(3,5-Диметоксифенил)-5-метилоксазол-4-илметил]-1Н-индол-5-ил}-2-этоксипропионовая кислота Исходя из этилового эфира рац-2-этокси-3-(1Н-индол-5-ил)пропионовой кислоты и 4-хлорметил-2-(3,5-диметоксифенил)-5-метилоксазола, соединение, указанное в заголовке, получают с выходом 50% в виде бесцветного твердого вещества. МС:(М-Н)–463,2. Пример 21 (S)-3-{1-[2-(3.5-Диметоксифенил)-5-метилоксазол-4-илметил]-1Н-индол-5-ил}-2-этоксипропионовая кислота Исходя из метилового эфира (S)-2-этокси-3-(1Н-индол-5-ил)пропионовой кислоты и 4-хлорметил-2-(3,5-диметоксифенил)-5-метилоксазола, соединение, указанное в заголовке, получают с выходом 43% в виде бледно-розового твердого вещества. МС:(М-Н)–463,2. Пример 22 рац-3-{1-[2-(3,5-Дифторфенил)-5-метилоксазол-4-илметил]-1Н-индол-5-ил}-2-этоксипропионовая кислота Исходя из этилового эфира рац-2-этокси-3-(1Н-индол-5-ил)пропионовой кислоты и 4-хлорметил-2-(3,5-дифторфенил)-5-метилоксазола, соединение, указанное в заголовке, получают с выходом 20% в виде коричневого масла. MC:(M+H)+441,3. Пример 23 рац-3-{1-[2-(3,5-Дихлорфенил)-5-метилоксазол-4-илметил]-1Н-индол-5-ил}-2-этоксипропионовая кислота Исходя из этилового эфира рац-2-этокси-3-(1Н-индол-5-ил)пропионовой кислоты и 4-хлорметил-2-(3,5-дихлорфенил)-5-метилоксазола, соединение, указанное в заголовке, получают с выходом 4% в виде бледно-желтого твердого вещества. МС:(М+Н)+473,1 и 475,2. Пример 24 рац-2-Этокси-3-{1-[2-(4-фтор-3-метилфенил)-5-метилоксазол-4-илметил]-1Н-индол-5-ил}пропионовая кислота Исходя из этилового эфира рац-2-этокси-3-(1Н-индол-5-ил)пропионовой кислоты и 4-хлорметил-2-(4-фтор-3-метилфенил)-5-метилоксазола, соединение, указанное в заголовке, получают с выходом 48% в виде бесцветного твердого вещества. MC:(M+H)+437,3. Пример 25 (S)-2-Этокси-3-{1-[2-(4-фтор-3-метилфенил)-5-метилоксазол-4-илметил]-1Н-индол-5-ил}пропионовая кислота Исходя из метилового эфира (S)-2-этокси-3-(1Н-индол-5-ил)пропионовой кислоты и 4-хлорметил-2-(4-фтор-3-метилфенил)-5-метилоксазола, соединение, указанное в заголовке, получают с выходом 58% в виде бледно-желтого твердого вещества. МС:(М-Н)– 435,2. Пример 26 рац-2-Этокси-3-[1-(5-метил-2-тиофен-2-ил-оксазол-4-илметил)-1Н-индол-5-ил]-пропионовая кислота Исходя из этилового эфира рац-2-этокси-3-(1Н-индол-5-ил)пропионовой кислоты и 4-хлорметил-5-метил-2-тиофен-2-ил-оксазола, соединение, указанное в заголовке, получают с выходом 31% в виде желтого твердого вещества. МС:(М+H)+411,2. Пример 27 рац-2-Этокси-3-{1-[2-(3,4.5-триметоксифенил)-5-метилоксазол-4-илметил]-1Н-индол-5-ил)пропионовая кислота Исходя из этилового эфира рац-2-этокси-3-(1Н-индол-5-ил)пропионовой кислоты и 4-хлорметил-5-метил-2-(3,4,5-триметоксифенил)оксазола, соединение, указанное в заголовке, получают с выходом 3% в виде белого твердого вещества. МС:(M+H)+495,2. Пример 28 рац-2-Этокси-3-[1-(2-фенилоксазол-4-илметил)-1Н-индол-5-ил]пропионовая кислота Исходя из этилового эфира рац-2-этокси-3-(1Н-индол-5-ил)пропионовой кислоты и 4-хлорметил-2-фенилоксазола, соединение, указанное в заголовке, получают с выходом 80% в виде коричневого масла. MC:(M+H)+391,1. Пример 29 рац-2-Этокси-3-[1-(2-фенилтиазол-4-илметил)-1Н-индол-5-ил]пропионовая кислота Исходя из этилового эфира рац-2-этокси-3-(1Н-индол-5-ил)пропионовой кислоты и 4-хлорметил-2-фенилтиазола, соединение, указанное в заголовке, получают с выходом 64% в виде коричневого масла. МС:(М+Н)+407,3. Пример 30 рац-2-Этокси-3-[1-(5-метил-2-фенилтиазол-4-илметил)-1Н-индол-5-ил]пропионовая кислота Исходя из этилового эфира рац-2-этокси-3-(1Н-индол-5-ил)пропионовой кислоты и 4-бромметил-5-метил-2-фенилтиазола, соединение, указанное в заголовке, получают с выходом 1% в виде желтого масла. MC:(M+H)+421,2. Пример 31 рац-3-{1-[2-(4-Хлорфенил)тиазол-4-илметил]- 1Н-индол-5-ил}-2-этоксипропионовая кислота Исходя из этилового эфира рац-2-этокси-3-(1Н-индол-5-ил)пропионовой кислоты и 4-(хлорметил)-2-(п-хлорфенил)тиазола, соединение, указанное в заголовке, получают с выходом 23% в виде коричневого масла. MC:(M+H)+441,3. Пример 32 (Z)-2-Метокси-3-[1-(5-метил-2-фенилоксазол-4-илметил)-1Н-индол-5-ил]-акриловая кислота Исходя из