|
|
(21), (22) Заявка: 2004114242/04, 02.10.2002
(24) Дата начала отсчета срока действия патента:
02.10.2002
(30) Конвенционный приоритет:
04.10.2001 CH 1829/01
(43) Дата публикации заявки: 27.10.2005
(46) Опубликовано: 10.04.2007
(56) Список документов, цитированных в отчете о поиске:
ЕР 0630890 А2, 28.12.1994. ЕР 0953565 A2, 03.11.1999. SU 1200848 А, 23.12.1985.
(85) Дата перевода заявки PCT на национальную фазу:
05.05.2004
(86) Заявка PCT:
EP 02/11087 (02.10.2002)
(87) Публикация PCT:
WO 03/031393 (17.04.2003)
Адрес для переписки:
101000, Москва, М.Златоустинский пер., 10, кв.15, “ЕВРОМАРКПАТ”, пат.пов. И.А.Веселицкой, рег. № 11
|
(72) Автор(ы):
ГЕБЕЛЬ Томас (DE), ДЮКРЕЙ Пьер (FR)
(73) Патентообладатель(и):
НОВАРТИС АГ (CH)
|
(54) КАРБОНИЛОКСИЦИАНОМЕТИЛЬНЫЕ СОЕДИНЕНИЯ, СПОСОБ ИХ ПОЛУЧЕНИЯ И ИХ ПРИМЕНЕНИЕ (ВАРИАНТЫ), КОМПОЗИЦИЯ И СПОСОБ БОРЬБЫ С ПАРАЗИТАМИ
(57) Реферат:
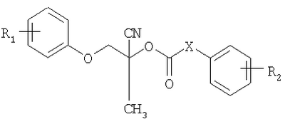
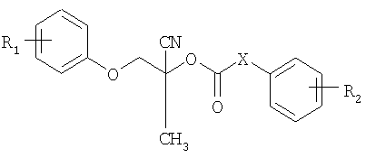
Изобретение относится к соединениям формулы

в которой Ar1 и Ar2 независимо друг от друга обозначают незамещенный фенил либо одно- или многозамещенный фенил, заместители которого выбраны из группы, включающей галоген, C1-С6алкил, гало-С1-С6алкил или гало-С1-С6алкоксигруппу, R4, R5, R6 независимо друг от друга обозначают водород или C1-С6алкил, W обозначает О, Х обозначает N(R10), где R10 обозначает водород, а обозначает 1 и b обозначает 0. Изобретение также относится к способу получения соединений формулы I, который заключается в том, что соединение формулы

подвергают взаимодействию, необязательно в присутствии основного катализатора, с соединением формулы Ar1-NCO. Кроме того, изобретение включает композицию для борьбы с паразитами, выбранными из группы, включающей гельминты, клещи, паразитиформные клещи и насекомые, которая содержит в качестве действующего вещества по меньшей мере одно соединение формулы I, а также носители и/или диспергаторы; к применению соединений формулы I для борьбы с указанными паразитами; к способу борьбы с ними, заключающемуся в воздействии на паразитов эффективным количеством по меньшей мере одного соединения формулы I; к применению соединения формулы I в способе борьбы с паразитами и для получения фармацевтической композиции с направленным против паразитов теплокровных животных, выбранных из группы, включающей гельминты, клещи, паразитиформные клещи и насекомые. 7 н.и 1 з.п. ф-лы, 1 табл.
Настоящее изобретение относится к новым карбонилоксицианометильным соединениям формулы

в которой
Ar1 и Ar2 независимо друг от друга обозначают незамещенный фенил либо одно- или многозамещенный фенил, заместители которого могут иметь независимые друг от друга значения и выбраны из группы, включающей галоген, нитрогруппу, цианогруппу, С1-С6алкил, гало-С1-С6алкил, C1-С6алкоксигруппу, гало-С1-С6алкоксигруппу, С2-С6алкенил, гало-С2-С6алкенил, С2-С6алкинил, С3-С6циклоалкил, С2-С6алкенилоксигруппу, гало-С2-С6алкенилоксигруппу, C1-С6алкилтиогруппу, гало-С1-С6алкилтиогруппу, C1-С6алкилсульфонилоксигруппу, гало-С1-С6алкилсульфонилоксигруппу, С1-С6алкилсульфинил, гало-С1-С6алкилсульфинил, С1-С6алкилсульфонил, гало-С1-С6алкилсульфонил, С2-С6алкенилтиогруппу, гало-С2-С6алкенилтиогруппу, С2-С6алкенилсульфинил, гало-С2-С6алкенилсульфинил, С2-С6алкенилсульфонил, гало-С2-С6алкенилсульфонил, С1-С6алкиламиногруппу, ди-С1-С6алкиламиногруппу, С1-С6алкилсульфониламиногруппу, гало-С1-С6алкилсульфониламиногруппу, С1-С6алкилкарбонил, гало-С1-С6алкилкарбонил, C1-С6алкоксикарбонил, С1-С6алкиламинокарбонил, ди-С1-С6алкиламинокарбонил, незамещенную фениламиногруппу либо одно- или многозамещенную фениламиногруппу, незамещенный фенилкарбонил либо одно- или многозамещенный фенилкарбонил, незамещенный фенил либо одно- или многозамещенный фенил, при этом заместители могут иметь независимые друг от друга значения и в свою очередь выбраны из группы, включающей галоген, нитрогруппу, цианогруппу, C1-С6алкил, гало-С1-С6алкил, C1-С6алкоксигруппу, гало-С1-С6алкоксигруппу, C1-С6алкилтиогруппу, гало-С1-С6алкилтиогруппу, С1-С6алкилсульфинил, гало-С1-С6алкилсульфинил, С1-С6алкилсульфонил и гало-С1-С6алкилсульфонил, незамещенную феноксигруппу либо одно- или многозамещенную феноксигруппу, заместители которой могут иметь независимые друг от друга значения и выбраны из группы, включающей галоген, нитрогруппу, цианогруппу, C1-С6алкил, гало-С1-С6алкил, C1-С6алкоксигруппу, гало-С1-С6алкоксигруппу, С1-С6алкилтиогруппу, гало-С1-С6алкилтиогруппу, C1-С6алкилсульфинил, гало-С1-С6алкилсульфинил, С1-С6алкилсульфонил и гало-С1-С6алкилсульфонил, незамещенный фенилацетиленил либо одно- или многозамещенный фенилацетиленил, заместители которого могут иметь независимые друг от друга значения и выбраны из группы, включающей галоген, нитрогруппу, цианогруппу, C1-С6алкил, гало-С1-С6алкил, C1-С6алкоксигруппу, гало-С1-С6алкоксигруппу, С1-С6алкилтиогруппу, гало-С1-С6алкилтиогруппу, С1-С6алкилсульфинил, гало-С1-С6алкилсульфинил, C1-С6алкилсульфонил и гало-С1-С6алкилсульфонил, и незамещенную пиридилоксигруппу либо одно- или многозамещенную пиридилоксигруппу, заместители которой могут иметь независимые друг от друга значения и выбраны из группы, включающей галоген, нитрогруппу, цианогруппу, C1-С6алкил, гало-С1-С6алкил, C1-С6алкоксигруппу, гало-С1-С6алкоксигруппу, С1-С6алкилтиогруппу, гало-С1-С6алкилтиогруппу, С1-С6алкилсульфинил, гало-С1-С6алкилсульфинил, C1-С6алкилсульфонил и гало-С1-С6алкилсульфонил, или обозначают незамещенный гетероарил либо одно- или многозамещенный гетероарил, заместители которого могут иметь независимые друг от друга значения и выбраны из группы, включающей галоген, нитрогруппу, цианогруппу, C1-С6алкил, гало-С1-С6алкил, C1-С6алкоксигруппу, гало-С1-С6алкоксигруппу, С2-С6алкенилоксигруппу, гало-С2-С6алкенилоксигруппу, С1-С6алкилтиогруппу, гало-С1-С6алкилтиогруппу, С1-С6алкилсульфинил, гало-С1-С6алкилсульфинил, С2-С6алкенилтиогруппу, гало-С2-С6алкенилтиогруппу, С2-С6алкенилсульфинил, гало-С2-С6алкенилсульфинил, С1-С6алкилсульфонил, гало-С1-С6алкилсульфонил, С2-С6алкенилсульфонил, гало-С2-С6алкенилсульфонил, C1-С6алкиламиногруппу и ди-С1-С6алкиламиногруппу, или обозначают незамещенный нафтил или хинолил либо одно- или многозамещенный нафтил или хинолил, заместители каждого из которых могут иметь независимые друг от друга значения и выбраны из группы, включающей галоген, нитрогруппу, цианогруппу, C1-С6алкил, гало-С1-С6алкил, C1-С6алкоксигруппу, гало-С1-С6алкоксигруппу, С2-С6алкенилоксигруппу, гало-С2-С6алкенилоксигруппу, C1-С6алкилтиогруппу,
гало-С1-С6алкилтиогруппу, С1-С6алкилсульфинил,
гало-С1-С6алкилсульфинил, С2-С6алкенилтиогруппу,
гало-С2-С6алкенилтиогруппу, С2-С6алкенилсульфинил,
гало-С2-С6алкенилсульфинил, С1-С6алкилсульфонил,
гало-С1-С6алкилсульфонил, С2-С6алкенилсульфонил,
гало-С2-С6алкенилсульфонил, C1-С6алкиламиногруппу и ди-С1-С6алкиламиногруппу,
R4, R5, R6, R7 и R8 независимо друг от друга обозначают водород, галоген, незамещенный C1-С6алкил либо одно- или многозамещенный C1-С6алкил, незамещенный С2-С6алкенил либо одно- или многозамещенный С2-С6алкенил, незамещенный С2-С6алкинил либо одно- или многозамещенный С2-С6алкинил, при этом заместители в каждом случае могут иметь независимые друг от друга значения и выбраны из группы, включающей галоген, C1-С6алкоксигруппу и гало-С1-С6алкоксигруппу, незамещенный С3-С6циклоалкил либо одно- или многозамещенный С3-С6циклоалкил, заместители которого могут иметь независимые друг от друга значения и выбраны из группы, включающей галоген и C1-С6алкил, или незамещенный фенил либо одно- или многозамещенный фенил, заместители которого могут иметь независимые друг от друга значения и выбраны из группы, включающей галоген, нитрогруппу, цианогруппу,
C1-С6алкил, гало-С1-С6алкил, C1-С6алкоксигруппу,
гало-С1-С6алкоксигруппу, С1-С6алкилтиогруппу, гало-С1-С6алкилтиогруппу, С1-С6алкилсульфинил,
гало-С1-С6алкилсульфинил, С1-С6алкилсульфонил,
гало-С1-С6алкилсульфонил, С1-С6алкиламиногруппу и ди-С1-С6алкиламиногруппу, или
R4 и R5 совместно обозначают С2-С6алкилен,
W обозначает О, S, S(O2) или N(R9),
R9 обозначает водород или C1-С6алкил,
Х обозначает О, S или N(R10),
R10 обозначает водород, C1-С6алкил, гало-С1-С6алкил, аллил или С1-С6алкоксиметил,
а обозначает 1, 2, 3 или 4 и
b обозначает 0, 1, 2, 3 или 4.
Из литературы известны различные соединения, которые были предложены для применения в качестве обладающих гельминтоцидными свойствами действующих веществ в составе пестицидов, предназначенных для использования на домашних животных и продуктивном скоте. Однако такие известные в настоящее время соединения не в полной мере удовлетворяют по своим биологическим свойствам всем требованиям, предъявляемым к ним в области борьбы с вредителями и паразитами, в связи с чем сохраняется необходимость в получении других соединений с более совершенными пестицидными свойствами, прежде всего для борьбы с эндопаразитами. Согласно изобретению, эту задачу в определенной степени удается решить с помощью предлагаемых в нем соединений формулы I.
В приведенных выше значениях заместителей алкил в качестве индивидуальной группы и в качестве структурного элемента других групп и соединений, таких как галоалкил, алкиламиногруппа, алкоксигруппа, алкилтиогруппа, алкилсульфинил и алкилсульфонил, является в каждом случае с учетом количества атомов углерода в конкретной группе или конкретном соединении либо прямоцепочечным, например представляет собой метил, этил, пропил, бутил, пентил, гексил, гептил или октил, либо разветвленным, например представляет собой изопропил, изобутил, втор-бутил, трет-бутил, изопентил, неопентил или изогексил.
Циклоалкил в качестве индивидуальной группы и в качестве структурного элемента других групп и соединений, таких как галоциклоалкил, циклоалкоксигруппа и циклоалкилтиогруппа, представляет собой в каждом случае с учетом количества атомов углерода в конкретной группе или конкретном соединении циклопропил, циклобутил, циклопентил, циклогексил, циклогептил или циклооктил.
Алкенил в качестве индивидуальной группы и в качестве структурного элемента других групп и соединений является в каждом случае с учетом количества атомов углерода в конкретной группе или конкретном соединении и сопряженных или изолированных двойных связей либо прямоцепочечным, например представляет собой аллил, 2-бутенил, 3-пентенил, 1-гексенил, 1-гептенил, 1,3-гексадиенил или 1,3-октадиенил, либо разветвленным, например представляет собой изопропенил, изобутенил, изопренил, трет-пентенил, изогексенил, изогептенил или изооктенил.
Алкинил в качестве индивидуальной группы и в качестве структурного элемента других групп и соединений является в каждом случае с учетом количества атомов углерода в конкретной группе или конкретном соединении и сопряженных или изолированных двойных связей либо прямоцепочечным, например представляет собой пропаргил, 2-бутинил, 3-пентинил, 1-гексинил, 1-гептинил, 3-гексен-1-инил или 1,5-гептадиен-3-инил, либо разветвленным, например представляет собой 3-метилбут-1-инил, 4-этилпент-1-инил, 4-метилгекс-2-инил или 2-метилгепт-3-инил.
Гетероарил представляет собой пиридил, тиенил, фуранил, пиррил, бензотиенил, бензофуранил, индолил или индазолил, предпочтительно пиридил или тиенил, прежде всего пиридил.
Галоген обычно представляет собой фтор, хлор, бром или иод. То же самое относится и к галогену (“гало-“), являющемуся элементом других групп и соединений, таких как галоалкил и галофенил.
Галогензамещенные углеродсодержащие группы и соединения могут быть частично галогенированными или пергалогенированными, при этом галогеновые заместители в случае полигалогенирования могут быть идентичными или различными. Примерами галоалкила в качестве индивидуальной группы и в качестве структурного элемента других групп и соединений, таких как галоалкоксигруппа или галоалкилтиогруппа, служат метил, который в качестве заместителей содержит от одного до трех атомов фтора, хлора и/или брома, например CHF2 или CF3, этил, который в качестве заместителей содержит от одного до пяти атомов фтора, хлора и/или брома, например СН2CF3, CF2CF3, CF2CCl3, CF2CHCl2, CF2CHF2, CF2CFCl2, CF2CHBr2, CF2CHClF, CF2CHBrF или CClFCHClF, пропил либо изопропил, каждый из которых в качестве заместителей содержит от одного до семи атомов фтора, хлора и/или брома, например CH2CHBrCH2Br, CF2CHFCF3, CH2CF2CF3 или СН(CF3)2, бутил либо один из его изомеров, каждый из которых в качестве заместителей содержит от одного до девяти атомов фтора, хлора и/или брома, например CF(CF3)CHFCF3 или СН2(CF2)2CF3, пентил либо один из его изомеров, каждый из которых в качестве заместителей содержит от одного до одиннадцати атомов фтора, хлора и/или брома, например CF(CF3)(CHF)2CF3 или СН2(CF2)3CF3, и гексил либо один из его изомеров, каждый из которых в качестве заместителей содержит от одного до тринадцати атомов фтора, хлора и/или брома, например (СН2)4CHBrCH2 Br, CF2(CHF)4CF3, СН2(CF2)4CF3 или С(CF3)2(CHF)2CF3.
Алкоксигруппы предпочтительно имеют цепь длиной от 1 до 6 атомов углерода. В качестве примеров алкоксигруппы можно назвать метокси-, этокси-, пропокси-, изопропокси-, н-бутокси-, изобутокси-, втор-бутокси- и трет-бутоксигруппу, а также изомеры пентилоксигруппы и гексилоксигруппы, предпочтительны при этом метокси- и этоксигруппа. Галоалкоксигруппы предпочтительно имеют цепь длиной от 1 до 6 атомов углерода. В качестве примеров галоалкоксигруппы можно назвать фторметокси-, дифторметокси-, трифторметокси-, 2,2,2-трифторэтокси-, 1,1,2,2-тетрафторэтокси-, 2-фторэтокси-, 2-хлорэтокси-, 2,2-дифторэтокси- и 2,2,2-трихлорэтоксигруппу, предпочтительны из которых дифторметокси-, 2-хлорэтокси- и трифторметоксигруппа.
