Патент на изобретение №2296750
|
||||||||||||||||||||||||||
(54) ПРОИЗВОДНЫЕ ДОЛАСТАТИНА 10
(57) Реферат:
Изобретение относится к новым соединениям формулы (I) где R1, R2 и R3 каждый независимо означает водород или С1-С4алкил, R4 означает С1-С12алкил, необязательно содержащий от одного до трех заместителей, выбранных из группы, включающей гидрокси, C1-С12алкоксикарбонил, карбамоил; С2-С7алкенил; С6-С10арил, необязательно содержащий от одного до трех заместителей, выбранных из группы, включающей галоген, С1-С12алкил, С1-С12алкокси, гидрокси, С1-С12алкилкарбониламино, С6-С10арС1-С12алкил, в котором арильная группа необязательно содержит от одного до трех заместителей, выбранных из группы, включающей галоген, С1-С12алкил, С1-С12алкокси, гетероциклил С1-С12алкил; R5 означает гидрокси, С3-С7циклоалкиламино, необязательно замещенный фенилом; С6-С10ариламино; С6-С10арС1-С4алкиламино, необязательно содержащую от одного до трех заместителей, выбранных из группы, включающей сульфамоил, С1-С12алкил, С1-С12алкокси, гидрокси, гетероциклил или бензил; С1-С4алкокси, бензгидразино; гетероциклил, необязательно содержащий от одного до трех заместителей, выбранных из группы, включающей бензил, бензгидрил; гетероциклиламино; где гетероциклил означает насыщенный, ненасыщенный или ароматический одновалентный циклический радикал, содержащий от 1 до 3 гетероатомов, выбранных из N, О, S или их комбинации; n равно целому числу 0, 1 или 2. Соединения I проявляют антипролиферативную активность, что позволит использовать их в фармацевтической композиции. Описаны промежуточные соединения. 4 н. и 26 з.п. ф-лы, 1 табл.
Настоящее изобретение относится к новым соединениям, обладающим противоопухолевой активностью, применению этих соединений в медицине, фармацевтическим композициям, содержащим указанные соединения, а также к способу получения и промежуточным соединениям, используемым при получении указанных соединений. Известно, что микротрубочки являются главным компонентом веретена митотического аппарата эукариотических клеток, а также принимают участие во многих основных и существенных клеточных функциях. В течение ряда лет основное внимание привлекает компонент микротрубочек тубулин, который является удобной молекулярной моделью для противоопухолевой терапии (Ехр. Opin. Ther. Patents, 9(8), 1069-1081 (1999). Действительно, ингибиторы тубулина, такие как таксаны и алкалоиды из барвинка, в настоящее время используются в качестве важных противоопухолевых средств для лечения различных типов солидных опухолей. Однако их эффективность носит ограниченный характер, поскольку указанные ингибиторы не обладают селективным действием на опухоли и вместе с тем характеризуются достаточно высокой токсичностью, такой, как миелотоксичность (угнетение костного мозга). Известно, что эффективным антимитотическим пептидом является доластатин 10, выделенный из морского молюска Dolabella auricularia. Указанный пептид ингибирует полимеризацию тубулина и относится к классу соединений, отличающихся по химической структуре от таксанов и алкалоидов из барвинка (Curr. Pharm. Des., 5, 139-162 (1999)). Доклинические испытания доластатина 10 показали, что он проявляет активность в отношении ряда опухолей мыши и человека, которую определяли в культуре клеток и на моделях животных. В настоящее время доластатин 10 и два синтетических производных доластатина, цемадотин и TZT-1027 (Drugs of the future, 24(4), 404-409 (1999)), проходят фазу I и фазу II клинических испытаний. Этот новый класс противоопухолевых агентов представляет собой новый класс химических соединений для клинической терапии в ближайшем будущем, однако эти агенты все еще обладают недостатками в отношении безопасности, такими как миелотоксичность, нейротоксичность и некоторые другие побочные действия. Неожиданно было установлено, что некоторые производные доластатина 10, содержащие различные тиогруппы в фрагменте долапроина, обладают значительно более высокой противоопухолевой активностью и терапевтическим индексом в экпериментах на моделях опухоли ксенотрансплантата человека. Следовательно, настоящее изобретение относится к новым соединениям формулы I, обладающим противоопухолевой активностью где R1, R2 и R3 каждый независимо означает водород или С1-С4алкил, R4 означает водород; алкил, необязательно содержащий от одного до трех заместителей, выбранных из группы, включающей гидрокси, алкокси, амино, моно- или диалкиламино, карбокси, алкоксикарбонил, карбамоил, алкилкарбонилокси, карбамоилокси или галоген, алкенил, алкинил, С3-С7циклоалкил, арил, необязательно содержащий от одного до трех заместителей, выбранных из группы, включающей галоген, алкоксикарбонил, сульфамоил, алкилкарбонилокси, циано, моно- или диалкиламино, алкил, алкокси, фенил, фенокси, трифторметил, трифторметокси, алкилтио, гидрокси, алкилкарбониламино, гетероциклил, 1,3-диоксолил, 1,4-диоксолил, амино или бензил, аралкил, в котором арильная группа необязательно содержит от одного до трех заместителей, выбранных из группы, включающей галоген, алкоксикарбонил, карбамоил, сульфамоил, алкилкарбонилокси, циано, моно- или диалкиламино, алкил, алкокси, фенил, фенокси, трифторметил, трифторметокси, алкилтио, гидрокси, алкилкарбониламино, гетероциклил, 1,3-диоксолил, 1,4-диоксолил, амино или бензил; или гетероциклилалкил, R5 означает C1-С6алкиламино, гидрокси, С3-С7циклоалкиламино, необязательно замещенный фенилом или бензилом, ариламино; аралкиламино, содержащий С1-С4алкиленовую и арильную группу, необязательно содержащую от одного до трех заместителей, выбранных из группы, включающей галоген, алкоксикарбонил, сульфамоил, алкилкарбонилокси, карбамоилокси, циано, моно- или диалкиламино, алкил, алкокси, фенил, фенокси, трифторметил, трифторметокси, алкилтио, гидрокси, алкилкарбониламино, гетероциклил, 1,3-диоксолил, 1,4-диоксолил, амино или бензил; С1-С4алкокси, бензгидразино; гетероциклил, необязательно содержащий от одного до трех заместителей, выбранных из группы, включающей бензил, бензгидрил, алкил, гидрокси, алкокси, алкилкарбамоилокси, амино, моно- или диалкиламино, ациламино, алкоксикарбониламино, фенил или галоген; гетероциклиламино; гетероциклоалкиламино, в котором группа гетероциклил необязательно содержит от одного до трех заместителей, выбранных из группы, включающей бензил, бензгидрил, алкил, гидрокси, алкокси, алкилкарбамоилокси, амино, диалкиламино, ациламино, алкоксикарбониламино или галоген; аралкилокси и аралкил, оба необязательно содержащие от одного до трех заместителей, выбранных из группы, включающей галоген, алкоксикарбонил, сульфамоил, алкилкарбонилокси, циано, моно- или диалкиламино, алкил, алкокси, фенил, фенокси, трифторметил, трифторметокси, алкилтио, гидрокси, алкилкарбониламино, гетероциклил, 1,3-диоксолил, 1,4-диоксолил, амино, аминосульфонил или бензил; а n равно целому числу 0, 1 или 2, и к их фармацевтически приемлемым солям. Указанные соединения обладают противоопухолевой активностью и используются для лечения злокачественных заболеваний, прежде всего колоректального рака, рака легких, рака молочной железы, рака желудка, рака шейки матки и рака мочевого пузыря. Если не указано иное, термины, используемые в описании заявки для иллюстрации и определения объема и сущности изобретения, имеют следующие значения. Термин “алкил”, используемый в описании заявки отдельно или в комбинации, означает углеводородную группу с прямой или разветвленной цепью, содержащую максимум 12, предпочтительно максимум 6 атомов углерода, например метил, этил, н-пропил, 2-метилпропил (изобутил), 1-метилэтил (изопропил), н-бутил и 1,1-диметилэтил (трет-бутил), и более предпочтительно максимум 4 атома углерода. Алкильная группа является незамещенной или замещенной одним или более заместителями, предпочтительно содержит от одного до трех заместителей, более предпочтительно один заместитель. Заместители выбирают из группы, включающей гидрокси, алкокси, амино, моно- или диалкиламино, ацетокси, алкилкарбонилокси, алкоксикарбонил, карбамоилокси, карбамоил и галоген. Термин “алкенил”, используемый в описании заявки отдельно или в комбинации, означает углеводородную цепь, указанную для алкильной группы, содержащую по меньшей мере одну олефиновую двойную связь (включая, например, винил, аллил и бутенил), общей формулы СmН2m-1, где m означает целое число более 2, предпочтительно m означает целое число от 2 до 7. Термин “алкинил” означает углеводородную цепь, указанную для алкильной группы, содержащую по меньшей мере одну тройную связь (включая, например, пропинил, бутин-1-ил и т.п.), общей формулы СmН2m-2, где m означает целое число более 2, предпочтительно m означает целое число от 2 до 7. Термин “С3-С7циклоалкил” означает насыщенную циклическую углеводородную группу, содержащую 3-7 атомов углерода, например циклопропил, циклобутил, циклопентил и циклогексил и т.п. Циклоалкильная группа является незамещенной или замещенной одним или более заместителями, предпочтительно содержит от одного до трех заместителей, более предпочтительно один заместитель. Заместители выбирают из ряда алкил, фенил, амино, гидрокси или галоген, предпочтительно фенил. Термин “алкилен” означает бирадикал разветвленной или неразветвленной углеводородной цепи, содержащий от 1 до 4 атомов углерода, такой как метилен (-СН2-), этилен, пропилен, изопропилен и бутилен. Термин “арил” означает ароматический карбоциклический радикал, т.е. 6- или 10-членный ароматический или частично ароматический цикл, например фенил (т.е. Ph), нафтил или тетрагидронафтил, предпочтительно фенил или нафтил, наиболее предпочтительно фенил. Арильный фрагмент необязательно замещен одним или более заместителями, предпочтительно содержит от одного до трех заместителей, наиболее предпочтительно один заместитель, выбранный из группы, включающей галоген, предпочтительно фтор, хлор, алкоксикарбонил (например, метоксикарбонил), алкилкарбонилокси (например, ацетокси), циано, алкил, алкокси, фенил, фенокси, трифторметил, трифторметокси, алкилтио, гидрокси, карбамоилокси, алкилкарбониламино, гетероциклил, сульфамоил (т.е. H2NSO2-), амино, 1,3-диоксолил и 1,4-диоксолил. Предпочтительными заместителями прежде всего являются алкил, алкокси, гидрокси, галоген, амино, алкиламино, диалкиламино, алкилтио, сульфамоил, бензил или гетероциклил. Термин “аралкил” означает арильную группу, имеющую значения, указанные выше, связанную с алкиленовой группой, указанной выше. Арильная группа в составе аралкила может быть замещенной одним или более заместителями, предпочтительно содержит от одного до трех заместителей, более предпочтительно от одного до двух, наиболее предпочтительно один заместитель, выбранный из ряда галоген, предпочтительно фтор, хлор, алкоксикарбонил (например, метоксикарбонил), алкилкарбонилокси (например, ацетокси), циано, алкил, алкокси, фенил, фенокси, трифторметил, трифторметокси, алкилтио, гидрокси, карбамоилокси, алкилкарбониламино, гетероциклил, сульфамоил, амино, 1,3-диоксолил и 1,4-диоксолил. Предпочтительными заместителями прежде всего являются аралкил, алкокси, гидрокси, галоген, амино, моно- или диалкиламино или алкилтио. Термин “гетероциклил” означает насыщенный, ненасыщенный или ароматический одновалентный циклический радикал, содержащий от 1 до 3 гетероатомов, выбранных из ряда азот, кислород или сера или их комбинации. Примеры группы гетероциклил включают фурил, пиперидин (предпочтительно пиперидин-1-ил, пиперидин-4-ил), пиперазин (предпочтительно пиперазин-1-ил), пиридин, тиофен, тиадиазол, тиазол, бензтиазол, имидазол, тетрагидроизохинолин и т.п. Гетероциклил может быть замещен одним или более заместителями, предпочтительно содержит от одного до трех заместителей, более предпочтительно от одного до двух, наиболее предпочтительно один заместитель, выбранный из группы, включающей бензил, бензгидрил, алкил, гидрокси, алкокси, алкилкарбамоилокси, амино, диалкиламино, ациламино, алкоксикарбониламино и галоген. Термин “гетероциклиламино” означает гетероциклическую группу, указанную выше, присоединенную через аминорадикал, т.е. гетероциклил -NH-. Термин “гетероциклилалкиламино” означает гетероциклическую группу, указанную выше, присоединенную через алкиленовую группу, указанную выше, к аминорадикалу, т.е. гетероциклилалкилен-NH-. Гетероциклиламино может быть замещен одним или более заместителями, предпочтительно содержит от одного до трех заместителей, более предпочтительно от одного до двух, наиболее предпочтительно один заместитель, выбранный из группы, включающей бензил, бензгидрил, алкил, гидрокси, алкокси, алкилкарбамоилокси, амино, моно- или диалкиламино, ациламино, алкоксикарбониламино и галоген. Предпочтительными заместителями прежде всего являются алкил, гидрокси, алкилкарбамоилокси, амино, диалкиламино, ациламино, алкилкарбониламино или галоген. Термин “амино” означает группу -NH2 и включает аминогруппы, которые кроме того замещены группой (группами) (низш.)алкил, или содержат защитные группы, известные в данной области техники, такие как бензоксикарбонил, ацетил, алкоксикарбонил или бензил и т.п. Термин “циклоалкиламино” означает циклоалкильную группу, указанную выше, присоединенную к основному фрагменту молекулы через аминорадикал, такую как циклопропил, циклобутил, циклопентил и циклогексил и т.п. Циклоалкиламиногруппа может быть незамещенной или замещенной одним или более заместителями, предпочтительно содержит от одного до трех заместителей, более предпочтительно от одного до двух, наиболее предпочтительно один заместитель. Предпочтительными заместителями являются фенил или бензил. Термин “ариламино” означает арильную группу, указанную выше, присоединенную к основному фрагменту молекулы через аминорадикал, т.е. арил-NH-. Термин “аралкиламино” означает арильную группу, указанную выше, присоединенную к основному фрагменту молекулы через алкиленаминорадикал, т.е. аралкил-NH-. Аралкиламиногруппа необязательно может быть замещена (низш.)алкилом, предпочтительно метилом, т.е. может означать аралкил-NCH3. Термин “ацетокси” означает -O-ОС-СН3. Термин “карбамоил” означает -CO-NH2, а карбамоилокси означает -O-СО-NH. Термин “алкилкарбамоилокси” означает алкильную группу, указанную выше, присоединенную к основному фрагменту молекулы через карбамоилоксирадикал, т.е. -O-CO-NH-алкил. Термин “алкилкарбонилокси” означает алкильную группу, указанную выше, присоединенную к основному фрагменту молекулы через карбонилоксирадикал, т.е. -O-СО-алкил. Термин “алкокси” означает группу R’-O-, где R’ означает указанную выше алкильную группу. Термин “аралкилокси” означает группу Y-O-, где Y означает указанную выше аралкильную группу. Термин “алкилтио” означает группу R-S-, где R означает указанную выше алкильную группу. Термин “галоген” означает фтор, бром, иод и хлор. Термин “необязательно замещенный”, используемый в описании, означает, что замещение может произойти по одному или более положений, предпочтительно по одному-трем положениям, и, если не указано иное, заместители независимо выбирают из указанных значений. “Фармацевтически приемлемая соль” означает обычные кислотно-аддитивные соли или основно-аддитивные соли, которые обладают биологической активностью и свойствами соединений формулы I, и которые получают из соответствующих нетоксичных органических и неорганических кислот или органических или неорганических оснований. Примеры кислотно-аддитивных солей включают соли неорганических кислот, таких как хлористо-водородная кислота, бромисто-водородная кислота, иодисто-водородная кислота, серная кислота, сульфаминовая кислота, фосфорная кислота и азотная кислота, а также соли органических кислот, таких, как пара-толуолсульфокислота, салициловая кислота, метансульфокислота, щавелевая кислота, янтарная кислота, лимонная кислота, яблочная кислота, молочная кислота, фумаровая кислота и т.п. Примеры основно-аддитивных солей включают соли калия, натрия, аммония и гидроксида четвертичного аммония, такого, например, как гидроксид тетраметиламмония. “Фармацевтически приемлемый”, например фармацевтически приемлемый носитель, эксципиент, пролекарство и т.п., означает фармакологически приемлемый и практически нетоксичный в отношении субъекта, которому вводят указанное соединение. “Фармацевтически активный метаболит” означает метаболический продукт соединения формулы I, который является фармацевтически приемлемым и эффективным. Изобретение также относится к пролекарствам описанных выше соединений. Термин “пролекарство” означает соединение, которое может превращаться в физиологических условиях или за счет сольволиза в любое соединение формулы I или в фармацевтически приемлемую соль соединения формулы I. Пролекарство может быть неактивным при введении субъекту, но in vivo превращается в активное соединение формулы I. Настоящее изобретение предпочтительно относится к соединениям указанной выше формулы (I), где R4 означает водород, алкил, необязательно содержащий от одного до трех заместителей, выбранных из группы, включающей гидрокси, амино, моно- или диалкиламино, карбамоил, карбамоилокси, ацетокси и карбокси, алкенил, алкинил, С3-С7циклоалкил, арил, необязательно содержащий от одного до трех заместителей, выбранных из группы, включающей алкил, алкокси, гидрокси, галоген, амино, моно- или диалкиламино, алкилтио и алкилкарбониламино, аралкил, в котором арильная группа необязательно содержит от одного до трех заместителей, выбранных из группы, включающей алкил, алкокси, гидрокси, галоген, амино, моно- или диалкиламино или алкилтио, или гетероциклилалкил. Более предпочтительно настоящее изобретение относится к соединениям указанной выше формулы (I), где R4 означает фенил, метил, трет-бутил, 4-трет-бутилфенил, 4-метоксифенил, 2-аминоэтил, 2-диметиламиноэтил, ZHNCH2CH2– (“Z” означает бензилоксикарбонил), 4-метилтиофенил, циклогексил, 2-, 3-, или 4-гидроксифенил, 4-ацетоаминофенил, 4-фторфенил, этил, изопропил, бензил, 2-ацетоксиэтил, этилкарбамоилоксиэтил, диэтилкарбамоилметил, фенилэтил, аллил, н-пентил, 2-нафтил, 4-фторбензил, 2-фурилметил или 2-гидроксиэтил. Наиболее предпочтительно настоящее изобретение относится к соединениям указанной выше формулы (I), где R4 означает фенил, 4-гидроксифенил (R), 4-ацетоаминофенил, трет-бутил (R), этил, изопропил, трет-бутил, бензил, 3-гидроксифенил, 2-гидроксифенил, 2-ацетоксиэтил, аллил, н-пентил, 2-гидроксиэтил или метил. Предпочтительно настоящее изобретение относится к соединениям указанной выше формулы (I), где R5 означает C1-С6алкиламино, гидрокси, С3-С7циклоалкиламино, необязательно замещенный фенилом или бензилом, ариламино, аралкиламино, содержащим С1-С4алкиленовую и арильную группу, необязательно содержащую от одного до трех заместителей, выбранных из группы, включающей H2NSO2-, гидрокси, алкил, бензил, алкокси, карбамоилокси или гетероциклил; С1-С4алкокси, бензгидразино, гетероциклил, необязательно замещенный бензиломи или бензгидрилом; гетероциклиламино, гетероциклоалкиламино, в котором гетероциклил необязательно содержит от одного до трех заместителей, выбранных из группы, включающей алкил, гидрокси, алкокси, алкилкарбамоилокси, амино, диалкиламино, ациламино, алкоксикарбониламино или галоген; или аралкокси и аралкил оба необязательно содержат от одного до трех заместителей, выбранных из группы, включающей галоген, алкоксикарбонил, сульфамоил, алкилкарбонилокси, циано, моно- или диалкиламино, алкил, алкокси, фенил, фенокси, трифторметил, трифторметокси, алкилтио, гидрокси, алкилкарбониламино, гетероциклил, 1,3-диоксолил, 1,4-диоксолил, амино, аминосульфонил и бензил. Более предпочтительно настоящее изобретение относится к соединениям указанной выше формулы (I), где R5 означает фенилэтиламино, фенилэтокси, бензилокси, 2-нафтилметиламино, бензилпиперазино, 1,2,3,4-тетрагидроизохинолино, трет-бутокси, гидрокси, 4-H2NSO2PhCH2CH2, 2-, 3- или 4-гидроксифенилэтиламино, 2-, 3- или 4-гидроксифенилэтил-N-метиламино, N-бензилфенетиламино, 4-трет-бутилбензиламино, бензиламино, N-метилфенетиламино, 4-бензгидрилпиперазино, 2-фенилциклопропиламино, тиенилэтиламино, 2-пиридилэтиламино, 5-этилпиразол, 4,3-диметоксифенилэтиламино, бензилгидразино, бензотиазол-2-илметиламино, 2-пиридин-4-иламино, 3,4-диметоксифенилэтилметиламино, бензотиазол-2-илметиламино, 2-пиридин-3-илэтиламино, пиридин-4-илметиламино, тиазол-2-иламино, нафталин-2-иламино, 4-хлорфенилэтиламино, 4-метоксифенилэтиламино, 4-(1,2,3)тиадиазол-4-илбензиламино, 2-циклогексиламино или 1-бензилпиперидин-4-иламино. Наиболее предпочтительно настоящее изобретение относится к соединениям указанной выше формулы (I), где R5 означает фенилэтиламино, 4,3-диметоксифенилэтиламино, тиенилэтиламино, 2-пиридилэтиламино, 4-гидроксифенилэтиламино, N-метилфенетиламино, 2-гидроксифенилэтиламино, 3-гидроксифенилэтиламино, 2-гидроксифенилэтил-N-метиламино, 3-гидроксифенилэтил-N-метиламино, 4-гидроксифенилэтил-N-метиламино или бензилгидразино. Предпочтительные соединения включают соединения формулы (I), где R1 и R2 означают метил, R3 означает водород, а n равно 0. Примерами таких соединений являются: