Патент на изобретение №2296754
|
||||||||||||||||||||||||||||||||||||||||||||||||||||||||||||||||||||||||||||||||||||||||||||||||
(54) НОВЫЕ СОЕДИНЕНИЯ 2-АРИЛТИАЗОЛА В КАЧЕСТВЕ АГОНИСТОВ PPAR
(57) Реферат:
В настоящем изобретении предлагаются новые производные тиазола, которые эффективно связывают и активируют одновременно и PPAR Предлагаемое изобретение также описывает фармацевтические композиции, обладающие антагонистической активностью в отношении PPAR
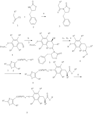
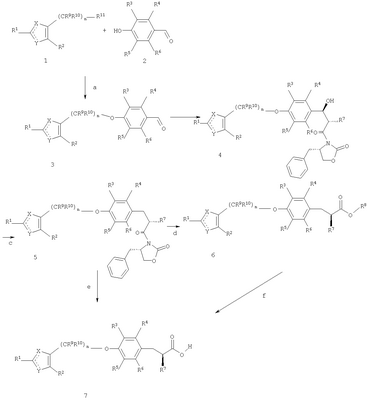
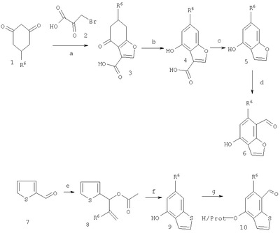
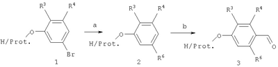
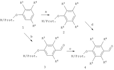
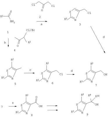
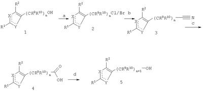
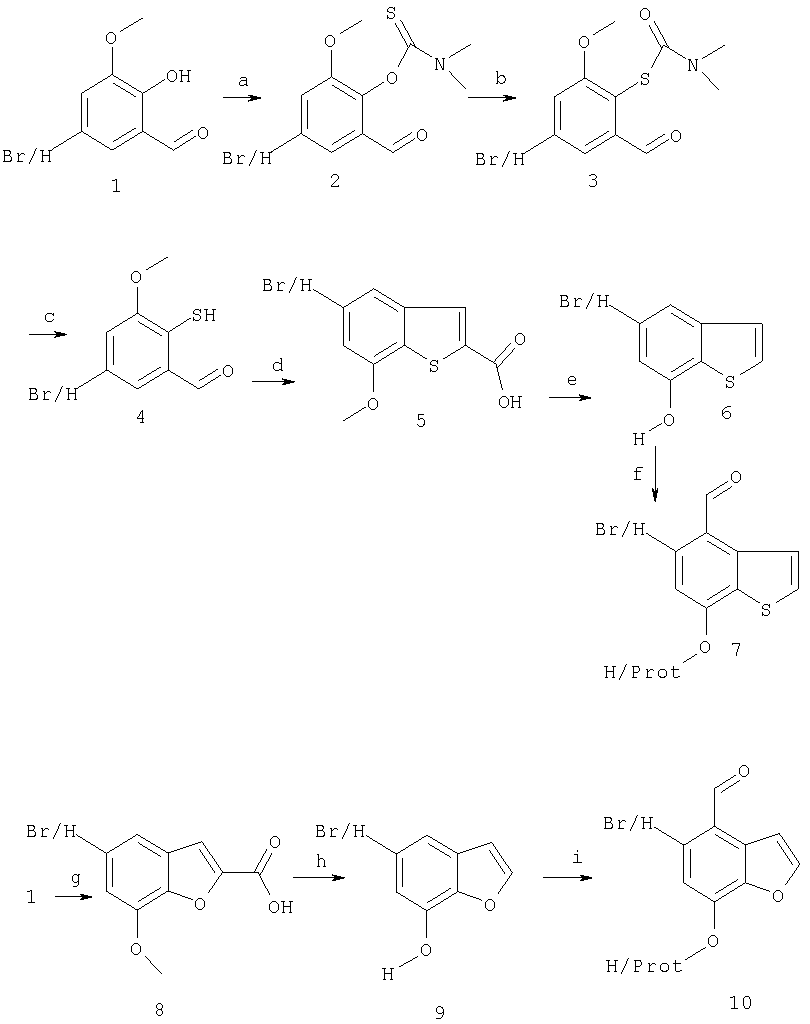
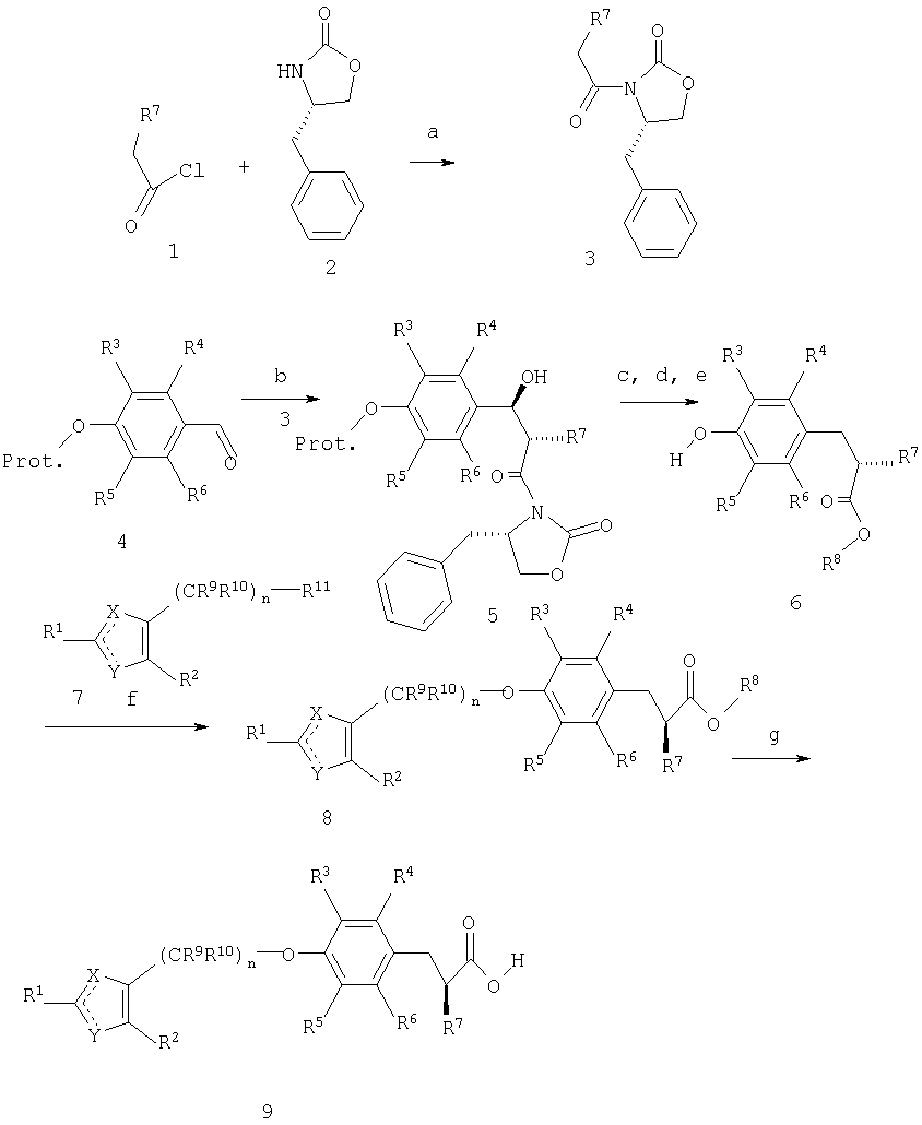
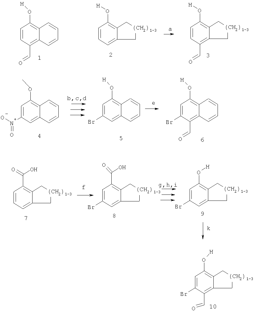
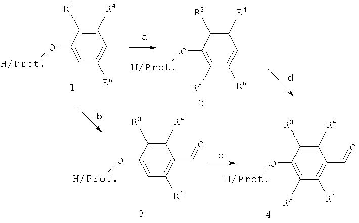
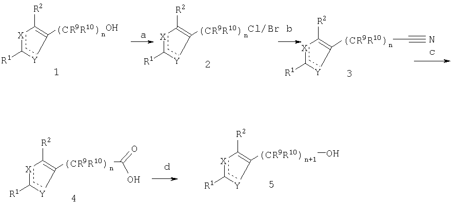
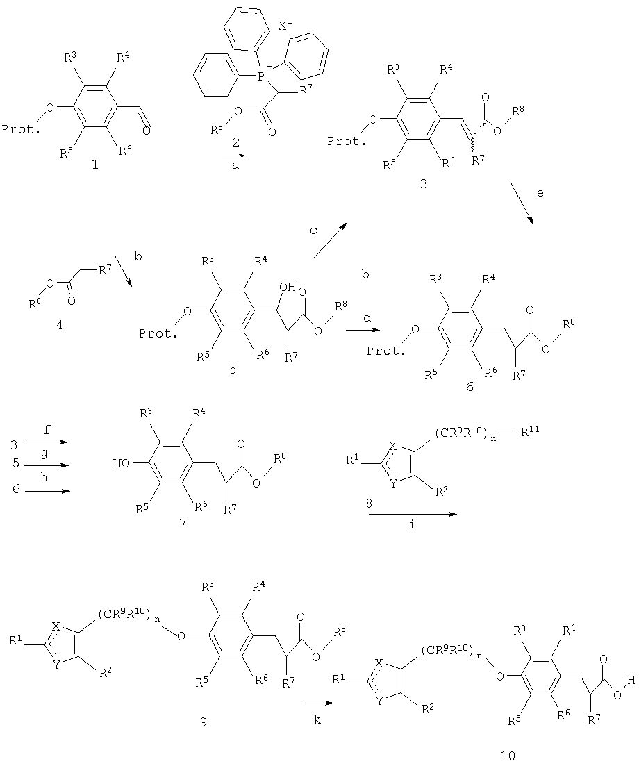
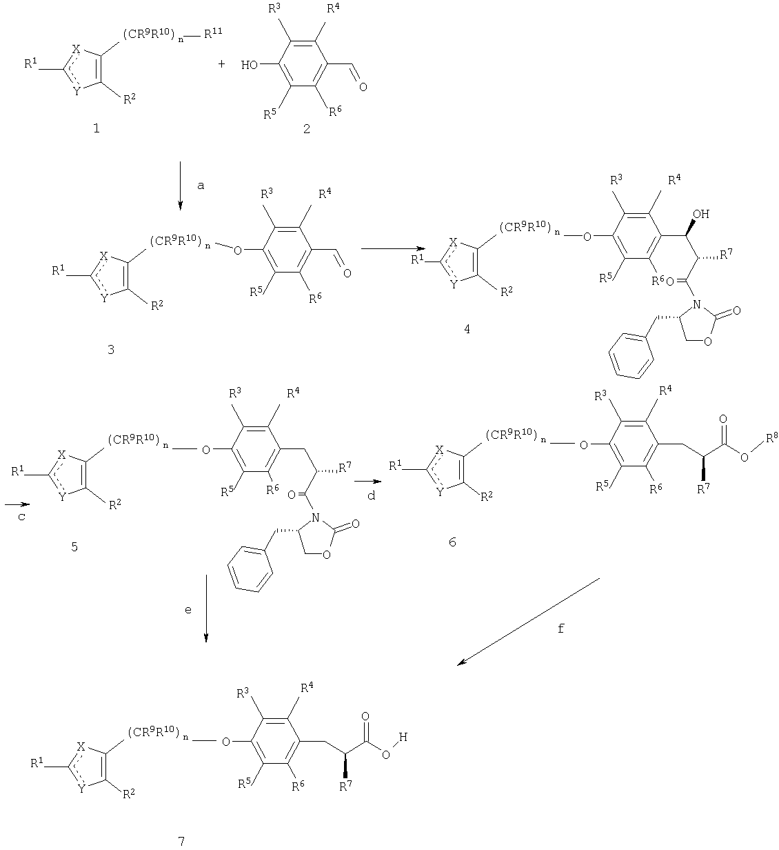
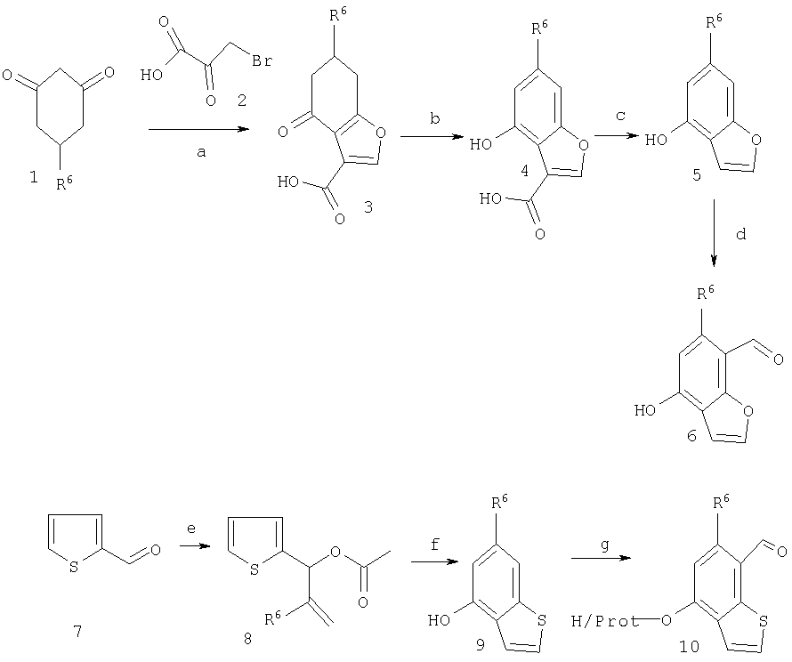
В настоящем изобретении предлагаются новые производные тиазола, их получение и использование в качестве медикаментов. В частности, изобретение предлагает соединения формулы (1) в которых Х означает N, a Y означает S, или Х означает S, а Y означает N; R1 означает арил или гетероарил; R2 означает водород, низший алкил или фторированный низший алкил; R3, R4, R5 и R6 независимо друг от друга означают водород; гидроксигруппу; низший алкенил; галоид; низший алкил; фторированный низший алкил; гидроксизамещенный низший алкил; низший алкил, замещенный низшей алкоксигруппой; низшую алкоксигруппу; фторзамещенную низшую алкоксигруппу; гидроксизамещенную алкоксигруппу; низшую алкоксигруппу, замещенную низшей алкоксигруппой; при этом по крайней мере один из заместителей R3, R4, R5 и R6 не означает водород, или R3 и R4 связаны друг с другом, образуя цикл вместе с атомами углерода, с которыми они связаны, и R3 и R4 вместе образуют -CH=CH-S-, -S-CH=CH-, -СН=СН-O-, -O-СН=СН-, -СН=СН-СН=СН-, -(СН2)3-5-, -O-(СН2)2-3– или -(СН2)2-3-O, а R5 и R6 обозначают то, что указано выше; R7 означает низший алкил, низшую алкокси-, низшую алкенилокси-, арилоксигруппу или арил, замещенный низшей алкилоксигруппой; R8 означает водород или низший алкил; R9 и R10 независимо друг от друга означают водород, низший алкил, низший алкенил, циклоалкил, фенил или [1,3]диоксан-2-этил; n означает 1, 2 или 3; и их фармацевтически приемлемые соли и/или фармацевтически приемлемые эфиры. Активирующиеся пероксисомным пролифератором рецепторы (PPAR) являются членами надсемейства рецепторов гормона ядра; они являются лиганд-активированными факторами транскрипции, регулирующими экспрессию гена. Идентифицированы и воспроизведены различные их подтипы. Они включают PPAR Диабет является заболеванием, при котором у больного нарушена способность к контролю уровня глюкозы в крови из-за частичной потери способности должным образом реагировать на инсулин. Диабет типа II (Т2Д) часто относят к инсулиннезависимому сахарному диабету (ИНСД), который затрагивает 80-90% всех больных диабетом в развитых странах, и при котором островки Лангерганса в поджелудочной железе еще продуцируют инсулин. Тем не менее, органы-мишени, в основном мышцы, печень и ткани липосом, проявляют выраженную устойчивость к инсулиновой стимуляции, что компенсируется организмом за счет нефизиологически высоких уровней инсулина. В более поздней стадии заболевания, однако, секреция инсулина снижается из-за истощения поджелудочной железы. Кроме того, Т2Д является синдромом метаболического сердечно-сосудистого заболевания. К сочетанным заболеваниям, сопровождающим Т2Д, относятся, например, инсулиновая резистентность, дислипидемия, повышенное давление, эндотелиальная дисфункция и воспалительный атеросклероз. В настоящее время первым этапом лечения диабета обычно является диета с низким содержанием жиров и глюкозы и физические упражнения. Тем не менее, эффективность этого лечения может со временем измениться и болезнь прогрессировать, так что становится необходимым медикаментозное лечение гипогликемическими препаратами, например, сульфонилмочевинами или метформином. В настоящее время в практику вводят новый класс перспективных лекарств, которые восстанавливают восприимчивость пациента к собственному инсулину (активаторы инсулина), возвращая к нормальному уровню глюкозу и триглицериды крови и, таким образом, отменяя или, по крайней мере, уменьшая потребность в экзогенном инсулине. Пиоглитазон ((Actos Новые соединения, предлагаемые в изобретении, превосходят по эффективности известные ранее, так как они эффективно связывают и активируют одновременно и PPAR Далее будет показано, что соединения, предлагаемые в изобретении, проявляют улучшенные фармакологические свойства сравнительно с ранее известными соединениями. Далее будут приведены определения терминов, используемых в описании изобретения (если не указано что-либо иное). Термин «низший» используется для обозначения группы, содержащей от одного до семи, а предпочтительно от одного до четырех атомов углерода. Термин «галоген» обозначает фтор, хлор, бром или йод. Термин «защитная группа» означает группы, такие как ацил, алкоксикарбонил, арилоксикарбонил, силил, или имино-производные, которые используются для временной блокировки реакционной способности функциональных групп. Хорошо известными защитными группами являются, например, трет-бутоксикарбонильная, бензилоксикарбонильная, флуоренилметилоксикарбонильная или дифенилметиленовая группы, которые могут быть использованы для защиты аминогруппы, или низший алкиловый-, Термин «алкил», один или в сочетании с другими группами, означает разветвленный или прямо-цепной моновалентный насыщенный алифатический углеводородный радикал, содержащий от одного до двадцати, а предпочтительно от одного до шестнадцати атомов углерода, а наиболее предпочтительно от одного до десяти атомов углерода. Термин «низший алкил», один или в сочетании с другими группами, означает разветвленный или прямо-цепной моновалентный алкильный радикал, содержащий от одного до семи, а предпочтительно от одного до четырех атомов углерода. Этот термин далее представлен такими радикалами, как метил, этил, н-пропил, изопропил, н-бутил, втор-бутил, трет-бутил и т.д. Термин «циклоалкил» означает моновалентный карбоциклический радикал, содержащий от 3-х до 10-ти, а предпочтительно от 3-х до 6-ти атомов углерода, представленный такими радикалами, как циклопропил, циклобутил, циклопентил или циклогексил. Термин «низший фторалкил» означает низшие алкильные группы, моно- или полизамещенные фтором. Примерами низших фторалкилов являются, например, CF3, CF3СН2 и (CF3)2СН. Термин «алкокси» означает группу R’O-, в которой R’ означает алкил. Термин «низшая алкокси» означает группу R’O-, в которой R’ означает низший алкил. Примерами низших алкоксигрупп являются, например, метокси-, этокси-, пропокси-, изопропокси-, бутокси-, изобутокси- и гексилоксигруппы. Термин «низшая фторалкокси» означает группу R”O-, где R” означает низший фторалкил. Примерами низших фторалкоксигрупп являются, например, CF3О-, CF3СН2О- и (CF3)2СНО-. Термин «низший алкенил», один или в сочетании, означает прямоцепной или разветвленный углеводородный фрагмент, содержащий олефиновую связь и до 8, преимущественно до 6, а предпочтительно до 4 атомов углерода. Примерами алкенильных групп являются этенил, 1-пропенил, 2-пропенил, изопропенил, 1-бутенил, 2-бутенил, 3-бутенил и изобутенил. Предпочтительной группой является 2-пропенил. Термин «низшая алкенилокси» означает группу R”O-, где R” означает низший алкенил. Примерами низших алкенилоксигрупп являются бутенилокси, в частности, бут-3-енилоксигруппы. Термин «арил» относится к фенильной или нафтильной группам, предпочтительно, фенильной, которая может быть предпочтительно моно- или поли-замещенной, в частности, моно- и дизамещенной галоидом, гидрокси-, CN, CF3, NO2, NH2, N(H, низший алкил), N(низший алкил)2, карбоксигруппами, аминокарбонилом, низшим алкилом, низшей алкоксигруппой, арилом и/или арилоксигруппой. Предпочтительными заместителями являются галоид, CF3, низший алкил и/или низшая алкоксигруппа. Термин «гетероарил» относится к ароматическому 5- или 6-членному кольцу, которое может включать 1, 2 или 3 атома, выбранных из азота, кислорода и/или серы, например, фурил, пиридил, 1,2-, 1,3- и 1,4-диазинил, тиенил, изоксазолил, оксазолил, имидазолил или пирролил. Далее термин «гетероарил» относится к бициклическим ароматическим группам, содержащим два 5- или 6-членных кольца, в которых одно или оба кольца содержат 1, 2 или 3 атома, таких как азот, кислород или сера, например, индол или хинолин, или частично гидрированные бициклические ароматические группы, например, индолинил. Гетероарильная группа может иметь заместитель, как это было описано ранее в связи с термином «арил». Предпочтительными гетероарильными группами являются, например, тиенил и фурил, которые могут быть необязательно замещены, как описано выше, предпочтительно галогеном, низшим алкилом, группой CF3 или низшей алкоксигруппой. Термин «фармацевтически приемлемые соли» предполагает соли соединений формулы (I) с фармацевтически приемлемыми основаниями, такими как, например, соли Na и К, соли щелочно-земельных металлов, например, Са и Mg, аммонийные или замещенные аммонийные соли, такие, например, как соли триметиламмония. Термин «фармацевтически приемлемые соли» также относится к таким солям. Соединения формулы (I) могут быть также сольватированными, например, гидратированными. Сольватация может происходить в процессе получения или вследствие гигроскопических свойств первоначально безводного соединения формулы (I) (гидратация). Термин «фармацевтически приемлемые соли» включает также фармацевтически приемлемые сольваты. Термин «фармацевтически приемлемые эфиры» включает производные соединений формулы (I), в которых карбоксигруппа превращена в эфирную. Примерами подходящих эфиров являются эфиры, в состав которых входят: низший алкил, гидроксизамещенный низший алкил, алкоксизамещенный низший алкил, аминозамещенный низший алкил, моно- или ди- низший алкил – аминозамещенный низший алкил, морфолинозамещенный низший алкил, пирролидинозамещенный низший алкил, пиперидинозамещенный низший алкил, пиперазинозамещенный низший алкил, низший алкил – пиперазинозамещенный низший алкил и арилалкил. Метиловый, этиловый, пропиловый, бутиловый и бензиловый эфиры предпочтительны. Особенно предпочтительны метиловый и этиловый эфиры. Термин «фармацевтически приемлемые эфиры» включает также соединения формулы (I), в которых гидроксигруппа превращена в соответствующий эфир неорганической или органической кислоты, например, азотной, серной, фосфорной, лимонной, муравьиной, малеиновой, уксусной, янтарной, винной кислот, метансульфоновой кислоты, п-толуолсульфоновой кислоты и т.д., т.е. кислот, не являющихся токсичными по отношению к живым организмам. Конкретно, предлагаемое изобретение относится к соединениям формулы (I), в которых Х означает N, a Y означает S, или Х означает S, а Y означает N, R1 означает арил или гетероарил, R2 означает галоген, низший алкил или низший фторалкил, R3, R4, R5 и R6 независимо друг от друга означают водород, гидроксигруппу, низший алкенил, галоген, низший алкил, низший фторалкил, низший гидроксиалкил, низший алкокси-низший алкил, низшую алкокси-, низшую фторалкокси-, гидрокси-низшую алкокси-, низшую алкокси-низшую алкоксигруппы, в которых по крайней мере один из заместителей R3, R4, R5 и R6 не означает водород, или R3 и R4 соединены друг с другом, образуя кольцо вместе с атомами углерода, к которым они прикреплены, и R3 и R4 вместе образуют -CH=CH-S-, -S-СН=СН-, -СН=СН-O-, -O-СН=СН-, -СН=СН-СН=СН-, -(СН2)3-5-, -O-(СН2)22-3– или -(СН2)2-3-O-, а R5 и R6 означают то, что указано выше, R7 означает низший алкил, низшую алкокси-, низшую алкенилокси-, арилокси- или арил-низшую алкоксигруппу, R8 означает водород или низший алкил, R9 и R10 независимо друг от друга означают водород, низший алкил, низший алкенил, циклоалкил, фенил или [1,3]диоксан-2-этил, n означает 1, 2 или 3, а также их фармацевтически приемлемые соли и/или фармацевтически приемлемые эфиры. Предпочтительно, R7 означает низшую алкокси-, низшую алкенилокси-, арилокси- или арил-низшую алкоксигруппы, R9 и R10 означают водород. Такие соединения соответствуют формуле (Ia), в которой Х означает N, а Y означает S, или Х означает S, а Y означает N, R1 означает арил или гетероарил, R2 означает галоген, низший алкил или низший фторалкил, R3, R4, R5 и R6 независимо друг от друга означают водород, гидроксигруппу, низший алкенил, галоген, низший алкил, низший фторалкил, низший гидроксиалкил, низший алкокси-низший алкил, низшую алкокси-, низшую фторалкокси-, гидрокси-низшую алкокси-, низшую алкокси-низшую алкоксигруппы, в которых по крайней мере один из заместителей R3, R4, R5 и R6 не означает водород, или R3 и R4 соединены друг с другом, образуя кольцо вместе с атомами углерода, к которым они прикреплены, и R3 и R4 вместе образуют -CH=CH-S-, -S-СН=СН-, -СН=СН-O-, -O-СН=СН-, -СН=СН-СН=СН-, -(СН2)3-5-, -O-(СН2)2-3– или -(СН2)2-3-O-, а R5 и R6 означают то, что определено выше, R7 означает низшую алкокси-, низшую алкенилокси-, арилокси- или арил-низшую алкоксигруппу, R8 означает водород или низший алкил, n означает 1, 2 или 3, а также их фармацевтически приемлемые соли и/или фармацевтически приемлемые эфиры. Предпочтительными соединениями предлагаемого изобретения являются те, в которых Х означает N, а Y означает S. Соединения, в которых Х означает S, а Y означает N, также предпочтительны. Среди соединений формулы (I), описанных выше, предпочтительны те, в которых R1 означает арил, особенно фенил, необязательно замещенный 1-3 заместителями, независимо выбранными из групп: низший алкил, низшая алкоксигруппа, галоген или группа CF3, в частности, предпочтительны те, в которых R1 означает фенил, 4-изопропилфенил, 4-хлорфенил, 4-трифторметилфенил или 3,3-диметоксифенил. Кроме того, предпочтительными среди описанных являются те соединения, в которых R1 означает низший алкил или водород. Особенно предпочтительны те, в которых R1 означает водород или метильную группу. Из других соединений предпочтительны те, в которых R5 и R6 означают водород. Предпочтительны также соединения формулы (I), в которых R3, R4, R5 и R6 независимо друг от друга означают водород, галоген, низший алкил, низшую алкоксигруппу и в которых по крайней мере один из заместителей R3, R4, R5 и R6 не означает водород, или те, в которых R3 и R4 соединены друг с другом, образуя кольцо вместе с атомами углерода, к которым они присоединены, и R3 и R4 вместе образуют -CH=CH-S-, -S-CH=CH-, -O-CH=CH-, -CH=CH-CH=CH-, -(СН2)3-5, -O-(СН2)2-3-, а R5 и R6 означают водород. Предпочтительны также соединения, в которых R4 означает метил, а R3, R5 и R6 означают водород. Соединения формулы (I), в которых R3 и R4 независимо друг от друга означают водород, низший алкил, низшую алкоксигруппу или галоген, при том, что один из заместителей R3 и R4 не означает водород, а заместители R5 и R6 означают водород, или те, в которых R3 и R4 соединены друг с другом, образуя кольцо вместе с атомами углерода, к которым они присоединены, и R3 и R4 вместе образуют -CH=CH-S-, -S-CH=CH-, -(СН2)3-5-, а заместители R5 и R6 означают водород, также относятся к предпочтительным соединениям предлагаемого изобретения. Особо предпочтительными являются также такие соединения, в которых заместители R5 и R6 означают водород, R3 означает низший алкил или галоген, а R4 означает водород, или такие, в которых R3 означает водород, а R4 означает низший алкил или галоген. К еще одной группе предпочтительных соединений формулы (I) относятся описанные выше соединения, в которых R5 и R6 означают водород, R3 и R4 соединены друг с другом, образуя кольцо вместе с атомами углерода, к которым они присоединены, и R3 и R4 вместе образуют группы -CH=CH-S-, -S-CH=CH-, -(СН2)3-5-, -СН=СН-СН=СН-, -O-СН=СН- или -O-(СН2)2-3. Особенно предпочтительны соединения, в которых заместители R5 и R6 означают водород, R3 и R4 связаны друг с другом, образуя кольцо вместе с атомами углерода, к которым они присоединены, а R3 и R4 вместе образуют группы -CH=CH-S-, -(СН2)3-5-, -СН=СН-СН=СН-. Предпочтительными соединениями предлагаемого изобретения являются также соединения, в которых R5 и R6 означают водород, R3 и R4 соединены друг с другом, образуя кольцо вместе с атомами углерода, к которым они присоединены, и R3 и R4 вместе образуют группу -CH=CH-S-. Такие соединения содержат следующий фрагмент
Другой группой предпочтительных соединений формулы (I) являются те, в которых R7 означает низший алкил или низшую алкокси-, наиболее часто этоксигруппу. Также предпочтительны соединения, в которых R7 означает этил, этокси- или пропоксигруппу. Предпочтительны также соединения формулы (I), в которых R8 означает водород. Предпочтительны также соединения формулы (I), в которых n равно 1. Кроме того, предпочтительны те соединения, в которых n равно 2, или те, в которых n равно 3. Кроме того, предпочтительны те соединения предлагаемого изобретения, в которых R9 и R10 независимо друг от друга означают водород, низший алкил или циклоалкил. Наиболее предпочтительны те, в которых R9 и R10 означают водород. Фармацевтически приемлемые соли соединения формулы (I) и фармацевтически приемлемые эфиры соединений формулы (I) индивидуально образуют предпочтительный класс предлагаемого изобретения. Предпочтительными соединениями общей формулы (I) являются соединения следующей группы: [рац] 2-Этокси-3-{4-[2-(5-метил-2-фенилтиазол-4-ил)этокси]бензо[b]тиофен-7-ил}пропионовая кислота, [рац] 2-Этокси-3-{4-[2-(5-метил-2-фенилтиазол-4-ил)этокси]-5,6,7,8-тетрагидронафтален-1-ил}пропионовая кислота, [рац] 2-Этокси-3-{7-[2-(5-метил-2-фенилтиазол-4-ил)этокси]бензо[b]тиофен-4-ил}пропионовая кислота, [рац] 3-{4-[2-(4-трет-Бутилфенил)тиазол-4-илметокси]-3-метилфенил}-2-этоксипропионовая кислота, [рац] 2-Этокси-3-{4-[2-(4-изопропилфенил)тиазол-4-илметокси]-3-метилфенил}пропионовая кислота, [рац] 2-Этокси-3-{3-метил-4-[2-(4-трифторметилфенил)тиазол-4-илметокси]фенил}пропионовая кислота, [рац] 3-{4-[2-(4-трет-Бутилфенилтиазол-4-илметокси]-3-фторфенил}-2-этоксипропионовая кислота, [рац] 2-Этокси-3-{3-фтор-4-[2-(4-трифторметилфенил)тиазол-4-илметокси]фенил}пропионовая кислота, [рац] 2-Этокси-3-{3-фтор-4-[2-(4-изопропилфенил)тиазол-4-илметокси]фенил}пропионовая кислота, [рац] 2-Этокси-3-(2-метил-4-{2-[5-метил-2-(4-трифторметилфенил)тиазол-4-ил]этокси}фенил)пропионовая кислота, [рац] 2-Этокси-3-{2-метил-4-[2-(5-метил-2-фенилтиазол-4-ил)этокси]фенилпропионовая кислота, [рац] 3-(4-{2-[2-(4-трет-Бутилфенил)-5-метилтиазол-4-ил]этокси}-2-метилфенил)-2-этоксипропионовая кислота, [рац] 2-Этокси-3-(4-{2-[2-(4-изопропилфенил)тиазол-4-ил]этокси}-2-метилфенил)пропионовая кислота, [рац] 3-{4-[2-(4-Хлорфенил)тиазол-4-илметокси]-2-метилфенил}-2-этоксипропионовая кислота, [рац] 3-{4-[2-(4-трет-Бутилфенил)тиазол-4-илметокси]-2-метилфенил}-2-этоксипропионовая кислота, [рац] 2-Этокси-3-{4-[2-(4-изопропилфенил)тиазол-4-илметокси]-2-метилфенил}пропионовая кислота, (2S) 3-{4-[2-(3-Хлор-4-фторфенил)тиазол-4-илметокси]-2-метилфенил}-2-этоксипропионовая кислота, (2S) 2-Этокси-3-{2-метил-4-[2-(4-трифторметилфенил)тиазол-4-илметокси]фенил}пропионовая кислота, (2S) 3-{4-[2-(3-Хлорфенил)тиазол-4-илметокси]-2-метилфенил}-2-этоксипропионовая кислота, (2S) 3-{4-[2-(4-Хлорфенил)тиазол-4-илметокси]-2-метилфенил}-2-этоксипропионовая кислота, (2S) 3-{4-[2-(4-Хлорфенил)тиазол-4-илметокси]-2-метоксифенил}-2-этоксипропионовая кислота, (2S) 3-{2-Хлор-4-[2-(4-хлорфенил)тиазол-4-илметокси]фенил}-2-этоксипропионовая кислота, (2S) 3-{4-[2-(4-Хлорфенил)тиазол-4-илметокси]-2-этилфенил}-2-этоксипропионовая кислота, [рац] 2-Этокси-3-{3-фтор-4-[2-(5-метил-2-фенилтиазол-4-ил)этокси]фенил}пропионовая кислота, [рац] 2-Этокси-3-(3-фтор-4-{2-[2-(4-трифторметилфенил)тиазол-4-ил]этокси}фенил)пропионовая кислота, [рац] 2-Этокси-3-{3-фтор-4-[2-(2-фенилтиазол-4-ил)этокси]фенил}пропионовая кислота, [рац] 2-Этокси-3-[3-фтор-4-(4-метил-2-фенилтиазол-5-илметокси)фенил]пропионовая кислота, [рац] 2-Этокси-3-{3-фтор-4-[3-(2-фенилтиазол-4-ил)пропокси]фенил}пропионовая кислота, [рац] 2-Этокси-3-(3-фтор-4-{2-[5-метил-2-(4-трифторметилфенил)тиазол-4-ил]этокси}фенил)пропионовая кислота, [рац] 3-(4-{2-[2-(4-трет-Бутилфенил)тиазол-4-ил]этокси}-3-фторфенил)-2-этоксипропионовая кислота, [рац] 2-Этокси-3-[2-метил-4-(2-фенилтиазол-4-илметокси)фенил]пропионовая кислота, [рац] 3-{4-[2-(2-Хлорфенил)тиазол-4-илметокси]-2-метилфенил}-2-этоксипропионовая кислота, [рац] 3-{4-[2-(4-трет-Бутилфенил)-4-метилтиазол-5-илметокси]-3-фторфенил}-2-этоксипропионовая кислота, [рац] 3-(4-{2-[2-(4-трет-Бутилфенил)-5-метилтиазол-4-ил]этокси}-3-метилфенил)-2-этоксипропионовая кислота, [рац] 2-Этокси-3-(3-фтор-4-{2-[2-(4-метоксифенил)тиазол-4-ил]этокси}фенил)пропионовая кислота, [рац] 3-{4-[2-(4-Хлорфенил)-4-метилтиазол-5-илметокси]-2-метилфенил}-2-этоксипропионовая кислота, [рац] 2-Этокси-3-{2-метил-4-[4-метил-2-(3-трифторметилфенил)тиазол-5-илметокси]фенил}пропионовая кислота, [рац] 3-{4-[2-(3-Хлор-4-фторфенил)-4-метилтиазол-5-илметокси]-2-метилфенил}-2-этоксипропионовая кислота, [рац] 2-Этокси-3-(4-{2-[2-(4-метоксифенил)-5-метилтиазол-4-ил]этокси}-3-метилфенил)пропионовая кислота, [рац] 2-Этокси-3-(3-фтор-4-{2-[2-(4-метоксифенил)-5-метилтиазол-4-ил]этокси}фенил)пропионовая кислота, [рац] 2-Этокси-3-(3-фтор-4-{2-[2-(4-изопропилфенил)-5-метилтиазол-4-ил]этокси}фенил)пропионовая кислота, [рац] 3-(4-{2-[2-(4-трет-Бутилфенил)-5-метилтиазол-4-ил]этокси}-3-фторфенил)-2-этоксипропионовая кислота, [рац] 2-Этокси-3-(3-фтор-4-{3-[2-(4-изопропилфенил)тиазол-4-ил]пропокси}фенил)пропионовая кислота, [рац] 3-(4-{3-[2-(4-трет-Бутилфенил)-5-метилтиазол-4-ил]пропокси}-3-фторфенил)-2-этоксипропионовая кислота, и их фармацевтически приемлемые соли и/или фармацевтически приемлемые эфиры. Другие предпочтительные соединения общей формулы (I) составляют следующую группу: [рац] 3-(4-{2-[2-(4-трет-Бутилфенил)-5-метилтиазол-4-ил]этокси}-3,5-диметилфенил)-2-этоксипропионовая кислота; [рац] 2-Этокси-3-(4-{2-[2-(4-изопропилфенил)-5-метилтиазол-4-ил]этокси}-3,5-диметилфенил)пропионовая кислота; [рац] 2-Этокси-3-(4-{2-[2-(4-изопропилфенил)-5-метилтиазол-4-ил]этокси}-3-метилфенил)пропионовая кислота; [рац] 3-(4-{2-[2-(4-трет-Бутилфенил)-5-метилтиазол-4-ил]этокси}-3-метоксифенил)-2-этоксипропионовая кислота; [рац] 2-Этокси-3-(3-фтор-4-{2-[2-(4-изопропилфенил)тиазол-4-ил]этокси}фенил)пропионовая кислота; [рац] 2-Этокси-3-{3-фтор-4-[2-(2-п-толилтиазол-4-ил)этокси]фенил}пропионовая кислота; [рац] 2-Этокси-3-{4-[2-(5-метил-2-фенилтиазол-4-ил)этокси]нафтален-1-ил}пропионовая кислота; [рац] 3-{4-[2-(2-Бензо[1,3]диоксол-5-ил-5-метилтиазол-4-ил)этокси]-3-фторфенил}-2-этоксипропионовая кислота; [рац] 2-Этокси-3-{3-фтор-4-[4-метил-2-(4-трифторметилфенил)тиазол-5-илметокси]фенил}пропионовая кислота; [рац] 3-{3-Фтор-4-[4-метил-2-(4-трифторметилфенил)тиазол-5-илметокси]фенил}-2-изопропоксипропионовая кислота; [рац] 3-{4-[2-(3,5-диметоксифенил)тиазол-4-илметокси]-3-фторфенил}-2-этоксипропионовая кислота; [рац] 2-Этокси-3-[3-фтор-4-(2-фенилтиазол-4-илметокси)фенил]пропионовая кислота; [рац] 2-Этокси-3-[3-фтор-4-(2-п-толилтиазол-4-илметокси)фенил]пропионовая кислота; [рац] 2-Этокси-3-{2-этокси-4-[2-(5-метил-2-фенилтиазол-4-ил)этокси]фенил}пропионовая кислота; [рац] 2-Этокси-3-(2-этокси-4-{2-[5-метил-2-(4-трифторметилфенил)тиазол-4-ил]этокси}фенил)пропионовая кислота; [рац] 2-Этокси-3-(3-метил-4-{2-[5-метил-2-(4-трифторметилоксифенил)тиазол-4-ил]этокси}фенил)пропионовая кислота; [рац] 2-Этокси-3-(3-фтор-4-{2-[5-метил-2-(4-трифторметоксифенил)тиазол-4-ил]этокси}фенил)пропионовая кислота; [рац] 2-Изопропокси-3-{3-метокси-4-[2-(5-метил-2-п-толилтиазол-4-ил)этокси]фенил}пропионовая кислота; [рац] 3-(3-Фтор-4-{2-[2-(4-трифторметилфенил)тиазол-4-ил]этокси}фенил)-2-изопропоксипропионовая кислота; [рац] 3-(4-{2-[2-(3,4-Диметоксифенил)-5-метилтиазол-4-ил]этокси}-3-метоксифенил)-2-этоксипропионовая кислота; [рац] 3-(4-{2-[2-(3,5-Диметоксифенил)-5-метилтиазол-4-ил]этокси}-3-метоксифенил)-2-изопропоксипропионовая кислота; [рац] 3-(4-{2-[2-(3,5-Диметилфенил)-5-метилтиазол-4-ил]этокси}-3-метоксифенил)-2-изопропоксипропионовая кислота; [рац] 3-(4-{2-[2-(3,5-Диметилфенил)-5-метилтиазол-4-ил]этокси}-3-метоксифенил)-2-этоксипропионовая кислота; [рац] 2-Этокси-3-{5-этокси-2-фтор-4-[2-(4-изопропилфенил)тиазол-4-илметокси]фенил}пропионовая кислота; [рац] 3-(4-{2-[2-(4-Хлорфенил)-5-метилтиазол-4-ил]этокси}-5-этокси-2-фторфенил)-2-этоксипропионовая кислота; [рац] 3-(4-{2-[2-(3,5-Диметоксифенил)-5-метилтиазол-4-ил]этокси}-3,5-дифторфенил)-2-этоксипропионовая кислота; [рац] 3-(4-{2-[2-(4-Хлорфенил)-5-метилтиазол-4-ил]этокси}-3,5-дифторфенил)-2-этоксипропионовая кислота; [рац] 2-Этокси-3-{4-[2-(5-метил-2-п-толилтиазол-4-ил)этокси]бензо[b]тиофен-7-ил}пропионовая кислота; [рац] 3-(4-{2-[2-(4-трет-Бутилфенил)-5-метилтиазол-4-ил]этокси}нафтален-1-ил)-2-этоксипропионовая кислота; [рац] 3-(4-{2-[2-(4-трет-Бутилфенил)-5-метилтиазол-4-ил]этокси}бензо[b]тиофен-7-ил)-2-этоксипропионовая кислота; [рац] 2-Этокси-3-(4-{2-[2-(4-изопропилфенил)-5-метилтиазол-4-ил]этокси}бензо[b]тиофен-7-ил)пропионовая кислота; [рац] 2-Изопропокси-3-(4-{2-[2-(4-изопропилфенил)-5-метилтиазол-4-ил]этокси}нафтален-1-ил)пропионовая кислота; [рац] 2-Этокси-3-(4-{2-[2-(4-изопропилфенил)-5-метилтиазол-4-ил]этокси}нафтален-1-ил)пропионовая кислота; [рац] 2-Этокси-3-{4-[2-(5-метил-2-п-толилтиазол-4-ил)этокси]нафтален-1-ил}пропионовая кислота; [рац] 2-Изопропокси-3-{4-[2-(5-метил-2-фенилтиазол-4-ил)этокси]бензо[b]тиофен-7-ил}пропионовая кислота; [рац] 3-{4-[2-(5-Метил-2-фенилтиазол-4-ил)этокси]нафтален-1-ил}-2-пропоксипропионовая кислота; [рац] 2-Метокси-3-{4-[2-(5-метил-2-п-толилтиазол-4-ил)этокси]нафтален-1-ил}пропионовая кислота; [рац] 3-{4-[2-(5-Метил-2-п-толилтиазол-4-ил)этокси]нафтален-1-ил}-2-пропоксипропионовая кислота; [рац] 3-(4-{2-[2-(3,5-Диметоксифенил)-5-метилтиазол-4-ил]этокси}бензо[b]тиофен-7-ил)-2-этоксипропионовая кислота; [рац] 3-(4-{2-[2-(3,5-Диметоксифенил)-5-метилтиазол-4-ил]этокси}бензо[b]тиофен-7-ил)-2-метоксипропионовая кислота; [рац] 3-(4-{2-[2-(3,5-Диметоксифенил)-5-метилтиазол-4-ил]этокси}бензо[b]тиофен-7-ил)-2-изопропоксипропионовая кислота; [рац] 3-(4-{2-[2-(4-трет-Бутилфенил)-5-метилтиазол-4-ил]этокси}нафтален-1-ил)-2-изопропоксипропионовая кислота; [рац] 3-(4-{2-[2-(4-трет-Бутилфенил)-5-метилтиазол-4-ил]этокси}бензо[b]тиофен-7-ил)-2-пропоксипропионовая кислота; [рац] 3-(4-{2-[2-(3,5-Диметоксифенил)-5-метилтиазол-4-ил]этокси}нафтален-1-ил)-2-этоксипропионовая кислота; [рац] 2-Этокси-3-{4-[2-(5-метил-2-фенилтиазол-4-ил)этокси]нафтален-1-ил}пропионовая кислота; [рац] 2-Этокси-3-{4-[2-(5-метил-2-фенилтиазол-4-ил)этокси]бензо[b]тиофен-7-ил}пропионовая кислота; [рац] 2-Этокси-3-[2-метил-4-(4-метил-2-фенилтиазол-5-илметокси)фенил]пропионовая кислота; [рац] 3-{4-[2-(2-Хлорфенил)-4-метилтиазол-5-илметокси]-2-метилфенил}-2-этоксипропионовая кислота; (S) 3-{4-[2-(4-Хлорфенил)тиазол-4-илметокси]-2-фторфенил}-2-этоксипропионовая кислота; [рац] 3-{7-[2-(4-Хлорфенил)тиазол-4-илметокси]-2,3-дигидробензофуран-4-ил}-2-этоксипропионовая кислота; [рац] 3-{7-[2-(4-Хлорфенил)тиазол-4-илметокси]бензофуран-4-ил}-2-этоксипропионовая кислота; [рац] 2-Этокси-3-[2-метил-4-(5-метил-2-фенилтиазол-4-илметокси)фенил]пропионовая кислота; [рац] 3-{4-[2-(4-Хлорфенил)-5-метилтиазол-4-илметокси]-2-метилфенил}-2-этоксипропионовая кислота; [рац] 2-Этокси-3-(4-{2-[2-(4-метоксифенил)-5-метилтиазол-4-ил]этокси}-2-метилфенил)пропионовая кислота; [рац] 2-Этокси-3-(4-{2-[2-(4-метоксифенил)-тиазол-4-ил]этокси}-2-метилфенил)пропионовая кислота; [рац] 2-Этокси-3-{4-[2-(3-метоксифенил)-4-метилтиазол-5-илметокси]-2-метилфенил}пропионовая кислота; [рац] 3-{4-[2-(2,4-Дихлорфенил)-4-метилтиазол-5-илметокси]-2-метилфенил}-2-этоксипропионовая кислота; [рац] 3-(4-{3-[2-(4-трет-Бутилфенил)-5-метилтиазол-4-ил]пропокси}-2-метилфенил)-2-этоксипропионовая кислота; (S) 3-{4-[2-(4-Хлорфенил)тиазол-4-илметокси]-2,6-диметилфенил}-2-этоксипропионовая кислота; [рац] 3-(4-{2-[2-(4-Хлорфенил)-4-метилтиазол-5-ил]этокси}-2-метилфенил)-2-этоксипропионовая кислота; [рац] 2-Этокси-3-{2-метил-4-[4-метил-2-(4-трифторметилфенил)тиазол-5-илметокси]фенил}пропионовая кислота; [рац] 3-(4-{2-[2-(2-Хлорфенил)-4-метилтиазол-5-ил]этокси}-2-метилфенил)-2-этоксипропионовая кислота; (S) 2-Этокси-3-{2-этил-4-[4-метил-2-(4-трифторметилфенил)тиазол-5-илметокси]фенил}пропионовая кислота; (S) 3-{2,6-Диметил-4-[4-метил-2-(4-трифторметилфенил)тиазол-5-илметокси]фенил}-2-этоксипропионовая кислота; [рац] 2-Этокси-3-{2-метил-4-[2-(4-трифторметилфенил)тиазол-5-илметокси]фенил}пропионовая кислота; [рац] 2-Этокси-3-(2-метил-4-{2-[4-метил-2-(3-трифторметилфенил)тиазол-5-ил]этокси}фенил)пропионовая кислота; [рац] 2-Этокси-3-{2-метил-4-[2-(4-метил-2-фенилтиазол-5-ил)этокси]фенил}пропионовая кислота; 2-Этокси-3-(2-метил-4-{1-[4-метил-2-(4-трифторметилфенил)тиазол-5-ил]этокси}фенил)пропионовая кислота (смесь двух диастереомерных рацематов); [рац] 2-Этокси-3-(2-метил-4-{1-метил-1-[4-метил-2-(4-трифторметилфенил)тиазол-5-ил]этокси}фенил)пропионовая кислота; 2-Этокси-3-(2-метил-4-{2-метил-1-[4-метил-2-(4-трифторметилфенил)триазол-5-ил]пропокси}фенил)пропионовая кислота (смесь двух диастереомерных рацематов); [рац] 2-Этокси-3-(2-метил-4-{1-метил-1-[2-(4-трифторметилфенил)тиазол-5-ил]этокси}фенил)пропионовая кислота; 2-Этокси-3-(2-метил-4-{1-[2-(4-трифторметилфенил)тиазол-5-ил]этокси}фенил)пропионовая кислота (смесь двух диастереомерных рацематов); 2-Этокси-3-(2-метил-4-{1-[4-метил-2-(4-трифторметилфенил)тиазол-5-ил]бут-3-енилокси}фенил)пропионовая кислота (смесь двух диастереомерных рацематов); 2-Этокси-3-(2-метил-4-{1-[4-метил-2-(4-трифторметилфенил)тиазол-5-ил]бутокси}фенил)пропионовая кислота (смесь двух диастереомерных рацематов); (2S) 2-Этокси-3-(2-этил-4-{(1R/S)-[4-метил-2-(4-трифторметилфенил)тиазол-5-ил]этокси}фенил)пропионовая кислота; (2S) 2-Этокси-3-(2-метокси-4-{(1R/S)-[4-метил-2-(4-трифторметилэтил)тиазол-5-ил]этокси}фенил)пропионовая кислота; 3-(4-{Циклопропил-[4-метил-2-(4-трифторметилфенил)тиазол-5-ил]метокси}-2-метилфенил)-2-этоксипропионовая кислота (смесь двух диастереомерных рацематов); 3-(4-{Циклопентил-[4-метил-2-(4-трифторметилфенил)тиазол-5-ил]метокси}-2-метилфенил)-2-этоксипропионовая кислота (смесь двух диастереомерных рацематов); 2-Этокси-3-(2-метил-4-{[4-метил-2-(4-трифторметилфенил)тиазол-5-ил]фенилметокси}фенил)пропионовая кислота (смесь двух диастереомерных рацематов); 3-(4-{3-[1,3]Диоксан-2-ил-1-[4-метил-2-(4-трифторметилфенил)тиазол-5-ил]пропокси}-2-метилфенил)-2-этоксипропионовая кислота (смесь двух диастереомерных рацематов); [рац] 2-{2-Метил-4-[4-метил-2-(4-трифторметилфенил)тиазол-5-илметокси]бензил}масляная кислота; [рац] 2-{2-Метил-4-[4-метил-2-(4-трифторметилфенил)тиазол-5-илметокси]бензил}гептановая кислота; 2-(4-{Циклопропил-[4-метил-2-(4-трифторметилфенил)тиазол-5-ил]метокси}-2-метилбензил)гептановая кислота (смесь двух диастереомерных рацематов); 2-(4-{Циклопропил-[4-метил-2-(4-трифторметилфенил)тиазол-5-ил]метокси}-2-метилбензил)масляная кислота (смесь двух диастереомерных рацематов); [рац] 2-(2-Метил-4-{1-метил-1-[4-метил-2-(4-трифторметилфенил)тиазол-5-ил]этокси}бензил)масляная кислота; [рац] 2-(2-Метил-4-{1-метил-1-[4-метил-2-(4-трифторметилфенил)тиазол-5-ил]этокси}бензил)гептановая кислота; [рац] 2-Бутокси-3-{2-метил-4-[4-метил-2-(4-трифторметилфенил)тиазол-5-илметокси]фенил}пропионовая кислота; 2-Бутокси-3-(4-{циклопропил-[4-метил-2-(4-трифторметилфенил)тиазол-5-ил]метокси}-2-метилфенил)пропионовая кислота (смесь двух диастереомерных рацематов); [рац] 2-Этокси-3-(4-{2-[4-метил-2-(4-трифторметилфенил)тиазол-5-ил]этокси}-5,6,7,8-тетрагидронафтален-1-ил)пропионовая кислота; [рац] 2-Этокси-3-{4-[4-метил-2-(4-трифторметилфенил)тиазол-5-илметокси]-5,6,7,8-тетрагидронафтален-1-ил}пропионовая кислота; [рац] 2-Этокси-3-{4-[2-(4-трифторметилфенил)тиазол-5-илметокси]-5,6,7,8-тетрагидронафтален-1-ил}пропионовая кислота; [рац] 2-Метокси-3-{4-[4-метил-2-(4-трифторметилфенил)тиазол-5-илметокси]нафтален-1-ил}пропионовая кислота; [рац] 2-Этокси-3-{4-[4-метил-2-(4-трифторметилфенил)тиазол-5-илметокси]нафтален-1-ил}пропионовая кислота; [рац] 2-Метокси-3-{4-[4-метил-2-(4-трифторметилфенил)тиазол-5-илметокси]бензо[b]тиофен-7-ил}пропионовая кислота; [рац] 2-Этокси-3-{4-[4-метил-2-(4-трифторметилфенил)тиазол-5-илметокси]бензо[b]тиофен-7-ил}пропионовая кислота; 2-Метокси-3-(4-{2-метил-1-[4-метил-2-(4-трифторметилфенил)тиазол-5-ил]пропокси}бензо[b]тиофен-7-ил)пропионовая кислота (смесь двух диастереомерных рацематов); и их фармацевтически приемлемые соли и/или фармацевтически приемлемые эфиры. Особо предпочтительные соединения формулы (I) составляют следующую группу: [рац] 2-Этокси-3-{4-[2-(5-метил-2-фенилтиазол-4-ил)этокси]бензо[b]тиофен-7-ил}пропионовая кислота, [рац] 2-Этокси-3-{4-[2-(4-изопропилфенил)тиазол-4-илметокси]-3-метилфенил}пропионовая кислота, [рац] 2-Этокси-3-{3-фтор-4-[2-(4-трифторметилфенил)тиазол-4-илметокси]фенил}пропионовая кислота, [рац] 2-Этокси-3-{2-метил-4-[2-(5-метил-2-фенилтиазол-4-ил)этокси]фенил}пропионовая кислота, [рац] 3-{4-[2-(4-Хлорфенил)тиазол-4-илметокси]-2-метилфенил}-2-этоксипропионовая кислота, (2S) 3-{4-[2-(4-Хлорфенил)тиазол-4-илметокси]-2-метилфенил}-2-этоксипропионовая кислота, (2S) 3-{2-Хлор-4-[2-(4-хлорфенил)тиазол-4-илметокси]фенил}-2-этоксипропионовая кислота, [рац] 2-Этокси-3-(3-фтор-4-{2-[2-(4-трифторметилфенил)тиазол-4-ил]этокси}фенил)пропионовая кислота, и их фармацевтически приемлемые соли и/или фармацевтически приемлемые эфиры. Другую группу особенно предпочтительных соединений формулы (I) составляют следующие соединения: [рац] 2-Этокси-3-(3-фтор-4-{3-[2-(4-изопропилфенил)тиазол-4-ил]пропокси}фенил)пропионовая кислота; [рац] 2-Этокси-3-{5-этокси-2-фтор-4-[2-(4-изопропилфенил)тиазол-4-илметокси]фенил}пропионовая кислота; [рац] 3-(4-{2-[2-(3,5-Диметоксифенил)-5-метилтиазол-4-ил]этокси}бензо[b]тиофен-7-ил)-2-изопропоксипропионовая кислота; (S) 3-{4-[2-(4-Хлорфенил)тиазол-4-илметокси]-2-фторфенил}-2-этоксипропионовая кислота; 2-Этокси-3-(2-метил-4-{1-[4-метил-2-(4-трифторметилфенил)тиазол-5-ил]этокси}фенил)пропионовая кислота (смесь двух диастереомерных рацематов); 2-Этокси-3-(2-метил-4-{2-метил-1-[4-метил-2-(4-трифторметилфенил)тиазол-5-ил]пропокси}фенил)пропионовая кислота (смесь двух диастереомерных рацематов); 2-(4-{Циклопропил-[4-метил-2-(4-трифторметилфенил)тиазол-5-ил]метокси}-2-метилбензил)масляная кислота (смесь двух диастереомерных рацематов); [рац] 2-Этокси-3-{4-[2-(4-трифторметилфенил)тиазол-5-илметокси]-5,6,7,8-тетрагидронафтален-1-ил}пропионовая кислота; [рац] 2-Этокси-3-{4-[4-метил-2-(4-трифторметилфенил)тиазол-5-илметокси]нафтален-1-ил}пропионовая кислота; и их фармацевтически приемлемые соли и/или фармацевтически приемлемые эфиры. Соединения формулы (I) могут иметь один или более асимметрических атомов углерода и могут существовать в виде оптически чистых энантиомеров, смесей энантиомеров, например, в виде рацематов, оптически чистых диастереоизомеров, диастереоизомерных рацематов или смеси диастереоизомерных рацематов. Оптически активные формы могут быть получены, например, разделением рацематов, асимметрическим синтезом или асимметрической хроматографией (хроматографией с хиральными абсорбентами или элюатами). Изобретение охватывает все эти формы. Считается благоприятным, если соединения общей формулы (I) предлагаемого изобретения могут быть дериватизированы по функциональным группам, давая производные, способные вновь образовывать нативное соединение in vivo. Физиологически приемлемые и метаболически