бензилового эфира (Z)-3-(1Н-индол-5-ил)-2-метоксиакриловой кислоты и 4-хлорметил-2-фенил-5-метилоксазола, соединение, указанное в заголовке, получают с выходом 75% в виде грязно-белого твердого вещества. МС:(М+Н)+389,2. Пример 33 рац-2-Метокси-3-[1-(5-метил-2-фенилоксазол-4-илметил)-1Н-индол-5-ил]-пропионовой кислота Суспензию 80 мг (Z)-2-метокси-3-[1-(5-метил-2-фенилоксазол-4-илметил)-1Н-индол-5-ил]акриловой кислоты в 5 мл метанола и 2 мл дихлорметана и 30 мг Pd/C (10%) подвергают гидрированию при 22°С и 1 бар до прекращения поглощения водорода (3 ч). Смесь фильтруют, фильтрат упаривают и остаток подвергают препаративной хроматографии высокого давления (ЖХВД) (RP-18, CH3CN/H2O, градиент) с получением 49 мг соединения, указанного в заголовке, в виде желтого масла. МС:(М-Н)–389,1. Пример 34 (Z)-2-Метокси-3-{1-[2-(5-метил-2-фенилоксазол-4-ил)этил]-1Н-индол-5-ил}-акриловая кислота Исходя из бензилового эфира (Z)-3-(1Н-индол-5-ил)-2-метоксиакриловой кислоты и 2-(5-метил-2-фенилоксазол-4-ил)этилового эфира метансульфоновой кислоты, соединение, указанное в заголовке, получают с выходом 5% в виде бесцветного твердого вещества. МС:(М+Н)+403,4. Пример 35 рац-2-Метокси -3-{1-[2-(5-метил-2-фенилоксазол-4-ил)этил]-1Н-индол-5-ил}-пропионовая кислота Суспензию 9 мг (Z)-2-Метокси-3-{1-[2-(5-метил-2-фенилоксазол-4-ил)-этил]-1Н-индол-5-ил}акриловой кислоты в 2 мл метанола и 1 мл дихлорметана и 6 мг Pd/C (10%) подвергают гидрированию при 22°С и 1 бар до прекращения поглощения водорода (2 ч). Смесь фильтруют, фильтрат упаривают и остаток подвергают ЖХВД (RP-18, СН3СН/Н2О, градиент) с получением 7 мг соединения, указанного в заголовке, в виде бесцветного масла. МС:(М-Н)–403,3. Пример 36 рац-2-Этокси-3-{1-[2-(4-изопропилфенил)-5-метилоксазол-4-илметил]-3-метил-1Н-индол-5-ил}пропионовая кислота а) Этиловый эфир рац-2-этокси-3-{1-[2-(4-изопропилфенил)-5-метил-оксазол-4-илметил]-3-метил-1Н-индол-5-ил}пропионовой кислоты 0,28 г (1,0 ммоль) этилового эфира рац-2-этокси-3-(3-метил-1Н-индол-5-ил)пропионовой кислоты (препарат 4) и 0,30 г (1,2 ммоля) 4-хлорметил-2-(4-изопропилфенил)-5-метилоксазола растворяют под аргоном в 5,0 мл N,N-диметилформамида; добавляют 0,048 г (1,1 моля) гидрида натрия (55% в минеральном масле) и затем перемешивают реакционную смесь в течение 48 часов при температуре окружающей среды. Затем ее разбавляют водой и экстрагируют простым эфиром. Объединенные органические фазы высушивают над MgSO4 и упаривают. Образующийся остаток очищают экспресс-хроматографией (силикагель; элюент: градиент гексана в этилацетате) и получают 0,32 г (67%) этилового эфира рац-2-этокси-3-{1-[2-(4-изопропилфенил)-5-метилоксазол-4-илметил]-3-метил-1H-индол-5-ил}пропионовой кислоты в виде бесцветного масла. МС:(M+H)+489,5. б) рац-2-Этокси-3-{1-[2-(4-изопропилфенил)-5-метилоксазол-4-илметил]-3-метил-1Н-индол-5-ил} пропионовая кислота Растворяют этиловый эфир рац-2-этокси-3-{1-[2-(4-изопропилфенил)-5-метилоксазол-4-илметил]-3-метил-1Н-индол-5-ил }пропионовой кислоты (310 мг, 0,63 ммоля) в 5 мл диоксана, затем медленно прибавляют 0,95 мл раствора LiOH (1 н. раствор в воде) при комнатной температуре. Полученную смесь перемешивают в течение 48 часов и затем выливают в лед, нейтрализуют до рН 4 с помощью 1 н. HCl и трижды экстрагируют дихлорметаном. Объединенные органические фазы промывают водой, высушивают над сульфатом магния и упаривают; сырой продукт очищают хроматографией (силикагель, элюент: градиент дихлорметана / в метаноле) с получением 210 мг (72%) рац-2-этокси-3-{1-[2-(4-изопропилфенил)-5-метилоксазол-4-илметил]-3-метил-1Н-индол-5-ил}пропионовой кислоты в виде бесцветного твердого вещества. МС:(М-Н)–459,4. Пример 37 рац-2-Этокси-3-{3-метил-1-[5-метил-2-(4-трифторметилфенил)оксазол-4-илметил]-1Н-индол-5-ил}пропионовая кислота По аналогии с методиками, описанными в Примерах 36а) и 36б), этиловый эфир рац-2-этокси-3-(3-метил-1Н-индол-5-ил)пропионовой кислоты (препарат 4) вводят в реакцию с 4-хлорметил-5-метил-2-(4-трифторметилфенил)оксазолом с получением этилового эфира рац-2-этокси-3-{3-метил-1-[5-метил-2-(4-трифторметилфенил)оксазол-4-илметил]-1Н-индол-5-ил}пропионовой