Предпочтительными согласно изобретению соединениями являются следующие:
(1) соединение формулы I, в котором Ar1 и Ar2 независимо друг от друга обозначают незамещенный фенил либо одно- или многозамещенный фенил, заместители которого могут иметь независимые друг от друга значения и выбраны из группы, включающей галоген, нитрогруппу, цианогруппу, C1-С6алкил, гало-С1-С6алкил, C1-С6алкоксигруппу, гало-С1-С6алкоксигруппу, С2-С6алкенил, гало-С2-С6алкенил, С2-С6алкинил, С3-С6циклоалкил, С2-С6алкенилоксигруппу, гало-С2-С6алкенилоксигруппу, С1-С6алкилтиогруппу, гало-С1-С6алкилтиогруппу, С1-С6алкиламиногруппу, ди-С1-С6алкиламиногруппу, С1-С6алкилкарбонил, гало-С1-С6алкилкарбонил, C1-С6алкоксикарбонил, C1-С6алкиламинокарбонил и ди-С1-С6алкиламинокарбонил, или обозначают незамещенный либо одно- или многозамещенный гетероарил, заместители которого, если он является замещенным, могут иметь независимые друг от друга значения и выбраны из группы, включающей галоген, нитрогруппу, цианогруппу, C1-С6алкил, гало-С1-С6алкил, C1-С6алкоксигруппу, гало-С1-С6алкоксигруппу, С2-С6алкенилоксигруппу, гало-С2-С6алкенилоксигруппу, C1-С6алкилтиогруппу, гало-С1-С6алкилтиогруппу, C1-С6алкиламиногруппу и ди-С1-С6алкиламиногруппу, или обозначают незамещенный либо одно- или многозамещенный нафтил, заместители которого, если он является замещенным, могут иметь независимые друг от друга значения и выбраны из группы, включающей галоген, нитрогруппу, цианогруппу, C1-С6алкил, гало-С1-С6алкил, C1-С6алкоксигруппу, гало-С1-С6алкоксигруппу, С2-С6алкенилоксигруппу, гало-С2-С6алкенилоксигруппу, C1-С6алкилтиогруппу, гало-С1-С6алкилтиогруппу, C1-С6алкиламиногруппу и ди-С1-С6алкиламиногруппу, прежде всего независимо друг от друга обозначают незамещенный либо одно- или многозамещенный фенил, заместители которого могут иметь независимые друг от друга значения и выбраны из группы, включающей галоген, C1-С6алкил, гало-С1-С6алкил, C1-С6алкоксигруппу, гало-С1-С6алкоксигруппу, С3-С6циклоалкил, C1-С6алкилтиогруппу, гало-С1-С6алкилтиогруппу, С1-С6алкилкарбонил, гало-С1-С6алкилкарбонил, C1-С6алкоксикарбонил, C1-С6алкиламинокарбонил и ди-С1-С6алкиламинокарбонил, незамещенный либо одно- или многозамещенный гетероарил, заместители которого, если он является замещенным, могут иметь независимые друг от друга значения и выбраны из группы, включающей галоген, C1-С6алкил, гало-С1-С6алкил, C1-С6алкоксигруппу, гало-С1-С6алкоксигруппу, C1-С6алкиламиногруппу и ди-С1-С6алкиламиногруппу, или незамещенный либо одно- или многозамещенный нафтил, заместители которого, если он является замещенным, могут иметь независимые друг от друга значения и выбраны из группы, включающей галоген, C1-С6алкил, гало-С1-С6алкил, C1-С6алкоксигруппу, гало-C1-С6алкоксигруппу, C1-С6алкиламиногруппу и ди-С1-С6алкиламиногруппу, в частности независимо друг от друга обозначают незамещенный либо одно- или многозамещенный фенил, заместители которого могут иметь независимые друг от друга значения и выбраны из группы, включающей галоген, C1-С6алкил, гало-С1-С6алкил, C1-С6алкоксигруппу и гало-C1-С6алкоксигруппу, или незамещенный либо одно- или многозамещенный гетероарил, заместители которого, если он является замещенным, могут иметь независимые друг от друга значения и выбраны из группы, включающей галоген, C1-С6алкил и гало-С1-С6алкил;
(2) соединение формулы I, в котором R4, R5, R6, R7 и R8 независимо друг от друга обозначают водород, галоген, незамещенный C1-С6алкил либо одно- или многозамещенный C1-С6алкил, незамещенный С2-С6алкенил либо одно- или многозамещенный С2-С6алкенил, незамещенный С2-С6алкинил либо одно- или многозамещенный С2-С6алкинил, при этом заместители в каждом случае могут иметь независимые друг от друга значения и выбраны из группы, включающей галоген, C1-С6алкоксигруппу и гало-C1-С6алкоксигруппу, незамещенный С3-С6циклоалкил либо одно- или многозамещенный С3-С6циклоалкил, заместители которого могут иметь независимые друг от друга значения и выбраны из группы, включающей галоген и C1-С6алкил, или незамещенный фенил либо одно- или многозамещенный фенил, заместители которого могут иметь независимые друг от друга значения и выбраны из группы, включающей галоген, нитрогруппу, цианогруппу, C1-С6алкил, гало-С1-С6алкил, С1-С6алкоксигруппу, гало-С1-С6алкоксигруппу, С1-С6алкилсульфонил, гало-С1-С6алкилсульфонил, C1-С6алкиламиногруппу и ди-С1-С6алкиламиногруппу, прежде всего независимо друг от друга обозначают водород, галоген, незамещенный C1-С6алкил либо одно- или многозамещенный C1-С6алкил, незамещенный С2-С6алкенил либо одно- или многозамещенный С2-С6алкенил, незамещенный С2-С6алкинил либо одно- или многозамещенный С2-С6алкинил, при этом заместители в каждом случае могут иметь независимые друг от друга значения и выбраны из группы, включающей галоген и C1-С6алкоксигруппу, незамещенный С3-С6циклоалкил либо одно- или многозамещенный С3-С6циклоалкил, заместители которого могут иметь независимые друг от друга значения и выбраны из группы, включающей галоген и С1-С4алкил, или незамещенный фенил либо одно- или многозамещенный фенил, заместители которого могут иметь независимые друг от друга значения и выбраны из группы, включающей галоген, нитрогруппу, цианогруппу, C1-С6алкил, гало-С1-С6алкил, C1-С6алкоксигруппу или гало-С1-С6алкоксигруппу, в частности независимо друг от друга обозначают водород, галоген, С1-С4алкил или гало-С1-С4алкил;
(3) соединение формулы I, в котором W обозначает О, S или N(R9), прежде всего О или S, в частности О,
(4) соединение формулы I, в котором R9 обозначает водород или С1-С4алкил, прежде всего водород или С1-С2алкил, в частности водород;
(5) соединение формулы I, в котором Х обозначает О или N(R10), прежде всего N(R10),
(6) соединение формулы I, в котором R10 обозначает водород, С1-С4алкил или гало-С1-С4алкил, прежде всего водород или С1-С4алкил, в частности водород;
(7) соединение формулы I, в котором а обозначает 1, 2 или 3, прежде всего 1 или 2, в частности 1;
(8) соединение формулы I, в котором b обозначает 0, 1, 2 или 3, прежде всего 0 или 1, в частности 0;
(9) соединение формулы I, в котором
Ar1 и Ar2 независимо друг от друга обозначают незамещенный фенил либо одно- или многозамещенный фенил, заместители которого могут иметь независимые друг от друга значения и выбраны из группы, включающей галоген, нитрогруппу, цианогруппу, C1-С6алкил, гало-С1-С6алкил, C1-С6алкоксигруппу, гало-С1-С6алкоксигруппу, С2-С6алкенил, гало-С2-С6алкенил, С2-С6алкинил, С3-С6циклоалкил, С2-С6алкенилоксигруппу, гало-С2-С6алкенилоксигруппу, С1-С6алкилтиогруппу, гало-С1-С6алкилтиогруппу, С1-С6алкиламиногруппу, ди-C1-С6алкиламиногруппу, C1-С6алкилкарбонил, гало-С1-С6алкилкарбонил, С1-С6алкоксикарбонил, C1-С6алкиламинокарбонил и ди-С1-С6алкиламинокарбонил, незамещенный либо одно- или многозамещенный гетероарил, заместители которого, если он является замещенным, могут иметь независимые друг от друга значения и выбраны из группы, включающей галоген, нитрогруппу, цианогруппу, C1-С6алкил, гало-С1-С6алкил, C1-С6алкоксигруппу, гало-С1-С6алкоксигруппу, С2-С6алкенилоксигруппу, гало-С2-С6алкенилоксигруппу, С1-С6алкилтиогруппу, гало-С1-С6алкилтиогруппу, C1-С6алкиламиногруппу и ди-С1-С6алкиламиногруппу, или незамещенный либо одно- или многозамещенный нафтил, заместители которого, если он является замещенным, могут иметь независимые друг от друга значения и выбраны из группы, включающей галоген, нитрогруппу, цианогруппу, C1-С6алкил, гало-С1-С6алкил, С1-С6алкоксигруппу, гало-С1-С6алкоксигруппу, С2-С6алкенилоксигруппу, гало-С2-С6алкенилоксигруппу, С1-С6алкилтиогруппу, гало-С1-С6алкилтиогруппу, С1-С6алкиламиногруппу и ди-C1-С6алкиламиногруппу,
R4, R5, R6, R7 и R8 независимо друг от друга обозначают водород, галоген, незамещенный C1-С6алкил либо одно- или многозамещенный C1-С6алкил, незамещенный С2-С6алкенил либо одно- или многозамещенный С2-С6алкенил, незамещенный С2-С6алкинил либо одно- или многозамещенный С2-С6алкинил, при этом заместители в каждом случае могут иметь независимые друг от друга значения и выбраны из группы, включающей галоген и С1-С6алкоксигруппу, незамещенный С3-С6циклоалкил либо одно- или многозамещенный С3-С6циклоалкил, заместители которого могут иметь независимые друг от друга значения и выбраны из группы, включающей галоген и C1-С6алкил, или незамещенный фенил либо одно- или многозамещенный фенил, заместители которого могут иметь независимые друг от друга значения и выбраны из группы, включающей галоген, нитрогруппу, цианогруппу, C1-С6алкил, гало-С1-С6алкил, C1-С6алкоксигруппу, гало-С1-С6алкоксигруппу, С1-С6алкилсульфонил, гало-С1-С6алкилсульфонил, С1-С6алкиламиногруппу и ди-C1-С6алкиламиногруппу,
W обозначает О, S или N(R9),
R9 обозначает водород или С1-С4алкил,
Х обозначает О или N(R10),
R10 обозначает водород, С1-С4алкил или гало-С1-С4алкил,
а обозначает 1,2 или 3 и
b обозначает 0, 1, 2 или 3;
(10) соединение формулы I, в котором
Ar1 и Ar2 независимо друг от друга обозначают незамещенный либо одно- или многозамещенный фенил, заместители которого, если он является замещенным, могут иметь независимые друг от друга значения и выбраны из группы, включающей галоген, C1-С6алкил, гало-С1-С6алкил, C1-С6алкоксигруппу, гало-С1-С6алкоксигруппу, С3-С6циклоалкил, С1-С6алкилтиогруппу, гало-С1-С6алкилтиогруппу, С1-С6алкилкарбонил, гало-С1-С6алкилкарбонил, С1-С6алкоксикарбонил, C1-С6алкиламинокарбонил и ди-С1-С6алкиламинокарбонил, незамещенный либо одно- или многозамещенный гетероарил, заместители которого, если он является замещенным, могут иметь независимые друг от друга значения и выбраны из группы, включающей галоген, C1-С6алкил, гало-С1-С6алкил, C1-С6алкоксигруппу, гало-С1-С6алкоксигруппу, С1-С6алкиламиногруппу и ди-C1-С6алкиламиногруппу, или незамещенный либо одно- или многозамещенный нафтил, заместители которого, если он является замещенным, могут иметь независимые друг от друга значения и выбраны из группы, включающей галоген, C1-С6алкил, гало-С1-С6алкил, C1-С6алкоксигруппу, гало-С1-С6алкоксигруппу, С1-С6алкиламиногруппу и ди-С1-С6алкиламиногруппу, R4, R5, R6, R7 и R8 независимо друг от друга обозначают водород, галоген, незамещенный C1-С6алкил либо одно- или многозамещенный C1-С6алкил, незамещенный С2-С6алкенил либо одно- или многозамещенный С2-С6алкенил, незамещенный С2-С6алкинил либо одно- или многозамещенный С2-С6алкинил, при этом заместители в каждом случае могут иметь независимые друг от друга значения и выбраны из группы, включающей галоген и C1-С6алкоксигруппу, незамещенный С3-С6циклоалкил либо одно- или многозамещенный С3-С6циклоалкил, заместители которого могут иметь независимые друг от друга значения и выбраны из группы, включающей галоген и С1-С4алкил, или незамещенный фенил либо одно- или многозамещенный фенил, заместители которого могут иметь независимые друг от друга значения и выбраны из группы, включающей галоген, нитрогруппу, цианогруппу, C1-С6алкил, гало-С1-С6алкил, C1-С6алкоксигруппу или гало-С1-С6алкоксигруппу,
W обозначает О или S,
R9 обозначает водород или C1-С2алкил,
Х обозначает N(R10),
R10 обозначает водород или С1-С4алкил,
а обозначает 1 или 2 и
b обозначает 0 или 1;
(11) соединение формулы I, в котором
Ar1 и Ar2 независимо друг от друга обозначают незамещенный либо одно- или многозамещенный фенил, заместители которого, если он является замещенным, могут иметь независимые друг от друга значения и выбраны из группы, включающей галоген, C1-С6алкил, гало-С1-С6алкил, C1-С6алкоксигруппу и гало-С1-С6алкоксигруппу, или незамещенный либо одно- или многозамещенный гетероарил, заместители которого, если он является замещенным, могут иметь независимые друг от друга значения и выбраны из группы, включающей галоген, C1-С6алкил и гало-С1-С6алкил,
R4, R5, R6, R7 и R8 независимо друг от друга обозначают водород, галоген, С1-С4алкил или гало-С1-С4алкил,
W обозначает О,
R9 обозначает водород,
Х обозначает N(R10),
R10 обозначает водород,
а обозначает 1 и
b обозначает 1.
Согласно изобретению, особо предпочтительны соединения формулы I, перечисленные ниже в таблице 1, и прежде всего соединения, описанные ниже в примерах синтеза.
Изобретение относится также к способу получения соединений формулы I, соответственно в свободной форме или в виде соли, заключающемуся, например, в том, что соединение формулы

которое является известным соединением или которое можно получать аналогично соответствующим известным соединениям и в котором R4, R5, R6, R7, R8, Ar2, W, а и b имеют указанные для формулы I значения,
а) для получения соединения формулы I, в котором Х имеет указанные для формулы I значения, за исключением NH, подвергают взаимодействию, необязательно в присутствии основного катализатора, с соединением формулы

которое является известным соединением или которое можно получать аналогично соответствующим известным соединениям и в котором Ar1 и Х имеют указанные для формулы I значения, а Q обозначает уходящую группу, либо
б) для получения соединения формулы I, в котором Х обозначает NH, a n обозначает 1, подвергают взаимодействию, необязательно в присутствии основного катализатора, с соединением формулы

которое является известным соединением или которое можно получать аналогично соответствующим известным соединениям и в котором Ar1 имеет указанные для формулы I значения, и затем при необходимости соединение формулы I, полученное описанным выше способом или иным путем, соответственно в свободной форме или в виде соли, превращают в другое соединение формулы I, разделяют полученную этим способом смесь изомеров и выделяют целевой изомер и/или свободное соединение формулы I, полученное описанным выше способом, переводят в соль либо соль соединения формулы I, полученную описанным выше способом, переводят в свободное соединение формулы I или в другую соль.
Приведенные выше пояснения касательно солей соединений формулы I аналогичным образом относятся и к солям исходных соединений, указанных выше и в последующем описании.
При осуществлении рассмотренного выше способа реагенты можно подвергать взаимодействию между собой как таковые, т.е. без добавления растворителя или разбавителя, например в расплавленном состоянии. Однако в большинстве случаев может оказаться целесообразным добавлять к реакционной смеси инертный растворитель или разбавитель либо их смесь. В качестве примеров таких растворителей и разбавителей можно назвать ароматические, алифатические и алициклические углеводороды и галогенированные углеводороды, такие как бензол, толуол, ксилол, мезителен, тетралин, хлорбензол, дихлорбензол, бромбензол, петролейный эфир, гексан, циклогексан, дихлорметан, трихлорметан, тетрахлорметан, дихлорэтан, трихлорэтен или тетрахлорэтен, простые эфиры, такие как диэтиловый эфир, дипропиловый эфир, диизопропиловый эфир, дибутиловый эфир, трет-бутилметиловый эфир, монометиловый эфир этиленгликоля, моноэтиловый эфир этиленгликоля, диметиловый эфир этиленгликоля, диметоксидиэтиловый эфир, тетрагидрофуран или диоксан, кетоны, такие как ацетон, метилэтилкетон или метилизобутилкетон, амиды, такие как N,N-диметилформамид, N,N-диэтилформамид, N,N-диметилацетамид, N-метилпирролидон или триамид гексаметилфосфорной кислоты, нитрилы, такие как ацетонитрил или пропионитрил, и сульфоксиды, такие как диметилсульфоксид.
Предпочтительными уходящими группами Q являются галогены, главным образом хлор.
В качестве примера оснований, пригодных для катализа проводимой в соответствии с предлагаемым в изобретении способом реакции, можно назвать гидроксиды, гидриды, амиды, алканоляты, ацетаты, карбонаты, диалкиламиды или алкилсилиламиды щелочных или щелочноземельных металлов, алкиламины, алкилендиамины, необязательно N-алкилированные, необязательно ненасыщенные циклоалкиламины, гетероциклические основания, гидроксиды аммония, а также карбоциклические амины. Конкретными примерами подобных оснований являются гидроксид, гидрид, амид, метанолят, ацетат и карбонат натрия, трет-бутанолят, гидроксид, карбонат и гидрид калия, диизопропиламид лития, бис(триметилсилил)амид калия, гидрид кальция, триэтиламин, диизопропилэтиламин, триэтилендиамин, циклогексиламин, N-циклогексил-N,N-диметиламин, N,N-диэтиланилин, пиридин, 4-(N,N-диметиламино)пиридин, хинуклидин, N-метилморфолин, гидроксид бензилтриметиламмония, а также 1,5-диазабицикло[5.4.0]ундец-5-ен (ДБУ).
Реакцию целесообразно проводить при температуре от примерно 0 до примерно 150°С, предпочтительно от примерно 20 до примерно 100°С.
Соли соединений формулы I можно получать известным методом. Так, например, кислотно-аддитивные соли соединений формулы I получают их обработкой приемлемой кислотой или приемлемым ионообменным реагентом, а соли с основаниями – их обработкой приемлемым основанием или приемлемым ионообменным реагентом.
Соли соединений формулы I можно обычным путем превращать в свободные соединения формулы I, для чего кислотно-аддитивные соли можно, например, обрабатывать приемлемым основным агентом или приемлемым ионообменным реагентом, а соли с основаниями можно, например, обрабатывать приемлемой кислотой или приемлемым ионообменным реагентом.
Соли соединений формулы I можно известным образом превращать в другие соли соединений формулы I, при этом кислотно-аддитивные соли можно, например, превращать в другие кислотно-аддитивные соли, например обработкой соли неорганической кислоты, такой как гидрохлорид, приемлемой металлической солью, такой как натриевая, бариевая или серебряная соль, кислоты, например ацетатом серебра, в приемлемом растворителе, в котором образующаяся неорганическая соль, например хлорид серебра, не растворима и в результате выпадает в осадок из реакционной смеси.
В зависимости от конкретной методики и/или условий реакции соединения формулы I, обладающие солеобразующими свойствами, можно получать в свободной форме либо в виде солей.
Соединения формулы I можно также получать в виде их гидратов и/или они могут также содержать молекулы других растворителей, которые, например, могут при необходимости использоваться для кристаллизации соединений, представленных в твердом виде.
Соединения формулы I при определенных условиях могут быть представлены в виде их возможных оптических и/или геометрических изомеров либо в виде их смеси. В соответствии с этим настоящее изобретение относится и к чистым изомерам, и ко всем возможным смесям изомеров, что подразумевается выше и в последующем описании, даже если в каждом отдельном случае и не указаны конкретные подробности касательно стереохимического строения соединений.
Смеси диастереоизомеров соединений формулы I, получаемые предлагаемым в изобретении способом или иным путем, можно на основе различий физико-химических свойств компонентов таких смесей разделять известным методом, например фракционированной кристаллизацией, перегонкой и/или хроматографией, на чистые диастереоизомеры.