лабильные производные, способные образовывать исходные соединения общей формулы (I) in vivo, также являются предметом предлагаемого изобретения. Следующий аспект предлагаемого изобретения представляет собой способ получения соединений формулы (I), как указано выше, который включает удаление защитной группы в соединении формулы (II) в которой R1, R2, R3,R4, R5, R6, R7, R8,R9, R10, Y и n означают то, что указано выше, и PG означает защитную группу. Возможными защитными группами в соединениях формулы (II) являются, например, низшие алкил-эфиры, Дальнейшая область применения предлагаемого изобретения относится к получению соединений формулы (I), как описано выше, согласно способам, описанным выше. Как описано выше, соединения формулы (I), предлагаемые в изобретении, могут быть применены в качестве лекарственных средств для лечения и/или предупреждения заболеваний, которые модулируются PPAR Предлагаемое изобретение также описывает фармацевтические композиции, включающие соединение, описанное выше, и фармацевтически приемлемый носитель и/или вспомогательный материал. Кроме того, изобретение предлагает описанные выше соединения в качестве терапевтически активных субстанций, в частности, терапевтически активных субстанций для лечения и/или предупреждения заболеваний, которые модулируются PPAR Кроме того, изобретение предлагает метод лечения и/или предупреждения заболеваний, модулируемых PPAR Предлагаемое изобретение включает применение описанных выше соединений для лечения и/или предупреждения заболеваний, модулируемых агонистами PPAR Кроме того, изобретение предлагает применение описанных выше соединений для приготовления лекарственных средств для лечения и/или предупреждения заболеваний, модулируемых агонистами PPAR Соединения формулы (I) могут быть получены по методам, приведенным ниже, методами, данными в примерах, или аналогичными методами. Подходящие условия реакций для индивидуальных стадий реакций известны специалистам. Исходные материалы или являются коммерчески доступными, или могут быть получены методами, аналогичными приведенным ниже, или описанными в ссылках, цитируемых в тексте, или в примерах, или широко известными методами. Рацематы соединений формулы (I) (соединения 9 и 10 в схеме 1) могут быть синтезированы по методам, приведенным в схеме 1, или по аналогичным методам. Гомохиральные соединения формулы (I) (соединения 8 и 9 в схеме 2 и соединения 6 и 7 в схеме 3) могут быть получены методами, указанными в схемах 2 и 3, или аналогичными методами. Схема 1 Альдегиды 1 могут реагировать с солью Виттига 2, такой как хлорид (1,2-диэтокси-2-оксоэтил)трифенилфосфония или бромид (1,2-диметокси-2-оксоэтил)трифенилфосфония в таких растворителях, как изопропанол, дихлорметан или тетрагидрофуран или в их смесях, в присутствии таких оснований, как карбонат калия, 1,8-диазабицикло[5.4.0]ундек-7-ен (DBU) или 1,1,3,3-тетраметилгуанидин, в предпочтительном температурном интервале между 0°С и температурой кипения растворителя, давая в качестве продукта акриловые эфиры 3 в виде Е и/или Z изомеров (стадия а). Гидрогенизация акриловых эфиров 3 с использованием палладия на угле в качестве катализатора предпочтительно при комнатной температуре и давлении водорода 1 атм в таких растворителях, как метанол, этанол, тетрагидрофуран, уксусная кислота или в их смесях, приводит к получению рацемических эфиров 7, с которых защитная группа может быть снята восстановлением (стадия f). Гидрогенизация соединений, в которых R3-R4 вместе с бензольным кольцом, к которому они присоединены, образуют бензофурановый фрагмент, может быть осуществлена при более продолжительном времени реакции; при этом образуются бензодигидрофурановые аналоги. Восстановление двойной связи в соединениях, в которых R3-R4 вместе с бензольным кольцом, к которому они присоединены, образуют бензотиофеновый или бензофурановый фрагменты, происходит предпочтительно с таким восстанавливающим металлом, как магний, в смесях растворителей, таких как тетрагидрофуран/метанол, в температурном интервале от комнатной температуры до температуры кипения растворителей и приводит к получению насыщенных соединений 6 (стадия е). Защитная группа, например, бензиловый эфир, удаляется при действии, например, диметилсульфида и эфирата трехфтористого бора в растворителе, подобном дихлорметану, в температурном интервале от комнатной температуры до температуры кипения растворителя, образуя фенольные соединения 7 (стадия h). По другому способу альдегиды 1 реагируют с енолятами эфиров алкановых кислот или эфиров 4 алкокси- или арилоксиуксусной кислоты (предпочтительно с енолятами лития, приготовленными при -78°С обработкой соединения 4 сильным не- нуклеофильным основанием, подобным диизопропиламиду лития, в инертном растворителе, подобном тетрагидрофурану), предпочтительно при температуре около -78°С в растворителе, подобном тетрагидрофурану, образуя альдольный продукт 5 в виде смеси диастереомеров (стадия b). Удаление бензилоксигруппы в соединении 5 восстанавливающим агентом, например, триэтилсиланом в присутствии кислоты Льюиса, такой как трифторид бора, или протонной кислоты, например, трифторуксусной, в подходящем растворителе, например, в самой трифторуксусной кислоте или дихлорметане при температуре между 0°С и 60°С приводит к получению рацемических эфиров 6 (стадия d). Последующее удаление защитной группы, например бензилоксигруппы, может быть осуществлено по стандартной методике, например, каталитическим гидрированием с использованием водорода и катализатора, подобного палладию, что приводит к получению фенольных соединений 7 (стадия h). Каталитическое гидрирование может быть также использовано для того, чтобы в одну стадию перевести защищенные бензильной группой гидроксисоединения 5 в фенольные соединения 7 (стадия g) предпочтительно с использованием палладия на угле в качестве катализатора в присутствии кислоты, например оксалиловой, в спиртовых растворителях при температуре, близкой к комнатной, и давлении водорода до 100 бар. Отщепление защитной функции может быть также произведено до удаления бензилоксигруппы; в этом случае могут быть выбраны такие же условия реакции для удаления бензилоксигруппы, как описанные ранее для изменений структуры в соединениях 5. В качестве альтернативного метода соединения 5 могут быть обработаны каталитическими количествами кислоты, например, п-толуолсульфоновой, в растворителях, подобных бензолу или толуолу, предпочтительно в условиях, обеспечивающих удаление выделяющейся воды (например, с насадкой Дина-Старка или в присутствии молекулярных сит), при температуре от комнатной до температуры кипения растворителя; это приводит к образованию акриловых эфиров 3 (стадия с). Арилтиазольные соединения 8 (полученные по схемам 11-14) конденсируют с фенолами 7 в соответствии с хорошо известными методами: так, если R11 является гидроксигруппой, то по реакции Мицуноби с трифенилфосфином и ди-трет-бутил-, диизопропил- или диэтилазодикарбоксилатом в качестве реагентов; эту реакцию проводят преимущественно в таких растворителях, как толуол, дихлорметан или тетрагидрофуран при комнатной температуре. Напротив, если R11 является галоидом, мезильной или тозильной группой, арилтиазолы 8 могут реагировать с фенолами 7 в таких растворителях, как N,N-диметилформамид, ацетонитрил, ацетон или метилэтилкетон в присутствии слабых оснований типа карбонатов цезия или калия при температуре от комнатной до 140°С, предпочтительно около 50°С, образуя эфирные соединения 9 (стадия i). Эти соединения могут быть гидролизованы по стандартным методикам, например, обработкой щелочными гидроксидами, подобными LiOH или NaOH, в смеси полярных растворителей, например, тетрагидрофуран/этанол/вода, приводящей к получению карбоновых кислот 10 (стадия k). Если арилтиазольные соединения 8 (полученные по описанным схемам 11-14) содержат хиральные центры, то и эфирные соединения 9, и карбоновые кислоты 10 получают в виде смесей диастереомеров, которые могут быть разделены по хорошо известным методикам, например, с помощью ВЭЖХ или кристаллизацией. Схема 2 Гомохиральные эфиры альфа-замещенной фенилпропионовой кислоты формулы 8 и свободные кислоты формулы 9 могут быть получены согласно методу, указанному на схеме 2, или аналогичными известными методами. Хорошо известное хиральное вспомогательное соединение 2[(S)4-бензилоксазолидин-2-он] конденсируется с алканоилхлоридом или с алкокси- или арилоксиацетилхлоридом 1 в присутствии сильного основания, подобного н-бутиллитию, в инертном растворителе, подобном тетрагидрофурану, при температуре около -78°С, образуя структурный блок 3 (стадия а). Последний затем обрабатывают, согласно литературным данным (Tetrahedron Asymmetry 10, 1999, сс.1353-1367), трифлатом дибутилбора и третичным амином, подобным триэтиламину, в дихлорметане, получая соответствующий енолят бора, который затем вводят в реакцию при низких температурах с альдегидами 4, получая соединения 5 (стадия b). В соединениях 5 существенно преобладает один из четырех возможных стереоизомеров (стереохимия не подтверждена жесткими доказательствами относительно позиции бензильной группы). Соединения 5 переводят в фенольные промежуточные соединения тремя последовательными стадиями: 1) тщательно контролируемое образование эфира с использованием минимального избытка алкоголята в соответствующем спирте в качестве растворителя или в растворителях, подобных тетрагидрофурану или диоксану, при температуре от -20°С до комнатной (стадия с); 2) восстановительное удаление бензилоксигруппы, как описано выше, для превращения соединения 5 в соединение 6 в схеме 1 (стадия d); 3) удаление защитной группы по стандартной методике (стадия е). Порядок трех стадий реакции с, d, е может меняться, и также возможно одновременное удаление бензилоксигруппы и защитной бензильной группы, как это описано для превращения соединений 5 в соединения 7 по схеме 1. Превращение фенольных промежуточных соединений 6 в эфиры 8 и/или кислоты 9 может быть осуществлено по схеме, полностью аналогичной описанной для рацемических фенольных промежуточных соединений 7 в схеме 1 (стадии f и g). При тщательном соблюдении условий реакции, детально описанных в экспериментальной части, рацемизация в ходе этой реакционной последовательности маловероятна. Оптическая чистота соединений 8 и 9 может быть определена хиральной препаративной ВЭЖХ или 1Н ЯМР-спектроскопией в присутствии хирального растворителя, подобного 1-(9-антрил)-2,2,2-трифторэтанолу. Если арилтиазольные соединения 7 (полученные по схемам 11-14) содержат хиральные центры и не являются оптически чистыми, эфирные соединения 8 и карбоновые кислоты 9 получаются в виде смесей диастереомеров, которые могут быть разделены известными способами, например, препаративной ВЭЖХ или кристаллизацией. Схема 3 Гомохиральные эфиры альфа-замещенных фенилпропионовых кислот формулы 6 и свободные кислоты формулы 7 могут быть также получены в соответствии с линейной последовательностью синтеза, отображенной на схеме 3. Так, реакции, ранее описанные в схеме 2, проводят в другой последовательности, начиная с конденсации арилтиазольных синтонов 1 с фенолами 2, что приводит к соединениям 3, содержащим альдегидный фрагмент (стадия а). Эти эфирные соединения 3 реагируют далее с хиральными синтонами (соединения 3 в схеме 2), образуя альдольные аддукты 4 (стадия b). Удаление бензилоксигруппы в соединениях 4 приводит к соединениям 5 (стадия с), которые могут быть превращены в соответствующие эфиры 6 (стадия d) или кислоты 7 (стадия е), как это описано для аналогичных реакций в схемах 1 и 2 соответственно. Эфирные соединения 6 могут быть гидролизованы до кислот 7 (стадия f). Если арилтиазольные соединения 1 (полученные по схемам 11-14) содержат хиральные центры и не являются оптически чистыми, эфирные соединения 6 и карбоновые кислоты 7 образуются в виде смесей диастереомеров, которые могут быть разделены известными способами, например, препаративной ВЭЖХ или кристаллизацией. Альдегиды 1 (схема 1), альдегиды 4 (схема 2) и альдегиды 2 (схема 3) известны или могут быть получены известными способами. Примеры возможных синтезов этих ключевых промежуточных соединений приведены в схемах 4-10. Схема 4 Фенолы 1 могут быть превращены в альдегиды 3 либо известными реакциями формилирования, такими, например, как формилирование по Вильсмайеру обработкой гексаметилентетрамином в кислой среде, например, в присутствии серной кислоты или, предпочтительно, в трифторуксусной кислоте как растворителе при температуре между 0°С и температурой кипения трифторуксусной кислоты, или формилирование дихлорметилметиловым эфиром в присутствии тетрахлорида титана, предпочтительно в дихлорметане при температуре между -78°С и температурой кипения растворителя (стадия а). Альтернативно может быть использован двухстадийный процесс: введение галоида в пара-положение, например, с использованием N-бром- или N-иодсукцинимида, например, в смеси концентрированной серной кислоты и тетрагидрофурана, предпочтительно при комнатной температуре с последующим обменом галоида на металл, осуществляемого обработкой алкиллитием, например, бутиллитием, предпочтительно при температуре около -78°С, и последующим взаимодействием образовавшегося ариллития с переносящим формильную группу реагентом типа N,N-диметилформамида или N-формилпиперидина (стадии b и с). Альтернативно для введения формильной группы в стадии с может быть применена реакция карбонилирования, например, с использованием формиата натрия, дихлорида бис(трифенилфосфин)палладия(II) и газообразного СО в растворителе, подобном N,N-диметилформамиду, предпочтительно при температуре около 100°С. Схема 5 4-Гидроксибензофуран 5 (R6=H) [Synthetic Communications, 16, №13, 1986, сс.1635-1640; Helvetica Chimica Acta, 16, 1933, cc.121-129] и 4-гидроксибензотиофен 9 (R6=H) [Jpn. Kokai Tokkyo Koho, 2001, 2001048876 A2] известны. Так, циклогексан-1,3-дионы 1 с различными заместителями R6 в положении 5 могут быть введены в реакцию с бромпировиноградной кислотой в метаноле в присутствии основания, подобного гидроксиду калия, при температуре между 0°С и температурой кипения метанола с последующей обработкой соляной кислотой при температуре около 100°С, давая фуранкарбоновые кислоты 3 (стадия а). Обработкой этих фуранкарбоновых кислот 3 в инертном растворителе типа декагидронафталина в присутствии акцептора водорода типа додецена и палладия на угле, предпочтительно при кипении, получают карбоксибензофураны 4 (стадия b), которые декарбоксилируют до бензофуранов 5, например при использовании порошка меди в хинолине при температуре между 200°С и 240°С (стадия с). Подобно превращениям, описанным в схеме 4, бензофураны 5 могут быть в итоге превращены в промежуточные формилированные бензофураны 6 (стадия d). Взаимодействие 2-тиофенкарбальдегида с подходящими производными виниллития или винилмагния в растворителях, подобных тетрагидрофурану или 1,2-диметоксиэтану, предпочтительно при температуре в интервале от -78°С до комнатной, с последующей обработкой in situ уксусным ангидридом приводит к получению тиофенов 8 с различными заместителями R6 (стадия е). Реакцией тиофенов 8 с монооксидом углерода при предпочтительном давлении от 20 до 60 бар с палладиевым катализатором, таким как ацетат палладия, и фосфином, подобным трифенилфосфину, в смеси растворителей, обычно состоящей из уксусного ангидрида, триэтиламина и толуола или тетрагидрофурана, в температурном интервале от 100°С до 160°С получают после омыления ацетатной группы бензотиофены 9 (стадия f). Бензотиофены по схеме 9 могут быть превращены в формилированные бензотиофеновые промежуточные соединения 10 (стадия g). Схема 6 2-Гидрокси-3-метоксибензальдегид 1, иногда замещенный в положении 5 бромидом, может быть превращен в бензо[b]тиофен-7-ол 6 или 5-бром-бензо[b]тиофен-7-ол 6. Эта последовательность может быть проведена по методу, описанному в J. Chem. Soc., Perkin Trans. 1, №12, 1983, сс.2973-2977 для превращения 2-гидрокси-3-метоксибензальдегида в бензо[b]тиофен-7-ол. Она предполагает следующие стадии: взаимодействие с N,N-диметилтиокарбонилхлоридом в растворителе, подобном тетрагидрофурану, в присутствии водного основания, такого как гидроксид калия в воде, или в присутствии органического основания, подобного диизопропилэтиламину, при температуре предпочтительно в интервале от 0°С до комнатной с получением тионокарбаматов 2 (стадия а); термическую перегруппировку соединений 2 без растворителя или предпочтительно в инертном растворителе типа дифенилового эфира при температуре от 200°С до 280°С в арилтиокарбаматы 3 (стадия b); омыление в спиртовом растворителе с основанием, подобным гидроксиду калия, предпочтительно при температуре между комнатной и температурой кипения растворителя с получением тиофенолов 4 (стадия с); реакцию этих тиофенолов 4 с хлорацетатом натрия в воде или смеси вода/спирт в присутствии основания типа гидроксида натрия или калия в температурном интервале между комнатной температурой и температурой кипения растворителя, приводящую к получению бензотиофенкарбоновых кислот 5 (стадия d); декарбоксилирование, например, в хинолине в присутствии порошка меди для органических синтезов при температуре в интервале от 200°С до 240°С с последующим отщеплением метилэфирной группы, например, обработкой водной бромистоводородной кислотой в уксусной кислоте при кипении, приводящее к бензо[b]тиофен-7-олам 6 (стадия е). Аналогично превращению, описанному в схеме 4, бензо[b]тиофен-7-олы 6 могут быть переведены в формилированные бензо[b]тиофен-7-ольные промежуточные соединения 7 (стадия f). 7-Гидроксифуран известен и коммерчески доступен [J. Med. Chem. 30, №1, 1987, сс.62-67]. В последовательности, аналогичной описанной выше, 5-бром-аналог может быть получен из 2-гидрокси-3-метоксибензальдегида 1 по реакции с этилхлорацетатом в растворителе, подобном N,N-диметилформамиду, в присутствии такого основания, как карбонат калия, при температуре между 60°С и 120°С, что приводит к бензофуранкарбоновой кислоте 8 (стадия g). Декарбоксилирование по схеме, описанной выше, и последующее расщепление эфира, предпочтительно гидрохлоридом пиридина, при температуре около 200°С приводит к 5-бром-7-гидроксибензофурану 9 (стадия h). Аналогично превращениям, описанным в схеме 4, 5-бром-7-гидроксибензофуран 9 может быть в итоге превращен в формилированный 5-бром-7-гидроксибензофурановый промежуточные соединения 10 (стадия i). Схема 7 1-Гидрокси-4-формилнафтален 1 и 2,3-аннелированные фенолы 2 с размером колец 5, 6 и 7 являются коммерчески доступными или известными соединениями [J. Am. Chem. Soc. 110, №19, 1988, cc.6471-6480; U.S. (2000) 6121397; PCT Int. Appl. (1999) WO 99/10339]. Подобно превращениям, описанным в схеме 4, 2,3-аннелированные фенолы 2 могут быть превращены в формилированные 2,3-аннелированные фенолы 3 (стадия а). 3-Бром-1-гидроксинафтален 5 – промежуточное соединение, несущий функциональную группу, обеспечивающую синтетические модификации на последней стадии, может быть получен из 3-нитро-1-метоксинафталена 4 [Monatsh. Chem. 123, №6-7, 1992, сс.637-645] по хорошо отработанным методикам, т.е. восстановлением нитрогруппы, например, гидрогенизацией в присутствии палладиевого катализатора с последующим диазотированием, реакцией Зандмейера и расщеплением метилэфирной группы, что приводит к получению 3-бром-1-гидроксинафталена 5 (стадии b, c, d). Подобно превращениям, описанным в схеме 4, 3-бром-1-гидроксинафтален 5 может быть превращен в 3-бром-4-формил-1-гидроксинафтален 6 (стадия е). 2,3-Аннелированные карбоновые кислоты 7 известны, известны и их 3-бром-аналоги 8, которые также могут быть получены известными методами бромирования ароматических соединений [J. Org. Chem., 43, №11, 1978, cc.2167-70; Ger. Offen., 1977, DE 2633905] (стадия f). Такие 3-бромбензойные кислоты могут затем быть превращены в соответствующие фенолы 9 известными методами, такими, например, как исчерпывающее восстановление бораном до соответствующего спирта, окисление, например, в условиях Шверна (оксалилхлорид/диметилсульфоксид/триэтиламин в дихлорметане в интервале от -78°С до комнатной температуры) в соответствующий альдегид с последующим окислением по Байер-Виллигер, например, надуксусной кислотой (40%) в уксусной кислоте (стадии g, h, i). Подобно превращениям, описанным в схеме 4, фенолы 9 могут быть превращены в промежуточные соединения 10 (стадия k). Схема 8 Бромметокси-соединение 1, включающее аннелированное дигидро-2H-пирановое кольцо, известно [Can. J. Chem., 60, №16, 1982, сс.2093-2098]. Расщепление эфирной метоксигруппы гидрохлоридом пиридина при температуре около 200°С приводит к 3-бромфенолу 2 (стадия а). Подобно превращениям, описанным в схеме 4, соединение 2 может быть превращено в промежуточное соединение 3 (стадия b). Изомерный структурный блок может быть получен следующим образом: карбоновая кислота 4 [U.S. (1999), US 5856529 А] может быть бромирована до 3-бромпроизводного 5 (стадия с), которое может быть далее превращено в фенол 6 последовательностью реакций, аналогичной описанной для превращения соединений 8 в соединения 9 в схеме 7 (стадии d, e, f). Подобно превращениям, описанным в схеме 4, фенол 6 может быть превращен в промежуточное соединение 7 (стадия g). Схема 9 3-Бромфенолы 1 (промежуточные соединения 6 в схеме 6, промежуточные соединения 9 в схеме 6, промежуточные соединения 5 в схеме 7, промежуточные соединения 9 в схеме 7, промежуточные соединения 2 и 6 в схеме 8), необязательно содержащие защитную группу, могут быть превращены в аналогичные фенолы 2 с различными заместителями R6 путем первоначального превращения бром-соединения в соответствующее ариллитиевое производное (например, с использованием алкиллития в растворителе, подобном тетрагидрофурану, при температуре предпочтительно -78°С) и реакцией последнего с различными электрофилами по хорошо известным методикам (стадия а). Для получения фенолов (R6=ОН) ариллитиевые соединения вводят в реакцию с триметилборатом при температуре от -78°С до температуры кипения тетрагидрофурана с последующим окислением, например, N-метилморфолин-N-оксидом или системой H2O2-NaOH предпочтительно при температуре кипения тетрагидрофурана [Synlett 9, 1995, сс.931-932]. Эти фенолы 2 с R6=ОН можно превратить в соответствующие эфирные соединения хорошо известными методами. Подобно последовательности реакций, описанной в схеме 4, фенольные соединения 2 могут быть в итоге превращены в фенолальдегидные промежуточные соединения 3 (стадия b). Схема 10 Фенолы 1, в ряде случаев включающие защитную группу, могут быть далее превращены в фенолы 2, имеющие дополнительные заместители R5, известными методами ароматического электрофильного замещения. Во многих случаях будет образовываться смесь продуктов орто/пара- замещения и орто/пара-дизамещения в соотношениях, зависящих от условий реакции. В таких случаях реакционные условия могут быть оптимизированы с тем, чтобы получить наиболее высокий выход монозамещенного орто-продукта; иногда смеси продуктов могут быть также разделены на индивидуальные изомеры известными методами, например, хроматографией на силикагеле (стадия а). 4-Формилзамещенные соединения 3 могут быть получены из фенолов 1, иногда защищенных, превращениями, описанными в схеме 4 (стадия b). 4-Формилзамещенные соединения 3 могут затем быть использованы в качестве исходных реагентов при применении известных методов электрофильного ароматического замещения, приводящих к соединениям 4 с дополнительными заместителями R5 (стадия с). В альтернативных случаях соединения 4 могут быть получены из фенолов 2 превращениями, описанными в схеме 4 (стадия d). Схема 11 Тиоамиды 1 известны или могут быть получены известными методами, например, обработкой соответствующего карбоксамида пентасульфидом фосфора или реагентом Лоуссона [2,4-бис(4-метоксифенил)-1,3-дитиа-2,4-дифосфетан-2,4-дисульфид] в растворителе, подобном толуолу, при температуре между 60°С и температурой кипения растворителя. Конденсация тиоамидов 1 с подходящим бис-электрофилами, например, метиловыми эфирами 4-бром- или 4-хлор-3-оксоалкановых кислот 2, в растворителях, подобных толуолу, при повышенной температуре (например, при температуре кипения) приводит к тиазолам 3, имеющим эфирацетатный фрагмент в положении 4 (стадия а) [РСТ Int. Appl. (1997), WO 97/31907 А1]. 4-Бром-3-оксо-алканоаты 2 являются доступными соединениями или могут быть получены известными методами [РСТ Int. Appl. (2001), WO 01/79202 А1]. Тиазолы 3 могут быть восстановлены, например, алюмогидридом лития в растворителях, подобных эфиру или тетрагидрофурану, в тиазолы 5 с R9=R10=H (стадия с). Альтернативным путем алкильные группы R9 и/или R10 могут быть введены в соединения 3 обработкой основанием, подобным трет-бутоксиду калия или гидриду натрия, в растворителях типа тетрагидрофурана или 1,2-диметоксиэтана с последующим добавлением одного или последовательно двух галоидных алкилов. Реакцию предпочтительно проводят в интервале от 0°С до 80°С (стадия b). Моно- и/или диалкилэфирные соединения 4 могут быть восстановлены до соединений 5, например, алюмогидридом лития в эфире или тетрагидрофуране (стадия с). Альтернативным путем эфирные соединения 4 могут быть превращены в соединения 5 по следующей схеме: 1) омылением до соответствующей кислоты, 2) обработкой R9Li, иногда в присутствии соли Cu (I), в эфире или тетрагидрофуране с получением алкилкетонов -COR9, 3) последующей реакцией с R10Li или алюмогидридом лития в эфире или тетрагидрофуране (стадия с). Удлинение боковой цепи может затем быть осуществлено стандартными методами, такими как превращение спиртовой функции в уходящую группу, например, мезильную, с последующей обработкой цианидом, омылением и восстановлением, приводящими к триазолам 6 с гидроксипропильной группой в положении 4 (стадия d). Альтернативным путем промежуточные продукты процесса удлинения – цианосоединения – могут быть введены в реакцию с реактивами Гриньяра R9MgX в растворителях, подобных эфиру или тетрагидрофурану, в температурном интервале между 0°С и температурой кипения растворителя, образуя соответствующие R9СО-алкилкетоны, которые при обработке алкиллитием R10Li или алюмогидридом лития в растворителях, подобных эфиру или тетрагидрофурану, дают спирты 6 (стадия d). Спиртовые соединения 5 или 6, содержащие один или более хиральных центров, могут быть разделены на оптически чистые антиподы известными методами, например, препаративной хроматографией на хиральной ВЭЖХ-колонке или дериватизацией оптически чистой кислотой с образованием эфиров, которые могут быть разделены традиционной ВЭЖХ-хроматографией и затем обратно переведены в исходный спирт. Спиртовые соединения 5 или 6 или соответствуют, или могут быть переведены в соединения общей формулы 8 (схема 1), 7 (схема 2) или 1 (схема 3), например, обработкой метансульфонилхлоридом в дихлорметане в присутствии основания, подобного триэтиламину, преимущественно в температурном интервале между -20°С и комнатной температурой, или реакцией с четыреххлористым или четырехбромистым углеродом и трифенилфосфином в растворителях, подобных тетрагидрофурану, при температуре между комнатной и температурой кипения растворителя. Схема 12 Тиоамиды 1 могут быть введены в реакцию с 2-галоацетоацетатами 2 в растворителях, подобных этанолу, предпочтительно при температуре кипения с получением эфиров тиазолкарбоновых кислот 3 (стадия а). 2-Галоацетоацетаты 2 известны или могут быть получены по известным методикам [РСТ Int. Appl. (2002), WO 02/062774 A1]. Восстановление эфиров 3 преимущественно с использованием алюмогидрида лития в растворителе, подобном эфиру или тетрагидрофурану, между 0°С и комнатной температурой дает первичные спирты 4 (стадия b), которые могут быть использованы как таковые или переведены в соответствующие галоидпроизводные 5, например, обработкой метансульфонилхлоридом в дихлорметане в присутствии 2,6-лутидина преимущественно при температуре между -20°С и температурой кипения дихлорметана [РСТ Int. Appl. (2002), WO 02/28433], обработкой тионилхлоридом в растворителе типа дихлорметана или хлороформа при температуре между -20°С и 50°С или обработкой четырехбромистым углеродом и трифенилфосфином в растворителях типа тетрагидрофурана при температуре между 0°С и температурой кипения тетрагидрофурана (стадия с). Эфиры 3 могут быть далее превращены в третичные спирты 6 с R9=R10 реакцией с алкильными металлоорганическими реагентами, предпочтительно реактивами Гриньяра, в растворителях, подобных тетрагидрофурану или эфиру, в интервале между -15°С и температурой кипения растворителя [РСТ Int. Appl. (2002), WO 02/062774 A1] (стадия d). Спирты 6, в которых R9 не равно R10, могут быть получены следующей последовательностью реакций: 1) омылением до кислоты, 2) обработкой R9Li, иногда в присутствии соли Cu (I), в эфире или тетрагидрофуране с получением алкилкетонов -COR9, 3) последующей реакцией с R10Li или алюмогидридом лития в эфире или тетрагидрофуране (стадия d). Первичные спирты 4 могут быть окислены до альдегидов 7 известными методами, например, обработкой хлорхроматом пиридиния в дихлорметане предпочтительно при температуре между комнатной и температурой кипения дихлорметана или обработкой двуокисью марганца в растворителях, подобных дихлорметану, предпочтительно при комнатной температуре (стадия е). Альдегиды 7 могут быть превращены в соответствующие вторичные спирты 8 реакцией с алкильными металлоорганическими соединениями преимущественно в условиях, приведенных для превращения эфиров 3 в третичные спирты 6 (стадия f). Реакция тиоамидов 1 с 2-галоид-1,3-дикетонами 9 в растворителях, подобных этанолу, предпочтительно при температуре кипения дает кетоны тиазола 10 (стадия g). Альтернативным путем кетоны 10 могут быть получены из вторичных спиртов 8 известными методами, например, обработкой спиртов соединениями Cr (VI), подобными реагенту Джонса (Jones и др., J. Chem. Soc., 1953, с.2548) (стадия i). Кетоны 10 могут быть восстановлены до соответствующих вторичных спиртов 10 известными методами, например, обработкой боргидридом натрия в спирте предпочтительно при температуре между -15°С и 40°С (стадия h). Эту реакцию можно проводить стереоселективно, получая (R) или (S) спирты 8, например, обработкой комплексом боран-диметилсульфид и (S) или (R) 2-метил-CBS-оксазаборолидином в качестве хирального катализатора в тетрагидрофуране предпочтительно при температуре между -78°С и комнатной температурой (Е.J.Corey, R.К.Bakshi, S.Shibata, J. Am. Chem. Soc., 109, 1987, сс.5551-5553). Если спиртовые соединения 4, 6 или 8 содержат один или более хиральных центров, но не являются оптически чистыми, они могут быть разделены на оптически чистые антиподы хорошо известными методами, например, хроматографией на хиральной ВЭЖХ-колонке или дериватизацией оптически чистой кислотой с получением эфиров, которые могут быть разделены обычной ВЭЖХ хроматографией и затем превращены обратно в исходный спирт. Спиртовые соединения 4, 6 и 8 и галоидзамещенные соединения 5, которые соответствуют или могут быть превращены в соединения общей формулы 8 (схема 1), 7 (схема 2) или 1 (схема 3), например, обработкой метансульфонилхлоридом в дихлорметане в присутствии основания, подобного триэтиламину, в температурном интервале между -20°С и комнатной температурой или, например, реакцией с четыреххлористым или четырехбромистым углеродом и трифенилфосфином в растворителях, подобных тетрагидрофурану, предпочтительно при температуре между комнатной температурой и температурой кипения растворителей. Схема 13 Тиоамиды 1 могут быть конденсированы с 1,3-дихлорацетоном в растворителях, подобных ацетону или ацетонитрилу, между комнатной температурой и температурой кипения растворителей с последующей обработкой сильной кислотой, например концентрированной серной, предпочтительно при комнатной температуре, что приводит к получению хлорметильных соединений 3 (стадия а). Альтернативно, тиоамиды 1 можно конденсировать с альфа-бром- или альфа-хлоркетонами 4 в растворителях типа этанола преимущественно при кипении растворителя, получая арилтиазолы 5 с метильным заместителем в положении 4 (стадия b) [сравни: Eur. Pat. Appl. (1987), EP 207453 A2]. После обработки этих арилтиазолов 5 N-хлорсукцинимидом в растворителях типа ацетонитрила предпочтительно при температуре кипения получают хлорметильные соединения 6 (стадия с) [сравни: РСТ Int. Appl. (2001), WO 0119805 A1]. Хлорметильные соединения 3 и 6 могут быть превращены в гидроксиметильные соединения 7, например получением первичных ацетатов (например, взаимодействием с уксусной кислотой в присутствии йодида натрия, карбоната калия при повышенной температуре) с последующим омылением (например, гидроксидом лития в смеси этанол/вода при комнатной температуре) (стадия d). Гидроксиметильные соединения 7 могут быть окислены в одну стадию в кислоты 8, например, окислительными агентами типа хромовой кислоты, перманганата или азотной кислоты; альтернативно можно использовать двухступенчатый процесс: 1) окисление гидроксиметильных соединений 7 до соответствующих альдегидов, используя условия реакции Шверна (оксалилхлорид/диметилсульфоксид/триэтиламин в дихлорметане от -78°С до комнатной температуры); 2) дальнейшее окисление до кислот 8, например хлоритом натрия в спирте, таком как трет-бутанол, и воде в присутствии NaH2PO4 и 2-метил-бутена предпочтительно при комнатной температуре (стадия е). Кислоты 8 или их соответствующие эфиры могут быть затем подвергнуты дальнейшим превращениям, как это было описано ранее для эфиров 3 или соответствующих кислот в схеме 12, с получением замещенных спиртовых соединений 9. Спиртовые соединения 7 и 9 и галоидные соединения 3 и 6 соответствуют или могут быть превращены в соединения общей формулы 8 (схема 1), 7 (схема 2) или 1 (схема 3), например, обработкой метансульфонилхлоридом в дихлорметане в присутствии основания типа триэтиламина предпочтительно в температурном интервале -20°С – комнатная температура или, например, реакцией с четыреххлористым углеродом или четырехбромистым углеродом и трифенилфосфином в растворителях типа тетрагидрофурана предпочтительно в температурном интервале между комнатной температурой и температурой кипения растворителей. Схема 14 Арилтиазольные алканолы 1 с длиной цепи n углеродных атомов могут быть превращены в гомологи с длиной углеродной цепи n+1 хорошо известными методами, например, превращением первичной спиртовой группы в подходящую уходящую группу, например, галоидную (стадия а) реакцией с цианид-ионом (стадия b), омылением (стадия с) с последующим восстановлением образующейся кислоты (соединения 4) до первичных спиртов 5, например, дибораном в тетрагидрофуране (стадия d). Для того чтобы ввести заместители R9 и/или R10, отличные от водорода, промежуточные цианиды 3 этого процесса удлинения цепи могут быть введены в реакцию с алкильными реактивами Гриньяра R9MgX в растворителях, подобных эфиру или тетрагидрофурану при температуре между 0°С и температурой кипения растворителя; при этом образуются соответствующие R9СО-алкилкетоны, которые после взаимодействия с алкиллитием R10Li или алюмогидридом лития в растворителях, подобных эфиру или тетрагидрофурану, дают спирты 5. R9СО-Алкилкетоны могут затем быть восстановлены, например, боргидридом натрия в спирте предпочтительно при температуре от -15°С до 40°С. Эту реакцию можно проводить стереоселективно с получением (R) или (S) спиртов 5, например, при взаимодействии с комплексом боран-диметилсульфид и (S) или (R) 2-метил-CBS-оксазаборолидином в качестве хирального катализатора в тетрагидрофуране при температуре между -78°С и комнатной (Е.J.Corey, R.К.Bakshi, S. Shibata, J. Am. Chem. Soc., 109, 1987, cc.5551-5553). Альтернативно спиртовые соединения 5, содержащие один или более хиральных центров, могут быть разделены на оптически чистые антиподы известными методами, например, препаративной хроматографией на хиральной ВЭЖХ колонке или дериватизацией оптически чистой кислотой с образованием эфиров, которые могут быть разделены обычной ВЭЖХ хроматографией и затем обратно переведены в исходный спирт. Спиртовые соединения 5 или соответствуют, или могут быть переведены в соединения общей формулы 8 (схема 1), 7 (схема 2) или 1 (схема 3), например, обработкой метансульфонилхлоридом в дихлорметане в присутствии основания, подобного триэтиламину, преимущественно в температурном интервале между -20°С и комнатной температурой, или реакцией с четыреххлористым или четырехбромистым углеродом и трифенилфосфином в растворителях, подобных тетрагидрофурану, при температуре между комнатной и температурой кипения растворителя. Для определения активности соединений формулы (I) были проведены следующие тесты. Информация, на основе которой проводились опыты, может быть найдена в статье: «Развитие метода сцинцилляционной оценки связывания для гамма-лигандного связывающего домена пероксисомного активированного пролифератором рецептора» Anal. Biochem., 257, 1998, сс.112-119. Клоны полноцепочных кДНК PPAR Индукцию, экспрессию и очистку GST-ЛСД протеинов слияния осуществляли в штаммах BL21 (pLysS) клеток Е.Coli стандартными методами (Current Protocols in Molecular Biology, Wiley Press, под ред. Ausubel и др.). Опыты по радиолигандному связыванию Связывание рецептора PPAR Опыты с использованием люциферазного транскрипционного гена-репортера Клетки почек молодого хомячка (ВНК21 АТСС CCL10) выращивали в среде DMEM, содержащей 10% FBS в атмосфере 95% O2: 5% CO2. Клетки засевали на 6 пластинах – кюветах при плотности 105 клеток/кювету и затем группами трансфектировали или pFA-PPAR Свободные кислоты соединений предлагаемого изобретения (R8 означает водород) показали значения IC50, равные от 0,1 нМ до 50 мкМ, преимущественно от 1 нМ до 10 мкМ для PPAR