кислоты, который последовательно омыляют с получением соединения, указанного в заголовке, в виде бесцветного масла. МС:(М-Н)–485,4. Пример 38 рац-3-{1-[2-(2-Хлорфенил)-5-метилоксазол-4-илметил]-3-метил-1Н-индол-5-ил}-2-этоксипропионовая кислота По аналогии с методиками, описанными в Примерах 36а) и 36б), этиловый эфир рац-2-этокси-3-(3-метил-1Н-индол-5-ил)пропионовой кислоты (препарат 4) вводят в реакцию с 4-хлорметил-2-(2-хлорфенил)-5-метилоксазолом с получением этилового эфира рац-3-{1-[2-(2-хлорфенил)-5-метилоксазол-4-илметил]-3-метил-1Н-индол-5-ил}-2-этоксипропионовой кислоты, который последовательно омыляют с получением соединения, указанного в заголовке, в виде бесцветного твердого вещества. МС:(М-Н)–451,2. Пример 39 рац-2-Этокси-3-{1-[2-(4-фтор-3-метилфенил)-5-метилоксазол-4-илметил]-3-метил-1Н-индол-5-ил} пропионовая кислота По аналогии с методиками, описанными в Примерах 36а) и 36б), этиловый эфир рац-2-этокси-3-(3-метил-1Н-индол-5-ил)пропионовой кислоты (препарат 4) вводят в реакцию с 4-хлорметил-2-(4-фтор-3-метилфенил)-5-метилоксазолом с получением этилового эфира рац-2-этокси-3-{1-[2-(4-фтор-3-метилфенил)-5-метилоксазол-4-илметил]-3-метил-1Н-индол-5-ил}пропионовой кислоты, который последовательно омыляют с получением соединения, указанного в заголовке, в виде бесцветного твердого вещества. МС:(М-Н)–449,3. Пример 40 рац-2-Этокси-3-{2-метил-1-[5-метил-2-(4-трифторметилфенил)оксазол-4-илметил]-1Н-индол-5-ил}пропионовая кислота По аналогии с методиками, описанными в Примерах 36а) и 36б), этиловый эфир рац-2-этокси-3-(2-метил-1Н-индол-5-ил)пропионовой кислоты (препарат 5) вводят в реакцию с 4-хлорметил-5-метил-2-(4-трифторметилфенил)оксазолом с получением этилового эфира рац-2-этокси-3-{2-метил-1-[5-метил-2-(4-трифторметилфенил)оксазол-4-илметил]-1Н-индол-5-ил}пропионовой кислоты, который последовательно омыляют с получением соединения, указанного в заголовке, в виде бесцветного масла. МС:(М-Н)– 485,4. Пример 41 рац-2-Этокси-3-{1-[2-(4-изопропилфенил)-5-метилоксазол-4-илметил]-2-метил-1Н-индол-5-ил}пропионовая кислота По аналогии с методиками, описанными в Примерах 36а) и 36б), этиловый эфир рац-2-этокси-3-(2-метил-1Н-индол-5-ил)пропионовой кислоты (препарат 5) вводят в реакцию с 4-хлорметил-2-(4-изопропилфенил)-5-метилоксазолом с получением этилового эфира рац-2-этокси-3-{1-[2-(4-изопропилфенил)-5-метил-оксазол-4-илметил]-2-метил-1Н-индол-5-ил}пропионовой кислоты, который последовательно омыляют с получением соединения, указанного в заголовке, в виде бесцветного масла. МС:(М-Н)–459,4. Пример 42 рац-2-Этокси-3-{1-[2-(4-фтор-3-метилфенил)-5-метилоксазол-4-илметил]-2-метил-1Н-индол-5-ил}пропионовая кислота По аналогии с методиками, описанными в Примерах 36а) и 36б), этиловый эфир рац-2-этокси-3-(2-метил-1Н-индол-5-ил)пропионовой кислоты (препарат 5) вводят в реакцию с 4-хлорметил-2-(4-фтор-3-метилфенил)-5-метилоксазолом с получением этилового эфира рац-2-этокси-3-{1-[2-(4-фтор-3-метилфенил)-5-метилоксазол-4-илметил]-2-метил-1Н-индол-5-ил}пропионовой кислоты, который последовательно омыляют с получением соединения, указанного в заголовке, в виде бесцветного масла. МС:(М+H)+451,3 Пример 43 рац-3-{1-[2-(2-Хлорфенил)-5-метилоксазол-4-илметил1-2-метил-1Н-индол-5-ил}-2-этоксипропионовая кислота По аналогии с методиками, описанными в Примерах 36а) и 36б), этиловый эфир рац-2-этокси-3-(2-метил-1Н-индол-5-ил)пропионовой кислоты (препарат 5) вводят в реакцию с 4-хлорметил-2-(2-хлорфенил)-5-метилоксазолом с получением этилового эфира рац-3-{1-[2-(2-хлорфенил)-5-метилоксазол-4-илметил]-2-метил-1Н-индол-5-ил}-2-этоксипропионовой кислоты, который последовательно омыляют с получением соединения, указанного в заголовке, в виде бесцветного твердого вещества. МС:(М-Н)–451,2 Пример 44 рац-2-Этокси-3-[2-метил-1-(2-фенилтиазол-4-илметил)-1Н-индол-5-ил]-пропионовая кислота 0,28 г (1,0 ммоль) этилового эфира рац-2-этокси-3-(2-метил-1Н-индол-5-ил)пропионовой кислоты (препарат 5) вводят в реакцию с 0,23 г (1,1 ммоля) 4-хлорметил-2-фенилтиазола в 5 мл N,N-диметилформамида в присутствии 0,09 г (2,0 ммоля) гидрида натрия (55% в минеральном масле) при к.