Смеси энантиомеров, которые образуются при соответствующих условиях, можно разделять на чистые изомеры известными методами, например перекристаллизацией из оптически активного растворителя, хроматографией на хиральных адсорбентах, например жидкостной хроматографией высокого давления (ЖХВД) на ацетилцеллюлозе, с помощью пригодных для этой цели микроорганизмов, расщеплением с помощью особых иммобилизованных ферментов или образованием соединений включения, например с использованием хиральных краун-эфиров, в каковом случае только один энантиомер образует комплекс.
Помимо разделения соответствующих смесей изомеров согласно изобретению существует также возможность сразу получать общеизвестными методами диастереоселективного или энантиоселективного синтеза чистые диастереоизомеры или энантиомеры, например за счет использования при проведении предлагаемого в изобретении способа исходных материалов с соответствующим стереохимическим строением.
В любом случае предпочтительно выделять или синтезировать биологически более активный изомер, например энантиомер, если индивидуальные компоненты обладают различной биологической активностью.
В предлагаемом в изобретении способе предпочтительно использовать те исходные материалы и промежуточные продукты, которые позволяют получать соединения формулы I, которые представлены в начале описания как наиболее предпочтительные.
Настоящее изобретение относится, в частности, к тому варианту осуществления способа получения соединений, который описан ниже в примере.
Настоящее изобретение относится также к новым исходным материалам и промежуточным продуктам, используемым согласно изобретению для получения соединений формулы I, к применению этих исходных материалов и промежуточных продуктов и к способу их получения.
Предлагаемые в изобретении соединения формулы I отличаются широким спектром действия и являются ценными действующими веществами, позволяющими вести борьбу с вредителями и паразитами, включая, в частности, борьбу с эндопаразитами у животных, и вместе с тем обладают хорошей переносимостью теплокровными животными, рыбами и растениями.
В контексте настоящего изобретения под эктопаразитами подразумеваются, в частности, насекомые и клещи, в том числе паразитиформные клещи. К подобным эктопаразитам относятся насекомые отряда Lepidoptera, Coleoptera, Homoptera, Heteroptera, Diptera, Thysanoptera, Orthoptera, Anoplura, Siphonaptera, Mallophaga, Thysanura, Isoptera, Psocoptera и Hymenoptera. Однако особо следует отметить тех эктопаразитов, которые “досаждают” людям или животным и которые являются переносчиками болезнетворных организмов, например мухи, такие как Musca domestica, Musca vetustissima, Musca autumnalis, Fannia canicularis, Sarcophaga carnaria, Lucilia cuprina, Hypoderma bovis, Hypoderma lineatum, Chrysomyia chloropyga, Dermatobia hominis, Cochliomyia hominivorax, Gasterophilus intestinalis, Oestrus ovis, Stomoxys calcitrans, Haematobia irritans, и мелкие двукрылые насекомые (Nematocera, длинноусые), такие как Culicidae, Simuliidae, Psychodidae, а также кровососущие паразиты, например блохи, такие как Ctenocephalides felis и Ctenocephalides canis (блохи кошачья и собачья соответственно), Xenopsylla cheopis, Pulex irritans, Dermatophilus penetrans, вши, такие как Damalina ovis, Pediculus humanis, жалящие мухи и слепни (Tabanidae), Haematopota spp., такие как Haematopota pluvialis, Tabanidea spp., такие как Tabanus nigrovittatus, Chrysopsinae spp., такие как Chrysops caecutiens, мухи це-це, такие как видов Glossinia, жалящие насекомые, в частности тараканы, такие как Blatella germanica, Blatta orientalis, Periplaneta americana, и клещи, такие как Dermanyssus gallinae, Sarcoptes scabiei, Psoroptes ovis, Psorergates spp., в том числе, но не исключительно, паразитиформные клещи. Последние относятся к отряду Acarina. В качестве примера известных представителей паразитиформных клещей можно назвать Boophilus, Amblyomma, Anocentor, Dermacentor, Haemaphysalis, Hyalomma, Ixodes, Rhipicentor, Margaropus, Rhipicephalus, Argas, Otobius, Ornithodoros и т.п., которые преимущественно заражают теплокровных животных, включая сельскохозяйственных животных, в частности крупный рогатый скот, свиней, овец и коз, домашнюю птицу, в частности кур, индеек и гусей, специально разводимых пушных зверей, например норок, лисиц, шиншилл, кроликов и т.п., а также комнатных и домашних животных, например кошек и собак, и человека.
Предлагаемые в изобретении соединения формулы I проявляют также эффективность на всех или отдельных стадиях развития не только обладающих нормальной чувствительностью вредителей и паразитов, но и устойчивых вредителей и паразитов, таких как насекомые и представители отряда Acarina. Инсектицидное, овицидное и/или акарицидное действие предлагаемых в изобретении действующих веществ может проявляться непосредственно, т.е. проявляться в гибели вредителей и паразитов, наступающей сразу же после обработки либо только по истечении некоторого периода времени, например в процессе линьки, или в разрушении их яиц, или же опосредованно, например проявляться в уменьшении количества откладываемых яиц и/или количества вылупляющихся из яиц особей, при этом хорошая активность соответствует гибели по меньшей мере 50-60% вредителей и паразитов.
Соединения формулы I могут также использоваться для борьбы с вредителями и паразитами в санитарно-гигиеническом секторе, прежде всего для борьбы с представителями из отряда Diptera семейств Sarcophagidae, Anophilidae и Culicidae, из отряда Orthoptera, Dictyoptera (например, семейства Blattidae) и из отряда Hymenoptera (например, семейства Formicidae).
Соединения формулы I позволяют также эффективно вести борьбу с паразитирующими на растениях нематодами видов Meloidogyne, Heterodera, Pratylenchus, Ditylenchus, Radopholus, Rizoglyphus и т.д.
Предлагаемые в изобретении соединения позволяют, в частности, эффективно вести борьбу с гельминтами, среди которых эндопаразитические нематоды и трематоды могут являться причиной серьезных заболеваний у млекопитающих и домашней птицы, например у овец, свиней, коз, крупного рогатого скота, лошадей, ослов, собак, кошек, морских свинок и экзотических птиц. К типичным представителям таких нематод относятся Haemonchus, Trichostrongylus, Ostertagia, Nematodirus, Cooperia, Ascaris, Bunostonum, Oesophagostonum, Charbertia, Trichuris, Strongylus, Trichonema, Dictyocaulus, Capillaria, Heterakis, Toxocara, Ascaridia, Oxyuris, Ancylostoma, Uncinaria, Toxascaris и Parascaris. В качестве примера трематод можно назвать, в частности, представителей семейства Fasciolideae, прежде всего Fasciola hepatica. Особое преимущество соединений формулы I состоит в их эффективности при борьбе с теми паразитами, которые невосприимчивы к действующим веществам на основе бензимидазола.
Некоторые паразиты, относящиеся к видам Nematodirus, Cooperia и Oesophagostonum, заражают кишечник животного-хозяина, тогда как другие паразиты, относящиеся к видам Haemonchus и Ostertagia, паразитируют в желудке, а паразиты, относящиеся к виду Dictyocaulus, паразитируют в легочной ткани. Паразитов из семейств Filariidae и Setariidae можно обнаружить во внутриклеточной ткани, а также в различных органах, например в сердце, кровеносных сосудах, лимфатических сосудах и подкожной основе. При этом особо следует упомянуть такого паразита, как паразитирующий в сердце собак гельминт Dirofilaria immitis. Соединения формулы I высокоэффективны при борьбе с подобными паразитами.
К паразитам, с которыми также можно вести борьбу с помощью соединений формулы I, относятся и паразиты из класса Cestoda (ленточные черви), например представители семейства Mesocestoidae, прежде всего рода Mesocestoides, в частности М. lineatus, семейства Dilepididae, прежде всего Dipylidium caninum, Joyeuxiella spp., в частности Joyeuxiella pasquali, и Diplopylidium spp., и семейства Taeniidae, прежде всего Taenia pisiformis, Taenia cervi, Taenia ovis, Taneia hydatigena, Taenia multiceps, Taenia taeniaeformis, Taenia serialis и Echinocuccus spp., наиболее предпочтительно Taneia hydatigena, Taenia ovis, Taenia multiceps, Taenia serialis, Echinococcus granulosus и Echinococcus multilocularis, а также Multiceps multiceps.
Особо следует отметить возможность борьбы с Taenia hydatigena, T. pisiformis, Т. ovis, T. taeniaeformis, Multiceps multiceps, Joyeuxiella pasquali, Dipylidium caninum, Mesocestoides spp., Echinococcus granulosus и Е. multilocularis у собак и кошек одновременно с борьбой с Dirofilaria immitis, Ancylostoma ssp., Toxocara ssp. и/или Trichuris vulpis.
Помимо этого соединения формулы I пригодны для борьбы с патогенными паразитами у человека. К типичным представителям подобных паразитов, которые обитают в пищеварительном тракте, относятся паразиты видов Ancylostoma, Necator, Ascaris, Strongyloides, Trichinella, Capillaria, Trichuris и Enterobius. Предлагаемые в изобретении соединения могут также эффективно использоваться для борьбы с паразитами видов Wuchereria, Brugia, Onchocerca и Loa из семейства Filariidae, которые обитают в крови, в различных тканях и различных органах, а также для борьбы с паразитами Dracunculus и паразитами видов Strongyloides и Trichinella, которые, в частности, заражают желудочно-кишечный тракт.
Соединения формулы I являются, кроме того, эффективными средствами борьбы с вредными и патогенными грибами на растениях, а также у человека и животных.
Высокая пестицидная активность предлагаемых в изобретении соединений формулы I проявляется в уничтожении по меньшей мере 50-60% вышеуказанных вредителей от всего их числа.
Соединения формулы I предпочтительно используют в немодифицированном виде или что более предпочтительно совместно со вспомогательными веществами, обычно применяемыми в технологии получения препаративных форм, и, следовательно, такие соединения можно перерабатывать по известной технологии с получением, например, эмульгирующихся концентратов, непосредственно разбавляемых растворов, разбавленных эмульсий, растворимых порошков, гранул, а также микрокапсулированных в полимерные вещества препаратов. Тип препарата, равно как и методы обработки выбирают в соответствии с поставленными целями и превалирующими обстоятельствами.
Препаративные формы, т.е. композиции, составы или смеси, содержащие действующее вещество формулы I или подобные действующие вещества в сочетании с другими действующими веществами и при необходимости твердое или жидкое вспомогательное вещество, получают известным методом, например путем гомогенного смешения и/или измельчения действующих веществ с наполнителями, например растворителями, твердыми носителями и необязательно поверхностно-активными веществами (ПАВ).
В качестве указанных выше растворителей можно использовать, например, спирты, такие как этанол, пропанол или бутанол, гликоли и их простые и сложные эфиры, такие как пропиленгликоль, дипропиленгликолевый эфир, этиленгликоль, монометиловый либо – этиловый эфир этиленгликоля, кетоны, такие как циклогексанон, изофорон или диацетаноловый спирт, сильные полярные растворители, такие как N-метил-2-пирролидон, диметилсульфоксид или диметилформамид, или воду, растительные масла, такие как рапсовое, касторовое, кокосовое или соевое масло, а также, когда это уместно, силиконовые масла.
Предпочтительными препаративными формами для борьбы с гельминтами у теплокровных животных являются растворы, эмульсии, суспензии (препараты для вливания в ротовую полость животного), кормовые добавки, порошки, таблетки, включая шипучие таблетки, пилюли, капсулы, микрокапсулы и саморастекающиеся формы для обработки наливом, при этом при изготовлении того или иного препарата следует учитывать физиологическую совместимость включаемых в его состав эксципиентов.
В качестве связующих при изготовлении таблеток и пилюль можно использовать химически модифицированные природные полимерные вещества, растворимые в воде или в спирте, такие как крахмал, целлюлоза или производные протеинов (например, метилцеллюлоза, карбоксиметилцеллюлоза, этилгидроксиэтилцеллюлоза, такие протеины, как зеин, желатин и т.п.), а также синтетические полимеры, такие как поливиниловый спирт, поливинилпирролидон и т.д. В состав таблеток включают также наполнители (например, крахмал, микрокристаллическую целлюлозу, сахар, лактозу т.д.), смазывающие вещества и разрыхлители.
Если гельминтоциды представлены в виде кормовых концентратов, то в их состав в качестве носителей включают, например, нормированные (продуктивные) корма, кормовое зерно или протеиновые концентраты. Подобные кормовые концентраты или композиции помимо действующих веществ могут также содержать добавки, витамины, антибиотики, химиотерапевтические средства либо иные пестициды, главным образом бактериостатические средства, фунгистатические средства, кокцидиостатические средства, или даже гормональные препараты, вещества, обладающие анаболическим действием, или стимулирующие рост вещества, которые влияют на качество мяса убойных животных либо оказывают иное благоприятное действие на организм. При добавлении подобных композиций или содержащихся в них действующих веществ формулы I непосредственно к корму или в поилку предпочтительно, чтобы концентрация действующих веществ в получаемом кормовом или питьевом составе составляла примерно от 0,0005 до 0,02 мас.% (от 5 до 200 ч./млн).
Предлагаемые в изобретении соединения формулы I могут использоваться индивидуально или в сочетании с другими биоцидами. Так, например, для повышения эффективности эти соединения можно комбинировать с пестицидами, обладающими таким же действием, или, например, для расширения спектра действия эти соединения можно комбинировать с веществами, обладающими иным действием. В некоторых случаях может оказаться целесообразным добавление так называемых репеллентов. Поскольку соединения формулы I являются “адультицидами”, т.е. эффективны главным образом при борьбе с паразитами, полностью достигшими взрослой стадии развития (стадии имаго), может оказаться целесообразным добавление к ним пестицидов, которые более эффективны при борьбе с паразитами на более ранних стадиях их развития. Таким путем можно вести борьбу с большей частью популяции паразитов, наносящих значительный экономический ущерб. Помимо этого подобное комбинированное действие позволяет в значительной степени воспрепятствовать развитию у таких паразитов резистентности к действующим веществам. Большое число комбинированных препаратов могут также проявлять синергетический эффект, благодаря чему появляется возможность снизить общую норму расхода действующего вещества, что целесообразно с экологической точки зрения. Предпочтительные группы действующих веществ, а также особо предпочтительные действующие вещества, одно или несколько из которых могут использоваться в сочетании с соединением формулы I, указаны ниже.
Действующими веществами, пригодными для использования в смеси с предлагаемыми в изобретении соединениями, являются биоциды, например инсектициды и акарициды с различным механизмом действия, которые указаны ниже и которые уже достаточно давно известны специалистам в данной области, в частности ингибиторы синтеза хитина, регуляторы роста, действующие по типу ювенильных гормонов вещества, действующие по типу адультицидов вещества, инсектициды с широким спектром действия, акарициды с широким спектром действия и нематоциды, а также хорошо известные гельминтоциды и отпугивающие насекомых и/или клещей вещества, т.е. указанные выше репелленты или препараты, обеспечивающие самооткрепление паразитов от кожного покрова.
В качестве примера пригодных для использования в сочетании с предлагаемыми в изобретении соединениями инсектицидов и акарицидов можно назвать следующие (но не ограничиваясь только ими):
| 1. абамектин |
18. бенфуракарб |
36. хлорфенапир |
| 2. АС 303630 |
19. бенсултап |
37. хлорфлуазурон |
| 3. ацефат |
20. -цифлутрин |
38. хлормефос |
| 4. акринатрин |
21. бифентрин |
39.хлорпирифос |
| 5. аланикарб |
22. БФМК |
40. цис-ресметрин |
| 6. альдикарб |
23. брофенпрокс |
41.клоцитрин |
7. -циперметрин |
24. бромофос А |
42. клофентизин |
| 8. альфаметрин |
25. буфенкарб |
43. цианофос |
| 9. амитраз |
26. бупрофезин |
44. циклопротрин |
| 10. авермектин B1 |
27. бутокарбоксим |
45. цифлутрин |
| 11. AZ 60541 |
28. бутилпиридабен |
46. цигексатин |
| 12. азинфос А |
29. кадусафос |
47. D-2341 |
| 13. азинфос М |
30. карбарил |
48. дельтаметрин |
| 14. азинфос-метил |
31. карбофуран |
49. деметон М |
| 15. азоциклотин |
32. карбофентион |
50. деметон S |
| 16. токсин Bacillus subtil. |
33. картап |
51. деметон-S-метил |
| 17. бендиокарб |
34. хлоэтокарб |
52. дибутиламинотио |
| |
35. хлорэтоксифос |
53. дихлофентион |
| 54. диклифос |
88. флуфенпрокс |
119. милбемектин |
| 55. диэтион |
89. фонофос |
120. моксидектин |
| 56. дифлубензурон |
90. формотион |
121. налед |
| 57. диметоат |
91. фостиазат |
122. NC 184 |
| 58. диметилвинфос |
92. фубфенпрокс |
123. NI-25, ацетамиприд |
| 59. диоксатион |
93. НСН |
124. нитенпирам |
| 60. DPX-MP062 |
94. гептенофос |
125. ометоат |
| 61. эдифенфос |
95. гексафлумурон |
126. оксамил |
| 62. эмамектин |
96. гекситиазокс |
127. оксидеметон М |
| 63.эндосульфан |
97. гидропрен |
128. оксидепрофос |
| 64. эсфенвалерат |
98. имидаклоприд |
129. паратион |
| 65. этиофенкарб |
99. инсектицидно |
130. паратион-метил |
| 66. этион |
активные грибы |
131. перметрин |
| 67.этофенпрокс |
100. инсектицидно |
132. фентоат |
| 68. этопрофос |
активные нематоды |
133. форат |
| 69. этримфос |
101. инсектицидно |
134. фосалон |
| 70. фенамифос |
активные вирусы |
135. фосмет |
| 71. феназахин |
102. ипробенфос |
136. фоксим |
| 72. фенбутатиноксид |
103. изофенфос |
137. пиримикарб |
| 73. фенитротион |
104. изопрокарб |
138. пиримифос А |
| 74. фенобукарб |
105. изоксатион |
139.пиримифос М |
| 75. фенотиокарб |
106. ивермектин |
140. промекарб |
| 76. феноксикарб |
107. -цигалотрин |
141. пропафос |
| 77. фенпропатрин |
108. луфенурон |
142. пропоксур |
| 78. фенпирад |
109. малатион |
143. протиофос |
| 79. фенпироксимат |
110. мекарбам |
144.протоат |
| 80. фентион |
111. месульфенфос |
145. пираклофос |
| 81. фенвалерат |
112. метальдегид |
146. пирадафентион |
| 82. фипронил |
113. метамидофос |
147. пиресметрин |
| 83. флуазинам |
114. метиокарб |
148. пиретрум |
| 84. флуазурон |
115. метомил |
149. пиридабен |
| 85. флуциклоксурон |
116. метопрен |
150. пиримидифен |
| 86. флуцитринат |
117. метолкарб |
151. пирипроксифен |
| 87. флуфеноксурон |
118. мевинфос |
152. RH-5992 |
| 153. RH-2485 |
165. темефос |
177. триазофос |
| 154. салитион |
166. тербам |
178. триазурон |
| 155. себуфос |
167. тербуфос |
179.трихлорфон |
| 156. силафлуофен |
168. тетрахлорвинфос |
180. трифлумурон |
| 157.спиносад |
169. тиафенокс |
181. триметакарб |
| 158. сульфотеп |
170. тиодикарб |
182. вамидотион |
| 159. сульпрофос |
171. тиофанокс |
183. КМК(3,5- |
| 160. тебуфенозид |
172.тионазин |
ксилилметилкарбамат) |
| 161.тебуфенпирад |
173. турингенсин |
184. ксилилкарб |
| 162. тебупиримфос |
174.тралометрин |
185. YI 5301/5302 |
| 163. тефлубензурон |
175. триаратен |
186. -циперметрин |
| 164. тефлутрин |
176. триазамат |
187. зетаметрин |
Ниже приведены не ограничивающие объем изобретения примеры пригодных для применения согласно изобретению гельминтоцидов, некоторые представители которых в дополнение к гельминтоцидному действию обладают также инсектицидным и акарицидным действием и поэтому частично уже упоминались в приведенном выше перечне:
(А1) празиквантел: 2-циклогексилкарбонил-4-оксо-1,2,3,6,7,11b-гексагидро-4Н-пиразино[2,1- ]изохинолин;
(А2) клосантел: 3,5-дииод-N-[5-хлор-2-метил-4-(a-циано-4-хлорбензил)фенил]салициламид;
(A3) триклабендазол: 5-хлор-6-(2,3-дихлорфенокси)-2-метилтио-1Н-бензимидазол;
(А4) левамисол: L-(-)-2,3,5,6-тетрагидро-6-фенилимидазо[2,1b]тиазол;
(А5) мебендазол: метиловый эфир (5-бензоил-1Н-бензимидазол-2-ил)карбаминовой кислоты;
(А6) омфалотин: макроциклический ферментативный продукт жизнедеятельности гриба Omphalotus olearius, описанный в WO 97/20857;
(А7) абамектин: авермектин B1;
(А8) ивермектин, 22,23-дигидроавермектин B1;
(А9) моксидектин, 5-O-деметил-28-дезокси-25-(1,3-диметил-1-бутенил)-6,28-эпокси-23-(метоксиимино)милбемицин В;
(А10) дорамектин: 25-циклогексил-5-O-деметил-25-де(1-метилпропил)авермектин A1a;
(A11) милбемектин: смесь милбемицина A3 и милбемицина А4;
(А12) милбемициноксим: 5-оксим милбемектина.