а) N-[1-({1-втор-бутил-2-метокси-4-оксо-4-[2-(2-фенетилкарбамоил-1-фенилсульфанилэтил)пирролидин-1-ил]бутил}метилкарбамоил)-2-метилпропил]-2-диметиламино-3-метилбутирамид, б) N-[1-({1-втор-бутил-2-метокси-4-[2-(1-метилсульфанил-2-фенетилкарбамоилэтил)пирролидин-1-ил]-4-оксобутил}метилкарбамоил)-2-метилпропил]-2-диметиламино-3-метилбутирамид, в) N-[1-({1-втор-бутил-4-[2-(1-(S)-трет-бутилсульфанил-2-фенетилкарбамоилэтил)пирролидин-1-ил]-2-метокси-4-оксобутил}метилкарбамоил)-2-метилпропил]-2-диметиламино-3-метилбутирамид, г) N-{1-[(1-втор-бутил-4-{2-[1-(4-трет-бутилфенилсульфанил)-2-фенетилкарбамоилэтил]пирролидин-1-ил}-2-метокси-4-оксобутил)метилкарбамоил]-2-метилпропил}-2-диметиламино-3-метилбутирамид, д) N-{1-[(1-втор-бутил-2-метокси-4-{2-[1-(4-метоксифенилсульфанил)-2-фенетилкарбамоилэтил]пирролидин-1-ил}-4-оксобутил)метилкарбамоил]-2-метилпропил}-2-диметиламино-3-метилбутирамид, е) фенетиловый эфир 3-[1-(4-{[2-(2-диметиламино-3-метилбутириламино)-3-метилбутирил]метиламино}-3-метокси-5-метилгептаноил)пирролидин-2-ил]-3-метилсульфанилпропионовой кислоты, ж) бензиловый эфир 3-[1-(4-{[2-(2-диметиламино-3-метилбутириламино)-3-метилбутирил]метиламино}-3-метокси-5-метилгептаноил)пирролидин-2-ил]-3-метилсульфанилпропионовой кислоты з) N-(1-{[1-втор-бутил-2-метокси-4-(2-{1-метилсульфанил-2- [(нафталин-2-илметил)карбамоил]этил}пирролидин-1-ил)-4-оксобутил]метилкарбамоил}-2-метилпропил)-2-диметиламино-3-метилбутирамид, и) N-{1-[(4-{2-[1-(2-аминоэтилсульфанил)-2-фенетилкарбамоилэтил]пирролидин-1-ил}-1-втор-бутил-2-метокси-4-оксобутил)метилкарбамоил]-2-метилпропил}-2-диметиламино-3-метилбутирамид, к) N-{1-[(4-{2-[3-(4-бензилпиперазин-1-ил)-1-метилсульфанил-3-оксопропил]пирролидин-1-ил}-1-втор-бутил-2-метокси-4-оксобутил)метилкарбамоил]-2-метилпропил}-2-диметиламино-3-метилбутирамид, л) N-{1-[(1-втор-бутил-4-{2-[3-(3,4-дигидро-1Н-изохинолин-2-ил)-1-метилсульфанил-3-оксопропил]пирролидин-1-ил}-2-метокси-4-оксобутил)метилкарбамоил]-2-метилпропил}-2-диметиламино-3-метилбутирамид, м) N-{1-[(1-втор-бутил-4-{2-[1-(2-диметиламиноэтилсульфанил)-2-фенетилкарбамоилэтил]пирролидин-1-ил}-2-метокси-4-оксобутил)метилкарбамоил]-2-метилпропил}-2-диметиламино-3-метилбутирамид, н) бензиловый эфир (2-{1-[1-(4-{[2-(2-диметиламино-3-метилбутириламино)-3-метилбутирил]метиламино}-3-метокси-5-метилгептаноил)пирролидин-2-ил]-2-фенетилкарбамоилэтилсульфанил}этил)карбаминовой кислоты, о) N-{1-[(1-втор-бутил-2-метокси-4-{2-[1-(4-метилсульфанилфенилсульфанил)-2-фенетилкарбамоилэтил]пирролидин-1-ил}-4-оксобутил)метилкарбамоил]-2-метилпропил}-2-диметиламино-3-метилбутирамид, п) N-[1-({1-втор-бутил-4-[2-(1-циклогексилсульфанил-2-фенетилкарбамоил-этил)пирролидин-1-ил]-2-метокси-4-оксобутил}метилкарбамоил)-2-метилпропил]-2-диметиламино-3-метилбутирамид, р) N-{1-[(1-втор-бутил-4-{2-[1-(S)-(4-гидроксифенилсульфанил)-2-фенетилкарбамоилэтил]пирролидин-1-ил}-2-метокси-4-оксобутил)метилкарбамоил]-2-метилпропил}-2-диметиламино-3-метилбутирамид, с) N-{1-[(1-втор-бутил-4-{2-[1-(R)-(4-гидроксифенилсульфанил)-2-фенетилкарбамоилэтил]пирролидин-1-ил}-2-метокси-4-оксобутил)метилкарбамоил]-2-метилпропил}-2-диметиламино-3-метилбутирамид, т) N-{1-[(4-{2-[1-(4-ацетиламинофенилсульфанил)-2-фенетилкарбамоилэтил]пирролидин-1-ил}-1-втор-бутил-2-метокси-4-оксобутил)метилкарбамоил]-2-метилпропил}-2-диметиламино-3-метилбутирамид, у) N-{1-[(1-втор-бутил-4-{2-[1-(4-фторфенилсульфанил)-2-фенетилкарбамоилэтил]пирролидин-1-ил}-2-метокси-4-оксобутил)метилкарбамоил]-2-метилпропил}-2-диметиламино-3-метилбутирамид, ф) N-[1-[{1-втор-бутил-4-[2-(1-(R)-трет-бутилсульфанил-2-фенетилкарбамоилэтил)пирролидин-1-ил]-2-метокси-4-оксобутил}метилкарбамоил)-2-метилпропил]-2-диметиламино-3-метилбутирамид, х) N-[1-({1-втор-бутил-4-[2-(1-этилсульфанил-2-фенетилкарбамоилэтил)пирролидин-1-ил]-2-метокси-4-оксобутил}метилкарбамоил)-2-метилпропил]-2-диметиламино-3-метилбутирамид, ц) N-[1-({1-втор-бутил-4-[2-(1-изопропилсульфанил-2-фенетилкарбамоилэтил)пирролидин-1-ил]-2-метокси-4-оксобутил}метилкарбамоил)-2-метилпропил]-2-диметиламино-3-метилбутирамид, ч) N-[1-({1-втор-бутил-4-[2-(1-трет-бутилсульфанил-2-фенетилкарбамоилэтил)пирролидин-1-ил]-2-метокси-4-оксобутил}метилкарбамоил)-2-метилпропил]-2-диметиламино-3-метилбутирамид, ш) N-[1-({4-[2-(1-бензилсульфанил-2-фенетилкарбамоилэтил)пирролидин-1-ил]-1-втор-бутил-2-метокси-4-оксобутил}метилкарбамоил)-2-метилпропил]-2-диметиламино-3-метилбутирамид, щ) N-{1-[(1-втор-бутил-4-{2-[1-(2-гидроксифенилсульфанил)-2-фенетилкарбамоилэтил]пирролидин-1-ил}-2-метокси-4-оксобутил)метилкарбамоил]-2-метилпропил}-2-диметиламино-3-метилбутирамид, э) N-{1-[(1-втор-бутил-4-{2-[1-(3-гидроксифенилсульфанил)-2-фенетилкарбамоилэтил]пирролидин-1-ил}-2-метокси-4-оксобутил)метилкарбамоил]-2-метилпропил}-2-диметиламино-3-метилбутирамид, ю) N-{1-[(1-втор-бутил-4-{2-[1-(2-гидроксиэтилсульфанил)-2-фенетилкарбамоилэтил]пирролидин-1-ил}-2-метокси-4-оксобутил)метилкарбамоил]-2-метилпропил}-2-диметиламино-3-метилбутирамид, я) 2-{1-[1-(4-{[2-(2-диметиламино-3-метилбутириламино)-3-метилбутирил]метиламино}-3-метокси-5-метилгептаноил)пирролидин-2-ил]-2-фенетилкарбамоилэтилсульфанил}этиловый эфир уксусной кислоты, аа) трет-бутиловый эфир 3-[1-(4-{[2-(2-диметиламино-3-метилбутириламино)-3-метилбутирил]метиламино}-3-метокси-5-метилгептаноил)пирролидин-2-ил]-3-метилсульфанилпропионовой кислоты, бб) 3-[1-(4-{[2-(2-диметиламино-3-метилбутириламино)-3-метилбутирил]метиламино}-3-метокси-5-метилгептаноил)пирролидин-2-ил]-3-метилсульфанилпропионовая кислота, вв) N-(1-{[1-втор-бутил-2-метокси-4-(2-{1-метилсульфанил-2-[2-(4-сульфамоилфенил)этилкарбамоил]этил}пирролидин-1-ил)-4-оксобутил]метилкарбамоил}-2-метилпропил)-2-диметиламино-3-метилбутирамид, гг) N-(1-{[1-втор-бутил-4-(2-{2-[2-(4-гидроксифенил)этилкарбамоил]-1-метилсульфанилэтил} пирролидин-1-ил)-2-метокси-4-оксобутил]метилкарбамоил}-2-метилпропил)-2-диметиламино-3-метилбутирамид, дд) N-{1-[(1-втор-бутил-2-метокси-4-{2-[2-(метилфенетилкарбамоил)-1-метилсульфанилэтил]пирролидин-1-ил}-4-оксобутил)метилкарбамоил]-2-метилпропил}-2-диметиламино-3-метилбутирамид, ее) N-{1-[(4-{2-[3-(4-бензгидрилпиперазин-1-ил)-1-метилсульфанил-3-оксопропил]пирролидин-1-ил}-1-втор-бутил-2-метокси-4-оксобутил)метилкарбамоил]-2-метилпропил}-2-диметиламино-3-метилбутирамид, жж) N-(1-{[1-втор-бутил-4-(2-{2-[2-(2-гидроксифенил)этилкарбамоил]-1-метилсульфанилэтил} пирролидин-1-ил)-2-метокси-4-оксобутил]метилкарбамоил}-2-метилпропил)-2-диметиламино-3-метилбутирамид, зз) N-(1-{[1-втор-бутил-4-(2-{2-[2-(3-гидроксифенил)этилкарбамоил]-1-метилсульфанилэтил}пирролидин-1-ил)-2-метокси-4-оксобутил]метилкарбамоил}-2-метилпропил)-2-диметиламино-3-метилбутирамид, ии) N-{1-[(4-{2-[2-(бензилфенетилкарбамоил)-1-метилсульфанилэтил]пирролидин-1-ил}-1-втор-бутил-2-метокси-4-оксобутил)метилкарбамоил]-2-метилпропил}-2-диметиламино-3-метилбутирамид, кк) N-{1-[(1-втор-бутил-2-метокси-4-{2-[1-метилсульфанил-2-(2-фенилциклопропилкарбамоил)этил]пирролидин-1-ил}-4-оксобутил)метилкарбамоил]-2-метилпропил}-2-диметиламино-3-метилбутирамид, лл) N-{1-[(1-втор-бутил-4-{2-[2-(4-трет-бутилбензилкарбамоил)-1-метилсульфанилэтил]пирролидин-1-ил}-2-метокси-4-оксобутил)метилкарбамоил]-2-метилпропил}-2-диметиламино-3-метилбутирамид, мм) N-[1-({4-[2-(2-бензилкарбамоил-1-метилсульфанилэтил)пирролидин-1-ил]-1-втор-бутил-2-метокси-4-оксобутил}метилкарбамоил)-2-метилпропил]-2-диметиламино-3-метилбутирамид, нн) N-{1-[(4-{2-[2-(N’-бензилгидразинокарбонил)-1-метилсульфанилэтил]пирролидин-1-ил}-1-втор-бутил-2-метокси-4-оксобутил)метилкарбамоил]-2-метилпропил}-2-диметиламино-3-метилбутирамид, oo) N-[1-({1-втор-бутил-2-метокси-4-оксо-4-[2-(2-фенетилкарбамоил-1-фенетилсульфанилэтил)пирролидин-1-ил]бутил}метилкарбамоил)-2-метилпропил]-2-диметиламино-3-метилбутирамид, пп) N-[1-({4-[2-(1-аллилсульфанил-2-фенетилкарбамоилэтил)пирролидин-1-ил]-1-втор-бутил-2-метокси-4-оксобутил}метилкарбамоил)-2-метилпропил]-2-диметиламино-3-метилбутирамид, pp) N-{1-[(1-втор-бутил-2-метокси-4-{2-[1-метилсульфанил-2-(2-пиридин-4-илэтилкарбамоил)этил]пирролидин-1-ил}-4-оксобутил)метилкарбамоил]-2-метилпропил}-2-диметиламино-3-метилбутирамид, сс) N-(1-{[4-(2-{2-[(бензотиазол-2-илметил)карбамоил]-1-метилсульфанилэтил}пирролидин-1-ил)-1-втор-бутил-2-метокси-4-оксобутил]метилкарбамоил}-2-метилпропил)-2-диметиламино-3-метилбутирамид, тт) N-{1-[(1-втор-бутил-2-метокси-4-{2-[1-метилсульфанил-2-(2-тиофен-2-илэтилкарбамоил)этил]пирролидин-1-ил}-4-оксобутил)метилкарбамоил]-2-метилпропил}-2-диметиламино-3-метилбутирамид, уу) N-{1-[(1-втор-бутил-2-метокси-4-{2-[1-метилсульфанил-2-(2-пиридин-3-илэтилкарбамоил)этил]пирролидин-1-ил}-4-оксобутил)метилкарбамоил]-2-метилпропил}-2-диметиламино-3-метилбутирамид, фф) N-{1-[(1-втор-бутил-2-метокси-4-{2-[1-метилсульфанил-2-(2-пиридин-2-илэтилкарбамоил)этил]пирролидин-1-ил}-4-оксобутил)метилкарбамоил]-2-метилпропил}-2-диметиламино-3-метилбутирамид, хх) N-(1-{[1-втор-бутил-2-метокси-4-(2-{1-метилсульфанил-2-[(пиридин-4-илметил)карбамоил]этил}пирролидин-1-ил)-4-оксобутил]метилкарбамоил}-2-метилпропил)-2-диметиламино-3-метилбутирамид, цц) N-(1-{[1-втор-бутил-4-(2-{2-[2-(3Н-имидазол-4-ил)этилкарбамоил]-1-метилсульфанилэтил}пирролидин-1-ил)-2-метокси-4-оксобутил]метилкарбамоил}-2-метилпропил)-2-диметиламино-3-метилбутирамид, чч) N-{1-[(1-втор-бутил-2-метокси-4-{2-[1-метилсульфанил-2-(тиазол-2-илкарбамоил)этил]пирролидин-1-ил}-4-оксобутил)метилкарбамоил]-2-метилпропил}-2-диметиламино-3-метилбутирамид, шш) N-{1-[(1-втор-бутил-2-метокси-4-{2-[1-метилсульфанил-2-(нафталин-2-илкарбамоил)этил]пирролидин-1-ил}-4-оксобутил)метилкарбамоил]-2-метилпропил}-2-диметиламино-3-метилбутирамид, щщ) N-[1-({1-втор-бутил-4-[2-(2-циклогексилкарбамоил-1-метилсульфанилэтил)пирролидин-1-ил]-2-метокси-4-оксобутил}метилкарбамоил)-2-метилпропил]-2-диметиламино-3-метилбутирамид, ээ) N-[1-({1-втор-бутил-2-метокси-4-[2-(2-{[2-(3,4-диметоксифенил)этил]метилкарбамоил}-1-метилсульфанилэтил)пирролидин-1-ил]-2-метокси-4-оксобутил}метилкарбамоил)-2-метилпропил]-2-диметиламино-3-метилбутирамид, юю) N-(1-{[1-втор-бутил-4-(2-{2-[2-(3,4-диметоксифенил)этилкарбамоил]-1-метилсульфанилэтил}пирролидин-1-ил)-2-метокси-4-оксобутил]метилкарбамоил}-2-метилпропил)-2-диметиламино-3-метилбутирамид, яя) N-(1-{[1-втор-бутил-4-(2-{2-[2-(4-хлорфенил)этилкарбамоил]-1-метилсульфанилэтил}пирролидин-1-ил)-2-метокси-4-оксобутил]метилкарбамоил}-2-метилпропил)-2-диметиламино-3-метилбутирамид, ааа) N-[1-({1-втор-бутил-2-метокси-4-оксо-4-[2-(1-пентилсульфанил-2-фенетилкарбамоилэтил)пирролидин-1-ил]бутил}метилкарбамоил)-2-метилпропил]-2-диметиламино-3-метилбутирамид, ббб) N-{1-[(1-втор-бутил-2-метокси-4-{2-[1-(нафталин-2-илсульфанил)-2-фенетилкарбамоилэтил]пирролидин-1-ил}-4-оксобутил)метилкарбамоил]-2-метилпропил}-2-диметиламино-3-метилбутирамид, ввв) N-{1-[(1-втор-бутил-4-{2-[1-(4-фторбензилсульфанил)-2-фенетилкарбамоилэтил]пирролидин-1-ил}-2-метокси-4-оксобутил)метилкарбамоил]-2-метилпропил}-2-диметиламино-3-метилбутирамид, ггг) N-{1-[(1-втор-бутил-4-(2-[1-(фуран-2-илметилсульфанил)-2-фенетилкарбамоилэтил]пирролидин-1-ил}-2-метокси-4-оксобутил)метилкарбамоил]-2-метилпропил}-2-диметиламино-3-метилбутирамид, ддд) N-(1-{[1-втор-бутил-2-метокси-4-(2-{2-[2-(4-метоксифенил)этилкарбамоил]-1-метилсульфанилэтил}пирролидин-1-ил)-4-оксобутил]метилкарбамоил}-2-метилпропил)-2-диметиламино-3-метилбутирамид, еее) N-{1-[(1-втор-бутил-2-метокси-4-{2-[1-метилсульфанил-2-(4-[1,2,3]тиадиазол-4-илбензилкарбамоил)этил]пирролидин-1-ил}-4-оксобутил)метилкарбамоил]-2-метилпропил}-2-диметиламино-3-метилбутирамид, жжж) N-{1-[(4-{2-[2-(1-бензилпиперидин-4-илкарбамоил)-1-метилсульфанилэтил]пирролидин-1-ил}-1-втор-бутил-2-метокси-4-оксобутил)метилкарбамоил]-2-метилпропил}-2-диметиламино-3-метилбутирамид, ззз) N-(1-{[1-втор-бутил-4-(2-{1-трет-бутилсульфанил-2-[2-(4-гидроксифенил)этилкарбамоил]этил}пирролидин-1-ил)-2-метокси-4-оксобутил]метилкарбамоил}-2-метилпропил)-2-диметиламино-3-метилбутирамид, иии) N-(1-{[1-втор-бутил-4-(2-{1-трет-бутилсульфанил-2-[2-(3-гидроксифенил)этилкарбамоил]этил}пирролидин-1-ил)-2-метокси-4-оксобутил]метилкарбамоил}-2-метилпропил)-2-диметиламино-3-метилбутирамид, ккк) N-(1-{[1-втор-бутил-4-(2-{1-трет-бутилсульфанил-2-[2-(2-гидроксифенил)этилкарбамоил]этил}пирролидин-1-ил)-2-метокси-4-оксобутил]метилкарбамоил}-2-метилпропил)-2-диметиламино-3-метилбутирамид, ллл) N-(1-{[1-втор-бутил-4-(2-{1-диметилкарбамоилметилсульфанил-2-[2-(3-гидроксифенил)этилкарбамоил]этил}пирролидин-1-ил)-2-метокси-4-оксобутил]метилкарбамоил}-2-метилпропил)-2-диметиламино-3-метилбутирамид, ммм) N-[1-({1-втор-бутил-4-[2-(1-диметилкарбамоилметилсульфанил-2-фенетилкарбамоилэтил)пирролидин-1-ил]-2-метокси-4-оксобутил}метилкарбамоил)-2-метилпропил]-2-диметиламино-3-метилбутирамид, ннн) 2-{1-[1-(4-{[2-(2-диметиламино-3-метилбутириламино)-3-метилбутирил]метиламино}-3-метокси-5-метилгептаноил)пирролидин-2-ил]-2-фенетилкарбамоилэтилсульфанил}этиловый эфир этилкарбаминовой кислоты. Если R1 и R2 означают метил, R3 означает водород, а n равно 0, предпочтительными соединениями формулы (I) являются такие соединения, в которых R4 означает фенил, 4-гидроксифенил (R), 4-AcNHPh- (т.е. 4-ацетоаминофенил), трет-бутил (R), этил, изопропил, трет-бутил, бензил, 3-гидроксифенил, 2-гидроксифенил, 2-гидроксиэтил, 2-ацетоксиэтил, аллил или н-пентил, а R5 означает фенилэтиламино. По настоящему изобретению прежде всего предпочтительны следующие соединения формулы (I): N-[1-({1-втор-бутил-2-метокси-4-оксо-4-[2-(2-фенетилкарбамоил-1-фенилсульфанилэтил)пирролидин-1-ил]бутил}метилкарбамоил)-2-метилпропил]-2-диметиламино-3-метилбутирамид, N-{1-[(1-втор-бутил-4-{2-[1-(R)-(4-гидроксифенилсульфанил)-2-фенетилкарбамоилэтил]пирролидин-1-ил}-2-метокси-4-оксобутил)метилкарбамоил]-2-метилпропил}-2-диметиламино-3-метилбутирамид, N-{1-[(4-{2-[1-(4-ацетиламинофенилсульфанил)-2-фенетилкарбамоилэтил]пирролидин-1-ил}-1-втор-бутил-2-метокси-4-оксобутил)метилкарбамоил]-2-метилпропил}-2-диметиламино-3-метилбутирамид, N-[1-({1-втор-бутил-4-[2-(1-(R)-трет-бутилсульфанил-2-фенетилкарбамоилэтил)пирролидин-1-ил]-2-метокси-4-оксобутил}метилкарбамоил)-2-метилпропил]-2-диметиламино-3-метилбутирамид, N-[1-({1-втор-бутил-4-[2-(1-этилсульфанил-2-фенетилкарбамоилэтил)пирролидин-1-ил]-2-метокси-4-оксобутил}метилкарбамоил)-2-метилпропил]-2-диметиламино-3-метилбутирамид, N-[1-({1-втор-бутил-4-[2-(1-изопропилсульфанил-2-фенетилкарбамоилэтил)пирролидин-1-ил]-2-метокси-4-оксобутил}метилкарбамоил)-2-метилпропил]-2-диметиламино-3-метилбутирамид, N-[1-({1-втор-бутил-4-[2-(1-трет-бутилсульфанил-2-фенетилкарбамоилэтил)пирролидин-1-ил]-2-метокси-4-оксобутил}метилкарбамоил)-2-метилпропил]-2-диметиламино-3-метилбутирамид, N-[1-({4-[2-(1-бензилсульфанил-2-фенетилкарбамоилэтил)пирролидин-1-ил]-1-втор-бутил-2-метокси-4-оксобутил}метилкарбамоил)-2-метилпропил]-2-диметиламино-3-метилбутирамид, N-{1-[(1-втор-бутил-4-{2-[1-(3-гидроксифенилсульфанил)-2-фенетилкарбамоилэтил]пирролидин-1-ил}-2-метокси-4-оксобутил)метилкарбамоил]-2-метилпропил}-2-диметиламино-3-метилбутирамид, N-{1-[(1-втор-бутил-4-{2-[1-(2-гидроксиэтилсульфанил)-2-фенетилкарбамоилэтил]пирролидин-1-ил}-2-метокси-4-оксобутил)метилкарбамоил]-2-метилпропил}-2-диметиламино-З-метилбутирамид, 2-{1-[1-(4-{[2-(2-диметиламино-3-метилбутириламино)-3-метилбутирил]метиламино}-3-метокси-5-метилгептаноил)пирролидин-2-ил]-2-фенетилкарбамоилэтилсульфанил} этиловый эфир уксусной кислоты, N-[1-({4-[2-(1-аллилсульфанил-2-фенетилкарбамоилэтил)пирролидин-1-ил]-1-втор-бутил-2-метокси-4-оксобутил}метилкарбамоил)-2-метилпропил]-2-диметиламино-3-метилбутирамид, N-[1-({1-втор-бутил-2-метокси-4-оксо-4-[2-(1-пентилсульфанил-2-фенетилкарбамоилэтил)пирролидин-1-ил]бутил}метилкарбамоил)-2-метилпропил]-2-диметиламино-3-метилбутирамид. Если R1 и R2 означают метил, R3 означает водород, а n равно 0, другой группой предпочтительных соединений формулы (I) являются такие соединения, в которых R4 означает метил, R5 означает 4-гидроксифенилэтиламино, N-метилфенетиламино, 2- гидроксифенилэтиламино, 3-гидроксифенилэтиламино, бензилгидразино, 4,3-диметоксифенилэтиламино, тиенилэтиламино, 2-пиридилэтиламино. По настоящему изобретению прежде всего предпочтительны следующие соединения формулы (I): N-(1-{[1-втор-бутил-4-(2-{2-[2-(4-гидроксифенил)этилкарбамоил]-1-метилсульфанилэтил}пирролидин-1-ил)-2-метокси-4-оксобутил]метилкарбамоил}-2-метилпропил)-2-диметиламино-3-метилбутирамид, N-{1-[(1-втор-бутил-2-метокси-4-{2-[2-(метилфенетилкарбамоил)-1-метилсульфанилэтил]пирролидин-1-ил}-4-оксобутил)метилкарбамоил]-2-метилпропил}-2-диметиламино-3-метилбутирамид, N-(1-{[1-втор-бутил-4-(2-{2-[2-(2-гидроксифенил)этилкарбамоил]-1-метилсульфанилэтил}пирролидин-1-ил)-2-метокси-4-оксобутил]метилкарбамоил}-2-метилпропил)-2-диметиламино-3-метилбутирамид, N-(1-{[1-втор-бутил-4-(2-{2-[2-(3-гидроксифенил)этилкарбамоил]-l-метилсульфанилэтил}пирролидин-1-ил)-2-метокси-4-оксобутил]метилкарбамоил}-2-метилпропил)-2-диметиламино-3-метилбутирамид, N-{1-[(4-{2-[2-(N’-бензилгидразинокарбонил)-1-метилсульфанилэтил]пирролидин-1-ил}-1-втор-бутил-2-метокси-4-оксобутил)метилкарбамоил]-2-метилпропил}-2-диметиламино-3-метилбутирамид, N-{1-[(1-втор-бутил-2-метокси-4-{2-[1-метилсульфанил-2-(2-тиофен-2-илэтилкарбамоил)этил]пирролидин-1-ил}-4-оксобутил)метилкарбамоил]-2-метилпропил}-2-диметиламино-3-метилбутирамид, N-{1-[(1-втор-бутил-2-метокси-4-{2-[1-метилсульфанил-2-(2-пиридин-3-илэтилкарбамоил)этил]пирролидин-1-ил}-4-оксобутил)метилкарбамоил]-2-метилпропил}-2-диметиламино-3-метилбутирамид, N-{1-[(1-втор-бутил-2-метокси-4-{2-[1-метилсульфанил-2-(2-пиридин-2-илэтилкарбамоил)этил]пирролидин-1-ил}-4-оксобутил)метилкарбамоил]-2-метилпропил}-2-диметиламино-3-метилбутирамид, N-(1-{[1-втор-бутил-4-(2-{2-[2-(3,4-диметоксифенил)этилкарбамоил]-1-метилсульфанилэтил}пирролидин-1-ил)-2-метокси-4-оксобутил]метилкарбамоил}-2-метилпропил)-2-диметиламино-3-метилбутирамид. Другая группа предпочтительных соединений включает соединения формулы (I), где R1 и R2 означают метил, R3 означает водород, а n равно 1, например, соединение формулы N-[1-({1-втор-бутил-4-[2-(1-метансульфинил-2-фенетилкарбамоилэтил)пирролидин-1-ил]-2-метокси-4-оксобутил}метилкарбамоил)-2-метилпропил]-2-диметиламино-3-метилбутирамид. Еще одна группа предпочтительных соединений включает соединения формулы (I), где R1 и R2 означают метил, R3 означает водород, а n равно 2. Например, настоящее изобретение относится к соединению формулы N-[1-({1-втор-бутил-4-[2-(1-метансульфонил-2-фенетилкарбамоилэтил)пирролидин-1-ил]-2-метокси-4-оксобутил} метилкарбамоил)-2-метилпропил]-2-диметиламино-3-метилбутирамид. Другим предпочтительным вариантом настоящего изобретения являются соединения формулы (I), где R1 означает метил, R2 и R3 означают водород, а n равно 0. Примеры таких соединений выбирают из группы, включающей: а) N-[1-({1-втор-бутил-4-[2-(1-этилсульфанил-2-фенетилкарбамоилэтил)пирролидин-1-ил]-2-метокси-4-оксобутил}метилкарбамоил)-2-метилпропил]-3-метил-2-метиламинобутирамид. б) N-[1-({1-втор-бутил-2-метокси-4-оксо-4-[2-(2-фенетилкарбамоил-1-фенилсульфанилэтил)пирролидин-1-ил]бутил}метилкарбамоил)-2-метилпропил]-3-метил-2-метиламинобутирамид, в) N-[1-({1-втор-бутил-4-[2-(1-трет-бутилсульфанил-2-фенетилкарбамоилэтил)пирролидин-1-ил]-2-метокси-4-оксобутил}метилкарбамоил)-2-метилпропил]-3-метил-2-метиламинобутирамид, г) N-[1-({1-втор-бутил-2-метокси-4-[2-(1-метилсульфанил-2-фенетилкарбамоилэтил)пирролидин-1-ил]-4-оксобутил}метилкарбамоил)-2-метилпропил]-3-метил-2-метиламинобутирамид, д) N-[1-({1-втор-бутил-4-[2-(1-изопропилсульфанил-2-фенетилкарбамоилэтил)пирролидин-1-ил]-2-метокси-4-оксобутил}метилкарбамоил)-2-метилпропил]-3-метил-2-метиламинобутирамид, е) N-{1-[(1-втор-бутил-2-метокси-4-оксо-4-{2-[2-фенетилкарбамоил-1-(2-метилпропан-2-сульфонил)этил]пирролидин-1-ил}бутил)метилкарбамоил]-2-метилпропил}-3-метил-2-метиламинобутирамид, ж) N-(1-{[1-втор-бутил-4-(2-{2-[2-(3-гидроксифенил)этилкарбамоил]-1-метилсульфанилэтил}пирролидин-1-ил)-2-метокси-4-оксобутил]метилкарбамоил}-2-метилпропил)-3-метил-2-метиламинобутирамид, з) N-(1-{[1-втор-бутил-4-(2-{1-трет-бутилсульфанил-2-[2-(3-гидроксифенил)этилкарбамоил]этил}пирролидин-1-ил)-2-метокси-4-оксобутил]метилкарбамоил}-2-метилпропил)-3-метил-2-метиламинобутирамид. Если R1 означает метил, R2 и R3 означают водород, а n равно 0, предпочтительными соединениями формулы (I) являются такие соединения, в которых R4 означает этил, фенил, трет-бутил, метил, изопропил, а R5 означает фенилэтиламино, 3-гидроксифенилэтиламино. По настоящему изобретению прежде всего предпочтительны следующие соединения формулы (I): N-[1-({1-втор-бутил-4-[2-(1-этилсульфанил-2-фенетилкарбамоилэтил)пирролидин-1-ил]-2-метокси-4-оксобутил}метилкарбамоил)-2-метилпропил]-3-метил-2-метиламинобутирамид, N-[1-({1-втор-бутил-2-метокси-4-оксо-4-[2-(2-фенетилкарбамоил-1-фенилсульфанилэтил)пирролидин-1-ил]бутил}метилкарбамоил)-2-метилпропил]-3-метил-2-метиламинобутирамид, N-[1-({1-втор-бутил-2-метокси-4-[2-(1-метилсульфанил-2-фенетилкарбамоилэтил)пирролидин-1-ил]-4-оксобутил}метилкарбамоил)-2-метилпропил]-3-метил-2-метиламинобутирамид, N-[1-({1-втор-бутил-4-[2-(1-изопропилсульфанил-2-фенетилкарбамоилэтил)пирролидин-1-ил]-2-метокси-4-оксобутил}метилкарбамоил)-2-метилпропил]-3-метил-2-метиламинобутирамид, N-(1-{[1-втор-бутил-4-(2-{2-[2-(3-гидроксифенил)этилкарбамоил]-1-метилсульфанилэтил}пирролидин-1-ил)-2-метокси-4-оксобутил]метилкарбамоил}-2-метилпропил)-3-метил-2-метиламинобутирамид. Другим предпочтительным вариантом настоящего изобретения являются соединения формулы (I), где R1 означает метил, R2 и R3 означают водород, а n равно 2. Примеры таких соединений выбирают из группы, включающей: а) N-[1-({1-втор-бутил-4-[2-(1-этансульфонил-2-фенетилкарбамоилэтил)пирролидин-1-ил]-2-метокси-4-оксобутил}метилкарбамоил)-2-метилпропил]-3-метил-2-метиламинобутирамид, б) N-[1-({4-[2-(1-бензолсульфонил-2-фенетилкарбамоилэтил)пирролидин-1-ил]-1-втор-бутил-2-метокси-4-оксобутил}метилкарбамоил)-2-метилпропил]-3-метил-2-метиламинобутирамид, в) N-[1-({1-втор-бутил-4-[2-(1-метансульфонил-2-фенетилкарбамоилэтил)пирролидин-1-ил]-2-метокси-4-оксобутил}метилкарбамоил)-2-метилпропил]-3-метил-2-метиламинобутирамид, г) N-{1-[(1-втор-бутил-2-метокси-4-оксо-4-{2-[2-фенетилкарбамоил-1-(пропан-2-сульфонил)этил]пирролидин-1-ил}бутил)метилкарбамоил]-2-метилпропил}-3-метил-2-метиламинобутирамид. Если R1 означает метил, R2 и R3 означают водород, а n равно 2, предпочтительными соединениями формулы (I) являются соединения, в которых R4 означает метил, а R5 означает фенилэтиламино, например соединение формулы: N-[1-({1-втор-бутил-4-[2-(1-метансульфонил-2-фенетилкарбамоилэтил)пирролидин-1-ил]-2-метокси-4-оксобутил}метилкарбамоил)-2-метилпропил]-3-метил-2-метиламинобутирамид. Еще одним предпочтительным вариантом настоящего изобретения являются соединения формулы (I), где R1 и R3 означают метил, R2 означает водород, а n равно 0. Примеры таких соединений выбирают из группы, включающей а) N-[1-({1-втор-бутил-2-метокси-4-[2-(1-метилсульфанил-2-фенетилкарбамоилпропил)пирролидин-1-ил]-4-оксобутил}метилкарбамоил)-2-метилпропил]-2-метиламино-3-метилбутирамид, б) N-[1-((1-втор-бутил-4-[2-(1-трет-бутилсульфанил-2-фенетилкарбамоилпропил)пирролидин-1-ил]-2-метокси-4-оксобутил}метилкарбамоил)-2-метилпропил]-2-метиламино-3-метилбутирамид. Другим предпочтительным вариантом настоящего изобретения является соединение формулы (I), где R1, R2 и R3 означают метил, а n равно 0. Примеры таких соединений выбирают из группы, включающей: а) N-[1-({1-втор-бутил-2-метокси-4-[2-(1-метилсульфанил-2-фенетилкарбамоилпропил)пирролидин-1-ил]-4-оксобутил}метилкарбамоил)-2-метилпропил]-2-диметиламино-3-метилбутирамид, б) N-[1-({1-втор-бутил-4-[2-(1-трет-бутилсульфанил-2-фенетилкарбамоилпропил)пирролидин-1-ил]-2-метокси-4-оксобутил}метилкарбамоил)-2-метилпропил]-2-диметиламино-3-метилбутирамид, в) N-{1-[(1-втор-бутил-4-{2-[1-(2-гидроксиэтилсульфанил)-2-фенетилкарбамоилпропил]пирролидин-1-ил}-2-метокси-4-оксобутил)метилкарбамоил]-2-метилпропил}-2-диметиламино-3-метилбутирамид, г) N-{1-[(1-втор-бутил-4-{2-[1-(4-гидроксифенилсульфанил)-2-фенетилкарбамоилпропил]пирролидин-1-ил}-2-метокси-4-оксобутил)метилкарбамоил]-2-метилпропил}-2-диметиламино-3-метилбутирамид, д) N-{1-[(1-втор-бутил-4-{2-[1-(3-гидроксифенилсульфанил)-2-фенетилкарбамоилпропил]пирролидин-1-ил}-2-метокси-4-оксобутил)метилкарбамоил]-2-метилпропил}-2-диметиламино-3-метилбутирамид, e) N-{1-[(1-втор-бутил-4-{2-[1-(2-гидроксифенилсульфанил)-2-фенетилкарбамоилпропил]пирролидин-1-ил}-2-метокси-4-оксобутил)метилкарбамоил]-2-метилпропил}-2-диметиламино-3-метилбутирамид, ж) N-(1-{[1-втор-бутил-4-(2-{2-[2-(4-гидроксифенил)этилкарбамоил]-1-трет-бутилсульфанилпропил}пирролидин-1-ил)-2-метокси-4-оксобутил]метилкарбамоил}-2-метилпропил)-2-диметиламино-3-метилбутирамид, з) N-(1-{[1-втор-бутил-4-(2-{2-[2-(3-гидроксифенил)этилкарбамоил]-1-трет-бутилсульфанилпропил}пирролидин-1-ил)-2-метокси-4-оксобутил]метилкарбамоил}-2-метилпропил)-2-диметиламино-3-метилбутирамид, и) N-(1-{[1-втор-бутил-4-(2-{2-[2-(2-гидроксифенил)этилкарбамоил]-1-трет-бутилсульфанилпропил}пирролидин-1-ил)-2-метокси-4-оксобутил]метилкарбамоил}-2-метилпропил)-2-диметиламино-3-метилбутирамид, к) N-(1-{[1-втор-бутил-4-(2-{2-[2-(4-гидроксифенил)этилкарбамоил]-1-метилсульфанилпропил}пирролидин-1-ил)-2-метокси-4-оксобутил]метилкарбамоил}-2-метилпропил)-2-диметиламино-3-метилбутирамид, л) N-(1-{[1-втор-бутил-4-(2-{2-[2-(3-гидроксифенил)этилкарбамоил]-1-метилсульфанилпропил}пирролидин-1-ил)-2-метокси-4-оксобутил]метилкарбамоил}-2-метилпропил)-2-диметиламино-3-метилбутирамид, м) N-(1-{[1-втор-бутил-4-(2-{2-[2-(2-гидроксифенил)этилкарбамоил]-1-метилсульфанилпропил}пирролидин-1-ил)-2-метокси-4-оксобутил]метилкарбамоил}-2-метилпропил)-2-диметиламино-3-метилбутирамид, н) N-(1-{[1-втор-бутил-4-(2-{2-[2-(3-гидроксифенил)этилкарбамоил]-1-пентилсульфанилпропил}пирролидин-1-ил)-2-метокси-4-оксобутил]метилкарбамоил}-2-метилпропил)-2-диметиламино-3-метилбутирамид, o) N-[1-({1-втор-бутил-4-[2-(2-{[2-(3-гидроксифенил)этил]метилкарбамоил}-1-метилсульфанилпропил)пирролидин-1-ил]-2-метокси-4-оксобутил}метилкарбамоил)-2-метилпропил]-2-диметиламино-3-метилбутирамид, п) N-[1-({1-втор-бутил-4-[2-(1-этилсульфанил-2-{[2-(3-гидроксифенил)этил]метилкарбамоил}пропил)пирролидин-1-ил]-2-метокси-4-оксобутил}метилкарбамоил)-2-метилпропил]-2-диметиламино-3-метилбутирамид, р) N-(1-{[1-втор-бутил-4-(2-{1-этилсульфанил-2-[2-(3-гидроксифенил)этилкарбамоил]пропил}пирролидин-1-ил)-2-метокси-4-оксобутил]метилкарбамоил}-2-метилпропил)-2-диметиламино-3-метилбутирамид, с) 3-(2-{3-[1-(4-{[2-(2-диметиламино-3-метилбутириламино)-3-метилбутирил]метиламино}-3-метокси-5-метилгептаноил)пирролидин-2-ил]-2-метил-3-метилсульфанилпропиониламино}этил)фениловый эфир этилкарбаминовой кислоты. Если R1, R2 и R3 означают метил, а n равно 0, предпочтительными соединениями формулы (I) являются соединения, в которых R4 означает метил или этил, а R5 означает фенилэтиламино, 3-гидроксифенилэтиламино или 3-гидроксифенилэтил-N-метиламино, например соединения формулы N-[1-({1-втор-бутил-2-метокси-4-[2-(1-метилсульфанил-2-фенетилкарбамоилпропил)пирролидин-1-ил]-4-оксобутил}метилкарбамоил)-2-метилпропил]-2-диметиламино-3-метилбутирамид, N-(1-{[1-втор-бутил-4-(2-{2-[2-(3-гидроксифенил)этилкарбамоил]-1-метилсульфанилпропил}пирролидин-1-ил)-2-метокси-4-оксобутил]метилкарбамоил}-2-метилпропил)-2-диметиламино-3-метилбутирамид, N-[1-({1-втор-бутил-4-[2-(2-{[2-(3-гидроксифенил)этил]метилкарбамоил}-1-метилсульфанилпропил)пирролидин-1-ил]-2-метокси-4-оксобутил} метилкарбамоил)-2-метилпропил]-2-диметиламино-3-метилбутирамид, N-[1-({1-втор-бутил-4-[2-(1-этилсульфанил-2-{[2-(3-гидроксифенил)этил]метилкарбамоил}пропил)пирролидин-1-ил]-2-метокси-4-оксобутил}метилкарбамоил)-2-метилпропил]-2-диметиламино-3-метилбутирамид, N-(1-{[1-втор-бутил-4-(2-{1-этилсульфанил-2-[2-(3-гидроксифенил)этилкарбамоил]пропил}пирролидин-1-ил)-2-метокси-4-оксобутил]метилкарбамоил}-2-метилпропил)-2-диметиламино-3-метилбутирамид. В объем изобретения включены все стереоизомеры соединений формулы (I), за исключением соединений с пространственной структурой (I-1) где R1, R2, R3, R4, R5 и n имеют значения, указанные выше, а также фармацевтически приемлемых солей, пролекарств соединения формулы (I-1) или их солей. Настоящее изобретение прежде всего относится к соединениям, в которых группа R4S(O)n находится в R-конфигурации, а группа R3 находится в S-конфигурации, которые являются предпочтительными, поскольку обладают противоопухолевой активностью. Указанные соединения эффективны при подавлении или предотвращении развития опухолей из предраковых или раковых клеток и применяются при лечении карцином, образующих солидные опухоли, прежде всего колоректального рака, рака легких, рака молочной железы, рака желудка, рака шейки матки и рака мочевого пузыря. Соединения по изобретению можно использовать при лечении таких опухолей с целью замедлить развитие таких опухолей и предотвратить возрастание числа опухолей (очагов). Противоопухолевую терапевтическую активность соединений по изобретению можно определить различными стандартными методами анализа in vitro. Известно, что описанные ниже и приведенные в примерах методы анализа позволяют определить противоопухолевую активность и используются при испытании противоопухолевых терапевтических средств. Соединения по изобретению имеют структуру, обозначенную формулой I, и их противоопухолевое действие определяют любым стандартным методом анализа, прежде всего анализом на апоптоз. Соединения прежде всего эффективны в качестве индукторов апоптоза в клетках карциномы, что приводит к гибели клеток. Таким образом, соединение обладает необходимой активностью, если при воздействии на клетки вызывает гибель клеток карциномы. Клетки карциномы, необходимые для проведения анализа (например, клетки молочной железы, легких, колоректальные клетки и т.п.), можно получить из банка клеток, такого как АТСС, или их можно получить от раковых больных. Тип опухоли, в отношении которой наиболее активно конкретное соединение, определяется по типу клеток, использованных в таком анализе. Клетки карциномы, растущие в культуре, можно инкубировать с конкретным соединением и определить изменения в жизнеспособности клеток, например, при использовании красителей, которые избирательно окрашивают мертвые клетки, или при измерении оптической плотности. Если наблюдается гибель 10% клеток, соединение считается активным индуктором апоптоза. Соединения могут не убивать клетку непосредственно (клеточная токсичность), а могут модулировать некоторые внутри/внеклеточные процессы, которые вызывают апоптоз. Противоопухолевую активность соединений по изобретению можно также определять по воздействию соединений на рост и дифференциацию клеток. Ингибирование клеточного роста можно определить, добавляя соответствующее соединение в культуру клеток карциномы, содержащей красители или радиоактивномеченые предшественники, и определяя включение метки под микроскопом в сцинтилляционном счетчике, или определяя оптическую плотность, и таким образом определять увеличение числа клеток при инкубации. Если число клеток не увеличилось, это означает, что рост подавляется и соединение может обладать терапевтической активностью. Аналогичным образом, после добавления анализируемого соединения можно известными методами определить долю дифференцированных клеток (например, измеряя показатель дифференциации, т.е. окислительный всплеск в клетках HL-60, показатель дифференциации, с использованием реактива NBT). Если наблюдается дифференциация 10% клеток или более, то соединение может обладать терапевтической активностью. Для определения противоопухолевой активности используют также методы анализа in vivo. Соединения по изобретению могут уменьшать размер и/или число опухолей у лабораторных животных, таких как мыши с индуцированными опухолями. Тип опухоли свидетельствует о том, против какого типа рака может оказаться активным конкретное соединение. Отдельные опухоли можно индуцировать воздействием на конкретную ткань карциногенами, или инъекцией специальных типов клеток карциномы. Такие испытания приводятся в примере ЦБ. Соединения по настоящему изобретению обладают значительной профилактической и терапевтической активностью при воздействии на крыс с индуцированными NMU опухолями молочной железы. Неожиданно дозы и схемы оказались эффективными и при этом не наблюдалось заметной токсичности. Соединения также оказались эффективными в отношении снижения числа опухолей в ходе эксперимента (т.е. оказывали химиопрофилактическое действие) при дозах и схемах, не связанных с токсичностью. Кроме того, соединения оказались терапевтически активными, т.е. способным вызвать регрессию выявленных первичных опухолей. Соединения также обладали профилактическим действием, т.е. оказались способными в существенной степени предотвращать образование новых опухолей. Определение антипролиферативной активности проводили по следующей методике. Суспензию опухолевых клеток вносили в 96-луночные микропланшеты для серийного разведения. Затем микропланшеты инкубировали в атмосфере 5% СО2 при 37°С в течение 4 сут (2-3×10 клеток/лунка). Степень клеточного роста в монослое измеряли с использованием WST-8 (фирма Dojindo, Япония). Значения IC50 рассчитывали как концентрацию лекарственного средства, вызывающую 50% подавление роста (по результатам измерения оптической плотности). Результаты приведены в таблице I. Максимально переносимые дозы (MTD) типичных соединений по настоящему изобретению, таких как N-[1-({1-втор-бутил-2-метокси-4-[2-(1-метилсульфанил-2-фенетилкарбамоилэтил)пирролидин-1-ил]-4-оксобутил}метилкарбамоил)-2-метилпропил]-3-метил-2-метиламинобутирамид, N-[1-({1-втор-бутил-4-[2-(1-метансульфонил-2-фенетилкарбамоилэтил)пирролидин-1-ил]-2-метокси-4-оксобутил} метилкарбамоил)-2-метилпропил]-3-метил-2-метиламинобутирамид, N-[1-((1-втор-бутил-4-[2-(1-изопропилсульфанил-2-фенетилкарбамоилэтил)пирролидин-1-ил]-2-метокси-4-оксобутил}метилкарбамоил)-2-метилпропил]-3-метил-2-метиламинобутирамид, N-[1-({1-втор-бутил-4-[2-(2-{[2-(3-гидроксифенил)этил]метилкарбамоил}-1-метилсульфанилпропил)пирролидин-1-ил]-2-метокси-4-оксобутил}метилкарбамоил)-2-метилпропил]-2-диметиламино-3-метилбутирамид, N-[1-({1-втор-бутил-4-[2-(1-этилсульфанил-2-{[2-(3-гидроксифенил)этил]метилкарбамоил}пропил)пирролидин-1-ил]-2-метокси-4-оксобутил}метилкарбамоил)-2-метилпропил]-2-диметиламино-3-метилбутирамид, N-(1-{[1-втор-бутил-4-(2-{2-[2-(3-гидроксифенил)этилкарбамоил]-1-метилсульфанилпропил}пирролидин-1-ил)-2-метокси-4-оксобутил]метилкарбамоил}-2-метилпропил)-2-диметиламино-3-метилбутирамид, N-(1-{[1-втор-бутил-4-(2-{1-этилсульфанил-2-[2-(3-гидроксифенил)этилкарбамоил]пропил}пирролидин-1-ил)-2-метокси-4-оксобутил]метилкарбамоил}-2-метилпропил)-2-диметиламино-3-метилбутирамид, определяли при внутривенном введении мышам. Соответствующие MTD для указанных соединения составляют 14, 18 и 10, 8, 8, 2 и 2 мг/кг. Таким образом, соединения по изобретению являются терапевтически активными, вызывающими регрессию или ремиссию солидных опухолей. Настоящее изобретение относится также к применению соединения формулы (I) для получения лекарственных средств, предпочтительно для получения лекарственных средств, предназначенных для терапии нарушений клеточной пролиферации, более предпочтительно для получения средств, предназначенных для лечения онкологических заболеваний, и наиболее предпочтительно для лечения колоректального рака, рака легких, рака молочной железы, рака желудка, рака шейки матки и рака мочевого пузыря. Другим объектом настоящего изобретения является способ лечения нарушения клеточной пролиферации, включающий введение пациенту, нуждающемуся в таком лечении, терапевтически эффективного количества соединения формулы (I). По настоящему изобретению лечение онкологических заболеваний проводят системным введением соединения по изобретению пациенту в количестве, эффективном для терапии такого заболевания. Подавление роста опухолевых клеток (карциномы) означает остановку роста, индуцирование апоптоза или дифференциации, или других изменений природы клетки, в результате которых клетка становится безвредной. Соединение можно вводить с целью профилактики, например, субъекту с риском возникновения опухоли, или субъекту, который уже подвергался эффективной терапии, обычно при введении в более низкой дозе по сравнению с дозой, используемой при лечении. Количество соединения зависит от типа рака, количества и размеров опухолевых очагов и от потребностей пациента. Обычно суточная доза составляет от приблизительно 0,1 мг/кг до приблизительно 100 мг/кг массы тела, предпочтительно от приблизительно 20 мг/кг до приблизительно 80 мг/кг, причем доза может изменяться лечащим врачом в зависимости от показаний, потребностей и состояния пациента. Терапию обычно проводят в течение приблизительно трех месяцев, однако это зависит от состояния пациента и рекомендации лечащего врача. При профилактическом введении продолжительность введения зависит от состояния пациента и заключения врача, но обычно этот срок превышает три месяца. Для указанной выше терапии соединения по изобретению вводят системно в виде композиции, содержащей соединение по изобретению и фармацевтически приемлемый носитель, совместимый с указанными соединениями. При получении таких композиций можно использовать любой обычный фармацевтически приемлемый носитель. Обычно предпочтительной формой, содержащей стандартную дозу, являются таблетки или капсулы, которые можно принимать один или два раза в день в зависимости от массы и роста пациента. Соединения по настоящему изобретению можно вводить отдельно или использовать одновременно с другими видами химической или биохимической терапии или с облучением или с хирургической операцией. Фармацевтические композиции по изобретению можно получать в любой общепринятой форме, включая: (а) твердые формы для перорального или ректального введения, такие как таблетки, капсулы, пилюли, порошки, гранулы и т.п., (б) стерильные, обычно водные растворы или суспензии для внутривенного или парентерального введения, и (в) препараты для местного применения, такие как растворы, суспензии, мази, кремы, гели, тонкоизмельченные порошки, аэрозоли и т.п. Фармацевтические композиции можно получать стерильными и/или они могут содержать адъюванты, такие как консерванты, стабилизаторы, смачивающие агенты, эмульгаторы, соли для изменения осмотического давления и/или буферные вещества. Соединения по изобретению прежде всего используют при введении фармацевтически приемлемым пероральным способом. Эти фармацевтические композиции содержат одно или более соединений по изобретению или их фармацевтических приемлемых солей и их фармацевтически приемлемых гидролизуемых сложных эфиров в смеси с совместимым фармацевтически приемлемым материалом-носителем. При этом можно использовать любые обычные материалы-носители. Материалы-носители являются органическими или неорганическими инертными материалами, пригодными для перорального введения. Пригодные носители включают воду, желатин, аравийскую камедь, лактозу, крахмал, стеарат магния, тальк, растительные масла, полиалкиленгликоли, вазелин и т.п. Кроме того, фармацевтические препараты могут содержать другие фармацевтически активные агенты. В соответствии с существующей практикой композиции могут включать другие добавки, такие как ароматизаторы, консерванты, стабилизаторы, эмульгаторы, буферные вещества и т.п. Фармацевтические препараты можно получать в любой общепринятой форме для перорального введения, включая твердые формы, такие как таблетки, капсулы, пилюли, порошки, гранулы и т.п. Предпочтительные пероральные формы включают таблетки, капсулы из твердого или мягкого желатина, метилцеллюлозы или другого пригодного материала, который легко растворяется в желудочно-кишечном тракте. Пероральные дозы по настоящему изобретению изменяются в соответствии с потребностями отдельного пациента и с рекомендациями лечащего врача. Для специалиста в данной области техники очевидно, что соединения по настоящему изобретению можно получать конденсацией кислоты формулы (II) где R1 и R2 имеют значения, указанные выше, предпочтительно R1 и R2 каждый независимо означает алкил, более предпочтительно С1-С6алкил, наиболее предпочтительно С1-С4алкил, с соединением формулы (III)
где R3, R4, R5 и n имеют значения, указанные выше. Соединение (I) можно получать конденсацией кислоты формулы (II) с соединением формулы (III) в присутствии конденсирующего агента, в случае необходимости с последующим удалением защитной группы (групп) и/или при необходимости с получением соли. В другом варианте соединение формулы (I) можно получать конденсацией кислоты формулы (IV) где R1 означает водород или алкил, предпочтительно C1-С6алкил, и наиболее предпочтительно С1-С4алкил, а R6 означает защитную группу, выбранную из ряда трет-бутоксикарбонил, карбобензилокси или 9-флуоренилметоксикарбонил (Fmoc), с соединением формулы (III)
где R3, R4, R5 и n имеют значения, указанные выше, при необходимости в присутствии конденсирующего агента, и в случае необходимости с последующим удалением защитной группы (групп) и/или при необходимости с получением соли. Конденсирующий агент может означать, например, дициклогексилкарбодиимид (DCC), дифенилфосфорилазид (DPPA), диэтилфосфороцианид (DEPC), гексафторфосфат бензотриазол-1-илокси-трис(диметиламино)фосфония (реагент ВОР) и т.п., а реакцию проводят в инертном растворителе, таком, например, как галогенированный алифатический углеводород, такой как хлоформ и дихлорметан, этилацетат, тетрагидрофуран (ТГФ), диметилформамид (ДМФА) или ацетонитрил, при необходимости в присутствии органического основания, такого, например, как триэтиламин или диизопропилэтиламин (DIPEA). Соединения по настоящему изобретению формулы (I), где R1 или R2 означают водород, можно получить конденсацией трипептидного фрагмента формулы (IV) где R1 означает водород или алкил, предпочтительно C1-С6алкил, и наиболее предпочтительно С1-С4алкил, а R6 означает защитную группу, выбранную, например, из ряда трет-бутоксикарбонил (Boc), карбобензилокси (Z) или 9-флуоренилметоксикарбонил (Fmoc), с фрагментом формулы (III)
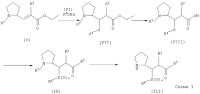
где R3, R4, R5 и n имеют значения, указанные выше, в присутствии конденсирующего агента. Конденсирующий агент может означать, например, дициклогексилкарбодиимид (DCC), дифенилфосфорилазид (DPPA), диэтилфосфороцианид (DEPC), реагент ВОР и т.п., а реакцию проводят в инертном растворителе, таком, например, как галогенированный алифатический углеводород, такой как хлоформ и дихлорметан, этилацетат, тетрагидрофуран (ТГФ), диметилформамид (ДМФА) или ацетонитрил, при необходимости в присутствии органического основания, такого, например, как триэтиламин или диизопропилэтиламин (DIPEA), при температуре от -10°С до 50°С, предпочтительно от 0°С до комнатной температуры. Затем в продукте конденсации удаляют защитные группы по известным в данной области техники методикам, например, основным или кислотным гидролизом, гидрогенолизом или обработкой анионом фтора. Еще один вариант настоящего изобретения относится к получению соединения формулы (III).