т. в течение 16 часов. Затем реакционную смесь разбавляют водой и экстрагируют дихлорметаном. Объединенные органические фазы высушивают над MgSO4 и упаривают. Образующийся остаток очищают экспресс-хроматографией (силикагель; элюент: градиент н-гептана и этилацетата) и получают 0,38 г (90%) рац-2-этокси-3-[2-метил-1-(2-фенилтиазол-4-илметил)-1Н-индол-5-ил]-пропионовой кислоты в виде светло-коричневого твердого вещества. МС:(М-Н)–419,2. Пример 45 рац-3-{1-[2-(4-трет-Бутилфенил)оксазол-4-илметил]-2-метил-1Н-индол-5-ил}-2-этоксипропионовая кислота По аналогии с методикой, описанной в Примере 44, этиловый эфир рац-2-этокси-3-(2-метил-1Н-индол-5-ил)пропионовой кислоты (препарат 5) вводят в реакцию с 2-(4-трет-бутилфенил)-4-хлорметилоксазолом с получением рац-3-{1-[2-(4-трет-бутилфенил)оксазол-4-илметил]-2-метил-1Н-индол-5-ил}-2-этокси-пропионовой кислоты в виде светло-коричневого твердого вещества. МС:(М-Н)–459,4. Пример 46 рац-3-[1-(5-Метил-2-о-толилоксазол-4-илметил)-1Н-индол-5-ил]-2-пропоксипропионовая кислота По аналогии с методикой, описанной в Примере 44, метиловый эфир рац-3-(1Н-индол-5-ил)-2-пропоксипропионовой кислоты (препарат 6) вводят в реакцию с 4-хлорметил-5-метил-2-о-толилоксазолом с получением рац-3-[1-(5-метил-2-о-толилоксазол-4-илметил)-1Н-индол-5-ил]-2-пропоксипропионовой кислоты в виде светло-коричневого масла. МС:(М-Н)–431,3. Пример 47 рац-3-{1-[2-(2-Метоксифенил)-5-метилоксазол-4-илметил]-1Н-индол-5-ил}-2-пропоксипропионовая кислота По аналогии с методикой, описанной в Примере 44, метиловый эфир рац-3-(1Н-индол-5-ил)-2-пропоксипропионовой кислоты (препарат 6) вводят в реакцию с 4-хлорметил-2-(2-метоксифенил)-5-метилоксазолом с получением рац-3-{1-[2-(2-метоксифенил)-5-метилоксазол-4-илметил]-1Н-индол-5-ил}-2-пропокси-пропионовой кислоты в виде бледно-желтого твердого вещества. МС:(М-Н)–447,3. Пример 48 рац-3 – {1-[5-Метил-2-(4-трифторметилфенил)оксазол-4-илметил]-1Н-индол-5-ил}-2-пропоксипропионовой кислота По аналогии с методикой, описанной в Примере 44, метиловый эфир рац-3-(1Н-индол-5-ил)-2-пропоксипропионовой кислоты (препарат 6) вводят в реакцию с 4-хлорметил-5-метил-2-(4-трифторметилфенил)оксазолом с получением рац-3-{1-[5-метил-2-(4-трифторметилфенил)оксазол-4-илметил]-1Н-индол-5-ил}-2-пропоксипропионовой кислоты в виде бледно-желтого твердого вещества. МС:(М-Н)–485,4. Пример 49 рац-3-{1-[5-Метил-2-(4-трифторметилфенил)оксазол-4-илметил]-1Н-индол-5-ил}-2-феноксипропионовая кислота По аналогии с методикой, описанной в Примере 44, метиловый эфир рац-3-(1Н-индол-5-ил)-2-феноксипропионовой кислоты (препарат 7) вводят в реакцию с 4-хлорметил-5-метил-2-(4-трифторметилфенил)оксазолом с получением рац-3-{1-[5-метил-2-(4-трифторметилфенил)оксазол-4-илметил]-1Н-индол-5-ил}-2-феноксипропионовой кислоты в виде бесцветного твердого вещества. МС:(М-Н)–519,4. Пример 50 рац-3-{1-[2-(4-Изопропилфенил)-5-метилоксазол-4-илметил]-1Н-индол-5-ил}-2-феноксипропионовая кислота По аналогии с методикой, описанной в Примере 44, метиловый эфир рац-3-(1Н-индол-5-ил)-2-феноксипропионовой кислоты (препарат 7) вводят в реакцию с 4-хлорметил-2-(4-изопропилфенил)-5-метилоксазолом с получением рац-3-{1-[2-(4-изопропилфенил)-5-метилоксазол-4-илметил]-1Н-индол-5-ил}-2-феноксипропионовой кислоты в виде грязно-белого твердого вещества. МС: (М-Н)–493,3 Пример 51 рац-3-{1-[2-(2-Хлорфенил)-5-метилоксазол-4-илметил]-1Н-индол-5-ил}-2-феноксипропионовая кислота По аналогии с методикой, описанной в Примере 44, метиловый эфир рац-3-(1Н-индол-5-ил)-2-феноксипропионовой кислоты (препарат 7) вводят в реакцию с 4-хлорметил-2-(2-хлорфенил)-5-метилоксазолом с получением рац-3-{1-[2-(2-хлорфенил)-5-метилоксазол-4-илметил]-1Н-индол-5-ил}-2-феноксипропионовой кислоты в виде грязно-белого твердого вещества. МС:(М-Н)–485,3. Пример 52 рац-3-{1-[2-(4-Фтор-3-метилфенил)-5-метилоксазол-4-илметил]-1Н-индол-5-ил}-2-феноксипропионовая кислота По аналогии с методикой, описанной в Примере 44, метиловый эфир рац-3-(1Н-индол-5-ил)-2-феноксипропионовой кислоты (препарат 7) вводят в реакцию с 4-хлорметил-2-(4-фтор-3-метилфенил)-5-метилоксазолом с получением