Ниже приведены не ограничивающие объем изобретения примеры пригодных для применения согласно изобретению репеллентов и препаратов, обеспечивающих самооткрепление паразитов от кожного покрова:
(R1) DEET: N,N-диэтил-м-толуамид;
(R2) KBR 3023: N-бутил-2-оксикарбонил(2-гидрокси)пиперидин;
(R3) цимиазол: N-2,3-дигидро-3-метил-1,3-тиазол-2-илиден-2,4-ксилиден.
Указанные выше действующие вещества, которые могут использоваться в смеси с предлагаемыми в изобретении соединениями, наиболее известны специалистам в данной области. Большинство из них описано в различных изданиях Pesticide Manual, изд-во The British Crop Protection Council, London, a другие описаны в различных изданиях The Merck Index, изд-во Merck & Co., Inc., Rahway, New Jersy, USA, или в патентной литературе. С учетом этого приведенный ниже перечень ограничен некоторыми публикациями, в которых в качестве примера можно найти описание рассмотренных выше действующих веществ:
(I) O-метилкарбамоилоксим 2-метил-2-(метилтио)пропионового альдегида (альдикарб) известен из The Pesticide Manual, изд-во The British Crop Protection Council, London 1997, 11-е изд., с.26;
(II) 8-(3,4-дигидро-4-оксобензо[d]-[1,2,3]-триазин-3-илметил)-O,O-диметилфосфодитиоат (азинфос-метил) известен из The Pesticide Manual, изд-во The British Crop Protection Council, London 1997, 11-е изд., с.67;
(III) этил-N-[2,3-дигидро-2,2-диметилбензофуран-7-илоксикарбонил(метил)аминотио]-N-изопропил- -аланинат (бенфуракарб) известен из The Pesticide Manual, изд-во The British Crop Protection Council, London 1997, 11-е изд., с.96;
(IV) 2-метилбифенил-3-илметил-(Z)-(1RS)-цис-3-(2-хлор-3,3,3-трифторпроп-1-енил)-2,2-диметилциклопропанкарбоксилат (бифентрин) известен из The Pesticide Manual, изд-во The British Crop Protection Council, London 1997, 11-e изд., с.118;
(V) 2-трет-бутилимино-3-изопропил-5-фенил-1,3,5-тиадиазинан-4-он (бупрофезин) известен из The Pesticide Manual, изд-во The British Crop Protection Council, London 1997, 11-е изд., с.157;
(VI) 2,3-дигидро-2,2-диметилбензофуран-7-илметилкарбамат (карбофуран) известен из The Pesticide Manual, изд-во The British Crop Protection Council, London 1997, 11-е изд., с.186;
(VII) 2,3-дигидро-2,2-диметилбензофуран-7-ил(дибутиламинотио)метил-карбамат (карбосульфан) известен из The Pesticide Manual, изд-во The British Crop Protection Council, London 1997, 11-е изд., с.188;
(VIII) S,S’-(2-диметиламинотриметилен)-бис(тиокарбамат) (картап) известен из The Pesticide Manual, изд-во The British Crop Protection Council, London 1997, 11-е изд., с.193;
(IX) 1-[3,5-дихлор-4-(3-хлор-5-трифторметил-2-пиридилокси)фенил]-3-(2,6-дифторбензоил)мочевина (хлорфлуазурон) известна из The Pesticide Manual, изд-во The British Crop Protection Council, London 1997, 11-е изд., с.213;
(X) O,O-диэтил-O-3,5,6-трихлор-2-пиридилфосфотиоат (хлорпирифос) известен из The Pesticide Manual, изд-во The British Crop Protection Council, London 1997, 11-е изд., с.235;
(XI) (RS)- -циано-4-фтор-3-феноксибензил-(1RS, 3RS; 1RS, 3RS)-3-(2,2-дихлорвинил)-2,2-диметилциклопропанкарбоксилат (цифлутрин) известен из The Pesticide Manual, изд-во The British Crop Protection Council, London 1997, 11-e изд., с.293;
(XII) смесь (S)- -циано-3-феноксибензил-(2)-(1R, 3R)-3-(2-хлор-3,3,3-трифторпропенил)-2,2-диметилциклопропанкарбоксилата и (R)- -циано-3-феноксибензил-(Z)-(1R, 3R)-3-(2-хлор-3,3,3-трифторпропенил)-2,2-диметилциклопропанкарбоксилата ( -цигалотрин) известна из The Pesticide Manual, изд-во The British Crop Protection Council, London 1997, 11-е изд., с.300;
(XIII) рацемат, состоящий из (S)- -циано-3-феноксибензил-(Z)-(1R, 3R)-3-(2,2-дихлорвинил)-2,2-диметилциклопропанкарбоксилата и (R)- -циано-3-феноксибензил-(1S,3S)-3-(2,2-дихлорвинил)-2,2-диметилциклопропанкарбоксилата ( -циперметрин), известен из The Pesticide Manual, изд-во The British Crop Protection Council, London 1997, 11-е изд., с.308;
(XIV) смесь стереоизомеров (S)- -циано-3-феноксибензил-(1RS, 3RS, 1RS, 3RS)-3-(2,2-дихлорвинил)-2,2-диметилциклопропанкарбоксилата( -циперметрин) известна из The Pesticide Manual, изд-во The British Crop Protection Council, London 1997, 11-е изд., с.314;
(XV) (S)- -циано-3-феноксибензил-(1R, 3R)-3-(2,2-дибромвинил)-2,2-диметилциклопропанкарбоксилат (дельтаметрин) известен из The Pesticide Manual, изд-во The British Crop Protection Council, London 1997, 11-е изд., с.344;
(XVI) (4-хлорфенил)-3-(2,6-дифторбензоил)мочевина (дифлубензурон) известна из The Pesticide Manual, изд-во The British Crop Protection Council, London 1997, 11-е изд., с.395;
(XVII) (1,4,5,6,7,7-гексахлор-8,9,10-тринорборн-5-ен-2,3-иленбисметилен)сульфит (эндосульфан) известен из The Pesticide Manual, изд-во The British Crop Protection Council, London 1997, 11-е изд., с.459;
(XVIII) -этилтио-о-толилметилкарбамат (этиофенкарб) известен из The Pesticide Manual, изд-во The British Crop Protection Council, London 1997, 11-e изд., с.479;
(XIX) O,O-диметил-O-4-нитро-м-толилфосфотиоат (фенитротион) известен из The Pesticide Manual, изд-во The British Crop Protection Council, London 1997, 11-е изд., с.514;
(XX) 2-втор-бутилфенилметилкарбамат (фенобукарб) известен из The Pesticide Manual, изд-во The British Crop Protection Council, London 1997, 11-e изд., с.516;
(XXI) (RS)- -циано-3-феноксибензил-(RS)-2-хлорфенил-3-метилбутират (фенвалерат) известен из The Pesticide Manual, изд-во The British Crop Protection Council, London 1997, 11-e изд., с.539;
(XXII) S-[формил(метил)карбамоилметил]-O,O-диметилфосфодитиоат (формотион) известен из The Pesticide Manual, изд-во The British Crop Protection Council, London 1997, 11-e изд., с.625;
(XXIII) 4-метилтио-3,5-ксилилметилкарбамат (метиокарб) известен из The Pesticide Manual, изд-во The British Crop Protection Council, London 1997, 11-e изд., с.813;
(XXIV) 7-хлорбицикло[3.2.0]гепта-2,6-диен-6-илдиметилфосфат (гептенофос) известен из The Pesticide Manual, изд-во The British Crop Protection Council, London 1997, 11-e изд., с.670;
(XXV) 1-(6-хлор-3-пиридилметил)-N-нитроимидазолидин-2-имиденамин (имидаклоприд) известен из The Pesticide Manual, изд-во The British Crop Protection Council, London 1997, 11-е изд., с.706;
(XXVI) 2-изопропилфенилметилкарбамат (изопрокарб) известен из The Pesticide Manual, изд-во The British Crop Protection Council, London 1997, 11-е изд., с.729;
(XXVII) O,S-диметилфосфоамидотиоат (метамидофос) известен из The Pesticide Manual, изд-во The British Crop Protection Council, London 1997, 11-е изд., с.808;
(XXVIII) S-метил-N-(метилкарбамоилокси)тиоацетимидат (метомил) известен из The Pesticide Manual, изд-во The British Crop Protection Council, London 1997, 11-е изд., с.815;
(XXIX) метил-3-(диметоксифосфиноилокси)бут-2-еноат (мевинфос) известен из The Pesticide Manual, изд-во The British Crop Protection Council, London 1997, 11-е изд., с.844;
(XXX) O,O-диэтил-O-4-нитрофенилфосфотиоат (паратион) известен из The Pesticide Manual, изд-во The British Crop Protection Council, London 1997, 11-e изд., с.926;
(XXXI) O,O-диметил-O-4-нитрофенилфосфотиоат (паратион-метил) известен из The Pesticide Manual, изд-во The British Crop Protection Council, London 1997, 11-е изд., с.928;
(XXXII) S-6-хлор-2,3-дигидро-2-оксо-1,3-бензоксазол-3-илметил-0,0-диэтилфосфодитиоат (фосалон) известен из The Pesticide Manual, изд-во The British Crop Protection Council, London 1997, 11-е изд., с.963;
(XXXIII) 2-диметиламино-5,6-диметилпиримидин-4-илдиметилкарбамат (пиримикарб) известен из The Pesticide Manual, изд-во The British Crop Protection Council, London 1997, 11-е изд., с.985;
(XXXIV) 2-изопропоксифенилметилкарбамат (пропоксур) известен из The Pesticide Manual, изд-во The British Crop Protection Council, London 1997, 11-e изд., с.1036;
(XXXV) 1-(3,5-дихлор-2,4-дифторфенил)-3-(2,6-дифторбензоил)мочевина (тефлубензурон) известна из The Pesticide Manual, изд-во The British Crop Protection Council, London 1997, 11-e изд., с.1158;
(XXXVI) S-трет-бутилтиометил-O,O-диметилфосфодитиоат (тербуфос) известен из The Pesticide Manual, изд-во The British Crop Protection Council, London 1997, 11-е изд., с.1165;
(XXXVII) этил(3-трет-бутил-1-диметилкарбамоил-1Н-1,2,4-триазол-5-илтио)ацетат (триазамат) известен из The Pesticide Manual, изд-во The British Crop Protection Council, London 1997, 11-е изд., с.1224;
(XXXVIII) абамектин известен из The Pesticide Manual, изд-во The British Crop Protection Council, London 1997, 11-е изд., с.3;
(XXXIX) 2-втор-бутилфенилметилкарбамат (фенобукарб) известен из The Pesticide Manual, изд-во The British Crop Protection Council, London 1997, 11-e изд., с.516;
(XL) N-трет-бутил-N’-(4-этилбензоил)-3,5-диметилбензогидразид (тебуфенозид) известен из The Pesticide Manual, изд-во The British Crop Protection Council, London 1997, 11-е изд., с.1147;
(XLI) (±)-5-амино-1-(2,6-дихлор- , , -трифтор-n-толил)-4-трифторметилсульфинилпиразол-3-карбонитрил (фипронил) известен из The Pesticide Manual, изд-во The British Crop Protection Council, London 1997, 11-e изд., с.545;
(XLII)(RS)- -циано-4-фтор-3-феноксибензил-(1RS, 3RS; 1RS, 3RS)-3-(2,2-дихлорвинил)-2,2-диметилциклопропанкарбоксилат ( -цифлутрин) известен из The Pesticide Manual, изд-во The British Crop Protection Council, London 1997, 11-e изд., с.295;
(XLIII) (4-этоксифенил)-[3-(4-фтор-3-феноксифенил)пропил](диметил)силан (силафлуофен) известен из The Pesticide Manual, изд-во The British Crop Protection Council, London 1997, 11-e изд., с.1105;
(XLIV) трет-бутил-(Е)- -(1,3-диметил-5-феноксипиразол-4-илметиленаминоокси)-n-толуат (фенпироксимат) известен из The Pesticide Manual, изд-во The British Crop Protection Council, London 1997, 11-e изд., с.530;
(XLV) 2-трет-бутил-5-(4-трет-бутилбензилтио)-4-хлорпиридазин-3(2Н)-он (пиридабен) известен из The Pesticide Manual, изд-во The British Crop Protection Council, London 1997, 11-e изд., с.1161;
(XLVI) 4-[[4-(1,1-диметилфенил)фенил]этокси]хиназолин (феназахин) известен из The Pesticide Manual, изд-во The British Crop Protection Council, London 1997, 11-e изд., с.507;
(XLVII) 4-феноксифенил-(RS)-2-(пиридилокси)пропиловый эфир (пирипроксифен) известен из The Pesticide Manual, изд-во The British Crop Protection Council, London 1997, 11-е изд., с.1073;
(XLVIII) 5-хлор-N-{2-[4-(2-этоксиэтил)-2,3-диметилфенокси]этил}-6-этилпиримидин-4-амин (пиримидифен) известен из The Pesticide Manual, изд-во The British Crop Protection Council, London 1997, 11-е изд., с.1070;
(XLIX) (Е)-N-(6-хлор-3-пиридилметил)-N-этил-N’-метил-2-нитровинилидендиамин (нитенпирам) известен из The Pesticide Manual, изд-во The British Crop Protection Council, London 1997, 11-е изд., с.880;
(L) (E)-N1-[(6-хлор-3-пиридил)метил]-N2-циано-N1-метилацетамидин (NI-25, ацетамиприд) известен из The Pesticide Manual, изд-во The British Crop Protection Council, London 1997, 11-е изд., с.9;
(LI) авермектин B1 известен из The Pesticide Manual, изд-во The British Crop Protection Council, London 1997, 11-е изд., с.3;
(LII) инсектицидно активный растительный экстракт, прежде всего (2R, 6aS, 12aS)-1,2,6,6а,12,12а-гексагидро-2-изопропенил-8,9-диметоксихромено[3,4-b]фуро[2,3-b]хромен-6-он (ротенон), известен из The Pesticide Manual, изд-во The British Crop Protection Council, London 1997, 11-e изд., с.1097, а экстракт из Azadirachta indica, прежде всего азадирахтин, известен из The Pesticide Manual, изд-во The British Crop Protection Council, London 1997, 11-е изд., с.59;
(LIII) препарат, содержащий инсектицидно активные нематоды, предпочтительно препарат, содержащий Heterorhabditis bacteriophora и Heterorhabditis megidis, известен из The Pesticide Manual, изд-во The British Crop Protection Council, London 1997, 11-е изд., с.671, препарат, содержащий Steinernema feltiae, известен из The Pesticide Manual, изд-во The British Crop Protection Council, London 1997, 11-е изд., с.1115, и препарат, содержащий Steinernema scapterisci, известен из The Pesticide Manual, изд-во The British Crop Protection Council, London 1997, 11-е изд., с.1116;
(LIV) препарат, получаемый из Bacillus subtilis, известен из The Pesticide Manual, изд-во The British Crop Protection Council, London 1997, 11-е изд., с.72, или препарат, получаемый из штамма Bacillus thuringiensis, за исключением соединений, выделенных из штамма GC91 или штамма NCTC11821, известен из The Pesticide Manual, изд-во The British Crop Protection Council, London 1997, 11-еизд., с.73;
(LV) препарат, содержащий инсектицидно активные грибы, предпочтительно препарат, содержащий Verticillium lecanii, известен из The Pesticide Manual, изд-во The British Crop Protection Council, London 1997, 11-e изд., с.1266, препарат, содержащий Beauveria brogniartii, известен из The Pesticide Manual, изд-во The British Crop Protection Council, London 1997, 11-е изд., с.85, и препарат, содержащий Beauveria bassiana, известен из The Pesticide Manual, изд-во The British Crop Protection Council, London 1997, 11-е изд., с.83;
(LVI) препарат, содержащий инсектицидно активные вирусы, предпочтительно препарат, содержащий вирус Neodipridon Sertifer NPV, известен из The Pesticide Manual, изд-во The British Crop Protection Council, London 1997, 11-е изд., с.1342, препарат, содержащий вирус Mamestra brassicae NPV, известен из The Pesticide Manual, изд-во The British Crop Protection Council, London 1997, 11-е изд., с.759, и препарат, содержащий вирус Cydia pomonella granulosis, известен из The Pesticide Manual, изд-во The British Crop Protection Council, London 1997, 11-е изд., с.291;
(CLXXXI) 7-хлор-2,3,4а,5-тетрагидро-2-[метоксикарбонил(4-трифторметоксифенил)карбамоил]индол[1,2е]оксазолин-4а-карбоксилат (DPX-МР062, индоксикарб) известен из The Pesticide Manual, изд-во The British Crop Protection Council, London 1997, 11-е изд., с.453;
(CLXXXII)N’-трет-бутил-N’-(3,5-диметилбензоил)-3-метокси-2-метилбензогидразид (RH-2485, метоксифенозид) известен из The Pesticide Manual, изд-во The British Crop Protection Council, London 1997, 11-е изд., с.1094;
(CLXXXIII) изопропиловый эфир (N’44-метоксибифенил-З-ил]гидразинкарбоновой кислоты (D 2341) известен из Brighton Crop Protection Conference, 1996, cc.487-493;
(R2) известен из Book of Abstracts, 212th ACS National Meeting Orlando, FL, 25-29 августа 1996 г., AGRO-020, издатель: American Chemical Society, Washington, D.C. CONEN: 63BFAF.