Соединения формулы (III), где R3, R4, R5 и n имеют значения, указанные выше, можно получить по схеме 1. Как показано на схеме 1, соединения формулы (III) получают из соединения формулы (V), где R3 означает водород или алкил, предпочтительно C1-С6алкил, и наиболее предпочтительно С1-С4алкил, а R7 означает защитную группу, выбранную из ряда трет-бутоксикарбонил, карбобензилокси или 9-флуоренилметоксикарбонил (Fmoc), причем соединение V получают из N-Boc-пролина известными методами (см. Heterocycles, 36(9), 2073-2080 (1993)), при взаимодействии с соединением формулы (VI), которое в форме соли является коммерческим продуктом или получено из соответствующего меркаптана при взаимодействии с основанием, таким как гидроксид натрия, гидрид натрия, карбонат натрия или гидрокарбонат натрия, гидроксид калия, гидрид калия или трет-бутоксид калия, гидроксид лития, гидрид лития, метиллитий или н-бутиллитий, обычными методами, обычно в инертном органическом растворителе, таком как тетрагидрофуран, ацетонитрил, метанол, этанол или ДМФА, при температуре от -40°С до температуры кипения растворителя, с образованием соответствующего промежуточного соединения формулы (VII), где R3 и R4 имеют значения, указанные в описании заявки, а R7 означает защитную группу, выбранную из ряда трет-бутоксикарбонил, карбобензилокси или Fmoc группа. В другом варианте с целью исключить использование газообразного метилмеркаптана тиометоксид натрия получают in situ по реакции метилтиоацетата с этоксидом калия. Присоединение тиоалкоксида калия проводят в присутствии источника протона, такого как спирт или фенол, предпочтительно фенол, при комнатной температуре. Указанная реакция проходит с высоким выходом и высокой стереоселективностью с образованием необходимых стереоизомеров в отношении серосодержащей группы и остатка R3. Например, взаимодействие соединения формулы (V), где R3 означает метил, а R7 означает трет-бутоксикарбонильную группу, а пролин находится в S-конфигурации по положению 2, с тиометоксидом или тиоэтоксидом калия в присутствии фенола приводит к образованию преимущественно трет-бутилового эфира (2S)-2-[(1R,2S)-2-этоксикарбонил-1-метил или этилсульфанилпропил]пирролидин-1-карбоновой кислоты. Промежуточное соединение формулы (VII), где R3, R4 и R7 имеют значения, указанные выше, при необходимости гидролизуют обычными методами, а затем вводят в реакцию со спиртом или амином, обычно с использованием вышеуказанного конденсирующего агента в инертном органическом растворителе, таком как галогенированный алифатический углеводород, тетрагидрофуран, ацетонитрил или ДМФА, при температуре от -20°С до температуры кипения растворителя, предпочтительно от 0°С до комнатной температуры, с образованием соответствующего соединения формулы (IX), где R3, R4 и R5 имеют значения, указанные в описании заявки, а R7 означает защитную группу, выбранную из ряда трет-бутоксикарбонил, карбобензилокси или Fmoc, a n равно 0. Соединение формулы (IX), где R3, R4 и R5 имеют значения, указанные выше, n равно 0, а R7 означает защитную группу, выбранную из ряда трет-бутоксикарбонил, карбобензилокси или Fmoc, необязательно можно окислить мета-хлорнадбензойной кислотой (mCPBA) по известной методике, обычно в инертном органическом растворителе, таком как галогенированный алифатический углеводород, при температуре от приблизительно -40°С до температуры кипения растворителя, с образованием соответствующего сульфоксида или сульфона формулы (IX), где R3, R4 и R5 имеют значения, указанные в описании заявки, n означает целое число 1 или 2, а R7 означает защитную группу, выбранную из ряда трет-бутоксикарбонил, карбобензилокси или Fmoc. Соединение формулы (I), где R1, R2, R3, R4 и R5 имеют значения, указанные выше, а n равно 0, также можно необязательно окислить с использованием mCPBA по известной методике, обычно в инертном органическом растворителе, таком как галогенированный алифатический углеводород, при температуре от приблизительно -40°С до температуры кипения растворителя, с образованием соответствующего сульфоксида или сульфона формулы (I), где R1, R2, R3, R4 и R5 имеют значения, указанные выше, а n означает целое число 1 или 2. В другом варианте соединение формулы (I), где R1, R2, R3, R4 и R5 имеют значения, указанные выше, а n означает целое число 1 или 2, но R1 или R2 означает водород, можно получить из продукта конденсации соединения (IV), где R1 означает алкил, R6 означает защитную группу, выбранную из ряда трет-бутоксикарбонил, карбобензилокси или Fmoc, с соединением (III), где R3, R4 и R5 имеют значения, указанные выше, n равно 0, окислением с использованием mCPBA с последующим удалением защитной группы (групп) известными методами, например основным или кислотным гидролизом, гидрогенолизом или обработкой фтором. В соединении формулы (IX), где R3, R4, R5 и n имеют значения, указанные выше, а R7 означает защитную группу, выбранную из ряда трет-бутоксикарбонил, карбобензилокси или Fmoc, защитные группы удаляют обработкой трифторуксусной кислотой (ТФУ) в инертном растворителе, таком как галогенированный алифатический углеводород, или в отсутствие растворителя при температуре от приблизительно -20°С до температуры кипения растворителя, предпочтительно от 0°С до комнатной температуры, с образованием соответствующего соединения формулы (III) в виде трифторацетата. Примеры Изобретение иллюстрируется следующими примерами, не ограничивающими его объем. Если не указано иное, характеристики веществ приведены для трифторацетатов смеси диастереомеров относительно хирального атома углерода, связанного с атомом серы (соотношение R:S составляет от 4:1 до 10:1). Содержание стереоизомеров определяли методом ЯМР в бициклическом лактаме, образующемся после удаления Вос-группы. Если не указано иное, время удерживания (ву) каждого соединения определяли методом ЖХВР в следующих условиях: колонка: Interstil ODS-3/4,0×33 мм (фирма GL Science Inc.), подвижная фаза: 0,05% ТФУ/вода – 0,05% ТФУ/ацетонитрил, скорость потока 1,0 мл/мин градиент: ацетонитрил от 10% до 95% (0-4 мин), ацетонитрил 95% (4-5,5 мин), ацетонитрил от 95% от 10% (5,5-6,0 мин). Получение исходных соединений Пример 1 Получение 3-(N-трет-бутоксикарбонил-2′-пирролидинил)-3-метилсульфанилпропионовой кислоты К перемешиваемому раствору трет-бутилового эфира (S)-2-(2-этоксикарбонилвинил)пирролидин-1-карбоновой кислоты (1 г, 3,71 ммоля), полученного известным методом (Heterocycles, 36(9), 2073-2080 (1993)), в ТГФ (10 мл) при 0°С добавляли NaSMe (95%, 781 мг, 11,1 ммоля), смесь нагревали до комнатной температуры и перемешивали в течение 16 ч. Затем смесь нейтрализовали 1 н. HCl, экстрагировали AcOEt, сушили (MgSO4) и концентрировали в вакууме, при этом получали неочищенную 3-(N-трет-бутоксикарбонил-2′-пирролидинил)-3-метилсульфанилпропионовую кислоту (1,13 г), которую использовали на следующей стадии без дополнительной очистки. Пример 2 Получение 3-(N-трет-бутоксикарбонил-2′-пирролидинил)-3-метилсульфанил-N-фенилэтилпропанамида К перемешиваемому раствору неочищенной 3-(N-трет-бутоксикарбонил-2′-пирролидинил)-3-метилсульфанилпропионовой кислоты (1,13 г), полученной, как описано выше, и фенилэтиламина (0,61 мл, 4,83 ммоля) в CH2Cl2 (10 мл) при комнатной температуре добавляли водорастворимый карбодиимид в виде моногидрохлорида (WSCI моногидрохлорид) (682 мг, 4,46 ммоля), моногидрат HOBt (682 мг, 4,46 ммоля) и диизопропилэтиламин (1,94 мл, 11,1 ммоля). Смесь перемешивали при комнатной температуре в течение 14 ч, упаривали в вакууме, экстрагировали AcOEt, промывали 1 н. HCl и водой, сушили (MgSO4) и концентрировали в вакууме. Остаток (приблизительно 2,0 г) очищали экспресс-хроматографией на колонке (элюент: гексан/AcOEt, 2:1), при этом получали 3-(N-трет-бутоксикарбонил-2′-пирролидинил)-3-метилсульфанил-N-фенилэтилпропанамид в виде масла (1,15 г, 79%), который по данным 1Н ЯМР представлял собой смесь двух диастереомеров в соотношении 5:1 (R:S), образованных благодаря появлению нового хирального центра. ЖХ-МС: 393 (МН+), ЖХВР: ву 3,90 мин. 1H ЯМР (CDCl3, 270 МГц): Пример 3 Получение 3-(N-трет-бутоксикарбонил-2′-пирролидинил)-3-этилсульфанил-N-фенилэтилпропанамида К перемешиваемому раствору трет-бутилового эфира (S)-2-(2-этоксикарбонилвинил)пирролидин-1-карбоновой кислоты (103 мг, 0,382 ммоля) в ТГФ (2 мл) при 0°С добавляли EtSH (85 мкл, 1,15 ммоля) и NaH (60% в жидком парафине, 46 мг, 1,15 ммоля). Смесь нагревали до комнатной температуры и перемешивали в течение 7 ч. Затем смесь нейтрализовали 1 н. HCl, экстрагировали AcOEt, промывали насыщенным водным раствором NaCl, сушили (MgSO4) и концентрировали в вакууме, при этом получали трет-бутиловый эфир 2-(2-этоксикарбонилвинил)пирролидин-1-карбоновой кислоты (136 мг) в виде неочищенного масла, которое использовали на следующей стадии без дополнительной очистки. К перемешиваемой суспензии трет-бутилового эфира 2-(2-этоксикарбонилвинил)пирролидин-1-карбоновой кислоты (136 мг) в ТГФ (1 мл) и Н2О (1 мл) при комнатной температуре добавляли LiOH·Н2О (48 мг, 1,14 ммоля). Смесь перемешивали при комнатной температуре в течение 17 ч и экстрагировали 1 н. NaOH и AcOEt. Водный слой подкисляли 1 н. HCl, экстрагировали AcOEt, промывали насыщенным водным раствором NaCl, сушили (MgSO4) и концентрировали в вакууме, при этом получали трет-бутиловый эфир 2-(2-карбоксивинил)пирролидин-1-карбоновой кислоты в виде неочищенного масла (109 мг). К перемешиваемому раствору неочищенного масла (105 мг) в CH3CN (2 мл) при 0°С добавляли реагент ВОР (306 мг, 0,692 ммоля), фенетиламин (87 мкл, 0,693 ммоля) и диизопропилэтиламин (121 мкл, 0,695 ммоля). Смесь нагревали до комнатной температуры и перемешивали в течение 12 ч. Затем смесь упаривали в вакууме, растворяли в CH2Cl2, раствор промывали 10% лимонной кислотой, насыщенным раствором NaHCO3, насыщенным раствором NaCl, сушили (MgSO4) и концентрировали в вакууме. Маслянистый остаток очищали препаративной ТСХ (элюент: гексан/AcOEt, 1:1), при этом получали 3-(N-трет-бутоксикарбонил-2′-пирролидинил)-3-этилсульфанил-N-фенилэтилпропанамид (104 мг, 67%) в виде масла, который по данным 1Н ЯМР представлял собой смесь двух диастереомеров в соотношении 5:1 (R:S), которые образовались благодаря появлению нового хирального центра. ЖХ-МС: 407 (МН+), ЖХВР: ву 3,90 мин. 1Н ЯМР (CDCl3, 270 МГц): Получение соединений по изобретению Пример 1 N-[1-({1-втор-Бутил-2-метокси-4-[2-(1-метилсульфанил-2-фенетилкарбамоил-этил)пирролидин-1-ил]-4-оксобутил}метилкарбамоил)-2-метилпропил]-2-диметиламино-3-метилбутирамид К перемешиваемому раствору 3-(N-трет-бутоксикарбонил-2′-пирролидинил)-3-метилсульфанил-N-фенилэтилпропанамида (30,3 мг, 0,0772 ммоля) в СН2Cl2 (0,5 мл) при 0°С добавляли ТФУ (0,5 мл). Смесь нагревали до комнатной температуры и перемешивали в течение 4 ч. Затем смесь упаривали в вакууме, при этом получали трифторацетат 3-метилсульфанил-N-фенетил-3-пирролидин-2-илпропионамида в виде неочищенного масла. Полученный трифторацетат 3-метилсульфанил-N-фенетил-3-пирролидин-2-илпропионамида растворяли в ДМФА (2 мл) и при 0°С добавляли к (3R*,4S*,5S*)-4-[N,N-диметил-L-валил(N-метил-L-валинамидо)]-3-метокси-5-метилгептановой кислоте, полученной из трет-бутилового эфира (3R*,4S*,5S*)-4-[N,N-диметил-L-валил(N-метил-L-валинамидо)]-3-метокси-5-метилгептановой кислоты (34 мг, 0,0700 ммоля) при обработке ТФУ в CH2Cl2 по известному методу (Chem. Pharm. Bull., 43(10), 1706-1718 (1995)). К полученному раствору при 0°С добавляли диэтиловый эфир цианофосфорной кислоты (95%: 12 мкл, 0,0751 ммоля) и триэтиламин (49 мкл, 0,352 ммоля), перемешивали при 0°С в течение 1 ч, затем нагревали до комнатной температуры и перемешивали в течение 20 ч. Реакцию останавливали добавлением насыщенного водного раствора NaHCO3, смесь экстрагировали AcOEt, промывали насыщенным раствором NaCl, сушили (MgSO4) и концентрировали в вакууме, при этом получали неочищенное масло (90 мг), которое очищали препаративной ЖХВР (колонка: ODS-80Ts, элюент: Н2О/ацетонитрил., 39:31, +0,05% ТФУ). Соответствующие фракции высушивали лиофильно, при этом получали указанное в заголовке соединение в виде аморфного порошка белого цвета (30 мг, 47%). ЖХ-МС: 704 (МН+), ЖХВР: ву 2,88 мин. 1Н ЯМР (CDCl3, 270 МГц): Следующие соединения (примеры 2-45) получали аналогично тому, как описано в примере 1. Пример 2 N-[1-({1-втор-Бутил-4-[2-(1-(S)-трет-бутилсульфанил-2-фенетилкарбамоил-этил)пирролидин-1-ил]-2-метокси-4-оксобутил}метилкарбамоил)-2-метилпропил]-2-диметиламино-3-метилбутирамид Указанное в заголовке соединение получали конденсацией (3R*,4S*,5S*)-4-[N,N-диметил-L-валил(N-метил-L-валинамидо)]-3-метокси-5-метилгептановой кислоты и 3-трет-бутилсульфанил-N-фенетил-3-пирролидин-2-илпропионамида аналогично тому, как описано в примере 1. ЖХ-МС: 746 (МН+), ЖХВР: ву 3,20 мин (S-изомер). 1Н ЯМР (CDCl3, 270 МГц): Пример 3 N-{1-[(1-втор-Бутил-4-{2-[1-(4-трет-бутилфенилсульфанил)-2-фенетилкарбамоилэтил]пирролидин-1-ил}-2-метокси-4-оксобутил)метилкарбамоил]-2-метилпропил)-2-диметиламино-3-метилбутирамид Указанное в заголовке соединение получали конденсацией (3R*,4S*,5S*)-4-[N,N-диметил-L-валил(N-метил-L-валинамидо)]-3-метокси-5-метилгептановой кислоты и 3-(4-трет-бутилфенилсульфанил)-N-фенетил-3-пирролидин-2-илпропионамида аналогично тому, как описано в примере 1. ЖХ-МС: 822 (МН+), ЖХВР: ву 3,64 мин (R-изомер). 1Н ЯМР (CDCl3, 270 МГц): Пример 4 N-{1-[(1-втор-Бутил-2-метокси-4-{2-[1-(4-метоксифенилсульфанил)-2-фенетилкарбамоилэтил]пирролидин-1-ил}-4-оксобутил)метилкарбамоил]-2-метилпропил}-2-диметиламино-3-метилбутирамид Указанное в заголовке соединение получали конденсацией (3R*,4S*,5S*)-4-[N,N-диметил-L-валил(N-метил-L-валинамидо)]-3-метокси-5-метилгептановой кислоты и 3-(4-метоксифенилсульфанил)-N-фенетил-3-пирролидин-2-илпропионамида аналогично тому, как описано в примере 1. ЖХ-МС: 796 (МН+), ЖХВР: ву 3,14 мин (R-изомер). 1Н ЯМР (CDCl3, 270 МГц,): Пример 5 N-{1-[(1-втор-Бутил-4-{2-[1-(S)-(4-гидроксифенилсульфанил)-2-фенетилкарбамоилэтил]пирролидин-1-ил}-2-метокси-4-оксобутил)метилкарбамоил]-2-метилпропил}-2-диметиламино-3-метилбутирамид Указанное в заголовке соединение получали конденсацией (3R*,4S*,5S*)-4-[N,N-диметил-L-валил(N-метил-L-валинамидо)]-3-метокси-5-метилгептановой кислоты и 3-(4-гидроксифенилсульфанил)-N-фенетил-3-пирролидин-2-илпропионамида аналогично тому, как описано в примере 1. ЖХ-МС: 782 (МН+), ЖХВР: ву 2,87 мин (S-изомер). 1H ЯМР (CDCl3, 270 МГц): Пример 6 N-{1-[(1-втор-Бутил-4-{2-[1-(R)-(4-гидроксифенилсульфанил)-2-фенетилкарбамоилэтил]пирролидин-1-ил}-2-метокси-4-оксобутил)метилкарбамоил]-2-метилпропил)-2-диметиламино-3-метилбутирамид Указанное в заголовке соединение получали конденсацией (3R*,4S*,5S*)-4-[N,N-диметил-L-валил(N-метил-L-валинамидо)]-3-метокси-5-метилгептановой кислоты и 3-(4-гидроксифенилсульфанил)-N-фенетил-3-пирролидин-2-илпропионамида аналогично тому, как описано в примере 1. ЖХ-МС: 782 (МН+), ЖХВР: ву 2,88 мин (R-изомер). 1H ЯМР (CDCl3, 270 МГц): Пример 7 N-{1-[(4-{2-[1-(4-Ацетиламинофенилсульфанил)-2-фенетилкарбамоилэтил]-пирролидин-1-ил}-1-втор-бутил-2-метокси-4-оксобутил)метилкарбамоил]-2-метилпропил}-2-диметиламино-3-метилбутирамид Указанное в заголовке соединение получали конденсацией (3R*,4S*,5S*)-4-[N,N-диметил-L-валил(N-метил-L-валинамидо)]-3-метокси-5-метилгептановой кислоты и 3-(4-ацетиламинофенилсульфанил)-N-фенетил-3-пирролидин-2-илпропионамида аналогично тому, как описано в примере 1. ЖХ-МС: 823 (МН+), ЖХВР: ву 2,82 мин (R-изомер). 1Н ЯМР (CDCl3, 270 МГц): Пример 8 N-{1-[(1-втор-Бутил-4-{2-[1-(4-фторфенилсульфанил)-2-фенетилкарбамоил-этил]пирролидин-1-ил}-2-метокси-4-оксобутил)метилкарбамоил]-2-метилпропил}-2-диметиламино-3-метилбутирамид Указанное в заголовке соединение получали конденсацией (3R*,4S*,5S*)-4-[N,N-диметил-L-валил(N-метил-L-валинамидо)]-3-метокси-5-метилгептановой кислоты и 3-(4-фторфенилсульфанил)-N-фенетил-3-пирролидин-2-илпропионамида аналогично тому, как описано в примере 1. ЖХ-МС: 784 (МН+), ЖХВР: ву 3,17 мин (R-изомер). 1H ЯМР (CDCl3, 270 МГц): Пример 9 N-[1-({1-втор-Бутил-4-[2-(1-(R)-трет-бутилсульфанил-2-фенетилкарбамоил-этил)пирролидин-1-ил]-2-метокси-4-оксобутил)метилкарбамоил)-2-метилпропил]-2-диметиламино-3-метилбутирамид Указанное в заголовке соединение получали конденсацией (3R*,4S*,5S*)-4-[N,N-диметил-L-валил(N-метил-L-валинамидо)]-3-метокси-5-метилгептановой кислоты и 3-трет-бутилсульфанил-N-фенетил-3-пирролидин-2-илпропионамида аналогично тому, как описано в примере 1. ЖХ-МС: 746 (МН+), ЖХВР: ву 3,16 мин (R-изомер). 