рац-3-{1-[2-(4-фтор-3-метилфенил)-5-метилоксазол-4-илметил]-1Н-индол-5-ил}-2-феноксипропионовой кислоты в виде грязно-белого твердого вещества. МС:(М-Н)–483,3. Пример 53 рац-2-Изопропокси-3-[1-(5-метил-2-о-толилоксазол-4-илметил)-1Н-индол-5-ил]-пропионовая кислота По аналогии с методикой, описанной в Примере 44, метиловый эфир рац-3-(1Н-индол-5-ил)-2-изопропоксипропионовой кислоты (препарат 8) вводят в реакцию с 4-хлорметил-5-метил-2-о-толилоксазолом с получением рац-2-изопропокси-3-[1-(5-метил-2-о-толилоксазол-4-илметил)-1Н-индол-5-ил]-пропионовой кислоты в виде грязно-белого твердого вещества. МС:(М-Н)–431,3. Пример 54 рац-2-Изопропокси-3-{1-[2-(2-метоксифенил)-5-метилоксазол-4-илметил]-1Н-индол-5-ил}пропионовая кислота По аналогии с методикой, описанной в Примере 44, метиловый эфир рац-3-(1Н-индол-5-ил)-2-изопропоксипропионовой кислоты (препарат 8) вводят в реакцию с 4-хлорметил-2-(2-метоксифенил)-5-метилоксазолом с получением рац-2-изопропокси-3-{1-[2-(2-метоксифенил)-5-метилоксазол-4-илметил]-1Н-индол-5-ил}пропионовой кислоты в виде бесцветного твердого вещества. МС:(М-Н)–447,3. Пример 55 рац-3-{1-[2-(2-Хлорфенил)-5-метилоксазол-4-илметил]-1Н-индол-5-ил}-2-изопропоксипропионовая кислота По аналогии с методикой, описанной в Примере 44, метиловый эфир рац-3-(1Н-индол-5-ил)-2-изопропоксипропионовой кислоты (препарат 8) вводят в реакцию с 4-хлорметил-2-(2-хлорфенил)-5-метилоксазолом с получением рац-3-{1-[2-(2-хлорфенил)-5-метилоксазол-4-илметил]-1Н-индол-5-ил}-2-изопропоксипропионовой кислоты в виде светло-коричневого твердого вещества. МС:(М-Н)–451,2. Пример 56 рац-2-Изопропокси-3-{1-[5-метил-2-(4-трифторметилфенил)оксазол-4-илметил]-1Н-индол-5-ил}пропионовая кислота По аналогии с методикой, описанной в Примере 44, метиловый эфир рац-3-(1Н-индол-5-ил)-2-изопропоксипропионовой кислоты (препарат 8) вводят в реакцию с 4-хлорметил-5-метил-2-(4-трифторметилфенил)оксазолом с получением рац-2-изопропокси-3-{1-[5-метил-2-(4-трифторметилфенил)-оксазол-4-илметил]-1Н-индол-5-ил}пропионовой кислоты в виде бесцветного твердого вещества. МС:(М-Н)–485,4. Пример 57 рац-2-Бут-3-енилокси-3-[1-(5-метил-2-о-толилоксазол-4-илметил)-1Н-индол-5-ил]пропионовая кислота По аналогии с методикой, описанной в Примере 44, метиловый эфир рац-2-бут-3-енилокси-3-(1Н-индол-5-ил)пропионовой кислоты (препарат 9) вводят в реакцию с 4-хлорметил-5-метил-2-о-толилоксазолом с получением рац-2-бут-3-енилокси-3-[1-(5-метил-2-о-толилоксазол-4-илметил)-1Н-индол-5-ил]-пропионовой кислоты в виде светло-коричневого твердого вещества. МС:(М-Н)–443,3. Пример 58 рац-2-Бут-3-енилокси-3-{1-[2-(2-метоксифенил)-5-метилоксазол-4-илметил]-1Н-индол-5-ил}пропионовая кислота По аналогии с методикой, описанной в Примере 44, метиловый эфир рац-2-бут-3-енилокси-3-(1Н-индол-5-ил)пропионовой кислоты (препарат 9) вводят в реакцию с 4-хлорметил-2-(2-метоксифенил)-5-метилоксазолом с получением рац-2-бут-3-енилокси-3-{1-[2-(2-метоксифенил)-5-метилоксазол-4-илметил]-1Н-индол-5-ил}пропионовой кислоты в виде светло-коричневого масла. МС:(М-Н)–459,3. Пример 59 рац-2-Бут-3-енилокси-3-{1-[2-(2-хлорфенил)-5-метилоксазол-4-илметил]-1Н-индол-5-ил}пропионовая кислота По аналогии с методикой, описанной в Примере 44, метиловый эфир рац-2-бут-3-енилокси-3-(1Н-индол-5-ил)пропионовой кислоты (препарат 9) вводят в реакцию с 4-хлорметил-2-(2-хлорфенил)-5-метилоксазолом с получением рац-2-бут-3-енилокси-3-{1-[2-(2-хлорфенил)-5-метилоксазол-4-илметил]-1Н-индол-5-ил}пропионовой кислоты в виде светло-желтого твердого вещества. МС:(М-Н)–463,2. Пример 60 рац-2-Бут-3-енилокси-3-{1-[5-метил-2-(4-трифторметилфенил)оксазол-4-илметил]-1Н-индол-5-ил}пропионовая кислота По аналогии с методикой, описанной в Примере 44, метиловый эфир рац-2-бут-3-енилокси-3-(1Н-индол-5-ил)пропионовой кислоты (препарат 9) вводят в реакцию с 4-хлорметил-5-метил-2-(4-трифторметилфенил)оксазолом с получением рац-2-бут-3-енилокси-3-{1-[5-метил-2-(4-трифторметилфенил)-оксазол-4-илметил]-1Н-индол-5-ил}пропионовой кислоты в виде светло-желтого твердого вещества. МС:(М-Н)–497,3. Пример 61 рац-2-Этокси-3-{2-метил-1-[2-(5-метил-2-фенилоксазол-4-ил)этил]-1Н-индол-5-ил}пропионовая кислота