В соответствии с этим еще одним важным объектом настоящего изобретения являются комбинированные препараты для борьбы с паразитами у теплокровных животных, отличающиеся тем, что они помимо соединения формулы I содержат по меньшей мере еще одно действующее вещество, обладающее тем же или отличным действием, и по меньшей мере один физиологически приемлемый носитель. Следует отметить, что настоящее изобретение не ограничено двухкомпонентными комбинированными препаратами, т.е. препаратами, содержащими только два действующих вещества.
Обычно предлагаемые в изобретении гельминтоцидные композиции содержат от 0,1 до 99 мас.%, прежде всего от 0,1 до 95 мас.%, действующего вещества формулы I, от 99,9 до 1 мас.%, прежде всего от 99,8 до 5 мас.%, твердой или жидкой добавки, и от 0 до 25 мас.%, прежде всего от 0,1 до 25 мас.% ПАВ.
Предлагаемые в изобретении композиции для лечения животных можно применять локально, перорально, парентерально или подкожно, для чего такие композиции могут быть представлены в виде растворов, эмульсий, суспензий (препаратов для вливания в ротовую полость животного), порошков, таблеток, пилюль, капсул и саморастекающихся препаратов для обработки наливом.
Метод, состоящий в применении саморастекающихся препаратов для обработки наливом или точечной обработки, предусматривает нанесение соединения формулы I на некоторый локальный участок кожи или шерстного покрова животного, преимущественно на его загривок или спину в области позвоночника. При этом саморастекающийся препарат для обработки наливом или точечной обработки наносят, например, с помощью тампона или распылением на относительно небольшой по площади участок шерстного покрова, откуда действующее вещество начинает, по существу, автоматически распространяться (“растекаться”) по большой площади вдоль кожного или шерстного покрова благодаря наличию в препарате компонентов, способствующих подобному распространению действующего вещества, причем этот процесс “самораспространения” действующего вещества протекает более интенсивно за счет совершаемых животным движений.
Указанные саморастекающиеся препараты для обработки наливом и точечной обработки преимущественно содержат носители, которые обеспечивают быстрое распространение действующего вещества по кожному покрову или в шерстном покрове животного-хозяина и которые обычно называют распределяющими маслами. В качестве примера пригодных для применения в этих целях носителей можно назвать масляные растворы, спиртовые и изопропанольные растворы, в частности растворы 2-октилдодеканола или олеилового спирта, растворы эфиров монокарбоновых кислот, таких как изопропилмиристат, изопропилпальмитат, лаурилоксалат, олеиловый эфир олеиновой кислоты, дециловый эфир олеиновой кислоты, гексиллаурат, олеилолеат, децилолеат и эфиры капроновой кислоты и насыщенных жирных спиртов с длиной цепи C12-C18, растворы эфиров дикарбоновых кислот, таких как дибутилфталат, диизопропилизофталат, диизопропиловый эфир адипиновой кислоты и ди-н-бутиладипат, или же растворы эфиров алифатических кислот, например гликолей. В состав подобных препаратов может оказаться целесообразным включать также известный диспергатор, применяемый, например, в фармацевтической или косметической промышленности. В качестве примера при этом можно назвать 2-пирролидон, 2-(N-алкил)пирролидон, ацетон, полиэтиленгликоль и его простые и сложные эфиры, пропиленгликоль или синтетические триглицериды.
Масляные растворы содержат, например, растительные масла, такие как оливковое масло, арахисовое масло, кунжутное масло, сосновое масло, льняное масло или касторовое масло. Растительные масла могут присутствовать также в эпоксидированном виде. Помимо этого можно также использовать парафины и силиконовые масла.
Обычно саморастекающиеся препараты для обработки наливом и для точечной обработки содержат от 1 до 20 мас.% соединения формулы I, от 0,1 до 50 мас.% диспергатора и от 45 до 98,9 мас.% растворителя.
Метод, состоящий в применении саморастекающихся препаратов для обработки наливом или точечной обработки, предпочтительно использовать прежде всего на стадных животных, таких как крупный рогатый скот, лошади, овцы или свиньи, когда пероральное введение препарата или введение препарата путем инъекции каждому животному является трудоемкой процедурой, связанной с высокими затратами времени. Этот метод, который благодаря его простоте может, как очевидно, применяться и на всех остальных животных, включая отдельных домашних и комнатных животных, нашел широкое распространение среди владельцев животных, поскольку допускает частое его применение без квалифицированной помощи ветеринара.
В качестве поставляемых в продажу продуктов обычно предпочтительны составы или композиции в виде концентратов, тогда как конечный потребитель, как правило, использует разбавленные препараты.
Подобные препараты могут также содержать дополнительные вспомогательные вещества и добавки, такие как стабилизаторы, антивспениватели, регуляторы вязкости, связующие или прилипатели, а также другие действующие вещества, что обеспечивает достижение особых эффектов.
Гельминтоцидные композиции подобного типа, используемые конечным потребителем, также включены в объем настоящего изобретения.
Действующие вещества формулы I при их применении для борьбы с вредителями и паразитами любым из предлагаемых в изобретении методов или в составе любой предназначенной для этих целей предлагаемой в изобретении композиции могут использоваться в виде всех их пространственных изомеров или их смесей.
В настоящем изобретении предлагается также способ профилактической защиты теплокровных животных, прежде всего продуктивного скота, домашних и комнатных животных, от паразитических гельминтов, отличающийся тем, что действующие вещества формулы I или полученные на их основе и содержащие их композиции перорально или путем инъекции либо парентерально вводят животным в виде добавки к корму либо к питью или же в твердой либо жидкой форме. Настоящее изобретение относится далее к предлагаемым в нем соединениям формулы I, предназначенным для применения в одном из таких методов.
Ниже изобретение проиллюстрировано на примерах, не ограничивающих его объем, при этом под действующим веществом имеется в виду одно из соединений, указанных в таблице 1. Так, в частности, ниже приведен состав предпочтительных композиций (препаративных форм) (данные в % соответствуют мас.%).
Примеры композиций (препаративных форм)
| 1. Гранулы |
а) |
б) |
| действующее вещество |
5% |
10% |
| каолин |
94% |
– |
| высокодисперсная кремниевая кислота |
1% |
– |
| аттапульгит |
– |
90% |
Действующее вещество растворяют в метиленхлориде и полученный раствор напыляют на носитель, после чего растворитель выпаривают в вакууме. Такие гранулы можно примешивать к корму для животных.
2. Гранулы
| действующее вещество |
3% |
| полиэтиленгликоль (ММ 200) |
3% |
| каолин |
94% |
(MM обозначает молекулярную массу)
Тонкоизмельченное действующее вещество равномерно подают в смесителе к каолину, увлажненному полиэтиленгликолем. Таким путем получают беспылевые гранулы с покрытием.
3. Таблетки или пилюли
| I. действующее вещество |
33,00% |
| Метилцеллюлоза |
0,80% |
| высокодисперсная кремниевая кислота |
0,80% |
| мучной крахмал |
8,40% |
| II. кристаллическая лактоза |
22,50% |
| мучной крахмал |
17,00% |
| микрокристаллическая целлюлоза |
16,50% |
| стеарат магния |
1,00% |
I. Метилцеллюлозу размешивают в воде. После набухания материала примешивают кремниевую кислоту и полученную смесь суспендируют до гомогенности. Действующее вещество смешивают с мучным крахмалом. Затем к этой смеси добавляют указанную выше водную суспензию и месят до тестообразного состояния. Полученную массу гранулируют продавливанием через сито 12 меш и сушат.
II. Тщательно смешивают между собой все 4 эксципиента.
III. Смеси, предварительно полученные на стадиях I и II, смешивают между собой и прессуют в таблетки или пилюли.
4. Препараты для инъекций
А. Масляный наполнитель (медленное высвобождение)
| 1. действующее вещество |
0,1-1,0 г |
| арахисовое масло |
до 100 мл |
| 2. действующее вещество |
0,1-1,0 г |
| кунжутное масло |
до 100 мл |
Получение: действующее вещество при перемешивании и при необходимости при умеренном нагревании растворяют в части от всего предусмотренного рецептурой количества масла и после охлаждения раствора его объем доводят до требуемого, а затем стерилизуют фильтрацией через соответствующий мембранный фильтр с размером пор 0,22 мм.
Б. Смешивающийся с водой растворитель (средняя скорость высвобождения)
| 1. действующее вещество |
0,1-1,0 г |
| 4-гидроксиметил-1,3-диоксолан (номинально глицерин) |
40 г |
| 1,2-пропандиол |
до 100 мл |
| 2. действующее вещество |
0,1-1,0 г |
| глицериндиметилкеталь |
40 г |
| 1,2-пропандиол |
до 100 мл |
Получение: действующее вещество при перемешивании растворяют в части от всего предусмотренного рецептурой количества растворителя, после чего объем раствора доводят до требуемого и затем стерилизуют фильтрацией через соответствующий мембранный фильтр с размером пор 0,22 мм.
В. Водный солюбилизат (быстрое высвобождение)
| 1. действующее вещество |
0,1-1,0 г |
| полиэтоксилированное касторовое масло |
|
| (40 этиленоксидных звеньев) |
10 г |
| 1,2-пропандиол |
20 г |
| бензиловый спирт |
1 г |
| вода для инъекций |
до 100 мл |
| 2. действующее вещество |
0,1-1,0 г |
| полиэтоксилированный сорбитанмоноолеат |
|
| (20 этиленоксидных звеньев) |
8 г |
| 4-гидроксиметил-1,3-диоксолан (номинально глицерин) |
20 г |
| бензиловый спирт |
1 г |
| вода для инъекций |
до 100 мл |
Получение: действующее вещество растворяют в растворителях и ПАВ, после чего объем раствора доводят до требуемого добавлением воды. Далее раствор стерилизуют фильтрацией через соответствующий мембранный фильтр с размером пор 0,22 мм.
5. Саморастекающийся препарат для обработки наливом
| А. действующее вещество |
5 г |
| Изопропилмиристат |
10 г |
| Изопропанол |
до 100 мл |
| Б. действующее вещество |
2 г |
| Гексиллаурат |
5 г |
| триглицерид со средней длиной цепи |
15 г |
| этанол |
до 100 мл |
| В. действующее вещество |
2 г |
| Олеилолеат |
5 г |
| N-метилпирролидон |
40 г |
| Изопропанол |
до 100 мл |
Такие водные системы предпочтительно использовать также для перорального введения и/или для введения в преджелудок (интраруминально).
Подобные композиции могут также содержать дополнительные вспомогательные вещества и добавки, такие как стабилизаторы, например необязательно эпоксидированные растительные масла (в частности эпоксидированное кокосовое, рапсовое или соевое масло), антивспениватели, например силиконовое масло, консерванты, регуляторы вязкости, связующие, прилипатели, а также удобрения или другие действующие вещества, что обеспечивает достижение особых эффектов.
В состав описанных выше композиций можно также включать другие биологически активные вещества или добавки, обладающие нейтральными свойствами по отношению к соединениям формулы I и не оказывающие нежелательного воздействия на подвергаемое лечению животное-хозяина, а также минеральные соли или витамины.
Ниже изобретение проиллюстрировано на примерах. Эти примеры не ограничивают объем изобретения. Сокращение “ч” обозначает время в часах. Используемые в этих примерах исходные вещества можно получать описанными в литературе методами либо они являются коммерчески доступными продуктами.
Примеры получения
Пример 1: 3-(2-хлорфенокси)-2-гидрокси-2-метилпропионитрил

1,02 г 1-(2-хлорфенокси)пропан-2-она и 0,71 г цианида натрия растворяют в смеси 6 мл Н2О и 10 мл диэтилового эфира. Далее при внутренней температуре 0-5°С по каплям добавляют 1,2 мл концентрированной соляной кислоты. После перемешивания реакционной смеси в течение 3 ч при 0-5°С органическую фазу отделяют, а водную фазу дважды экстрагируют диэтиловым эфиром. Органические фазы объединяют, сушат над сульфатом натрия и удаляют растворитель. Таким путем получают 1,10 г указанного в заголовке соединения в виде бесцветного масла.
Пример 2: 2-(2-хлорфенокси)-1-циано-1-метилэтиловый эфир 4-трифторметоксибензойной кислоты

212 мг 3-(2-хлорфенокси)-2-гидрокси-2-метилпропионитрила и 270 мг хлорангидрида 4-трифторметоксибензойной кислоты растворяют в 15 мл CH2Cl2 и при внутренней температуре 0-5°С по каплям добавляют 122 мг триэтиламина, растворенного в 5 мл CH2Cl2. После добавления 25 мг диметиламинопиридина реакционную смесь перемешивают в течение 20 ч при 0-5°С, а затем промывают 1н. соляной кислотой, насыщенным раствором бикарбоната натрия и рассолом и органическую фазу отделяют. Эту органическую фазу сушат над сульфатом магния, удаляют растворитель и остаток хроматографируют на силикагеле (СН2Cl2/Циклогексан в соотношении 1:3). Таким путем получают 220 мг указанного в заголовке соединения в виде бесцветного масла.
Пример 3: 2-(2-хлорфенокси)-1-циано-1-метилэтиловый эфир 4-трифторметилфенил)карбаминовой кислоты

254 мг 3-(2-хлорфенокси)-2-гидрокси-2-метилпропионитрила и 262 мг 4-трифторметилфенилизоцианата растворяют в 20 мл CH2Cl2 и при комнатной температуре по каплям добавляют 142 мг триэтиламина, растворенного в 5 мл CH2Cl2. Реакционную смесь перемешивают в течение 7 ч при комнатной температуре, а затем промывают 1н. соляной кислотой, насыщенным раствором бикарбоната натрия и рассолом. Органическую фазу сушат над сульфатом магния, удаляют растворитель и остаток хроматографируют на силикагеле (этилацетат/циклогексан в соотношении 1:1). В результате последующей кристаллизации из диэтилового эфира/гексана получают 150 мг указанного в заголовке соединения в виде бесцветных кристаллов с tпл 142-143°C.
Аналогично рассмотренному выше методу можно также получать соединения, перечисленные в приведенной ниже таблице.