Соединения формулы (I) и их фармацевтически приемлемые соли и эфиры можно применять в качестве медикаментов, например, в форме фармацевтических композиций для энтерального, парентерального и местного введения. Их можно вводить, например, перорально в форме таблеток, облаток, драже, твердых или мягких желатиновых капсул, растворов, эмульсий или суспензий, ректально, например, в форме суппозиторий, парентерально, например, методом инъекций или впрыскиваний растворов, или местно, например, в форме мазей, кремов или масел. Получение фармацевтических препаратов может быть осуществлено способами, хорошо известными специалистам и приводящими описанные соединения формулы (I) и их фармацевтически приемлемые соли и эфиры к формам введения вместе с подходящими нетоксичными, инертными, терапевтически совместимыми твердыми или жидкими носителями и, если требуется, с обычными фармацевтическими вспомогательными добавками. Подходящими носителями являются не только неорганические вещества, но и органические носители. Так, например, лактоза, зерновой крахмал и его производные, тальк, стеариновая кислота или ее соли могут использоваться в качестве носителей для таблеток, облаток, драже и жестких желатиновых капсул. Подходящими носителями для мягких желатиновых капсул являются, например, растительные масла, воски, жиры и полутвердые и жидкие полиспирты (в зависимости от природы активного ингредиента, однако, в случае мягких желатиновых капсул носители не требуются). Подходящими носителями для получения растворов и сиропов являются, например, вода, полиспирты, сахароза, инвертный сахар и т.д. Подходящими носителями для растворов для инъекций являются, например, вода, спирты, полиспирты, глицерин и растительные масла. Подходящими носителями для суппозиториев являются, например, натуральные и отвержденные масла, воски, жиры и полужидкие или жидкие полиспирты. Подходящими носителями для местного применения являются глицериды, полусинтетические и синтетические глицериды, гидрогенизированные масла, жидкие воски, жидкие парафины, жидкие жирные спирты, стеролы, полиэтиленгликоли и производные целлюлозы. Обычные стабилизаторы, консерванты, увлажняющие и эмульгирующие агенты, вещества, улучшающие консистенцию и запах, соли для регулирования осмотического давления, буферные вещества, солюбилизаторы, красители, маскирующие агенты и антиоксиданты рассматриваются в качестве фармацевтических вспомогательных добавок. Дозы соединений формулы (I) могут широко варьироваться в зависимости от заболевания, возраста и индивидуальных особенностей пациента и формы введения и должны быть индивидуализированы в каждом конкретном случае. Для взрослых пациентов рассматривается дневная доза примерно от 1 до 1000 мг, предпочтительно от 1 до 100 мг. В зависимости от общей дневной дозы ее удобно вводить в несколько приемов. Фармацевтические формы обычно содержат от 0,1 до 500 мг, предпочтительно 0,5-100 мг соединения формулы (I). Следующие примеры более детально иллюстрируют предлагаемое изобретение. Они, однако, ни в коей мере не ограничивают все содержимое изобретения. Примеры Аббревиатуры: AcOEt=этилацетат, n-Bu2BOTf=трифлат дибутилбора, n-BuLi=н-бутиллитий, DBAD=ди-трет-бутилазодикарбоксилат, DBU=1,8-диазабицикло[5.4.0]ундец-7-ен, DEAD=диэтилазодикарбоксилат, DIAD=диизопропилазодикарбоксилат, DMPU=1,3-диметил-3,4,5,6-тетрагидро-2(1Н)-пиримидинон, eq.=эквивалент, HPLC=высокоэффективная жидкостная хроматография (ВЭЖХ), LDA=диизопропиламид лития, POCl3=хлорокись фосфора, THF (ТГФ)=тетрагидрофуран, TMAD=N,N,N’,N’-тетраметилазодикарбоксамид. Пример 1 а) Этиловый эфир 3-(4-бензилоксибензо[b]тиофен-7-ил)-2(Z,Е)-этоксиакриловой кислоты 4-Бензилоксибензо[b]тиофен-7-карбальдегид (0,537 г, 2,00 ммоль) [Ger. Offen. (1998) DE 19711617 A1] растворяли в атмосфере аргона в 15 мл 2-пропанола. После охлаждения до -20°С добавляли 0,944 г (2,20 ммоль) хлорида (1,2-диэтокси-2-оксоэтил)трифенилфосфония [Tetrahedron, 50, №25, 1994, сс.7543-7556] и 0,415 г (3,00 ммоль) сухого карбоната калия. Полученную суспензию перемешивали на ледяной бане, доводили до комнатной температуры и оставляли перемешиваться ночь при комнатной температуре. Повторное добавление того же реагента Виттига и карбоната калия при -20°С проводили так же, как описано выше. После фильтрования и выпаривания растворителя остаток очищали флеш-хроматографией (силикагель, гексан/AcOEt, соотношение от 98:2 до 9:1), получая 0,586 г (77% от теоретического) этилового эфира 3-(4-бензилоксибензо[b]тиофен-7-ил)-2(Z,Е)-этоксиакриловой кислоты в виде светло-желтого масла. МС: 382,2 (М)+; 291,2; 189,1. б) [рац]Метиловый эфир 3-(4-бензилоксибензо[b]тиофен-7-ил)-2-этоксипропионовой кислоты Этиловый эфир 3-(4-бензилоксибензо[b]тиофен-7-ил)-2(Z,Е)-этоксиакриловой кислоты (0,383 г, 1,00 ммоль) растворяли в атмосфере аргона в 20 мл ТГФ-МеОН (1:1), добавляли 0,248 г (10,2 ммоль) Mg и нагревали реакционную смесь до 50°С. Через 30 мин смесь охлаждали до комнатной температуры и перемешивали при этой температуре в течение ночи. После добавления 5 мл HCl (25% в воде) при 25°С реакционную смесь интенсивно перемешивали в течение 1 час, экстрагировали AcOEt (трижды), органические фазы промывали солевым раствором, сушили над MgSO4, фильтровали и растворитель удаляли в вакууме; полученное желтое масло очищали флеш-хроматографией (силикагель, гексан/AcOEt, соотношение от 9:1 до 4:1), выделяя 0,366 г (99% от теоретического) [рац]метилового эфира 3-(4-бензилоксибензо[b]тиофен-7-ил)-2-этоксипропионовой кислоты в виде бледно-желтого масла. МС: 370,1 (М)+; 311,2; 253,1. в) [рац]Метиловый эфир 2-этокси-3-(4-гидроксибензо[b]тиофен-7-ил)пропионовой кислоты [рац]Метиловый эфир 3-(4-бензилоксибензо[b]тиофен-7-ил)-2-этоксипропионовой кислоты (4,68 г, 12,6 ммоль) растворяли в атмосфере аргона в 150 мл дихлорметана при комнатной температуре и добавляли по каплям 23,9 мл диметилсульфида и 16,03 мл эфирата трехфтористого бора. После 5 час перемешивания при комнатной температуре реакционную смесь выливали на смесь вода-измельченный лед и трижды экстрагировали дихлорметаном. Органические фазы промывали солевым раствором, сушили над MgSO4, фильтровали и растворитель удаляли в вакууме; полученное желтое масло (4,92 г) очищали флеш-хроматографией (силикагель, гексан, СН2Cl2 и МеОН), получая 3,51 г (99% от теоретического) [рац]метилового эфира 2-этокси-3-(4- гидроксибензо[b]тиофен-7-ил)пропионовой кислоты в виде светло-желтого твердого вещества. МС: 279,1 (М-Н)–. г) [рац]Метиловый эфир 2-этокси-3-{4-[2-(5-метил-2-фенилтиазол-4-ил)этокси]бензо[b]тиофен-7-ил}пропионовой кислоты 2-(5-Метил-2-фенилтиазол-4-ил)этанол (0,282 г, 1,28 ммоль) [РСТ Int. Appl. (2002), WO 02/18355 A1] растворяли в 12 мл ТГФ и обрабатывали про 0°С 0,30 г (1,07 ммоль) [рац]метилового эфира 2-этокси-3-(4-гидроксибензо[b]тиофен-7-ил)пропионовой кислоты, 0,397 г (1,50 ммоль) трифенилфосфина и 0,32 г (1,39 ммоль) DIAD. Убирали охлаждающую баню и продолжали перемешивание в течение 6 час, после чего реакционную смесь упаривали в вакууме до сухого состояния. Полученное вещество очищали флеш-хроматографией (силикагель, гексан/AcOEt), получая 0,474 г (92% от теоретического) [рац]метилового эфира 2-этокси-3-{4-[2-(5-метил-2-фенилтиазол-4-ил)этокси]бензо[b]тиофен-7-ил}пропионовой кислоты в виде бесцветного вязкого масла. МС: 482,4 (М+Н)+. д) [рац] 2-Этокси-3-{4-[2-(5-метил-2-фенилтиазол-4-ил)этокси]бензо[b]тиофен-7-ил}пропионовая кислота [рац]Метиловый эфир 2-этокси-3-{4-[2-(5-метил-2-фенилтиазол-4-ил)этокси]бензо[b]тиофен-7-ил}пропионовой кислоты (0,465 г, 0,97 ммоль) растворяли в 10 мл диоксана и при комнатной температуре медленно добавляли 1,65 мл 1н. раствора LiOH в воде (1,65 ммоль). Полученную смесь перемешивали в течение 5 час при комнатной температуре, затем выливали на лед, нейтрализовали HCl (1н.) до рН 4 и дважды экстрагировали дихлорметаном. Объединенные органические фазы промывали водой, сушили над сульфатом магния, удаляли растворитель в вакууме и очищали вещество флеш-хроматографией (силикагель, СН2Cl2/МеОН), выделяя 0,200 г (39% от теоретического) [рац] 2-этокси-3-{4-[2-(5-метил-2-фенилтиазол-4-ил)этокси]бензо[b]тиофен-7-ил}пропионовой кислоты в виде бесцветного вязкого масла. МС: 466,2 (М-Н)–. Пример 2 а) 4-Бензилокси-5,6,7,8-тетрагидронафтален-1-карбальдегид 5-Бензилокси-1,2,3,4-тетрагидронафтален (1,00 г, 4,20 ммоль) [J. Org. Chem., 66, №5, 2001, сс.1775-1780] и 0,765 мл (8,39 ммоль) дихлорметилметилового эфира растворяли в 25 мл дихлорметана. Раствор охлаждали до 0°С и медленно добавляли 2,35 мл (20,98 ммоль) тетрахлорида титана. Образующийся темный раствор перемешивали 30 мин при 0°С и затем медленно при температуре <5°С добавляли 2,0 мл HCl (25% в воде). Смесь перемешивали 30 мин при 0°С, разделяли 2 фазы и водную фазу трижды экстрагировали дихлорметаном. Комбинированные органические фазы сушили над MgSO4, отгоняли растворитель и получали 1,40 г светло-красного масла. После флеш-хроматографии (силикагель, циклогексан/этилацетат, соотношение 95:5, затем 9:1) получали 0,73 г (65% от теоретического) 4-бензилокси-5,6,7,8-тетрагидронафтален-1-карбальдегида в виде твердого желтого вещества. МС: 266,2 (М+); 91,2. б) Метиловый эфир 3-(4-бензилокси-5,6,7,8-тетрагидронафтален-1-ил)-2(Z,Е)-этоксиакриловой кислоты и этиловый эфир 3-(4-бензилокси-5,6,7,8-тетрагидронафтален-1-ил)-2(Z,Е)-этоксиакриловой кислоты По аналогии с процедурой, описанной в примере 1а, 4-бензилокси-5,6,7,8-тетрагидронафтален-1-карбальдегид вводили в реакцию с хлоридом (1,2-диметокси-2-оксоэтил)трифенилфосфония [Tetrahedron, 50, №25, 1994, сс.7543-7556], получая метиловый эфир 3-(4-бензилокси-5,6,7,8-тетрагидронафтален-1-ил)-2(Z,E)-этоксиакриловой кислоты в виде бесцветного твердого вещества и небольшое количество этилового эфира 3-(4-бензилокси-5,6,7,8-тетрагидронафтален-1-ил)-2(Z,E)-этоксиакриловой кислоты в виде бесцветного твердого вещества (использование метанола в синтезе приводит к наблюдаемой переэтерификации). Метиловый эфир, МС: 367,3 (М+Н)+ Этиловый эфир, МС: 381,4 (М+Н)+ в) [рац]Метиловый эфир 2-этокси-3-(4-гидрокси-5,6,7,8-тетрагидронафтален-1-ил)-пропионовой кислоты 2,5 г Pd/C (10%) добавляли в атмосфере аргона к 12,5 г (34,1 ммоль) метилового эфира 3-(4-бензилокси-5,6,7,8-тетрагидронафтален-1-ил)-2(Z,E)-этоксиакриловой кислоты, растворенного в 180 мл метанола. Заменяли атмосферу аргона на Н2 и суспензию интенсивно перемешивали при комнатной температуре в течение 2 час. После фильтрования через декалит и выпаривания растворителей получали 9,25 г темного коричневого масла. После флеш-хроматографии (силикагель, гексан/этилацетат 9:1) получили 7,40 г (78% от теоретического) [рац]метилового эфира 2-этокси-3-(4-гидрокси-5,6,7,8-тетрагидронафтален-1-ил)пропионовой кислоты в виде желтого масла. МС: 277,2 (М-Н)–. г) [рац]Метиловый эфир 2-этокси-3-{4-[2-(5-метил-2-фенилтиазол-4-ил)этокси]-5,6,7,8-тетрагидронафтален-1-ил}пропионовой кислоты Аналогично процедуре, описанной в примере 1г, [рац]метиловый эфир 2-этокси-3-(4-гидрокси-5,6,7,8-тетрагидронафтален-1-ил)пропионовой кислоты вводили в реакцию с 2-(5-метил-2-фенилтиазол-4-ил)этанолом [РСТ Int. Appl. (2002), WO 02/18355 A1] в тетрагидрофуране в присутствии трифенилфосфина и DIAD (диизопропилазодикарбоксилат), получая [рац]метиловый эфир 2-этокси-3-{4-[2-(5-метил-2-фенилтиазол-4-ил)этокси]-5,6,7,8-тетрагидронафтален-1-ил}пропионовой кислоты в виде бесцветного вязкого масла. МС: 480,5 (М+Н)+. д) [рац] 2-Этокси-3-{4-[2-(5-метил-2-фенилтиазол-4-ил)этокси]-5,6,7,8-тетрагидронафтален-1-ил}пропионовая кислота По аналогии с процедурой, описанной в примере 1д, [рац]метиловый эфир 2-этокси-3-{4-[2-(5-метил-2-фенилтиазол-4-ил)этокси]-5,6,7,8-тетрагидронафтален-1-ил}пропионовой кислоты омыляли, получая [рац] 2-этокси-3-{4-[2-(5-метил-2-фенилтиазол-4-ил)этокси]-5,6,7,8-тетрагидронафтален-1-ил}пропионовую кислоту в виде бесцветного аморфного твердого вещества. МС: 464,2 (М-Н)– Пример 3 а) [рац]Метиловый эфир 2-этокси-3-(7-гидроксибензо[b]тиофен-4-ил)пропионовой кислоты По аналогии с процедурой, описанной в примере 2а, 7-бензилоксибензо[b]тиофен (полученный из бензо[b]тиофен-7-ола [J. Chem. Soc., Perkin Trans. 1, №12, 1983, сс.2973-2977] и бензилхлорида обработкой карбонатом калия в N,N-диметилформамиде при комнатной температуре) вводили в реакцию с дихлорметилметиловым эфиром в дихлорметане при 0°С, получая 7-бензоксибензо[b]тиофен-4-карбальдегид. Обработка 7-бензоксибензо[b]тиофен-4-карбальдегида хлоридом (1,2-диметокси-2-оксоэтил)трифенилфосфония и карбонатом калия в 2-пропаноле по аналогии с процедурой, описанной в примере 1а, приводит к этиловому эфиру 3-(7-бензилоксибензо[b]тиофен-4-ил)-2(Z,E)-этоксиакриловой кислоты. Восстановление последнего магнием в ТГФ/МеОН (1:1) при 50°С по аналогии с процедурой, описанной в примере 1б, приводит к метиловому эфиру [рац] 3-(7-бензилоксибензо[b]тиофен-4-ил)-2-этоксипропионовой кислоты; последующее удаление защитной бензильной группы диметилсульфидом и эфиратом трехфтористого бора в дихлорметане при комнатной температуре по аналогии с процедурой, описанной в примере 1в, приводит к получению [рац]метилового эфира 2-этокси-3-(7-гидроксибензо[b]тиофен-4-ил)пропионовой кислоты в виде светло-желтого масла. МС: 279,0 (М-Н)–. б) [рац]Метиловый эфир 2-этокси-3-{7-[2-(5-метил-2-фенилтиазол-4-ил)этокси]бензо[b]тиофен-4-ил}пропионовой кислоты По аналогии с процедурой, описанной в примере 1д, [рац]метиловый эфир 2-этокси-3-(7-гидроксибензо[b]тиофен-4-ил)пропионовой кислоты вводили в реакцию с 2-(5-метил-2-фенилтиазол-4-ил)этанолом [РСТ Int. Appl. (2002), WO 02/18355 A1] в тетрагидрофуране в присутствии трифенилфосфина и DIAD (диизопропилазодикарбоксилат), получая [рац]метиловый эфир 2-этокси-3-{7-[2-(5-метил-2-фенилтиазол-4-ил)этокси]бензо[b]тиофен-4-ил}пропионовой кислоты в виде бесцветного вязкого масла. МС: 482,4 (М+Н)+. в) [рац] 2-Этокси-3-{7-[2-(5-метил-2-фенилтиазол-4-ил)этокси]бензо[b]тиофен-4-ил}пропионовая кислота По аналогии с процедурой, описанной в примере 1д, [рац]метиловый эфир 2-этокси-3-{7-[2-(5-метил-2-фенилтиазол-4-ил)этокси]бензо[b]тиофен-4-ил}пропионовой кислоты омыляли с получением [рац] 2-этокси-3-{7-[2-(5-метил-2-фенилтиазол-4-ил)этокси]бензо[b]тиофен-4-ил}пропионовой кислоты в виде бесцветного аморфного твердого вещества. МС: 466,2 (М-Н)–. Пример 4 а) 2-(4-трет-Бутилфенил)-4-хлорметилтиазол Смесь 6,0 г 4-трет-бутилтиобензамида (31 ммоль) и 5,24 г 1,3-дихлорацетона (41,3 ммоль) в 20 мл ацетона перемешивали 5 час при комнатной температуре и 2 час при кипении. После охлаждения до комнатной температуры отделяли образующееся твердое вещество и высушивали его, после чего растворяли в 20 мл концентрированной серной кислоты, и гомогенную смесь перемешивали 15 мин при комнатной температуре. После этого реакционную смесь выливали на измельченный лед, образовавшийся 2-(4-трет-бутилфенил)-4-хлорметилтиазол дважды экстрагировали 50 мл трет-бутилметилового эфира. Объединенные органические фазы промывали водой и солевым раствором, высушивали над безводным сульфатом натрия, и растворитель удаляли, выделяя 6,65 г (60,5% от теоретического) бесцветного вязкого масла, кристаллизующегося при стоянии. МС: 266,3 (М+Н)+. б) Этиловый эфир 3-(4-бензилокси-3-метилфенил)-2(Z,E)-этоксиакриловой кислоты По аналогии с процессом, описанным в примере 1а, 4-бензилокси-3-метилбензальдегид [РСТ Int. Appl. (2001), WO 0140172 A1] вводили в реакцию с хлоридом (1,2-диэтокси-2-оксоэтил)трифенилфосфония [Tetrahedron, 50, №25, 1994, сс.7543-7556], получая этиловый эфир 3-(4-бензилокси-3-метилфенил)-2(Z,E)-этоксиакриловой кислоты в виде светло-желтого масла. МС: 340,2 (М)+. в) [рац] Этиловый эфир 2-этокси-3-(4-гидрокси-3-метилфенил)пропионовой кислоты 0,7 г Pd/C добавляли в атмосфере аргона к раствору 7,3 г этилового эфира 3-(4-бензилокси-3-метилфенил)-2(Z,Е)-этоксиакриловой кислоты (21,4 ммоль) в 10 мл тетрагидрофурана, меняли газовую смесь на Н2, и суспензию интенсивно перемешивали 2 час при комнатной температуре. После фильтрования через декалит и выпаривания растворителя получали 4,3 г (79,4% от теоретического) [рац]этилового эфира 2-этокси-3-(4-гидрокси-3-метилфенил)пропионовой кислоты в виде бесцветного вязкого масла. МС: 252,2 (М+); 206,2 (М+-EtOH). г) [рац] Этиловый эфир 3-{4-[2-(4-трет-бутилфенил)тиазол-4-илметокси]-3-метилфенил}-2-этоксипропионовой кислоты Смесь 150 мг [рац]этилового эфира 2-этокси-3-(4-гидрокси-3-метилфенил)пропионовой кислоты (0,59 ммоль), 190 мг 2-(4-трет-бутилфенил)-4-хлорметилтиазола (0,71 ммоль) и 325 мг карбоната цезия (1 ммоль) в 5 мл ацетонитрила перемешивали при 60°С в течение 1 час, затем растворитель удаляли в вакууме и полученный остаток хроматографировали на силикагеле, используя смесь дихлорметана и диэтилового эфира (98:2, объемное соотношение) в качестве элюента. Получали 150 мг (52% от теоретического) [рац]этилового эфира 3-{4-[2-(4-трет-бутилфенил)тиазол-4-илметокси]-3-метилфенил}-2-этоксипропионовой кислоты в виде бесцветного вязкого масла. МС: 482,4 (M+H)+. д) [рац] 3-{4-[2-(4-трет-Бутилфенил)тиазол-4-илметокси]-3-метилфенил}-2-этоксипропионовая кислота [рац] Этиловый эфир 3-{4-[2-(4-трет-бутилфенил)тиазол-4-илметокси]-3-метилфенил}-2-этоксипропионовой кислоты (140 мг, 0,29 ммоль) растворяли в 5 мл метанола, добавляли 1 мл 2н. водного раствора гидроксида лития, и реакционную смесь перемешивали 1 час при 55°С. После охлаждения до комнатной температуры добавляли 1 мл 2н. водного раствора соляной кислоты и 0,5 мл насыщенного раствора гидросульфата калия и дважды экстрагировали 10 мл дихлорметана. Объединенные органические фазы промывали солевым раствором, высушивали над безводным сульфатом натрия, и растворитель удаляли в вакууме, получая 130 мг (98,6% от теоретического) [рац] 3-{4-[2-(4-трет-бутилфенил)тиазол-4-илметокси]-3-метилфенил}-2-этоксипропионовой кислоты в виде бесцветного твердого вещества. МС: 452,3 (М-Н)–. Пример 5 [рац] 2-Этокси-3-{4-[2-(4-изопропилфенил)тиазол-4-илметокси]-3-метилфенил}пропионовая кислота По аналогии с процессом, описанным в примере 4г, [рац] этиловый эфир 2-этокси-3-(4-гидрокси-3-метилфенил)пропионовой кислоты (пример 4в) вводили в реакцию с 4-хлорметил-2-(4-изопропилфенил)тиазолом (получен из 4-изопропилтиобензамида и 1,3-дихлорацетона по аналогии с процессом, описанным в примере 4а) в ацетонитриле в присутствии карбоната цезия, получая [рац] этиловый эфир 2-этокси-3-{4-[2-(4-изопропилфенил)тиазол-4-илметокси]-3-метилфенил}пропионовой кислоты, который затем омыляли, аналогично процессу, описанному в примере 4д, получая [рац] 2-этокси-3-{4-[2-(4-изопропилфенил)тиазол-4-илметокси]-3-метилфенил}пропионовую кислоту в виде бесцветной смолы. МС: 438,2 (М-Н)–. Пример 6 [рац]-2-Этокси-3-{3-метил-4-[2-(4-трифторметилфенил)тиазол-4-илметокси]фенил}пропионовая кислота По аналогии с процессом, описанным в примере 4г, [рац] этиловый эфир 2-этокси-3-(4-гидрокси-3-метилфенил)пропионовой кислоты (пример 4в) вводили в реакцию с 4-хлорметил-2-(4-трифторметилфенил)тиазолом (получен из 4-трифторметилтиобензамида и 1,3-дихлорацетона, по аналогии с процессом, описанным в примере 4а) в ацетонитриле в присутствии карбоната цезия, получая [рац] этиловый эфир 2-этокси-3-{3-метил-4-[2-(4-трифторметилфенил)тиазол-4-илметокси]фенил}пропионовой кислоты, который затем омыляли аналогично процессу, описанному в примере 4д, получая [рац] 2-этокси-3-{3-метил-4-[2-(4-трифторметилфенил)тиазол-4-илметокси]фенил}пропионовую кислоту в виде бесцветной смолы. МС: 464,1 (М-Н)–. Пример 7 а) [рац] Этиловый эфир 2-этокси-3-(3-фтор-4-гидроксифенил)пропионовой кислоты По аналогии с процессом, описанным в примере 1а, 4-бензилокси-3-фторбензальдегид (полученный из 3-фтор-4-гидроксибензальдегида, бензилбромида и карбоната цезия в ацетонитриле) вводили в реакцию с хлоридом (1,2-диэтокси-2-оксоэтил)трифенилфосфония [Tetrahedron, 50 №25, 1994, сс.7543-7556], получая этиловый эфир 3-(4-бензилокси-3-фторфенил)-2(Z,E)этоксиакриловой кислоты. Гидрогенизацией этилового эфира 3-(4-бензилокси-3-фторфенил)-2(Z,E)-этоксиакриловой кислоты, подобно описанной в примере 4в, получают [рац] этиловый эфир 2-этокси-3-(3-фтор-4-гидроксифенил)пропионовой кислоты в виде бесцветного вязкого масла. МС:255,0 (М-Н)–. б) [рац] 3-{4-[2-(4-трет-Бутилфенил)тиазол-4-илметокси]-3-фторфенил}-2-этоксипропионовая кислота По аналогии с процессом, описанным в примере 4г, [рац] этиловый эфир 2-этокси-3-(3-фтор-4-гидроксифенил)пропионовой кислоты вводили в реакцию с 2-(трет-бутилфенил)-4-хлорметилтиазолом (пример 4а) в ацетонитриле в присутствии карбоната цезия, получая [рац] этиловый эфир 3-{4-[2-(4-трет-бутилфенил)тиазол-4-илметокси]-3-фторфенил}-2-этоксипропионовой кислоты, который затем омыляли по аналогии с процессом, описанным в примере 4д, получая [рац] 3-{4-[2-(4-трет-бутилфенил)тиазол-4-илметокси]-3-фторфенил}-2-этоксипропионовую кислоту в виде бесцветного твердого вещества. МС: 456,3 (М-Н)–. Пример 8 [рац] 2-Этокси-3-{3-фтор-4-[2-(4-трифторметилфенил)тиазол-4-илметокси]фенил}пропионовая кислота По аналогии с процессом, описанным в примере 4г, [рац] этиловый эфир 2-этокси-3-(3-фтор-4-гидроксифенил)пропионовой кислоты (пример 7а) вводили в реакцию с 4-хлорметил-2-(4-трифторметилфенил)тиазолом (получен из 4-трифторметилтиобензамида и 1,3-дихлорацетона по аналогии с процессом, описанным в примере 4а) в ацетонитриле в присутствии карбоната цезия, получая [рац] этиловый эфир 2-этокси-3-{3-фтор-4-[2-(4-трифторметилфенил)тиазол-4-илметокси]фенил}пропионовой кислоты, который далее омыляли по аналогии с процессом, описанным в примере 4д, получая [рац] 2-этокси-3-{3-фтор-4-[2-(4-трифторметилфенил)тиазол-4-илметокси]фенил}пропионовую кислоту в виде бесцветного твердого вещества. МС: 468,1 (М-Н)–. Пример 9 [рац] 2-Этокси-3-{3-фтор-4-[2-(4-изопропилфенил]тиазол-4-илметокси]фенил}пропионовая кислота По аналогии с процессом, описанным в примере 4г, [рац] этиловый эфир 2-этокси-3-(3-фтор-4-гидроксифенил)пропионовой кислоты (пример 7а) вводили в реакцию с 4-хлорметил-2-(4-изопропилфенил)тиазолом (получен из 4-изопропилтиобензамида и 1,3-дихлорацетона по аналогии с процессом, описанным в примере 4а) в ацетонитриле в присутствии карбоната цезия, получая [рац] этиловый эфир 2-этокси-3-{3-фтор-4-[2-(4-изопропилфенил)тиазол-4-илметокси]фенил}пропионовой кислоты, который далее омыляли по аналогии с процессом, описанным в примере 4д, получая [рац] 2-этокси-3-{3-фтор-4-[2-(4-изопропилфенил)тиазол-4-илметокси]фенил}пропионовую кислоту в виде бесцветного твердого вещества. МС: 442,2 (М-Н)–. Пример 10 а) Этиловый эфир 3-(4-бензилокси-2-метилфенил)-2(Z,Е)-этоксиакриловой кислоты Суспензию хлорида (1,2-диэтокси-2-оксоэтил)трифенилфосфония (Tetrahedron, 50, №25, 1994, cc.7543-7556) (35,5 г, 82,9 ммоль) и DBU (13,6 мл, 91,2 ммоль) в ТГФ (60 мл) перемешивали 10 мин при комнатной температуре. Добавляли 4-бензилокси-2-метилбензальдегид (12,5 г, 55,2 ммоль), и реакционную смесь кипятили 16 час. Растворитель концентрировали при пониженном давлении, остаток растворяли в AcOEt и промывали насыщенным водным раствором NH4Cl и солевым раствором. Органический слой сушили над сульфатом натрия, удаляли растворитель в вакууме, и очищали остаток колоночной хроматографией (силикагель, гексан/AcOEt), получая 14,5 г (42,6 ммоль, 77%) целевого продукта в виде желтой жидкости. МС: 340,2 (М)+; 249,2; 147,1; 91,1. б) [рац] Этиловый эфир-2-этокси-3-(4-гидрокси-2-метилфенил)пропионовой кислоты Раствор этилового эфира 3-(4-бензилокси-2-метилфенил)-2(Z,E)-этоксиакриловой кислоты (1 г, 2,9 ммоль) в этаноле (50 мл) гидрогенизировали над 10% палладием на угле (250 мг) при комнатной температуре в течение 2 час. Отфильтровывали катализатор и отгоняли растворитель в вакууме, получая 600 мг (2,4 ммоль, 81%) целевого продукта в виде желтой жидкости; его использовали на следующей стадии синтеза без дальнейшей очистки. МС: 270,4 (M+NH4)+; 253 (М)+; 207,2; 165,3. в) [рац] Этиловый эфир 2-этокси-3-(2-метил-4-{2-[5-метил-2-(4-трифторметилфенил)-тиазол-4-ил]этокси}фенил)пропионовой кислоты К охлаждаемому льдом раствору [рац]этилового эфира 2-этокси-3-(4-гидрокси-2-метилфенил)пропионовой кислоты (50 мг, 0,2 ммоль), 2-[5-метил-2-(4-трифторметилфенил)тиазол-4-ил]этанола (85 мг, 0,3 ммоль) [РСТ Int. Appl. (2001), WO 01/00603 A1] и трифенилфосфина (78 мг, 0,3 ммоль) в дихлорметане (2 мл) добавляли диэтилазодикарбоксилат (46 мкл, 0,3 ммоль), удаляли охлаждающую баню и продолжали перемешивание в течение 6 час. После удаления растворителя в вакууме получали оранжевое масло, которое очищали колоночной хроматографией (силикагель, циклогексан/AcOEt), получая 34 мг (70 мкмоль, 33%) целевого продукта в виде бесцветного масла. МС: 522,2 (М+Н)+; 476,2; 448,2; 270,2. г) [рац] 2-Этокси-3-(2-метил-4-{2-[5-метил-2-(4-трифторметилфенил)тиазол-4-ил]этокси}фенил)пропионовая кислота К раствору [рац]этилового эфира 2-этокси-3-(2-метил-4-{2-[5-метил-2-(4-трифторметилфенил)-тиазол-4-ил]этокси}фенил)пропионовой кислоты (34 мг, 70 мкмоль) в смеси ТГФ/метанол 2/1 (750 мкл) добавляли 1н. водный раствор LiOH (390 мкл, 420 мкмоль). Реакционную смесь перемешивали 1,5 час при комнатной температуре, нейтрализовали 1н. водным раствором HCl при охлаждении льдом и концентрировали в вакууме. Остаток растворяли в смеси 1н. HCl /ледяная вода (1/1) и этилацетат, слои разделяли, водную фазу экстрагировали этилацетатом. Комбинированные органические фазы промывали смесью ледяная вода/солевой раствор 1/1, сушили над сульфатом натрия, и растворитель удаляли в вакууме, получая целевое соединение (30 мг, 6 мкмоль, 93%) в виде бесцветного твердого вещества. МС: 494,1 (М+Н)+; 448,2; 420,2; 288,2; 270,2. Пример 11 а) [рац] Этиловый эфир 2-этокси-3-{2-метил-4-[2-(5-метил-2-фенилтиазол-4-ил)этокси]фенил}пропионовой кислоты По аналогии с процессом, описанным в примере 10в, [рац] этиловый эфир 2-этокси-3-(4-гидрокси-2-метилфенил)пропионовой кислоты вводили в реакцию с 2-(5-метил-2-фенилтиазол-4-ил)этанолом [РСТ Int. Appl. (2002), WO 02/18355 A1] в присутствии трифенилфосфина и диэтилазодикарбоксилата, получая [рац] этиловый эфир 2-этокси-3-{2-метил-4-[2-(5-метил-2-фенилтиазол-4-ил)этокси]фенил}пропионовой кислоты в виде бесцветного масла. МС: 454,3 (М+Н)+; 426,3; 370,2; 342,3; 279,2; 202,1. б) [рац] 2-Этокси-3-{2-метил-4-[2-(5-метил-2-фенилтиазол-4-ил)этокси]фенил}пропионовая кислота По аналогии с процессом, описанным в примере 10г, [рац] этиловый эфир 2-этокси-3-{2-метил-4-[2-(5-метил-2-фенилтиазол-4-ил)этокси]фенил}пропионовой кислоты обрабатывали LiOH, получая [рац] 2-этокси-3-{2-метил-4-[2-(5-метил-2-фенилтиазол-4-ил)этокси] фенил}пропионовую кислоту в виде бесцветного твердого вещества. МС: 424,3 (М-Н)–; 378,1; 329,1; 260,8. Пример 12 а) Метиловый эфир[2-(4-трет-бутилфенил)-5-метилтиазол-4-ил]уксусной кислоты 6,75 г (32,3 ммоль) [рац]Метилового эфира4-бром-3-оксопентановой кислоты [РСТ Int. Appl. (2001), WO 01/79202] и 5,0 г (25,9 ммоль) 4-трет-бутилтиобензамида растворяли в 10 мл ацетона, и смесь кипятили 1 час. Удаляли растворитель. Для того чтобы произвести переэтерификацию кислоты, образующейся в результате реакции, остаток растворяли в 25 мл этанола, добавляли 0,25 г моногидрата пара-толуолсульфоновой кислоты и 5 мл триметилортоформиата и смесь кипятили 2 час. После охлаждения до комнатной температуры добавляли раствор 3 г гидрокарбоната калия в Н2О. После этого удаляли большую часть метанола, и остаток экстрагировали трет-бутилметиловым эфиром. После отгонки растворителя остаток хроматографировали на силикагеле с дихлорметаном в качестве элюента. Получали 6,2 г (79% от теоретического) метилового эфира[2-(4-трет-бутилфенил)-5-метилтиазол-4-ил]уксусной кислоты в виде твердого желтого вещества. МС: 301,3 (М+). б) 2-[2-(4-трет-Бутидфенил)-5-метилтиазол-4-ил]этанол Раствор 6,2 г (20,4 ммоль) метилового эфира [2-(4-трет-бутилфенил)-5-метилтиазол-4-ил]уксусной кислоты в 20 мл ТГФ добавляли к суспензии 0,93 г (24,5 ммоль) алюмогидрида лития в атмосфере аргона при 0-5°С. После этого смесь перемешивали при комнатной температуре в течение 1 час, осторожно обрабатывали небольшим количеством Н2О, а затем 50 мл этилацетата и 20 г безводного сульфата натрия, и перемешивание продолжали 0,5 час. Затем реакционную смесь фильтровали, фильтрат упаривали, получая 5,5 г (97% от теоретического) 2-[2-(4-трет-бутилфенил)-5-метилтиазол-4-ил]этанола в виде бесцветного твердого вещества. МС: 276,2 (М+Н)+. в) [рац] Этиловый эфир 3-(4-{2-[2-(4-трет-бутилфенил)-5-метилтиазол-4-ил]этокси}-2-метилфенил)-2-этоксипропионовой кислоты По аналогии с процессом, описанным в примере 10в, [рац] этиловый эфир-2-этокси-3-(4-гидрокси-2-метилфенил)пропионовой кислоты (пример 10б) вводили в реакцию с 2-[2-(4-трет-бутилфенил)-5-метилтиазол-4-ил]этанолом в присутствии трифенилфосфина и диэтилазодикарбоксилата, получая [рац] этиловый эфир 3-(4-{2-[2-(4-трет-бутилфенил)-5-метилтиазол-4-ил]этокси}-2-метилфенил)-2-этоксипропионовой кислоты в виде бесцветного масла. МС: 510,4 (М+Н)+; 464,2; 436,3; 258,2. г) [рац] 3-(4-{2-[2-(4-трет-Бутилфенил)-5-метилтиазол-4-ил]этокси}-2-метилфенил)-2-этоксипропионовая кислота По аналогии с процессом, описанным в примере 10г, [рац] этиловый эфир 3-(4-{2-[2-(4-трет-бутилфенил)-5-метилтиазол-4-ил]этокси}-2-метилфенил)-2-этоксипропионовой кислоты обрабатывали LiOH, получая [рац] 3-(4-{2-[2-(4-трет-бутилфенил)-5-метилтиазол-4-ил]этокси}-2-метилфенил)-2-этоксипропионовую кислоту в виде бесцветной жидкости. МС: 482,3 (М+Н)+; 430,3; 408,3; 371,3; 323,3; 276,2; 258,2. Пример 13 а) [2-(4-Изопропилфенил)тиазол-4-ил]ацетонитрил 14,5 г (57,6 ммоль) 4-Хлорметил-2-(4-изопропилфенил)тиазола (получен из 4-изопропилтиобензамида и 1,3-дихлорацетона по аналогии с процессом, описанным в примере 4а) и 4,08 г (83,4 ммоль) цианида натрия в 50 мл диметилсульфоксида перемешивали при 40°С в течение 2 час. Затем реакционную смесь выливали в смесь лед/вода и последовательно экстрагировали тремя порциями по 75 мл трет-бутилметилового эфира. Объединенные органические фазы промывали водой, солевым раствором и сушили над безводным сульфатом натрия. После упаривания растворителя получали 13,4 г (96% от теоретического) [2-(4-изопропилфенил)тиазол-4-ил]ацетонитрила в виде твердого коричневого вещества. МС: 243,2 (М+Н)+. б) [2-(4-Изопропилфенил)тиазол-4-ил]уксусная кислота Смесь 13 г (53,6 ммоль) [2-(4-изопропилфенил)тиазол-4-ил]ацетонитрила, 20 г гидроксида натрия (500 ммоль), 20 мл воды и 120 мл пропанола интенсивно перемешивали при 100°С. Гидролиз заканчивался через 4 час. Затем реакционную смесь выливали в толченый лед и водную HCl, трижды экстрагировали этилацетатом, промывали водой и солевым раствором и сушили над безводным сульфатом натрия. После отгонки растворителя оставалось 13,8 г (98,5% от теоретического) [2-(4-изопропилфенил)тиазол-4-ил]уксусной кислоты в виде светло-коричневого твердого вещества. МС: 260,0 (М-Н)–. в) Метиловый эфир [2-(4-изопропилфенил)тиазол-4-ил]уксусной кислоты Раствор 6,9 г (26,4 ммоль) [2-(4-изопропилфенил)тиазол-4-ил]уксусной кислоты и 0,5 г моногидрата п-толуолсульфоновой кислоты (катализатор) в 70 мл метанола и 5 мл триметилортоформиата кипятили в течение 5 час. После нейтрализации водным раствором бикарбоната натрия, упаривания растворителя, экстракции остатка трет-бутилметиловым эфиром, высушивания над безводным сульфатом натрия и отгонки растворителя получали 6,4 г (88% от теоретического) метилового эфира [2-(4-изопроилфенил)тиазол-4-ил]уксусной кислоты в виде светло-коричневого масла. МС: 275,1 (М+). г) 2-[2-(4-Изопропилфенил)тиазол-4-ил]этанол По аналогии с процессом, описанным в примере 12б, 6,3 г (22,8 ммоль) метилового эфира [2-(4-изопроилфенил)тиазол-4-ил]уксусной кислоты восстанавливали алюмогидридом лития до 2-[2-(4-изопропилфенил)тиазол-4-ил]этанола; получено 4,8 г (85% от теоретического) оранжевого вязкого масла. МС: 248,1 (М+H)+. д) [рац] Этиловый эфир 2-этокси-3-(4-{2-[2-(4-изопропилфенил]тиазол-4-ил]этокси}-2-метилфенил)пропионовой кислоты По аналогии с процессом, описанным в примере 10в, [рац] этиловый эфир 2-этокси-3-(4-гидрокси-2-метилфенил)пропионовой кислоты (пример 10б) вводили в реакцию с 2-[2-(4-изопропилфенил)тиазол-4-ил]этанолом в присутствии трифенилфосфина и диэтилазодикарбоксилата, получая [рац] этиловый эфир 2-этокси-3-(4-{2-[2-(4-изопропилфенил)тиазол-4-ил]этокси}-2-метилфенил)пропионовой кислоты в виде бесцветного масла. МС: 482,3 (М+Н)+; 436,2; 392,2; 364,2; 320,3; 256,2; 230,2. е) [рац] 2-Этокси-3-(4-{2-[2-(4-изопропилфенил)тиазол-4-ил]этокси}-2-метилфенил)пропионовая кислота По аналогии с процессом, описанным в примере 10г, [рац] этиловый эфир 2-этокси-3-(4-{2-[2-(4-изопропилфенил)тиазол-4-ил]этокси}-2-метилфенил)пропионовой кислоты обрабатывали LiOH, получая [рац] 2-этокси-3-(4-{2-[2-(4-изопропилфенил)тиазол-4-ил]этокси}-2-метилфенил)пропионовую кислоту в виде бесцветной жидкости. МС: 454,3 (М+Н)+; 439,1; 371,3; 335,0; 258,3; 191,3. Пример 14 а) 4-Хлорметил-2-(4-хлорфенил)тиазол По аналогии с процессом, описанным в примере 4а, 4-хлортиобензамид вводили в реакцию с 1,3-дихлорацетоном с последующей обработкой концентрированной серной кислотой, получая 4-хлорметил-2-(4-хлорфенил)тиазол в виде бесцветных кристаллов. МС: 244,2 (М+Н)+; 187,2. б) [рац] Этиловый эфир 3-{4-[2-(4-хлорфенил)тиазол-4-илметокси]-2-метилфенил}-2-этоксипропионовой кислоты Смесь [рац]этилового эфира 2-этокси-3-(4-гидрокси-2-метилфенил)пропионовой кислоты (37 мг, 0,15 ммоль) (пример 10б), 4-хлорметил-2-(4-хлорфенил)тиазола (44 мг, 0,18 ммоль), карбоната цезия (59 мг,0,18 ммоль) и следового количества иодида калия суспендировали в ацетоне (3 мл). Суспензию нагревали при кипении в течение 5 час, после чего растворитель удаляли в вакууме и остаток растворяли в смеси 2н. HCl/ледяная вода 1/1 и этилацетата. Слои разделяли, и водный слой дважды экстрагировали этилацетатом. Комбинированные органические фазы промывали дважды солевым раствором и сушили над сульфатом натрия. Растворитель удаляли в вакууме, и остаток очищали колоночной хроматографией (силикагель, циклогексан/AcOEt), получая 46 мг (0,1 ммоль, 68%) целевого продукта в виде бесцветного масла. МС: 482,2 (M+Na)+; 460,2 (М+Н)+; 432,3; 389,2; 317,2; 279,3; 211,3; 184,4. в) [рац] 3-{4-[2-(4-Хлорфенил)тиазол-4-илметокси]-2-метилфенил}-2-этоксипропионовая кислота По аналогии с процессом, описанным в примере 10г, [рац] этиловый эфир 3-{4-[2-(4-хлорфенил)тиазол-4-илметокси]-2-метилфенил}-2-этоксипропионовой кислоты обрабатывали LiOH, получая [рац] 3-{4-[2-(4-хлорфенил)тиазол-4-илметокси]-2-метилфенил}-2-этоксипропионовую кислоту в виде светло-желтой жидкости. МС: 432,2 (М+Н)+; 386,1; 249,2; 218,3; 176,2. Пример 15 а) [рац] Этиловый эфир 3-{4-[2-(4-трет-бутилфенил)тиазол-4-илметокси]-2-метилфенил}-2-этоксипропионовой кислоты По аналогии с процессом, описанным в примере 14б, [рац] этиловый эфир 2-этокси-3-(4-гидрокси-2-метилфенил)пропионовой кислоты (пример 10б) вводили в реакцию с 2-(4-трет-бутилфенил)-4-хлорметилтиазолом (пример 4а) в присутствии карбоната цезия и йодида калия, получая [рац] этиловый эфир 3-{4-[2-(4-трет-бутилфенил)тиазол-4-илметокси]-2-метилфенил}-2-этоксипропионовой кислоты в виде бесцветной жидкости. МС: 504,3 (M+Na)+; 482,3 (М+Н)+; 438,3; 271,3; 230,2. б) [рац] 3-{4-[2-(4-трет-Бутилфенил)тиазол-4-илметокси]-2-метилфенил}-2-этоксипропионовая кислота По аналогии с процессом, описанным в примере 10г, [рац] этиловый эфир 3-{4-[2-(4-трет-бутилфенил)тиазол-4-илметокси]-2-метилфенил}-2-этоксипропионовой кислоты обрабатывали LiOH, получая [рац] 3-{4-[2-(4-трет-бутилфенил)тиазол-4-илметокси]-2-метилфенил}-2-этоксипропионовую кислоту в виде бесцветной пены. МС: 454,3 (М+Н)+; 383,1; 320,3; 266,8; 252,3; 234,3; 166,3. Пример 16 а) [рац] Этиловый эфир 2-этокси-3-{4-[2-(4-изопропилфенил)тиазол-4-илметокси]-2-метилфенил}пропионовой кислоты По аналогии с процессом, описанным в примере 14б, [рац] этиловый эфир 2-этокси-3-(4-гидрокси-2-метилфенил)пропионовой кислоты (пример 10б) вводили в реакцию с 4-хлорметил-2-(4-изопропилфенил)тиазолом (получен из 4-изопропилтиобензамида и 1,3-дихлорацетона по аналогии с процессом, описанным в примере 4а) в присутствии карбоната цезия и йодида калия, получая [рац] этиловый эфир 2-этокси-3-{4-[2-(4-изопропилфенил)тиазол-4-илметокси]-2-метилфенил}пропионовой кислоты в виде бесцветной жидкости. МС: 490,2 (M+Na)+; 468,2 (М+Н)+; 424,4; 257,1; 216,3. б) [рац] 2-Этокси-3-{4-[2-(4-изопропилфенил)тиазол-4-илметокси]-2-метилфенил}пропионовая кислота По аналогии с процессом, описанным в примере 10г, [рац] этиловый эфир 2-этокси-3-{4-[2-(4-изопропилфенил)тиазол-4-илметокси]-2-метилфенил}пропионовой кислоты обрабатывали LiOH, получая [рац] 3-{4-[2-(4-изопропилфенил)тиазол-4-илметокси]-2-метилфенил}пропионовую кислоту в виде бесцветной пены. МС: 438,2 (М-Н)–; 392,1; 348,3; 255,2. Пример 17 а) (S)-4-Бензил-3-[(2S,3R)-3-(4-бензилокси-2-метилфенил)-2-этокси-3-гидроксипропионил]оксазолидин-2-он (S)-4-Бензил-3-этоксиацетилоксазолидин-2-он (12,45 г, 47 ммоль) (получение см. D.Haigh, Н.