По аналогии с методикой, описанной в Примере 44, этиловый эфир рац-2-этокси-3-(2-метил-1Н-индол-5-ил)пропионовой кислоты (препарат 5) вводят в реакцию с 2-(5-метил-2-фенилоксазол-4-ил)этиловым эфиром метансульфокислоты с получением рац-2-этокси-3-{2-метил-1-[2-(5-метил-2-фенилоксазол-4-ил)этил]-1Н-индол-5-ил}пропионовой кислоты в виде светло-желтого вязкого масла. MC:(M+H)+433,3. Пример 62 рац-2-Этокси-3-{2-метил-1-[3-(5-метил-2-фенилоксазол-4-ил)пропил]-1Н-индол-5-ил}пропионовая кислота По аналогии с методикой, описанной в Примере 44, этиловый эфир рац-2-этокси-3-(2-метил-1Н-индол-5-ил)пропионовой кислоты (препарат 5) вводят в реакцию с 3-(5-метил-2-фенилоксазол-4-ил)пропиловым эфиром метансульфокислоты с получением рац-2-этокси-3-{2-метил-1-[3-(5-метил-2-фенилоксазол-4-ил)пропил]-1Н-индол-5-ил}пропионовой кислоты в виде оранжевого вязкого масла. МС:(М-Н)–445,3. Пример 63 рац-2-Этокси-3-{4-метил-1-[5-метил-2-(4-трифторметилфенил)оксазол-4-илметил]-1Н-индол-5-ил}пропионовая кислота По аналогии с методикой, описанной в Примере 44, этиловый эфир рац-2-этокси-3-(4-метил-1Н-индол-5-ил)пропионовой кислоты (препарат 10з) вводят в реакцию с 4-хлорметил-5-метил-2-(4-трифторметилфенил)оксазолом с получением рац-2-этокси-3-{4-метил-1-[5-метил-2-(4-трифторметилфенил)-оксазол-4-илметил]-1Н-индол-5-ил}пропионовой кислоты в виде желтого твердого вещества. МС:(М-Н)–485,3. Пример 64 рац-2-Этокси-3-{1-[2-(4-изопропилфенил)-5-метилоксазол-4-илметил]-4-метил-1Н-индол-5-ил}пропионовая кислота По аналогии с методикой, описанной в Примере 44, этиловый эфир рац-2-этокси-3-(4-метил-1Н-индол-5-ил)пропионовой кислоты (препарат 10з) вводят в реакцию с 4-хлорметил-2-(4-изопропилфенил)-5-метилоксазолом с получением рац-2-этокси-3-{1-[2-(4-изопропилфенил)-5-метилоксазол-4-илметил]-4-метил-1Н-индол-5-ил}пропионовой кислоты в виде светло-желтого твердого вещества. МС:(М-Н)–459,3. Пример 65 рац-2-Этокси-3-{1-[2-(4-фтор-3-метилфенил)-5-метилоксазол-4-илметил]-4-метил-1Н-индол-5-ил} пропионовой кислоты По аналогии с методикой, описанной в Примере 44, этиловый эфир рац-2-этокси-3-(4-метил-1Н-индол-5-ил)пропионовой кислоты (препарат 10з) вводят в реакцию с 4-хлорметил-2-(4-фтор-3-метилфенил)-5-метилоксазолом с получением рац-2-этокси-3-{1-[2-(4-фтор-3-метилфенил)-5-метилоксазол-4-илметил]-4-метил-1Н-индол-5-ил} пропионовой кислоты в виде желтого твердого вещества. МС:(М-Н)–449,3. Пример 66 рац-3-{1-[2-(2-Хлорфенил)-5-метилоксазол-4-илметил]-4-метил-1Н-индол-5-ил}-2-этоксипропионовая кислота По аналогии с методикой, описанной в Примере 44, этиловый эфир рац-2-этокси-3-(4-метил-1Н-индол-5-ил)пропионовой кислоты (препарат 10з) вводят в реакцию с 4-хлорметил-2-(2-хлорфенил)-5-метилоксазолом с получением рац-3-{1-[2-(2-хлорфенил)-5-метилоксазол-4-илметил]-4-метил-1Н-индол-5-ил}-2-этоксипропионовой кислоты в виде желтого твердого вещества. МС:(М-Н)–451,2. Пример 67 рац-3-{1-[2-(3,5-Диметоксифенил)-5-метилоксазол-4-илметил]-4-метил-1Н-индол-5-ил}-2-этоксипропионовая кислота По аналогии с методикой, описанной в Примере 44, этиловый эфир рац-2-этокси-3-(4-метил-1Н-индол-5-ил)пропионовой кислоты (препарат 10з) вводят в реакцию с 4-хлорметил-2-(3,5-диметоксифенил)-5-метилоксазолом с получением рац-3-{1-[2-(3,5-диметоксифенил)-5-метилоксазол-4-илметил]-4-метил-1Н-индол-5-ил}-2-этоксипропионовой кислоты в виде желтого твердого вещества. МС:(М-Н)–477,2. Пример 68 рац-2-Этокси-3-{1-[4-метил-2-(4-трифторметилфенил)тиазол-5-илметил]-1Н-индол-5-ил}пропионовая кислота По аналогии с методиками, описанными в Примерах 36а) и 36б), этиловый эфир рац-2-этокси-3-(1Н-индол-5-ил)пропионовой кислоты (препарат 1) вводят в реакцию с 5-хлорметил-4-метил-2-(4-трифторметилфенил)тиазолом [Международная заявка РСТ, (2001), WO 01/00603 A1] с получением этилового эфира рац-2-этокси-3-{1-[4-метил-2-(4-трифторметилфенил)тиазол-5-илметил]-1Н-индол-5-ил}пропионовой кислоты, который последовательно омыляют с получением соединения, указанного в заголовке, в виде желтого твердого вещества. МС:(М-Н)–487,3. Пример 69 (Z)-3-{1-[2-(2-Хлорфенил)-5-метилоксазол-4-илметил]-1Н-индол-5-ил}-2-этоксиакриловая кислота По