| Таблица 1 |
 |
| № |
X |
R1 |
R2 |
Физические характеристики |
| 1.1 |
– |
Н |
Н |
|
| 1.2 |
– |
Н |
2-СН3 |
|
| 1.3 |
– |
Н |
3-СН3 |
|
| 1.4 |
– |
Н |
4-СН3 |
|
| 1.5 |
– |
Н |
2-F |
|
| 1.6 |
– |
Н |
3-F |
|
| 1.7 |
– |
Н |
4-F |
|
| 1.8 |
– |
Н |
2-Cl |
|
| 1.9 |
– |
Н |
3-Cl |
|
| 1.10 |
– |
Н |
4-Cl |
|
| 1.11 |
– |
Н |
2-CF3 |
|
| 1.12 |
– |
Н |
3-CF3 |
|
| 1.13 |
– |
Н |
4-CF3 |
|
| 1.14 |
– |
Н |
2-OCF3 |
|
| 1.15 |
– |
Н |
3-OCF3 |
|
| 1.16 |
– |
Н |
4-OCF3 |
|
| 1.17 |
– |
Н |
2,3-Cl2 |
|
| 1.18 |
– |
Н |
2,4-Cl2 |
|
| 1.19 |
– |
Н |
2,5-Cl2 |
|
| 1.20 |
– |
Н |
2,6-Cl2 |
|
| 1.21 |
– |
Н |
3,4-Cl2 |
|
| 1.22 |
– |
Н |
3,5-Cl2 |
|
| 1.23 |
– |
2-СН3 |
H |
|
| 1.24 |
– |
2-СН3 |
2-СН3 |
|
| 1.25 |
– |
2-СН3 |
3-СН3 |
|
| 1.26 |
– |
2-СН3 |
4-СН3 |
|
| 1.27 |
– |
2-СН3 |
2-F |
|
| 1.28 |
– |
2-СН3 |
3-F |
|
| 1.29 |
– |
2-СН3 |
4-F |
|
| 1.30 |
– |
2-СН3 |
2-Cl |
|
| 1.31 |
– |
2-СН3 |
3-Cl |
|
| 1.32 |
– |
2-СН3 |
4-Cl |
|
| 1.33 |
– |
2-СН3 |
2-CF3 |
|
| № |
X |
R1 |
R2 |
Физические характеристики |
| 1.34 |
– |
2-СН3 |
3-CF3 |
|
| 1.35 |
– |
2-СН3 |
4-CF3 |
|
| 1.36 |
– |
2-СН3 |
2-OCF3 |
|
| 1.37 |
– |
2-СН3 |
3-OCF3 |
|
| 1.38 |
– |
2-СН3 |
4-OCF3 |
|
| 1.39 |
– |
2-СН3 |
2,3-Cl2 |
|
| 1.40 |
– |
2-СН3 |
2,4-Cl2 |
|
| 1.41 |
– |
2-СН3 |
2,5-Cl2 |
|
| 1.42 |
– |
2-СН3 |
2,6-Cl2 |
|
| 1.43 |
– |
2-СН3 |
3,4-Cl2 |
|
| 1.44 |
– |
2-СН3 |
3,5-Cl2 |
|
| 1.45 |
– |
3-СН3 |
H |
|
| 1.46 |
– |
3-СН3 |
2-СН3 |
|
| 1.47 |
– |
3-СН3 |
3-СН3 |
|
| 1.48 |
– |
3-СН3 |
4-СН3 |
|
| 1.49 |
– |
3-СН3 |
2-F |
|
| 1.50 |
– |
3-СН3 |
3-F |
|
| 1.51 |
– |
3-СН3 |
4-F |
|
| 1.52 |
– |
3-СН3 |
2-Cl |
|
| 1.53 |
– |
3-СН3 |
3-Cl |
|
| 1.54 |
– |
3-СН3 |
4-Cl |
|
| 1.55 |
– |
3-СН3 |
2-CF3 |
|
| 1.56 |
– |
3-СН3 |
3-CF3 |
|
| 1.57 |
– |
3-СН3 |
4-CF3 |
|
| 1.58 |
– |
3-СН3 |
2-OCF3 |
|
| 1.59 |
– |
3-СН3 |
3-OCF3 |
|
| 1.60 |
– |
3-СН3 |
4-OCF3 |
|
| 1.61 |
– |
3-СН3 |
2,3-Cl2 |
|
| 1.62 |
– |
3-СН3 |
2,4-Cl2 |
|
| 1.63 |
– |
3-СН3 |
2,5-Cl2 |
|
| 1.64 |
– |
3-СН3 |
2,6-Cl2 |
|
| 1.65 |
– |
3-СН3 |
3,4-Cl2 |
|
| 1.66 |
– |
3-СН3 |
3,5-C12 |
|
| 1.67 |
– |
4-СН3 |
H |
|
| 1.68 |
– |
4-СН3 |
2-СН3 |
|
| 1.69 |
– |
4-СН3 |
3-СН3 |
|
| 1.70 |
– |
4-СН3 |
4-СН3 |
|
| 1.71 |
– |
4-СН3 |
2-F |
|
| 1.72 |
– |
4-СН3 |
3-F |
|
| 1.73 |
– |
4-СН3 |
4-F |
|
| 1.74 |
– |
4-СН3 |
2-Cl |
|
| № |
X |
R1 |
R2 |
Физические характеристики |
| 1.75 |
– |
4-СН3 |
3-Cl |
|
| 1.76 |
– |
4-СН3 |
4-Cl |
|
| 1.77 |
– |
4-СН3 |
2-CF3 |
|
| 1.78 |
– |
4-СН3 |
3-CF3 |
|
| 1.79 |
– |
4-СН3 |
4-CF3 |
|
| 1.80 |
– |
4-СН3 |
2-OCF3 |
|
| 1.81 |
– |
4-СН3 |
3-OCF3 |
|
| 1.82 |
– |
4-СН3 |
4-OCF3 |
|
| 1.83 |
– |
4-СН3 |
2,3-Cl2 |
|
| 1.84 |
– |
4-СН3 |
2,4-Cl2 |
|
| 1.85 |
– |
4-СН3 |
2,5-Cl2 |
|
| 1.86 |
– |
4-СН3 |
2,6-Cl2 |
|
| 1.87 |
– |
4-СН3 |
3,4-Cl2 |
|
| 1.88 |
– |
4-СН3 |
3,5-Cl2 |
|
| 1.89 |
– |
2-F |
H |
|
| 1.90 |
– |
2-F |
2-СН3 |
|
| 1.91 |
– |
2-F |
3-СН3 |
|
| 1.92 |
– |
2-F |
4-СН3 |
|
| 1.93 |
– |
2-F |
2-F |
|
| 1.94 |
– |
2-F |
3-F |
|
| 1.95 |
– |
2-F |
4-F |
|
| 1.96 |
– |
2-F |
2-Cl |
|
| 1.97 |
– |
2-F |
3-Cl |
|
| 1.98 |
– |
2-F |
4-Cl |
|
| 1.99 |
– |
2-F |
2-CF3 |
|
| 1.100 |
– |
2-F |
3-CF3 |
|
| 1.101 |
– |
2-F |
4-CF3 |
|
| 1.102 |
– |
2-F |
2-OCF3 |
|
| 1.103 |
– |
2-F |
3-OCF3 |
|
| 1.104 |
– |
2-F |
4-OCF3 |
|
| 1.105 |
– |
2-F |
2,3-Cl2 |
|
| 1.106 |
– |
2-F |
2,4-Cl2 |
|
| 1.107 |
– |
2-F |
2,5-Cl2 |
|
| 1.108 |
– |
2-F |
2,6-Cl2 |
|
| 1.109 |
– |
2-F |
3,4-Cl2 |
|
| 1.110 |
– |
2-F |
3,5-Cl2 |
|
| 1.111 |
– |
3-F |
H |
|
| 1.112 |
– |
3-F |
2-СН3 |
|
| 1.113 |
– |
3-F |
3-СН3 |
|
| 1.114 |
– |
3-F |
4-СН3 |
|
| 1.115 |
– |
3-F |
2-F |
|
| 1.116 |
– |
3-F |
3-F |
|
| № |
X |
R1 |
R2 |
Физические характеристики |
| 1.117 |
– |
3-F |
4-F |
|
| 1.118 |
– |
3-F |
2-Cl |
|
| 1.119 |
– |
3-F |
3-Cl |
|
| 1.120 |
– |
3-F |
4-Cl |
|
| 1.121 |
– |
3-F |
2-CF3 |
|
| 1.122 |
– |
3-F |
3-CF3 |
|
| 1.123 |
– |
3-F |
4-CF3 |
|
| 1.124 |
– |
3-F |
2-OCF3 |
|
| 1.125 |
– |
3-F |
3-OCF3 |
|
| 1.126 |
– |
3-F |
4-OCF3 |
|
| 1.127 |
– |
3-F |
2,3-Cl2 |
|
| 1.128 |
– |
3-F |
2,4-Cl2 |
|
| 1.129 |
– |
3-F |
2,5-Cl2 |
|
| 1.130 |
– |
3-F |
2,6-Cl2 |
|
| 1.131 |
– |
3-F |
3,4-Cl2 |
|
| 1.132 |
– |
3-F |
3,5-Cl2 |
|
| 1.133 |
– |
4-F |
H |
|
| 1.134 |
– |
4-F |
2-СН3 |
|
| 1.135 |
– |
4-F |
3-СН3 |
|
| 1.136 |
– |
4-F |
4-СН3 |
|
| 1.137 |
– |
4-F |
2-F |
|
| 1.138 |
– |
4-F |
3-F |
|
| 1.139 |
– |
4-F |
4-F |
|
| 1.140 |
– |
4-F |
2-Cl |
|
| 1.141 |
– |
4-F |
3-Cl |
|
| 1.142 |
– |
4-F |
4-Cl |
|
| 1.143 |
– |
4-F |
2-CF3 |
|
| 1.144 |
– |
4-F |
3-CF3 |
|
| 1.145 |
– |
4-F |
4-CF3 |
|
| 1.146 |
– |
4-F |
2-OCF3 |
|
| 1.147 |
– |
4-F |
3-OCF3 |
|
| 1.148 |
– |
4-F |
4-OCF3 |
|
| 1.149 |
– |
4-F |
2,3-Cl2 |
|
| 1.150 |
– |
4-F |
2,4-Cl2 |
|
| 1.151 |
– |
4-F |
2,5-Cl2 |
|
| 1.152 |
– |
4-F |
2,6-Cl2 |
|
| 1.153 |
– |
4-F |
3,4-Cl2 |
|
| 1.154 |
– |
4-F |
3,5-Cl2 |
|
| 1.155 |
– |
2-Cl |
H |
|
| 1.156 |
– |
2-Cl |
2-СН3 |
|
| 1.157 |
– |
2-Cl |
3-СН3 |
|
| 1.158 |
– |
2-Cl |
4-СН3 |
|
| № |
X |
R1 |
R2 |
Физические характеристики |
| 1.159 |
– |
2-Cl |
2-F |
|
| 1.160 |
– |
2-Cl |
3-F |
|
| 1.161 |
– |
2-Cl |
4-F |
|
| 1.162 |
– |
2-Cl |
2-Cl |
|
| 1.163 |
– |
2-Cl |
3-Cl |
|
| 1.164 |
– |
2-Cl |
4-Cl |
|
| 1.165 |
– |
2-Cl |
2-CF3 |
|
| 1.166 |
– |
2-Cl |
3-CF3 |
|
| 1.167 |
– |
2-Cl |
4-CF3 |
масло |
| 1.168 |
– |
2-Cl |
2-OCF3 |
|
| 1.169 |
– |
2-Cl |
3-OCF3 |
|
| 1.170 |
– |
2-Cl |
4-OCF3 |
масло |
| 1.171 |
– |
2-Cl |
2,3-Cl2 |
|
| 1.172 |
– |
2-Cl |
2,4-Cl2 |
|
| 1.173 |
– |
2-Cl |
2,5-Cl2 |
|
| 1.174 |
– |
2-Cl |
2,6-Cl2 |
|
| 1.175 |
– |
2-Cl |
3,4-Cl2 |
|
| 1.176 |
– |
2-Cl |
3,5-Cl2 |
|
| 1.177 |
– |
3-Cl |
H |
|
| 1.178 |
– |
3-Cl |
2-СН3 |
|
| 1.179 |
– |
3-Cl |
3-СН3 |
|
| 1.180 |
– |
3-Cl |
4-СН3 |
|
| 1.181 |
– |
3-Cl |
2-F |
|
| 1.182 |
– |
3-Cl |
3-F |
|
| 1.183 |
– |
3-Cl |
4-F |
|
| 1.184 |
– |
3-Cl |
2-Cl |
|
| 1.185 |
– |
3-Cl |
3-Cl |
|
| 1.186 |
– |
3-Cl |
4-Cl |
|
| 1.187 |
– |
3-Cl |
2-CF3 |
|
| 1.188 |
– |
3-Cl |
3-CF3 |
|
| 1.189 |
– |
3-Cl |
4-CF3 |
|
| 1.190 |
– |
3-Cl |
2-OCF3 |
|
| 1.191 |
– |
3-Cl |
3-OCF3 |
|
| 1.192 |
– |
3-Cl |
4-OCF3 |
|
| 1.193 |
– |
3-Cl |
2,3-Cl2 |
|
| 1.194 |
– |
3-Cl |
2,4-Cl2 |
|
| 1.195 |
– |
3-Cl |
2,5-Cl2 |
|
| 1.196 |
– |
3-Cl |
2,6-Cl2 |
|
| 1.197 |
– |
3-Cl |
3,4-Cl2 |
|
| 1.198 |
– |
3-Cl |
3,5-Cl2 |
|
| 1.199 |
– |
4-Cl |
H |
|
| 1.200 |
– |
4-Cl |
2-СН3 |
|
| 1.201 |
– |
4-Cl |
3-СН3 |
|
| № |
X |
R1 |
R2 |
Физические характеристики |
| 1.202 |
– |
4-Cl |
4-СН3 |
|
| 1.203 |
– |
4-Cl |
2-F |
|
| 1.204 |
– |
4-Cl |
3-F |
|
| 1.205 |
– |
4-Cl |
4-F |
|
| 1.206 |
– |
4-Cl |
2-Cl |
|
| 1.207 |
– |
4-Cl |
3-Cl |
|
| 1.208 |
– |
4-Cl |
4-Cl |
|
| 1.209 |
– |
4-Cl |
2-CF3 |
|
| 1.210 |
– |
4-Cl |
3-CF3 |
|
| 1.211 |
– |
4-Cl |
4-CF3 |
|
| 1.212 |
– |
4-Cl |
2-OCF3 |
|
| 1.213 |
– |
4-Cl |
3-OCF3 |
|
| 1.214 |
– |
4-Cl |
4-OCF3 |
|
| 1.215 |
– |
4-Cl |
2,3-Cl2 |
|
| 1.216 |
– |
4-Cl |
2,4-Cl2 |
|
| 1.217 |
– |
4-Cl |
2,5-Cl2 |
|
| 1.218 |
– |
4-Cl |
2,6-Cl2 |
|
| 1.219 |
– |
4-Cl |
3,4-Cl2 |
|
| 1.220 |
– |
4-Cl |
3,5-Cl2 |
|
| 1.221 |
– |
2-CF3 |
H |
|
| 1.222 |
– |
2-CF3 |
2-СН3 |
|
| 1.223 |
– |
2-CF3 |
3-СН3 |
|
| 1.224 |
– |
2-CF3 |
4-СН3 |
|
| 1.225 |
– |
2-CF3 |
2-F |
|
| 1.226 |
– |
2-CF3 |
3-F |
|
| 1.227 |
– |
2-CF3 |
4-F |
|
| 1.228 |
– |
2-CF3 |
2-Cl |
|
| 1.229 |
– |
2-CF3 |
3-Cl |
|
| 1.230 |
– |
2-CF3 |
4-Cl |
|
| 1.231 |
– |
2-CF3 |
2-CF3 |
|
| 1.232 |
– |
2-CF3 |
3-CF3 |
|
| 1.233 |
– |
2-CF3 |
4-CF3 |
масло |
| 1.234 |
– |
2-CF3 |
2-OCF3 |
|
| 1.235 |
– |
2-CF3 |
3-OCF3 |
|
| 1.236 |
– |
2-CF3 |
4-OCF3 |
Tпл 66-68°С |
| 1.237 |
– |
2-CF3 |
2,3-Cl2 |
|
| 1.238 |
– |
2-CF3 |
2,4-Cl2 |
|
| 1.239 |
– |
2-CF3 |
2,5-Cl2 |
|
| 1.240 |
– |
2-CF3 |
2,6-Cl2 |
|
| 1.241 |
– |
2-CF3 |
3,4-Cl2 |
|
| 1.242 |
– |
2-CF3 |
3,5-Cl2 |
|
| № |
X |
R1 |
R2 |
Физические характеристики |
| 1.243 |
– |
3-CF3 |
Н |
|
| 1.244 |
– |
3-CF3 |
2-СН3 |
|
| 1.245 |
– |
3-CF3 |
3-СН3 |
|
| 1.246 |
– |
3-CF3 |
4-СН3 |
|
| 1.247 |
– |
3-CF3 |
2-F |
|
| 1.248 |
– |
3-CF3 |
3-F |
|
| 1.249 |
– |
3-CF3 |
4-F |
|
| 1.250 |
– |
3-CF3 |
2-Cl |
|
| 1.251 |
– |
3-CF3 |
3-Cl |
|
| 1.252 |
– |
3-CF3 |
4-Cl |
|
| 1.253 |
– |
3-CF3 |
2-CF3 |
|
| 1.254 |
– |
3-CF3 |
3-CF3 |
|
| 1.255 |
– |
3-CF3 |
4-CF3 |
|
| 1.256 |
– |
3-CF3 |
2-OCF3 |
|
| 1.257 |
– |
3-CF3 |
3-OCF3 |
|
| 1.258 |
– |
3-CF3 |
4-OCF3 |
|
| 1.259 |
– |
3-CF3 |
2,3-Cl2 |
|
| 1.260 |
– |
3-CF3 |
2,4-Cl2 |
|
| 1.261 |
– |
3-CF3 |
2,5-Cl2 |
|
| 1.262 |
– |
3-CF3 |
2,6-Cl2 |
|
| 1.263 |
– |
3-CF3 |
3,4-Cl2 |
|
| 1.264 |
– |
3-CF3 |
3,5-Cl2 |
|
| 1.265 |
– |
4-CF3 |
H |
|
| 1.266 |
– |
4-CF3 |
2-СН3 |
|
| 1.267 |
– |
4-CF3 |
3-СН3 |
|
| 1.268 |
– |
4-CF3 |
4-СН3 |
|
| 1.269 |
– |
4-CF3 |
2-F |
|
| 1.270 |
– |
4-CF3 |
3-F |
|
| 1.271 |
– |
4-CF3 |
4-F |
|
| 1.272 |
– |
4-CF3 |
2-Cl |
|
| 1.273 |
– |
4-CF3 |
3-Cl |
|
| 1.274 |
– |
4-CF3 |
4-Cl |
|
| 1.275 |
– |
4-CF3 |
2-CF3 |
|
| 1.276 |
– |
4-CF3 |
3-CF3 |
|
| 1.277 |
– |
4-CF3 |
4-CF3 |
|
| 1.278 |
– |
4-CF3 |
2-OCF3 |
|
| 1.279 |
– |
4-CF3 |
3-OCF3 |
|
| 1.280 |
– |
4-CF3 |
4-OCF3 |
|
| 1.281 |
– |
4-CF3 |
2,3-Cl2 |
|
| 1.282 |
– |
4-CF3 |
2,4-Cl2 |
|
| 1.283 |
– |
4-CF3 |
2,5-Cl2 |
|
| № |
X |
R1 |
R2 |
Физические характеристики |
| 1.284 |
– |
4-CF3 |
2,6-Cl2 |
|
| 1.285 |
– |
4-CF3 |
3,4-Cl2 |
|
| 1.286 |
– |