1Н ЯМР (CDCl3, 270 МГц): Пример 10 N-{1-[(1-втор-Бутил-4-{2-[1-(2-гидроксиэтилсульфанил)-2-фенетил-карбамоилэтил]пирролидин-1-ил}-2-метокси-4-оксобутил)метилкарбамоил]-2-метилпропил}-2-диметиламино-3-метилбутирамид Указанное в заголовке соединение получали конденсацией (3R*,4S*,5S*)-4-(N,N-диметил-L-валил(N-метил-L-валинамидо)]-3-метокси-5-метилгептановой кислоты и 3-(2-гидроксиэтилсульфанил)-N-фенетил-3-пирролидин-2-илпропионамида аналогично тому, как описано в примере 1. ЖХ-МС: 734 (МН+), ЖХВР: ву 2,70 мин. 1Н ЯМР (CDCl3, 270 МГц): Пример 11 2-{1-[1-(4-{[2-(2-Диметиламино-3-метилбутириламино)-3-метилбутирил]-метиламино}-3-метокси-5-метилгептаноил)пирролидин-2-ил]-2-фенетилкарбамоилэтилсульфанил}этиловый эфир уксусной кислоты Указанное в заголовке соединение получали конденсацией (3R*,4S*,5S*)-4-[N,N-диметил-L-валил(N-метил-L-валинамидо)]-3-метокси-5-метилгептановой кислоты и 2-(2-фенетилкарбамоил-1-пирролидин-2-илэтилсульфанил)этилового эфира уксусной кислоты аналогично тому, как описано в примере 1. ЖХ-МС: 776 (МН+), ЖХВР: ву 2,86 мин. 1Н ЯМР (CDCl3, 270 МГц): Пример 12 трет-Бутиловый эфир 3-[1-(4-{[2-(2-диметиламино-3-метилбутириламино)-3-метилбутирил]метиламино}-3-метокси-5-метилгептаноил)пирролидин-2-ил]-3-метилсульфанилпропионовой кислоты Указанное в заголовке соединение получали конденсацией (3R*,4S*,5S*)-4-[N,N-диметил-L-валил(N-метил-L-валинамидо)]-3-метокси-5-метилгептановой кислоты и трет-бутилового эфира 3-метилсульфанил-3-пирролидин-2-илпропионовой кислоты аналогично тому, как описано в примере 1. ЖХ-МС: 657 (МН+), ЖХВР: ву 3,10 мин. 1H ЯМР (CDCl3, 270 МГц): Пример 13 3-[1-(4-{[2-(2-Диметиламино-3-метилбутириламино)-3-метилбутирил]-метиламино}-3-метокси-5-метилгептаноил)пирролидин-2-ил]-3-метилсульфанилпропионовая кислота Указанное в заголовке соединение получали конденсацией (3R*,4S*,5S*)-4-[N,N-диметил-L-валил(N-метил-L-валинамидо)]-3-метокси-5-метилгептановой кислоты и 3-метилсульфанил-3-пирролидин-2-илпропионовой кислоты аналогично тому, как описано в примере 1. ЖХ-МС: 601 (МН+), ЖХВР: ву 2,51 мин. 1H ЯМР (ДМСО-d6, 270 МГц): Пример 14 N-(1-{[1-втор-Бутил-2-метокси-4-(2-{1-метилсульфанил-2-[2-(4-сульфамоилфенил)этилкарбамоил]этил}пирролидин-1-ил)-4-оксобутил]-метилкарбамоил}-2-метилпропил)-2-диметиламино-3-метилбутирамид Указанное в заголовке соединение получали конденсацией (3R*,4S*,5S*)-4-[N,N-диметил-L-валил(N-метил-L-валинамидо)]-3-метокси-5-метилгептановой кислоты и 3-метилсульфанил-3-пирролидин-2-ил-N-[2-(4-сульфамоилфенил)этил]пропионамида аналогично тому, как описано в примере 1. ЖХ-МС: 783 (МН+), ЖХВР: ву 2,42 мин. 1H ЯМР (CDCl3, 270 МГц): Пример 15 N-(1-{[1-втор-Бутил-4-(2-{2-[2-(4-гидроксифенил)этилкарбамоил]-1-метилсульфанилэтил}пирролидин-1-ил)-2-метокси-4-оксобутил]метил-карбамоил}-2-метилпропил)-2-диметиламино-3-метилбутирамид Указанное в заголовке соединение получали конденсацией (3R*,4S*,5S*)-4-[N,N-диметил-L-валил(N-метил-L-валинамидо)]-3-метокси-5-метилгептановой кислоты и N-[2-(4-гидроксифенил)этил]-3-метилсульфанил-3-пирролидин-2-илпропионамида аналогично тому, как описано в примере 1. ЖХ-МС: 720 (МН+), ЖХВР: ву 2,50 мин. 1Н ЯМР (CDCl3, 270 МГц): Пример 16 N-{1-[(1-втор-Бутил-2-метокси-4-{2-[2-(метилфенетилкарбамоил)-1-метилсульфанилэтил]пирролидин-1-ил}-4-оксобутил)метилкарбамоил]-2-метилпропил}-2-диметиламино-3-метилбутирамид Указанное в заголовке соединение получали конденсацией (3R*,4S*,5S*)-4-[N,N-диметил-L-валил(N-метил-L-валинамидо)]-3-метокси-5-метилгептановой кислоты и N-метил-3-метилсульфанил-N-фенетил-3-пирролидин-2-илпропионамида аналогично тому, как описано в примере 1. ЖХ-МС: 718 (МН+), ЖХВР: ву 2,92 мин. ‘Н ЯМР (CDCl3, 270 МГц): Пример 17 N-{1-[(4-{2-[3-(4-Бензгидрилпиперазин-1-ил)-1-метилсульфанил-3-оксопропил]пирролидин-1-ил)-1-втор-бутил-2-метокси-4-оксобутил)-метилкарбамоил]-2-метилпропил}-2-диметиламино-3-метилбутирамид Указанное в заголовке соединение получали конденсацией (3R*,4S*,5S*)-4-[N,N-диметил-L-валил(N-метил-L-валинамидо)]-3-метокси-5-метилгептановой кислоты и 1-(4-бензгидрилпиперазин-1-ил)-3-метилсульфанил-3-пирролидин-2-илпропан-1-она аналогично тому, как описано в примере 1. ЖХ-МС: 835 (МН+), ЖХВР: ву 2,57 мин. 1H ЯМР (CDCl3, 270 МГц): Пример 18 N-(1-{[1-втор-Бутил-4-(2-{2-[2-(2-гидроксифенил)этилкарбамоил]-1-метилсульфанилэтил}пирролидин-1-ил)-2-метокси-4-оксобутил]-метилкарбамоил}-2-метилпропил)-2-диметиламино-3-метилбутирамид Указанное в заголовке соединение получали конденсацией (3R*,4S*,5S*)-4-[N,N-диметил-L-валил(N-метил-L-валинамидо)]-3-метокси-5-метилгептановой кислоты и N-[2-(2-гидроксифенил)этил]-3-метилсульфанил-3-пирролидин-2-илпропионамида аналогично тому, как описано в примере 1. ЖХ-МС: 720 (МН+), ЖХВР: ву 2,67 мин. 1Н ЯМР (CDCl3, 270 МГц): Пример 19 N-(1-{[1-втор-Бутил-4-(2-{2-[2-(3-гидроксифенил)этилкарбамоил]-1-метилсульфанилэтил}пирролидин-1-ил)-2-метокси-4-оксобутил]метилкарбамоил}-2-метилпропил)-2-диметиламино-3-метилбутирамид Указанное в заголовке соединение получали конденсацией (3R*,4S*,5S*)-4-[N,N-диметил-L-валил(N-метил-L-валинамидо)]-3-метокси-5-метилгептановой кислоты и N-[2-(3-гидроксифенил)этил]-3-метилсульфанил-3-пирролидин-2-илпропионамида аналогично тому, как описано в примере 1. ЖХ-МС: 720 (МН+), ЖХВР: ву 2,58 мин. 1Н ЯМР (CDCl3, 270 МГц): Пример 20 N-{1-[(4-{2-[2-(Бензилфенетилкарбамоил)-1-метилсульфанилэтил]-пирролидин-1ил}-1-втор-бутил-2-метокси-4-оксобутил)метилкарбамоил]-2-метилпропил}-2-диметиламино-3-метилбутирамид Указанное в заголовке соединение получали конденсацией (3R*,4S*,5S*)-4-[N,N-диметил-L-валил(N-метил-L-валинамидо)]-3-метокси-5-метилгептановой кислоты и N-бензил-3-метилсульфанил-N-фенетил-3-пирролидин-2-илпропионамида аналогично тому, как описано в примере 1. ЖХ-МС: 794 (МН+), ЖХВР: ву 3,43 мин. 1Н ЯМР (CDCl3, 270 МГц): Пример 21 N-{1-[(1-втор-Бутил-2-метокси-4-{2-[1-метилсульфанил-2-(2-фенилцикло-пропилкарбамоил)этил]пирролидин-1-ил}-4-оксобутил)метилкарбамоил]-2-метилпропил}-2-диметиламино-3-метилбутирамид Указанное в заголовке соединение получали конденсацией (3R*,4S*,5S*)-4-[N,N-диметил-L-валил(N-метил-L-валинамидо)]-3-метокси-5-метилгептановой кислоты и 3-метилсульфанил-N-(2-фенилциклопропил)-3-пирролидин-2-илпропионамида аналогично тому, как описано в примере 1. ЖХ-МС: 716 (МН+), ЖХВР: ву 2,90 мин. 1H ЯМР (CDCl3, 270 МГц): Пример 22 N-{1-[(1-втор-Бутил-4-{2-[2-(4-трет-бутилбензилкарбамоил)-1-метилсульфанилэтил]пирролидин-1-ил}-2-метокси-4-оксобутил)метилкарбамоил]-2-метилпропил}-2-диметиламино-3-метилбутирамид Указанное в заголовке соединение получали конденсацией (3R*,4S*,5S*)-4-[N,N-диметил-L-валил(N-метил-L-валинамидо)]-3-метокси-5-метилгептановой кислоты и N-(4-трет-бутилбензил)-3-метилсульфанил-3-пирролидин-2-илпропионамида аналогично тому, как описано в примере 1. ЖХ-МС: 746 (МН+), ЖХВР: ву 3,41 мин. 1Н ЯМР (CDCl3, 270 МГц): Пример 23 N-[1-({4-[2-(2-Бензилкарбамоил-1-метилсульфанилэтил)пирролидин-1-ил]-1-втор-бутил-2-метокси-4-оксобутил}метилкарбамоил)-2-метилпропил]-2-диметиламино-3-метилбутирамид Указанное в заголовке соединение получали конденсацией (3R*,4S*,5S*)-4-[N,N-диметил-L-валил(N-метил-L-валинамидо)]-3-метокси-5-метилгептановой кислоты и N-бензил-3-метилсульфанил-3-пирролидин-2-илпропионамида аналогично тому, как описано в примере 1. ЖХ-МС: 690 (МН+), ЖХВР: ву 2,76 мин. 1H ЯМР (CDCl3, 270 МГц): Пример 24 N-{1-[(4-{2-[2-(N-бензилгидразинокарбонил)-1-метилсульфанилэтил]-пирролидин-1-ил}-1-втор-бутил-2-метокси-4-оксобутил)метилкарбамоил]-2-метилпропил)-2-диметиламино-3-метилбутирамид Указанное в заголовке соединение получали конденсацией (3R*,4S*,5S*)-4-[N,N-диметил-L-валил(N-метил-L-валинамидо)]-3-метокси-5-метилгептановой кислоты и N’-бензилгидразида 3-метилсульфанил-3-пирролидин-2-илпропионовой кислоты аналогично тому, как описано в примере 1. ЖХ-МС: 705 (МН+), ЖХВР: ву 2,52 мин. 1Н ЯМР (CD3OD, 270 МГц): Пример 25 N-[1-({1-втор-Бутил-2-метокси-4-оксо-4-[2-(2-фенетилсульфанилэтил)-пирролидин-1-ил]бутил}метилкарбамоил)-2-метилпропил]-2-диметиламино-3-метилбутирамид Указанное в заголовке соединение получали конденсацией (3R*,4S*,5S*)-4-[N,N-диметил-L-валил(N-метил-L-валинамидо)]-3-метокси-5-метилгептановой кислоты и N-фенетил-3-фенетилсульфанил-3 -пирролидин-2-илпропионамида аналогично тому, как описано в примере 1. ЖХ-МС: 794 (МН+), ЖХВР: ву 3,25 мин. 1H ЯМР (CDCl3, 270 МГц): Пример 26 N-[1-({4-[2-(1-Аллилсульфанил-2-фенетилкарбамоилэтил)пирролидин-1-ил]-1-втор-бутил-2-метокси-4-оксобутил}метилкарбамоил)-2-метилпропил]-2-диметиламино-3-метилбутирамид Указанное в заголовке соединение получали конденсацией (3R*,4S*,5S*)-4-[N,N-диметил-L-валил(N-метил-L-валинамидо)]-3-метокси-5-метилгептановой кислоты и 3-аллилсульфанил-N-фенетил-3-пирролидин-2-илпропионамида аналогично тому, как описано в примере 1. ЖХ-МС: 730 (МН+), ЖХВР: ву 2,96 мин. 1Н ЯМР (CDCl3, 270 МГц): Пример 27 N-{1-[(1-втор-Бутил-2-метокси-4-{2-[1-метилсульфанил-2-(2-пиридин-4-илэтилкарбамоил)этил]пирролидин-1-ил}-4-оксобутил)метилкарбамоил]-2-метилпропил}-2-диметиламино-3-метилбутирамид Указанное в заголовке соединение получали конденсацией (3R*,4S*,5S*)-4-[N,N-диметил-L-валил(N-метил-L-валинамидо)]-3-метокси-5-метилгептановой кислоты и 3-метилсульфанил-N-(2-пиридин-4-илэтил)-3-пирролидин-2-илпропионамида аналогично тому, как описано в примере 1. ЖХ-МС: 705 (MH+), ЖХВР: ву 2,01 мин. 1Н ЯМР (CDCl3, 270 МГц): Пример 28 N-(1-{[4-(2-{2-[(Бензотиазол-2-илметил)карбамоил1-1-метилсульфанилэтил}-пирролидин-1-ил)-1-втор-бутил-2-метокси-4-оксобутил]метилкарбамоил}-2-метилпропил)-2-диметиламино-3-метилбутирамид Указанное в заголовке соединение получали конденсацией (3R*,4S*,5S*)-4-[N,N-диметил-L-валил(N-метил-L-валинамидо)]-3-метокси-5-метилгептановой кислоты и N-бензотиазол-2-илметил-3-метилсульфанил-3 -пирролидин-2-ил-пропионамида аналогично тому, как описано в примере 1. ЖХ-МС: 747 (МН+), ЖХВР: ву 2,73 мин. 1Н ЯМР (CDCl3, 270 МГц): Пример 29 N-{1-[(1-втор-Бутил-2-метокси-4-{2-[1-метилсульфанил-2-(2-тиофен-2-илэтилкарбамоил)этил]пирролидин-1-ил}-4-оксобутил)метилкарбамоил]-2-метилпропил}-2-диметиламино-3-метилбутирамид Указанное в заголовке соединение получали конденсацией (3R*,4S*,5S*)-4-[N,N-диметил-L-валил(N-метил-L-валинамидо)]-3-метокси-5-метилгептановой кислоты и 3-метилсульфанил-3-пирролидин-2-ил-N-(2-тиофен-2-илэтил)пропионамида аналогично тому, как описано в примере 1. ЖХ-МС: 710 (МН+), ЖХВР: ву 2,74 мин. 1Н ЯМР (CDCl3, 270 МГц): Пример 30 N-{1-[(1-втор-Бутил-2-метокси-4-(2-[1-метилсульфанил-2-(2-пиридин-3-илэтилкарбамоил)этил]пирролидин-1-ил}-4-оксобутил)метилкарбамоил]-2-метилпропил}-2-диметиламино-3-метилбутирамид Указанное в заголовке соединение получали конденсацией (3R*,4S*,5S*)-4-[N,N-диметил-L-валил(N-метил-L-валинамидо)]-3-метокси-5-метилгептановой кислоты и 3-метилсульфанил-N-(2-пиридин-3-илэтил)-3-пирролидин-2-илпропионамида аналогично тому, как описано в примере 1. ЖХ-МС: 705 (MH+), ЖХВР: ву 1,99 мин. 1Н ЯМР (CDCl3, 270 МГц): Пример 31 N-{1-[(1-втор-Бутил-2-метокси-4-{2-[1-метилсульфанил-2-(2-пиридин-2-илэтилкарбамоил)этил]пирролидин-1-ил}-4-оксобутил)метилкарбамоил]-2-метилпропил}-2-диметиламино-3-метилбутирамид Указанное в заголовке соединение получали конденсацией (3R*,4S*,5S*)-4-[N,N-диметил-L-валил(N-метил-L-валинамидо)]-3-метокси-5-метилгептановой кислоты и 3-метилсульфанил-N-(2-пиридин-2-илэтил)-3-пирролидин-2-илпропионамида аналогично тому, как описано в примере 1. ЖХ-МС: 705 (МН+), ЖХВР: ву 2,00 мин. 1H ЯМР (CDCl3, 270 МГц): Пример 32 N-(1-{[1-втор-Бутил-2-метокси-4-(2-{1-метилсульфанил-2-[(пиридин-4-илметил)карбамоил]этил}пирролидин-1-ил)-4-оксобутил] метилкарбамоил)-2-метилпропил)-2-диметиламино-3-метилбутирамид Указанное в заголовке соединение получали конденсацией (3R*,4S*,5S*)-4-[N,N-диметил-L-валил(N-метил-L-валинамидо)]-3-метокси-5-метилгептановой кислоты и 3-метилсульфанил-N-пиридин-4-илметил-3-пирролидин-2-илпропионамида аналогично тому, как описано в примере 1. ЖХ-МС: 691 (МН+), ЖХВР: ву 2,00 мин. 1Н ЯМР (CDCl3, 270 МГц): Пример 33 N-(1-{[1-втор-Бутил-4-(2-{2-[2-(3Н-имидазол-4-ил)этилкарбамоил]-1-метилсульфанилэтил}пирролидин-1-ил)-2-метокси-4-оксобутил]метилкарбамоил}-2-метилпропил)-2-диметиламино-3-метилбутирамид Указанное в заголовке соединение получали конденсацией (3R*,4S*,5S*)-4-[N,N-диметил-L-валил(N-метил-L-валинамидо)]-3-метокси-5-метилгептановой кислоты и N-[2-(3Н-имидазол-4-ил)этил]-3-метилсульфанил-3-пирролидин-2-илпропионамида аналогично тому, как описано в примере 1. ЖХ-МС: 694 (МН+), ЖХВР: ву 2,06 мин. 1Н ЯМР (DMSO-d6, 270 МГц): Пример 34 N-{1-[(1-втор-Бутил-2-метокси-4-{2-[1-метилсульфанил-2-(тиазол-2-илкарбамоил)этил]пирролидин-1-ил}-4-оксобутил)метилкарбамоил]-2-метилпропил}-2-диметиламино-3-метилбутирамид Указанное в заголовке соединение получали конденсацией (3R*,4S*,5S*)-4-[N,N-диметил-L-валил(N-метил-L-валинамидо)]-3-метокси-5-метилгептановой кислоты и 3-метилсульфанил-3-пирролидин-2-ил-N-тиазол-2-илпропионамида аналогично тому, как описано в примере 1. ЖХ-МС: 683 (МН+), ЖХВР: ву 2,67 мин. 1Н ЯМР (CDCl3, 270 МГц): Пример 35 N-{1-[(1-втор-Бутил-2-метокси-4-{2-[1-метилсульфанил-2-(нафталин-2-илкарбамоил)этил]пирролидин-1-ил}-4-оксобутил)метилкарбамоил]-2-метилпропил)-2-диметиламино-3-метилбутирамид Указанное в заголовке соединение получали конденсацией (3R*,4S*,5S*)-4-[N,N-диметил-L-валил(N-метил-L-валинамидо)]-3-метокси-5-метилгептановой кислоты и 3-метилсульфанил-N-нафталин-2-ил-3-пирролидин-2-илпропионамида аналогично тому, как описано в примере 1. ЖХ-МС: 726 (МН+), ЖХВР: ву 3,13 мин. 1Н ЯМР (CDCl3, 270 МГц): Пример 36 N-[1-({1-втор-Бутил-4-[2-(2-циклогексилкарбамоил-1-метилсульфанилэтил)-пирролидин-1-ил]-2-метокси-4-оксобутил}метилкарбамоил)-2-метилпропил]-2-диметиламино-3-метилбутирамид Указанное в заголовке соединение получали конденсацией (3R*,4S*,5S*)-4-[N,N-диметил-L-валил(N-метил-L-валинамидо)]-3-метокси-5-метилгептановой кислоты и N-циклогексил-3-метилсульфанил-3-пирролидин-2-илпропионамида аналогично тому, как описано в примере 1. ЖХ-МС: 682 (МН+), ЖХВР: ву 2,85 мин. 1Н ЯМР (CDCl3, 270 МГц): Пример 37 N-[1-({1-втор-Бутил-4-[2-(2-{[2-(3,4-диметоксифенил)этил]метил-карбамоил}-1-метилсульфанилэтил)пирролидин-1-ил]-2-метокси-4-оксобутил}-метилкарбамоил)-2-метилпропил]-2-диметиламино-3-метилбутирамид Указанное в заголовке соединение получали конденсацией (3R*,4S*,5S*)-4-[N,N-диметил-L-валил(N-метил-L-валинамидо)]-3-метокси-5-метилгептановой кислоты и N-[2-(3,4-диметоксифенил)этил]-N-метил-3-метилсульфанил-3-пирролидин-2-илпропионамида аналогично тому, как описано в примере 1. ЖХ-МС: 778 (МН+), ЖХВР: ву 2,80 мин. 1Н ЯМР (CDCl3, 270 МГц): Пример 38 N-(1-{[1-втор-Бутил-4-(2-{2-[2-(3,4-диметоксифенил)этилкарбамоил]-1-метилсульфанилэтил}пирролидин-1-ил)-2-метокси-4-оксобутил]-метилкарбамоил}-2-метилпропил)-2-диметиламино-3-метилбутирамид Указанное в заголовке соединение получали конденсацией (3R*,4S*,5S*)-4-[N,N-диметил-L-валил(N-метил-L-валинамидо)]-3-метокси-5-метилгептановой кислоты и N-[2-(3,4-диметоксифенил)этил]-3-метилсульфанил-3-пирролидин-2-илпропионамида аналогично тому, как описано в примере 1. ЖХ-МС: 764 (МН+), ЖХВР: ву 2,69 мин. 1Н ЯМР (CDCl3, 270 МГц): Пример 39 N-[1-({1-втор-Бутил-2-метокси-4-оксо-4-[2-(1-пентилсульфанил-2-фенетилкарбамоилэтил)пирролидин-1-ил]бутил}метилкарбамоил)-2-метилпропил]-2-диметиламино-3-метилбутирамид Указанное в заголовке соединение получали конденсацией (3R*,4S*,5S*)-4-[N,N-диметил-L-валил(N-метил-L-валинамидо)]-3-метокси-5-метилгептановой кислоты и 3-пентилсульфанил-N-фенетил-3-пирролидин-2-илпропионамида аналогично тому, как описано в примере 1. МС-ЖХ: 760 (М+), ЖХВР: ву 3,71 мин (система фирмы Waters). 1Н ЯМР (CDCl3, 270 МГц): Пример 40 N-{1-[(1-втор-Бутил-2-метокси-4-{2-[1-(нафталин-2-илсульфанил)-2-фенетилкарбамоилэтил]пирролидин-1-ил}-4-оксобутил)метилкарбамоил]-2-метилпропил}-2-диметиламино-3-метилбутирамид Указанное в заголовке соединение получали конденсацией (3R*,4S*,5S*)-4-[N,N-диметил-L-валил(N-метил-L-валинамидо)]-3-метокси-5-метилгептановой кислоты и 3-(нафталин-2-илсульфанил)-N-фенетил-3-пирролидин-2-илпропионамида аналогично тому, как описано в примере 1. ЖХ-МС: 816 (М+), 817 (М+Н+), ЖХВР: ву 3,90 мин (система фирмы Waters). 1Н ЯМР (CDCl3, 270 МГц): Пример 41 N-{1-[(1-втор-Бутил-4-{2-[1-(4-фторбензилсульфанил)-2-фенетилкарбамоилэтил]пирролидин-1-ил}-2-метокси-4-оксобутил)-метилкарбамоил]-2-метилпропил}-2-диметиламино-3-метилбутирамид Указанное в заголовке соединение получали конденсацией (3R*,4S*,5S*)-4-[N,N-диметил-L-валил(N-метил-L-валинамидо)]-3-метокси-5-метилгептановой кислоты и 3-(4-фторбензилсульфанил)-N-фенетил-3-пирролидин-2-илпропионамида аналогично тому, как описано в примере 1. ЖХ-МС: 798 (М+), 799 (М+Н+), ЖХВР: ву 3,21 мин. 1Н ЯМР (CDCl3, 270 МГц): Пример 42 N-{1-[(1-Втор-бутил-4-{2-[1-(фуран-2-илметилсульфанил)-2-фенетилкарбамоилэтил]пирролидин-1-ил}-2-метокси-4-оксобутил)-метилкарбамоил]-2-метилпропил}-2-диметиламино-3-метилбутирамид Указанное в заголовке соединение получали конденсацией (3R*,4S*,5S*)-4-[N,N-диметил-L-валил(N-метил-L-валинамидо)]-3-метокси-5-метилгептановой кислоты и 3-(фуран-2-илметилсульфанил)-N-фенетил-3-пирролидин-2-илпропионамида аналогично тому, как описано в примере 1. ЖХ-МС: 770 (М), 771 (М+Н+), ЖХВР: ву 3,42 мин (система фирмы Waters). 