аналогии с методиками, описанными в Примерах 36а) и 36б), этиловый эфир (Z)-2-этокси-3-(1Н-индол-5-ил)акриловой кислоты (препарат 1а) вводят в реакцию с 4-хлорметил-2-(2-хлорфенил)-5-метилоксазолом с получением этилового эфира (Z)-3-{1-[2-(2-хлорфенил)-5-метилоксазол-4-илметил]-1Н-индол-5-ил}-2-этоксиакриловой кислоты, который последовательно омыляют с получением соединения, указанного в заголовке, в виде бесцветного твердого вещества. МС:(М+Н)+437,2; (M+Na)+459,2 Пример 70 рац-2-Этокси-3-{1-[2-(4-изопропилфенил)-5-метилоксазол-4-илметил]-1Н-индол-6-ил}пропионовая кислота По аналогии с методикой, описанной в Примере 44, этиловый эфир рац-2-этокси-3-(1Н-индол-6-ил)пропионовой кислоты (препарат 11) вводят в реакцию с 4-хлорметил-2-(4-изопропилфенил)-5-метилоксазолом с получением рац-2-этокси-3-{1-[2-(4-изопропилфенил)-5-метилоксазол-4-илметил]-1Н-индол-6-ил}-пропионовой кислоты в виде светло-желтого вязкого масла. МС:(М-Н)–445,4. Пример 71 рац-3-{1-[2-(3,5-Диметоксифенил)-5-метилоксазол-4-илметил]-1Н-индол-6-ил}-2-этоксипропионовая кислота По аналогии с методикой, описанной в Примере 44, этиловый эфир рац-2-этокси-3-(1Н-индол-6-ил)пропионовой кислоты (препарат 11) вводят в реакцию с 4-хлорметил-2-(3,5-диметоксифенил)-5-метилоксазолом с получением рац-3-{1-[2-(3,5-диметоксифенил)-5-метилоксазол-4-илметил]-1Н-индол-6-ил}-2-этоксипропионовой кислоты в виде желтого твердого вещества. МС:(М-Н)–463,3. Пример 72 рац-2-Этокси-3-{1-[2-(4-изопропилфенил)тиазол-4-илметил]-1Н-индол-6-ил}-пропионовая кислота По аналогии с методикой, описанной в Примере 44, этиловый эфир рац-2-этокси-3-(1Н-индол-6-ил)пропионовой кислоты (препарат 11) вводят в реакцию с 4-хлорметил-2-(4-изопропилфенил)тиазолом с получением рац-2-этокси-3-{1-[2-(4-изопропилфенил)тиазол-4-илметил]-1Н-индол-6-ил}пропионовой кислоты в виде желтого вязкого масла. МС: (М-Н)– 447,2. Пример А Таблетки, включающие следующие компоненты, могут быть изготовлены традиционным способом:
Пример Б Капсулы, включающие следующие компоненты, могут быть изготовлены традиционным способом:
Пример В Растворы для инъекций, включающие следующие компоненты, могут быть изготовлены традиционным способом:
Формула изобретения
1. Соединения формулы где R1 обозначает тиофенил или фенил, необязательно замещенный от одного до трех заместителями, независимо выбранными из галогена, С1-8алкокси, С1-8алкила и С1-8алкила, замещенного одним – тремя атомами галогена; R2 обозначает водород или С1-8алкил; R3 обозначает фенокси, С2-8алкенилокси или С1-8алкокси; R4 обозначает водород или С1-8алкил; причем один из заместителей R5 и R6 обозначает
а другой обозначает водород, и где связь между атомами углерода Сa и Сb обозначает углерод-углеродную простую или двойную связь; R7 обозначает водород или С1-8алкила; R8 обозначает водород или С1-8алкила; причем любой из А и А1 обозначает азот, а другой обозначает кислород или серу; n обозначает 1, 2 или 3, и их фармацевтически приемлемые соли и сложные эфиры. 2. Соединения по п.1, в которых R3 обозначает С1-8алкокси; R5 обозначает
где связь между атомами углерода Сa и Сb обозначает углерод-углеродную простую или двойную связь; R6 обозначает водород; R7 обозначает водород; R8 обозначает водород; А обозначает кислород или серу и А1 обозначает азот. 3. Соединения по п.1, в которых R1 обозначает тиофенил, фенил или фенил, содержащий от одного до трех заместителей, независимо выбранных из фтора, хлора, метокси, этокси, пропилокси, изопропилокси, метила, этила, пропила, изопропила, трет-бутила и трифторметила. 4. Соединения по п.1, в которых R2 обозначает водород, метил или этил. 5. Соединения по п.4, в которых R2 обозначает метил. 6. Соединения по п.1, в которых R3 обозначает метокси, этокси, пропилокси, изопропилокси, фенокси или бутенилокси. 7. Соединения по п.1, в которых R3 обозначает метокси или этокси. 8. Соединения по п.1, в которых R4 обозначает водород. 9. Соединения по п.1, в которых R4 обозначает метил. 10. Соединения по п.1, в которых связь между атомами углерода Сa и Сb обозначает простую углерод углеродную связь. 11. Соединения по п.1, в которых R6 обозначает водород. 