4-CF3 |
3,5-Cl2 |
|
| 1.287 |
– |
2-OCF3 |
H |
|
| 1.288 |
– |
2-OCF3 |
2-СН3 |
|
| 1.289 |
– |
2-OCF3 |
3-СН3 |
|
| 1.290 |
– |
2-OCF3 |
4-СН3 |
|
| 1.291 |
– |
2-OCF3 |
2-F |
|
| 1.292 |
– |
2-OCF3 |
3-F |
|
| 1.293 |
– |
2-OCF3 |
4-F |
|
| 1.294 |
– |
2-OCF3 |
2-Cl |
|
| 1.295 |
– |
2-OCF3 |
3-Cl |
|
| 1.296 |
– |
2-OCF3 |
4-Cl |
|
| 1.297 |
– |
2-OCF3 |
2-CF3 |
|
| 1.298 |
– |
2-OCF3 |
3-CF3 |
|
| 1.299 |
– |
2-OCF3 |
4-CF3 |
|
| 1.300 |
– |
2-OCF3 |
2-OCF3 |
|
| 1.301 |
– |
2-OCF3 |
3-OCF3 |
|
| 1.302 |
– |
2-OCF3 |
4-OCF3 |
|
| 1.303 |
– |
2-OCF3 |
2,3-Cl2 |
|
| 1.304 |
– |
2-OCF3 |
2,4-Cl2 |
|
| 1.305 |
– |
2-OCF3 |
2,5-Cl2 |
|
| 1.306 |
– |
2-OCF3 |
2,6-Cl2 |
|
| 1.307 |
– |
2-OCF3 |
3,4-Cl2 |
|
| 1.308 |
– |
2-OCF3 |
3,5-Cl2 |
|
| 1.309 |
– |
3-OCF3 |
H |
|
| 1.310 |
– |
3-OCF3 |
2-СН3 |
|
| 1.311 |
– |
3-OCF3 |
3-СН3 |
|
| 1.312 |
– |
3-OCF3 |
4-СН3 |
|
| 1.313 |
– |
3-OCF3 |
2-F |
|
| 1.314 |
– |
3-OCF3 |
3-F |
|
| 1.315 |
– |
3-OCF3 |
4-F |
|
| 1.316 |
– |
3-OCF3 |
2-Cl |
|
| 1.317 |
– |
3-OCF3 |
3-Cl |
|
| 1.318 |
– |
3-OCF3 |
4-Cl |
|
| 1.319 |
– |
3-OCF3 |
2-CF3 |
|
| 1.320 |
– |
3-OCF3 |
3-CF3 |
|
| 1.321 |
– |
3-OCF3 |
4-CF3 |
|
| 1.322 |
– |
3-OCF3 |
2-OCF3 |
|
| 1.323 |
– |
3-OCF3 |
3-OCF3 |
|
| 1.324 |
– |
3-OCF3 |
4-OCF3 |
|
| № |
X |
R1 |
R2 |
Физические характеристики |
| 1.325 |
– |
3-OCF3 |
2,3-Cl2 |
|
| 1.326 |
– |
3-OCF3 |
2,4-Cl2 |
|
| 1.327 |
– |
3-OCF3 |
2,5-Cl2 |
|
| 1.328 |
– |
3-OCF3 |
2,6-Cl2 |
|
| 1.329 |
– |
3-OCF3 |
3,4-Cl2 |
|
| 1.330 |
– |
3-OCF3 |
3,5-Cl2 |
|
| 1.331 |
– |
4-OCF3 |
H |
|
| 1.332 |
– |
4-OCF3 |
2-СН3 |
|
| 1.333 |
– |
4-OCF3 |
3-СН3 |
|
| 1.334 |
– |
4-OCF3 |
4-СН3 |
|
| 1.335 |
– |
4-OCF3 |
2-F |
|
| 1.336 |
– |
4-OCF3 |
3-F |
|
| 1.337 |
– |
4-OCF3 |
4-F |
|
| 1.338 |
– |
4-OCF3 |
2-Cl |
|
| 1.339 |
– |
4-OCF3 |
3-Cl |
|
| 1.340 |
– |
4-OCF3 |
4-Cl |
|
| 1.341 |
– |
4-OCF3 |
2-CF3 |
|
| 1.342 |
– |
4-OCF3 |
3-CF3 |
|
| 1.343 |
– |
4-OCF3 |
4-CF3 |
|
| 1.344 |
– |
4-OCF3 |
2-OCF3 |
|
| 1.345 |
– |
4-OCF3 |
3-OCF3 |
|
| 1.346 |
– |
4-OCF3 |
4-OCF3 |
|
| 1.347 |
– |
4-OCF3 |
2,3-Cl2 |
|
| 1.348 |
– |
4-OCF3 |
2,4-Cl2 |
|
| 1.349 |
– |
4-OCF3 |
2,5-Cl2 |
|
| 1.350 |
– |
4-OCF3 |
2,6-Cl2 |
|
| 1.351 |
– |
4-OCF3 |
3,4-Cl2 |
|
| 1.352 |
– |
4-OCF3 |
3,5-Cl2 |
|
| 1.353 |
– |
2,3-Cl2 |
H |
|
| 1.354 |
– |
2,3-Cl2 |
2-СН3 |
|
| 1.355 |
– |
2,3-Cl2 |
3-СН3 |
|
| 1.356 |
– |
2,3-Cl2 |
4-СН3 |
|
| 1.357 |
– |
2,3-Cl2 |
2-F |
|
| 1.358 |
– |
2,3-Cl2 |
3-F |
|
| 1.359 |
– |
2,3-Cl2 |
4-F |
|
| 1.360 |
– |
2,3-Cl2 |
2-Cl |
|
| 1.361 |
– |
2,3-Cl2 |
3-Cl |
|
| 1.362 |
– |
2,3-Cl2 |
4-Cl |
|
| 1.363 |
– |
2,3-Cl2 |
2-CF3 |
|
| 1.364 |
– |
2,3-Cl2 |
3-CF3 |
|
| 1.365 |
– |
2,3-Cl2 |
4-CF3 |
|
| № |
X |
R1 |
R2 |
Физические характеристики |
| 1.366 |
– |
2,3-Cl2 |
2-OCF3 |
|
| 1.367 |
– |
2,3-Cl2 |
3-OCF3 |
|
| 1.368 |
– |
2,3-Cl2 |
4-OCF3 |
|
| 1.369 |
– |
2,3-Cl2 |
2,3-Cl2 |
|
| 1.370 |
– |
2,3-Cl2 |
2,4-Cl2 |
|
| 1.371 |
– |
2,3-Cl2 |
2,5-Cl2 |
|
| 1.372 |
– |
2,3-Cl2 |
2,6-Cl2 |
|
| 1.373 |
– |
2,3-Cl2 |
3,4-Cl2 |
|
| 1.374 |
– |
2,3-Cl2 |
3,5-Cl2 |
|
| 1.375 |
– |
2,4-Cl2 |
H |
|
| 1.376 |
– |
2,4-Cl2 |
2-СН3 |
|
| 1.377 |
– |
2,4-Cl2 |
3-СН3 |
|
| 1.378 |
– |
2,4-Cl2 |
4-СН3 |
|
| 1.379 |
– |
2,4-Cl2 |
2-F |
|
| 1.380 |
– |
2,4-Cl2 |
3-F |
|
| 1.381 |
– |
2,4-Cl2 |
4-F |
|
| 1.382 |
– |
2,4-Cl2 |
2-Cl |
|
| 1.383 |
– |
2,4-Cl2 |
3-Cl |
|
| 1.384 |
– |
2,4-Cl2 |
4-Cl |
|
| 1.385 |
– |
2,4-Cl2 |
2-CF3 |
|
| 1.386 |
– |
2,4-Cl2 |
3-CF3 |
|
| 1.387 |
– |
2,4-Cl2 |
4-CF3 |
|
| 1.388 |
– |
2,4-Cl2 |
2-OCF3 |
|
| 1.389 |
– |
2,4-Cl2 |
3-OCF3 |
|
| 1.390 |
– |
2,4-Cl2 |
4-OCF3 |
|
| 1.391 |
– |
2,4-Cl2 |
2,3-Cl2 |
|
| 1.392 |
– |
2,4-Cl2 |
2,4-Cl2 |
|
| 1.393 |
– |
2,4-Cl2 |
2,5-Cl2 |
|
| 1.394 |
– |
2,4-Cl2 |
2,6-Cl2 |
|
| 1.395 |
– |
2,4-Cl2 |
3,4-Cl2 |
|
| 1.396 |
– |
2,4-Cl2 |
3,5-Cl2 |
|
| 1.397 |
– |
2,5-Cl2 |
H |
|
| 1.398 |
– |
2,5-Cl2 |
2-СН3 |
|
| 1.399 |
– |
2,5-Cl2 |
3-СН3 |
|
| 1.400 |
– |
2,5-Cl2 |
4-СН3 |
|
| 1.401 |
– |
2,5-Cl2 |
2-F |
|
| 1.402 |
– |
2,5-Cl2 |
3-F |
|
| 1.403 |
– |
2,5-Cl2 |
4-F |
|
| 1.404 |
– |
2,5-Cl2 |
2-Cl |
|
| 1.405 |
– |
2,5-Cl2 |
3-Cl |
|
| 1.406 |
– |
2,5-Cl2 |
4-Cl |
|
| № |
X |
R1 |
R2 |
Физические характеристики |
| 1.407 |
– |
2,5-Cl2 |
2-CF3 |
|
| 1.408 |
– |
2,5-Cl2 |
3-CF3 |
|
| 1.409 |
– |
2,5-Cl2 |
4-CF3 |
|
| 1.410 |
– |
2,5-Cl2 |
2-OCF3 |
|
| 1.411 |
– |
2,5-Cl2 |
3-OCF3 |
|
| 1.412 |
– |
2,5-Cl2 |
4-OCF3 |
|
| 1.413 |
– |
2,5-Cl2 |
2,3-Cl2 |
|
| 1.414 |
– |
2,5-Cl2 |
2,4-Cl2 |
|
| 1.415 |
– |
2,5-Cl2 |
2,5-Cl2 |
|
| 1.416 |
– |
2,5-Cl2 |
2,6-Cl2 |
|
| 1.417 |
– |
2,5-Cl2 |
3,4-Cl2 |
|
| 1.418 |
– |
2,5-Cl2 |
3,5-Cl2 |
|
| 1.419 |
– |
2,6-Cl2 |
H |
|
| 1.420 |
– |
2,6-Cl2 |
2-СН3 |
|
| 1.421 |
– |
2,6-Cl2 |
3-СН3 |
|
| 1.422 |
– |
2,6-Cl2 |
4-СН3 |
|
| 1.423 |
– |
2,6-Cl2 |
2-F |
|
| 1.424 |
– |
2,6-Cl2 |
3-F |
|
| 1.425 |
– |
2,6-Cl2 |
4-F |
|
| 1.426 |
– |
2,6-Cl2 |
2-Cl |
|
| 1.427 |
– |
2,6-Cl2 |
3-Cl |
|
| 1.428 |
– |
2,6-Cl2 |
4-Cl |
|
| 1.429 |
– |
2,6-Cl2 |
2-CF3 |
|
| 1.430 |
– |
2,6-Cl2 |
3-CF3 |
|
| 1.431 |
– |
2,6-Cl2 |
4-CF3 |
|
| 1.432 |
– |
2,6-Cl2 |
2-OCF3 |
|
| 1.433 |
– |
2,6-Cl2 |
3-OCF3 |
|
| 1.434 |
– |
2,6-Cl2 |
4-OCF3 |
|
| 1.435 |
– |
2,6-Cl2 |
2,3-Cl2 |
|
| 1.436 |
– |
2,6-Cl2 |
2,4-Cl2 |
|
| 1.437 |
– |
2,6-Cl2 |
2,5-Cl2 |
|
| 1.438 |
– |
2,6-Cl2 |
2,6-Cl2 |
|
| 1.439 |
– |
2,6-Cl2 |
3,4-Cl2 |
|
| 1.440 |
– |
2,6-Cl2 |
3,5-Cl2 |
|
| 1.441 |
– |
3,4-Cl2 |
H |
|
| 1.442 |
– |
3,4-Cl2 |
2-СН3 |
|
| 1.443 |
– |
3,4-Cl2 |
3-СН3 |
|
| 1.444 |
– |
3,4-Cl2 |
4-СН3 |
|
| 1.445 |
– |
3,4-Cl2 |
2-F |
|
| 1.446 |
– |
3,4-Cl2 |
3-F |
|
| 1.447 |
– |
3,4-Cl2 |
4-F |
|
| № |
X |
R1 |
R2 |
Физические характеристики |
| 1.448 |
– |
3,4-Cl2 |
2-Cl |
|
| 1.449 |
– |
3,4-Cl2 |
3-Cl |
|
| 1.450 |
– |
3,4-Cl2 |
4-Cl |
|
| 1.451 |
– |
3,4-Cl2 |
2-CF3 |
|
| 1.452 |
– |
3,4-Cl2 |
3-CF3 |
|
| 1.453 |
– |
3,4-Cl2 |
4-CF3 |
|
| 1.454 |
– |
3,4-Cl2 |
2-OCF3 |
|
| 1.455 |
– |
3,4-Cl2 |
3-OCF3 |
|
| 1.456 |
– |
3,4-Cl2 |
4-OCF3 |
|
| 1.457 |
– |
3,4-Cl2 |
2,3-Cl2 |
|
| 1.458 |
– |
3,4-Cl2 |
2,4-Cl2 |
|
| 1.459 |
– |
3,4-Cl2 |
2,5-Cl2 |
|
| 1.460 |
– |
3,4-Cl2 |
2,6-Cl2 |
|
| 1.461 |
– |
3,4-Cl2 |
3,4-Cl2 |
|
| 1.462 |
– |
3,4-Cl2 |
3,5-Cl2 |
|
| 1.463 |
– |
3,5-Cl2 |
H |
|
| 1.464 |
– |
3,5-Cl2 |
2-СН3 |
|
| 1.465 |
– |
3,5-Cl2 |
3-СН3 |
|
| 1.466 |
– |
3,5-Cl2 |
4-СН3 |
|
| 1.467 |
– |
3,5-Cl2 |
2-F |
|
| 1.468 |
– |
3,5-Cl2 |
3-F |
|
| 1.469 |
– |
3,5-Cl2 |
4-F |
|
| 1.470 |
– |
3,5-Cl2 |
2-Cl |
|
| 1.471 |
– |
3,5-Cl2 |
3-Cl |
|
| 1.472 |
– |
3,5-Cl2 |
4-Cl |
|
| 1.473 |
– |
3,5-Cl2 |
2-CF3 |
|
| 1.474 |
– |
3,5-Cl2 |
3-CF3 |
|
| 1.475 |
– |
3,5-Cl2 |
4-CF3 |
|
| 1.476 |
– |
3,5-Cl2 |
2-OCF3 |
|
| 1.477 |
– |
3,5-Cl2 |
3-OCF3 |
|
| 1.478 |
– |
3,5-Cl2 |
4-OCF3 |
|
| 1.479 |
– |
3,5-Cl2 |
2,3-Cl2 |
|
| 1.480 |
– |
3,5-Cl2 |
2,4-Cl2 |
|
| 1.481 |
– |
3,5-Cl2 |
2,5-Cl2 |
|
| 1.482 |
– |
3,5-Cl2 |
2,6-Cl2 |
|
| 1.483 |
– |
3,5-Cl2 |
3,4-Cl2 |
|
| 1.484 |
– |
3,5-Cl2 |
3,5-Cl2 |
|
| 1.485 |
NH |
H |
H |
|
| 1.486 |
NH |
H |
2-СН3 |
|
| 1.487 |
NH |
H |
3-СН3 |
|
| 1.488 |
NH |
H |
4-СН3 |
|
| № |
X |
R1 |
R2 |
Физические характеристики |
| 1.489 |
NH |
Н |
2-F |
|
| 1.490 |
NH |
Н |
3-F |
|
| 1.491 |
NH |
Н |
4-F |
|
| 1.492 |
NH |
Н |
2-Cl |
|
| 1.493 |
NH |
Н |
3-Cl |
|
| 1.494 |
NH |
Н |
4-Cl |
|
| 1.495 |
NH |
Н |
2-CF3 |
|
| 1.496 |
NH |
Н |
3-CF3 |
|
| 1.497 |
NH |
Н |
4-CF3 |
|
| 1.498 |
NH |
Н |
2-OCF3 |
|
| 1.499 |
NH |
Н |
3-OCF3 |
|
| 1.500 |
NH |
Н |
4-OCF3 |
|
| 1.501 |
NH |
Н |
2,3-Cl2 |
|
| 1.502 |
NH |
Н |
2,4-Cl2 |
|
| 1.503 |
NH |
Н |
2,5-Cl2 |
|
| 1.504 |
NH |
Н |
2,6-Cl2 |
|
| 1.505 |
NH |
Н |
3,4-Cl2 |
|
| 1.506 |
NH |
Н |
3,5-Cl2 |
|
| 1.507 |
NH |
2-СН3 |
H |
|
| 1.508 |
NH |
2-СН3 |
2-СН3 |
|
| 1.509 |
NH |
2-СН3 |
3-СН3 |
|
| 1.510 |
NH |
2-СН3 |
4-СН3 |
|
| 1.511 |
NH |
2-СН3 |
2-F |
|
| 1.512 |
NH |
2-СН3 |
3-F |
|
| 1.513 |
NH |
2-СН3 |
4-F |
|
| 1.514 |
NH |
2-СН3 |
2-Cl |
|
| 1.515 |
NH |
2-СН3 |
3-Cl |
|
| 1.516 |
NH |
2-СН3 |
4-Cl |
|
| 1.517 |
NH |
2-СН3 |
2-CF3 |
|
| 1.518 |
NH |
2-СН3 |
3-CF3 |
|
| 1.519 |
NH |
2-СН3 |
4-CF3 |
|
| 1.520 |
NH |
2-СН3 |
2-OCF3 |
|
| 1.521 |
NH |
2-СН3 |
3-OCF3 |
|
| 1.522 |
NH |
2-СН3 |
4-OCF3 |
|
| 1.523 |
NH |
2-СН3 |
2,3-Cl2 |
|
| 1.524 |
NH |
2-СН3 |
2,4-Cl2 |
|
| 1.525 |
NH |
2-СН3 |
2,5-Cl2 |
|
| 1.526 |
NH |
2-СН3 |
2,6-Cl2 |
|
| 1.527 |
NH |
2-СН3 |
3,4-Cl2 |
|
| 1.528 |
NH |
2-СН3 |
3,5-Cl2 |
|
| 1.529 |
NH |
3-СН3 |
H |
|
| № |
X |
R1 |
R2 |
Физические характеристики |
| 1.530 |
NH |
3-СН3 |
2-СН3 |
|
| 1.531 |
NH |
3-СН3 |
3-СН3 |
|
| 1.532 |
NH |
3-СН3 |
4-СН3 |
|
| 1.533 |
NH |
3-СН3 |
2-F |
|
| 1.534 |
NH |
3-СН3 |
3-F |
|
| 1.535 |
NH |
3-СН3 |
4-F |
|
| 1.536 |
NH |
3-СН3 |
2-Cl |
|
| 1.537 |
NH |
3-СН3 |
3-Cl |
|
| 1.538 |
NH |
3-СН3 |
4-Cl |
|
| 1.539 |
NH |
3-СН3 |
2-CF3 |
|
| 1.540 |
NH |
3-СН3 |
3-CF3 |
|
| 1.541 |
NH |
3-СН3 |
4-CF3 |
|
| 1.542 |
NH |
3-СН3 |
2-OCF3 |
|
| 1.543 |
NH |
3-СН3 |
3-OCF3 |
|
| 1.544 |
NH |
3-СН3 |
4-OCF3 |
|
| 1.545 |
NH |
3-СН3 |
2,3-Cl2 |
|
| 1.546 |
NH |
3-СН3 |
2,4-Cl2 |
|
| 1.547 |
NH |
3-СН3 |
2,5-Cl2 |
|
| 1.548 |
NH |
3-СН3 |
2,6-Cl2 |
|
| 1.549 |
NH |
3-СН3 |
3,4-Cl2 |
|
| 1.550 |
NH |
3-СН3 |
3,5-Cl2 |
|
| 1.551 |
NH |
4-СН3 |
H |
|
| 1.552 |
NH |
4-СН3 |
2-СН3 |
|
| 1.553 |
NH |
4-СН3 |
3-СН3 |
|
| 1.554 |
NH |
4-СН3 |