1H ЯМР (CDCl3, 270 МГц): Пример 43 N-(1-{[1-втор-Бутил-2-метокси-4-(2-{2-[2-(4-метоксифенил)-этилкарбамоил]-1-метилсульфанилэтил}пирролидин-1-ил)-4-оксобутил]-метилкарбамоил}-2-метилпропил)-2-диметиламино-3-метилбутирамид Указанное в заголовке соединение получали конденсацией (3R*,4S*,5S*)-4-[N,N-диметил-L-валил(N-метил-L-валинамидо)]-3-метокси-5-метилгептановой кислоты и N-[2-(4-метоксифенил)этил]-3-метилсульфанил-3-пирролидин-2-илпропионамида аналогично тому, как описано в примере 1. ЖХ-МС: 734 (М+), 735 (М+Н+), ЖХВР: ву 2,88 мин. 1Н ЯМР (CDCl3, 270 МГц): Пример 44 N-{1-[(1-втор-Бутил-2-метокси-4-{2-[1-метилсульфанил-2-(4-[1,2,3]тиадиазол-4-илбензилкарбамоил)этил]пирролидин-1-ил}-4-оксобутил)-метилкарбамоил]-2-метилпропил}-2-диметиламино-3-метилбутирамид Указанное в заголовке соединение получали конденсацией (3R*,4S*,5S*)-4-[N,N-диметил-L-валил(N-метил-L-валинамидо)]-3-метокси-5-метилгептановой кислоты и 3-метилсульфанил-3-пирролидин-2-ил-N-(4-[1,2,3]тиадиазол-4-илбензил)пропионамида аналогично тому, как описано в примере 1. ЖХ-МС: 774 (M+), 775 (М+Н+), ЖХВР: ву 2,92 мин. 1H ЯМР (CDCl3, 270 МГц): Пример 45 N-{1-[(4-{2-[2-(1-Бензилпиперидин-4-илкарбамоил)-1-метилсульфанилэтил]пирролидин-1-ил}-1-втор-бутил-2-метокси-4-оксобутил)-метилкарбамоил]-2-метилпропил}-2-диметиламино-3-метилбутирамид Указанное в заголовке соединение получали конденсацией (3R*,4S*,5S*)-4-[N,N-диметил-L-валил(N-метил-L-валинамидо)]-3-метокси-5-метилгептановой кислоты и N-(1-бензилпиперидин-4-ил)-3-метилсульфанил-3-пирролидин-2-илпропионамида аналогично тому, как описано в примере 1. ЖХ-МС: 773 (М+), ЖХВР: ву 2,33 мин. 1Н ЯМР (CDCl3, 270 МГц): Пример 46 N-[1-({1-втор-Бутил-4-[2-(1-метансульфинил-2-фенетилкарбамоилэтил)-пирролидин-1-ил]-2-метокси-4-оксобутил}-метилкарбамоил)-2-метилпропил]-2-диметиламино-3 -метилбутирамид Получение трет-бутилового эфира 2-(метансульфинил-2-фенетил-карбамоилэтил)пирролидин-1-карбоновой кислоты. К перемешиваемому раствору трет-бутилового эфира 2-(метансульфанил-2-фенетилкарбамоилэтил)пирролидин-1-карбоновой кислоты (62 мг, 0,158 ммоля) в СН2Cl2 (2 мл) при 0°С добавляли mCPBA (30 мг, 0,174 ммоля) и реакционную смесь перемешивали при 0°С в течение 1 ч. Реакцию останавливали добавлением 1 н. NaOH, экстрагировали AcOEt, экстракт промывали насыщенным раствором NaCl, сушили (MgSO4) и концентрировали в вакууме. Полученный остаток очищали препаративной ТСХ (элюент: СН2Cl2/МеОН, 95:5), при этом получали трет-бутиловый эфир 2-(метансульфинил-2-фенетилкарбамоилэтил)пирролидин-1-карбоновой кислоты в виде бесцветного масла (39 мг, 61%). ЖХ-МС: 409 (МН+), ЖХВР: ву 2,99 мин. 1Н ЯМР (CDCl3, 270 МГц): Указанное в заголовке соединение получали конденсацией (3R*,4S*,5S*)-4-[N,N-диметил-L-валил(N-метил-L-валинамидо)]-3-метокси-5-метилгептановой кислоты и 3-метансульфинил-N-фенетил-3-пирролидин-2-илпропионамида аналогично тому, как описано в примере 1. ЖХ-МС: 720 (МН+), ЖХВР: ву 2,50 мин. 1Н ЯМР (CDCl3, 270 МГц): Пример 47 N-[1-({1-втор-Бутил-4-[2-(1-метансульфонил-2-фенетилкарбамоилэтил)-пирролидин-1-ил]-2-метокси-4-оксобутил}-метилкарбамоил)-2-метилпропил]-2-диметиламино-3-метилбутирамид Получение трет-бутилового эфира 2-(метансульфонил-2-фенетилкарбамоил-этил)пирролидин-1-карбоновой кислоты К перемешиваемому раствору трет-бутилового эфира 2-(метансульфанил-2-фенетилкарбамоилэтил)пирролидин-1-карбоновой кислоты (130 мг, 0,331 ммоля) в СН2Cl2 (4 мл) при 0°С добавляли mCPBA (286 мг, 1,66 ммоля) и реакционную смесь перемешивали при КТ в течение 2 ч. Реакцию останавливали добавлением 1 н. NaOH, экстрагировали AcOEt, экстракт промывали насыщенным раствором NaCl, сушили (MgSO4) и концентрировали в вакууме. Полученный остаток очищали препаративной ТСХ (элюент: н-гексан/AcOEt, 1:3), при этом получали трет-бутиловый эфир 2-(метансульфонил-2-фенетилкарбамоилэтил)пирролидин-1-карбоновой кислоты (140 мг, выход количественный) в виде бесцветного масла. ЖХ-МС: 425 (МН+), ЖХВР: ву 3,45 мин. 1Н ЯМР (CDCl3, 270 МГц): Указанное в заголовке соединение получали конденсацией (3R*,4S*,5S*)-4-[N,N-диметил-L-валил(N-метил-L-валинамидо)]-3-метокси-5-метилгептановой кислоты и 3-метансульфонил-N-фенетил-3-пирролидин-2-илпропионамида аналогично тому, как описано в примере 1. ЖХ-МС: 736 (МН+), ЖХВР: ву 2,67 мин. 1H ЯМР (CDCl3, 270 МГц): Пример 48 N-[1-({1-втор-Бутил-2-метокси-4-[2-(1-метилсульфанил-2-фенетилкарбамоилэтил)пирролидин-1-ил]-4-оксобутил}метилкарбамоил)-2-метилпропил]-3-метил-2-метиламинобутирамид К перемешиваемому раствору трет-бутилового эфира 2-(1-метилсульфанил-2-фенетилкарбамоилэтил)пирролидин-1-карбоновой кислоты (1,15 г, 2,93 ммоля) в CH2Cl2 (3 мл) при 0°С добавляли ТФУ, смесь перемешивали при 0°С в течение 30 мин и упаривали в вакууме, при этом получали трифторацетат 3-метилсульфанил-N-фенетил-3-пирролидин-2-илпропионамида в виде неочищенного масла (1,87 г), которое использовали на следующей стадии без дополнительной очистки (диастереомеры разделяли препаративной ЖХВР (колонка ODS-80TS, элюент: Н2О/ацетонитрил, 79:21, +0,05% ТФУ)). К перемешиваемому раствору (3R*,4S*,5S*)-4-[N-бензилоксикарбонил-N-метил-L-валил(N-метил-L-валинамидо)]-3-метокси-5-метилгептановой кислоты (1,12 г, 2,05 ммоля), полученную известным способом (см. Chem.Pharm.Bull, 43 (10), 1706-1718, 1995), и неочищенного трифторацетата 3-метил сульфанил-N-фенетил-3-пирролидин-2-илпропионамида (1,31 г, 2,05 ммоля), полученного, как описано выше, в CH2Cl2 (3 мл) при 0°С добавляли диизопропилэтиламин (3,58 мл, 20,5 ммоля), WSCI моногидрохлорид (511 мг, 2,67 ммоля) и моногидрат HOBt (408 мг, 2,67 ммоля). Смесь перемешивали при комнатной температуре в течение 16 ч и упаривали в вакууме, остаток высушивали в вакууме, при этом получали бензиловый эфир {1-[1-({1-втор-бутил-2-метокси-4-[2-(1-метилсульфанил-2-фенетилкарбамоилэтил)пирролидин-1-ил]-4-оксобутил}-метилкарбамоил)-2-метилпропилкарбамоил]-2-метилпропил}метилкарбаминовой кислоты (2,19 г) в виде неочищенного масла, которое использовали на следующей стадии без дополнительной очистки. К перемешиваемому раствору бензилового эфира {1-[1-({1-втор-бутил-2-метокси-4-[2-(1-метилсульфанил-2-фенетилкарбамоилэтил)пирролидин-1-ил]-4-оксобутил}метилкарбамоил)-2-метилпропилкарбамоил]-2-метилпропил}-метилкарбаминовой кислоты (1,1 г), полученного, как описано выше, в tBuOH (36 мл) и H2O (4 мл) при комнатной температуре добавляли Pd(OH)2 на угле (приблизительно 20 мас.%, 1 г) и смесь гидрировали в атмосфере Н2 при перемешивании при комнатной температуре в течение 14 ч. Затем смесь фильтровали через слой целита, целит промывали МеОН. Фильтрат и промывку объединяли и концентрировали в вакууме, при этом получали неочищенную смолу (1,01 г), которую очищали препаративной ЖХВР (колонка ODS-80Ts, элюент: Н2О/ацетонитрил, 57:43, +0,05% ТФУ). Соответствующие фракции высушивали лиофильно, при этом получали указанное в заголовке соединение в виде аморфного порошка белого цвета (388 мг, 47%). ЖХ-МС: 690 (МН+), ЖХВР: ву 2,76 мин (R-изомер). 1H ЯМР (CDCl3, 270 МГц): Следующие соединения (примеры 49-53) получали аналогично тому, как описано в примере 48. Пример 49 N-[1-({1-втор-Бутил-4-[2-(1-этилсульфанил-2-фенетилкарбамоилэтил)-пирролидин-1-ил]-2-метокси-4-оксобутил}метилкарбамоил)-2-метилпропил]-3-метил-2-метиламинобутирамид Указанное в заголовке соединение получали из (3R*,4S*,5S*)-4-[N-бензилоксикарбонил-N-метил-L-валил(N-метил-L-валинамидо)]-3-метокси-5-метилгептановой кислоты и 3-этилсульфанил-N-фенетил-3-пирролидин-2-ил-пропионамида аналогично тому, как описано в примере 48. ЖХ-МС: 704 (МН+), ЖХВР: ву 2,87 мин (R-изомер). 1Н ЯМР (CDCl3, 270 МГц): Пример 50 N-[1-({1-втор-Бутил-2-метокси-4-оксо-4-[2-(2-фенетилкарбамоилэтил-1-фенилсульфанилэтил)пирролидин-1-ил]бутил}метилкарбамоил)-2-метилпропил]-3-метил-2-метиламинобутирамид Указанное в заголовке соединение получали из (3R*,4S*,5S*)-4-[N-бензилоксикарбонил-N-метил-L-валил(N-метил-L-валинамидо)]-3-метокси-5-метилгептановой кислоты и N-фенетил-3-фенилсульфанил-3-пирролидин-2-ил-пропионамида аналогично тому, как описано в примере 48. ЖХ-МС: 752 (MH+), ЖХВР: ву 3,08 мин (R-изомер). 1Н ЯМР (CDCl3, 270 МГц): Пример 51 N-[1-({1-втор-Бутил-4-[2-(1-трет-бутилсульфанил-2-фенетилкарбамоил-этил)пирролидин-1-ил]-2-метокси-4-оксобутил}-метилкарбамоил)-2-метилпропил]-3-метил-2-метиламинобутирамид Указанное в заголовке соединение получали из (3R*,4S*,5S*)-4-[N-бензилоксикарбонил-N-метил-L-валил(N-метил-L-валинамидо)]-3-метокси-5-метилгептановой кислоты и 3-трет-бутилсульфанил-N-фенетил-3-пирролидин-2-илпропионамида аналогично тому, как описано в примере 48. ЖХ-МС: 732 (МН+), ЖХВР: ву 3,25 мин (R-изомер). 1Н ЯМР (CDCl3, 270 МГц): Пример 52 N-[1-({1-втор-Бутил-4-[2-(1-изопропилсульфанил-2-фенетилкарбамоил-этил)пирролидин-1-ил]-2-метокси-4-оксобутил}-метилкарбамоил)-2-метилпропил]-3-метил-2-метиламинобутирамид Указанное в заголовке соединение получали из (3R*,4S*,5S*)-4-[N-бензилоксикарбонил-N-метил-L-валил(N-метил-L-валинамидо)]-3-метокси-5-метилгептановой кислоты и 3-изопропилсульфанил-N-фенетил-3-пирролидин-2-илпропионамида аналогично тому, как описано в примере 48. ЖХ-МС: 718 (МН+), ЖХВР: ву 2,97 мин (R-изомер). 1H ЯМР (CDCl3, 270 МГц): Пример 53 N-{1-[(1-втор-Бутил-2-метокси-4-оксо-4-{2-[2-фенетилкарбамоил-1-(2-метилпропан-2-сульфонил)этил]пирролидин-1-ил}бутил)метилкарбамоил]-2-метилпропил}-3-метил-2-метиламинобутирамид Указанное в заголовке соединение получали из (3R*,4S*,5S*)-4-[N-бензилоксикарбонил-N-метил-L-валил(N-метил-L-валинамидо)]-3-метокси-5-метилгептановой кислоты и 3-(2-метилпропан-2-сульфонил)-N-фенетил-3-пирролидин-2-илпропионамида аналогично тому, как описано в примере 48. ЖХ-МС: 764 (МН+), ЖХВР: ву 2,81 мин (R-изомер). 1Н ЯМР (CDCl3, 270 МГц): Пример 54 N-[1-({1-втор-Бутил-4-[2-(1-метансульфонил-2-фенетилкарбамоилэтил)пирролидин-1-ил]-2-метокси-4-оксобутил}метилкарбамоил)-2-метилпропил]-3-метил-2-метиламинобутирамид К перемешиваемому раствору бензилового эфира {1-[1-({1-втор-бутил-2-метокси-4-[2-(1-метилсульфанил-2-фенетилкарбамоилэтил)пирролидин-1-ил]-4-оксобутил}метилкарбамоил)-2-метилпропилкарбамоил]-2-метилпропил}метилкарбаминовой кислоты (0,35 г) в CH2Cl2 (3 мл) при комнатной температуре добавляли mCPBA (80%, 356 мг, 1,65 ммоля). После перемешивания при комнатной температуре в течение 4 ч реакцию останавливали добавлением 5 н. NaOH (10 мл), смесь экстрагировали AcOEt, экстракт промывали Н2О, сушили (MgSO4) и концентрировали в вакууме, при этом получали бензиловый эфир {1-[1-({1-втор-бутил-2-метокси-4-[2-(1-метилсульфонил-2-фенетилкарбамоилэтил)пирролидин-1-ил]-4-оксобутил}метилкарбамоил)-2-метилпропилкарбамоил]-2-метилпропил}метилкарбаминовой кислоты (311 мг) в виде неочищенного масла, которое использовали на следующей стадии без дополнительной очистки. К перемешиваемому раствору бензилового эфира {1-[1-({1-втор-бутил-2-метокси-4-[2-(1-метилсульфонил-2-фенетилкарбамоилэтил)пирролидин-1-ил]-4-оксобутил}метилкарбамоил)-2-метилпропилкарбамоил]-2-метилпропил}метилкарбаминовой кислоты (311 мг), полученного, как описано выше, в tBuOH (9 мл) и Н2О (1 мл) при комнатной температуре добавляли Pd(OH)2 на угле (приблизительно 20 мас.%, 1 г) и смесь гидрировали в атмосфере Н2 при перемешивании при комнатной температуре в течение 13,5 ч. Затем смесь фильтровали через слой целита, целит промывали МеОН. Фильтрат и промывку объединяли и концентрировали в вакууме, при этом получали неочищенную смолу (285 мг), которую очищали препаративной ЖХВР (колонка ODS-80Ts, элюент Н2О+/ацетонитрил, 40:30, +0,05% ТФУ). Соответствующие фракции высушивали лиофильно, при этом получали указанное в заголовке соединение в виде аморфного порошка белого цвета (160 мг, 58%). ЖХ-МС: 722 (МН+), ЖХВР: ву 2,61 мин (R-изомер). 1Н ЯМР (CDCl3, 270 МГц): Следующие соединения (примеры 55-57) получали аналогично тому, как описано в примере 54. Пример 55 N-[1-({1-втор-Бутил-4-[2-(1-этансульфонил-2-фенетилкарбамоилэтил)пирролидин-1-ил]-2-метокси-4-оксобутил}метилкарбамоил)-2-метилпропил]-3-метил-2-метиламинобутирамид Указанное в заголовке соединение получали окислением бензилового эфира {1-[1-({1-втор-бутил-4-[2-(1-этилсульфанил-2-фенетилкарбамоилэтил)пирролидин-1-ил]-2-метокси-4-оксобутил}метилкарбамоил)-2-метилпропилкарбамоил]-2-метилпропил}метилкарбаминовой кислоты в присутствии mCPBA и последующим гидрированием полученного продукта аналогично тому, как описано в примере 54. ЖХ-МС: 736 (МН+), ЖХВР: ву 2,68 мин (R-изомер). 1H ЯМР (CDCl3, 270 МГц): Пример 56 N-[1-({4-[2-(1-Бензолсульфонил-2-фенетилкарбамоилэтил)пирролидин-1-ил]-1-втор-бутил-2-метокси-4-оксобутил}метилкарбамоил)-2-метилпропил]-3-метил-2-метиламинобутирамид Указанное в заголовке соединение получали аналогично тому, как описано в примере 54, окислением бензилового эфира {1-[1-({1-втор-бутил-2-метокси-4-оксо-4-[2-(2-фенетилкарбамоил-1-фенилсульфанилэтил)пирролидин-1-ил]бутил}-метилкарбамоил)-2-метилпропилкарбамоил]-2-метилпропил}метилкарбаминовой кислоты в присутствии m-СРВА и последующим гидрированием. ЖХ-МС: 784 (МН+), ЖХВР: ву 2,92 мин (R-изомер). 1Н-ЯМР (CDCl3, 270 МГц): Пример 57 N-{1-[(1-втор-Бутил-2-метокси-4-оксо-4-{2-[2-фенетилкарбамоил-1-(пропан-2-сульфонил)этил]пирролидин-1-ил}бутил)метилкарбамоил]-2-метилпропил}-3-метил-2-метиламинобутирамид Указанное в заголовке соединение получали аналогично тому, как описано в примере 54, окислением бензилового эфира {1-[1-({1-втор-бутил-4-[2-(1-изо-пропилсульфанил-2-фенетилкарбамоилэтил)пирролидин-1-ил]-2-метокси-4-оксобутил}метилкарбамоил)-2-метилпропилкарбамоил]-2-метилпропил}метилкарбаминовой кислоты в присутствии m-СРВА и последующим гидрированием. ЖХ-МС: 750 (МН+), ЖХВР: ву 2,72 мин (R-изомер). 1Н-ЯМР (CDCl3, 270 МГц): Пример 58 N-[1-({1-втор-Бутил-2-метокси-4-[2-(1-метилсульфанил-2-фенетил-карбамоилпропил)пирролидин-1-ил]-4-оксобутил}метилкарбамоил)-2-метилпропил]-2-диметиламино-3-метилбутирамид Получение трет-бутилового эфира 2-(1-метилсульфанил-2-фенетил-карбамоилпропил)пирролидин-1-карбоновой кислоты К перемешиваемому раствору трет-бутилового эфира (S)-2-(2-метокси-карбонилпропенил)пирролидин-1-карбоновой кислоты (200 мг, 0,71 ммоля) в ТГФ (3 мл) при комнатной температуре добавляли NaSMe (95%, 156 мг, 2,12 ммоля). Затем смесь перемешивали в запаянной ампуле при 150°С в течение 14 ч, охлаждали до комнатной температуры, нейтрализовали добавлением 1 н. HCl (20 мл), экстрагировали AcOEt, сушили (MgSO4) и концентрировали в вакууме, при этом получали трет-бутиловый эфир 2-(2-карбокси-1-метилсульфанилпропил)-пирролидин-1-карбоновой кислоты (223 мг) в виде неочищенного масла, которое использовали на следующей стадии без дополнительной очистки. К перемешиваемому раствору неочищенного трет-бутилового эфира 2-(2-карбокси-1-метилсульфанилпропил)пирролидин-1-карбоновой кислоты (223 мг), полученного, как описано выше, в СН2Cl2 (3 мл) при комнатной температуре добавляли фенетиламин (0,18 мл, 1,41 ммоля), WSCI моногидрохлорид (203 мг, 1,06 ммоля), моногидрат HOBt (162 мг, 1,06 ммоля) и диизопропилэтиламин (0,37 мл, 2,12 ммоля). Смесь перемешивали при комнатной температуре в течение 4,5 ч, нейтрализовали добавлением 1 н. HCl (20 мл), экстрагировали AcOEt, сушили (MgSO4) и концентрировали в вакууме, при этом получали неочищенное масло, которое очищали экспресс-хроматографией на колонке (элюент: гексан/AcOEt, 3:1), при этом получали трет-бутиловый эфир 2-(1-метилсульфанил-2-фенетил-карбамоилпропил)пирролидин-1-карбоновой кислоты в виде масла (123 мг, 43%). Указанное в заголовке соединение получали аналогично тому, как описано в примере 1, конденсацией (3R*,4S*,5S*)-4-[N,N-диметил-L-валил(N-метил-L-валинамидо)]-3-метокси-5-метилгептановой кислоты и 2-метил-3-метил-сульфанил-N-фенетил-3-пирролидин-2-илпропионамида, полученного из N-Boc-производного, как описано выше. ЖХ-МС: 407 (МН+), ЖХВР: ву 4,06 мин. 1Н-ЯМР (CDCl3 270 МГц): Пример 59 N-[1-({1-втор-Бутил-2-метокси-4-[2-(1-метилсульфанил-2-фенетил-карбамоилпропил)пирролидин-1-ил]-4-оксобутил}метилкарбамоил)-2-метилпропил]-2-метиламино-3-метилбутирамид Указанное в заголовке соединение получали из (3R*,4S*,5S*)-4-[N-бензилоксикарбонил-N-метил-L-валил(N-метил-L-валинамидо)]-3-метокси-5-метилгептановой кислоты и 3-метилсульфанил-N-фенетил-3-пирролидин-2-илпропионамида аналогично тому, как описано в примере 48. ЖХ-МС: 704 (МН+), ЖХВР: ву 2,88 мин. 1H-ЯМР (CDCl3, 270 МГц): Пример 60 N-(1-{[1-втор-Бутил-4-(2-{2-[2-(3-гидроксифенил)этилкарбамоил]-1-метил-сульфанилпропил}пирролидин-1-ил)-2-метокси-4-оксобутил]метилкарбамоил}-2-метилпропил)-2-диметиламино-3-метилбутирамид Получение трет-бутилового эфира (2S)-2-[(1R,2S)-2-бензилоксикарбонил-1-метилсульф анилпропил] пирролидин-1-карбоновой кислоты К перемешиваемому раствору AcSMe (24,4 г, 0,27 моля) в ТГФ (580 мл), охлаждаемому на ледяной бане, добавляли KOEt (22,8 г, 0,27 моля) и полученную смесь перемешивали при комнатной температуре в течение 3,5 ч. Затем к смеси последовательно добавляли фенол (11,9 мл, 0,14 моля) и раствор трет-бутилового эфира (2S)-2-(2-бензилоксикарбонилпропенил)пирролидин-1-карбоновой кислоты (15,6 г, 0,045 моля) в ТГФ (50 мл). Через 45 мин в смесь добавляли насыщенный раствор NH4Cl и концентрировали в вакууме. Остаток разбавляли EtOAc (600 мл), промывали 1 н. NaOH (3×300 мл) и солевым раствором (200 мл). Органический слой сушили над безводным Na2SO4 и концентрировали в вакууме. Остаток очищали хроматографией на колонке с силикагелем (элюент: гексан/EtOAc, 9:1), при этом получали трет-бутиловый эфир (2S)-2-[(1R,2S)-2-бензилоксикарбонил-1-метилсульфанилпропил]пирролидин-1-карбоновой кислоты, который содержал примесь фенола. Для удаления фенола фракции, содержащие трет-бутиловый эфир (2S)-2-[(1R,2S)-2-бензилоксикарбонил-1 -метилсульфанилпропил]пирролидин-1-карбоновой кислоты, промывали 5 н. NaOH (300 мл), Н2О (300 мл) и сушили над безводным MgSO4. Органический слой концентрировали в вакууме и получали трет-бутиловый эфир (2S)-2-[(1R,2S)-2-бензилоксикарбонил-1-метилсульфанилпропил]пирролидин-1-карбоновой кислоты (12,5 г, 70%). МС (ES): m/z 416 (M++Na), ЖХВР: ву 3,08 мин. 1Н-ЯМР (CDCl3, 400 МГц): Получение трет-бутилового эфира (2S)-2-[(1R,2S)-2-карбокси-1-метил-сульфанилпропил]пирролидин-1-карбоновой кислоты Смесь трет-бутилового эфира (2S)-2-[(1R,2S)-2-бензилоксикарбонил-1-метилсульфанилпропил]пирролидин-1-карбоновой кислоты (4,4 г, 11,2 ммоля) и Pd(OH)2 на угле (приблизительно 20 мас.