12. Соединения по п.1, в которых R7 обозначает водород. 13. Соединения по п.1, в которых R7 обозначает метил. 14. Соединения по п.1, в которых R8 обозначает водород. 15. Соединения по п.1, в которых R8 обозначает метил. 16. Соединения по п.1, в которых А обозначает кислород или серу, а А обозначает азот. 17. Соединения по п.16, в которых А обозначает кислород. 18. Соединения по п.1, в которых п обозначает 1. 19. Соединения по п.1, выбранные из (S)-3-{1-[2-(2-хлорфенил)-5-метилоксазол-4-илметил]-1Н-индол-5-ил}-2-этоксипропионовой кислоты; (S)-2-этокси-3-{1-[2-(2-метоксифенил)-5-метилоксазол-4-илметил]-1Н-индол-5-ил}пропионовой кислоты; (S)-2-этокси-3-{1-[5-метил-2-(4-трифторметилфенил)оксазол-4-илметил]-1Н-индол-5-ил}пропионовой кислоты; (S)-3-{1-[2-(3,5-диметоксифенил)-5-метилоксазол-4-илметил]-1Н-индол-5-ил}-2-этоксипропионовой кислоты; (S)-2-этокси-3-{1-[2-(4-фтор-3-метилфенил)-5-метилоксазол-4-илметил]-1Н-индол-5-ил}пропионовой кислоты; рац-2-этокси-3-{3-метил-1-[5-метил-2-(4-трифторметилфенил)оксазол-4-илметил]-1Н-индол-5-ил}пропионовой кислоты; рац-3-{1-[2-(2-хлорфенил)-5-метилоксазол-4-илметил]-3-метил-1Н-индол-5-ил}-2-этоксипропионовой кислоты; рац-2-этокси-3-{1-[2-(4-фтор-3-метилфенил)-5-метилоксазол-4-илметил]-3-метил-1Н-индол-5-ил}пропионовой кислоты; рац-3-{1-[5-метил-2-(4-трифторметилфенил)оксазол-4-илметил]-1Н-индол-5-ил}-2-пропоксипропионовой кислоты; рац-2-изопропокси-3-{1-[5-метил-2-(4-трифторметилфенил)оксазол-4-илметил]-1Н-индол-5-ил}пропионовой кислоты; рац-2-бут-3-енилокси-3-{1-[5-метил-2-(4-трифторметилфенил)оксазол-4-илметил]-1Н-индол-5-ил}пропионовой кислоты и рац-2-этокси-3-{1-[2-(4-изопропилфенил)-5-метилоксазол-4-илметил]-4-метил-1Н-индол-5-ил}пропионовой кислоты. 20. Соединение по п.19, которое представляет собой (S)-3-{1-[2-(2-хлорфенил)-5-метилоксазол-4-илметил]-1Н-индол-5-ил}-2-этоксипропионовую кислоту. 21. Соединения по любому из пп.1-20, обладающие агонистической активностью в отношении пероксисомных пролифераторов РАПП 22. Соединения по любому из пп.1-20, используемые для приготовления лекарственного средства для профилактики и/или лечения заболеваний, которые модулируются агонистами РАПП 23. Фармацевтическая композиция, обладающая агонистической активностью в отношении пероксисомных пролифераторов РАПП 24. Фармацевтическая композиция по п.23, дополнительно содержащая терапевтически эффективное количество ингибитора липазы. 25. Фармацевтическая композиция по п.24, в которой ингибитор липазы представлен орлистатом. 26. Применение соединения по любому из пп.1-20 для приготовления лекарственного средства для лечения и/или профилактики заболеваний, которые модулируются агонистами РАПП 27. Применение соединения по любому из пп.1-20 для приготовления лекарственного средства для лечения и/или профилактики заболеваний, которые модулируются агонистами РАПП 28. Применение по п.27, в котором ингибитор липазы представляет собой орлистат. 29. Применение по любому из пп.26-28, где заболевание представлено диабетом, неинсулинзависимым сахарным диабетом, повышенным кровяным давлением, повышенными уровнями липида и холестерина, атеросклерозом, синдромом нарушения обмена веществ 30. Применение по п.29, где заболевание представлено неинсулинзависимым сахарным диабетом.
MM4A – Досрочное прекращение действия патента СССР или патента Российской Федерации на изобретение из-за неуплаты в установленный срок пошлины за поддержание патента в силе
Дата прекращения действия патента: 05.09.2009
Извещение опубликовано: 20.07.2010 БИ: 20/2010
|
|||||||||||||||||||||||||||||||||||||||||||||||||||||||||||||||||||||||||||||||||||

и/или РАПП
, к фармацевтической композиции на их основе и к их применению для приготовления лекарственных средств.
, а другой обозначает водород, и где связь между атомами углерода Сa и Сb обозначает углерод углеродную простую или двойную связь; R7 обозначает водород или С1-8алкила; R8 обозначает водород или С1-8алкила; причем любой из А и А1 обозначает азот, а другой обозначает кислород или серу; n обозначает 1, 2 или 3. 4 н. и 26 з.п. ф-лы, 1 табл.

(известный также как РАПП
) и РАПП







