С.Birrell, В.С.С.Cantello, D.S.Eggleston, R.С.Haltiwanger, R.M.Hindley, A.Ramaswamy, N.C.Stevens, Tetrahedron: Asymmetry, 10, 1999, сс.1353-1367) растворяли в сухом дихлорметане (270 мл) в атмосфере аргона, и раствор охлаждали до -78°С. Добавляли триэтиламин (7,98 мл, 57 ммоль) с последующим медленным добавлением в течение примерно 20 мин трифлата ди-н-бутилбора (1М раствор в дихлорметане, 25 мл, 50 ммоль) так, чтобы поддерживать температуру ниже -70°С. Смесь перемешивали при -78°С в течение 50 мин, заменяли охлаждающую смесь на баню со льдом, и перемешивали смесь при температуре 0°С еще 50 мин, после чего смесь вновь охлаждали до -78°С. Добавляли раствор 4-бензилокси-2-метилбензальдегида (10,7 г, 47 ммоль) в сухом дихлорметане (130 мл) в течение приблизительно 45 мин так, чтобы поддерживать температуру ниже -70°С. Полученную смесь перемешивали при -78°С в течение 45 мин, доводили температуру до 0°С и перемешивали при этой температуре еще 1,5 час. Реакционную смесь выливали в смесь ледяная вода/соль и дважды экстрагировали дихлорметаном. Объединенные вытяжки промывали солевым раствором и сушили над сульфатом натрия. Удаляли растворитель в вакууме, и остаток очищали колоночной хроматографией (силикагель, циклогексан/AcOEt), получая 22,3 г (45,6 ммоль, 96%) целевого продукта в виде бесцветного масла. Согласно данным спектроскопии 1Н ЯМР значительно преобладал один из четырех изомеров, которому была приписана 2S,3R конфигурация согласно D.Haigh и др., Tetrahedron: Asymmetry, 10, 1999, cc.1353-1367. MC: 512,3 (M+Na)+; 472,3; 447,2; 387,2; 327,2; 295,3; 267,3; 232,1; 175,1. б) (2S,3R) Метиловый эфир 3-(4-бензилокси-2-метилфенил)-2-этокси-3-гидроксипропионовой кислоты 5,4 М Раствор метилата натрия (7,3 мл, 39,5 ммоль) добавляли к охлаждаемой льдом и перемешиваемой суспензии (S)-4-бензил-3-[(2S,3R)-3-(4-бензилокси-2-метилфенил)-2-этокси-3-гидроксипропионил]оксазолидин-2-она (17,6 г, 36 ммоль) в сухом метаноле (87 мл). Смесь перемешивали при 0°С в течение 15 мин и нейтрализовали разбавленной водной соляной кислотой (1,0 М). Раствор концентрировали в вакууме, и остаток растворяли в смеси ледяной воды с этилацетатом 1:1, разделяли слои, и водный слой дважды экстрагировали этилацетатом. Комбинированные органические вытяжки промывали ледяной водой и сушили над сульфатом натрия. Удаляли растворитель в вакууме, и остаток очищали колоночной хроматографией (силикагель, циклогексан/AcOEt), получая 8,6 г (25 ммоль, 69%) целевого продукта в виде бледно-желтого масла. По данным спектроскопии 1Н ЯМР получается один единственный стереометр. МС: 367,2 (M+Na)+; 362,2 (M+NH4)+; 327,3; 299,3; 239,3; 211,2. в) (2S) Метиловый эфир 3-(4-бензилокси-2-метилфенил)-2-этоксипропионовой кислоты К интенсивно перемешиваемому и охлаждаемому льдом раствору (2S,3R) метилового эфира 3-(4-бензилокси-2-метилфенил)-2-этокси-3-гидроксипропионовой кислоты (5 г, 14,5 ммоль) в трифторуксусной кислоте (84 мл) в атмосфере аргона добавляли триэтилсилан (23 мл, 145 ммоль). Смесь перемешивали 30 мин при 0°С и затем 2 час при комнатной температуре. Раствор выливали в толченый лед и экстрагировали этилацетатом. Органический слой дважды промывали водой и нейтрализовали насыщенным водным раствором бикарбоната натрия. Раствор этилацетата промывали солевым раствором и сушили над сульфатом натрия. Удаляли растворитель в вакууме, и оставшееся бесцветное масло очищали колоночной хроматографией (силикагель, циклогексан/AcOEt), получая 2,15 г (6,5 ммоль, 45%) целевого продукта в виде бесцветного масла. МС: 351,2 (M+Na)+; 346,3 (M+NH4)+; 283,2; 276,2; 223,2; 195,5. г) (2S) Метиловый эфир 2-этокси-3-(4-гидрокси-2-метилфенил)пропионовой кислоты Раствор (2S) метилового эфира 3-(4-бензилокси-2-метилфенил)-2-этоксипропионовой кислоты (3,6 г, 11 ммоль) в метаноле (300 мл) гидрировали над 10% палладием на угле (1 г) при комнатной температуре в течение 2 час, катализатор отфильтровывали и растворитель удаляли в вакууме, получая 2 г (8,4 ммоль, 77%) целевого соединения в виде желтой жидкости, которую использовали в следующей стадии без дальнейшей очистки. МС: 261,2 (M+Na)+; 256,1 (M+NH4)+; 239,3 (M+H)+; 193,2; 151,1. д) (2S) Метиловый эфир 3-{4-[2-(3-хлор-4-фторфенил)тиазол-4-илметокси]-2-метилфенил}-2-этоксипропионовой кислоты По аналогии с процессом, описанным в примере 14б, (2S) метиловый эфир 2-этокси-3-(4-гидрокси-2-метилфенил)пропионовой кислоты вводили в реакцию с 2-(3-хлор-4-фторфенил)-4-хлорметилтиазолом (полученным из 3-хлор-4-фтортиобензамида и 1,3-дихлорацетона по аналогии с процессом, описанным в примере 4а) в присутствии карбоната цезия и иодида калия, получая (2S) метиловый эфир 3-{4-[2-(3-хлор-4-фторфенил)-тиазол-4-илметокси]-2-метилфенил}-2-этоксипропионовой кислоты в виде желтой жидкости. е) (2S) 3-{4-[2-(3-Хлор-4-фторфенил)тиазол-4-илметокси]-2-метилфенил}-2-этоксипропионовая кислота По аналогии с процессом, описанным в примере 10г, (2S) метиловый эфир 3-{4-[2-(3-хлор-4-фторфенил)-тиазол-4-илметокси]-2-метилфенил}-2-этоксипропионовой кислоты обрабатывали LiOH, получая (2S) 3-{4-[2-(3-хлор-4-фторфенил)-тиазол-4-илметокси]-2-метилфенил}-2-этоксипропионовую кислоту в виде бесцветного твердого вещества. МС: 448,1 (М-Н)–; 402,1; 357,9; 308,8; 283,5; 254,8; 222,8. Пример 18 a) (2S) Метиловый эфир 2-этокси-3-{2-метил-4-[2-(4-трифторметилфенил)тиазол-4-илметокси]фенил}пропионовой кислоты По аналогии с процессом, описанным в примере 14б, (2S) метиловый эфир 2-этокси-3-(4-гидрокси-2-метилфенил)пропионовой кислоты (пример 17 г) вводили в реакцию с 4-хлорметил-2-(4-трифторметилфенил)тиазолом (получен из 4-трифторметилтиобензамида и 1,3-дихлорацетона по аналогии с процессом, описанным в примере 4а) в присутствии карбоната цезия и иодида калия, получая (2S) метиловый эфир 2-этокси-3-{2-метил-4-[2-(4-трифторметилфенил)тиазол-4-илметокси]-фенил}пропионовой кислоты в виде бесцветной жидкости. МС: 502,2 (M+Na)+; 480,3 (М+Н)+; 434,2; 420,2; 392,0; 283,1; 242,1; 181,2. б) (2S) 2-Этокси-3-{2-метил-4-[2-(4-трифторметилфенил)тиазол-4-илметокси]фенил}пропионовая кислота По аналогии с процессом, описанным в примере 10г, (2S) метиловый эфир 2-этокси-3-{2-метил-4-[2-(4-трифторметилфенил)тиазол-4-илметокси]фенил}пропионовой кислоты обрабатывали LiOH, получая (2S) 2-этокси-3-{2-метил-4-[2-(4-трифторметилфенил)тиазол-4-илметокси] фенил}пропионовую кислоту в виде бесцветного твердого вещества. МС: 488,2 (M+Na)+; 466,1 (М+Н)+; 420,1; 371,3; 307,2; 269,2; 217,2; 187,2. Пример 19 а) (S)-4-Бензил-3-[(2S)-3-(4-бензилокси-2-метилфенил)-2-этоксипропионил]оксазолидин-2-он По аналогии с процессом, описанном в примере 17в, (S)-4-бензил-3-[(2S,3R)-3-(4-бензилокси-2-метилфенил)-2-этокси-3-гидроксипропионил]оксазолидин-2-он (пример 17а) обрабатывали триэтилсиланом в трифторуксусной кислоте, получая целевой продукт в виде бесцветной жидкости. МС: 496,2 (M+Na)+; 491,3 (M+NH4)+; 474,2 (M+H)+; 428,3; 352,3; 251,2; 175,2. б) (S)-4-Бензил-3-[(2S)-2-этокси-3-(4-гидрокси-2-метилфенил)пропионил]оксазолидин-2-он По аналогии с процессом, описанным в примере 17г, (S)-4-бензил-3-[(2S)-3-(4-бензилокси-2-метилфенил)-2-этоксипропионил]оксазолидин-2-он гидрировали над 10% палладием на угле, получая целевой продукт в виде желтой жидкости. МС: 382,1 (М-Н)–; 324,9; 305,1; 282,9; 261,8; 255,2; 221,4; 175,6. в) (S)-4-Бензил-3-[(2S)-3-{4-[2-(3-хлорфенил)тиазол-4-илметокси]-2-метилфенил}-2-этоксипропионил]оксазолидин-2-он По аналогии с процессом, описанным в примере 10в, (S)-4-бензил-3-[(2S)-2-этокси-3-(4-гидрокси-2-метилфенил)пропионил]оксазолидин-2-он вводили в реакцию с [2-(3-хлорфенил)тиазол-4-ил]метанолом [получен по: С.Lambert, R.Pepis, International Patent Appl, Publication No. WO 8900568 (A1), 1989] в присутствии трифенилфосфина и диэтилазодикарбоксилата, получая (S)-4-бензил-3-[(2S)-3-{4-[2-(3-хлорфенил)тиазол-4-илметокси]-2-метилфенил}-2-этоксипропионил]оксазолидин-2-он в виде бесцветного твердого вещества. МС: 613,3 (M+Na)+; 591,2 (M+H)+; 561,4; 487,2; 465,2; 419,2; 368,1; 299,3; 211,3; 167,2. г) (2S) 3-{4-[2-(3-Хлорфенил)тиазол-4-илметокси]-2-метилфенил}-2-этоксипропионовая кислота (S)-4-Бензил-3-[(2S)-3-{4-[2-(3-хлорфенил)тиазол-4-илметокси]-2-метилфенил}-2-этоксипропионил]оксазолидин-2-он (80 мг, 140 мкмоль) растворяли в охлаждаемом льдом ТГФ (0,8 мл) и обрабатывали 1н. NaOH (0,34 мл, 350 мкмоль) при 0°С в течение 2 час. Реакционную смесь выливали в смесь ледяная вода/HCl и дважды экстрагировали диэтиловым эфиром. Комбинированные органические фазы промывали водой, солевым раствором и сушили над сульфатом натрия. После отгонки растворителя получали 52 мг (120 мкмоль, 89%) целевого соединения в виде бесцветного твердого вещества. МС: 454,2 (М+Na)+; 432,1 (М+Н)+; 345,1; 269,2; 241,2; 187,2. Пример 20 а) (2S) Метиловый эфир 3-{4-[2-(4-хлорфенил)тиазол-4-илметокси]-2-метилфенил}-2-этоксипропионовой кислоты По аналогии с процедурой, описанной в примере 14б, (2S) метиловый эфир 2-этокси-3-(4-гидрокси-2-метилфенил)пропионовой кислоты (пример 17г) вводили в реакцию с 4-хлорметил-2-(4-хлорфенил)тиазолом (пример 14а) в присутствии карбоната цезия и йодида калия, получая (2S) метиловый эфир 3-{4-[2-(4-хлорфенил)тиазол-4-илметокси]-2-метилфенил}-2-этоксипропионовой кислоты в виде светло-желтой жидкости. МС: 446,1 (М+Н)+; 342,2; 279,1; 242,2; 219,3. б) (2S) 3-{4-[2-(4-Хлорфенил)тиазол-4-илметокси]-2-метилфенил}-2-этоксипропионовая кислота По аналогии с процедурой, описанной в примере 10г, (2S) метиловый эфир 3-{4-[2-(4-хлорфенил)тиазол-4-илметокси]-2-метилфенил}-2-этоксипропионовой кислоты обрабатывали LiOH и получали (2S)-3-{4-[2-(4-хлорфенил)тиазол-4-илметокси]-2-метилфенил}-2-этоксипропионовую кислоту в виде бесцветного твердого вещества, которое кристаллизовали из смеси гексан/AcOEt, получая бесцветные кристаллы. По данным хиральной ВЭЖХ (Chiralcel-OJ) энантиомерная чистота соответствующего метилового эфира превышала 98,9%. МС: 430,2 (М-Н)–; 384,1; 293,1; 255,2. Пример 21 а) (S)-4-Бензил-3-[(2S,3R)-3-(4-бензилокси-2-метоксифенил)-2-этокси-3-гидроксипропионил]оксазолидин-2-он По аналогии с процессом, описанным в примере 17а, (S)-4-бензил-3-этоксиацетилоксазолидин-2-он (D.Haigh, Н.С.Birrell, В.С.С.Cantello, D.S.Eggleston, R.С.Haltiwanger, R.M.Hindley, A.Ramaswamy, N.C.Stevens, Tetrahedron, 10, 1999, сс.1353-1367) вводили в реакцию с 4-бензилокси-2-метоксибензальдегидом в присутствии триэтиламина и трифлата н-бутилбора, получая (S)-4-бензил-3-[(2S,3R)-3-(4-бензилокси-2-метоксифенил)-2-этокси-3-гидроксипропионил]оксазолидин-2-он в виде светло-желтого твердого вещества. По данным спектроскопии 1Н ЯМР один из четырех изомеров существенно преобладает. Этому изомеру была приписана 2S,3R конфигурация (D.Haigh и др., Tetrahedron, 10, 1999, сс.1353-1367). МС: 528,3 (M+Na)+; 523,3 (M+NH4)+; 488,3; 442,4; 311,2; 239,3. б) (2S,3R) Метиловый эфир 3-(4-бензилокси-2-метоксифенил)-2-этокси-3-гидроксипропионовой кислоты По аналогии с процессом, описанным в примере 17б, (S)-4-бензил-3-[(2S,3R)-3-(4-бензилокси-2-метоксифенил)-2-этокси-3-гидроксипропионил]оксазолидин-2-он обрабатывали метилатом натрия в метаноле, получая (2S,3R) метиловый эфир 3-(4-бензилокси-2-метоксифенил)-2-этокси-3-гидроксипропионовой кислоты в виде бесцветной жидкости. По данным 1Н ЯМР-спектроскопии получен один единственный диастереомер. МС: 383,2 (M+Na)+; 378,2 (M+NH4)+; 343,2; 311,2; 283,2; 239,3; 163,2. в) (2S) Метиловый эфир 2-этокси-3-(4-гидрокси-2-метоксифенил)пропионовой кислоты Раствор (2S,3R) метилового эфира 3-(4-бензилокси-2-метоксифенил)-2-этокси-3-гидроксипропионовой кислоты (100 мг, 200 мкмоль) и дигидрата оксалиловой кислоты (150 мг, 1,2 ммоль) в изопропаноле (2 мл) гидрогенизировали при давлении в 50 атм над 10% палладием на угле (20 мг) при комнатной температуре в течение 6,5 час. Отфильтровывали катализатор и отгоняли растворитель в вакууме. Остаток выливали в смесь ледяная вода/водный раствор бикарбоната натрия 1:1 и дважды экстрагировали этилацетатом. Комбинированные вытяжки дважды промывали смесью ледяная вода/солевой раствор 1:1 и сушили над сульфатом натрия. Растворитель отгоняли в вакууме, получая желтую жидкость, которую очищали колоночной хроматографией (силикагель, циклогексан/AcOEt); получая 43 г (170 мкм, 85%) целевого продукта в виде светло-желтой жидкости. МС: 277,1 (M+Na)+, 209,2; 195,3; 181,2; 177,2; 167,2. г) (2S) Метиловый эфир 3-{4-[2-(4-хлорфенил)тиазол-4-илметокси]-2-метоксифенил}-2-этоксипропионовой кислоты По аналогии с процессом, описанным в примере 14б, (2S) метиловый эфир 2-этокси-(4-гидрокси-2-метоксифенил)пропионовой кислоты вводили в реакцию с 4-хлорметил-2-(4-хлорфенил)тиазолом (пример 14а) в присутствии карбоната цезия и иодида калия, получая (2S) метиловый эфир 3-{4-[2-(4-хлорфенил)тиазол-4-илметокси]-2-метоксифенил}-2-этоксипропионовой кислоты в виде светло-желтой жидкости. МС: 462,1 (М+Н)+; 416,1; 305,4; 251,2; 174,3. д) (2S) 3-{4-[2-(4-Хлорфенил)тиазол-4-илметокси]-2-метоксифенил}-2-этоксипропионовая кислота По аналогии с процессом, описанным в примере 10г, (2S) метиловый эфир 3-{4-[2-(4-хлорфенил)тиазол-4-илметокси]-2-метоксифенил}-2-этоксипропионовой кислоты обрабатывали LiOH, получая 3-{4-[2-(4-хлорфенил)тиазол-4-илметокси]-2-метоксифенил}-2-этоксипропионовую кислоту в виде бесцветного твердого вещества. МС: 446,1 (М-Н)–; 400,1; 356,0; 329,8; 281,0; 255,5; 227,0; 192,1. Пример 22 а) (S)-4-Бензил-3-[(2S,3R)-3-(4-бензилокси-2-хлорфенил)-2-этокси-3-гидроксипропионил]оксазолидин-2-он По аналогии с процессом, описанным в примере 17а, (S)-бензил-3-этоксиацетилоксазолидин-2-он (D.Haigh, Н.С.Birrell, В.С.С.Cantello, D.S.Eggleston, R.С.Haltiwanger, R.M.Hindley, A.Ramaswamy, N.C.Stevens, Tetrahedron: Asymmetry, 10, 1999, сс.1353-1367) вводили в реакцию с 4-бензилокси-2-хлорбензальдегидом (Т.Kimachi, M.Kawase, S.Matsuki, K.Tanaka, F.Yoneda, J. Chem. Soc., Perkin Trans. 1, 1990, сс.253-256) в присутствии триэтиламина и трифлата н-бутилбора, получая (S)-4-бензил-3-[(2S,3R)-3-(4-бензилокси-2-хлорфенил)-2-этокси-3-гидроксипропионил]оксазолидин-2-он в виде бесцветной жидкости. По данным 1Н ЯМР-спектроскопии существенно преобладает один из четырех изомеров, которому была приписана конфигурация 2S,3R согласно D.Haigh и др., Tetrahedron: Asymmetry, 10, 1999, сс.1353-1367. МС: 532,3 (M+Na)+; 527,2 (M+NH4)+; 446,1; 381,2; 315,1; 287,2; 243,2; 178,2. б) (2S,3R) Метиловый эфир 3-(4-бензилокси-2-хлорфенил)-2-этокси-3-гидроксипропионовой кислоты По аналогии с процессом, описанным в примере 17б, (S)-4-бензил-3-[(2S,3R)-3-(4-бензилокси-2-хлорфенил)-2-этокси-3-гидроксипропионил]оксазолидин-2-он обрабатывали метилатом натрия в метаноле, получая (2S,3R) метиловый эфир 3-(4-бензилокси-2-хлорфенил)-2-этокси-3-гидроксипропионовой кислоты в виде бесцветной жидкости. Согласно данным 1Н ЯМР-спектроскопии получается один единственный диастереомер. МС: 387,1 (M+Na)+ 382,2 (M+NH4)+ 328,2; 319,2; 279,2; 203.2. в) (2S) Метиловый эфир 3-(4-бензилокси-2-хлорфенил)-2-этоксипропионовой кислоты По аналогии с процессом, описанным в примере 17в, (2S,3R) метиловый эфир 3-(4-бензилокси-2-хлорфенил)-2-этокси-3-гидроксипропионовой кислоты обрабатывали триэтилсиланом в трифторуксусной кислоте, получая (2S) метиловый эфир 3-(бензилокси-2-хлорфенил)-2-этоксипропионовой кислоты в виде бесцветной жидкости. МС: 371,4 (M+Na)+; 366,2 (M+NH4) +; 303,2; 269,2; 222,2; 187,2. г) (2S) Метиловый эфир 3-(2-хлор-4-гидроксифенил)-2-этоксипропионовой кислоты Диметилсульфид (5,8 мл, 79 ммоль) и диэтилэфират трехфтористого бора (46% чистоты, 4,3 мл, 16 ммоль) добавляли к охлаждаемому льдом раствору (2S) метилового эфира 3-(4-бензилокси-2-хлорфенил)-2-этоксипропионовой кислоты (1,1 г, 3,2 ммоль) в дихлорметане (34 мл) в атмосфере аргона. Смесь перемешивали 5 час при комнатной температуре, выливали в смесь ледяная вода/солевой раствор 1/1 и дважды экстрагировали дихлорметаном. Комбинированные вытяжки промывали смесью ледяная вода/солевой раствор 1/1 и высушивали над сульфатом натрия. После удаления растворителя в вакууме получали бесцветное масло, которое очищали колоночной хроматографией (силикагель, циклогексан/AcOEt), получая 0,6 г (2,3 ммоль, 74%) целевого продукта в виде бесцветного масла. МС: 281,0 (M+Na)+; 276,1 (M+NH4)+; 251,3; 213,3; 187,2. д) (2S) Метиловый эфир 3-{2-хлор-4-[2-(4-хлорфенил)тиазол-4-илметокси]фенил}-2-этоксипропионовой кислоты По аналогии с процессом, описанным в примере 14б, (2S) метиловый эфир 3-(2-хлор-4-гидроксифенил)-2-этоксипропионовой кислоты вводили в реакцию с 4-хлорметил-2-(4-хлорфенил)тиазолом (пример 14а) в присутствии карбоната цезия и йодида калия, получая (2S)-метиловый эфир 3-{2-хлор-4-[2-(4-хлорфенил)тиазол-4-илметокси]фенил}-2-этоксипропионовой кислоты в виде светло-желтого твердого вещества. МС: 466,1 (М+Н)+; 407,2; 371,4; 344,1; 300,2; 269,2; 187,2. e) (2S) 3-{2-Хлор-4-[2-(4-хлорфенил)тиазол-4-илметокси]фенил}-2-этоксипропионовая кислота По аналогии с процессом, описанным в примере 10г, (2S) метиловый эфир 3-{2-хлор-4-[2-(4-хлорфенил)тиазол-4-илметокси]фенил}-2-этоксипропионовой кислоты обрабатывали LiOH, получая (2S) 3-{2-хлор-4-[2-(4-хлорфенил)тиазол-4-илметокси]фенил}-2-этоксипропионовую кислоту в виде бесцветного твердого продукта. МС: 452,1 (М+Н)+; 420,9; 399,4; 371,4; 299,7; 265,3; 237,0; 190,2. Пример 23 а) 1-Этил-3-(фенилметокси)бензол К суспензии карбоната калия (17 г, 123 ммоль) в N,N-диметилформамиде (40 мл) добавляли раствор 3-этилфенола (14,8 мл, 123 ммоль) в N,N-диметилформамиде (40 мл) при 2°С в атмосфере аргона. После перемешивания 50 мин при 2°С добавляли в течение 15 мин бензилбромид (14,6 мл, 123 ммоль) при той же температуре. Суспензию перемешивали еще 30 мин при 2°С и 12 час при комнатной температуре. После добавления ледяной воды (250 мл) раствор дважды экстрагировали диэтиловым эфиром. Комбинированные экстракты промывали дважды солевым раствором и высушивали над сульфатом натрия. После удаления растворителя получали желтое масло, которое очищали колоночной хроматографией (силикагель, циклогексан), выделяя 24,3 г (114 ммоль, 93%) целевого соединения в виде желтой жидкости. МС: 212,2 (М+Н)+; 183,1; 91,2; 65,1. б) 1-Бром-2-этил-4-(фенилметокси)бензол К раствору 1-этил-3-(фенилметокси)бензола (15 г, 71 ммоль) в ТГФ (200 мл) добавляли N-бромсукцинимид (16,3 г, 92 ммоль) и концентрированную серную кислоту (2,4 мл). Раствор перемешивали при комнатной температуре 5 час, затем при охлаждении льдом добавляли бикарбонат натрия (3,6 г) и 10% водный раствор NaHSO3 (400 мл). Полученную смесь перемешивали 10 мин и выливали в этилацетат, разделяли фазы и водную фазу экстрагировали этилацетатом. Комбинированные экстракты промывали ледяной водой и солевым раствором и высушивали сульфатом натрия. После удаления в вакууме растворителя получали желтое масло, которое очищали колоночной хроматографией (силикагель, циклогексан), выделяя 17,1 г (58,7 ммоль, 83%) целевого соединения в виде бесцветной жидкости. МС: 292,0 (М)+; 290,0 (М)+; 212,2; 91,1; 65,2. в) 4-Бензилокси-2-этилбензальдегид Раствор н-BuLi в гексане (1,6 М, 44,4 мл, 69,9 ммоль) добавляли в течение 10 мин к перемешиваемому охлажденному (-85°С) раствору 1-бром-2-этил-4-(фенилметокси)бензола (18,5 г, 63,5 ммоль) в сухом ТГФ (22 мл). Смесь перемешивали при -85°С в атмосфере аргона 1 час, добавляли N,N-диметилформамид (25,5 мл, 330,4 ммоль), и температуру медленно поднимали до комнатной. Затем при охлаждении льдом добавляли водный насыщенный раствор NH4Cl (70 мл). Смесь дважды экстрагировали дихлорметаном, объединенные экстракты промывали солевым раствором и высушивали сульфатом натрия. После удаления растворителя в вакууме получали желтое масло, которое очищали колоночной хроматографией (силикагель, циклогексан/AcOEt), выделяя 11,9 г (49,5 ммоль, 78%) целевого соединения в виде желтого масла. МС: 240,1 (М+Н)+; 91,1; 77,1; 65,2. г) (S)-4-Бензил-3-[(2S,3R)-3-(4-бензилокси-2-этилфенил)-2-этокси-3-гидроксипропионил]оксазолидин-2-он По аналогии с процессом, описанным в примере 17а, (S)-4-бензил-3-этоксиацетилоксазолидин-2-он (D.Haigh, Н.С.Birrell, В.С.С.Cantello, D.S.Eggleston, R.С.Haltiwanger, R.М.Hindley, A.Ramaswamy, N.C.Stevens, Tetrahedron, 10, 1999, сс.1353-1367) вводили в реакцию с 4-бензилокси-2-этилбензальдегидом в присутствии триэтиламина и трифлата н-бутилбора, получая (S)-4-бензил-3-[(2S,3R)-3-(4-бензилокси-2-этилфенил)-2-этокси-3-гидроксипропионил]оксазолидин-2-он в виде желтой пены. По данным спектроскопии 1Н ЯМР один из четырех изомеров существенно преобладает. Этому изомеру была приписана 2S,3R конфигурация (D.Haigh и др; Tetrahedron, 10, 1999, сс.1353-1367). МС: 526,3 (M+Na)+; 521,3 (М+NH4)+; 486,2; 381,2; 309,2; 281,2; 253,3; 178,1. д) (2S,3R) Метиловый эфир 3-(4-бензилокси-2-этилфенил)-2-этокси-3-гидроксипропионовой кислоты По аналогии с процессом, описанным в примере 17б, (S)-4-бензил-3-[(2S,3R)-3-(4-бензилокси-2-этилфенил)-2-этокси-3-гидроксипропионил]оксазолидин-2-он обрабатывали метилатом натрия в метаноле, получая (2S,3R) метиловый эфир 3-(4-бензилокси-2-этилфенил)-2-этокси-3-гидроксипропионовой кислоты в виде бесцветной жидкости. По данным 1Н ЯМР-спектроскопии получен один единственный диастереомер. МС: 381,2 (M+Na)+; 376,3 (M+NH4)+; 341,3; 295,3; 253,2; 225,3. e) (2S) Метиловый эфир 3-(4-бензилокси-2-этилфенил)-2-этоксипропионовой кислоты По аналогии с процессом, описанным в примере 17в, метиловый эфир (2S,3R) 3-(4-бензилокси-2-этилфенил)-2-этокси-3-гидроксипропионовой кислоты обрабатывали триэтилсиланом в трифторуксусной кислоте, получая (2S) метиловый эфир 3-(4-бензилокси-2-этилфенил)-2-этоксипропионовой кислоты в виде бесцветной жидкости. МС: 365,2 (M+Na)+; 360,2 (M+NH4)+; 297,3; 283,2; 237,2; 209,3; 181,2. ж) (2S) метиловый эфир 2-этокси-3-(2-этил-4-гидроксифенил)пропионовой кислоты По аналогии с процессом, описанным в примере 17г, (2S) метиловый эфир 3-(4-бензилокси-2-этилфенил)-2-этоксипропионовой кислоты гидрировали над 10% палладием на угле, получая (2S) метиловый эфир 2-этокси-3-(2-этил-4-гидроксифенил)пропионовой кислоты в виде бесцветной жидкости. МС: 275,2 (M+Na)+; 270,3 (M+NH4)+; 253,3 (M+H)+; 207,2; 175,2; 165,3; 147,2. з) (2S) Метиловый эфир 3-{4-[2-(4-хлорфенил)тиазол-4-илметокси]-2-этилфенил}-2-этоксипропионовой кислоты По аналогии с процессом, описанным в примере 14б, (2S) метиловый эфир 2-этокси-3-(2-этил-4-гидроксифенил)пропионовой кислоты вводили в реакцию с 4-хлорметил-2-(4-хлорфенил)тиазолом (пример 14а) в присутствии карбоната цезия и иодида калия, получая (2S) метиловый эфир 3-{4-[2-(4-хлорфенил)тиазол-4-илметокси]-2-этилфенил}-2-этоксипропионовой кислоты в виде бесцветной жидкости. МС: 482,2 (М+Na)+; 460,2 (М+Н)+; 414,1; 383,1; 354,1; 293,3; 249,2; 208,1. и) (2S) 3-{4-[2-(4-Хлорфенил)тиазол-4-илметокси]-2-этилфенил}-2-этоксипропионовая кислота По аналогии с процессом, описанным в примере 10г, (2S) метиловый эфир 3-{4-[2-(4-хлорфенил)тиазол-4-илметокси]-2-этилфенил}-2-этоксипропионовой кислоты обрабатывали LiOH, получая (2S) 3-{4-[2-(4-хлорфенил)тиазол-4-илметокси]-2-этилфенил}-2-этоксипропионовую кислоту в виде светло-желтого твердого вещества. МС: 444,1 (М-Н)–; 397,9; 353,7; 328,3; 232,7; 189,9. Пример 24 [рац] 2-Этокси-3-{3-фтор-4-[2-(5-метил-2-фенилтиазол-4-ил)этокси]фенил}пропионовая кислота По аналогии с процессом, описанным в примере 1г, [рац] этиловый эфир 2-этокси-3-(3-фтор-4-гидроксифенил)пропионовой кислоты (пример 7а) вводили в реакцию с 2-(5-метил-2-фенилтиазол-4-ил)этанолом [РСТ Int. Appl. (2002), WO 02/18355 A1] в тетрагидрофуране в присутствии трифенилфосфина и DEAD (диэтилазодикарбоксилат), получая [рац] этиловый эфир 2-этокси-3-{3-фтор-4-[2-(5-метил-2-фенилтиазол-4-ил)этокси]фенил}пропионовой кислоты, который затем омыляли по аналогии с процессом, описанным в примере 4д, получая [рац] 2-этокси-3-{3-фтор-4-[2-(5-метил-2-фенилтиазол-4-ил)этокси]фенил}пропионовую кислоту в виде белого твердого вещества. МС: 428,2 (М-Н)–. Пример 25 [рац] 2-Этокси-3-(3-фтор-4-{2-[2-(4-трифторметилфенил)тиазол-4-ил]этокси}фенил)пропионовая кислота По аналогии с процессом, описанным в примере 1г, [рац] этиловый эфир 2-этокси-3-(3-фтор-4-гидроксифенил)пропионовой кислоты (пример 7а) вводили в реакцию с 2-(5-метил-2-фенилтиазол-4-ил)этанолом (полученным из 4-хлорметил-2-(4-трифторметилфенил)тиазола (пример 18а и 4а) по аналогии с последовательностью реакций, описанных в примерах от 13а до 13г) в тетрагидрофуране в присутствии трифенилфосфина и DEAD (диэтилазодикарбоксилат), получая [рац] этиловый эфир 2-этокси-3-(3-фтор-4-{2-[2-(4-трифторметилфенил)тиазол-4-ил]этокси}фенил)пропионовой кислоты, который затем омыляли по аналогии с процессом, описанным в примере 4д, получая [рац] 2-этокси-3-(3-фтор-4-{2-[2-(4-трифторметилфенил)тиазол-4-ил]этокси}фенил)пропионовую кислоту в виде бесцветной смолы. МС: 482,2 (М-Н)–. Пример 26 [рац] 2-Этокси-3-{3-фтор-4-[2-(2-фенилтиазол-4-ил)этокси]фенил}пропионовая кислота По аналогии с процессом, описанным в примере 1г, [рац] этиловый эфир 2-этокси-3-(3-фтор-4-гидроксифенил)пропионовой кислоты (пример 7а) вводили в реакцию с 2-(2-фенилтиазол-4-ил)этанолом (получен из тиобензамида и 1,3-дихлорацетона по аналогии с процессом, описанным в примере 4а), получая 4-хлорметил-2-фенилтиазол, с последующим наращиванием боковой цепи по аналогии с последовательностью синтетических стадий, описанных в примерах от 13а до 13г, в тетрагидрофуране в присутствии трифенилфосфина и DEAD (диэтилазодикарбоксилата), получая [рац] этиловый эфир 2-этокси-3-{3-фтор-4-[2-(2-фенилтиазол-4-ил)этокси]фенил}пропионовой кислоты, который затем омыляли по аналогии с процессом, описанным в примере 4д, получая [рац] 2-этокси-3-{3-фтор-4-[2-(2-фенилтиазол-4-ил)этокси]фенил}пропионовую кислоту в виде светло-желтой смолы. МС: 414,2 (М-Н)–. Пример 27 а) (4-Метил-2-фенилтиазол-5-ил)метанол Раствор 5,9 г (23,85 ммоль) этилового эфира 4-метил-2-фенилтиазол-5-карбоновой кислоты в 30 мл абсолютного ТГФ добавляли к суспензии 1,1 г (29 ммоль) алюмогидрида лития в 20 мл ТГФ в атмосфере аргона при 0°С. После этого смесь перемешивали при комнатной температуре 1 час, затем осторожно добавляли небольшое количество воды с последующим добавлением 50 мл этилацетата и 20 г безводного сульфата натрия, и смесь перемешивали 0,5 час. Затем реакционную смесь фильтровали, фильтрат упаривали, получая 3,85 г (78,6% от теоретического) (4-метил-2-фенилтиазол-5-ил)метанола в виде твердого желтого вещества. МС: 206,1 (М+Н)+. б) [рац] 2-Этокси-3-[3-фтор-4-(4-метил-2-фенилтиазол-5-илметокси)фенил]пропионовая кислота По аналогии с процессом, описанным в примере 1г, [рац] этиловый эфир 2-этокси-3-(3-фтор-4-гидроксифенил)пропионовой кислоты (пример 7а) вводили в реакцию с (4-метил-2-фенилтиазол-5-ил)метанолом в тетрагидрофуране в присутствии трифенилфосфина и диэтилазодикарбоксилата, получая [рац] этиловый эфир 2-этокси-3-[3-фтор-4-(4-метил-2-фенилтиазол-5-илметокси)фенил]пропионовой кислоты, который затем омыляли по аналогии с процессом, описанным в примере 4д, получая [рац] 2-этокси-3-[3-фтор-4-(4-метил-2-фенилтиазол-5-илметокси)фенил]пропионовую кислоту в виде светло-желтого вещества. МС: 414,1 (М-Н)–. Пример 28 а) 4-Йодметил-2-фенилтиазол Йодид натрия (2 г, 13,35 ммоль) добавляли к раствору 0,56 г (2,67 ммоль) 4-хлорметил-2-фенилтиазола (получен из тиобензамида и 1,3-дихлорацетона по аналогии с процессом, описанным в примере 4а) в 10 мл ацетона, и суспензию кипятили в течение 2 час. После охлаждения до комнатной температуры добавляли 30 мл трет-бутилметилового эфира и 10 мл воды, и разделяли смесь в делительной воронке. Органическую фазу промывали водой и солевым раствором, сушили над безводным сульфатом натрия, и отгоняли растворитель, получая 0,8 г (99% от теории) 4-йодметил-2-фенилтиазола в виде светло-желтого твердого вещества. МС: 300,9 (М)+. б) Этиловый эфир 3-(2-фенилтиазол-4-ил)пропионовой кислоты Получали LDA добавлением 4,7 мл н-BuLi (1,6 М в гексане) к раствору 0,76 г (7,5 ммоль) диизопропиламина в 3 мл абс. ТГФ при -5°С. Смесь затем охлаждали до -78°С, добавляли 0,77 г (8,74 ммоль) этилацетата, выдерживали 15 мин при этой температуре до полного депротонирования. После этого добавляли 0,79 г (2,5 ммоль) 4-йодметил-2-фенилтиазола в 5 мл абс. ТГФ и 3 мл 1,3-диметил-3,4,5,6-тетрагидро-2(1Н)-пиримидинона (DMPU) и продолжали перемешивание 0,5 час при -78°С. Реакционную смесь затем обрабатывали раствором хлорида аммония, дважды экстрагировали AcOEt, промывали водой, сушили над безводным сульфатом натрия и упаривали досуха. Остаток хроматографировали на силикагеле, используя дихлорметан в качестве элюента, и получали 0,46 г (70% от теоретического) этилового эфира 3-(2-фенилтиазол-4-ил)пропионовой кислоты в виде светло-желтой жидкости. МС: 262,1 (М+Н)+. в) 3-(2-Фенилтиазол-4-ил)пропан-1-ол По аналогии с процессом, описанным в примере 12б, 0,44 г (1,68 ммоль) этилового эфира 3-(2-фенилтиазол-4-ил)пропионовой кислоты вводили в реакцию с алюмогидридом лития, получая 0,28 г (75,8% от теоретического) 3-(2-фенилтиазол-4-ил)пропан-1-ола в виде бесцветной жидкости. МС: 220,2 (M+H)+. г) [рац] 2-Этокси-3-{3-фтор-4-[3-(2-фенилтиазол-4-ил)пропокси]фенил}пропионовая кислота По аналогии с процессом, описанным в примере 1г, [рац] этиловый эфир 2-этокси-3-(3-фтор-4-гидроксифенил)пропионовой кислоты (пример 7а) вводили в реакцию с 3-(2-фенилтиазол-4-ил)пропан-1-олом в тетрагидрофуране в присутствии трифенилфосфина и DEAD (диэтилазодикарбоксилат), получая [рац] этиловый эфир 2-этокси-3-{3-фтор-4-[3-(2-фенилтиазол-4-ил)пропокси]фенил}пропионовой кислоты, который затем омыляли по аналогии с процессом, описанным в примере 4д, получая [рац] 2-этокси-3-{3-фтор-4-[3-(2-фенилтиазол-4-ил)пропокси]фенил}пропионовую кислоту в виде бесцветной смолы. МС: 428,3 (М-Н)–. Пример 29 [рац] 2-Этокси-3-(3-фтор-4-{2-[5-метил-2-(4-трифторметилфенил)тиазол-4-ил]этокси}фенил)пропионовая кислота По аналогии с процессом, описанным в примере 1г, [рац] этиловый эфир 2-этокси-3-(3-фтор-4-гидроксифенил)пропионовой кислоты (пример 7а) вводили в реакцию с 2-[5-метил-2-(4-трифторметилфенил)тиазол-4-ил]этанолом [РСТ Int. Appl. (2001), WO 01/00603 A1] в тетрагидрофуране в присутствии трифенилфосфина и DEAD (диэтилазодикарбоксилат), получая [рац] этиловый эфир 2-этокси-3-(3-фтор-4-{2-[5-метил-2-(4-трифторметилфенил)тиазол-4-ил]этокси}фенил)пропионовой кислоты, который затем омыляли по аналогии с процессом, описанным в примере 4д, получая [рац] 2-этокси-3-(3-фтор-4-{2-[5-метил-2-(4-трифторметилфенил)тиазол-4-ил]этокси}фенил)пропионовую кислоту в виде светло-желтого твердого вещества. МС: 496,1 (М-Н)–. Пример 30 [рац] 3-(4-{2-[2-(4-трет-Бутилфенил)тиазол-4-ил]этокси}-3-фторфенил)-2-этоксипропионовая кислота По аналогии с процессом, описанным в примере 1г, [рац] этиловый эфир 2-этокси-3-(3-фтор-4-гидроксифенил)пропионовой кислоты (пример 7а) вводили в реакцию с 2-[2-(4-трет-бутилфенил)тиазол-4-ил]этанолом (получен из 2-(4-трет-бутилфенил)-4-хлорметилтиазола (пример 4а) по аналогии с процессами, описанными в примерах от 13а до 13г) в тетрагидрофуране в присутствии трифенилфосфина и DEAD (диэтилазодикарбоксилат), получая [рац] этиловый эфир 3-(4-{2-[2-(4-трет-бутилфенил)тиазол-4-ил]этокси}-3-фторфенил)-2-этоксипропионовой кислоты, который затем омыляли по аналогии с процессом, описанным в примере 4д, получая [рац] 3-(4-{2-[2-(4-трет-бутилфенил)тиазол-4-ил]этокси}-3-фторфенил)-2-этоксипропионовую кислоту в виде светло-желтого твердого вещества. МС: 470,2 (М-Н)–. Пример 31 а) [рац] Этиловый эфир 2-этокси-3-[2-метил-4-(2-фенилтиазол-4-илметокси)фенил]пропионовой кислоты По аналогии с процессом, описанным в примере 14б, [рац] этиловый эфир 2-этокси-3-(4-гидрокси-2-метилфенил)пропионовой кислоты (пример 10б) вводили в реакцию с 4-хлорметил-2-фенилтиазолом (получен из тиобензамида и 1,3-дихлорацетона по аналогии с процессом, описанным в примере 4а) в присутствии карбоната цезия и йодида калия, получая [рац] этиловый эфир 2-этокси-3-[2-метил-4-(2-фенилтиазол-4-илметокси)фенил]пропионовой кислоты в виде бесцветной жидкости. МС: 448,2 (М+Na)+; 426,3 (M+H)+; 380,2; 347,4; 291,3; 248,3; 215,3; 174,2. б) [рац] 2-Этокси-3-[2-метил-4-(2-фенилтиазол-4-илметокси)фенил]пропионовая кислота По аналогии с процессом, описанным в примере 10г, [рац] этиловый эфир 2-этокси-3-[2-метил-4-(2-фенилтиазол-4-илметокси)фенил]пропионовой кислоты обрабатывали LiOH, получая [рац] 2-этокси-3-[2-метил-4-(2-фенилтиазол-4-илметокси)фенил]пропионовую кислоту в виде бесцветных кристаллов. МС: 396,2 (М-Н)–; 350,2; 306,1; 255,0. Пример 32 а) [рац] Этиловый эфир 3-{4-[2-(2-хлорфенил]тиазол-4-илметокси]-2-метилфенил}-2-этоксипропионовой кислоты По аналогии с процессом, описанным в примере 14б, [рац] этиловый эфир 2-этокси-3-(4-гидрокси-2-метилфенил)пропионовой кислоты (пример 10б) вводили в реакцию с 4-хлорметил-2-(2-хлорфенил)тиазолом (получен из 2-хлортиобензамида и 1,3-дихлорацетона по аналогии с процессом, описанным в примере 4а) в присутствии карбоната цезия и йодида калия, получая [рац] этиловый эфир 3-{4-[2-(2-хлорфенил)тиазол-4-илметокси]-2-метилфенил}-2-этоксипропионовой кислоты в виде бесцветной жидкости. МС: 482,2 (M+Na)+; 460,2 (М+Н)+; 426,2; 386,1; 347,4; 291,4; 248,3; 208,1. б) [рац] 3-{4-[2-(2-Хлорфенил)тиазол-4-илметокси]-2-метилфенил}-2-этоксипропионовая кислота По аналогии с процессом, описанным в примере 10г, [рац] этиловый эфир 3-{4-[2-(2-хлорфенил)тиазол-4-илметокси]-2-метилфенил}-2-этоксипропионовой кислоты обрабатывали LiOH, получая [рац] 3-{4-[2-(2-хлорфенил)тиазол-4-илметокси]-2-метилфенил}-2-этоксипропионовую кислоту в виде бесцветного твердого вещества. МС: 430,2 (М-Н)–; 384,0; 313,0; 255,2. Пример 33 а) Этиловый эфир 2-(4-трет-бутилфенил)-4-метилтиазол-5-карбоновой кислоты Раствор 3,87 г (20 ммоль) 4-трет-бутилтиобензамида и 3,45 г (21 ммоль) этилового эфира 2-хлорацетоуксусной кислоты в 15 мл этанола кипятили в течение 3 час. После этого реакционную смесь охлаждали до комнатной температуры, добавляли раствор 3 г бикарбоната калия в 15 мл воды, и смесь нагревали до прекращения выделения газа (СО2). Соединение экстрагировали тремя порциями по 50 мл трет-бутилметилового эфира, комбинированные органические вытяжки промывали водой, солевым раствором, высушивали над безводным сульфатом натрия и упаривали. Получали 5,3 г (87,4% от теоретического) этилового эфира 2-(4-трет-бутилфенил)-4-метилтиазол-5-карбоновой кислоты в виде бледно-желтого вязкого масла. МС: 304,2 (М+H)+. б) [2-(4-трет-Бутилфенил)-4-метилтиазол-5-ил]метанол По аналогии с процессом, описанным в примере 12б, 5,3 г (17,4 ммоль) этилового эфира 2-(4-трет-бутилфенил)-4-метилтиазол-5-карбоновой кислоты восстанавливали до [2-(4-трет-бутилфенил)-4-метилтиазол-5-ил]метанола алюмогидридом лития, получая 4,3 г (94,1% от теоретического) [2-(4-трет-бутилфенил)-4-метилтиазол-5-ил]метанола в виде бледно-желтого твердого вещества. МС: 262,1 (М+Н)+. в) [рац] 3-{4-[2-(4-трет-Бутилфенил)-4-метилтиазол-5-илметокси]-3-фторфенил}-2-этоксипропионовая кислота По аналогии с процессом, описанным в примере 1г, [рац] этиловый эфир 2-этокси-3-(3-фтор-4-гидроксифенил)пропионовой кислоты (пример 7а) вводили в реакцию с 2-[(4-трет-бутилфенил)-4-метилтиазол-5-ил]метанолом в тетрагидрофуране в присутствии трифенилфосфина и DEAD (диэтилазодикарбоксилат), получая [рац] этиловый эфир 3-{4-[2-(4-трет-бутилфенил)-4-метилтиазол-5-илметокси]-3-фторфенил}-2-этоксипропионовой кислоты, который затем омыляли по аналогии с процессом, описанным в примере 4д, получая [рац] 3-{4-[2-(4-трет-бутилфенил)-4-метилтиазол-5-илметокси]-3-фторфенил}-2-этоксипропионовую кислоту в виде светло-желтого твердого вещества. МС: 470,2 (М-Н)–. Пример 34 [рац] 3-(4-{2-[2-(4-трет-Бутилфенил)-5-метилтиазол-4-ил]этокси}-3-метилфенил)-2-этоксипропионовая кислота По аналогии с процессом, описанным в примере 1г, [рац] этиловый эфир 2-этокси-3-(4-гидрокси-3-метилфенил)пропионовой кислоты (пример 4в) вводили в реакцию с 2-[2-(4-трет-бутилфенил)-5-метилтиазол-5-ил]этанолом (пример 12б) в тетрагидрофуране в присутствии трифенилфосфина и DEAD (диэтилазодикарбоксилат), получая [рац] этиловый эфир 3-(4-{2-[2-(4-трет-бутилфенил)-5-метилтиазол-4-ил]этокси}-3-метилфенил)-2-этоксипропионовой кислоты, который затем омыляли по аналогии с процессом, описанным в примере 4д, получая [рац] 3-(4-{2-[2-(4-трет-бутилфенил)-5-метилтиазол-4-ил]этокси}-3-метилфенил)-2-этоксипропионовую кислоту в виде бесцветного твердого вещества. МС: 480,4 (М-Н)–. Пример 35 [рац] 2-Этокси-3-(3-фтор-4-{2-[2-(4-метоксифенил)тиазол-4-ил]этокси}фенил)пропионовая кислота По аналогии с процессом, описанным в примере 1г, [рац] этиловый эфир 2-этокси-3-(3-фтор-4-гидроксифенил)пропионовой кислоты (пример 7а) вводили в реакцию с 2-[2-(4-метоксифенил)тиазол-4-ил]этанолом (получен из 4-метокситиобензамида и 1,3-дихлорацетона по аналогии с процессом, описанным в примере 4а), получая 4-хлорметил-2-(4-метоксифенил)тиазол с последующим увеличением боковой длины цепи по методу, описанному в примерах от 13а до 13г, в тетрагидрофуране в присутствии трифенилфосфина и DEAD (диэтилазодикарбоксилат), что приводило к получению [рац]этилового эфира 2-этокси-3-(3-фтор-4-{2-[2-(4-метоксифенил)тиазол-4-ил]этокси}фенил)пропионовой кислоты, который затем омыляли по аналогии с процессом, описанным в примере 4д, получая [рац] 2-этокси-3-(3-фтор-4-{2-[2-(4-метоксифенил)тиазол-4-ил]этокси}фенил)пропионовую кислоту в виде светло-желтого твердого вещества. МС: 444,2 (М-Н)–. Пример 36 а) [рац] Этиловый эфир 3-{4-[2-(4-хлорфенил)-4-метилтиазол-5-илметокси]-2-метилфенил}-2-этоксипропионовой кислоты По аналогии с процессом, описанным в примере 10в, [рац] этиловый эфир 2-этокси-3-(4-гидрокси-2-метилфенил)пропионовой кислоты (пример 10б) вводили в реакцию с [2-(4-хлорфенил)-4-метилтиазол-5-ил]метанолом (получен из 4-хлортиобензамида и этилового эфира 2-хлорацетоуксусной кислоты по аналогии с процессом, описанным в примерах 33а и 33б) в присутствии трифенилфосфина и диэтилазодикарбоксилата, получая [рац] этиловый эфир 3-{4-[2-(4-хлорфенил)-4-метилтиазол-5-илметокси]-2-метилфенил}-2-этоксипропионовой кислоты в виде бесцветного масла. МС: 474,2 (М+Н)+, 402,5; 350,1; 321,2; 257,2; 243,3; 222,1. б) [рац] 3-{4-[2-(4-Хлорфенил)-4-метилтиазол-5-илметокси]-2-метилфенил}-2-этоксипропионовая кислота По аналогии с процессом, описанным в примере 10г, [рац] этиловый эфир 3-{4-[2-(4-хлорфенил)-4-метилтиазол-5-илметокси]-2-метилфенил}-2-этоксипропионовой кислоты обрабатывали LiOH, получая [рац] 3-{4-[2-(4-хлорфенил)-4-метилтиазол-5-илметокси]-2-метилфенил}-2-этоксипропионовую кислоту в виде бесцветной жидкости. МС: 444,1 (М-Н)–; 398,0; 354,0; 285,9, 242,1. Пример 37 а) [рац] Этиловый эфир 2-этокси-3-{2-метил-4-[4-метил-2-(3-трифторметилфенил)тиазол-5-илметокси]фенил}пропионовой кислоты По аналогии с процессом, описанным в примере 10в, [рац] этиловый эфир 2-этокси-3-(4-гидрокси-2-метилфенил)пропионовой кислоты (пример 10б) вводили в реакцию с [4-метил-2-(3-трифторметилфенил)тиазол-5-ил]метанолом (получен из 3-трифторметилтиобензамида и этилового эфира 2-хлорацетоуксусной кислоты по аналогии с процессом, описанным в примерах 33а и 33б) в присутствии трифенилфосфина и диэтилазодикарбоксилата, получая [рац] этиловый эфир 2-этокси-3-{2-метил-4-[4-метил-2-(3-трифторметилфенил)тиазол-5-илметокси]фенил}пропионовой кислоты в виде бесцветной жидкости. МС: 530,3 (M+Na)+; 508,3 (М+Н)+; 464,2; 391,2; 256,0; 207,2; 162,3. б) [рац] 2-Этокси-3-{2-метил-4-[4-метил-2-(3-трифторметилфенил)тиазол-5-илметокси]фенил}пропионовая кислота По аналогии с процессом, описанным в примере 10г, [рац] этиловый эфир 2-этокси-3-{2-метил-4-[4-метил-2-(3-трифторметилфенил)тиазол-5-илметокси]фенил}пропионовой кислоты обрабатывали LiOH, получая [рац] 2-этокси-3-{2-метил-4-[4-метил-2-(3-трифторметилфенил)тиазол-5-илметокси]фенил}пропионовую кислоту в виде бесцветного масла. МС: 502,2 (M+Na)+; 480,3 (М+Н)+; 391,2; 279,2; 256,1. Пример 38 а) [рац] Этиловый эфир 3-{4-[2-(3-хлор-4-фторфенил)-4-метилтиазол-5-илметокси]-2-метилфенил}-2-этоксипропионовой кислоты По аналогии с процессом, описанным в примере 10в, [рац] этиловый эфир 2-этокси-3-(4-гидрокси-2-метилфенил)пропионовой кислоты (пример 10б) вводили в реакцию с [2-(3-хлор-4-фторфенил)-4-метилтиазол-5-ил]метанолом (получен из 3-хлор-4-фтортиобензамида и этилового эфира 2-хлорацетоуксусной кислоты по аналогии с процессом, описанным в примерах 33а и 33б) в присутствии трифенилфосфина и диэтилазодикарбоксилата, получая [рац] этиловый эфир 3-{4-[2-(3-хлор-4-фторфенил)-4-метилтиазол-5-илметокси]-2-метилфенил}-2-этоксипропионовой кислоты в виде светло-желтой жидкости. МС: 493,2 (М+Н)+; 454,4; 391,3; 279,2; 240,2. б) [рац] 3-{4-[2-(3-Хлор-4-фторфенил)-4-метилтиазол-5-илметокси]-2-метилфенил}-2-этоксипропионовая кислота По аналогии с процессом, описанным в примере 10г, [рац] этиловый эфир 3-{4-[2-(3-хлор-4-фторфенил)-4-метилтиазол-5-илметокси]-2-метилфенил}-2-этоксипропионовой кислоты обрабатывали LiOH, получая [рац] 3-{4-[2-(3-хлор-4-фторфенил)-4-метилтиазол-5-илметокси]-2-метилфенил}-2-этоксипропионовую кислоту в виде светло-желтой пены. МС: 464,1 (М+Н)+; 342,2; 310,1; 279,2; 274,1; 240,2. Пример 39 [рац] 2-Этокси-3-(4-{2-[2-(4-метоксифенил)-5-метилтиазол-4-ил]этокси}-3-метилфенил)пропионовая кислота По аналогии с процессом, описанным в примере 1г, [рац] этиловый эфир 2-этокси-3-(4-гидрокси-3-метилфенил)пропионовой кислоты (пример 4в) вводили в реакцию с 2-[2-(4-метоксифенил)-5-метилтиазол-4-ил]этанолом (полученным из метилового эфира [рац] 4-бром-3-оксопентановой кислоты [РСТ Int. Appl. (2001), WO 01/79202] и 4-метокситиобензамида по аналогии с процессами, описанными в примерах 12а и 12б) в тетрагидрофуране в присутствии трифенилфосфина и DEAD (диэтилазодикарбоксилата), получая [рац] этиловый эфир 2-этокси-3-(4-{2-[2-(4-метоксифенил)-5-метилтиазол-4-ил]этокси}-3-метилфенил)пропионовой кислоты, который затем омыляли по аналогии с процессом, описанным в примере 4д, получая [рац] 2-этокси-3-(4-{2-[2-(4-метоксифенил)-5-метилтиазол-4-ил]этокси}-3-метилфенил)пропионовую кислоту в виде светло-желтой смолы. МС: 454,3 (М-Н)–. Пример 40 [рац] 2-Этокси-3-(3-фтор-4-{2-[2-(4-метоксифенил)-5-метилтиазол-4-ил]этокси}фенил)пропионовая кислота По аналогии с процессом, описанным в примере 1г, [рац] этиловый эфир 2-этокси-3-(3-фтор-4-гидроксифенил)пропионовой кислоты (пример 7а) вводили в реакцию с 2-[2-(4-метоксифенил)-5-метилтиазол-4-ил]этанолом (полученным из [рац]метилового эфира 4-бром-3-оксопентановой кислоты [РСТ Int. Appl. (2001), WO 01/79202] и 4-метокситиобензамида по аналогии с процессами, описанными в примерах 12а и 12б) в тетрагидрофуране в присутствии трифенилфосфина и DEAD (диэтилазодикарбоксилата), получая [рац] этиловый эфир 2-этокси-3-(3-фтор-4-{2-[2-(4-метоксифенил)-5-метилтиазол-4-ил]этокси}фенил)пропионовой кислоты, который затем омыляли по аналогии с процессом, описанным в примере 4д, получая [рац] 2-этокси-3-(3-фтор-4-{2-[2-(4-метоксифенил)-5-метилтиазол-4-ил]этокси}фенил)пропионовую кислоту в виде светло-желтого твердого вещества. МС: 460,4 (М+Н)+. Пример 41 [рац] 2-Этокси-3-(3-фтор-4-{2-[2-(4-изопропилфенил)-5-метилтиазол-4-ил]этокси}фенил)пропионовая кислота По аналогии с процессом, описанным в примере 1г, [рац] этиловый эфир 2-этокси-3-(3-фтор-4-гидроксифенил)пропионовой кислоты (пример 7а) вводили в реакцию с 2-[2-(4-изопропилфенил)-5-метилтиазол-4-ил]этанолом (полученным из [рац]метилового эфира 4-бром-3-оксопентановой кислоты [РСТ Int. Appl. (2001), WO 01/79202] и 4-изопропилтиобензамида по аналогии с процессами, описанными в примерах 12а и 12б) в тетрагидрофуране в присутствии трифенилфосфина и DEAD (диэтилазодикарбоксилата), получая [рац] этиловый эфир 2-этокси-3-(3-фтор-4-{2-[2-(4-изопропилфенил)-5-метилтиазол-4-ил]этокси}фенил)пропионовой кислоты, который затем омыляли по аналогии с процессом, описанным в примере 4д, получая [рац] 2-этокси-3-(3-фтор-4-{2-[2-(4-изопропилфенил)-5-метилтиазол-4-ил]этокси}фенил)пропионовую кислоту в виде бесцветной смолы. МС: 470,2 (М-Н)–. Пример 42 [рац] 3-(4-{2-[2-(4-трет-Бутилфенил)-5-метилтиазол-4-ил]этокси}-3-фторфенил)-2-этоксипропионовая кислота По аналогии с процессом, описанным в примере 1г, [рац] этиловый эфир 2-этокси-3-(3-фтор-4-гидроксифенил)пропионовой кислоты (пример 7а) вводили в реакцию с 2-[2-(4-трет-бутилфенил)-5-метилтиазол-4-ил]этанолом (пример 12б) в тетрагидрофуране в присутствии трифенилфосфина и DEAD (диэтилазодикарбоксилата), получая [рац] этиловый эфир 3-(4-{2-[2-(4-трет-бутилфенил)-5-метилтиазол-4-ил]этокси}-3-фторфенил)-2-этоксипропионовой кислоты, который затем омыляли по аналогии с процессом, описанным в примере 4д, получая [рац] 3-(4-{2-[2-(4-трет-бутилфенил)-5-метилтиазол-4-ил]этокси}-3-фторфенил)-2-этоксипропионовую кислоту в виде бесцветного твердого вещества. МС: 484,3 (М-Н)–. Пример 43 [рац] 2-Этокси-3-(3-фтор-4-{3-[2-(4-изопропилфенил)тиазол-4-ил]пропокси}фенил)пропионовая кислота По аналогии с процессом, описанным в примере 1г, [рац] этиловый эфир 2-этокси-3-(3-фтор-4-гидроксифенил)пропионовой кислоты (пример 7а) вводили в реакцию с 3-[2-(4-изопропилфенил)тиазол-4-ил]пропан-1-олом (полученным из 4-хлорметил-2-(4-изопропилфенил)тиазола (полученного из 4-изопропилтиобензамида и 1,3-дихлорацетона по аналогии с процессом, описанным в примере 4а), согласно методикам, приведенным в примерах от 28а до 28в) в тетрагидрофуране в присутствии трифенилфосфина и DEAD (диэтилазодикарбоксилата), получая [рац] этиловый эфир 2-этокси-3-(3-фтор-4-{3-[2-(4-изопропилфенил)тиазол-4-ил]пропокси}фенил)пропионовой кислоты, который затем омыляли по аналогии с процессом, описанным в примере 4д, получая [рац] 2-этокси-3-(3-фтор-4-{3-[2-(4-изопропилфенил)тиазол-4-ил]пропокси}фенил)пропионовую кислоту в виде светло-желтой смолы. МС: 470,2 (М-Н)–. Пример 44 [рац] 3-(4-{3-[2-(4-трет-Бутилфенил)-5-метилтиазол-4-ил]пропокси}-3-фторфенил)-2-этоксипропионовая кислота По аналогии с процессом, описанным в примере 1г, [рац] этиловый эфир 2-этокси-3-(3-фтор-4-гидроксифенил)пропионовой кислоты (пример 7а) вводили в реакцию с 3-[2-(4-трет-бутилфенил)-5-метилтиазол-4-ил]пропан-1-олом (получен из 2-[2-(4-трет-бутилфенил)-5-метилтиазол-4-ил]-этилового эфира метансульфоновой кислоты [полученного из 2-[2-(4-трет-бутилфенил)-5-метилтиазол-4-ил]этанола (пример 12б) и метансульфонилхлорида в пиридине при 0°С], согласно методикам, описанным в примерах от 13а до 13г) в тетрагидрофуране в присутствии трифенилфосфина и DEAD (диэтилазодикарбоксилата), получая [рац] этиловый эфир 3-(4-{3-[2-(4-трет-бутилфенил)-5-метилтиазол-4-ил]пропокси}-3-фторфенил)-2-этоксипропионовой кислоты, который затем омыляли по аналогии с процессом, описанным в примере 4д, получая [рац] 3-(4-{3-[2-(4-трет-бутилфенил)-5-метилтиазол-4-ил]пропокси}-3-фторфенил)-2-этоксипропионовую кислоту в виде бесцветного твердого вещества. МС: 500,3 (М+Н)+. Пример 45 а) [рац] Этиловый эфир 2-этокси-3-(4-гидрокси-3,5-диметилфенил)пропионовой кислоты По аналогии с процессом, описанным в примере 1а, 4-бензилокси-3,5-диметилбензальдегид вводили в реакцию с хлоридом (1,2-диэтоки-2-оксоэтил)трифенилфосфония [Tetrahedron 50, №25, 1994, сс.7543-7556], получая этиловый эфир 3-(4-бензилокси-3,5-диметилфенил)-2(Z,Е)-этоксиакриловой кислоты. Гидрогенизацией этилового эфира 3-(4-бензилокси-3,5-диметилфенил)-2(Z,E)-этоксиакриловой кислоты, как описано в примере 4в, получают [рац] этиловый эфир 2-этокси-3-(4-гидрокси-3,5-диметилфенил)пропионовой кислоты в виде светло-желтого вязкого масла. МС: 265,2 (М-Н)–. б) [рац] 3-(4-{2-[2-(4-трет-Бутилфенил)-5-метилтиазол-4-ил]этокси}-3,5-диметилфенил)-2-этоксипропионовая кислота По аналогии с процессом, описанным в примере 1г, [рац] этиловый эфир 2-этокси-3-(4-гидрокси-3,5-диметилфенил)пропионовой кислоты вводили в реакцию с 2-[2-(4-трет-бутилфенил)-5-метилтиазол-4-ил]этанолом (пример 12б) в тетрагидрофуране в присутствии трифенилфосфина и DEAD (диэтилазодикарбоксилата), получая [рац] этиловый эфир 3-(4-{2-[2-(4-трет-бутилфенил)-5-метилтиазол-4-ил]этокси}-3,5-диметилфенил)-2-этоксипропионовой кислоты, который затем омыляли по аналогии с процессом, описанным в примере 4д, получая [рац] 3-(4-{2-[2-(4-трет-бутилфенил)-5-метилтиазол-4-ил]этокси}-3,5-диметилфенил)-2-этоксипропионовую кислоту в виде бесцветного твердого вещества. МС: 494,4 (М-Н)–. Пример 46 [рац] 2-Этокси-3-(4-{2-[2-(4-изопропилфенил)-5-метилтиазол-4-ил]этокси}-3,5-диметилфенилпропионовая кислота По аналогии с процессом, описанным в примере 1г, [рац] этиловый эфир 2-этокси-3-(4-гидрокси-3,5-диметилфенил)пропионовой кислоты (пример 45а) вводили в реакцию с 2-[2-(4-изопропилфенил)-5-метилтиазол-4-ил]этанолом (получен из [рац]метилового эфира 4-бром-3-оксопентановой кислоты [РСТ Int. Appl. (2001), WO 01/79202] и 4-изопропилтиобензамида по аналогии с процессом, описанным в примерах 12а и 12б) в тетрагидрофуране в присутствии трифенилфосфина и DEAD (диэтилазодикарбоксилат), получая [рац] этиловый эфир 2-этокси-3-(4-{2-[2-(4-изопропилфенил)-5-метилтиазол-4-ил]этокси}-3,5-диметилфенилпропионовой кислоты, который затем омыляли по аналогии с процессом, описанным в примере 4д, получая [рац] 2-этокси-3-(4-{2-[2-(4-изопропилфенил)-5-метилтиазол-4-ил]этокси}-3,5-диметилфенилпропионовую кислоту в виде желтого аморфного твердого вещества. МС: 480,3 (М-Н)–. Пример 47 [рац] 2-Этокси-3-(4-{2-[2-(4-изопропилфенил)-5-метилтиазол-4-ил]этокси}-3-метилфенилпропионовая кислота По аналогии с процессом, описанным в примере 1г, [рац] этиловый эфир 2-этокси-3-(4-гидрокси-3-метилфенил)пропионовой кислоты (пример 4в) вводили в реакцию с 2-[2-(4-изопропилфенил)-5-метилтиазол-4-ил]этанолом (получен из [рац]метилового эфира 4-бром-3-оксопентановой кислоты [РСТ Int. Appl. (2001), WO 01/79202] и 4-изопропилтиобензамида по аналогии с процессом, описанным в примерах 12а и 12б) в тетрагидрофуране в присутствии трифенилфосфина и DEAD (диэтилазодикарбоксилат), получая [рац] этиловый эфир 2-этокси-3-(4-{2-[2-(4-изопропилфенил)-5-метилтиазол-4-ил]этокси}-3-метилфенилпропионовой кислоты, который затем омыляли по аналогии с процессом, описанным в примере 4д, получая [рац] 2-этокси-3-(4-{2-[2-(4-изопропилфенил)-5-метилтиазол-4-ил]этокси}-3-метилфенилпропионовую кислоту в виде светло-желтого твердого вещества. МС: 466,3 (М-Н)–. Пример 48 а) [рац] Этиловый эфир 2-этокси-3-(4-гидрокси-3-метоксифенил)пропионовой кислоты По аналогии с процессом, описанным в примере 1а, 4-бензилокси-3-метоксибензальдегид вводили в реакцию с хлоридом (1,2-диэтокси-2-оксоэтил)трифенилфосфония [Tetrahedron 50, №25, 1994, сс.7543-7556], получая этиловый эфир 3-(4-бензилокси-3-метоксифенил)-2(Z,E)-этоксиакриловой кислоты. Гидрогенизацией этилового эфира 3-(4-бензилокси-3-метоксифенил)-2(Z,E)-этоксиакриловой кислоты, как описано в примере 4в, получают [рац] этиловый эфир 2-этокси-3-(4-гидрокси-3-метоксифенил)пропионовой кислоты в виде бесцветного твердого вещества. МС: 268,1 (М)+. б) [рац] 3-(4-{2-[2-(4-трет-Бутилфенил)-5-метилтиазол-4-ил]этокси}-3-метоксифенил)-2-этоксипропионовая кислота По аналогии с процессом, описанным в примере 1г, [рац] этиловый эфир 2-этокси-3-(4-гидрокси-3-метоксифенил)пропионовой кислоты вводили в реакцию с 2-[2-(4-трет-бутилфенил)-5-метилтиазол-4-ил]этанолом (пример 12б) в тетрагидрофуране в присутствии трифенилфосфина и DEAD (диэтилазодикарбоксилат), получая [рац] этиловый эфир 3-(4-{2-[2-(4-трет-бутилфенил)-5-метилтиазол-4-ил]этокси}-3-метоксифенил)-2-этоксипропионовой кислоты, который затем омыляли по аналогии с процессом, описанным в примере 4д, получая [рац] 3-(4-{2-[2-(4-трет-бутилфенил)-5-метилтиазол-4-ил]этокси}-3-метоксифенил)-2-этоксипропионовую кислоту в виде светло-желтого аморфного твердого вещества. МС: 496,4 (М-Н)–. Пример 49 [рац] 2-Этокси-3-(3-фтор-4-{2-[2-(4-изопропилфенил)тиазол-4-ил]этокси}фенил)пропионовая кислота По аналогии с процессом, описанным в примере 1г, [рац] этиловый эфир 2-этокси-3-(3-фтор-4-гидроксифенил)пропионовой кислоты (пример 7а) вводили в реакцию с 2-(2-п-толилтиазол-4-ил]этанолом (получен из этилового эфира (2-п-толилтиазол-4-ил)уксусной кислоты [Collection of Czechoslovak Chemical Communications, 66, №12, 2001, сс.1809-1830] с алюмогидридом лития по аналогии с процессом, описанным в примере 12б) в тетрагидрофуране в присутствии трифенилфосфина и DEAD (диэтилазодикарбоксилат), получая [рац] этиловый эфир 2-этокси-3-(3-фтор-4-{2-[2-(4-изопропилфенил)тиазол-4-ил]этокси}фенил)пропионовой кислоты, который затем омыляли по аналогии с процессом, описанным в примере 4д, получая [рац] 2-этокси-3-(3-фтор-4-{2-[2-(4-изопропилфенил)тиазол-4-ил]этокси}фенил)пропионовую кислоту в виде светло-желтого твердого вещества. МС: 428,3 (М+Н)+. Пример 50 [рац] 2-Этокси-3-{3-фтор-4-[2-(2-п-толилтиазол-4-ил)этокси]фенил}пропионовая кислота По аналогии с процессом, описанным в примере 1г, [рац] этиловый эфир 2-этокси-3-(3-фтор-4-гидроксифенил)пропионовой кислоты (пример 7а) вводили в реакцию с 2-(2-п-толилтиазол-4-ил)этанолом (получен из этилового эфира (2-п-толилтиазол-4-ил}уксусной кислоты [Collection of Czechoslovak Chemical Communications, 66, №12, 2001, сс.1809-1830] с алюмогидридом лития по аналогии с процессом, описанным в примере 12б) в тетрагидрофуране в присутствии трифенилфосфина и DEAD (диэтилазодикарбоксилат), получая [рац] этиловый эфир 2-этокси-3-{3-фтор-4-[2-(2-п-толилтиазол-4-ил)этокси] фенил}пропионовой кислоты, который затем омыляли по аналогии с процессом, описанным в примере 4д, получая [рац] 2-этокси-3-{3-фтор-4-[2-(2-п-толилтиазол-4-ил)этокси]фенил}пропионовую кислоту в виде светло-желтой жидкости. МС: 428,3 (М+Н)+. Пример 51. а) [рац] Этиловый эфир 2-этокси-3-(4-гидроксинафтален-1-ил)пропионовой кислоты По аналогии с процессом, описанным в примере 1а, 4-бензилоксинафтален-1-карбальдегид (получен из 4-гидроксинафтален-1-карбальдегида, бензилхлорида и карбоната калия в N,N-диметилформамиде при комнатной температуре) вводили в реакцию с хлоридом (1,2-диэтокси-2-оксоэтил)трифенилфосфония [Tetrahedron 50, №25, 1994, сс.7543-7556], получая этиловый эфир 3-(4-бензилоксинафтален-1-ил)-2-этокси-(Z,Е)-акриловой кислоты. Гидрогенизация этилового эфира 3-(4-бензилоксинафтален-1-ил)-2-этокси-(Z,Е)-акриловой кислоты по методике, описанной в примере 12в, приводит к получению [рац]этилового эфира 2-этокси-3-(4-гидроксинафтален-1-ил)пропионовой кислоты в виде светло-коричневого масла. МС: 288,3 (М)+; 242,2; 215,3; 157,2. б) [рац] 2-Этокси-3-{4-[2-(5-метил-2-фенилтиазол-4-ил)этокси]нафтален-1-ил}пропионовая кислота По аналогии с процессом, описанным в примере 1г, [рац] этиловый эфир 2-этокси-3-(4-гидроксинафтален-1-ил)пропионовой кислоты вводили в реакцию с 2-(5-метил-2-фенилтиазол-4-ил)этанолом [РСТ Int. Appl. (2002), WO 02/18355 A1] в тетрагидрофуране в присутствии трифенилфосфина и DIAD (диизопропилазодикарбоксилат), получая [рац] этиловый эфир 2-этокси-3-{4-[2-(5-метил-2-фенилтиазол-4-ил)этокси]нафтален-1-ил}пропионовой кислоты, который затем омыляли по аналогии с процессом, описанным в примере 1д, получая [рац] 2-этокси-3-{4-[2-(5-метил-2-фенилтиазол-4-ил)этокси]нафтален-1-ил}пропионовую кислоту в виде бесцветного аморфного твердого вещества. МС: 462,3 (М+H)+. Пример 52 а) [рац] 3-{4-[2-(2-Бензо[1,3]диоксол-5-ил-5-метилтиазол-4-ил)этокси]-3-фторфенил}-2-этоксипропионовая кислота По аналогии с процессом, описанным в примере 1г, [рац] этиловый эфир 2-этокси-3-(3-фтор-4-гидроксифенил)пропионовой кислоты вводили в реакцию с 2-(2-бензо[1,3]диоксол-5-ил-5-метилтиазол-4-ил)этанолом [получен из [рац]метилового эфира 4-бром-3-оксопентановой кислоты [РСТ Int. Appl. (2001), WO 01/79202] и амида бензо[1,3]диоксол-5-тиокарбоновой кислоты по аналогии с процессом, описанным в примерах 12а и 12б) в тетрагидрофуране в присутствии трифенилфосфина и DEAD (диэтилазодикарбоксилат), получая [рац] этиловый эфир 3-{4-[2-(2-бензо[1,3]диоксол-5-ил-5-метилтиазол-4-ил)этокси]-3-фторфенил}-2-этоксипропионовой кислоты, который затем омыляли по аналогии с процессом, описанным в примере 4д, получая [рац] 3-{4-[2-(2-бензо[1,3]диоксол-5-ил-5-метилтиазол-4-ил)этокси]-3-фторфенил}-2-этоксипропионовую кислоту в виде бесцветного твердого вещества. МС: 472,3 (М-Н)–. Пример 53 [рац] 2-Этокси-3-{3-фтор-4-[4-метил-2-(4-трифторметилфенил)тиазол-5-илметокси]фенил}пропионовая кислота По аналогии с процессом, описанным в примере 1г, [рац] этиловый эфир 2-этокси-3-(3-фтор-4-гидроксифенил)пропионовой кислоты вводили в реакцию с [4-метил-2-(4-трифторметилфенил)тиазол-5-ил]метанолом в тетрагидрофуране в присутствии трифенилфосфина и DEAD (диэтилазодикарбоксилат), получая [рац] этиловый эфир 2-этокси-3-{3-фтор-4-[4-метил-2-(4-трифторметилфенил)тиазол-5-илметокси]фенил}пропионовой кислоты, который затем омыляли по аналогии с процессом, описанным в примере 4д, получая [рац] 2-этокси-3-{3-фтор-4-[4-метил-2-(4-трифторметилфенил)тиазол-5-илметокси]фенил}пропионовую кислоту в виде светло-желтого аморфного твердого вещества. МС: 482,2 (М-Н)–. Пример 54 а) Этиловый эфир 3-(4-бензилокси-3-фторфенил)-3-гидрокси-2-изопропоксипропионовой кислоты (смесь диастереомеров) LDA получали в атмосфере аргона, добавляя 18,75 мл (30 ммоль) раствора н-бутиллития (1,6 М в гексане) к перемешиваемому раствору 3,13 г (31 ммоль) диизопропиламина в 20 мл сухого ТГФ при -5°С. После охлаждения до -78°С добавляли 4,38 г (30 ммоль) этилового эфира изопропоксиуксусной кислоты (Tetrahedron 38, №17, 1982, сс.2733-2739) в 10 мл ТГФ, и перемешивание продолжали в течение 15 мин. После этого добавляли 3,6 г (15,6 ммоль) 4-бензилокси-3-фторбензальдегида (получен из 3-фтор-4-гидроксибензальдегида, бензилбромида и карбоната цезия в ацетонитриле), растворенного в смеси 15 мл ТГФ и 20 мл 1,3-диметил-3,4,5,6-тетрагидро-2(1Н)-пиримидона (DMPU), и реакционную смесь перемешивали при -78°С 30 мин, а затем еще 30 мин при 0°С. После этого добавляли насыщенный водный раствор хлорида аммония и дважды экстрагировали соединение этилацетатом. Комбинированные органические вытяжки промывали водой, солевым раствором, сушили над безводным сульфатом натрия и выпаривали досуха. Остаток хроматографировали на силикагеле (дихлорметан-диэтиловый эфир, 1:1 (v/v) как элюент). Получали 4,9 г (83,3% от теоретического) этилового эфира 3-(4-бензилокси-3-фторфенил)-3-гидрокси-2-изопропоксипропионовой кислоты (смесь диастереомеров) в виде бесцветного масла. МС: 376,0 (М)+. б) [рац] Этиловый эфир 3-(4-бензилокси-3-фторфенил)-2-изопропоксипропионовой кислоты К охлаждаемому раствору (ледяная баня) 4,9 г (13 ммоль) этилового эфира 3-(4-бензилокси-3-фторфенил)-3-гидрокси-2-изопропоксипропионовой кислоты (смесь диастереомеров) в 25 мл трифторуксусной кислоты добавляли 23,8 мл триэтилсилана (26,5 ммоль) и 15 мл дихлорметана. Раствор перемешивали 1 час при 0°С и затем 2 час при комнатной температуре. После этого реакционную смесь выливали в смесь воды, бикарбоната натрия и льда. Соединение экстрагировали трет-бутилметиловым эфиром, выпаривали досуха, и остаток хроматографировали на силикагеле с хлорметаном как элюентом. Получали 3,27 г [рац]этилового эфира 3-(4-бензилокси-3-фторфенил)-2-изопропоксипропионовой кислоты в виде бесцветного масла (69,7% от теоретического). МС: 360,2 (М)+. в) [рац] Этиловый эфир 3-(3-фтор-4-гидроксифенил)-2-изопропоксипропионовой кислоты 0,5 г 10% Палладия на угле добавляли к раствору 3,7 г [рац]этилового эфира 3-(4-бензилокси-3-фторфенил)-2-изопропоксипропионовой кислоты (10,26 ммоль) в 30 мл ТГФ и перемешивали в атмосфере Н2 при нормальном давлении и комнатной температуре до прекращения поглощения газа. После фильтрования катализатора фильтрат упаривали, получая 2,7 г (97,3% от теоретического) [рац]этилового эфира 3-(3-фтор-4-гидроксифенил)-2-изопропоксипропионовой кислоты в виде бесцветного вязкого масла. МС: 269,2 (М-Н). г) [рац] 3-{3-Фтор-4-[4-метил-2-(4-трифторметилфенил)тиазол-5-илметокси]фенил}-2-изопропоксипропионовая кислота По аналогии с процессом, описанным в примере 1г, [рац] этиловый эфир 3-(3-фтор-4-гидроксифенил)-2-изопропоксипропионовой кислоты вводили в реакцию с [4-метил-2-(4-трифторметилфенил)тиазол-5-ил]метанолом в тетрагидрофуране в присутствии трифенилфосфина и DEAD (диэтилазодикарбоксилат), получая [рац] этиловый эфир 3-{3-фтор-4-[4-метил-2-(4-трифторметилфенил)тиазол-5-илметокси]фенил}-2-изопропоксипропионовой кислоты, который затем омыляли по аналогии с процессом, описанным в примере 4д, получая [рац] 3-{3-фтор-4-[4-метил-2-(4-трифторметилфенил)тиазол-5-илметокси]фенил}-2-изопропоксипропионовую кислоту в виде светло-желтого твердого вещества. МС: 496,2 (М-Н)–. Пример 55 [рац] 3-{4-[2-(3,5-Диметоксифенил)тиазол-4-илметокси]-3-фторфенил}-2-этоксипропионовая кислота По аналогии с процессом, описанным в примере 14б, [рац] этиловый эфир 2-этокси-3-(3-фтор-4-гидроксифенил)пропионовой кислоты (пример 7а) вводили в реакцию с 4-хлорметил-2-(3,5-диметоксифенил)тиазолом (получен из 3,5-диметокситиобензамида и 1,3-дихлорацетона по аналогии с процессом, описанным в примере 4а) в присутствии карбоната цезия и йодида калия, получая [рац] этиловый эфир 3-{4-[2-(3,5-диметоксифенил)тиазол-4-илметокси]-3-фторфенил}-2-этоксипропионовой кислоты, который затем омыляли по аналогии с методикой, описанной в примере 4д, получая [рац] 3-{4-[2-(3,5-диметоксифенил)тиазол-4-илметокси]-3-фторфенил}-2-этоксипропионовую кислоту в виде светло-желтого твердого вещества. МС: 460,1 (М-Н)–. Пример 56 [рац] 2-Этокси-3-[3-фтор-4-(2-фенилтиазол-4-илметокси)фенил]пропионовая кислота По аналогии с процессом, описанным в примере 14б, [рац] этиловый эфир 2-этокси-3-(3-фтор-4-гидроксифенил)пропионовой кислоты (пример 7а) вводили в реакцию с 4-хлорметил-2-фенилтиазолом (получен из тиобензамида и 1,3-дихлорацетона по аналогии с процессом, описанным в примере 4а) в присутствии карбоната цезия и йодида калия, получая [рац] этиловый эфир 2-этокси-3-[3-фтор-4-(2-фенилтиазол-4-илметокси)фенил]пропионовой кислоты, который затем омыляли по аналогии с методикой, описанной в примере 4д, получая [рац] 2-этокси-3-[3-фтор-4-(2-фенилтиазол-4-илметокси)фенил]пропионовую кислоту в виде светло-желтого твердого вещества. МС: 400,1 (М-Н)–. Пример 57 [рац] 2-Этокси-3-[3-фтор-4-(2-п-толилтиазол-4-илметокси)фенил]пропионовая кислота По аналогии с процессом, описанным в примере 14б, [рац] этиловый эфир 2-этокси-3-(3-фтор-4-гидроксифенил)пропионовой кислоты (пример 7а) вводили в реакцию с 4-хлорметил-2-п-толилтиазолом (получен из 4-метилтиобензамида и 1,3-дихлорацетона по аналогии с процессом, описанным в примере 4а) в присутствии карбоната цезия и йодида калия, получая [рац] этиловый эфир 2-этокси-3-[3-фтор-4-(2-п-толилтиазол-4-илметокси)фенил]пропионовой кислоты, который затем омыляли по аналогии с методикой, описанной в примере 4д, получая [рац] 2-этокси-3-[3-фтор-4-(2-п-толилтиазол-4-илметокси)фенил]пропионовую кислоту в виде светло-желтого твердого вещества. МС: 414,2 (М-Н)–. Пример 58 а) [рац] Этиловый эфир 3-(4-бензилокси-2-этоксифенил)-2-этокси-3-гидроксипропионовой кислоты [смесь диастереомеров] LDA получали добавлением 13,3 мл раствора н-бутиллития (1,5 М в гексане) к раствору 2,85 мл (20,0 ммоль) диизопропиламина в 90 мл абс. ТГФ при -5°С. После охлаждения до -78°С добавляли 2,81 мл (20,0 ммоль) этилового эфира этоксиуксусной кислоты в 10 мл абс. ТГФ и выдерживали смесь при этой температуре течение 15 мин до полного депротонирования. После этого добавляли 2,05 г (8,0 ммоль) 4-бензилокси-3-этоксибензальдегида (получен из 2-гидрокси-4-бензилоксибензальдегида и этилйодида по методике, аналогичной описанной для 4-бензилокси-2-изопропоксибензальдегида в Chemical & Pharmaceutical Bulletin 46, №2, 1998, сс.222-230: 2-гидрокси-4-бензилоксибензальдегид, изопропилбромид, йодид калия, карбонат калия, N,N-диметилформамид, 100°С), растворенного в 20 мл абс. ТГФ. После перемешивания в течение 30 мин при температуре сухого льда в реакционную смесь добавляли насыщенный водный раствор хлорида аммония, доводили температуру реакции до 0°С, дважды экстрагировали соединение AcOEt, промывали водой, сушили над сульфатом натрия и выпаривали досуха. После флеш-хроматографии (SiO2, гексан/AcOEt, соотношение от 9:1 до 1:1) получали 3,09 г (99% от теоретического) [рац] этилового эфира 3-(4-бензилокси-2-этоксифенил)-2-этокси-3-гидроксипропионовой кислоты (смесь диастереомеров) в виде светло-желтого масла. МС: 371,4 [(М+Н)+-Н2О]. б) Этиловый эфир 3-(4-бензилокси-2-этоксифенил)-2(Z,Е)-этоксиакриловой кислоты [рац] Этиловый эфир 3-(4-бензилокси-2-этоксифенил)-2-этокси-3-гидроксипропионовой кислоты (смесь диастереомеров) (3,26 г, 8,39 ммоль) и 0,15 г (0,84 ммоль) 4-толуолсульфоновой кислоты перемешивали в 200 мл бензола при кипении в течение 30 мин. Выпаривание раствора досуха с последующей флеш-хроматографией (SiO2, гексан/AcOEt, соотношение от 95:5 до 4:1) приводило к получению 2,12 г (68% от теоретического) этилового эфира 3-(4-бензилокси-2-этоксифенил)-2(Z,E)-этоксиакриловой кислоты в виде светло-желтого масла. МС: 370,1 (М)+. в) [рац] Этиловый эфир 2-этокси-3-(2-этокси-4-гидроксифенил)пропионовой кислоты 0.90 г Pd/C (10%) добавляли в атмосфере аргона к 4,49 г (12,1 ммоль) этилового эфира 3-(4-бензилокси-2-этоксифенил)-2(Z,Е)-этоксиакриловой кислоты в 80 мл этанола. Атмосферу аргона заменяли на Н2, и суспензию активно перемешивали при комнатной температуре в течение 2 час. После фильтрования через декалит и выпаривания растворителей оставалось 4,23 г светло-коричневого масла. Флеш-хроматография (SiO2, гексан/AcOEt, соотношение от 95:5 до 1:1) приводила к получению 3,41 г (99% от теоретического) [рац] этилового эфира 2-этокси-3-(2-этокси-4-гидроксифенил)пропионовой кислоты в виде светло-желтого масла. МС: 281,0 (М-Н)–. г) [рац] 2-Этокси-3-{2-этокси-4-[2-(5-метил-2-фенилтиазол-4-ил)этокси]фенил}пропионовая кислота По аналогии с процессом, описанным в примере 1г, [рац] этиловый эфир 2-этокси-3-(2-этокси-4-гидроксифенил)пропионовой кислоты вводили в реакцию с 2-(5-метил-2-фенилтиазол-4-ил)этанолом [РСТ Int. Appl. (2002), WO 02/18355 A1] в тетрагидрофуране в присутствии трифенилфосфина и DBAD (ди-трет-бутилазодикарбоксилат), получая [рац] этиловый эфир 2-этокси-3-{2-этокси-4-[2-(5-метил-2-фенилтиазол-4-ил)этокси]фенил}пропионовой кислоты, который затем омыляли по аналогии с процессом, описанным в примере 1д, получая [рац] 2-этокси-3-{2-этокси-4-[2-(5-метил-2-фенилтиазол-4-ил)этокси]фенил}пропионовую кислоту в виде бесцветного масла. МС: 454,3 (М-Н)–. Пример 59 [рац] 2-Этокси-3-(2-этокси-4-{2-[5-метил-2-(4-трифторметилфенил)тиазол-4-ил]этокси}фенил)пропионовая кислота По аналогии с процессом, описанным в примере 1г, [рац] этиловый эфир 2-этокси-3-(2-этокси-4-гидроксифенил)пропионовой кислоты (пример 58в) вводили в реакцию с 2-[5-метил-2-(4-трифторметилфенил)тиазол-4-ил]этанолом [РСТ Int. Appl. (2001), WO 01/00603 A1] в тетрагидрофуране в присутствии трифенилфосфина и DBAD (ди-трет-бутилазодикарбоксилат), получая [рац] этиловый эфир 2-этокси-3-(2-этокси-4-{2-[5-метил-2-(4-трифторметилфенил)тиазол-4-ил]этокси}фенил)пропионовой кислоты, который затем омыляли по аналогии с процессом, описанным в примере 1д, получая [рац] 2-этокси-3-(2-этокси-4-{2-[5-метил-2-(4-трифторметилфенил)тиазол-4-ил]этокси}фенил)пропионовую кислоту в виде бесцветного масла. МС: 522,3 (М-Н)–. Пример 60 [рац] 2-Этокси-3-(3-метил-4-{2-[5-метил-2-(4-трифторметоксифенил)тиазол-4-ил]этокси}фенил)пропионовая кислота По аналогии с процессом, описанным в примере 1г, [рац] этиловый эфир 2-этокси-3-(4-гидрокси-3-метилфенил)пропионовой кислоты (пример 4в) вводили в реакцию с 2-[5-метил-2-(4-трифторметоксифенил)тиазол-4-ил}этанолом (получен из [рац]метилового эфира 4-бром-3-оксопентановой кислоты [РСТ Int. Appl. (2001), WO 01/79202] и 4-трифторметокситиобензамида по аналогии с процессом, описанным в примерах 12а и 12б) в тетрагидрофуране в присутствии трифенилфосфина и DEAD (ди-этилазодикарбоксилат), получая [рац] этиловый эфир 2-этокси-3-(3-метил-4-{2-[5-метил-2-(4-трифторметоксифенил)тиазол-4-ил]этокси}фенил)пропионовой кислоты, который затем омыляли по аналогии с процессом, описанным в примере 4д, получая [рац] 2-этокси-3-(3-метил-4-{2-[5-метил-2-(4-трифторметоксифенил)тиазол-4-ил]этокси}фенил)пропионовую кислоту в виде светло-желтого твердого вещества. МС: 508,3 (М-Н)–. Пример 61 [рац] 2-Этокси-3-(3-фтор-4-{2-[5-метил-2-(4-трифторметоксифенил)тиазол-4-ил]этокси}фенил)пропионовая кислота По аналогии с процессом, описанным в примере 1г, [рац] этиловый эфир 2-этокси-3-(3-фтор-4-гидроксифенил)пропионовой кислоты (пример 7а) вводили в реакцию с 2-[5-метил-2-(4-трифторметоксифенил)тиазол-4-ил]этанолом (получен из [рац]метилового эфира 4-бром-3-оксопентановой кислоты [РСТ Int. Appl. (2001), WO 01/79202] и 4-трифторметокситиобензамида по аналогии с процессом, описанным в примерах 12а и 12б) в тетрагидрофуране в присутствии трифенилфосфина и DEAD (ди-этилазодикарбоксилат), получая [рац] этиловый эфир 2-этокси-3-(3-фтор-4-{2-[5-метил-2-(4-трифторметоксифенил)тиазол-4-ил]этокси}фенил)пропионовой кислоты, который затем омыляли по аналогии с процессом, описанным в примере 4д, получая [рац] 2-этокси-3-(3-фтор-4-{2-[5-метил-2-(4-трифторметоксифенил)тиазол-4-ил]этокси}фенил)пропионовую кислоту в виде бесцветного твердого вещества. МС: 514,2 (М+Н)+. Пример 62 [рац] 2-Изопропокси-3-{3-метокси-4-[2-(5-метил-2-п-толилтиазол-4-ил)этокси]фенил}пропионовая кислота По аналогии с процессом, описанным в примере 1г, [рац] этиловый эфир 3-(4-гидрокси-3-метоксифенил)-2-изопропоксипропионовой кислоты [полученный из этилового эфира изопропоксиуксусной кислоты (Tetrahedron, 38, №17, 1982, сс.2733-2739) и 4-бензилокси-3-метоксибензальдегида по аналогии с процессами, описанными в примерах от 54а до 54в, вводили в реакцию с 2-(5-метил-2-п-толилтиазол-4-ил)этанолом (получен из [рац] метилового эфира 4-бром-3-оксопентановой кислоты [РСТ Int. Appl. (2001), WO 01/79202] и 4-метилтиобензамида по аналогии с процессом, описанным в примерах 12а и 12б) в тетрагидрофуране в присутствии трифенилфосфина и DEAD (диэтилазодикарбоксилат), получая [рац] этиловый эфир 2-изопропокси-3-{3-метокси-4-[2-(5-метил-2-п-толилфенил)тиазол-4-ил)этокси]фенил}пропионовой кислоты, который затем омыляли по аналогии с процессом, описанным в примере 4д, получая [рац] 2-изопропокси-3-{3-метокси-4-[2-(5-метил-2-п-толилфенил)тиазол-4-ил)этокси]фенил}пропионовую кислоту в виде бесцветного аморфного твердого вещества. МС: 470,2 (М+Н)+. Пример 63 [рац] 3-(3-Фтор-4-{2-[2-(4-трифторметилфенил)тиазол-4-ил]этокси}фенил)-2-изопропоксипропионовая кислота По аналогии с процессом, описанным в примере 1г, [рац] этиловый эфир 3-(3-фтор-4-гидроксифенил)-2-изопропоксипропионовой кислоты (пример 54в) вводили в реакцию с 2-[2-(4-трифторметилфенил)тиазол-4-ил]этанолом (получен из 4-хлорметил-2-(4-трифторметилфенил)тиазола (примеры 18а и 4а) по аналогии с процессами, описанными в примерах 13а и 13г) в тетрагидрофуране в присутствии трифенилфосфина и DEAD (диэтилазодикарбоксилат), получая [рац] этиловый эфир 3-(3-фтор-4-{2-[2-(4-трифторметилфенил)тиазол-4-ил]этокси}фенил)-2-изопропоксипропионовой кислоты, который затем омыляли по аналогии с процессом, описанным в примере 4д, получая [рац] 3-(3-фтор-4-{2-[2-(4-трифторметилфенил)тиазол-4-ил]этокси}фенил)-2-изопропоксипропионовую кислоту в виде бесцветного твердого вещества. МС: 498,2 (М+Н)+. Пример 64 [рац] 3-(4-{2-[2-(3,4-Диметоксифенил)-5-метилтиазол-4-ил]этокси}-3-метоксифенил)-2-этоксипропионовая кислота По аналогии с процессом, описанным в примере 1г, [рац] этиловый эфир 2-этокси-3-(4-гидрокси-3-метоксифенил)пропионовой кислоты (пример 48а) вводили в реакцию с 2-[2-(3,5-диметоксифенил)-5-метилтиазол-4-ил]этанолом (получен из [рац]метилового эфира 4-бром-3-оксопентановой кислоты [РСТ Int. Appl. (2001), WO 01/79202] и 3,5-диметокситиобензамида [РСТ Int. Appl.