%, 2,0 г) в EtOH (50 мл) перемешивали при комнатной температуре в атмосфере водорода в течение 14 ч. Затем смесь фильтровали через слой целита, целит промывали МеОН. Фильтрат и промывку объединяли и концентрировали в вакууме, при этом получали неочищенную смолу, которую очищали экспресс-хроматографией (элюент: гексан/EtOAc, 1:1), при этом получали трет-бутиловый эфир (2S)-2-[(1R,2S)-2-карбокси-1-метилсульфанилпропил]-пирролидин-1-карбоновой кислоты в виде смолы (3,39 г, 98%). ЖХ-МС: 304 (МН+), ЖХВР: ву 3,45 мин. 1H-ЯМР (CDCl3, 270 МГц): Получение трет-бутилового эфира (2S)-2-{(1R,2S)-2-[2-(3-гидроксифенил)-этилкарбамоил]-1-метилсульфанилпропил} пирролидин-1-карбоновой кислоты К перемешиваемому раствору трет-бутилового эфира (2S)-2-[(1R,2S)-2-карбокси-1-метилсульфанилпропил]пирролидин-1-карбоновой кислоты (1,7 г, 5,6 ммоля) в СН2Cl2 (20 мл) при комнатной температуре добавляли гидробромид 3-гидроксифенетиламина (2,44 г, 11,2 ммоля), ВОР (3,72 г, 8,4 ммоля), НОВТ (1,29 г, 8,4 ммоля) и диизопропилэтиламин (4,88 мл, 28,0 ммоля). Затем смесь перемешивали при комнатной температуре в течение 2 ч, нейтрализовали добавлением 1 н. HCl (80 мл ×3), экстрагировали AcOEt, сушили (MgSO4) и концентрировали в вакууме, при этом получали неочищенное масло, которое очищали экспресс-хроматографией (элюент: гексан/EtOAc, 1:1), при этом получали трет-бутиловый эфир (2S)-2-{(1R,2S)-2-[2-(3-гидроксифенил)этилкарбамоил]-1-метилсульфанилпропил}пирролидин-1-карбоновой кислоты в виде смолы (2,07 г, 87%). МС (ES): m/z 423 (М++1), ЖХВР: ву 3,57 мин. 1Н-ЯМР (CDCl3, 270 МГц): Получение указанного в заголовке соединения Указанное в заголовке соединение получали в виде индивидуального стереоизомера конденсацией (3R*,4S*,5S*)-4-[N,N-диметил-L-валил(N-метил-L-валинамидо)]-3-метокси-5-метилгептановой кислоты и трет-бутилового эфира (2S)-2-{(1R,2S)-2-[2-(3-гидроксифенил)этилкарбамоил]-1-метилсульфанилпропил}пирролидин-1-карбоновой кислоты аналогично тому, как описано в примере 1. В продукте сохранялась стереохимическая конфигурация, указанная для каждого компонента. ЖХ-МС: 734 (МН+), ЖХВР: ву 2,62 мин. 1Н-ЯМР (CDCl3, 270 МГц): Пример 61 N-[1-({1-втор-Бутил-4-[2-(2-{[2-(3-гидроксифенил)этил]метилкарбамоил}-1-метилсульфанилпропил)пирролидин-1-ил]-2-метокси-4-оксобутил}метилкарбамоил)-2-метилпропил]-2-диметиламино-3-метилбутирамид Получение трет-бутилового эфира (2S)-2-((1R,2S)-2-{[2-(3-гидроксифенил)-этил]метилкарбамоил}-1-метилсульфанилпропил)пирролидин-1-карбоновой кислоты К перемешиваемому раствору трет-бутилового эфира (2S)-2-[(1R,2S)-2-карбокси-1-метилсульфанилпропил]пирролидин-1-карбоновой кислоты (1,70 г, 5,6 ммоля) в CH2Cl2 (20 мл) при комнатной температуре добавляли гидробромид N-метил-3-гидроксифенетиламина (2,44 г, 11,2 ммоля), ВОР (3,72 г, 8,4 ммоля), HOBt (1,29 г, 8,4 ммоля) и диизопропилэтиламин (4,88 мл, 28,0 ммоля). Смесь перемешивали при комнатной температуре в течение 2 ч, нейтрализовали добавлением 1 н. HCl (80 мл ×3), экстрагировали AcOEt, сушили (MgSO4) и концентрировали в вакууме, при этом получали неочищенное масло (3,83 г), которое очищали методом экспресс-хроматографии на колонке (элюент:гексан/AcOEt, 1:1), при этом получали трет-бутиловый эфир (2S)-2-((1R,2S)-2-{[2-(3-гидроксифенил)-этил]метилкарбамоил}-1-метил сульфанилпропил)пирролидин-1-карбоновой кислоты в виде смолы (1,38 г, 56%). ЖХ-МС: 437 (МН+), ЖХВР: ву 3,90 мин. 1H-ЯМР (CDCl3, 270 МГц): Получение указанного в заголовке соединения Указанное в заголовке соединение получали в виде индивидуального стереоизомера конденсацией (3R*,4S*,5S*)-4-[N,N-диметил-L-валил(N-метил-L-валинамидо)]-3-метокси-5-метилгептановой кислоты и трет-бутилового эфира (2S)-2-((1R,2S)-2-{[2-(3-гидроксифенил)этил]метилкарбамоил}-1-метилсульфанилпропил)пирролидин-1-карбоновой кислоты аналогично тому, как описано в примере 1. В продукте сохранялась стереохимическая конфигурация, указанная для каждого компонента. ЖХ-МС: 748 (МН+), ЖХВР: ву 2,78 мин. 1Н-ЯМР (CDCl3, 270 МГц): Пример 62 N-[1-({1-втор-Бутил-4-[2-(1-этилсульфанил-2-{[2-(3-гидроксифенил)этил]-метилкарбамоил}пропил)пирролидин-1-ил]-2-метокси-4-оксобутил}метилкарбамоил)-2-метилпропил]-2-диметиламино-3-метилбутирамид Получение трет-бутилового эфира (2S)-2-[(1R,2S)-2-бензилоксикарбонил-1-этилсульфанилпропил]пирролидин-1-карбоновой кислоты К перемешиваемой суспензии t-BuOK (609 мг, 5,43 ммоля) в ТГФ (90 мл) добавляли EtSH (8,04 мл, 0,11 моля) и смесь перемешивали при комнатной температуре в течение 30 мин. Затем к смеси добавляли раствор трет-бутилового эфира (2S)-2-(2-бензилоксикарбонилпропенил)пирролидин-1-карбоновой кислоты (3,75 г, 10,8 ммоля) в ТГФ (75 мл). Через 2,5 ч в смесь добавляли насыщенный раствор NH4Cl и концентрировали в вакууме. Остаток разбавляли EtOAc (400 мл), промывали насыщенным раствором NH4Cl (150 мл), насыщенным раствором NaHCO3 (150 мл) и водой (150 мл). Органический слой сушили над безводным Na2SO4 и концентрировали в вакууме. Остаток очищали хроматографией на колонке с силикагелем (элюент: гексан/EtOAc, от 12:1 до 8:1), при этом получали трет-бутиловый эфир (2S)-2-[(1R,2S)-2-бензилоксикарбонил-1-этилсульфанилпропил]пирролидин-1-карбоновой кислоты (3,66 г, 83%). МС (ES): m/z 430 (M++Na), ЖХВР: ву 3,20 мин. 1H-ЯМР (CDCl3, 400 МГц): Получение трет-бутилового эфира (2S)-2-((1R,2S)-1-этилсульфанил-2-{[2-(3-гидроксифенил)этил]метилкарбамоил}пропил)пирролидин-1-карбоновой кислоты трет-Бутиловый эфир (2S)-2-((1R,2S)-1-этилсульфанил-2-{[2-(3-гидроксифенил)этил]метилкарбамоил}пропил)пирролидин-1-карбоновой кислоты получали аналогично тому, как описано в примере 61, из трет-бутилового эфира (2S)-2-[(1R,2S)-2-бензилоксикарбонил-1-этилсульфанилпропил]пирролидин-1-карбоновой кислоты гидрированием и последующим амидированием гидробромидом N-метил-3-гидроксифенетиламина. ЖХ-МС: 451 (MH+), ЖХВР: ву 4,12 мин. 1Н-ЯМР (CDCl3, 270 МГц): Получение указанного в заголовке соединения Указанное в заголовке соединение получали в виде индивидуального стереоизомера конденсацией (3R*,4S*,5S*)-4-[N,N-диметил-L-валил(N-метил-L-валинамидо)]-3-метокси-5-метилгептановой кислоты и трет-бутилового эфира (2S)-2-((1R,2S)-1 -этил-сульфанил-2-{[2-(3-гидроксифенил)этил]метилкарбамоил}пропил)-пирролидин-1-карбоновой кислоты аналогично тому, как описано в примере 1. В продукте сохранялась стереохимическая конфигурация, указанная для каждого компонента. ЖХ-МС: 762 (МН+), ЖХВР: ву 2,94 мин. 1Н-ЯМР (CD3OD, 270 МГц): Пример 63 N-(1-{[1-втор-Бутил-4-(2-{1-этилсульфанил-2-[2-(3-гидроксифенил)этил-карбамоил]пропил}пирролидин-1-ил)-2-метокси-4-оксобутил]метилкарбамоил}-2-метилпропил)-2-диметиламино-3-метилбутирамид Получение трет-бутилового эфира (2S)-2-{(1R,2S)-1-этилсульфанил-2-[2-(3-гидроксифенил)этилкарбамоил]пропил}пирролидин-1-карбоновой кислоты трет-Бутиловый эфир (2S)-2-{(1R,2S)-1-этилсульфанил-2-[2-(3-гидрокси-фенил)этилкарбамоил]пропил}пирролидин-1-карбоновой кислоты получали из трет-бутилового эфира (2S)-2-[(1R,2S)-2-бензилоксикарбонил-1-этилсульфанилпропил]пирролидин-1-карбоновой кислоты с использовнием гидрирования и последующего амидирования гидробромидом 3-гидроксифенетиламина аналогично тому, как описано в примере 62. ЖХ-МС: 437 (МН+), ЖХВР: ву 3,77 мин. 1Н-ЯМР (CDCl3, 270 МГц): Получение указанного в заголовке соединения Указанное в заголовке соединение получали в виде индивидуального стереоизомера конденсацией (3R*,4S*,5S*)-4-[N,N-диметил-L-валил(N-метил-L-валинамидо)]-3-метокси-5-метилгептановой кислоты и трет-бутилового эфира (2S)-2-{(1R,2S)-1-этилсульфанил-2-[2-(3-гидроксифенил)этилкарбамоил]пропил}пирролидин-1-карбоновой кислоты аналогично тому, как описано в примере 1. В продукте сохранялась стереохимическая конфигурация, указанная для каждого компонента. ЖХ-МС: 748 (МН+), ЖХВР: ву 2,72 мин. 1H-ЯМР (CDCl3, 270 МГц): Пример 64 N-(1-{[1-втор-Бутил-4-(2-{1-диметилкарбамоилметилсульфанил-2-[2-(3-гидроксифенил)этилкарбамоил]этил}пирролидин-1-ил)-2-метокси-4-оксобутил]-метилкарбамоил}-2-метилпропил)-2-диметиламино-3-метилбутирамид Указанное в заголовке соединение получали из (3R*,4S*,5S*)-4-[N,N-диметил-L-валил(N-метил-L-валинамидо)]-3-метокси-5-метилгептановой кислоты и трет-бутилового эфира 2-{1-диметилкарбамоилметилсульфанил-2-[2-(3-гидроксифенил)этилкарбамоил]этил}пирролидин-1-карбоновой кислоты аналогично тому, как описано в примере 1. ЖХ-МС: 748 (МН+), ЖХВР: ву 2,41 мин. 1Н-ЯМР (CD3OD, 270 МГц): Пример 65 2-{1-[1-(4-{[2-Диметиламино-3-метилбутириламино)-3-метилбутирил]-метиламино}-3-метокси-5-метилгептаноил)пирролидин-2-ил]-2-фенетил-карбамоилэтилсульфанил}этиловый эфир этилкарбаминовой кислоты К перемешиваемому раствору N-{1-[(1-втор-бутил-4-{2-[1-(2-гидроксиэтилсульфанил)-2-фенетилкарбамоилэтил]пирролидин-1-ил}-2-метокси-4-оксобутил)метилкарбамоил]-2-метилпропил}-2-диметиламино-3-метилбутирамида (50 мг, 0,067 ммоля) в СН2Cl2 (1 мл) при 0°С добавляли N,N’-карбонилдиимидазол (33 мг, 0,204 ммоля) и пиридин (0,020 мл, 0,202 ммоля). Смесь перемешивали при комнатной температуре в течение 24 ч и концентрировали в вакууме. Полученное неочищенное масло растворяли в CH2CN (1 мл) и к раствору при 0°С добавляли гидрохлорид этиламина (55 мг, 0,674 ммоля) и пиридин (0,067 мл, 0,676 ммоля). Смесь перемешивали при комнатной температуре в течение 15 ч и концентрировали в вакууме, при этом получали неочищенное масло, которое очищали препаративной ЖХВР (колонка ODS-80TS, элюент Н2O/СН3CN, 38:32, +0,05% ТФУ). Соответствующие фракции высушивали лиофильно, при этом получали указанное в заголовке соединение в виде аморфного порошка белого цвета (46 мг, 84%). ЖХ-МС: 805 (МН+), ЖХВР: ву 2,73 мин. 1Н-ЯМР (CD3OD, 270 МГц): Пример 66 3-(2-{3-[1-(4-{[2-(2-Диметиламино-3-метилбутириламино)-3-метилбутирил]-метиламино}-3-метокси-5-метилгептаноил)пирролидин-2-ил]-2-метил-3-метилсульфанилпропиониламино}этил)фениловый эфир этилкарбаминовой кислоты К перемешиваемому раствору N-(1-{[1-втор-бутил-4-(2-{2-[2-(3-гидрокси-фенил)этилкарбамоил]-1-метилсульфанилпропил}пирролидин-1-ил)-2-метокси-4-оксобутил]метилкарбамоил}-2-метилпропил)-2-диметиламино-3-метилбутирамида (30 мг, 0,035 ммоля) в CH2Cl2 (0,5 мл) при комнатной температуре добавляли этилизоцианат (0,042 мл, 0,53 ммоля) и диизопропилэтиламин (0,062 мл, 0,35 ммоля). Смесь перемешивали при комнатной температуре в течение 13 ч и концентрировали в вакууме, при этом получали неочищенное масло (58 мг), которое очищали препаративной ЖХВР (колонка ODS-80Ts, элюент Н2О/СН3CN, 35:35, +0,05% ТФУ). Соответствующие фракции высушивали лиофильно, при этом получали указанное в заголовке соединение в виде аморфного порошка белого цвета (13 мг, 39%). ЖХ-МС: 805 (МН+), ЖХВР: ву 2,70 мин. 1H-ЯМР (CDCl3, 270 МГц): В следующих примерах описаны фармацевтические препараты, содержащие соединения по настоящему изобретению. Пример 67 Состав таблеток Желатиновые капсулы, штампованные в блистер и содержащие следующие ингредиенты, получали известным методом. Пример 68 Пример 69 Получение раствора/эмульсии для инъекций
Формула изобретения
1. Соединение формулы (I) где R1, R2 и R3 каждый независимо означает водород или С1-С4алкил; R4 означает С1-С12алкил, необязательно содержащий от одного до трех заместителей, выбранных из группы, включающей гидрокси, С1-С12 алкоксикарбонил, карбамоил; С2-С7алкенил; С6-С10арил, необязательно содержащий от одного до трех заместителей, выбранных из группы, включающей галоген, С1-С12алкил, С1-С12алкокси, гидрокси, С1-С12алкилкарбониламино; С6-С10арил С1-С12алкил, в котором арильная группа необязательно содержит от одного до трех заместителей, выбранных из группы, включающей галоген, С1-С12алкил, С1-С12алкокси; или гетероциклил С1-С12алкил; R5 означает гидрокси, С3-С7циклоалкиламино, необязательно замещенный фенилом; С6-С10ариламино; аралкиламино, содержащий С1-С4алкиленовую и С6-С10арильную группу, необязательно содержащую от одного до трех заместителей, выбранных из группы, включающей сульфамоил, С1-С12алкил, С1-С12алкокси, гидрокси, гетероциклил или бензил; С1-С4алкокси, бензгидразино; гетероциклил, необязательно содержащий от одного до трех заместителей, выбранных из группы, включающей бензил, бензгидрил; гетероциклиламино; где гетероциклил означает насыщенный, ненасыщенный или ароматический одновалентный циклический радикал, содержащий от 1 до 3 гетероатомов, выбранных из азота, кислорода или серы или их комбинации; а n равно целому числу 0, 1 или 2, и его фармацевтически приемлемые соли. 2. Соединение по п.1, где R1 означает С1-С4алкил. 3. Соединение по п.2, где R1 означает метил. 4. Соединение по п.1, где R2 означает С1-С4алкил. 5. Соединение по п.4, где R2 означает метил. 6. Соединение по п.1, где R3 означает водород или метил. 7. Соединение по п.1, где R4 означает С1-С12алкил, необязательно содержащий от одного до трех заместителей, выбранных из группы, включающей гидрокси, карбамоил, С2-С7алкенил; С6-С10арил, необязательно содержащий от одного до трех заместителей, выбранных из группы, включающей С1-С12алкил, С1-С12алкокси, гидрокси, галоген или С1-С12алкилкарбониламино, С6-С10арилС1-С12алкил, где арильная группа необязательно содержит от одного до трех заместителей, выбранных из группы, включающей С1-С12алкил, С1-С12алкокси или галоген, или гетероциклилС1-С12алкил. 8. Соединение по п.1, где R4 означает фенил, метил, трет-бутил, 4-трет-бутилфенил, 4-метоксифенил, 2-, 3- или 4-гидроксифенил, 4-ацетоаминофенил, 4-фторфенил, этил, изопропил, бензил, 2-ацетоксиэтил, фенилэтил, аллил, н-пентил, 2-нафтил, 4-фторбензил, 2-фурилметил или 2-гидроксиэтил. 9. Соединение по п.1, где R5 означает гидрокси, С3-С7циклоалкиламино, необязательно замещенный фенилом, аралкиламино, содержащий С1-С4алкиленовую и С6-С10арильную группу, необязательно содержащую от одного до трех заместителей, выбранных из группы, включающей H2NSO2-, гидрокси, С1-С12алкил, бензил, С1-С12алкокси или гетероциклил, С1-С4алкокси, бензгидразино; гетероциклил, необязательно замещенный бензилом или бензгидрилом, гетероциклиламино. 10. Соединение по п.1, где R5 означает фенилэтиламино, 2-нафтилметиламино, бензилпиперазино, 1,2,3,4-тетрагидроизохинолино, трет-бутокси, гидрокси, 2-, 3- или 4-гидроксифенилэтиламино, N-бензилфенетиламино, 4-трет-бутилбензиламино, бензиламино, N-метилфенетиламино, 2-, 3- или 4-гидроксифенилэтил-N-метиламино, 4-бензгидрилпиперазино, 2-фенилциклопропиламино, 4,3-диметоксифенилэтиламино, бензилгидразино, 2-пиридин-4-иламино, 3,4-диметоксифенилэтилметиламино, тиазол-2-иламино, нафталин-2-иламино, 4-метоксифенилэтиламино, 4-(1,2,3)тиадиазол-4-илбензиламино, 2-циклогексиламино. 11. Соединение по п.1, где n равно 0. 12. Соединение по п.1, где R1 и R2 означают метил, R3 означает водород, а n равно 0. 