|
|
(21), (22) Заявка: 2005141021/04, 28.12.2005
(24) Дата начала отсчета срока действия патента:
28.12.2005
(46) Опубликовано: 10.04.2007
(56) Список документов, цитированных в отчете о поиске:
SU 860443 А, 07.04.1982. ЩЕПИНА Н.Е. и др., Ион-молекулярные реакции тритированных фенил-катионов с ароматическим и гетероциклическим атомом азота. Перспективы развития естественных наук в высшей школе: Труды международной научной конференции, Пермь: Изд-во Перм. гос. ун-та. 2001, с.79-80. SUZUKI A., Recent advances in the cross-coupling reactions
Адрес для переписки:
614990, г.Пермь, ул. Букирева, 15, ПГУ, пат. пов. А.А. Онорину
|
(72) Автор(ы):
Щепина Надежда Евгеньевна (RU), Аврорин Виктор Валентинович (RU), Бадун Геннадий Александрович (RU)
(73) Патентообладатель(и):
Федеральное государственное научное учреждение “Естественнонаучный институт” (RU)
|
(54) СПОСОБ ПОЛУЧЕНИЯ ФЕНИЛЗАМЕЩЕННЫХ ПРОИЗВОДНЫХ ПИРИДИНА, МЕЧЕННЫХ ТРИТИЕМ
(57) Реферат:
Настоящее изобретение относится к способу получения солей N-фенилпиколиниев и фенилзамещенных пиколинов, меченных тритием по фенильному кольцу, общей формулы: [CH3C5H4N+C6H5 *]BF4 – и CH3C6H5 *C5H3N. Способ заключается в том, что 2-, 3- и 4-пиколины подвергают арилированию свободными фенил-катионами, полученными при бета-распаде трития в составе двукратно меченного бензола, в присутствии тетрафторбората калия в замкнутой системе. Способ позволяет усовершенствовать метод синтеза меченого бензола и применять ион-молекулярные реакции третированных фенил-катионов для одновременного, простого и одностадийного синтеза меченных тритием солей N-фенилпиколиниев и фенилзамещенных пиколинов, которые могут быть использованы для изучения метаболизма биологически активных гетероциклических производных. 1 ил.
(56) (продолжение):
CLASS=”b560m”of organoboron derivatives with organic electrophiles, J. Organomet. Chem., 1999, v.576, p.147-168. US 3736140 A, 29.05.1973.
Настоящее изобретение относится к области химии, а именно к новому способу получения солей N-фенилпиколиниев и фенилзамещенных пиколинов, меченных тритием по фенильному кольцу, общей формулы:
[CH3C5H4N+C6H5 *]BF4 – и CH3C6H5 *C5H3N
Шестичленные азотсодержащие гетероциклические соединения, в частности производные пиридина, являются крайне важными объектами биологических исследований. 3-Метилпиридин (пиколин) является важным синтетическим предшественником пиридин-3-карбоновой кислоты (никотиновой кислоты) – представителя группы В. Амид никотиновой кислоты – структурный компонент коферментов никотинамидадениндинуклеотида (NAD+) (1, R=H) и никотинамидадениндинуклеотидфосфата (NADP+, R=PO(OH)2). Последний кофермент (один из комплекса витамина В2) входит в состав эритроцитов и принимает участие в важных биохимических процессах.

Другое широко распространенное в природе соединение пиридинового ряда – пиридоксин (витамин В6, 2, R=CH2OH) – содержится в дрожжах и зародышах пшеницы и имеет большое значение как добавка к пище. В группу соединений, объединенных общим тривиальным названием витамин В6, входят также пиридоксаль (R=CHO) и пиридоксамин (R=CH2NH2). Пиридоксаль-5-фосфат служит коферментом декарбоксилирования и трансаминирования -аминокислот.
Существует ряд других производных пиридина, распространенных в природе; наиболее известен из них алкалоид табака никотин. Среди пиридинов, используемых в качестве лекарственных препаратов, наиболее известны пироксикам, обладающий противовоспалительной активностью, нифедипин и амлодипин, применяемые для лечения стенокардии, а также пинацидил – препарат для лечения гипертонической болезни. Некоторые производные бипирицила эффективны как гербициды, среди них наиболее известны паракват и дикват. [Джилкрист Т. Химия гетероциклических соединений. М., 1996] Для изучения биологических процессов, протекающих с участием пиридинового кольца, а также для изучения метаболизма лекарственных веществ в организме крайне важным и перспективным является использование меченых соединений. Существенно, что из наиболее важных для химии и биохимии элементов – С, Н, О, N – только углерод и водород имеют долгоживущие изотопы, но при сравнении этих изотопов тритий имеет ряд существенных преимуществ перед органическими соединениями, меченными 14С. Сравнительно невысокая стоимость трития и третированных соединений (при одной и той же активности тритированные соединения во много раз дешевле соответствующих соединений с изотопом углерода), наименьшая радиоактивная опасность и биологическая токсичность при попадании трития внутрь организма – все это способствует широкому применению трития в качестве меченого атома при химических, биологических и медицинских исследованиях, а также стимулирует процесс поиска экспериментально простых способов получения весьма сложных и трудносинтезируемых соединений, меченных тритием.
К сожалению, даже неактивный синтез подобных производных пиридина представляет определенные трудности, поскольку прямое фенилирование данных соединений невозможно. Химический путь синтеза N-фенилзамещенных солей производных пиридина возможен путем конверсии пириллиевых солей, но последние являются стабильными только при наличии нескольких заместителей в орто- и пара-положениях, т.е. это не дает получения солей N-фенилпиколиниев [Dimroth К. Angew. Chem. 1960. V.72. Р.331]:

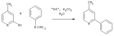
Фенилзамещенные пиколины могут быть получены лишь по специально разработанной методике реакции Судзуки [Suzuki A. J. Organomet. Chem., 1999. V.576. Р.147]:

Получение же меченых производных требует синтеза меченных тритием предшественников – пириллиевых солей и галогенпиколинов. Проведение сложных и многостадийных синтезов при наличии изотопной метки делает практически невозможным химический путь синтеза N-фенилпиколиниевых производных и фенилзамещенных пиколинов, меченных тритием по фенильному кольцу. Тритиевая метка в бензольном кольце является стабильной и фиксированной, что является крайне важным при биологических исследованиях.
Из патентной литературы известен ядерно-химический синтез труднодоступных элементоорганических соединений, меченных тритием (см авторское свидетельство СССР №542389, 1981 г.; Авторское свидетельство СССР №689196, 1978 г.; Авторское свидетельство СССР 860443, бюл. №13, 1982; Авторское свидетельство СССР №1217861, 1985 г.).
Наиболее близким по технической сущности к предлагаемому техническому решению является способ получения меченных тритием борфторидов фенилзамещенных ониевых соединений элементов V1а группы формулы I:

где Х – кислород, сера, селен или теллур, отличающийся тем, что гексатритийбензол подвергают взаимодействию с дифенильным производным формулы II:
,
где Х имеет вышеуказанные значения,
и борфторидом калия в замкнутой системе при температуре -196°С÷+25°С в течение 10-15 суток. (а.с. СССР №860443, МПК С07С 43/20, бюл. №13, 1982 г.)
Недостатками способа прототипа является невозможность синтеза фенилзамещенных производных пиридина, меченных тритием.
Задачей создания изобретения является разработка усовершенствованного метода синтеза меченого бензола и применение ион-молекулярных реакций третированных фенил-катионов для одновременного, простого и одностадийного синтеза меченных тритием солей N-фенилпиколиниев и фенилзамещенных пиколинов, которые могут быть использованы для изучения метаболизма биологически активных гетероциклических производных.
Поставленная задача решается описываемым новым способом получения новых меченных тритием солей N-фенилпиколиниев и фенилзамещенных пиколинов, заключающийся в том, что 2-, 3-, 4-пиколины подвергают арилированию свободными меченными тритием фенил-катионами, генерируемыми при бета-распаде трития в составе бензола.
Вышеперечисленные признаки позволяют получить технический результат – усовершенствование метода синтеза меченого бензола и применение ион-молекулярных реакций тритированных фенил-катионов для одновременного, простого и одностадийного синтеза меченных тритием солей N-фенилпиколиниев и фенилзамещенных пиколинов, которые могут быть использованы для изучения метаболизма биологически активных гетероциклических производных.
Указанные выше отличительные признаки, каждый в отдельности и все совместно, направлены на решение поставленной задачи и являются существенными.
Использование существенных отличительных признаков в известном уровне техники не обнаружено, следовательно, предлагаемое техническое решение соответствует критерию патентоспособности “новизна”.
Единая совокупность новых существенных признаков с общими, известными обеспечивает решение поставленной задачи, является не очевидным для специалистов в данной области техники и свидетельствует о соответствии заявленного технического решения критерию патентоспособности “изобретательский уровень”.
Изобретение поясняется описанием конкретного, но не ограничивающего его примера реализации.
Пример 1.
В вакуумной системе из 5 мг дибромбензола и 5 Ки трития в результате реакции гидрирования на катализаторе (5% Pd на BaSO4) в течение часа при комнатной температуре был получен двукратно меченный тритием бензол с удельной активностью порядка 4 Ки/мл.

Смесь тритированного бензола и 4-пиколина в мольном соотношении 1:5 была нанесена на кристаллы тетрафторобората калия, находящегося в стеклянной ампуле. Затем ампула была запаяна и выдерживалась не менее 15 суток при температуре -10°С (бензол находится в твердой фазе) для накопления продуктов ион-молекулярных взаимодействий. После накопления ампула вскрывалась, и непрореагировавший третированный бензол перемораживался в новую ампулу. В ампулу добавлялся ацетон, и раствор смеси продуктов, меченных тритием, подвергался разделению с помощью метода тонкослойной хроматографии. Хроматография проводилась на стеклянных пластинках Reverse Phase С 18 silica gel (Fluorescent Indicator) в ацетонитриле. Радиохроматограмма представлена на чертеже.
Формула изобретения
Способ получения солей N-фенилпиколиниев и фенилзамещенных пиколинов, меченных тритием по фенильному кольцу, общей формулы
[CH3C5H4N+C6H5 *]BF4 – и CH3C6H5 *C5H3N,
отличающийся тем, что 2-, 3- и 4-пиколины подвергают арилированию свободными фенил-катионами, полученными при бета-распаде трития в составе двукратно меченого бензола, в присутствии тетрафторобората калия в замкнутой системе.
РИСУНКИ
MM4A – Досрочное прекращение действия патента СССР или патента Российской Федерации на изобретение из-за неуплаты в установленный срок пошлины за поддержание патента в силе
Дата прекращения действия патента: 29.12.2007
Извещение опубликовано: 27.07.2009 БИ: 21/2009
|
|