(1992), WO 92/09586 А1] по аналогии с процессом, описанным в примерах 12а и 12б) в тетрагидрофуране в присутствии трифенилфосфина и DEAD (диэтилазодикарбоксилат), получая [рац] этиловый эфир 3-(4-{2-[2-(3,4-диметоксифенил)-5-метилтиазол-4-ил]этокси}-3-метоксифенил)-2-этоксипропионовой кислоты, который затем омыляли по аналогии с процессом, описанным в примере 4д, получая [рац] 3-(4-{2-[2-(3,4-диметоксифенил)-5-метилтиазол-4-ил]этокси}-3-метоксифенил)-2-этоксипропионовую кислоту в виде светло-желтого твердого вещества. МС: 500,2 (М-Н)–. Пример 65 [рац] 3-(4-{2-[2-(3,5-Диметоксифенил)-5-метилтиазол-4-ил]этокси}-3-метоксифенил)-2-изопропоксипропионовая кислота По аналогии с процессом, описанным в примере 1г, [рац] этиловый эфир 3-(4-гидрокси-3-метоксифенил)-2-изопропоксипропионовой кислоты [полученный из этилового эфира изопропоксиуксусной кислоты (Tetrahedron, 38, №17, 1982, сс.2733-2739) и 4-бензилокси-3-метоксибензальдегида по аналогии с процессами, описанными в примерах от 54а до 54в) вводили в реакцию с 2-[2-(3,5-диметоксифенил)-5-метилтиазол-4-ил]этанолом (получен из [рац]метилового эфира 4-бром-3-оксопентановой кислоты [РСТ Int. Appl. (2001), WO 01/79202] и 3,5-диметокситиобензамида [РСТ Int. Appl.(1992), WO 92/09586 А1] по аналогии с процессами, описанными в примерах 12а и 12б) в тетрагидрофуране в присутствии трифенилфосфина и DEAD (диэтилазодикарбоксилат), получая [рац] этиловый эфир 3-(4-{2-[2-(3,5-диметоксифенил)-5-метилтиазол-4-ил]этокси}-3-метоксифенил)-2-изопропоксипропионовой кислоты, который затем омыляли по аналогии с процессом, описанным в примере 4д, получая [рац] 3-(4-{2-[2-(3,5-диметоксифенил)-5-метилтиазол-4-ил]этокси}-3-метоксифенил)-2-изопропоксипропионовую кислоту в виде бесцветного твердого вещества. МС: 514,3 (М-Н)–. Пример 66 [рац] 3-(4-{2-[2-(3,5-Диметилфенил)-5-метилтиазол-4-ил]этокси}-3-метоксифенил)-2-изопропоксипропионовая кислота По аналогии с процессом, описанным в примере 1г, [рац] этиловый эфир 3-(4-гидрокси-3-метоксифенил)-2-изопропоксипропионовой кислоты [получен из этилового эфира изопропоксиуксусной кислоты (Tetrahedron, 38, №17, 1982, сс.2733-2739) и 4-бензилокси-3-метоксибензальдегида по аналогии с процессами, описанными в примерах от 54а до 54в) вводили в реакцию с 2-[2-(3,5-диметилфенил)-5-метилтиазол-4-ил]этанолом (получен из [рац] метилового эфира 4-бром-3-оксопентановой кислоты [РСТ Int. Appl. (2001), WO 01/79202] и 3,5-диметилтиобензамида [из 3,5-диметилбензонитрила, NaSH, NH4Cl в N,N-диметилформамиде] по аналогии с процессами, описанными в примерах 12а и 12б) в тетрагидрофуране в присутствии трифенилфосфина и DEAD (диэтилазодикарбоксилат), получая [рац] этиловый эфир 3-(4-{2-[2-(3,5-диметилфенил)-5-метилтиазол-4-ил]этокси}-3-метоксифенил)-2-изопропоксипропионовой кислоты, который затем омыляли по аналогии с процессом, описанным в примере 4д, получая [рац] 3-(4-{2-[2-(3,5-диметилфенил)-5-метилтиазол-4-ил]этокси}-3-метоксифенил)-2-изопропоксипропионовую кислоту в виде светло-желтого твердого вещества. МС: 482,3 (М-Н)–. Пример 67 [рац] 3-(4-{2-[2-(3,5-Диметилфенил)-5-метилтиазол-4-ил]этокси}-3-метоксифенил)-2-этоксипропионовая кислота По аналогии с процессом, описанным в примере 1г, [рац] этиловый эфир 2-этокси-3-(4-гидрокси-3-метоксифенил)пропионовой кислоты (пример 48а) вводили в реакцию с 2-[2-(3,5-диметилфенил)-5-метилтиазол-4-ил]этанолом (получен из [рац]метилового эфира 4-бром-3-оксопентановой кислоты [РСТ Int. Appl. (2001), WO 01/79202] и 3,5-диметилтиобензамида [из 3,5-диметилбензонитрила, NaSH, NH4Cl в N,N-диметилформамиде] по аналогии с процессами, описанными в примерах 12а и 12б) в тетрагидрофуране в присутствии трифенилфосфина и DEAD (диэтилазодикарбоксилат), получая [рац] этиловый эфир 3-(4-{2-[2-(3,5-диметилфенил)-5-метилтиазол-4-ил]этокси}-3-метоксифенил)-2-этоксипропионовой кислоты, который затем омыляли по аналогии с процессом, описанным в примере 4д, получая [рац] 3-(4-{2-[2-(3,5-диметилфенил)-5-метилтиазол-4-ил]этокси}-3-метоксифенил)-2-этоксипропионовую кислоту в виде бесцветного твердого вещества. МС: 468,3 (М-Н)–. Пример 68 а) [рац] Этиловый эфир 2-этокси-3-(5-этокси-2-фтор-4-гидроксифенил)пропионовой кислоты По аналогии с процессом, описанным в примере 1а, 4-бензилокси-5-этоксибензальдегид (получен из 5-этокси-2-фтор-4-гидроксибензальдегида [РСТ Int. Appl. (2001), WO 01/90051 A1], бензилбромида и карбоната цезия в ацетонитриле) вводили в реакцию с хлоридом (1,2-диэтокси-2-оксоэтил)трифенилфосфония [Tetrahedron 50, №25, 1994, сс.7543-7556], получая этиловый эфир 3-(4-бензилокси-5-этокси-2-фторфенил)-2(Z,Е)-этоксиакриловой кислоты. Гидрогенизация этилового эфира 3-(4-бензилокси-5-этокси-2-фторфенил) -2(Z,E)-этоксиакриловой кислоты, как описано в примере 4в, приводила к получению [рац] этилового эфира 2-этокси-3-(5-этокси-2-фтор-4-гидроксифенил)пропионовой кислоты в виде бесцветного вязкого масла. МС: 299,2 (М-Н)–. б) [рац] 2-Этокси-3-{5-этокси-2-фтор-4-[2-(4-изопропилфенил)тиазол-4-илметокси]фенил}пропионовая кислота По аналогии с процессом, описанным в примере 4в, [рац] этиловый эфир 2-этокси-3-(5-этокси-2-фтор-4-гидроксифенил)пропионовой кислоты вводили в реакцию с 4-хлорметил-2-(4-изопропилфенил)тиазолом (получен из 4-изопропилтиобензамида и 1,3-дихлорацетона по аналогии с процессом, описанным в примере 4а) в ацетонитриле в присутствии карбоната цезия, получая [рац] этиловый эфир 2-этокси-3-{5-этокси-2-фтор-4-[2-(4-изопропилфенил)тиазол-4-илметокси]фенил}пропионовой кислоты, который затем омыляли по аналогии с процессом, описанным в примере 4д, получая [рац] 2-этокси-3-{5-этокси-2-фтор-4-[2-(4-изопропилфенил)тиазол-4-илметокси]фенил}пропионовую кислоту в виде светло-желтого твердого вещества. МС: 486,3 (М-Н)–. Пример 69 [рац] 3-(4-{2-[2-(4-Хлорфенил)-5-метилтиазол-4-ил]этокси}-5-этокси-2-фторфенил)-2-этоксипропионовая кислота По аналогии с процессом, описанным в примере 4д, [рац] этиловый эфир 2-этокси-3-(5-этокси-2-фтор-4-гидроксифенил)пропионовой кислоты (пример 68а) вводили в реакцию с 2-[2-(4-хлорфенил)-5-метилтиазол-4-ил]этанолом (получен из [рац]метилового эфира 4-бром-3-оксопентановой кислоты [РСТ Int. Appl. (2001), WO 01/79202] и 4-хлортиобензамида по аналогии с процессами, описанными в примерах 12а и 12б) в тетрагидрофуране в присутствии трифенилфосфина и DEAD (диэтилазодикарбоксилат), получая [рац] этиловый эфир 3-(4-{2-[2-(4-хлорфенил)-5-метилтиазол-4-ил]этокси}-5-этокси-2-фторфенил)-2-этоксипропионовой кислоты, который затем омыляли по аналогии с процессом, описанным в примере 4д, получая [рац] 3-(4-{2-[2-(4-хлорфенил)-5-метилтиазол-4-ил]этокси}-5-этокси-2-фторфенил)-2-этоксипропионовую кислоту в виде светло-желтого твердого вещества. МС: 508,1 (М+Н)+. Пример 70 а) [рац] Этиловый эфир 3-(3,5-дифтор-4-гидроксифенил)-2-этоксипропионовой кислоты По аналогии с процессом, описанным в примере 1а, 4-бензилокси-3,5-дифторбензальдегид (получен из 3,5-дифтор-4-гидроксибензальдегида [Journal of Medicinal Chemistry, 32, №2, 1989, сс.450-455], бензилбромида и карбоната цезия в ацетонитриле) вводили в реакцию с хлоридом (1,2-диэтокси-2-оксоэтил)трифенилфосфония [Tetrahedron, 50, №25, 1994, сс.7543-7556], получая этиловый эфир 3-(4-бензилокси-3,5-дифторфенил)-2(Z,Е)-этоксиакриловой кислоты. Гидрогенизацией этилового эфира 3-(4-бензилокси-3,5-дифторфенил)-2(Z,E)-этоксиакриловой кислоты, как описано в примере 4в, получали этиловый эфир 3-(3,5-дифтор-4-гидроксифенил)-2(Z,E)-этоксиакриловой кислоты. Для гидрирования двойной связи в фрагменте акриловой кислоты этиловый эфир 3-(3,5-дифтор-4-гидроксифенил)-2(Z,E)-этоксиакриловой кислоты вначале омыляли до 3-(3,5-дифтор-4-гидроксифенил)-2(Z,Е)-этоксиакриловой кислоты. 3-(3,5-Дифтор-4-гидроксифенил)-2(Z,E)-этоксиакриловую кислоту гидрировали в присутствии палладия на угле в уксусной кислоте, получая [рац] 3-(3,5-дифтор-4-гидроксифенил)-2-этоксипропионовую кислоту, которую повторно этерифицировали в этаноле в присутствии п-толуолсульфоновой кислоты, получая этиловый эфир [рац] 3-(3,5-дифтор-4-гидроксифенил)-2-этоксипропионовой кислоты в виде светло-желтого вязкого масла. МС: 274 (М)+. б) [рац] 3-(4-{2-[2-(3,5-Диметоксифенил)-5-метилтиазол-4-ил]этокси}-3,5-дифторфенил)-2-этоксипропионовая кислота По аналогии с процессом, описанным в примере 1г, [рац] этиловый эфир 3-(3,5-дифтор-4-гидроксифенил)-2-этоксипропионовой кислоты вводили в реакцию с 2-[2-(3,5-диметоксифенил)-5-метилтиазол-4-ил]этанолом (получен из [рац]метилового эфира 4-бром-3-оксопентановой кислоты [РСТ Int. Appl. (2001), WO 01/79202] и 3,5-диметокситиобензамида [РСТ Int. Appl.(1992), WO 92/09586 А1] по аналогии с процессами, описанными в примерах 12а и 12б) в тетрагидрофуране в присутствии трифенилфосфина и DEAD (диэтилазодикарбоксилат), получая [рац] этиловый эфир 3-(4-{2-[2-(3,5-диметоксифенил)-5-метилтиазол-4-ил]этокси}-3,5-дифторфенил)-2-этоксипропионовой кислоты, который затем омыляли по аналогии с процессом, описанным в примере 4д, получая [рац] 3-(4-{2-[2-(3,5-диметоксифенил)-5-метилтиазол-4-ил]этокси}-3,5-дифторфенил)-2-этоксипропионовую кислоту в виде бесцветного твердого вещества. МС: 506,1 (М-Н)–. Пример 71 [рац] 3-(4-{2-[2-(4-Хлорфенил)-5-метилтиазол-4-ил]этокси}-3,5-дифторфенил)-2-этоксипропионовая кислота По аналогии с процессом, описанным в примере 4г, [рац] этиловый эфир 3-(3,5-дифтор-4-гидроксифенил)-2-этоксипропионовой кислоты (пример 70а) вводили в реакцию с 2-[2-(4-хлорфенил)-5-метилтиазол-4-ил]этанолом (получен из [рац]метилового эфира 4-бром-3-оксопентановой кислоты [РСТ Int. Appl. (2001), WO 01/79202] и 4-хлортиобензамида по аналогии с процессами, описанными в примерах 12а и 12б) в тетрагидрофуране в присутствии трифенилфосфина и DEAD (диэтилазодикарбоксилат), получая [рац] этиловый эфир 3-(4-{2-[2-(4-хлорфенил)-5-метилтиазол-4-ил]этокси}-3,5-дифторфенил)-2-этоксипропионовой кислоты, который затем омыляли по аналогии с процессом, описанным в примере 4д, получая [рац] 3-(4-{2-[2-(4-хлорфенил)-5-метилтиазол-4-ил]этокси}-3,5-дифторфенил)-2-этоксипропионовую кислоту в виде светло-желтого аморфного твердого вещества. МС: 480,1 (М-Н)–. Пример 72 а) [рац] 4-[2-(5-Метил-2-п-толилтиазол-4-ил)этокси]бензо[b]тиофен-7-карбальдегид Полученный ранее (пример 62) 2-(5-метил-п-толилтиазол-4-ил)этанол (0,275 г, 1,18 ммоль) растворяли в 6 мл толуола и обрабатывали при 0°С 4-гидроксибензо[b]тиофен-7-карбальдегидом (0,210 г, 1,18 ммоль), трифенилфосфином (0,309 г, 1,18 ммоль) и DIAD (0,238 г, 1,18 ммоль), после чего убирали охлаждающую баню и продолжали перемешивание в течение 6 час. Смесь выливали в толченый лед, дважды экстрагировали AcOEt, промывали разб. раствором NaOH, водой и раствором NH4Cl, высушивали над сульфатом магния и после отгонки растворителей и последующей флеш-хроматографии (SiO2, гексан/AcOEt, соотношение 8:2) получали 0,201 г целевого соединения в виде бесцветного масла. МС: 394,1 (М+Н)+. б) [рац] Этиловый эфир 2-этокси-3-гидрокси-3-{4-[2-(5-метил-2-п-толилтиазол-4-ил)этокси]бензо[b]тиофен-7-ил}пропионовой кислоты Раствор LDA в ТГФ готовили по стандартной методике из 0,102 г (1,0 ммоль) диизопропиламина и 0,61 мл 1,5 М н-BuLi (гексан) в 2 мл абс. ТГФ при -10°С. После охлаждения раствора до -75°С добавляли раствор 0,121 г этилэтоксиацетата (0,92 ммоль) в 1 мл ТГФ и продолжали перемешивание в течение 30 мин для завершения образования енолята. Полученный ранее [рац] 4-[2-(5-метил-2-п-толилтиазол-4-ил)этокси]бензо[b]тиофен-7-карбальдегид (0.120 г, 0,305 ммоль) в 2 мл ТГФ добавляли затем при -75°С, и смесь выдерживали при этой температуре 30 мин. После этого ее выливали в смесь толченый лед/NH4Cl, дважды экстрагировали AcOEt, промывали водой, сушили над сульфатом магния, и после удаления растворителей и последующей флеш-хроматографии (SiO2, гексан/AcOEt, соотношение 7:3) получали 0,139 г целевого соединения (син/анти-изомеры) в виде желтоватого масла. МС: 526,3 (М+Н)+. в) [рац] Этиловый эфир 2-этокси-3-{4-[2-(5-метил-2-п-толилтиазол-4-ил)этокси]бензо[b]тиофен-7-ил}пропионовой кислоты Полученный ранее [рац] этиловый эфир 2-этокси-3-гидрокси-3-{4-[2-(5-метил-2-р-толилтиазол-4-ил)этокси]бензо[b]тиофен-7-ил}пропионовой кислоты (0,138 г, 0,263 ммоль) растворяли в 1,3 мл трифторуксусной кислоты, обрабатывали при 0°С триэтилсиланом (0,417 мл, 10 экв) и выдерживали при 0°С и сильном перемешивании в течение 4 час, пока ТСХ не показывала отсутствие исходного соединения. Реакционную смесь затем выливали в толченый лед/AcOEt/NaHCO3. Органический слой промывали водой (рН водной фазы 8) и солевым раствором, высушивали над сульфатом магния и выпаривали досуха. После флеш-хроматографии (SiO2, гексан/AcOEt, соотношение 82:18) получали 0,090 г целевого продукта в виде бесцветного масла. МС: 510,4 (М+Н)+. г) [рац] 2-Этокси-3-{4-[2-(5-метил-2-п-толилтиазол-4-ил)этокси]бензо[b]тиофен-7-ил}пропионовая кислота Полученный ранее [рац] этиловый эфир 2-этокси-3-{4-[2-(5-метил-2-п-толилтиазол-4-ил)этокси]бензо[b]тиофен-7-ил}пропионовой кислоты (0,089 г, 1,175 ммоль) растворяли в 1,1 мл ТГФ/EtOH (1:1), обрабатывали 0,53 мл 1н. NaOH (3 экв) и выдерживали 1 час при комнатной температуре. Реакционную смесь выливали в толченый лед/AcOEt/HCl-разб., промывали органический слой водой, сушили над сульфатом магния и выпаривали досуха. После кристаллизации из смеси гексан/AcOEt получали 0,074 г целевого продукта в виде белых кристаллов, t пл 126-127°С. МС: 480,3 (М-Н)–. Пример 73 [рац] 3-(4-{2-[2-(4-трет-Бутилфенил)-5-метилтиазол-4-ил]этокси}нафтален-1-ил)-2-этоксипропионовая кислота Получали по аналогии с примером 72, но использовали на стадии а 4-гидроксинафтален-1-карбальдегид вместо 4-гидроксибензо [b]тиофен-7-карбальдегида и 2-[2-(4-трет-бутилфенил)-5-метилтиазол-4-ил]этанол (пример 12б) вместо 2-(5-метил-2-п-толилтиазол-4-ил)этанола, соответственно. Белое твердое вещество, t пл 90-93°С. МС: 516,4 (М-Н)–. Пример 74 [рац] 3-(4-{2-[2-(4-трет-Бутилфенил)-5-метилтиазол-4-ил]этокси}бензо[b]тиофен-7-ил)-2-этоксипропионовая кислота Получали по аналогии с примером 72, но используя на стадии а 2-[2-(4-трет-бутилфенил)-5-метилтиазол-4-ил]этанол (пример 12б) вместо 2-(5-метил-2-п-толилтиазол-4-ил)этанола. Белое твердое вещество, t пл 152-154°С. МС: 522,4 (М-Н)–. Пример 75 [рац] 2-Этокси-3-(4-{2-[2-(4-изопропилфенил)-5-метилтиазол-4-ил]этокси}бензо[b]тиофен-7-ил)пропионовая кислота Получали по аналогии с примером 72, но используя на стадии а 2-[2-(4-изопропилфенил)-5-метилтиазол-4-ил]этанол (пример 41) вместо 2-(5-метил-2-п-толилтиазол-4-ил)этанола. Белые кристаллы, t пл 120-122°С. МС: 508,3 (М-Н)–. Пример 76 [рац] 2-Изопропокси-3-(4-{2-[2-(4-изопропилфенил)-5-метилтиазол-4-ил]этокси}нафтален-1-ил)пропионовая кислота Получали по аналогии с примером 73, но использовали на стадии а 2-[2-(4-изопропилфенил)-5-метилтиазол-4-ил]этанол (пример 41) вместо 2-[2-(4-трет-бутилфенил)-5-метилтиазол-4-ил]этанола и на стадии б этилизопропоксиацетат вместо этилэтоксиацетата. Белая пена. МС: 516,4 (М-Н)–. Пример 77 [рац] 2-Этокси-3-(4-{2-[2-(4-изопропилфенил)-5-метилтиазол-4-ил]этокси}нафтален-1-ил)пропионовая кислота Получали по аналогии с примером 76, но использовали на стадии б этилэтоксиацетат вместо этилизопропоксиацетата. Белые кристаллы с t пл 111-113°C. MC:504,2 (M+H)+. Пример 78 [рац] 2-Этокси-3-{4-[2-(5-метил-2-п-толилтиазол-4-ил)этокси]нафтален-1-ил}пропионовая кислота Получали по аналогии с примером 72, но использовали на стадии а 4-гидроксинафтален-1-карбальдегид вместо 4-гидроксибензо[b]тиофен-7-карбальдегида. Белые кристаллы с t пл 140-141°С. МС: 474,3 (М-Н)–. Пример 79 [рац] 2-Изопропокси-3-{4-[2-(5-метил-2-фенилтиазол-4-ил)этокси]бензо[b]тиофен-7-ил}пропионовая кислота Получали по аналогии с примером 72, но используя на стадии а 2-(5-метил-2-фенилтиазол-4-ил)этанол (пример 1) вместо 2-(5-метил-2-п-толилтиазол-4-ил)этанола, а на стадии б этилизопропоксиацетат вместо этилацетоксиацетата. Белое твердое вещество, t пл 73°С. МС: 482,2 (М+Н)+. Пример 80 [рац] 3-{4-[2-(5-Метил-2-фенилтиазол-4-ил)этокси]нафтален-1-ил}-2-пропоксипропионовая кислота Получали по аналогии с примером 76, но используя на стадии а 2-(5-метил-2-фенилтиазол-4-ил)этанол (пример 1) вместо 2-[2-(4-изопропилфенил)-5-метилтиазол-4-ил]этанола, а на стадии б этилпропоксиацетат вместо этилацетоксиацетата. Белое твердое вещество, т.пл. 95-99°С. МС: 474,3 (М-Н)–. Пример 81 [рац] 2-Метокси 3-{4-[2-(5-метил-2-п-толилтиазол-4-ил)этокси]нафтален-1-ил}пропионовая кислота Получали по аналогии с примером 78, но использовали на стадии б этилметоксиацетат вместо этилэтоксиацетата. Белые кристаллы с t пл 155-156°С. МС: 462,2 (M+H)+. Пример 82 [рац] 3-{4-[2-(5-Метил-2-п-толилтиазол-4-ил)этокси]нафтален-1-ил}-2-пропоксипропионовая кислота Получали по аналогии с примером 81, но использовали на стадии б этилпропоксиацетат вместо этилметоксиацетата. Белые кристаллы с t пл 123-124°С. МС: 488,3 (М-Н)–. Пример 83 [рац] 3-(4-{2-[2-(3,5-Диметоксифенил)-5-метилтиазол-4-ил]этокси}бензо[b]тиофен-7-ил)-2-этоксипропионовая кислота Получали по аналогии с примером 72, но используя на стадии а 2-[2-(3,5-диметоксифенил)-5-метилтиазол-4-ил)этанол (пример 70б) вместо 2-(5-метил-2-п-толилтиазол-4-ил)этанола. Белые кристаллы, t пл 148-150°С. МС: 526,3 (М-Н)–. Пример 84 [рац] 3-(4-{2-[2-(3,5-Диметоксифенил)-5-метилтиазол-4-ил]этокси}бензо[b]тиофен-7-ил)-2-метоксипропионовая кислота Получали по аналогии с примером 83, используя в стадии б метилэтоксиацетат вместо этилэтоксиацетата; белые кристаллы с t пл 156-157°С. МС: 512,3 (М-Н)–. Пример 85 [рац] 3-(4-{2-[2-(3,5-Диметоксифенил)-5-метилтиазол-4-ил]этокси}бензо[b]тиофен-7-ил)-2-изопропоксипропионовая кислота Получали по аналогии с примером 83, используя в стадии б вместо этилэтоксиацетата этилизопропоксиацетат; белые кристаллы с t пл 150-152°С. МС: 540,3 (М-Н)–. Пример 86 [рац] 3-(4-{2-[2-(4-трет-Бутилфенил)-5-метилтиазол-4-ил]этокси}нафтален-1-ил)-2-изопропоксипропионовая кислота Получали по аналогии с примером 73, используя в стадии б вместо этилэтоксиацетата этилизопропоксиацетат; белое твердое вещество с t пл 75-85°С. МС: 530,3 (М-Н)–. Пример 87 [рац] 3-(4-{2-[2-(4-трет-Бутилфенил)-5-метилтиазол-4-ил]этокси}бензо[b]тиофен-7-ил)-2-пропоксипропионовая кислота Получали по аналогии с примером 74, используя в стадии б вместо этилэтоксиацетата этилпропоксиацетат; белое твердое вещество с t пл 76°С. МС: 536,3 (М-Н)–. Пример 88 [рац] 3-(4-{2-[2-(3,5-Диметоксифенил)-5-метилтиазол-4-ил]этокси}нафтален-1-ил)-2-этоксипропионовая кислота Получали по аналогии с примером 83, используя в стадии б 4-гидроксинафтален-1-карбальдегид вместо 4-гидроксибензо[b]тиофен-7-карбальдегида. Белые кристаллы, t пл 133-135°С. МС: 520,3 (М-Н)–. Пример 89 [рац] 2-Этокси-3-{4-[2-(5-метил-2-фенилфенилтиазол-4-ил)этокси]нафтален-1-ил}пропионовая кислота Получали по аналогии с примером 80, но использовали в стадии б этилэтоксиацетат вместо этилпропоксиацетата. Белое твердое вещество с t пл 140-143°С. МС: 460,3 (М-Н)–. Пример 90 [рац] 2-Этокси-3-{4-[2-(5-метил-2-фенилфенилтиазол-4-ил)этокси]бензо[b]тиофен-7-ил}пропионовая кислота Получали по аналогии с примером 89, но использовали в стадии а 4-гидроксибензо[b]тиофен-7-карбальдегид вместо 4-гидроксинафтален-1-карбальдегида. Белое твердое вещество, t пл 146-148°С. МС: 466,2 (М-Н)–. Пример 91 а) [рац] Этиловый эфир 2-этокси-3-[2-метил-4-(4-метил-2-фенилтиазол-5-илметокси)фенил]пропионовой кислоты По аналогии с процессом, описанным в примере 10в, [рац] этиловый эфир 2-этокси-3-(4-гидрокси-2-метилфенил)пропионовой кислоты (пример 10б) вводили в реакцию с (4-метил-2-фенилтиазол-5-ил)метанолом [РСТ Int. Appl. (2002), WO 02/80899 A1] в присутствии трифенилфосфина и диэтилазодикарбоксилата, получая [рац] этиловый эфир 2-этокси-3-[2-метил-4-(4-метил-2-фенилтиазол-5-илметокси)фенил]пропионовой кислоты в виде бесцветного масла. МС: 440,2 (М+Н)+; 396,3; 227,3. б) [рац] 2-Этокси-3-[2-метил-4-(4-метил-2-фенилтиазол-5-илметокси)фенил]пропионовая кислота По аналогии с процессом, описанным в примере 10г, [рац] этиловый эфир 2-этокси-3-[2-метил-4-(4-метил-2-фенилтиазол-5-илметокси)фенил]пропионовой кислоты обрабатывали LiOH, получая [рац] 2-этокси-3-[2-метил-4-(4-метил-2-фенилтиазол-5-илметокси)фенил]пропионовую кислоту в виде бесцветного масла. МС: 434,4 (M+Na)+; 412,2 (M+H)+; 315,1; 228,3. Пример 92 а) [рац] Этиловый эфир 3-{4-[2-(2-хлорфенил)-4-метилтиазол-5-илметокси]-2-метилфенил}-2-этоксипропионовой кислоты По аналогии с процессом, описанным в примере 10в, [рац] этиловый эфир 2-этокси-3-(4-гидрокси-2-метилфенил)пропионовой кислоты (пример 10б) вводили в реакцию с [2-(2-хлорфенил)-4-метилтиазол-5-ил]метанолом (получен из 2-хлортиобензамида и этил-2-хлорацетоацетата по аналогии с процессом, описанным в примерах 33а и 33б) в присутствии трифенилфосфина и диэтилазодикарбоксилата, получая [рац] этиловый эфир 3-{4-[2-(2-хлорфенил)-4-метилтиазол-5-илметокси]-2-метилфенил}-2-этоксипропионовой кислоты в виде бесцветного масла. МС: 496,2 (M+Na)+; 474,1 (М+H)+. б) [рац] 3-{4-[2-(2-Хлорфенил)-4-метилтиазол-5-илметокси]-2-метилфенил}-2-этоксипропионовая кислота По аналогии с процессом, описанным в примере 10в, [рац] этиловый эфир 3-{4-[2-(2-хлорфенил)-4-метилтиазол-5-илметокси]-2-метилфенил}-2-этоксипропионовой кислоты обрабатывали LiOH, получая [рац] 3-{4-[2-(2-хлорфенил)-4-метилтиазол-5-илметокси]-2-метилфенил}-2-этоксипропионовую кислоту в виде бесцветного масла. МС: 468,1 (M+Na)+; 446,2 (М+Н)+ 371,3. Пример 93 а) 1-Бром-2-фтор-4-(фенилметокси)бензол По аналогии с процессом, описанным в примере 23б, 1-фтор-3-(фенилметокси)бензол (получение дано в: A.A.Durrani, J.H.P.Tyman, J. Chem. Soc., Perkin Trans. 1, 8, 1979, сс.2079-2087) обрабатывали N-бромсукцинимидом в присутствии концентрированной серной кислоты, получая 1-бром-2-фтор-4-(фенилметокси)бензол в виде бесцветного масла. б) 4-Бензилокси-2-фторбензальдегид По аналогии с процессом, описанным в примере 23в, 1-бром-2-фтор-4-(фенилметокси)бензол обрабатывали н-BuLi и N,N-диметилформамидом в сухом тетрагидрофуране, получая 4-бензилокси-2-фторбензальдегид в виде белых кристаллов. МС: 230,1 (М)+. в) (S)-4-Бензил-3-[(2S,3R)-3-(4-бензилокси-2-фторфенил)-2-этокси-3-гидроксипропионил]оксазолидин-2-он По аналогии с процессом, описанным в примере 17а, (S)-4-бензил-3-этоксиацетилоксазолидин-2-он (получение см: D.Haigh, H.С.Birrell, В.С.С.Cantello, D.S.Eggleston, R.С.Haltiwanger, R.M.Hindley, A.Ramaswamy, N.C.Stevens, Tetrahedron: Asymmetry, 10, 1999, сс.1353-1367) вводили в реакцию с 4-бензилокси-2-фторбензальдегидом в присутствии триэтиламина и трифлата н-бутилбора, получая (S)-4-бензил-3-[(2S,3R)-3-(4-бензилокси-2-фторфенил)-2-этокси-3-гидроксипропионил]оксазолидин-2-он в виде бесцветной пены. Согласно данным спектроскопии 1Н ЯМР значительно преобладает один из четырех изомеров, которому, согласно D.Haigh и др.. Tetrahedron: Asymmetry, 10, 1999, сс.1353-1367) была приписана 2S,3R конформация. МС: 516,2 (M+Na)+; 476,2; 435,3; 419,3; 387,1; 330,2; 203,1. г) (2S,3R) Метиловый эфир 3-(4-бензилокси-2-фторфенил)-2-этокси-3-гидроксипропионовой кислоты По аналогии с процессом, описанным в примере 17б, (S)-4-бензил-3-[(2S,3R)-3-(4-бензилокси-2-фторфенил)-2-этокси-3-гидроксипропионил]оксазолидин-2-он обрабатывали метилатом натрия в метаноле, получая (2S,3R) метиловый эфир 3-(4-бензилокси-2-фторфенил)-2-этокси-3-гидроксипропионовой кислоты в виде бесцветной жидкости. Согласно данным спектроскопии 1Н ЯМР получали один единственный диастереомер. МС: 371,3 (M+Na)+; 331,3; 303,2; 279,2; 242,2. д) (2S) Метиловый эфир 3-(4-бензилокси-2-фторфенил)-2-этоксипропионовой кислоты По аналогии с процессом, описанным в примере 17в, (2S,3R) метиловый эфир 3-(4-бензилокси-2-фторфенил)-2-этокси-3-гидроксипропионовой кислоты обрабатывали триэтилсиланом в трифторуксусной кислоте, получая (2S) метиловый эфир 3-(4-бензилокси-2-фторфенил)-2-этоксипропионовой кислоты в виде бесцветной жидкости. МС: 355,2 (M+Na)+; 350,3 (М+NH4)+; 333,3 (М+Н)+; 245,3. e) (2S) метиловый эфир 2-Этокси-3-(2-фтор-4-гидроксифенил)пропионовой кислоты По аналогии с процессом, описанным в примере 17г, (2S) метиловый эфир 3-(4-бензилокси-2-фторфенил)-2-этоксипропионовой кислоты гидрировали над 10% палладием на угле, получая (2S) метиловый эфир 2-этокси-3-(2-фтор-4-гидроксифенил)пропионовой кислоты в виде бесцветной жидкости. МС: 265,2 (M+Na)+; 260,2 (M+NH4); 243,3 (M+H)+; 197,1; 155,3. ж) (S) Метиловый эфир 3-{4-[2-(4-хлорфенил)тиазол-4-илметокси]-2-фторфенил}-2-этоксипропионовой кислоты По аналогии с процессом, описанным в примере 14б, (2S) метиловый эфир 2-этокси-3-(2-фтор-4-гидроксифенил)пропионовой кислоты вводили в реакцию с 4-хлорметил-2-(4-хлорфенил)тиазолом (пример 14а) в присутствии карбоната цезия и йодида калия, получая (S) метиловый эфир 3-{4-[2-(4-хлорфенил)тиазол-4-илметокси]-2-фторфенил}-2-этоксипропионовой кислоты в виде светло-желтого масла. МС: 472,0 (M+Na)+; 450,2 (M+H)+. з) (S) 3-{4-[2-(4-Хлорфенил)тиазол-4-илметокси]-2-фторфенил}-2-этоксипропионовая кислота По аналогии с процессом, описанным в примере 10г, (S) метиловый эфир 3-{4-[2-(4-хлорфенил)тиазол-4-илметокси]-2-фторфенил}-2-этоксипропионовой кислоты обрабатывали LiOH, получая (S) 3-{4-[2-(4-хлорфенил)тиазол-4-илметокси]-2-фторфенил}-2-этоксипропионовую кислоту в виде светло-желтого твердого вещества. МС: 436,1 (М+Н)+; 390,9; 304,2; 261,7; 241,3. Пример 94 а) 4-Бензилоксибензофуран К суспензии карбоната калия (2,68 г, 19,4 ммоль) в N,N-диметилформамиде (8 мл) добавляли раствор 4-гидроксибензофурана (2,6 г, 19,4 ммоль) в N,N-диметилформамиде (8 мл) при 2°С в атмосфере аргона (получение 4-гидроксибензофурана см: G.Kneen, P.J.Maddocks, Syn. Commun., 16, 1986, сс.1635-1640). После 50 мин выдерживания при 2°С добавляли бензилбромид (3,3 мл, 19,4 ммоль) в течение 15 мин при 2°С. Суспензию перемешивали 30 мин при 2°С и 1,5 час при комнатной температуре. После добавления ледяной воды (20 мл) раствор дважды экстрагировали диэтиловым эфиром. Комбинированные экстракты трижды промывали солевым раствором и сушили над сульфатом натрия. После выпаривания растворителя оставалось желтое масло, после очистки которого колоночной хроматографией (силикагель, гексан) получали 4,3 г (19,2 ммоль, 99%) целевого соединения в виде бесцветного масла. МС: 224,1 (M)+. б) 4-Бензилоксибензофуран-7-карбальдегид Сухой N,N-диметилформамид (12,1 г, 166 ммоль) по каплям при перемешивании и охлаждении добавляли в атмосфере аргона к хлорокиси фосфора (11,4 г, 75 ммоль) с такой скоростью, чтобы температура не поднималась выше 10°С. После выдерживания смеси 30 мин при 10°С по каплям в течение 30 мин добавляли раствор 4-бензилоксифурана (9,3 г, 41 ммоль) в N,N-диметилформамиде (9 мл). Реакционную смесь выдерживали 30 мин при комнатной температуре, затем температуру постепенно поднимали до 100°С. После 10 мин выдерживания при 100°С смесь 3 час нагревали при температуре 85°С, охлаждали до 10°С, нейтрализовали 25% водным раствором ацетата натрия при охлаждении и экстрагировали диэтиловым эфиром. Экстракт промывали насыщенным водным раствором бикарбоната натрия и водой и сушили над сульфатом натрия. После отгонки растворителя оставалось коричневое масло, которое после очистки колоночной хроматографией (силикагель, гексан/AcOEt, 19:1) давало 1,8 г (7 ммоль, 17%) целевого продукта в виде желтого масла. МС: 252,1 (М)+. в) Этиловый эфир 3-(4-бензилоксибензофуран-7-ил)-2Z-этоксиакриловой кислоты Суспензию хлорида (1,2-диэтокси-2-оксоэтил)трифенилфосфония (2,04 г, 4,8 ммоль) и DBU (0,8 г, 5,2 ммоль) в ТГФ (40 мл) перемешивали 10 мин при комнатной температуре в атмосфере аргона (получение хлорида (1,2-диэтокси-2-оксоэтил)трифенилфосфония см: К.К.Bach, H.R.El-Seedi, Н.М.Jensen, H.В.Nielsen, I.Thomson, К.