13. Соединение по п.12, выбранное из группы включающей а) N-[1-({1-втор-бутил-2-метокси-4-оксо-4-[2-(2-фенетилкарбамоил-1-фенилсульфанилэтил)пирролидин-1-ил]бутил}метилкарбамоил)-2-метилпропил]-2-диметиламино-3-метилбутирамид, б) N-[1-({1-втор-бутил-2-метокси-4-[2-(1-метилсульфанил-2-фенетил-карбамоилэтил)пирролидин-1-ил]-4-оксобутил}метилкарбамоил)-2-метилпропил]-2-диметиламино-3-метилбутирамид, в) N-[1-({1-втор-бутил-4-[2-(1-(S)-трет-бутилсульфанил-2-фенетил-карбамоилэтил)пирролидин-1-ил]-2-метокси-4-оксобутил}метилкарбамоил)-2-метилпропил]-2-диметиламино-3-метилбутирамид, г) N-{1-[(1-втор-бутил-4-{2-[1-(4-трет-бутилфенилсульфанил)-2-фенетилкарбамоилэтил]пирролидин-1-ил}-2-метокси-4-оксобутил)метилкарбамоил]-2-метилпропил}-2-диметиламино-3-метилбутирамид, д) N-{1-[(1-втор-бутил-2-метокси-4-{2-[1-(4-метоксифенилсульфанил)-2-фенетилкарбамоилэтил]пирролидин-1-ил}-4-оксобутил)метилкарбамоил]-2-метилпропил}-2-диметиламино-3-метилбутирамид, з) N-(1-{[1-втор-бутил-2-метокси-4-(2-{1-метилсульфанил-2-[(нафталин-2-илметил)карбамоил]этил}пирролидин-1-ил)-4-оксобутил]метилкарбамоил}-2-метилпропил)-2-диметиламино-3-метилбутирамид, к) N-{1-[(4-{2-[3-(4-бензилпиперазин-1-ил)-1-метилсульфанил-3-оксопропил]пирролидин-1-ил}-1-втор-бутил-2-метокси-4-оксобутил)метилкарбамоил]-2-метилпропил}-2-диметиламино-3-метилбутирамид, л) N-{1-[(1-втор-бутил-4-{2-[3-(3,4-дигидро-1Н-изохинолин-2-ил)-1-метилсульфанил-3-оксопропил]пирролидин-1-ил}-2-метокси-4-оксобутил)метилкарбамоил]-2-метилпропил}-2-диметиламино-3-метилбутирамид, p) N-{1-[(1-втор-бутил-4-{2-[1-(S)-(4-гидроксифенилсульфанил)-2-фенетилкарбамоилэтил]пирролидин-1-ил}-2-метокси-4-оксобутил)метилкарбамоил]-2-метилпропил}-2-диметиламино-3-метилбутирамид, с) N-{1-[(1-втор-бутил-4-{2-[1-(R)-(4-гидроксифенилсульфанил)-2-фенетилкарбамоилэтил]пирролидин-1-ил})-2-метокси-4-оксобутил)метилкарбамоил]-2-метилпропил}-2-диметиламино-3-метилбутирамид, т) N-{1-[(4-{2-[1-(4-ацетиламинофенилсульфанил)-2-фенетилкарбамоилэтил]пирролидин-1-ил}-1-втор-бутил-2-метокси-4-оксобутил)метилкарбамоил]-2-метилпропил}-2-диметиламино-3-метилбутирамид, у) N-{1-[(1-втор-бутил-4-{2-[1-(4-фторфенилсульфанил)-2-фенетилкарбамоилэтил]пирролидин-1-ил}-2-метокси-4-оксобутил)метилкарбамоил]-2-метилпропил}-2-диметиламино-3-метилбутирамид, ф) N-[1-[{1-втор-бутил-4-[2-(1-(R)-трет-бутилсульфанил-2-фенетил-карбамоилэтил)пирролидин-1-ил]-2-метокси-4-оксобутил}метилкарбамоил)-2-метилпропил]-2-диметиламино-3-метилбутирамид, х) N-[1-({1-втор-бутил-4-[2-(1-этилсульфанил-2-фенетилкарбамоилэтил)пирролидин-1-ил]-2-метокси-4-оксобутил}метилкарбамоил)-2-метилпропил]-2-диметиламино-3-метилбутирамид, ц) N-[1-({1-втор-бутил-4-[2-(1-изопропилсульфанил-2-фенетил-карбамоилэтил)пирролидин-1-ил]-2-метокси-4-оксобутил}метилкарбамоил)-2-метилпропил]-2-диметиламино-3-метилбутирамид, ч) N-[1-({1-втор-бутил-4-[2-(1-трет-бутилсульфанил-2-фенетилкарба-моилэтил)пирролидин-1-ил]-2-метокси-4-оксобутил}метилкарбамоил)-2-метилпропил]-2-диметиламино-3-метилбутирамид, щ) N-{1-[(1-втор-бутил-4-{2-[1-(2-гидроксифенилсульфанил)-2-фенетилкарбамоилэтил]пирролидин-1-ил}-2-метокси-4-оксобутил)метилкарбамоил]-2-метилпропил}-2-диметиламино-3-метилбутирамид, э) N-{1-[(1-втор-бутил-4-{2-[1-(3-гидроксифенилсульфанил)-2-фенетилкарбамоилэтил]пирролидин-1-ил}-2-метокси-4-оксобутил)метилкарбамоил]-2-метилпропил}-2-диметиламино-3-метилбутирамид, ю) N-{1-[(1-втор-бутил-4-{2-[1-(2-гидроксиэтилсульфанил)-2-фенетил-карбамоилэтил]пирролидин-1-ил}-2-метокси-4-оксобутил)метилкарбамоил]-2-метилпропил}-2-диметиламино-3-метилбутирамид, я) 2-{1-[1-(4-{[2-(2-диметиламино-3-метилбутириламино)-3-метил-бутирил]метиламино}-3-метокси-5-метилгептаноил)пирролидин-2-ил]-2-фенетилкарбамоилэтилсульфанил}этиловый эфир уксусной кислоты, бб) 3-[1-(4-{[2-(2-диметиламино-3-метилбутириламино)-3-метил-бутирил]метиламино}-3-метокси-5-метилгептаноил)пирролидин-2-ил]-3-метилсульфанилпропионовая кислота, вв) N-(1-{[1-втор-бутил-2-метокси-4-(2-{1-метилсульфанил-2-[2-(4-сульфамоилфенил)этилкарбамоил]этил}пирролидин-1-ил)-4-оксобутил]метилкарбамоил}-2-метилпропил)-2-диметиламино-3-метилбутирамид, гг) N-(1-{[1-втор-бутил-4-(2-{2-[2-(4-гидроксифенил)этилкарбамоил]-1-метилсульфанилэтил}пирролидин-1-ил)-2-метокси-4-оксобутил]метилкарбамоил}-2-метилпропил)-2-диметиламино-3-метилбутирамид, дд) N-{1-[(1-втор-бутил-2-метокси-4-{2-[2-(метилфенетилкарбамоил)-1-метилсульфанилэтил]пирролидин-1-ил}-4-оксобутил)метилкарбамоил]-2-метилпропил}-2-диметиламино-3-метилбутирамид, ее) N-{1-[(4-{2-[3-(4-бензгидрилпиперазин-1-ил)-1-метилсульфанил-3-оксопропил]пирролидин-1-ил}-1-втор-бутил-2-метокси-4-оксобутил)метилкарбамоил]-2-метилпропил}-2-диметиламино-3-метилбутирамид, жж) N-(1-{[1-втор-бутил-4-(2-{2-[2-(2-гидроксифенил)этилкарбамоил]-1-метилсульфанилэтил}пирролидин-1-ил)-2-метокси-4-оксобутил]метилкарбамоил}-2-метилпропил)-2-диметиламино-3-метилбутирамид, зз) N-(1-{[1-втор-бутил-4-(2-{2-[2-(3-гидроксифенил)этилкарбамоил]-1-метилсульфанилэтил}пирролидин-1-ил)-2-метокси-4-оксобутил]метилкарбамоил}-2-метилпропил)-2-диметиламино-3-метилбутирамид, ии) N-{1-[(4-{2-[2-(бензилфенетилкарбамоил)-1-метилсульфанилэтил]пирролидин-1-ил}-1-втор-бутил-2-метокси-4-оксобутил)метилкарбамоил]-2-метилпропил}-2-диметиламино-3-метилбутирамид, кк) N-{1-[(1-втор-бутил-2-метокси-4-{2-[1-метилсульфанил-2-(2-фенилциклопропилкарбамоил)этил]пирролидин-1-ил}-4-оксобутил)метилкарбамоил]-2-метилпропил}-2-диметиламино-3-метилбутирамид, лл) N-{1-[(1-втор-бутил-4-{2-[2-(4-трет-бутилбензилкарбамоил)-1-метилсульфанилэтил]пирролидин-1-ил}-2-метокси-4-оксобутил)метилкарбамоил]-2-метилпропил}-2-диметиламино-3-метилбутирамид, мм) N-[1-({4-[2-(2-бензилкарбамоил-1-метилсульфанилэтил)пирролидин-1-ил]-1-втор-бутил-2-метокси-4-оксобутил}метилкарбамоил)-2-метилпропил]-2-диметиламино-3-метилбутирамид, нн) N-[1-({1-втор-бутил-2-метокси-4-оксо-4-[2-(2-фенетилкарбамоил-1-фенетилсульфанилэтил)пирролидин-1-ил]бутил}метилкарбамоил)-2-метилпропил]-2-диметиламино-3-метилбутирамид, оо) N-[1-({4-[2-(1-аллилсульфанил-2-фенетилкарбамоилэтил)пирролидин-1-ил]-1-втор-бутил-2-метокси-4-оксобутил}метилкарбамоил)-2-метилпропил]-2-диметиламино-3-метилбутирамид, пп) N-{1-[(4-{2-[2-(N’-бензилгидразинокарбонил)-1-метилсульфанил-этил]пирролидин-1-ил}-1-втор-бутил-2-метокси-4-оксобутил)метилкарбамоил]-2-метилпропил}-2-диметиламино-3-метилбутирамид, рр) N-{1-[(1-втор-бутил-2-метокси-4-{2-[1-метилсульфанил-2-(2-пиридин-4-илэтилкарбамоил)этил]пирролидин-1-ил}-4-оксобутил)метилкарбамоил]-2-метилпропил}-2-диметиламино-3-метилбутирамид, cc) N-(1-{[4-(2-{2-[(бензотиазол-2-илметил)карбамоил]-1-метил-сульфанилэтил}пирролидин-1-ил)-1-втор-бутил-2-метокси-4-оксобутил]метилкарбамоил}-2-метилпропил)-2-диметиламино-3-метилбутирамид, тт) N-{1-[(1-втор-бутил-2-метокси-4-{2-[1-метилсульфанил-2-(2-тиофен-2-илэтилкарбамоил)этил]пирролидин-1-ил}-4-оксобутил)метилкарбамоил]-2-метилпропил}-2-диметиламино-3-метилбутирамид, уу) N-{1-[(1-втор-бутил-2-метокси-4-{2-[1-метилсульфанил-2-(2-пиридин-3-илэтилкарбамоил)этил]пирролидин-1-ил}-4-оксобутил)метилкарбамоил]-2-метилпропил}-2-диметиламино-3-метилбутирамид, фф) N-{1-[(1-втор-бутил-2-метокси-4-{2-[1-метилсульфанил-2-(2-пиридин-2-илэтилкарбамоил)этил]пирролидин-1-ил}-4-оксобутил)метилкарбамоил]-2-метилпропил}-2-диметиламино-3-метилбутирамид, хх) N-(1-{[1-втор-бутил-2-метокси-4-(2-{1-метилсульфанил-2-[(пиридин-4-илметил)карбамоил]этил}пирролидин-1-ил)-4-оксобутил]метилкарбамоил}-2-метилпропил)-2-диметиламино-3-метилбутирамид, цц) N-(1-{[1-втор-бутил-4-(2-{2-[2-(3Н-имидазол-4-ил)этилкарбамоил]-1-метилсульфанилэтил}пирролидин-1-ил)-2-метокси-4-оксобутил]метилкарбамоил}-2-метилпропил)-2-диметиламино-3-метилбутирамид, чч) N-{1-[(1-втор-бутил-2-метокси-4-{2-[1-метилсульфанил-2-(тиазол-2-илкарбамоил)этил]пирролидин-1-ил}-4-оксобутил)метилкарбамоил]-2-метилпропил}-2-диметиламино-3-метилбутирамид, шш) N-{1-[(1-втор-бутил-2-метокси-4-{2-[1-метилсульфанил-2-(нафталин-2-илкарбамоил)этил]пирролидин-1-ил}-4-оксобутил)метилкарбамоил]-2-метилпропил}-2-диметиламино-3-метилбутирамид, щщ) N-[1-({1-втор-бутил-4-[2-(2-циклогексилкарбамоил-1-метилсульфанилэтил)пирролидин-1-ил]-2-метокси-4-оксобутил}метилкарбамоил)-2-метилпропил]-2-диметиламино-3-метилбутирамид, ээ) N-[1-({1-втор-бутил-4-[2-(2-{[2-(3,4-диметоксифенил)этил]метилкарбамоил}-1-метилсульфанилэтил)пирролидин-1-ил]-2-метокси-4-оксобутил}метилкарбамоил)-2-метилпропил]-2-диметиламино-3-метилбутирамид, юю) N-(1-{[1-втор-бутил-4-(2-{2-[2-(3,4-диметоксифенил)этилкарбамоил]-1-метилсульфанилэтил}пирролидин-1-ил)-2-метокси-4-оксобутил]метилкарбамоил}-2-метилпропил)-2-диметиламино-3-метилбутирамид, ааа) N-[1-({1-втор-бутил-2-метокси-4-оксо-4-[2-(1-пентилсульфанил-2-фенетилкарбамоилэтил)пирролидин-1-ил]бутил}метилкарбамоил)-2-метилпропил]-2-диметиламино-3-метилбутирамид, ббб) N-{1-[(1-втор-бутил-2-метокси-4-{2-[1-(нафталин-2-илсульфанил)-2-фенетилкарбамоилэтил]пирролидин-1-ил}-4-оксобутил)метилкарбамоил]-2-метилпропил}-2-диметиламино-3-метилбутирамид, ввв) N-{1-[(1-втор-бутил-4-{2-[1-(4-фторбензилсульфанил)-2-фенетил-карбамоилэтил]пирролидин-1-ил}-2-метокси-4-оксобутил)метилкарбамоил]-2-метилпропил}-2-диметиламино-3-метилбутирамид, ггг) N-{1-[(1-втор-бутил-4-{2-[1-(фуран-2-илметилсульфанил)-2-фенетилкарбамоилэтил]пирролидин-1-ил}-2-метокси-4-оксобутил)метилкарбамоил]-2-метилпропил}-2-диметиламино-3-метилбутирамид, ддд) N-(1-{[1-втор-бутил-2-метокси-4-(2-{2-[2-(4-метоксифенил)этилкарбамоил]-1-метилсульфанилэтил}пирролидин-1-ил)-4-оксобутил]метилкарбамоил}-2-метилпропил)-2-диметиламино-3-метилбутирамид, еее) N-{1-[(1-втор-бутил-2-метокси-4-{2-[1-метилсульфанил-2-(4-[1,2,3]тиадиазол-4-илбензилкарбамоил)этил]пирролидин-1-ил}-4-оксобутил)метилкарбамоил]-2-метилпропил}-2-диметиламино-3-метилбутирамид, ззз) N-(1-{[1-втор-бутил-4-(2-{1-трет-бутилсульфанил-2-[2-(4-гидроксифенил)этилкарбамоил]этил}пирролидин-1-ил)-2-метокси-4-оксобутил]метилкарбамоил}-2-метилпропил)-2-диметиламино-3-метилбутирамид, иии) N-(1-{[1-втор-бутил-4-(2-{1-трет-бутилсульфанил-2-[2-(3-гидроксифенил)этилкарбамоил]этил}пирролидин-1-ил)-2-метокси-4-оксобутил]метилкарбамоил}-2-метилпропил)-2-диметиламино-3-метилбутирамид, ккк) N-(1-{[1-втор-бутил-4-(2-{1-трет-бутилсульфанил-2-[2-(2-гидроксифенил)этилкарбамоил]этил}пирролидин-1-ил)-2-метокси-4-оксобутил]метилкарбамоил}-2-метилпропил)-2-диметиламино-3-метилбутирамид, ллл) N-(1-{[1-втор-бутил-4-(2-{1-диметилкарбамоилметилсульфанил-2-[2-(3-гидроксифенил)этилкарбамоил]этил}пирролидин-1-ил)-2-метокси-4-оксобутил]метилкарбамоил}-2-метилпропил)-2-диметиламино-3-метилбутирамид, ммм) N-[1-({1-втор-бутил-4-[2-(1-диметилкарбамоилметилсульфанил-2-фенетилкарбамоилэтил)пирролидин-1-ил]-2-метокси-4-оксобутил}метилкарбамоил)-2-метилпропил]-2-диметиламино-3-метилбутирамид. 14. Соединение по п.1, где R1 и R2 означают метил, R3 означает водород, а n равно 1. 15. Соединение по п.14, которое представляет собой N-[1-({1-втор-бутил-4-[2-(1-метансульфинил-2-фенетилкарбамоилэтил)пирролидин-1-ил]-2-метокси-4-оксобутил}метилкарбамоил)-2-метилпропил]-2-диметиламино-3-метилбутирамид. 16. Соединение по п.1, где R1 и R2 означают метил, R3 означает водород, а n равно 2. 17. Соединение по п.16, которое представляет собой N-[1-({1-втор-бутил-4-[2-(1-метансульфонил-2-фенетилкарбамоилэтил)пирролидин-1-ил]-2-метокси-4-оксобутил}метилкарбамоил)-2-метилпропил]-2-диметиламино-3-метилбутирамид. 18. Соединение по п.1, где R1 означает метил, R2 и R3 означают водород, а n равно 0. 19. Соединение по п.18, выбранное из группы включающей а) N-[1-({1-втор-бутил-4-[2-(1-этилсульфанил-2-фенетилкарбамоилэтил)пирролидин-1-ил]-2-метокси-4-оксобутил}метилкарбамоил)-2-метилпропил]-3-метил-2-метиламинобутирамид, б) N-[1-({1-втор-бутил-2-метокси-4-оксо-4-[2-(2-фенетилкарбамоил-1-фенилсульфанилэтил)пирролидин-1-ил]бутил}метилкарбамоил)-2-метилпропил]-3-метил-2-метиламинобутирамид, в) N-[1-({1-втор-бутил-4-[2-(1-трет-бутилсульфанил-2-фенетилкарба-моилэтил)пирролидин-1-ил]-2-метокси-4-оксобутил}метилкарбамоил)-2-метилпропил]-3-метил-2-метиламинобутирамид, г) N-[1-({1-втор-бутил-2-метокси-4-[2-(1-метилсульфанил-2-фенетил-карбамоилэтил)пирролидин-1-ил]-4-оксобутил}метилкарбамоил)-2-метилпропил]-3-метил-2-метиламинобутирамид, д) N-[1-({1-втор-бутил-4-[2-(1-изопропилсульфанил-2-фенетилкарба-моилэтил)пирролидин-1-ил]-2-метокси-4-оксобутил}метилкарбамоил)-2-метилпропил]-3-метил-2-метиламинобутирамид, ж) N-(1-{[1-втор-бутил-4-(2-{2-[2-(3-гидроксифенил)этилкарбамоил]-1-метилсульфанилэтил}пирролидин-1-ил)-2-метокси-4-оксобутил]метилкарбамоил}-2-метилпропил)-3-метил-2-метиламинобутирамид, з) N-(1-{[1-втор-бутил-4-(2-{1-трет-бутилсульфанил-2-[2-(3-гидрокси-фенил)этилкарбамоил]этил}пирролидин-1-ил)-2-метокси-4-оксобутил]метилкарбамоил}-2-метилпропил)-3-метил-2-метиламинобутирамид. 20. Соединение по п.1, где R1 означает метил, R2 и R3 означают водород, а n равно 2. 21. Соединение по п.20, выбранное из группы включающей а) N-[1-({1-втор-бутил-4-[2-(1-этансульфонил-2-фенетилкарбамоилэтил)пирролидин-1-ил]-2-метокси-4-оксобутил}метилкарбамоил)-2-метилпропил]-3-метил-2-метиламинобутирамид, б) N-[1-({4-[2-(1-бензолсульфонил-2-фенетилкарбамоилэтил)пирролидин-1-ил]-1-втор-бутил-2-метокси-4-оксобутил}метилкарбамоил)-2-метилпропил]-3-метил-2-метиламинобутирамид, в) N-[1-({1-втор-бутил-4-[2-(1-метансульфонил-2-фенетилкарбамоил-этил)пирролидин-1-ил]-2-метокси-4-оксобутил}метилкарбамоил)-2-метилпропил]-3-метил-2-метиламинобутирамид, г) N-{1-[(1-втор-бутил-2-метокси-4-оксо-4-{2-[2-фенетилкарбамоил-1-(пропан-2-сульфонил)этил]пирролидин-1-ил}бутил)метилкарбамоил]-2-метилпропил}-3-метил-2-метиламинобутирамид, д) N-{1-[(1-втор-бутил-2-метокси-4-оксо-4-{2-[2-фенетилкарбамоил-1-(2-метилпропан-2-сульфонил)этил]пирролидин-1-ил}бутил)метилкарбамоил]-2-метилпропил}-3-метил-2-метиламинобутирамид. 22. Соединение по п.1, где R1 и R3 означают метил, R2 означает водород, а n равно 0. 23. Соединение по п.22, выбранное из группы включающей а) N-[1-({1-втор-бутил-2-метокси-4-[2-(1-метилсульфанил-2-фенетил-карбамоилпропил)пирролидин-1-ил]-4-оксобутил}метилкарбамоил)-2-метилпропил]-2-метиламино-3-метилбутирамид и б) N-[1-({1-втор-бутил-4-[2-(1-трет-бутилсульфанил-2-фенетилкарбамоилпропил)пирролидин-1-ил]-2-метокси-4-оксобутил}метилкарбамоил)-2-метилпропил]-2-метиламино-3-метилбутирамид. 24. Соединение по п.1, где R1, R2 и R3 означают метил, а n равно 0. 25. Соединение по п.24, выбранное из группы включающей а) N-[1-({1-втор-бутил-2-метокси-4-[2-(1-метилсульфанил-2-фенетилкарбамоилпропил)пирролидин-1-ил]-4-оксобутил}метилкарбамоил)-2-метилпропил]-2-диметиламино-3-метилбутирамид, б) N-[1-({1-втор-бутил-4-[2-(1-трет-бутилсульфанил-2-фенетилкарбамоилпропил)пирролидин-1-ил]-2-метокси-4-оксобутил}метилкарбамоил)-2-метилпропил]-2-диметиламино-3-метилбутирамид, в) N-{1-[(1-втор-бутил-4-{2-[1-(2-гидроксиэтилсульфанил)-2-фенетилкарбамоилпропил]пирролидин-1-ил}-2-метокси-4-оксобутил)метилкарбамоил]-2-метилпропил}-2-диметиламино-3-метилбутирамид, г) N-{1-[(1-втор-бутил-4-{2-[1-(4-гидроксифенилсульфанил)-2-фенетилкарбамоилпропил]пирролидин-1-ил}-2-метокси-4-оксобутил)метилкарбамоил]-2-метилпропил}-2-диметиламино-3-метилбутирамид, д) N-{1-[(1-втор-бутил-4-{2-[1-(3-гидроксифенилсульфанил)-2-фенетилкарбамоилпропил]пирролидин-1-ил}-2-метокси-4-оксобутил)метилкарбамоил]-2-метилпропил}-2-диметиламино-3-метилбутирамид, е) N-{1-[(1-втор-бутил-4-{2-[1-(2-гидроксифенилсульфанил)-2-фенетилкарбамоилпропил]пирролидин-1-ил}-2-метокси-4-оксобутил)метилкарбамоил]-2-метилпропил}-2-диметиламино-3-метилбутирамид, ж) N-(1-{[1-втор-бутил-4-(2-{2-[2-(4-гидроксифенил)этилкарбамоил]-1-трет-бутилсульфанилпропил}пирролидин-1-ил)-2-метокси-4-оксобутил]метилкарбамоил}-2-метилпропил)-2-диметиламино-3-метилбутирамид, з) N-(1-{[1-втор-бутил-4-(2-{2-[2-(3-гидроксифенил)этилкарбамоил]-1-трет-бутилсульфанилпропил}пирролидин-1-ил)-2-метокси-4-оксобутил]метилкарбамоил}-2-метилпропил)-2-диметиламино-3-метилбутирамид, и) N-(1-{[1-втор-бутил-4-(2-{2-[2-(2-гидроксифенил)этилкарбамоил]-1-трет-бутилсульфанилпропил}пирролидин-1-ил)-2-метокси-4-оксобутил]метилкарбамоил}-2-метилпропил)-2-диметиламино-3-метилбутирамид, к) N-(1-{[1-втор-бутил-4-(2-{2-[2-(4-гидроксифенил)этилкарбамоил]-1-метилсульфанилпропил}пирролидин-1-ил)-2-метокси-4-оксобутил]метилкарбамоил}-2-метилпропил)-2-диметиламино-3-метилбутирамид, л) N-(1-{[1-втор-бутил-4-(2-{2-[2-(3-гидроксифенил)этилкарбамоил]-1-метилсульфанилпропил}пирролидин-1-ил)-2-метокси-4-оксобутил]метилкарбамоил}-2-метилпропил)-2-диметиламино-3-метилбутирамид, м) N-(1-{[1-втор-бутил-4-(2-{2-[2-(2-гидроксифенил)этилкарбамоил]-1-метилсульфанилпропил}пирролидин-1-ил)-2-метокси-4-оксобутил]метилкарбамоил}-2-метилпропил)-2-диметиламино-3-метилбутирамид, н) N-(1-{[1-втор-бутил-4-(2-{2-[2-(3-гидроксифенил)этилкарбамоил]-1-пентилсульфанилпропил}пирролидин-1-ил)-2-метокси-4-оксобутил]метилкарбамоил}-2-метилпропил)-2-диметиламино-3-метилбутирамид, о) N-[1-({1-втор-бутил-4-[2-(2-{[2-(3-гидроксифенил)этил]метилкарбамоил}-1-метилсульфанилпропил)пирролидин-1-ил]-2-метокси-4-оксобутил}метилкарбамоил)-2-метилпропил]-2-диметиламино-3-метилбутирамид, п) N-[1-({1-втор-бутил-4-[2-(1-этилсульфанил-2-{[2-(3-гидроксифенил)этил]метилкарбамоил}пропил)пирролидин-1-ил]-2-метокси-4-оксобутил}метилкарбамоил)-2-метилпропил]-2-диметиламино-3-метилбутирамид, р) N-(1-{[1-втор-бутил-4-(2-{1-этилсульфанил-2-[2-(3-гидроксифенил)этилкарбамоил]пропил}пирролидин-1-ил)-2-метокси-4-оксобутил]метилкарбамоил}-2-метилпропил)-2-диметиламино-3-метилбутирамид. 26. Соединение по п.1 формулы (I-1) где R1, R2, R3, R4, R5 и n имеют значения, указанные в п.1, и их фармацевтически приемлемые соли. 27. Соединения по одному из пп.1-26, обладающие антипролиферативной активностью. 28. Фармацевтическая композиция, проявляющая антипролиферативную активность, включающая соединение по одному из пп.1-26 и фармацевтически приемлемый носитель. 29. Фармацевтическая композиция по п.27, которая является пригодной для перорального и парентерального введения. 30. Соединения формулы (III)
где R3, R4, R5 и n имеют значения, указанные в п.1.
MM4A – Досрочное прекращение действия патента СССР или патента Российской Федерации на изобретение из-за неуплаты в установленный срок пошлины за поддержание патента в силе
Дата прекращения действия патента: 18.07.2008
Извещение опубликовано: 20.07.2010 БИ: 20/2010
|
||||||||||||||||||||||||||












1,45 (s, 9Н), 1,58-2,02 (m, 4H), 2,07 (s, 3H), 2,23-2,56 (m, 2H), 2,84 (t, J 6,9 Гц, 2Н), 3,19-3,30 (m, 1Н), 3,30-3,69 (m, 4H), 3,82-4,00 (m, 4/5H), 4,03-4,14 (m, 1/4H), 6,32 (ушир.s, 1Н), 7,08-7,38 (m, 5H).