В.G.Torssell, Tetrahedron, 50, 1994, cc.7543-7556). Добавляли 4-бензилоксибензофуран-7-карбальдегид (0,8 г, 3,2 ммоль), и смесь кипятили в течение 12 час. Растворитель отгоняли при пониженном давлении, остаток растворяли в этилацетате, промывали насыщенным водным раствором NH4Cl и дважды солевым раствором. Органический слой сушили над сульфатом натрия, удаляли растворитель в вакууме, и остаток очищали колоночной хроматографией (силикагель, гексан/AcOEt, 19:1), получая 0,8 г (2,2 ммоль, 69%) целевого продукта в виде бесцветного масла. МС: 366,1 (М); 275,1; 173,0. г) [рац] Этиловый эфир 2-этокси-3-(4-гидрокси-2,3-дигидробензофуран-7-ил)пропионовой кислоты Раствор этилового эфира 3-(4-бензилоксибензофуран-7-ил)-2Z-этоксиакриловой кислоты (420 мг, 1,15 ммоль) в метаноле (17 мл) гидрировали над 10% палладием на угле (100 мг) при комнатной температуре в течение 20 час, отфильтровывали катализатор, отгоняли растворитель в вакууме, и остаток хроматографировали (силикагель, гексан/AcOEt, 4:1), получая 240 мг (0,86 ммоль, 75%) целевого соединения в виде бесцветной жидкости. МС: 279,1 (М-Н)–; 265,2; 141,0. д) [рац] Этиловый эфир 3-{7-[2-(4-хлорфенил)тиазол-4-илметокси]-2,3-дигидробензофуран-4-ил}-2-этоксипропионовой кислоты По аналогии с процессом, описанным в примере 14б, [рац] этиловый эфир 2-этокси-3-(4-гидрокси-2,3-дигидробензофуран-7-ил)пропионовой кислоты вводили в реакцию с 4-хлорметил-2-(4-хлорфенил)тиазолом (пример 14а) в присутствии карбоната цезия и йодида калия, получая [рац] этиловый эфир 3-{7-[2-(4-хлорфенил)тиазол-4-илметокси]-2,3-дигидробензофуран-4-ил}-2-этоксипропионовой кислоты в виде бесцветного масла. МС: 490,2 (М+Н)+; 488,3 (М+Н)+; 442,2; 414,2; 249,2. е) [рац] 3-{7-[2-(4-Хлорфенил)тиазол-4-илметокси]-2,3-дигидробензофуран-4-ил}-2-этоксипропионовая кислота По аналогии с процессом, описанным в примере 10г, [рац] этиловый эфир 3-{7-[2-(4-хлорфенил)тиазол-4-илметокси]-2,3-дигидробензофуран-4-ил}-2-этоксипропионовой кислоты обрабатывали LiOH, получая [рац] 3-{7-[2-(4-хлорфенил)тиазол-4-илметокси]-2,3-дигидробензофуран-4-ил}-2-этоксипропионовую кислоту в виде бесцветного масла. МС: 458,3 (М-Н)–; 340,2; 283,2; 255,4. Пример 95 а) [рац] Метиловый эфир 3-(4-бензилоксибензофуран-7-ил)-2-этоксипропионовой кислоты Магниевую стружку (0.5 г, 20,6 ммоль) добавляли при комнатной температуре к перемешиваемому раствору этилового эфира 3-(4-бензилоксибензофуран-7-ил)-2Z-этоксиакриловой кислоты (0,8 г, 2,18 ммоль; пример 94в) в метаноле (26 мл) и ТГФ (13 мл). Раствор нагревали при 40°С до окончания выделения водорода. После этого нагревание заменяли охлаждением водяной баней, вновь добавляли магниевую стружку (1 г, 41,2 ммоль) и продолжали перемешивание реакционной смеси в течение 12 час. Охлаждали суспензию до 0°С и добавляли 25% водную соляную кислоту до растворения твердого вещества. Смесь дважды экстрагировали этилацетатом, комбинированные вытяжки трижды промывали водой и сушили над сульфатом натрия. Отгоняли растворитель, получая целевой продукт (0,77 г, 2,16 ммоль, 99%), который использовали на следующей стадии синтеза без дополнительной очистки. МС: 354,2 (М)+; 237,2. б) [рац] Метиловый эфир 2-этокси-3-(4-гидроксибензофуран-7-ил)пропионовой кислоты Диметилсульфид (4,4 мл, 60 ммоль) и эфират трехфтористого бора (46%, 3.3 мл, 12 ммоль) добавляли к охлаждаемому льдом раствору [рац]метилового эфира 3-(4-бензилоксибензофуран-7-ил)-2-этоксипропионовой кислоты (0,85 г, 2,4 ммоль) в дихлорметане (25 мл) в атмосфере аргона. Смесь перемешивали 6 час при комнатной температуре, выливали в ледяную воду и трижды экстрагировали дихлорметаном. Комбинированные органические вытяжки промывали солевым раствором и сушили над сульфатом натрия. После удаления растворителя в вакууме оставшееся коричневое масло очищали колоночной хроматографией (силикагель, гексан/AcOEt, 4:1), получая 0,45 г (1,7 ммоль, 71%) целевого вещества в виде светло-желтого масла. МС: 263,0 (М-Н)–. в) [рац] Метиловый эфир 3-{7-[2-(4-хлорфенил)тиазол-4-илметокси]бензофуран-4-ил}-2-этоксипропионовой кислоты По аналогии с процессом, описанным в примере 14б, [рац]метиловый эфир 2-этокси-3-(4-гидроксибензофуран-7-ил)пропионовой кислоты вводили в реакцию с 4-хлорметил-2-(4-хлорфенил)тиазолом (пример 14а) в присутствии карбоната цезия и иодида калия, получая [рац]метиловый эфир 3-{7-[2-(4-хлорфенил)тиазол-4-илметокси]бензофуран-4-ил}-2-этоксипропионовой кислоты в виде бесцветного масла. МС: 489,3 (M+NH4)+; 472,2 (М+Н)+; 426,3; 325,3; 225,3. г) [рац] 3-{7-[2-(4-Хлорфенил)тиазол-4-илметокси]бензофуран-4-ил}-2-этокси-пропионовая кислота По аналогии с процессом, описанным в примере 10г, [рац]метиловый эфир 3-{7-[2-(4-хлорфенил)тиазол-4-илметокси]бензофуран-4-ил}-2-этоксипропионовой кислоты обрабатывали LiOH, получая [рац] 3-{7-[2-(4-хлорфенил)тиазол-4-илметокси]бензофуран-4-ил}-2-этоксипропионовую кислоту в виде бесцветного твердого вещества. МС: 456,2 (М-Н)–; 410,2; 340,1. Пример 96 а) [рац] Этиловый эфир 2-этокси-3-[2-метил-4-(5-метил-2-фенилтиазол-4-илметокси)фенил]пропионовой кислоты По аналогии с процессом, описанным в примере 14б, [рац] этиловый эфир 2-этокси-3-(4-гидрокси-2-метилфенил)пропионовой кислоты (пример 10б) вводили в реакцию с 4-бромметил-5-метил-2-фенилтиазолом [РСТ Int. Appl. (2001), WO 0119805 A1] в присутствии карбоната цезия и иодида калия, получая [рац] этиловый эфир 2-этокси-3-[2-метил-4-(5-метил-2-фенилтиазол-4-илметокси)фенил]пропионовой кислоты в виде бесцветной жидкости. МС: 462,3 (M+Na)+; 440,4 (М+Н)+; 394,3; 229,2. б) [рац] 2-Этокси-3-[2-метил-4-(5-метил-2-фенилтиазол-4-илметокси)фенил]пропионовая кислота По аналогии с процессом, описанным в примере 10г, [рац] этиловый эфир 2-этокси-3-[2-метил-4-(5-метил-2-фенилтиазол-4-илметокси)фенил]пропионовой кислоты обрабатывали LiOH, получая [рац] 2-этокси-3-[2-метил-4-(5-метил-2-фенилтиазол-4-илметокси)фенил]пропионовую кислоту в виде бесцветной жидкости. МС: 434,2 (М+Na)+; 412,3 (М+Н)+; 313,2; 229,2. Пример 97 а) [рац] Этиловый эфир 3-{4-[2-(4-хлорфенил)-5-метилтиазол-4-илметокси]-2-метилфенил}-2-этоксипропионовой кислоты По аналогии с процессом, описанным в примере 14б, [рац] этиловый эфир 2-этокси-3-(4-гидрокси-2-метилфенил)пропионовой кислоты (пример 10б) вводили в реакцию с 4-бромметил-2-(4-хлорфенил)-5-метилтиазолом (JP 62178590 А2) в присутствии карбоната цезия и иодида калия, получая [рац] этиловый эфир 3-{4-[2-(4-хлорфенил)-5-метилтиазол-4-илметокси]-2-метилфенил}-2-этоксипропионовой кислоты в виде светло-желтых кристаллов. МС: 496,1 (M+Na)+; 476,3 (М+Н)+; 474,2 (М+Н)+; 263,2. б) [рац] 3-{4-[2-(4-Хлорфенил)-5-метилтиазол-4-илметокси]-2-метилфенил}-2-этоксипропионовая кислота По аналогии с процессом, описанным в примере 10г, [рац] этиловый эфир 3-{4-[2-(4-хлорфенил)-5-метилтиазол-4-илметокси]-2-метилфенил}-2-этоксипропионовой кислоты обрабатывали LiOH, получая [рац] 3-{4-[2-(4-хлорфенил)-5-метилтиазол-4-илметокси]-2-метилфенил}-2-этоксипропионовую кислоту в виде бесцветного твердого вещества. МС: 468,3 (M+Na)+; 446,2 (М+Н)+. Пример 98 а) [рац] Этиловый эфир 2-этокси-3-(4-{2-[2-(4-метоксифенил)-5-метилтиазол-4-ил]этокси}-2-метилфенил)пропионовой кислоты По аналогии с процессом, описанным в примере 10в, [рац] этиловый эфир 2-этокси 3-(4-гидрокси-2-метилфенил) пропионовой кислоты (пример 10б) вводили в реакцию с 2-[2-(4-метоксифенил)-5-метилтиазол-4-ил]этанолом (получен из [рац]метилового эфира 4-бром-3-оксопентановой кислоты [РСТ Int. Appl. (2001), WO 01/79202] и 4-метокситиобензамида по аналогии с процессами, описанными в примерах 12а и 12б) в тетрагидрофуране в присутствии трифенилфосфина и DEAD (диэтилазодикарбоксилат), получая [рац] этиловый эфир 2-этокси-3-(4-{2-[2-(4-метоксифенил)-5-метилтиазол-4-ил]этокси}-2-метилфенил)пропионовой кислоты, в виде желтых кристаллов. б) [рац] 2-Этокси-3-(4-{2-[2-(4-метоксифенил)-5-метилтиазол-4-ил]этокси}-2-метилфенил)пропионовая кислота По аналогии с процессом, описанным в примере 10г, [рац] этиловый эфир 2-этокси-3-(4-{2-[2-(4-метоксифенил)-5-метилтиазол-4-ил]этокси}-2-метилфенил)пропионовой кислоты обрабатывали LiOH, получая [рац] 2-этокси-3-{4-[2-(4-метоксифенил)-5-метилтиазол-4-ил]этокси}-2-метилфенил)пропионовую кислоту в виде бесцветного масла. МС: 478,5 (M+Na)+; 456,5 (M+H)+. Пример 99 а) [рац] Этиловый эфир 2-этокси-3-(4-{2-[2-(4-метоксифенил)тиазол-4-ил]этокси}-2-метилфенил)пропионовой кислоты По аналогии с процессом, описанным в примере 10в, [рац] этиловый эфир 2-этокси 3-(4-гидрокси-2-метилфенил) пропионовой кислоты (пример 10б) вводили в реакцию с 2-[2-(4-метоксифенил)тиазол-4-ил]этанолом (получен из 4-метокситиобензамида и 1,3-дихлорацетона по аналогии с процессом, описанным в примере 4а), получая 4-хлорметил-2-(4-метоксифенил)тиазол с последующим удлинением в нем боковой цепи по последовательным методикам, описанным в примерах от 13а до 13г, в присутствии трифенилфосфина и ди-трет-бутилазодикарбоксилата, получая в результате [рац] этиловый эфир 2-этокси-3-(4-{2-[2-(4-метоксифенил)тиазол-4-ил]этокси}-2-метилфенил)пропионовой кислоты в виде светло-желтого твердого вещества. МС: 492,3 (M+Na)+; 470,2 (М+Н)+; 424,3; 396,3. б) [рац] 2-Этокси-3-(4-{2-[2-(4-метоксифенил)тиазол-4-ил]этокси}-2-метилфенил)пропионовая кислота По аналогии с процессом, описанным в примере 10г, [рац] этиловый эфир 2-этокси-3-(4-{2-[2-(4-метоксифенил)тиазол-4-ил]этокси}-2-метилфенил)пропионовой кислоты обрабатывали LiOH, получая [рац] 2-этокси-3-{4-[2-(4-метоксифенил)тиазол-4-ил]этокси}-2-метилфенил)пропионовую кислоту в виде бесцветной жидкости. МС: 440,3 (М-Н)–; 394,1. Пример 100 а) [рац] Этиловый эфир 2-этокси-3-{4-[2-(3-метоксифенил)-4-метилтиазол-5-илметокси]-2-метилфенил}пропионовой кислоты По аналогии с процессом, описанным в примере 10в, [рац] этиловый эфир 2-этокси-3-(4-гидрокси-2-метилфенил)пропионовой кислоты (пример 10б) вводили в реакцию с [2-(3-метоксифенил)-4-метилтиазол-5-ил]метанолом (получен из 3-метокситиобензамида [РСТ Int. Appl. (2002), WO 0100433 A1] и этил-2-хлорацетоацетата по аналогии с процессом, описанным в примерах 33а и 33б) в присутствии трифенилфосфина и ди-трет-бутилазодикарбоксилата, получая [рац] этиловый эфир 2-этокси-3-{4-[2-(3-метоксифенил)-4-метилтиазол-5-илметокси]-2-метилфенил}пропионовой кислоты в виде светло-желтого твердого вещества. МС: 492,3 (M+Na)+; 470,2 (М+Н)+; 426,4; 339,2; 255,2. б) [рац] 2-Этокси-3-{4-[2-(3-метоксифенил)-4-метилтиазол-5-илметокси]-2-метилфенил}пропионовая кислота По аналогии с процессом, описанным в примере 10г, [рац] этиловый эфир 2-этокси-3-{4-[2-(3-метоксифенил)-4-метилтиазол-5-илметокси]-2-метилфенил}пропионовой кислоты обрабатывали LiOH, получая [рац] 2-этокси-3-{4-[2-(3-метоксифенил)-4-метилтиазол-5-илметокси]-2-метилфенил}пропионовую кислоту в виде бесцветной пены. МС: 440,3 (М-Н)–; 394,1; 255,3. Пример 101 а) [рац] Этиловый эфир 3-{4-[2-(2,4-дихлорфенил)-4-метилтиазол-5-илметокси]-2-метилфенил}-2-этоксипропионовой кислоты По аналогии с процессом, описанным в примере 10в, [рац] этиловый эфир 2-этокси-3-(4-гидрокси-2-метилфенил)пропионовой кислоты (пример 10б) вводили в реакцию с 2-(2,4-дихлорфенил)-5-метоксиметил-4-метилтиазолом (получен из 2,4-дихлортиобензамида и этил-2-хлорацетоацетата по аналогии с процессом, описанным в примерах 33а и 33б) в присутствии трибутилфосфина и N,N,N’,N’-тетраметилазодикарбоксамида, получая [рац] этиловый эфир 3-{4-[2-(2,4-дихлорфенил)-4-метилтиазол-5-илметокси]-2-метилфенил}-2-этоксипропионовой кислоты в виде бесцветной жидкости. МС: 510,4 (М+Н)+; 509,3 (М+Н)+; 508,3 (М+H)+. б) [рац] 3-{4-[2-(2,4-Дихлорфенил)-4-метилтиазол-5-илметокси]-2-метилфенил}-2-этоксипропионовая кислота По аналогии с процессом, описанным в примере 10г, [рац] этиловый эфир 3-{4-[2-(2,4-дихлорфенил)-4-метилтиазол-5-илметокси]-2-метилфенил}-2-этоксипропионовой кислоты обрабатывали LiOH, получая [рац] 3-{4-[2-(2,4-дихлорфенил)-4-метилтиазол-5-илметокси]-2-метилфенил}-2-этоксипропионовую кислоту в виде бесцветного твердого вещества. МС: 478,1 (М-Н)–; 432,2. Пример 102 а) [рац] Этиловый эфир 3-(4-{3-[2-(4-трет-бутилфенил)-5-метилтиазол-4-ил]пропокси}-2-метилфенил)-2-этоксипропионовой кислоты По аналогии с процессом, описанным в примере 10в, [рац] этиловый эфир 2-этокси-3-(4-гидрокси-2-метилфенил)пропионовой кислоты (пример 10б) вводили в реакцию с 3-[2-(4-трет-бутилфенил)-4-метилтиазол-4-ил]пропан-1-олом (получен из 2-[2-(4-трет-бутилфенил)-5-метилтиазол-4-ил]этилового эфира метансульфоновой кислоты [получен из 2-[2-(4-трет-бутилфенил)-5-метилтиазол-4-ил]этанола (пример 12б) и метансульфонилхлорида в пиридине при 0°С] в соответствии со схемой синтеза, описанной в примерах 13а-13д) в присутствии трибутилфосфина и N,N,N’,N’-тетраметилазодикарбоксамида, получая [рац] этиловый эфир 3-(4-{3-[2-(4-трет-бутилфенил)-5-метилтиазол-4-ил]пропокси}-2-метилфенил)-2-этоксипропионовой кислоты в виде бесцветной жидкости. МС: 546,4 (M+Na)+; 524,4 (М+Н)+ 425,5. б) [рац] 3-(4-{3-[2-(4-трет-Бутилфенил)-5-метилтиазол-4-ил]пропокси}-2-метилфенил)-2-этоксипропионовая кислота По аналогии с процессом, описанным в примере 10г, [рац] этиловый эфир 3-(4-{3-[2-(4-трет-бутилфенил)-5-метилтиазол-4-ил]пропокси}-2-метилфенил)-2-этоксипропионовой кислоты обрабатывали LiOH, получая [рац] 3-(4-{3-[2-(4-трет-бутилфенил)-5-метилтиазол-4-ил]пропокси}-2-метилфенил)-2-этоксипропионовую кислоту в виде бесцветной жидкости. МС: 494,4 (М-Н)–; 450,2. Пример 103 а) 4-Бензилокси-2,6-диметилбензальдегид По аналогии с процессом, описанным в примере 23а, 4-гидрокси-2,6-диметилбензальдегид вводили в реакцию с бромистым бензилом в присутствии карбоната калия, получая 4-бензилокси-2,6-диметилбензальдегид в виде оранжевой жидкости. МС: 241,2 (М+Н+); 181,0. б) (S)-4-Бензил-3-[(2S,3R)-3-(4-бензилокси-2,6-диметилфенил)-2-этокси-3-гидроксипропионил]оксазолидин-2-он По аналогии с процессом, описанным в примере 17а, (S)-4-бензил-3-этоксиацетилоксазолидин-2-он (получен по: D.Haigh, H.С.Birrell, В.С.С.Cantello, D.S.Eggleston, R.С.Haltiwanger, R.M.Hindley, A.Ramaswamy, N.C.Stevens, Tetrahedron: Asymmetry, 10, 1999, сс.1353-1367) вводили в реакцию с 4-бензилокси-2,6-диметилбензальдегидом в присутствии триэтиламина и трифлата ди-н-бутилбора, получая (S)-4-бензил-3-[(2S,3R)-3-(4-бензилокси-2,6-диметилфенил)-2-этокси-3-гидроксипропионил]оксазолидин-2-он в виде бесцветной жидкости. Согласно данным спектроскопии 1Н ЯМР значительно преобладает один из четырех изомеров, которому приписывается конфигурация 2S,3R согласно D.Haigh и др.. Tetrahedron: Asymmetry, 10, 1999, сс.1353-1367. МС: 526,3 (M+Na)+; 486,3; 358,2; 309,1; 281,2; 237,2. в) (2S,3R) Метиловый эфир 3-(4-бензилокси-2,6-диметилфенил)-2-этокси-3-гидроксипропионовой кислоты По аналогии с процессом, описанным в примере 17б, (S)-4-бензил-3-[(2S,3R)-3-(4-бензилокси-2,6-диметилфенил)-2-этокси-3-гидроксипропионил]оксазолидин-2-он обрабатывали метилатом натрия в метаноле, получая (2S,3R) метиловый эфир 3-(4-бензилокси-2,6-диметилфенил)-2-этокси-3-гидроксипропионовой кислоты в виде бесцветной жидкости. Согласно данным спектроскопии 1Н ЯМР был получен один единственный диастереомер. МС: 381,2 (M+Na)+; 376,3 (М+NH4)+; 341,2; 313,2; 213,3. г) (2S) Метиловый эфир 3-(4-бензилокси-2,6-диметилфенил)-2-этоксипропионовой кислоты По аналогии с процессом, описанным в примере 17в, (2S,3R) метиловый эфир 3-(4-бензилокси-2,6-диметилфенил)-2-этокси-3-гидроксипропионовой кислоты обрабатывали триэтилсиланом в трифторуксусной кислоте, получая (2S) метиловый эфир 3-(4-бензилокси-2,6-диметилфенил)-2-этоксипропионовой кислоты в виде бесцветной жидкости. МС: 360,3 (M+NH4)+; 284,1; 201,1. д) (2S) Метиловый эфир 2-этокси-3-(4-гидрокси-2,6-диметилфенил)пропионовой кислоты По аналогии с процессом, описанным в примере 17г, (2S) метиловый эфир 3-(4-бензилокси-2,6-диметилфенил)-2-этоксипропионовой кислоты гидрировали над 10% палладием на угле, получая (2S) метиловый эфир 2-этокси-3-(4-гидрокси-2,6-диметилфенил)пропионовой кислоты в виде бесцветной жидкости. МС: 275,2 (M+Na)+; 270,3 (M+NH4)+; 253,3 (M+H)+. е) (S) Метиловый эфир 3-{4-[2-(4-хлорфенил)-тиазол-4-илметокси]-2,6-диметилфенил}-2-этоксипропионовой кислоты По аналогии с процессом, описанным в примере 14б, (2S) метиловый эфир 2-этокси-3-(4-гидрокси-2,6-диметилфенил)пропионовой кислоты вводили в реакцию с 4-хлорметил-2-(4-хлорфенил)тиазолом (пример 14а) в присутствии карбоната цезия и иодида калия, получая (S) метиловый эфир 3-{4-[2-(4-хлорфенил)-тиазол-4-илметокси]-2,6-диметилфенил}-2-этоксипропионовой кислоты в виде белого твердого вещества. ж) (S) 3-{4-[2-(4-хлорфенил)-тиазол-4-илметокси]-2,6-диметилфенил}-2-этоксипропионовая кислота По аналогии с процессом, описанным в примере 10г, (S) метиловый эфир 3-{4-[2-(4-хлорфенил)тиазол-4-илметокси]-2,6-диметилфенил}-2-этоксипропионовой кислоты обрабатывали LiOH, получая (S) 3-{4-[2-(4-хлорфенил)тиазол-4-илметокси]-2,6-диметилфенил}-2-этоксипропионовую кислоту в виде светло-желтого твердого вещества. МС: 444,3 (М-Н)–; 381,0; 309,2. Пример 104 а) 5-Хлорметил-2-(4-хлорфенил)-4-метилтиазол К суспензии [2-(4-хлорфенил)-4-метилтиазол-5-ил]метанола (643 мг, 2,7 ммоль; полученного из 4-хлортиобензамида и этилового эфира 2-хлорацетоуксусной кислоты по аналогии с процессами, описанными в примерах 33а и 33б) в хлороформе (4 мл) добавляли тионилхлорид (390 мкл, 5,4 ммол) при -10°С в атмосфере аргона; реакционную смесь перемешивали в течение 30 мин, добавляли смесь (1/1) насыщенного водного раствора бикарбоната натрия и ледяной воды, после чего разделяли слои. Водный слой дважды экстрагировали дихлорметаном; объединенные органические фазы промывали смесью (1/1) ледяной воды и солевого раствора, высушивали сульфатом натрия, растворитель удаляли в вакууме, получая целевое соединение (595 мг, 2,3 ммоль, 86%) в виде бесцветного твердого вещества. МС: 262,3 (M)+; 240,2. б) [2-(4-Хлорфенил)-4-метилтиазол-5-ил]ацетонитрил Цианид тетрабутиламмония (804 мг, 3 ммол) добавляли к раствору 5-хлорметил-2-(4-хлорфенил)-4-метилтиазола (595 мг, 2,3 ммол) в ацетонитриле (25 мл). Раствор перемешивали при комнатной температуре в течение 16 час, добавляли смесь (1/1) насыщенного водного раствора бикарбоната натрия и ледяной воды и диэтиловый эфир и разделяли слои. Водный слой дважды экстрагировали диэтиловым эфиром, объединенные органические фазы промывали смесью (1/1) ледяной воды и солевого раствора, высушивали сульфатом натрия, растворитель удаляли в вакууме, получая оранжевые кристаллы, которые очищали колоночной хроматографией (силикагель, циклогексан/AcOEt), получая 370 мг (1,5 ммоль, 65%) целевого соединения в виде светло-желтого твердого вещества. МС: 249,4 (М+Н)+; 224,5; 217,5. в) 2-[2-(4-Хлорфенил)-4-метилтиазол-5-ил]этанол Раствор [2-(4-хлорфенил)-4-метилтиазол-5-ил]уксусной кислоты (300 мг, 1,1 ммоль; получен из [2-(4-хлорфенил)-4-метилтиазол-5-ил]ацетонитрила по аналогии с процессом, описанным в примере 13б) в тетрагидрофуране (4,5 мл) обрабатывали при 0°С комплексом боран-тетрагидрофуран (1 М раствор в тетрагидрофуране, 2,8 мл, 2,8 ммоль). Удаляли охлаждающую баню, и реакционную смесь перемешивали при комнатной температуре в течение 16 час. Осторожно добавляли МеОН и ледяную воду, дважды экстрагировали AcOEt, промывали экстракты смесью (1/1) ледяной воды и солевого раствора, сушили над сульфатом магния и удаляли растворитель, получая сырой продукт, который кипятили в течение 30 мин в МеОН, чтобы количественно выделить свободный спирт. Растворитель удаляли в вакууме, остаток очищали колоночной хроматографией (силикагель, гептан/AcOEt), получая 240 мг (0,95 ммоль, 84%) целевого продукта в виде бесцветного твердого вещества. МС: 254,3 (М+Н)+; 228,3. г) [рац] Этиловый эфир 3-(4-{2-[2-(4-хлорфенил)-4-метилтиазол-5-ил]этокси}-2-метилфенил)-2-этоксипропионовой кислоты По аналогии с процессом, описанным в примере 10в, [рац] этиловый эфир 2-этокси-3-(4-гидрокси-2-метилфенил)пропионовой кислоты (пример 10б) вводили в реакцию с 2-[2-(4-хлорфенил)-4-метилтиазол-5-ил]этанолом в присутствии трибутилфосфина и N,N,N’,N’-тетраметилазодикарбоксамида, получая [рац] этиловый эфир 3-(4-{2-[2-(4-хлорфенил)-4-метилтиазол-5-ил]этокси}-2-метилфенил)-2-этоксипропионовой кислоты в виде бесцветной жидкости. МС: 490,2 (М+Н)+; 488,3 (М+Н)+; 444,2; 356,3. д) [рац] 3-(4-{2-[2-(4-Хлорфенил)-4-метилтиазол-5-ил]этокси}-2-метилфенил)-2-этоксипропионовая кислота По аналогии с процессом, описанным в примере 10г, [рац] этиловый эфир 3-(4-{2-[2-(4-хлорфенил)-4-метилтиазол-5-ил]этокси}-2-метилфенил)-2-этоксипропионовой кислоты обрабатывали LiOH, получая [рац] 3-(4-{2-[2-(4-хлорфенил)-4-метилтиазол-5-ил]этокси}-2-метилфенил)-2-этоксипропионовую кислоту в виде светло-желтого твердого вещества. МС: 458,3 (М-Н)–; 412,2. Пример 105 а) [рац] Этиловый эфир 2-этокси-3-{2-метил-4-[4-метил-2-(4-трифторметилфенил)тиазол-5-илметокси]фенил}пропионовой кислоты По аналогии с процессом, описанным в примере 14б, [рац] этиловый эфир 2-этокси-3-(4-гидрокси-2-метилфенил)пропионовой кислоты (пример 10б) вводили в реакцию с 5-хлорметил-4-метил-2-(4-трифторметилфенил)тиазолом [РСТ Int. Appl. (2002), WO 0292590 A1] в присутствии карбоната цезия и йодида калия, получая [рац] этиловый эфир 2-этокси-3-{2-метил-4-[4-метил-2-(4-трифторметилфенил)тиазол-5-илметокси]фенил}пропионовой кислоты в виде бесцветной жидкости. МС: 530,3 (M+Na)+; 508,3 (М+Н)+; 256,1. б) [рац] 2-Этокси-3-{2-метил-4-[4-метил-2-(4-трифторметилфенил)тиазол-5-илметокси]фенил}пропионовая кислота По аналогии с процессом, описанным в примере 10г, [рац] этиловый эфир 2-этокси-3-{2-метил-4-[4-метил-2-(4-трифторметилфенил)тиазол-5-илметокси]фенил}пропионовой кислоты обрабатывали LiOH, получая [рац] 2-этокси-3-{2-метил-4-[4-метил-2-(4-трифторметилфенил)тиазол-5-илметокси]фенил}пропионовую кислоту в виде светло-желтого твердого вещества. МС: 478,2 (М-Н)–; 434,3. Пример 106 а) [рац] Этиловый эфир 3-(4-{2-[2-(2-хлорфенил)-4-метилтиазол-5-ил]этокси}-2-метилфенил)-2-этоксипропионовой кислоты По аналогии с процессом, описанным в примере 10в, [рац] этиловый эфир 2-этокси-3-(4-гидрокси-2-метилфенил)пропионовой кислоты (пример 10б) вводили в реакцию с 2-[2-(2-хлорфенил)-4-метилтиазол-5-ил]этанолом (получен из [2-(2-хлорфенил)-4-метилтиазол-5-ил]метанола [получен из 2-хлортиобензамида и этилового эфира 2-хлорацетоуксусной кислоты по аналогии с процессами, описанными в примерах 33а и 33б], согласно схеме реакции, описанной в примерах от 104а до 104в) в присутствии трифенилфосфина и ди-трет-бутилазодикарбоксилата, получая [рац] этиловый эфир 3-(4-{2-[2-(2-хлорфенил)-4-метилтиазол-5-ил]этокси}-2-метилфенил)-2-этоксипропионовой кислоты в виде бесцветной жидкости. МС: 510,3 (M+Na)+; 490,4 (М+Н)+; 488,2 (М+Н)+; 350,3; 296,4; 250,3. б) [рац] 3-(4-{2-[2-(2-Хлорфенил)-4-метилтиазол-5-ил]этокси}-2-метилфенил)-2-этоксипропионовая кислота По аналогии с процессом, описанным в примере 10г, [рац] этиловый эфир 3-(4-{2-[2-(2-хлорфенил)-4-метилтиазол-5-ил]этокси}-2-метилфенил)-2-этоксипропионовой кислоты обрабатывали LiOH, получая [рац] 3-(4-{2-[2-(2-хлорфенил)-4-метилтиазол-5-ил]этокси}-2-метилфенил)-2-этоксипропионовую кислоту в виде бесцветной жидкости. МС: 458,1 (М-Н)–; 412,0; 255,2. Пример 107 a) (S) Метиловый эфир 2-этокси-3-{2-этил-4-[4-метил-2-(4-трифторметилфенил]тиазол-5-илметокси]фенил}пропионовой кислоты По аналогии с процессом, описанным в примере 14б, (2S) метиловый эфир 2-этокси-3-(2-этил-4-гидроксифенил)пропионовой кислоты (пример 23ж) вводили в реакцию с 5-хлорметил-4-метил-2-(4-трифторметилфенил)тиазолом [РСТ Int. Appl. (2002), WO 0292590 A1] в присутствии карбоната цезия и йодида калия, получая (S) метиловый эфир 2-этокси-3-{2-этил-4-[4-метил-2-(4-трифторметилфенил)тиазол-5-илметокси]фенил}пропионовой кислоты в виде бесцветного масла. МС: 530,3 (M+Na)+; 508,4 (М+Н)+; 343,3; 300.3; 259,3. б) (S) 2-Этокси-3-{2-этил-4-[4-метил-2-(4-трифторметилфенил)тиазол-5-илметокси]фенил}пропионовая кислота По аналогии с процессом, описанным в примере 10г, (S) метиловый эфир 2-этокси-3-{2-этил-4-[4-метил-2-(4-трифторметилфенил)тиазол-5-илметокси]фенил}пропионовой кислоты обрабатывали LiOH, получая (S) 2-этокси-3-{2-этил-4-[4-метил-2-(4-трифторметилфенил)тиазол-5-илметокси]фенил}пропионовую кислоту в виде желтого твердого вещества. МС: 516,2 (M+Na)+; 494,2 (М+Н)+; 429,0; 371,3; 256,1. Пример 108 a) (S) Метиловый эфир 3-{2,6-диметил-4-[4-метил-2-(4-трифторметилфенил)тиазол-5-илметокси]фенил}-2-этоксипропионовой кислоты По аналогии с процессом, описанным в примере 14б, (2S) метиловый эфир 2-этокси-3-(4-гидрокси-2,6-диметилфенил)пропионовой кислоты (пример 103д) вводили в реакцию с 5-хлорметил-4-метил-2-(4-трифторметилфенил)тиазолом [РСТ Int. Appl. (2002), WO 0292590 A1] в присутствии карбоната цезия и йодида калия, получая (S) метиловый эфир 3-{2,6-диметил-4-[4-метил-2-(4-трифторметилфенил)тиазол-5-илметокси]фенил}-2-этоксипропионовой кислоты в виде желтого масла. МС: 530,3 (M+Na)+; 508,3 (М+Н)+; 443,5; 342,1; 269,2. б) (S) 3-{2,6-Диметил-4-[4-метил-2-(4-трифторметилфенил)тиазол-5-илметокси]фенил}-2-этоксипропионовая кислота По аналогии с процессом, описанным в примере 10г, (S) метиловый эфир 3-{2,6-диметил-4-[4-метил-2-(4-трифторметилфенил)тиазол-5-илметокси]фенил}-2-этоксипропионовой кислоты обрабатывали LiOH, получая (S) 3-{2,6-диметил-4-[4-метил-2-(4-трифторметилфенил)тиазол-5-илметокси]фенил}-2-этоксипропионовую кислоту в виде желтого твердого вещества. МС: 494,2 (М+Н)+; 388,3. Пример 109 а) [рац] Этиловый эфир 2-этокси-3-{2-метил-4-[2-(4-трифторметилфенил)тиазол-5-илметокси]фенил}пропионовой кислоты По аналогии с процессом, описанным в примере 10в, [рац] этиловый эфир 2-этокси-3-(4-гидрокси-2-метилфенил)пропионовой кислоты (пример 10б) вводили в реакцию с [2-(4-трифторметилфенил)тиазол-5-ил]метанолом [РСТ Int. Appl. (2002), WO 02/062774 A1] в присутствии трибутилфосфина и N,N,N’,N’-тетраметилазодикарбоксамида, получая [рац] этиловый эфир-2-этокси-3-{2-метил-4-[2-(4-трифторметилфенил)тиазол-5-илметокси]фенил}пропионовой кислоты в виде желтых кристаллов. МС: 516,2 (M+Na)+; 494,2 (М+Н)+; 356,3; 242,4. б) [рац] 2-Этокси-3-{2-метил-4-[2-(4-трифторметилфенил]тиазол-5-илметокси]фенил}пропионовая кислота По аналогии с процессом, описанным в примере 10г, [рац] этиловый эфир-2-этокси-3-{2-метил-4-[2-(4-трифторметилфенил)тиазол-5-илметокси]фенил}пропионовой кислоты обрабатывали LiOH, получая [рац] 2-этокси-3-{2-метил-4-[2-(4-трифторметилфенил)тиазол-5-илметокси] фенил}пропионовую кислоту в виде твердого белого вещества. МС: 488,1 (M+Na)+; 466,1 (М+Н)+; 420,0; 300,1; 242,1. Пример 110 а) [рац] Этиловый эфир 2-этокси-3-(2-метил-4-{2-[4-метил-2-(3-трифторметилфенил)тиазол-5-ил]этокси}фенил)пропионовой кислоты По аналогии с процессом, описанным в примере 10в, [рац] этиловый эфир 2-этокси-3-(4-гидрокси-2-метилфенил)пропионовой кислоты (пример 10б) вводили в реакцию с 2-[4-метил-2-(3-трифторметилфенил)тиазол-5-ил]этанолом (получен из [4-метил-2-(3-трифторметилфенил)тиазол-5-ил]метанола [получен из 3-трифторметилтиобензамида и этилового эфира 2-хлорацетоуксусной кислоты по аналогии с процессами, описанными в примерах 33а и 33б] согласно схеме реакции, описанной в примерах от 104а до 104в) в присутствии трифенилфосфина и ди-трет-бутилазодикарбоксилата, получая [рац] этиловый эфир 2-этокси-3-(2-метил-4-{2-[4-метил-2-(3-трифторметилфенил)тиазол-5-ил]этокси}фенил)пропионовой кислоты в виде бесцветного масла. МС: 522,3 (М+Н)+; 478,4; 448,2. б) [рац] 2-Этокси-3-(2-метил-4-{2-[4-метил-2-(3-трифторметилфенил)тиазол-5-ил]этокси}фенил)пропионовая кислота По аналогии с процессом, описанным в примере 10г, [рац] этиловый эфир 2-этокси-3-(2-метил-4-{2-[4-метил-2-(3-трифторметилфенил)тиазол-5-ил]этокси}фенил)пропионовой кислоты обрабатывали LiOH, получая [рац] 2-этокси-3-(2-метил-4-{2-[4-метил-2-(3-трифторметилфенил)тиазол-5-ил]этокси}фенил)пропионовую кислоту в виде желтого масла. МС: 492,2 (М-Н)–; 446,1. Пример 111 а) [рац] Этиловый эфир 2-этокси-3-{2-метил-4-[2-(4-метил-2-фенилтиазол-5-ил)этокси]фенил}пропионовой кислоты По аналогии с процессом, описанным в примере 10в, [рац] этиловый эфир 2-этокси-3-(4-гидрокси-2-метилфенил)пропионовой кислоты (пример 10б) вводили в реакцию с 2-(4-метил-2-фенилтиазол-5-ил)этанолом (получен из (4-метил-2-фенилтиазол-5-ил)метанола [РСТ Int. Appl. (2002), WO 02/80899 A1] согласно последовательным реакциям, описанным в примерах от 104а до 104в) в присутствии трифенилфосфина и ди-трет-бутилазодикарбоксилата, получая [рац] этиловый эфир 2-этокси-3-{2-метил-4-[2-(4-метил-2-фенилтиазол-5-ил)этокси]фенил}пропионовой кислоты в виде бесцветной жидкости. МС: 476,3 (M+Na)+; 454,4 (М+Н)+; 380,3; 202,1. б) [рац] 2-Этокси-3-{2-метил-4-[2-(4-метил-2-фенилтиазол-5-ил)этокси]фенил}пропионовая кислота По аналогии с процессом, описанным в примере 10г, [рац] этиловый эфир 2-этокси-3-{2-метил-4-[2-(4-метил-2-фенилтиазол-5-ил)этокси]фенил}пропионовой кислоты обрабатывали LiOH, получая [рац] 2-этокси-3-{2-метил-4-[2-(4-метил-2-фенилтиазол-5-ил)этокси]фенил}пропионовую кислоту в виде бесцветной жидкости. МС: 424,4 (М-Н)–; 378,4. Пример 112 а) Этиловый эфир 2-этокси-3-(2-метил-4-{1-[4-метил-2-(4-трифторметилфенил)тиазол-5-ил]этокси}фенил)пропионовой кислоты (смесь двух диастереомерных рацематов) По аналогии с процессом, описанным в примере 10в, [рац] этиловый эфир 2-этокси-3-(4-гидрокси-2-метилфенил)пропионовой кислоты (пример 10б) вводили в реакцию с [рац]1-[4-метил-2-(4-трифторметилфенил)тиазол-5-ил]этанолом [РСТ Int. Appl. (2002), WO 02/062774 A1] в присутствии трибутилфосфина и N,N,N’,N’-тетраметилазодикарбоксамида, получая этиловый эфир 2-этокси-3-(2-метил-4-{1-[4-метил-2-(4-трифторметилфенил)тиазол-5-ил]этокси}фенил)пропионовой кислоты (смесь двух диастереомерных рацематов) в виде бесцветной жидкости. МС: 544,2 (M+Na)+; 522,3 (М+Н)+; 478,3; 298,4; 219,4. б) 2-Этокси-3-(2-метил-4-{1-[4-метил-2-(4-трифторметилфенил)тиазол-5-ил]этокси}фенил)пропионовая кислота (смесь двух диастереомерных рацематов) По аналогии с процессом, описанным в примере 10г, этиловый эфир 2-этокси-3-(2-метил-4-{1-[4-метил-2-(4-трифторметилфенил)тиазол-5-ил]этокси}фенил)пропионовой кислоты (смесь двух диастереомерных рацематов) обрабатывали LiOH, получая 2-этокси-3-(2-метил-4-{1-[4-метил-2-(4-трифторметилфенил)тиазол-5-ил]этокси}фенил)пропионовую кислоту (смесь двух диастереомерных рацематов) в виде бесцветной пены. МС: 516,1 (M+Na)+; 494,2 (М+Н)+; 450,1; 371,3. Пример 113 а) [рац] Этиловый эфир 2-этокси-3-(2-метил-4-{1-метил-1-[4-метил-2-(4-трифторметилфенил)тиазол-5-ил]этокси}фенил)пропионовой кислоты По аналогии с процессом, описанным в примере 10в, [рац] этиловый эфир 2-этокси-3-(4-гидрокси-2-метилфенил)пропионовой кислоты (пример 10б) вводили в реакцию с 2-[4-метил-2-(4-трифторметилфенил)тиазол-5-ил]пропан-2-олом [РСТ Int. Appl. (2002), WO 02/062774 A1] в присутствии трибутилфосфина и N,N,N’,N’-тетраметилазодикарбоксамида, получая [рац] этиловый эфир 2-этокси-3-(2-метил-4-{1-метил-1-[4-метил-2-(4-трифторметилфенил)тиазол-5-ил]этокси}фенил)пропионовой кислоты в виде светло-желтой жидкости. МС: 558,4 (M+Na)+; 536,4 (М+Н)+; 492,2; 284,1. б) [рац] 2-Этокси-3-(2-метил-4-{1-метил-1-[4-метил-2-(4-трифторметилфенил)тиазол-5-ил]этокси}фенил)пропионовая кислота По аналогии с процессом, описанным в примере 10г, [рац] этиловый эфир 2-этокси-3-(2-метил-4-{1-метил-1-[4-метил-2-(4-трифторметилфенил)тиазол-5-ил]этокси}фенил)пропионовой кислоты обрабатывали LiOH, получая [рац] 2-этокси-3-(2-метил-4-{1-метил-1-[4-метил-2-(4-трифторметилфенил)тиазол-5-ил]этокси}фенил)пропионовую кислоту в виде бесцветной жидкости. МС:506,2 (М-Н)–; 462,1. Пример 114 а) Этиловый эфир 2-этокси-3-(2-метил-4-{2-метил-1-[4-метил-2-(4-трифторметилфенил)тиазол-5-ил]пропокси}фенил)пропионовой кислоты (смесь двух диастереомерных рацематов) По аналогии с процессом, описанным в примере 10в, [рац] этиловый эфир 2-этокси-3-(4-гидрокси-2-метилфенил)пропионовой кислоты (пример 10б) вводили в реакцию с [рац] 2-метил-1-[4-метил-2-(4-трифторметилфенил)тиазол-5-ил]пропан-1-олом [РСТ Int. Appl. (2002), WO 02/062774 A1] в присутствии трибутилфосфина и N,N,N’,N’-тетраметилазодикарбоксамида, получая этиловый эфир 2-этокси-3-(2-метил-4-{2-метил-1-[4-метил-2-(4-трифторметилфенил)тиазол-5-ил]пропокси}фенил)пропионовой кислоты (смесь двух диастереомерных рацематов) в виде светло-желтой жидкости. МС: 572,3 (M+Na)+; 550,3 (М+Н)+; 508,4; 298,4. б) 2-Этокси-3-(2-метил-4-{2-метил-1-[4-метил-2-(4-трифторметилфенил)тиазол-5-ил]пропокси}фенил)пропионовая кислота (смесь двух диастереомерных рацематов) По аналогии с процессом, описанным в примере 10г, этиловый эфир 2-этокси-3-(2-метил-4-{2-метил-1-[4-метил-2-(4-трифторметилфенил)тиазол-5-ил]пропокси}фенил)пропионовой кислоты (смесь двух диастереомерных рацематов) обрабатывали LiOH, получая 2-этокси-3-(2-метил-4-{2-метил-1-[4-метил-2-(4-трифторметилфенил)тиазол-5-ил]пропокси}фенил)пропионовую кислоту (смесь двух диастереомерных рацематов) в виде бесцветной пены. МС: 520,2 (М-Н)–; 473,8; 255,2. Пример 115 а) [рац] Этиловый эфир 2-этокси-3-(2-метил-4-{1-метил-1-[2-(4-трифторметилфенил)тиазол-5-ил]этокси}фенил)пропионовой кислоты По аналогии с процессом, описанным в примере 10в, [рац] этиловый эфир 2-этокси-3-(4-гидрокси-2-метилфенил)пропионовой кислоты (пример 10б) вводили в реакцию с 2-[2-(4-трифторметилфенил)тиазол-5-ил]пропан-2-олом [РСТ Int. Appl. (2002), WO 02/062774 A1] в присутствии трибутилфосфина и N,N,N’,N’-тетраметилазодикарбоксамида, получая [рац] этиловый эфир 2-этокси-3-(2-метил-4-{1-метил-1-[2-(4-трифторметилфенил)тиазол-5-ил]этокси}фенил)пропионовой кислоты в виде желтой жидкости. МС: 544,3 (M+Na)+; 522,2 (М+Н)+; 478,3. б) [рац]-2-Этокси-3-(2-метил-4-{1-метил-1-[2-(4-трифторметилфенил)тиазол-5-ил]этокси}фенил)пропионовая кислота По аналогии с процессом, описанным в примере 10г, [рац] этиловый эфир 2-этокси-3-(2-метил-4-{1-метил-1-[2-(4-трифторметилфенил)тиазол-5-ил]этокси}фенил)пропионовой кислоты обрабатывали LiOH, получая [рац] 2-этокси-3-(2-метил-4-{1-метил-1-[2-(4-трифторметилфенил)тиазол-5-ил]этокси}фенил)пропионовую кислоту в виде бесцветного масла. МС: 516,2 (M+Na)+; 494,2 (М+Н)+; 450,1. Пример 116 а) Этиловый эфир 2-этокси-3-(2-метил-4-{1-[2-(4-трифторметилфенил)тиазол-5-ил]этокси}фенил)пропионовой кислоты (смесь двух диастереомерных рацематов) По аналогии с процессом, описанным в примере 10в, [рац] этиловый эфир 2-этокси-3-(4-гидрокси-2-метилфенил)пропионовой кислоты (пример 10б) вводили в реакцию с [рац]1-[2-(4-трифторметилфенил)тиазол-5-ил]этанолом [РСТ Int. Appl. (2002), WO 02/062774 A1] в присутствии трибутилфосфина и N,N,N’,N’-тетраметилазодикарбоксамида, получая этиловый эфир 2-этокси-3-(2-метил-4-{1-[2-(4-трифторметилфенил)тиазол-5-ил]этокси}фенил)пропионовой кислоты (смесь двух диастереомерных рацематов) в виде бесцветной жидкости. б) 2-Этокси-3-(2-метил-4-{1-[2-(4-трифторметилфенил)тиазол-5-ил]этокси}фенил)пропионовая кислота (смесь двух диастереомерных рацематов) По аналогии с процессом, описанным в примере 10г, этиловый эфир 2-этокси-3-(2-метил-4-{1-[2-(4-трифторметилфенил)тиазол-5-ил]этокси}фенил)пропионовой кислоты (смесь двух диастереомерных рацематов) обрабатывали LiOH, получая 2-этокси-3-(2-метил-4-{1-[2-(4-трифторметилфенил)тиазол-5-ил]этокси}фенил)пропионовую кислоту (смесь двух диастереомерных рацематов) в виде светло-желтой жидкости. МС: 478,1 (М-Н)–; 432,2; 388,2. Пример 117 а) Этиловый эфир 2-этокси-3-(2-метил-4-{1-[4-метил-2-(4-трифторметилфенил)тиазол-5-ил]бут-3-енилокси}фенил)пропионовой кислоты (смесь двух диастереомерных рацематов) По аналогии с процессом, описанным в примере 10в, [рац] этиловый эфир 2-этокси-3-(4-гидрокси-2-метилфенил)пропионовой кислоты (пример 10б) вводили в реакцию с [рац]1-[4-метил-2-(4-трифторметилфенил)тиазол-5-ил]бут-3-ен-1-олом [РСТ Int. Appl. (2002), WO 02/062774 A1] в присутствии трибутилфосфина и N,N,N’,N’-тетраметилазодикарбоксамида, получая этиловый эфир 2-этокси-3-(2-метил-4-{1-[4-метил-2-(4-трифторметилфенил)тиазол-5-ил]бут-3-енилокси}фенил)пропионовой кислоты (смесь двух диастереомерных рацематов) в виде желтой жидкости. МС: 570,3 (M+Na)+; 548,2 (М+Н)+; 343,3; 296,3. б) 2-Этокси-3-(2-метил-4-{1-[4-метил-2-(4-трифторметилфенил)тиазол-5-ил]бут-3-енилокси}фенил)пропионовой кислоты (смесь двух диастереомерных рацематов) По аналогии с процессом, описанным в примере 10г, этиловый эфир 2-этокси-3-(2-метил-4-{1-[4-метил-2-(4-трифторметилфенил)тиазол-5-ил]бут-3-енилокси}фенил)пропионовой кислоты (смесь двух диастереомерных рацематов) обрабатывали LiOH, получая 2-этокси-3-(2-метил-4-{1-[4-метил-2-(4-трифторметилфенил)тиазол-5-ил]бут-3-енилокси}фенил)пропионовую кислоту (смесь двух диастереомерных рацематов) в виде бесцветного твердого вещества. МС: 518,2 (М-Н)–; 474,2; 392,2. Пример 118 а) Этиловый эфир 2-этокси-3-(2-метил-4-{1-[4-метил-2-(4-трифторметилфенил)тиазол-5-ил]бутокси}фенил)пропионовой кислоты (смесь двух диастереомерных рацематов) Раствор этилового эфира 2-этокси-3-(2-метил-4-{1-[4-метил-2-(4-трифторметилфенил)тиазол-5-ил]бут-3-енилокси}фенил)пропионовой кислоты (смесь двух диастереомерных рацематов; 100 мг, 180 мкмоль; пример 117а) в этаноле (5 мл) обрабатывали 10% палладием на угле в атмосфере водорода при комнатной температуре в течение 2 час. Смесь отфильтровывали через цеолитовую пластинку и промывали этанолом. Фильтрат упаривали досуха, и остаток очищали колоночной хроматографией (силикагель, гексан/AcOEt), получая 60 мг (110 мкмоль, 60%) целевого продукта в виде бесцветного масла. МС: 573,3 (M+Na)+; 550,3 (М+Н)+; 298,3; 256,1. б) 2-Этокси-3-(2-метил-4-{1-[4-метил-2-(4-трифторметилфенил)тиазол-5-ил]бутокси}фенил)пропионовая кислота (смесь двух диастереомерных рацематов) По аналогии с процессом, описанным в примере 10г, этиловый эфир 2-этокси-3-(2-метил-4-{1-[4-метил-2-(4-трифторметилфенил)тиазол-5-ил]бутокси}фенил)пропионовой кислоты (смесь двух диастереомерных рацематов) обрабатывали LiOH, получая 2-этокси-3-(2-метил-4-{1-[4-метил-2-(4-трифторметилфенил)тиазол-5-ил]бутокси}фенил)пропионовую кислоту (смесь двух диастереомерных рацематов) в виде бесцветной пены. МС: 520,3 (М-Н)–; 476,2. Пример 119 а) (2S) Метиловый эфир 2-этокси-3-(2-этил-{(1R/S)-[4-метил-2-(4-трифторметилфенил)тиазол-5-ил]этокси}фенил)пропионовой кислоты По аналогии с процессом, описанным в примере 10в, (2S) метиловый эфир 2-этокси-3-(2-этил-4-гидроксифенил)пропионовой кислоты (пример 23ж) вводили в реакцию с [рац]1-[4-метил-2-(4-трифторметилфенил)тиазол-5-ил]этанолом [РСТ Int. Appl. (2002), WO 02/062774 A1] в присутствии трибутилфосфина и N,N,N’,N’-тетраметилазодикарбоксамида, получая (2S) метиловый эфир 2-этокси-3-(2-этил-4-{(1R/S)-[4-метил-2-(4-трифторметилфенил)тиазол-5-ил]этокси}фенил)пропионовой кислоты в виде бесцветного масла. МС: 544,2 (M+Na)+; 522,2 (M+H)+. б) (2S) 2-Этокси-3-(2-этил-4{(1R/S)-4-метил-2-(4-трифторметилфенил)тиазол-5-ил]этокси}фенил)пропионовая кислота По аналогии с процессом, описанным в примере 10г, (2S) метиловый эфир 2-этокси-3-(2-этил-4-{(1R/S)-[4-метил-2-(4-трифторметилфенил)тиазол-5-ил]этокси}фенил)пропионовой кислоты обрабатывали LiOH, получая (2S) 2-этокси-3-(2-этил-4-{(1R/S)-[4-метил-2-(4-трифторметилфенил)тиазол-5-ил]этокси}фенил)пропионовую кислоту в виде желтого масла. МС: 530,3 (M+Na)+; 508,4 (М+Н)+; 367,3. Пример 120 а) (2S) Метиловый эфир 2-этокси-3-(2-метокси-4-{(1R/S)-[4-метил-2-(4-трифторметилфенил)тиазол-5-ил]этокси}фенил)пропионовой кислоты По аналогии с процессом, описанным в примере 10в, (2S) метиловый эфир 2-этокси-3-(4-гидрокси-2-метоксифенил)пропионовой кислоты (пример 21в) вводили в реакцию с [рац]1-[4-метил-2-(4-трифторметилфенил)тиазол-5-ил]этанолом [РСТ Int. Appl. (2002), WO 02/062774 A1] в присутствии трибутилфосфина и N,N,N’,N’-тетраметилазодикарбоксамида, получая (2S) метиловый эфир 2-этокси-3-(2-метокси-4-{(1R/S)-[4-метил-2-(4-трифторметилфенил)тиазол-5-ил]этокси}фенил)пропионовой кислоты в виде бесцветного масла. МС: 508,4 (М-15)+. б) (2S) 2-Этокси-3-(2-метокси-4-{(1R/S)-[4-метил-2-(4-трифторметилфенил)тиазол-5-ил]этокси}фенил)пропионовая кислота По аналогии с процессом, описанным в примере 10г, (2S) метиловый эфир 2-этокси-3-(2-метокси-4-{(1R/S)-[4-метил-2-(4-трифторметилфенил)тиазол-5-ил]этокси}фенил)пропионовой кислоты обрабатывали LiOH, получая (2S) 2-этокси-3-(2-метокси-4-{(1R/S)-[4-метил-2-(4-трифторметилфенил)тиазол-5-ил]этокси}фенил)пропионовую кислоту в виде бесцветного масла. МС: 530,3 (М-15)+. Пример 121 а) (рац] Циклопропил-[4-метил-2-(4-трифторметилфенил)тиазол-5-ил]метанол К раствору 4-метил-2-(4-трифторметилфенил)тиазол-5-карбальдегида (500 мг, 1,8 ммоль; РСТ Int. Appl. (2002), WO 02/062774 A1) в тетрагидрофуране (25 мл) медленно добавляли 0,5 М раствор циклопропилмагнийбромида в тетрагидрофуране (4 мл, 2 ммоль) при -10°С в атмосфере аргона. Смесь оставляли нагреваться до комнатной температуры, перемешивали 1,5 час, добавляли насыщенный раствор NH4Cl (50 мл) и дважды экстрагировали этилацетатом. Комбинированные органические вытяжки промывали солевым раствором и водой, сушили над сульфатом натрия. Фильтрат упаривали досуха, получая 560 мг (1,79 ммоль, 97%) целевого продукта в виде желтого твердого вещества. б) Этиловый эфир 3-(4-{циклопропил-[4-метил-2-(4-трифторметилфенил)тиазол-5-ил]метокси}-2-метилфенил)-2-этоксипропионовой кислоты (смесь двух диастереомерных рацематов) По аналогии с процессом, описанным в примере 10в, [рац] этиловый эфир 2-этокси-3-(4-гидрокси-2-метилфенил)пропионовой кислоты (пример 10б) вводили в реакцию с [рац]циклопропил-[4-метил-2-(4-трифторметилфенил)тиазол-5-ил]метанолом в присутствии трибутилфосфина и N,N,N’,N’-тетраметилазодикарбоксамида, получая этиловый эфир 3-(4-{циклопропил-[4-метил-2-(4-трифторметилфенил)тиазол-5-ил]метокси}-2-метилфенил)-2-этоксипропионовой кислоты (смесь двух диастереомерных рацематов) в виде желтой жидкости. МС: 570,3 (M+Na)+; 548,2 (М+Н)+; 494,2; 416,3; 296,3. с) 3-(4-Циклопропил-[4-метил-2-(4-трифторметилфенил)тиазол-5-ил]метокси}-2-метилфенил)-2-этоксипропионовая кислота (смесь двух диастереомерных рацематов) По аналогии с процессом, описанным в примере 10г, этиловый эфир 3-(4-{циклопропил-[4-метил-2-(4-трифторметилфенил)тиазол-5-ил]метокси}-2-метилфенил)-2-этоксипропионовой кислоты (смесь двух диастереомерных рацематов) обрабатывали LiOH, получая 3-(4-{циклопропил-[4-метил-2-(4-трифторметилфенил)тиазол-5-ил]метокси}-2-метилфенил)-2-этоксипропионовую кислоту (смесь двух диастереомерных рацематов) в виде бесцветного твердого вещества. МС: 542,2 (M+Na)+; 520,2 (М+Н)+; 480,2; 392,2; 296,1. Пример 122 а) Этиловый эфир 3-(4-{циклопентил-[4-метил-2-(4-трифторметилфенил)тиазол-5-ил]метокси}-2-метилфенил)-2-этоксипропионовой кислоты (смесь двух диастереомерных рацематов) По аналогии с процессом, описанным в примере 10в, [рац] этиловый эфир 2-этокси-3-(4-гидрокси-2-метилфенил)пропионовой кислоты (пример 10б) вводили в реакцию с [рац]циклопентил-[4-метил-2-(4-трифторметилфенил)тиазол-5-ил]метанолом [РСТ Int. Appl. (2002), WO 02/062774 A1] в присутствии трибутилфосфина и N,N,N’,N’-тетраметилазодикарбоксамида, получая этиловый эфир 3-(4-{циклопентил-[4-метил-2-(4-трифторметилфенил)тиазол-5-ил]метокси}-2-метилфенил)-2-этоксипропионовой кислоты (смесь двух диастереомерных рацематов) в виде бесцветной жидкости. МС: 598,3 (М+Na)+; 576,3 (М+Н)+; 340,3; 312,2; 247,1. б) 3-(4-{Циклопентил-[4-метил-2-(4-трифторметилфенил)тиазол-5-ил]метокси}-2-метилфенил)-2-этоксипропионовая кислота (смесь двух диастереомерных рацематов) По аналогии с процессом, описанным в примере 10г, этиловый эфир 3-(4-{циклопентил-[4-метил-2-(4-трифторметилфенил)тиазол-5-ил]метокси}-2-метилфенил)-2-этоксипропионовой кислоты (смесь двух диастереомерных рацематов) обрабатывали LiOH, получая 3-(4-{циклопентил-[4-метил-2-(4-трифторметилфенил)тиазол-5-ил]метокси}-2-метилфенил)-2-этоксипропионовую кислоту (смесь двух диастереомерных рацематов) в виде бесцветной жидкости. МС: 546,3 (М-Н)–; 424,4. Пример 123 а) Этиловый эфир 2-этокси-3-(2-метил-4-{[4-метил-2-(4-трифторметилфенил)тиазол-5-ил]фенилметокси}фенил)пропионовой кислоты (смесь двух диастереомерных рацематов) По аналогии с процессом, описанным в примере 10в, [рац] этиловый эфир 2-этокси-3-(4-гидрокси-2-метилфенил)пропионовой кислоты (пример 10б) вводили в реакцию с [рац][4-метил-2-(4-трифторметилфенил)тиазол-5-ил]фенилметанолом [РСТ Int. Appl. (2002), WO 02/062774 A1] в присутствии трибутилфосфина и N,N,N’,N-тетраметилазодикарбоксамида, получая этиловый эфир 2-этокси-3-(2-метил-4-{[4-метил-2-(4-трифторметилфенил)тиазол-5-ил]фенилметокси}фенил)пропионовой кислоты (смесь двух диастереомерных рацематов) в виде бесцветной жидкости. МС: 606,2 (M+Na)+; 584,4 (М+Н)+; 540,3; 508,3; 356,3. б) 2-Этокси-3-(2-метил-4-{[4-метил-2-(4-трифторметилфенил)тиазол-5-ил]фенилметокси}фенил)пропионовая кислота (смесь двух диастереомерных рацематов) По аналогии с процессом, описанным в примере 10г, этиловый эфир 2-этокси-3-(2-метил-4-{[4-метил-2-(4-трифторметилфенил)тиазол-5-ил]фенилметокси}фенил)пропионовой кислоты (смесь двух диастереомерных рацематов) обрабатывали LiOH, получая 2-этокси-3-(2-метил-4-{[4-метил-2-(4-трифторметилфенил)тиазол-5-ил]фенилметокси}фенил)пропионовую кислоту (смесь двух диастереомерных рацематов) в виде белой смолы. МС: 578,2 (M+Na)+; 556,2 (М+Н)+; 512,3; 493,2; 441,1; 332,1. Пример 124 а) [рац] 3-[1,3]Диоксан-2-ил-1-[4-метил-2-(4-трифторметилфенил)тиазол-5-ил]пропан-1-ол К раствору 4-метил-2-(4-трифторметилфенил)тиазол-5-карбальдегида (130 мг, 480 мкмоль; РСТ Int. Appl. (2002), WO 02/062774 A1) в тетрагидрофуране (10 мл) добавляли 0,5 М раствор (1,3-диоксан-2-ил)магнийбромида в тетрагидрофуране (1,3 мл, 679 мкмоль) при комнатной температуре в атмосфере аргона. Смесь перемешивали 5 час при 30°С, добавляли насыщенный раствор NH4Cl (10 мл) и дважды экстрагировали этилацетатом. Объединенные органические вытяжки промывали солевым раствором и водой и сушили над сульфатом натрия. Фильтрат упаривали досуха и получали 185 мг (478 мкмоль, 99%) целевого продукта в виде твердого желтого вещества. МС: 388,2 (М+Н)+; 330,5; 275,4; 248,5. б) Этиловый эфир 3-(4-{3-[1,3]диоксан-2-ил-1-[4-метил-2-(4-трифторметилфенил)тиазол-5-ил]пропокси}-2-метилфенил)-2-этоксипропионовой кислоты (смесь двух диастереомерных рацематов) По аналогии с процессом, описанным в примере 10в, [рац] этиловый эфир 2-этокси-3-(4-гидрокси-2-метилфенил)пропионовой кислоты (пример 10б) вводили в реакцию с [рац] 3-[1,3]диоксан-2-ил-1-[4-метил-2-(4-трифторметилфенил)тиазол-5-ил]пропан-1-олом в присутствии трибутилфосфина и N,N,N’,N’-тетраметилазодикарбоксамида, получая этиловый эфир 3-(4-{3-[1,3]диоксан-2-ил-1-[4-метил-2-(4-трифторметилфенил)тиазол-5-ил]пропокси}-2-метилфенил)-2-этоксипропионовой кислоты (смесь двух диастереомерных рацематов) в виде бесцветного масла. МС: 644,4 (M+Na)+; 622,3 (М+Н)+; 370,2; 268,4. в) 3-(4-{3-[1,3]Диоксан-2-ил-1-[4-метил-2-(4-трифторметилфенил)тиазол-5-ил]пропокси}-2-метилфенил)-2-этоксипропионовая кислота (смесь двух диастереомерных рацематов) По аналогии с процессом, описанным в примере 10г, этиловый эфир 3-(4-{3-[1,3]диоксан-2-ил-1-[4-метил-2-(4-трифторметилфенил)тиазол-5-ил]пропокси}-2-метилфенил)-2-этоксипропионовой кислоты (смесь двух диастереомерных рацематов) обрабатывали LiOH, получая 3-(4-{3-[1,3]диоксан-2-ил-1-[4-метил-2-(4-трифторметилфенил)тиазол-5-ил]пропокси}-2-метилфенил)-2-этоксипропионовую кислоту (смесь двух диастереомерных рацематов) в виде бесцветной жидкости. МС: 592,4 (М-Н)–; 548,3. Пример 125 а) Этиловый эфир 2-[(4-бензилокси-2-метилфенил)гидроксиметил]масляной кислоты (смесь двух диастереомерных рацематов) К раствору этилового эфира масляной кислоты (2,9 мл, 22,1 ммоль) в тетрагидрофуране (125 мл) по каплям в течение 15 мин добавляли 2М раствор диизопропиламида лития в тетрагидрофуране (11,6 мл, 23,2 ммоль) при -78°С в атмосфере аргона. После 10 мин перемешивания по каплям в течение 30 мин добавляли раствор 4-бензилокси-2-метилбензальдегида (5 г, 22,1 ммоль) в тетрагидрофуране (125 мл) и продолжали перемешивание в течение 20 час при -78°С. После этого добавляли по каплям насыщенный раствор хлорида аммония (60 мл), и смесь доводили до комнатной температуры. Добавляли смесь ледяная вода/солевой раствор (1:1) и дважды экстрагировали этилацетатом. Комбинированные органические вытяжки промывали смесью ледяная вода/солевой раствор (1:1) и сушили над сульфатом натрия. Фильтрат выпаривали досуха, и остаток очищали колоночной хроматографией (силикагель, гептан/AcOEt), получая 3,4 г (9,9 ммоль, 45%) целевого продукта (два диастереомерных рацемата) в виде светло-желтого масла. МС: 365,3 (M+Na)+; 360,3 (M+NH4)+; 325,4. б) (E,Z) Этиловый эфир 3-(4-бензилокси-2-метилфенил)-2-этилакриловой кислоты К раствору этилового эфира 2-[(4-бензилокси-2-метилфенил)гидроксиметил]масляной кислоты (3,4 г, 9,9 ммоль, смесь двух диастереомерных рацематов) в диметилформамиде (34 мл) добавляли концентрированную серную кислоту (1,4 мл), и смесь перемешивали в течение 1,5 час при 100°С в атмосфере аргона. Реакционную смесь затем охлаждали до комнатной температуры, добавляли смесь 1/1 ледяная вода/насыщенный раствор бикарбоната и этилацетат и разделяли слои. Водный слой экстрагировали этилацетатом, комбинированные органические вытяжки промывали смесью ледяная вода/солевой раствор (1:1) и сушили сульфатом натрия. Фильтрат выпаривали досуха, и остаток очищали колоночной хроматографией (силикагель, гептан/AcOEt), получая 1,9 г (5,9 ммоль, 59%) (E,Z) этилового эфира 3-(4-бензилокси-2-метилфенил)-2-этилакриловой кислоты в виде бесцветного масла. МС: 342,3 (М+NH4)+; 325,4 (М+Н)+; 225,5. в) [рац] Этиловый эфир 2-(4-гидрокси-2-метилбензил)масляной кислоты По аналогии с процессом, описанным в примере 118а, (E,Z) этиловый эфир 3-(4-бензилокси-2-метилфенил)-2-этилакриловой кислоты гидрировали в присутствии палладия на угле, получая [рац] этиловый эфир 2-(4-гидрокси-2-метилбензил)масляной кислоты в виде бесцветной жидкости. МС: 254,4 (M+NH4)+. г) [рац] Этиловый эфир 2-{2-метил-4-[4-метил-2-(4-трифторметилфенил)тиазол-5-илметокси]бензил}масляной кислоты По аналогии с процессом, описанным в примере 14б, [рац] этиловый эфир 2-(4-гидрокси-2-метилбензил)масляной кислоты вводили в реакцию с 5-хлорметил-4-метил-2-(4-трифторметилфенил)тиазолом [РСТ Int. Appl. (2002), WO 0292590 A1] в присутствии карбоната цезия и йодида калия, получая [рац] этиловый эфир 2-{2-метил-4-[4-метил-2-(4-трифторметилфенил)тиазол-5-илметокси]бензил}масляной кислоты в виде бесцветного масла. д) [рац] 2-{2-Метил-4-[4-метил-2-(4-трифторметилфенил)тиазол-5-илметокси]бензил}масляная кислота По аналогии с процессом, описанным в примере 10г, [рац] этиловый эфир 2-{2-метил-4-[4-метил-2-(4-трифторметилфенил)тиазол-5-илметокси]бензил}масляной кислоты обрабатывали 3н. NaOH, получая [рац] 2-{2-метил-4-[4-метил-2-(4-трифторметилфенил)тиазол-5-илметокси]бензил}масляную кислоту в виде бесцветного твердого вещества. МС: 462,2 (М-Н)–; 311,2. Пример 126 а) Метиловый эфир 2-[(4-бензилокси-2-метилфенил)гидроксиметил]гептановой кислоты (смесь двух диастереомерных рацематов) По аналогии с процессом, описанным в примере 125а, метилгептаноат депротонировали диизопропиламидом лития и вводили в реакцию с 4-бензилокси-2-метилбензальдегидом в тетрагидрофуране, получая метиловый эфир 2-[(4-бензилокси-2-метилфенил)гидроксиметил]гептановой кислоты (смесь двух диастереомерных рацематов) в виде светло-желтого масла. МС: 393,3 (M+Na)+; 388,3 (M+NH4)+; 353,3. б) (E,Z) Метиловый эфир 3-(4-бензилокси-2-метилфенил)-2-пентилакриловой кислоты По аналогии с процессом, описанным в примере 125б, метиловый эфир 2-[(4-бензилокси-2-метилфенил)гидроксиметил]гептановой кислоты (смесь двух диастереомерных рацематов) обрабатывали концентрированной серной кислотой в диметилформамиде, получая (E,Z) метиловый эфир 3-(4-бензилокси-2-метилфенил)-2-пентилакриловой кислоты в виде светло-желтого масла. МС: 370,4 (M+NH4)+. в) [рац] Метиловый эфир 2-(4-гидрокси-2-метилбензил)гептановой кислоты По аналогии с процессом, описанным в примере 118а, (E,Z) метиловый эфир 3-(4-бензилокси-2-метилфенил)-2-пентилакриловой кислоты гидрировали в присутствии палладия на угле, получая [рац] метиловый эфир 2-(4-гидрокси-2-метилбензил)гептановой кислоты в виде светло-коричневого масла. МС: 282,4 (M+NH4)+. г) [рац] Метиловый эфир 2-{2-метил-4-[4-метил-2-(4-трифторметилфенил)тиазол-5-илметокси]бензил}гептановой кислоты По аналогии с процессом, описанным в примере 14б, [рац] метиловый эфир 2-(4-гидрокси-2-метилбензил)гептановой кислоты вводили в реакцию с 5-хлорметил-4-метил-2-(4-трифторметилфенил)тиазолом [РСТ Int. Appl. (2002), WO 0292590 A1] в присутствии карбоната цезия и йодида калия, получая [рац] метиловый эфир 2-{2-метил-4-[4-метил-2-(4-трифторметилфенил)тиазол-5-илметокси]бензил}гептановой кислоты в виде бесцветного масла. МС: 520,4 (M+H)+. д) [рац] 2-{2-Метил-4-[4-метил-2-(4-трифторметилфенил)тиазол-5-илметокси]бензил}гептановая кислота По аналогии с процессом, описанным в примере 10г, [рац] метиловый эфир 2-{2-метил-4-[4-метил-2-(4-трифторметилфенил)тиазол-5-илметокси]бензил}гептановой кислоты обрабатывали 3н. NaOH, получая [рац] 2-{2-метил-4-[4-метил-2-(4-трифторметилфенил)тиазол-5-илметокси]бензил}гептановую кислоту в виде желтых кристаллов. МС: 504,3 (М-Н)–. Пример 127 а) Метиловый эфир 2-(4-{циклопропил-[4-метил-2-(4-трифторметилфенил]тиазол-5-ил]метокси}-2-метилбензил)гептановой кислоты (смесь двух диастереомерных рацематов) По аналогии с процессом, описанным в примере 10в, [рац]метиловый эфир 2-(4-гидрокси-2-метилбензил)гептановой кислоты (пример 126в) вводили в реакцию с [рац]циклопропил-[4-метил-2-(4-трифторметилфенил)тиазол-5-ил]метанолом (пример 121а) в присутствии трибутилфосфина и N,N,N’,N’-тетраметилазодикарбоксамида, получая метиловый эфир 2-(4-{циклопропил-[4-метил-2-(4-трифторметилфенил)тиазол-5-ил]метокси}-2-метилбензил)гептановой кислоты (смесь двух диастереомерных рацематов) в виде желтого масла. МС: 560,5 (М+Н)+; 421,5. б) 2-(4-{Циклопропил-[4-метил-2-(4-трифторметилфенил)тиазол-5-ил]метокси}-2-метилбензил)гептановая кислота (смесь двух диастереомерных рацематов) По аналогии с процессом, описанным в примере 10г, метиловый эфир 2-(4-{циклопропил-[4-метил-2-(4-трифторметилфенил)тиазол-5-ил]метокси}-2-метилбензил)гептановой кислоты (смесь двух диастереомерных рацематов) обрабатывали LiOH, получая 2-(4-{циклопропил-[4-метил-2-(4-трифторметилфенил)тиазол-5-ил]метокси}-2-метилбензил)гептановую кислоту (смесь двух диастереомерных рацематов) в виде бесцветного масла. МС: 568,3 (M+Na)+; 546,2 (M+H)+. Пример 128 а) Этиловый эфир 2-(4-{циклопропил-[4-метил-2-(4-трифторметилфенил)тиазол-5-ил]метокси}-2-метилбензил)масляной кислоты (смесь двух диастереомерных рацематов) По аналогии с процессом, описанным в примере 10в, [рац] этиловый эфир 2-(4-гидрокси-2-метилбензил)масляной кислоты (пример 125в) вводили в реакцию с [рац]циклопропил-[4-метил-2-(4-трифторметилфенил)тиазол-5-ил]метанолом (пример 121а) в присутствии трибутилфосфина и N,N,N’,N’-тетраметилазодикарбоксамида, получая этиловый эфир 2-(4-{циклопропил-[4-метил-2-(4-трифторметилфенил)тиазол-5-ил]метокси}-2-метилбензил)масляной кислоты (смесь двух диастереомерных рацематов) в виде светло-желтой жидкости. МС: 532,5 (М+Н)+; 345,4. б) 2-(4-{Циклопропил-[4-метил-2-(4-трифторметилфенил)тиазол-5-ил]метокси}-2-метилбензил)масляная кислота (смесь двух диастереомерных рацематов) По аналогии с процессом, описанным в примере 10г, этиловый эфир 2-(4-{циклопропил-[4-метил-2-(4-трифторметилфенил)тиазол-5-ил]метокси}-2-метилбензил)масляной кислоты (смесь двух диастереомерных рацематов) обрабатывали LiOH, получая 2-(4-{циклопропил-[4-метил-2-(4-трифторметилфенил)тиазол-5-ил]метокси}-2-метилбензил)масляную кислоту (смесь двух диастереомерных рацематов) в виде бесцветной жидкости. МС: 504,4 (M+H)+. Пример 129 а) [рац] Этиловый эфир 2-(2-метил-4-{1-метил-1-[4-метил-2-(4-трифторметилфенил)тиазол-5-ил]этокси}бензил)масляной кислоты По аналогии с процессом, описанным в примере 10в, [рац] этиловый эфир 2-(4-гидрокси-2-метилбензил)масляной кислоты (пример 125в) вводили в реакцию с 2-[4-2-(4-трифторметилфенил)тиазол-5-ил]пропан-2-олом [РСТ Int. Appl. (2002), WO 02/062774 A1] в присутствии трибутилфосфина и N,N,N’,N’-тетраметилазодикарбоксамида, получая [рац] этиловый эфир 2-(2-метил-4-{1-метил-1-[4-метил-1-(4-трифторметилфенил)тиазол-5-ил]этокси}бензил)масляной кислоты в виде бесцветного масла. МС: 520,2 (М+Н)+; 284,1. б) [рац] 2-(2-Метил-4-{1-метил-1-[4-метил-2-(4-трифторметилфенил)тиазол-5-ил]этокси}бензил)масляная кислота По аналогии с процессом, описанным в примере 10г, [рац] этиловый эфир 2-(2-метил-4-{1-метил-1-[4-метил-2-(4-трифторметилфенил)тиазол-5-ил]этокси}бензил)масляной кислоты обрабатывали 3н. NaOH, получая [рац] 2-(2-метил-4-{1-метил-1-[4-метил-2-(4-трифторметилфенил)тиазол-5-ил]этокси}бензил)масляную кислоту в виде бесцветной жидкости. МС: 492,3 (M+H)+. Пример 130 а) [рац] Метиловый эфир 2-(2-метил-4-{1-метил-1-[4-метил-2-(4-трифторметилфенил)тиазол-5-ил]этокси}бензил)гептановой кислоты По аналогии с процессом, описанным в примере 10в, [рац]метиловый эфир 2-(4-гидрокси-2-метилбензил)гептановой кислоты (пример 126в) вводили в реакцию с 2-[4-метил-2-(4-трифторметилфенил)тиазол-5-ил]пропан-2-олом [РСТ Int. Appl. (2002), WO 02/062774 A1] в присутствии трибутилфосфина и N,N,N’,N’-тетраметилазодикарбоксамида, получая [рац]метиловый эфир 2-(2-метил-4-{1-метил-1-[4-метил-2-(4-трифторметилфенил)тиазол-5-ил]этокси}бензил)гептановой кислоты в виде бесцветного масла. МС: 548,4 (М+Н)+. б) [рац] 2-(2-Метил-4-{1-метил-1-[4-метил-2-(4-трифторметилфенил)тиазол-5-ил]этокси}бензил)гептановая кислота По аналогии с процессом, описанным в примере 10г, [рац]метиловый эфир 2-(2-метил-4-{1-метил-1-[4-метил-2-(4-трифторметилфенил)тиазол-5-ил]этокси}бензил)гептановой кислоты обрабатывали LiOH, получая [рац] 2-(2-метил-4-{1-метил-1-[4-метил-2-(4-трифторметилфенил)тиазол-5-ил]этокси}бензил)гептановую кислоту в виде бесцветной жидкости. МС: 532,3 (М-Н)–. Пример 131 а) Метиловый эфир 3-(4-бензилокси-2-метилфенил)-2-бутокси-3-гидроксипропионовой кислоты (смесь двух диастереомерных рацематов) По аналогии с процессом, описанным в примере 125а, метиловый эфир бутоксиуксусной кислоты (V.Franzen, L.Fikentscher, Ann., 617, 1958, сс.1-10) депротонировали диизопропиламидом лития и обрабатывали 4-бензилокси-2-метилбензальдегидом в тетрагидрофуране при -78°С в течение 3 час, получая метиловый эфир 3-(4-бензилокси-2-метилфенил)-2-бутокси-3-гидроксипропионовой кислоты (смесь двух диастереомерных рацематов) в виде желтой жидкости. МС: 395,4 (M+Na)+; 390,4 (M+NH4)+; 336:5. б) (E,Z) Метиловый эфир 3-(4-бензилокси-2-метилфенил)-2-бутоксиакриловой кислоты По аналогии с процессом, описанным в примере 125б, метиловый эфир 3-(4-бензилокси-2-метилфенил)-2-бутокси-3-гидроксипропионовой кислоты (смесь двух диастереомерных рацематов) обрабатывали концентрированной серной кислотой в диметилформамиде, получая (E,Z) метиловый эфир 3-(4-бензилокси-2-метилфенил)-2-бутоксиакриловой кислоты в виде оранжевой жидкости. МС: 372,5 (M+NH4)+; 355,4 (М+Н)+. в) [рац]Метиловый эфир 2-бутокси-3-(4-гидрокси-2-метилфенил)пропионовой кислоты По аналогии с процессом, описанным в примере 118а, (E,Z) метиловый эфир 3-(4-бензилокси-2-метилфенил)-2-бутоксиакриловой кислоты гидрировали в присутствии палладия на угле, получая [рац] метиловый эфир 2-бутокси-3-(4-гидрокси-2-метилфенил)пропионовой кислоты в виде желтой жидкости. МС: 284,4 (M+NH4)+. г) [рац]Метиловый эфир 2-бутокси-3-{2-метил-4-[4-метил-2-(4-трифторметилфенил)тиазол-5-илметокси]фенил}пропионовой кислоты По аналогии с процессом, описанным в примере 14б, [рац]метиловый эфир 2-бутокси-3-(4-гидрокси-2-метилфенил)пропионовой кислоты вводили в реакцию с 5-хлорметил-4-метил-2-(4-трифторметилфенил)тиазолом [РСТ Int. Appl. (2002), WO 0292590 A1] в присутствии карбоната цезия и йодида калия, получая [рац] метиловый эфир 2-бутокси-3-{2-метил-4-[4-метил-2-(4-трифторметилфенил)тиазол-5-илметокси] фенил}пропионовой кислоты в виде бесцветной жидкости. МС: 544,3 (M+Na)+; 522,2 (М+Н)+. д) [рац] 2-Бутокси-3-{2-метил-4-[4-метил-2-(4-трифторметилфенил)тиазол-5-илметокси]фенил}пропионовая кислота По аналогии с процессом, описанным в примере 10г, [рац]метиловый эфир 2-бутокси-3-{2-метил-4-[4-метил-2-(4-трифторметилфенил)тиазол-5-илметокси]фенил}пропионовой кислоты обрабатывали 1н. LiOH, получая [рац] 2-бутокси-3-{2-метил-4-[4-метил-2-(4-трифторметилфенил)тиазол-5-илметокси]фенил}пропионовую кислоту в виде желтого твердого вещества. МС: 506,2 (М-Н)–. Пример 132 а) Метиловый эфир 2-бутокси-3-(4-{циклопропил-[4-метил-2-(4-трифторметилфенил)тиазол-5-ил]метокси}-2-метилфенил)пропионовой кислоты (смесь двух диастереомерных рацематов) По аналогии с процессом, описанным в примере 10в, [рац]метиловый эфир 2-бутокси-3-(4-гидрокси-2-метилфенил)пропионовой кислоты вводили в реакцию с [рац]циклопропил-[4-метил-2-(4-трифторметилфенил)тиазол-5-ил]метанолом (пример 121а) в присутствии трибутилфосфина и N,N,N’,N’-тетраметилазодикарбоксамида, получая метиловый эфир 2-бутокси-3-(4-{циклопропил-[4-метил-2-(4-трифторметилфенил)тиазол-5-ил]метокси}-2-метилфенил)пропионовой кислоты (смесь двух диастереомерных рацематов) в виде желтой жидкости. МС: 584,5 (М+Na)+; 562,4 (М+Н)+; 370,4. б) 2-Бутокси-3-(4-{циклопропил-[4-метил-2-(4-трифторметилфенил)тиазол-5-ил]метокси}-2-метилфенил)пропионовая кислота (смесь двух диастереомерных рацематов) По аналогии с процессом, описанным в примере 10г, метиловый эфир 2-бутокси-3-(4-{циклопропил-[4-метил-2-(4-трифторметилфенил)тиазол-5-ил]метокси}-2-метилфенил)пропионовой кислоты (смесь двух диастереомерных рацематов) обрабатывали LiOH, получая 2-бутокси-3-(4-{циклопропил-[4-метил-2-(4-трифторметилфенил)тиазол-5-ил]метокси}-2-метилфенил)пропионовую кислоту (смесь двух диастереомерных рацематов) в виде желтой жидкости. МС: 546,3 (М-Н)–. Пример 133 [рац] 2-Этокси-3-(4-{2-[4-метил-2-(4-трифторметилфенил)тиазол-5-ил]этокси}-5,6,7,8-тетрагидронафтален-1-ил)пропионовая кислота По аналогии с процессом, описанным в примере 1г, [рац]метиловый эфир-2-этокси-3-(4-гидрокси-5,6,7,8-тетрагидронафтален-1-ил)-пропионовой кислоты (пример 2в) вводили в реакцию с 2-[4-метил-2-(4-трифторметилфенил)тиазол-5-ил]этанолом [РСТ Int. Appl. (2001), WO 01/00603 A1] в тетрагидрофуране в присутствии трифенилфосфина и DBAD (ди-трет-бутилазодикарбоксилат), получая [рац]метиловый эфир 2-этокси-3-(4-{2-[4-метил-2-(4-трифторметилфенил)тиазол-5-ил]этокси}-5,6,7,8-тетрагидронафтален-1-ил)пропионовой кислоты, который затем омыляли по аналогии с процессом, описанным в примере 1д, получая [рац] 2-этокси-3-(4-{2-[4-метил-2-(4-трифторметилфенил)тиазол-5-ил]этокси}-5,6,7,8-тетрагидронафтален-1-ил)пропионовую кислоту в виде бесцветного масла. МС: 532,3 (М-Н)–. Пример 134 [рац] 2-Этокси-3-{4-[4-метил-2-(4-трифторметилфенил)тиазол-5-илметокси]-5,6,7,8-тетрагидронафтален-1-ил}пропионовая кислота По аналогии с процессом, описанным в примере 14б, [рац]метиловый эфир 2-этокси-3-(4-гидрокси-5,6,7,8-тетрагидронафтален-1-ил)пропионовой кислоты (пример 2в) вводили в реакцию с 5-хлорметил-4-метил-2-(4-трихлорметилфенил)тиазолом [РСТ Int. Appl. (2001), WO 01/00603 A1] в N,N-диметилформамиде в присутствии карбоната цезия, получая [рац]метиловый эфир 2-этокси-3-{4-[4-метил-2-(4-трифторметилфенил)тиазол-5-илметокси]-5,6,7,8-тетрагидронафтален-1-ил}пропионовой кислоты, который далее омыляли по аналогии с процессом, описанным в примере 1д, получая [рац] 2-этокси-3-{4-[4-метил-2-(4-трифторметилфенил)тиазол-5-илметокси]-5,6,7,8-тетрагидронафтален-1-ил}пропионовую кислоту в виде бесцветного твердого вещества. МС: 518,3 (М-Н)–. Пример 135 [рац] 2-Этокси-3-{4-[2-(4-трифторметилфенил)тиазол-5-илметокси]-5,6,7,8-тетрагидронафтален-1-ил}пропионовая кислота По аналогии с процессом, описанным в примере 14б, [рац]метиловый эфир 2-этокси-3-(4-гидрокси-5,6,7,8-тетрагидронафтален-1-ил)пропионовой кислоты (пример 2в) вводили в реакцию с 5-хлорметил-2-(4-трихлорметилфенил)тиазолом (получен из [2-(4-трихлорметилфенил)тиазол-5-ил]метанола [РСТ Int. Appl. (2001), WO 01/00603 A1], метансульфонилхлорида и триэтиламина в дихлорметане) в N,N-диметилформамиде в присутствии карбоната цезия, получая [рац]метиловый эфир 2-этокси-3-{4-[2-(4-трифторметилфенил)тиазол-5-илметокси]-5,6,7,8-тетрагидронафтален-1-ил}пропионовой кислоты, который далее омыляли по методике, описанной в примере 1д, получая [рац] 2-этокси-3-{4-[2-(4-трифторметилфенил)тиазол-5-илметокси]-5,6,7,8-тетрагидронафтален-1-ил}пропионовую кислоту в виде светло-желтого твердого вещества. МС: 504,2 (М-Н)–. Пример 136 а) 4-[4-Метил-2-(4-трифторметилфенил)тиазол-5-илметокси]нафтален-1-карбальдегид 4-Гидроксинафтален-1-карбальдегид (0,50 г, 2,90 ммоль) растворяли в 12 мл ацетона, обрабатывали при 0°С 0,847 г 5-хлорметил-4-метил-2-(4-трифторметилфенил)тиазола (1,0 экв.) и 1,04 г Cs2СО3 (1,1 экв), и выдерживали смесь сначала 4 час при комнатной температуре, а затем 1 час при 35°С при перемешивании, пока ТСХ не подтверждала отсутствие исходного вещества. Основную часть растворителя удаляли в вакууме, остаток выливали в смесь толченый лед/AcOEt, органический слой промывали водой, сушили над сульфатом натрия и раствор выпаривали досуха. После флеш-хроматогафии (SiO2, гексан/AcOEt=7/3) получали 0,882 г целевого вещества в виде бесцветных кристаллов. МС: 427,3 (М)+. б) Этиловый эфир 3-гидрокси-2-метокси-3-{4-[4-метил-2-(4-трифторметилфенил)тиазол-5-илметокси]нафтален-1-ил}пропионовой кислоты Раствор LDA в ТГФ готовили в соответствии со стандартной методикой из 0,391 г диизопропиламина (3,86 ммоль) и 2,19 мл 1,6 М н-BuLi (гексан) в 15 мл абс. ТГФ при 10°С. После охлаждения до -75°С добавляли 0,415 г этилметоксиацетата (3,51 ммоль), растворенного в 1 мл ТГФ, и перемешивали в течение 30 мин до завершения образования енолята. Затем при -75°С добавляли приготовленный выше 4-[4-метил-2-(4-трифторметилфенил)тиазол-5-илметокси]нафтален-1-карбальдегид (0,500 г, 1,17 ммоль), растворенный в 8 мл ТГФ, и смесь выдерживали 30 мин при этой температуре. Выливали реакционную смесь в смесь толченый лед/NH4Cl, дважды экстрагировали AcOEt, промывали водой, высушивали над сульфатом натрия и выпаривали растворитель с последующей флеш-хроматографией остатка (SiO2, гексан/AcOEt=55/45), получая 0,64 г целевого вещества (син/анти-изомеры) в виде бесцветного масла. МС: 546,3 (М+Н)+. в) Этиловый эфир 2-метокси-3-{4-[4-метил-2-(4-трифторметилфенил)тиазол-5-илметокси]нафтален-1-ил}пропионовой кислоты Этиловый эфир 3-гидрокси-2-метокси-3-{4-[4-метил-2-(4-трифторметилфенил)тиазол-5-илметокси]нафтален-1-ил}пропионовой кислоты (0,64 г, 1,18 ммоль) растворяли в 5 мл трифторуксусной кислоты, обрабатывали при 0°С 1,87 мл триэтилсилана (10 экв) и выдерживали при 0°С в течение 3 час при интенсивном перемешивании до свидетельства по ТСХ об отсутствии исходного материала. После этого смесь выливали в смесь толченый лед/AcOEt/Na2СО3, органические слои промывали водой (рН водной фазы 8), сушили над сульфатом натрия и отгоняли растворитель досуха. После флеш-хроматографии (SiO2, гексан/AcOEt=8/2) получали 0,61 г целевого продукта в виде бесцветного масла. МС: 530,1 (М+Н)+. г) [рац] 2-Метокси-3-{4-[4-метил-2-(4-трифторметилфенил)тиазол-5-илметокси] нафтален-1-ил}пропионовая кислота Полученный выше этиловый эфир 2-метокси-3-{4-[4-метил-2-(4-трифторметилфенил)тиазол-5-илметокси]нафтален-1-ил}пропионовой кислоты (0,61 г, 1,15 ммоль) растворяли в 5 мл ТГФ/EtOH=1/1, обрабатывали 1,15 мл 2н. NaOH (2 экв) и выдерживали 1 час при комнатной температуре. После этого реакционную смесь выливали в смесь толченый лед/AcOEt/HCl разб., органический слой промывали водой, сушили над сульфатом натрия и выпаривали досуха. Кристаллизация из гексан/AcOEt приводила к получению 0,50 г целевого продукта в виде белых кристаллов с t пл 190-192°С. МС: 500,2 (М-Н)–. Пример 137 [рац] 2-Этокси-3-{4-[4-метил-2-(4-трифторметилфенил)тиазол-5-илметокси]нафтален-1-ил}пропионовая кислота Получена по аналогии с примером 136 при использовании в стадии б этилэтоксиацетата вместо этилметоксиацетата. Белые кристаллы с t пл 186-188°С. МС: 514,3 (М-Н)–. Пример 138 [рац] 2-Метокси-3-{4-[4-метил-2-(4-трифторметилфенил)тиазол-5-илметокси]бензо[b]тиофен-7-ил}пропионовая кислота Получена по аналогии с примером 136, но при использовании в стадии а 4-гидроксибензо[b]тиофен-7-карбальдегида вместо 4-гидроксинафтален-1-карбальдегида. Белые кристаллы с t пл 140-142°С (с разл.). МС: 506,2 (М-Н)–. Пример 139 [рац] 2-Этокси-3-{4-[4-метил-2-(4-трифторметилфенил)тиазол-5-илметокси]бензо[b]тиофен-7-ил}пропионовая кислота Получена по аналогии с примером 137, но при использовании в стадии а 4-гидроксибензо[b]тиофен-7-карбальдегида вместо 4-гидроксинафтален-1-карбальдегида. Белое твердое вещество с t пл 178-179°С. МС: 520,2 (М-Н)–. Пример 140 [рац] 2-Метокси-3-(4-{2-метил-1-[4-метил-2-(4-трифторметилфенил)тиазол-5-ил]пропокси}бензо[b]тиофен-7-ил)пропионовая кислота (смесь диастереомеров 1:1) Получена по аналогии с примером 138, но при использовании в стадии а 5-(1-хлор-2-метилпропил)-4-метил-2-(4-трифторметилфенил)тиазола (получен из [рац] 2-метил-1-[4-метил-2-(4-трифторметилфенил)тиазол-5-ил]пропан-1-ола [РСТ Int. Appl. (2002), WO 02/062774 A1] по аналогии с процессом, описанным в примере 104а) вместо 5-хлорметил-4-метил-2-(4-трифторметилфенил)тиазола. Бесцветное масло. МС: 548,2 (М-Н)–. Пример А Таблетки, содержащие следующие компоненты, могут быть изготовлены стандартным образом:
Пример Б Капсулы, содержащие следующие компоненты, могут быть изготовлены стандартным образом:
Пример В Растворы для инъекции могут иметь следующий состав:
Формула изобретения
1. Соединения формулы (I) в которых Х означает N, a Y означает S или Х означает S, а Y означает N; R1 означает фенил, который может быть необязательно замещен 1-3 заместителями, независимо выбранными из группы, включающей галоген, фторированный низший алкил, разветвленный или линейный низший алкил, низшую алкоксигруппу, фторзамещенную низшую алкоксигруппу и фенил; или гетероарил, представляющий собой бициклическую ароматическую группу, содержащую два 5- или 6-членных кольца, в которых одно или оба кольца содержат 1, 2 или 3 атома кислорода; R2 означает водород или низший алкил; R3, R4, R5 и R6 независимо друг от друга означают водород; низший алкенил; галоген; низший алкил; низшую алкоксигруппу; при этом по крайней мере один из заместителей R3, R4, R5 и R6 не является водородом, или R3 и R4 связаны друг с другом, образуя цикл вместе с атомами углерода, с которыми они связаны, и R3 и R4 вместе образуют -CH=CH-S-, -S-CH=CH-, -СН=СН-O-, -O-СН=СН-, -СН=СН-СН=СН-, -(СН2)3-5-, -O-(СН2)2-3– или -(CH2)2-3-О-, а R5 и R6 обозначают то, что указано выше; R7 означает низший алкил или низшую алкоксигруппу; R8 означает водород или низший алкил; R9 и R10 независимо друг от друга означают водород, низший алкил, низший алкенил, циклоалкил, фенил или [1,3]диоксан-2-этил; n означает 1, 2 или 3, и их фармацевтически приемлемые соли и/или фармацевтически приемлемые эфиры. 2. Соединения по п.1, в которых R7 означает низшую алкоксигруппу; R9 и R10 означают водород. 3. Соединения по п.1, в которых Х означает N, a Y означает S. 4. Соединения по п.1, в которых R1 означает фенил, который может быть необязательно замещен 1-3 заместителями, независимо выбранными из группы включающей галоген, фторированный низший алкил, разветвленный или линейный низший алкил, низшую алкоксигруппу, фторзамещенную низшую алкоксигруппу и фенил. 5. Соединения по п.1, в которых R1 означает фенил, необязательно замещенный 1-3 заместителями, независимо выбранных из группы, состоящей из низшего алкила, низшей алкоксигруппы, галогена и группы CF3. 6. Соединения по п.1, в которых R1 означает фенил, 4-изопропилфенил, 4-хлорфенил, 4-трифторметилфенил или 3,5-диметоксифенил. 7. Соединения по п.1, в которых R2 означает низший алкил или водород. 8. Соединения по п.1, в которых R2 означает метил или водород. 9. Соединения по п.1, в которых R3, R4, R5 и R6 независимо друг от друга означают водород, галоген, низший алкил или низшую алкоксигруппу; при этом один или два из заместителей R3, R4, R5 и R6 не означают водород, или R3 и R4 связаны друг с другом, образуя цикл вместе с атомами углерода, с которыми они связаны, и R3 и R4 вместе образуют -CH=CH-S-, -S-CH=CH-, -O-СН=СН-, -СН=СН-СН=СН-, -(CH2)3-5-, -O-(CH2)2-3-, а R5 и R6 обозначают водород. 10. Соединения по п.1, в которых один или два из заместителей R3, R4, R5 и R6 независимо друг от друга означают галоген, низший алкил или низшую алкоксигруппу, а другие означают водород. 11. Соединения по п.1, в которых R4 означает метил, a R3, R5 и R6 означают водород. 12. Соединения по п.1, в которых R5 и R6 означают водород; R3 и R4 связаны друг с другом, образуя цикл вместе с атомами углерода, с которыми они связаны, и R3 и R4 вместе образуют -CH=CH-S-, -S-CH=CH-, -(CH2)3-5-, -СН=СН-СН=CH-, -O-СН=СН- или -O-(CH2)2-3. 13. Соединения по п.1, в которых R5 и R6 означают водород; R3 и R4 связаны друг с другом, образуя цикл вместе с атомами углерода, с которыми они связаны, и R3 и R4 вместе образуют -CH=CH-S-, -(CH2)3-5– или -СН=СН-СН=СН-. 14. Соединения по п.1, в которых R7 означает этил, этокси- или изопропоксигруппу. 15. Соединения по п.1, в которых R8 означает водород. 16. Соединения по п.1, в которых n равно 1. 17. Соединения по п.1, в которых n равно 2. 18. Соединения по п.1, в которых n равно 3. 19. Соединения по п.1, в которых R9 и R10 независимо друг от друга означают водород, низший алкил или циклоалкил. 20. Соединения по п.1, в которых R9 и R10 означают водород. 21. Соединения по п.1, выбранные из следующей группы соединений: [рац] 2-Этокси-3-{4-[2-(5-метил-2-фенилтиазол-4-ил)этокси]бензо[b]тиофен-7-ил}пропионовая кислота, [рац] 2-Этокси-3-{4-[2-(4-изопропилфенил)тиазол-4-илметокси]-3-метилфенил}пропионовая кислота, [рац] 2-Этокси-3-{3-фтор-4-[2-(4-трифторметилфенил)тиазол-4-илметокси]фенил}пропионовая кислота, [рац] 2-Этокси-3-{2-метил-4-[2-(5-метил-2-фенилтиазол-4-ил)этокси]фенил}пропионовая кислота, [рац] 3-{4-[2-(4-Хлорфенил)тиазол-4-илметокси]-2-метилфенил}-2-этоксипропионовая кислота, (2S) 3-{4-[2-(4-Хлорфенил)тиазол-4-илметокси]-2-метилфенил}-2-этоксипропионовая кислота, (2S) 3-{2-Хлор-4-[2-(4-хлорфенил)тиазол-4-илметокси]фенил}-2-этоксипропионовая кислота, [рац] 2-Этокси-3-(3-фтор-4-{2-[2-(4-трифторметилфенил)тиазол-4-ил]этокси}фенил)пропионовая кислота, а также их фармацевтически приемлемые соли и/или фармацевтически приемлемые эфиры. 22. Соединения по п.1, выбранные из следующей группы соединений: [рац] 2-Этокси-3-(3-фтор-4-{3-[2-(4-изопропилфенил)тиазол-4-ил]пропокси}фенил)пропионовая кислота, [рац] 2-Этокси-3-{5-этокси-2-фтор-4-[2-(4-изопропилфенил)тиазол-4-илметокси]фенил}пропионовая кислота, [рац] 3-(4-{2-[2-(3,5-Диметоксифенил)-5-метилтиазол-4-ил]этокси}бензо[b]тиофен-7-ил)-2-изопропоксипропионовая кислота, (S)-3-{4-[2-(4-Хлорфенил)тиазол-4-илметокси]-2-фторфенил}-2-этоксипропионовая кислота, 2-Этокси-3-(2-метил-4-{1-[4-метил-2-(4-трифторметилфенил)тиазол-5-ил]этокси}фенил)пропионовая кислота, 2-Этокси-3-(2-метил-4-{2-метил-1-[4-метил-2-(4-трифторметилфенил)тиазол-5-ил]пропокси}фенил)пропионовая кислота, 2-(4-{Циклопропил-[4-метил-2-(4-трифторметилфенил)тиазол-5-ил]метокси}-2-метилбензил)масляная кислота, [рац] 2-Этокси-3-{4-[2-(4-трифторметилфенил)тиазол-5-илметокси]-5,6,7,8-тетрагидронафтален-1-ил}пропионовая кислота, [рац] 2-Этокси-3-{4-[4-метил-2-(4-трифторметилфенил)тиазол-5-илметокси]нафтален-1-ил}пропионовая кислота, а также их фармацевтически приемлемые соли и/или фармацевтически приемлемые эфиры. 23. Соединения по любому из пп.1-22, обладающие активностью агонистов PPAR 24. Соединения по любому из пп.1-22 для применения в качестве терапевтически активных веществ для лечения и/или предупреждения заболеваний, которые модулируются агонистами PPAR 25. Фармацевтические композиции, обладающие агонистической активностью в отношении PPAR 26. Применение соединений по любому из пп.1-22 для приготовления лекарственных средств для лечения и/или предупреждения заболеваний, которые модулируются агонистами PPAR 27. Применение п.26, где заболевание означает диабет, инсулиннезависимый сахарный диабет, повышенное кровяное давление, повышенный уровень липидов и холестерина, атеросклеротические заболевания, метаболический синдром, эндотелиальную дисфункцию, прокоагулянтное состояние, дислипидемию, синдром поликистоза яичников, воспалительные или пролиферативные заболевания.
|
||||||||||||||||||||||||||||||||||||||||||||||||||||||||||||||||||||||||||||||||||||||||||||||||

И PPAR 


(известные так же как PPAR
) и PPAR
) и розиглитазон (Avandia

.