4-СН3 |
|
| 1.555 |
NH |
4-СН3 |
2-F |
|
| 1.556 |
NH |
4-СН3 |
3-F |
|
| 1.557 |
NH |
4-СН3 |
4-F |
|
| 1.558 |
NH |
4-СН3 |
2-Cl |
|
| 1.559 |
NH |
4-СН3 |
3-Cl |
|
| 1.560 |
NH |
4-СН3 |
4-Cl |
|
| 1.561 |
NH |
4-СН3 |
2-CF3 |
|
| 1.562 |
NH |
4-СН3 |
3-CF3 |
|
| 1.563 |
NH |
4-СН3 |
4-CF3 |
|
| 1.564 |
NH |
4-СН3 |
2-OCF3 |
|
| 1.565 |
NH |
4-СН3 |
3-OCF3 |
|
| 1.566 |
NH |
4-СН3 |
4-OCF3 |
|
| 1.567 |
NH |
4-СН3 |
2,3-Cl2 |
|
| 1.568 |
NH |
4-СН3 |
2,4-Cl2 |
|
| 1.569 |
NH |
4-СН3 |
2,5-Cl2 |
|
| 1.570 |
NH |
4-СН3 |
2,6-Cl2 |
|
| № |
X |
R1 |
R2 |
Физические характеристики |
| 1.571 |
NH |
4-СН3 |
3,4-Cl2 |
|
| 1.572 |
NH |
4-СН3 |
3,5-Cl2 |
|
| 1.573 |
NH |
2-F |
H |
|
| 1.574 |
NH |
2-F |
2-СН3 |
|
| 1.575 |
NH |
2-F |
3-СН3 |
|
| 1.576 |
NH |
2-F |
4-СН3 |
|
| 1.577 |
NH |
2-F |
2-F |
|
| 1.578 |
NH |
2-F |
3-F |
|
| 1.579 |
NH |
2-F |
4-F |
|
| 1.580 |
NH |
2-F |
2-Cl |
|
| 1.581 |
NH |
2-F |
3-Cl |
|
| 1.582 |
NH |
2-F |
4-Cl |
|
| 1.583 |
NH |
2-F |
2-CF3 |
|
| 1.584 |
NH |
2-F |
3-CF3 |
|
| 1.585 |
NH |
2-F |
4-CF3 |
|
| 1.586 |
NH |
2-F |
2-OCF3 |
|
| 1.587 |
NH |
2-F |
3-OCF3 |
|
| 1.588 |
NH |
2-F |
4-OCF3 |
|
| 1.589 |
NH |
2-F |
2,3-Cl2 |
|
| 1.590 |
NH |
2-F |
2,4-Cl2 |
|
| 1.591 |
NH |
2-F |
2,5-Cl2 |
|
| 1.592 |
NH |
2-F |
2,6-Cl2 |
|
| 1.593 |
NH |
2-F |
3,4-Cl2 |
|
| 1.594 |
NH |
2-F |
3,5-Cl2 |
|
| 1.595 |
NH |
3-F |
H |
|
| 1.596 |
NH |
3-F |
2-СН3 |
|
| 1.597 |
NH |
3-F |
3-СН3 |
|
| 1.598 |
NH |
3-F |
4-СН3 |
|
| 1.599 |
NH |
3-F |
2-F |
|
| 1.600 |
NH |
3-F |
3-F |
|
| 1.601 |
NH |
3-F |
4-F |
|
| 1.602 |
NH |
3-F |
2-Cl |
|
| 1.603 |
NH |
3-F |
3-Cl |
|
| 1.604 |
NH |
3-F |
4-Cl |
|
| 1.605 |
NH |
3-F |
2-CF3 |
|
| 1.606 |
NH |
3-F |
3-CF3 |
|
| 1.607 |
NH |
3-F |
4-CF3 |
|
| 1.608 |
NH |
3-F |
2-OCF3 |
|
| 1.609 |
NH |
3-F |
3-OCF3 |
|
| 1.610 |
NH |
3-F |
4-OCF3 |
|
| 1.611 |
NH |
3-F |
2,3-Cl2 |
|
| 1.612 |
NH |
3-F |
2,4-Cl2 |
|
| 1.613 |
NH |
3-F |
2,5-Cl2 |
|
| № |
X |
R1 |
R2 |
Физические характеристики |
| 1.614 |
NH |
3-F |
2,6-Cl2 |
|
| 1.615 |
NH |
3-F |
3,4-Cl2 |
|
| 1.616 |
NH |
3-F |
3,5-Cl2 |
|
| 1.617 |
NH |
4-F |
Н |
|
| 1.618 |
NH |
4-F |
2-СН3 |
|
| 1.619 |
NH |
4-F |
3-СН3 |
|
| 1.620 |
NH |
4-F |
4-СН3 |
|
| 1.621 |
NH |
4-F |
2-F |
|
| 1.622 |
NH |
4-F |
3-F |
|
| 1.623 |
NH |
4-F |
4-F |
|
| 1.624 |
NH |
4-F |
2-Cl |
|
| 1.625 |
NH |
4-F |
3-Cl |
|
| 1.626 |
NH |
4-F |
4-Cl |
|
| 1.627 |
NH |
4-F |
2-CF3 |
|
| 1.628 |
NH |
4-F |
3-CF3 |
|
| 1.629 |
NH |
4-F |
4-CF3 |
|
| 1.630 |
NH |
4-F |
2-OCF3 |
|
| 1.631 |
NH |
4-F |
3-OCF3 |
|
| 1.632 |
NH |
4-F |
4-OCF3 |
|
| 1.633 |
NH |
4-F |
2,3-Cl2 |
|
| 1.634 |
NH |
4-F |
2,4-Cl2 |
|
| 1.635 |
NH |
4-F |
2,5-Cl2 |
|
| 1.636 |
NH |
4-F |
2,6-Cl2 |
|
| 1.637 |
NH |
4-F |
3,4-Cl2 |
|
| 1.638 |
NH |
4-F |
3,5-Cl2 |
|
| 1.639 |
NH |
2-Cl |
H |
|
| 1.640 |
NH |
2-Cl |
2-СН3 |
|
| 1.641 |
NH |
2-Cl |
3-СН3 |
|
| 1.642 |
NH |
2-Cl |
4-СН3 |
|
| 1.643 |
NH |
2-Cl |
2-F |
|
| 1.644 |
NH |
2-Cl |
3-F |
|
| 1.645 |
NH |
2-Cl |
4-F |
|
| 1.646 |
NH |
2-Cl |
2-Cl |
|
| 1.647 |
NH |
2-Cl |
3-Cl |
|
| 1.648 |
NH |
2-Cl |
4-Cl |
|
| 1.649 |
NH |
2-Cl |
2-CF3 |
|
| 1.650 |
NH |
2-Cl |
3-CF3 |
|
| 1.651 |
NH |
2-Cl |
4-CF3 |
Tпл 142-143°C |
| 1.652 |
NH |
2-Cl |
2-OCF3 |
|
| 1.653 |
NH |
2-Cl |
3-OCF3 |
|
| 1.654 |
NH |
2-Cl |
4-OCF3 |
|
| 1.655 |
NH |
2-Cl |
2,3-Cl2 |
|
| 1.656 |
NH |
2-Cl |
2,4-Cl2 |
|
| № |
X |
R1 |
R2 |
Физические характеристики |
| 1.657 |
NH |
2-Cl |
2,5-Cl2 |
|
| 1.658 |
NH |
2-Cl |
2,6-Cl2 |
|
| 1.659 |
NH |
2-Cl |
3,4-Cl2 |
|
| 1.660 |
NH |
2-Cl |
3,5-Cl2 |
|
| 1.661 |
NH |
3-Cl |
H |
|
| 1.662 |
NH |
3-Cl |
2-СН3 |
|
| 1.663 |
NH |
3-Cl |
3-СН3 |
|
| 1.664 |
NH |
3-Cl |
4-СН3 |
|
| 1.665 |
NH |
3-Cl |
2-F |
|
| 1.666 |
NH |
3-Cl |
3-F |
|
| 1.667 |
NH |
3-Cl |
4-F |
|
| 1.668 |
NH |
3-Cl |
2-Cl |
|
| 1.669 |
NH |
3-Cl |
3-Cl |
|
| 1.670 |
NH |
3-Cl |
4-Cl |
|
| 1.671 |
NH |
3-Cl |
2-CF3 |
|
| 1.672 |
NH |
3-Cl |
3-CF3 |
|
| 1.673 |
NH |
3-Cl |
4-CF3 |
|
| 1.674 |
NH |
3-Cl |
2-OCF3 |
|
| 1.675 |
NH |
3-Cl |
3-OCF3 |
|
| 1.676 |
NH |
3-Cl |
4-OCF3 |
|
| 1.677 |
NH |
3-Cl |
2,3-Cl2 |
|
| 1.678 |
NH |
3-Cl |
2,4-Cl2 |
|
| 1.679 |
NH |
3-Cl |
2,5-Cl2 |
|
| 1.680 |
NH |
3-Cl |
2,6-Cl2 |
|
| 1.681 |
NH |
3-Cl |
3,4-Cl2 |
|
| 1.682 |
NH |
3-Cl |
3,5-Cl2 |
|
| 1.683 |
NH |
4-Cl |
H |
|
| 1.684 |
NH |
4-Cl |
2-СН3 |
|
| 1.685 |
NH |
4-Cl |
3-СН3 |
|
| 1.686 |
NH |
4-Cl |
4-СН3 |
|
| 1.687 |
NH |
4-Cl |
2-F |
|
| 1.688 |
NH |
4-Cl |
3-F |
|
| 1.689 |
NH |
4-Cl |
4-F |
|
| 1.690 |
NH |
4-Cl |
2-Cl |
|
| 1.691 |
NH |
4-Cl |
3-Cl |
|
| 1.692 |
NH |
4-Cl |
4-Cl |
|
| 1.693 |
NH |
4-Cl |
2-CF3 |
|
| 1.694 |
NH |
4-Cl |
3-CF3 |
|
| 1.695 |
NH |
4-Cl |
4-CF3 |
|
| 1.696 |
NH |
4-Cl |
2-OCF3 |
|
| 1.697 |
NH |
4-Cl |
3-OCF3 |
|
| 1.698 |
NH |
4-Cl |
4-OCF3 |
|
| 1.699 |
NH |
4-Cl |
2,3-Cl2 |
|
| № |
X |
R1 |
R2 |
Физические характеристики |
| 1.700 |
NH |
4-Cl |
2,4-Cl2 |
|
| 1.701 |
NH |
4-Cl |
2,5-Cl2 |
|
| 1.702 |
NH |
4-Cl |
2,6-Cl2 |
|
| 1.703 |
NH |
4-Cl |
3,4-Cl2 |
|
| 1.704 |
NH |
4-Cl |
3,5-Cl2 |
|
| 1.705 |
NH |
2-CF3 |
H |
|
| 1.706 |
NH |
2-CF3 |
2-СН3 |
|
| 1.707 |
NH |
2-CF3 |
3-СН3 |
|
| 1.708 |
NH |
2-CF3 |
4-СН3 |
|
| 1.709 |
NH |
2-CF3 |
2-F |
|
| 1.710 |
NH |
2-CF3 |
3-F |
|
| 1.711 |
NH |
2-CF3 |
4-F |
|
| 1.712 |
NH |
2-CF3 |
2-Cl |
|
| 1.713 |
NH |
2-CF3 |
3-Cl |
|
| 1.714 |
NH |
2-CF3 |
4-Cl |
|
| 1.715 |
NH |
2-CF3 |
2-CF3 |
|
| 1.716 |
NH |
2-CF3 |
3-CF3 |
|
| 1.717 |
NH |
2-CF3 |
4-CF3 |
tпл 162-163°С |
| 1.718 |
NH |
2-CF3 |
2-OCF3 |
|
| 1.719 |
NH |
2-CF3 |
3-OCF3 |
|
| 1.720 |
NH |
2-CF3 |
4-OCF3 |
tпл 119-120°С |
| 1.721 |
NH |
2-CF3 |
2,3-Cl2 |
|
| 1.722 |
NH |
2-CF3 |
2,4-Cl2 |
|
| 1.723 |
NH |
2-CF3 |
2,5-Cl2 |
|
| 1.724 |
NH |
2-CF3 |
2,6-Cl2 |
|
| 1.725 |
NH |
2-CF3 |
3,4-Cl2 |
|
| 1.726 |
NH |
2-CF3 |
3,5-Cl2 |
|
| 1.727 |
NH |
3-CF3 |
H |
|
| 1.728 |
NH |
3-CF3 |
2-СН3 |
|
| 1.729 |
NH |
3-CF3 |
3-СН3 |
|
| 1.730 |
NH |
3-CF3 |
4-СН3 |
|
| 1.731 |
NH |
3-CF3 |
2-F |
|
| 1.732 |
NH |
3-CF3 |
3-F |
|
| 1.733 |
NH |
3-CF3 |
4-F |
|
| 1.734 |
NH |
3-CF3 |
2-Cl |
|
| 1.735 |
NH |
3-CF3 |
3-Cl |
|
| 1.736 |
NH |
3-CF3 |
4-Cl |
|
| 1.737 |
NH |
3-CF3 |
2-CF3 |
|
| 1.738 |
NH |
3-CF3 |
3-CF3 |
|
| 1.739 |
NH |
3-CF3 |
4-CF3 |
|
| 1.740 |
NH |
3-CF3 |
2-OCF3 |
|
| № |
X |
R1 |
R2 |
Физические характеристики |
| 1.741 |
NH |
3-CF3 |
3-OCF3 |
|
| 1.742 |
NH |
3-CF3 |
4-OCF3 |
|
| 1.743 |
NH |
3-CF3 |
2,3-Cl2 |
|
| 1.744 |
NH |
3-CF3 |
2,4-Cl2 |
|
| 1.745 |
NH |
3-CF3 |
2,5-Cl2 |
|
| 1.746 |
NH |
3-CF3 |
2,6-Cl2 |
|
| 1.747 |
NH |
3-CF3 |
3,4-Cl2 |
|
| 1.748 |
NH |
3-CF3 |
3,5-Cl2 |
|
| 1.749 |
NH |
4-CF3 |
H |
|
| 1.750 |
NH |
4-CF3 |
2-СН3 |
|
| 1.751 |
NH |
4-CF3 |
3-СН3 |
|
| 1.752 |
NH |
4-CF3 |
4-СН3 |
|
| 1.753 |
NH |
4-CF3 |
2-F |
|
| 1.754 |
NH |
4-CF3 |
3-F |
|
| 1.755 |
NH |
4-CF3 |
4-F |
|
| 1.756 |
NH |
4-CF3 |
2-Cl |
|
| 1.757 |
NH |
4-CF3 |
3-Cl |
|
| 1.758 |
NH |
4-CF3 |
4-Cl |
|
| 1.759 |
NH |
4-CF3 |
2-CF3 |
|
| 1.760 |
NH |
4-CF3 |
3-CF3 |
|
| 1.761 |
NH |
4-CF3 |
4-CF3 |
|
| 1.762 |
NH |
4-CF3 |
2-OCF3 |
|
| 1.763 |
NH |
4-CF3 |
3-OCF3 |
|
| 1.764 |
NH |
4-CF3 |
4-OCF3 |
|
| 1.765 |
NH |
4-CF3 |
2,3-Cl2 |
|
| 1.766 |
NH |
4-CF3 |
2,4-Cl2 |
|
| 1.767 |
NH |
4-CF3 |
2,5-Cl2 |
|
| 1.768 |
NH |
4-CF3 |
2,6-Cl2 |
|
| 1.769 |
NH |
4-CF3 |
3,4-Cl2 |
|
| 1.770 |
NH |
4-CF3 |
3,5-Cl2 |
|
| 1.771 |
NH |
2-OCF3 |
H |
|
| 1.772 |
NH |
2-OCF3 |
2-СН3 |
|
| 1.773 |
NH |
2-OCF3 |
3-СН3 |
|
| 1.774 |
NH |
2-OCF3 |
4-СН3 |
|
| 1.775 |
NH |
2-OCF3 |
2-F |
|
| 1.776 |
NH |
2-OCF3 |
3-F |
|
| 1.777 |
NH |
2-OCF3 |
4-F |
|
| 1.778 |
NH |
2-OCF3 |
2-Cl |
|
| 1.779 |
NH |
2-OCF3 |
3-Cl |
|
| 1.780 |
NH |
2-OCF3 |
4-Cl |
|
| 1.781 |
NH |
2-OCF3 |
2-CF3 |
|
| № |
X |
R1 |
R2 |
Физические характеристики |
| 1.782 |
NH |
2-OCF3 |
3-CF3 |
|
| 1.783 |
NH |
2-OCF3 |
4-CF3 |
|
| 1.784 |
NH |
2-OCF3 |
2-OCF3 |
|
| 1.785 |
NH |
2-OCF3 |
3-OCF3 |
|
| 1.786 |
NH |
2-OCF3 |
4-OCF3 |
|
| 1.787 |
NH |
2-OCF3 |
2,3-Cl2 |
|
| 1.788 |
NH |
2-OCF3 |
2,4-Cl2 |
|
| 1.789 |
NH |
2-OCF3 |
2,5-Cl2 |
|
| 1.790 |
NH |
2-OCF3 |
2,6-Cl2 |
|
| 1.791 |
NH |
2-OCF3 |
3,4-Cl2 |
|
| 1.792 |
NH |
2-OCF3 |
3,5-Cl2 |
|
| 1.793 |
NH |
3-OCF3 |
H |
|
| 1.794 |
NH |
3-OCF3 |
2-СН3 |
|
| 1.795 |
NH |
3-OCF3 |
3-СН3 |
|
| 1.796 |
NH |
3-OCF3 |
4-СН3 |
|
| 1.797 |
NH |
3-OCF3 |
2-F |
|
| 1.798 |
NH |
3-OCF3 |
3-F |
|
| 1.799 |
NH |
3-OCF3 |
4-F |
|
| 1.800 |
NH |
3-OCF3 |
2-Cl |
|
| 1.801 |
NH |
3-OCF3 |
3-Cl |
|
| 1.802 |
NH |
3-OCF3 |
4-Cl |
|
| 1.803 |
NH |
3-OCF3 |
2-CF3 |
|
| 1.804 |
NH |
3-OCF3 |
3-CF3 |
|
| 1.805 |
NH |
3-OCF3 |
4-CF3 |
|
| 1.806 |
NH |
3-OCF3 |
2-OCF3 |
|
| 1.807 |
NH |
3-OCF3 |
3-OCF3 |
|
| 1.808 |
NH |
3-OCF3 |
4-OCF3 |
|
| 1.809 |
NH |
3-OCF3 |
2,3-Cl2 |
|
| 1.810 |
NH |
3-OCF3 |
2,4-Cl2 |
|
| 1.811 |
NH |
3-OCF3 |
2,5-Cl2 |
|
| 1.812 |
NH |
3-OCF3 |
2,6-Cl2 |
|
| 1.813 |
NH |
3-OCF3 |
3,4-Cl2 |
|
| 1.814 |
NH |
3-OCF3 |
3,5-Cl2 |
|
| 1.815 |
NH |
4-OCF3 |
H |
|
| 1.816 |
NH |
4-OCF3 |
2-СН3 |
|
| 1.817 |
NH |
4-OCF3 |
3-СН3 |
|
| 1.818 |
NH |
4-OCF3 |
4-СНз |
|
| 1.819 |
NH |
4-OCF3 |
2-F |
|
| 1.820 |
NH |
4-OCF3 |
3-F |
|
| 1.821 |
NH |
4-OCF3 |
4-F |
|
| 1.822 |
NH |
4-OCF3 |
2-Cl |
|
| № |
X |
R1 |
R2 |
Физические характеристики |
| 1.823 |
NH |
4-OCF3 |
3-Cl |
|
| 1.824 |
NH |
4-OCF3 |
4-Cl |
|
| 1.825 |
NH |
4-OCF3 |
2-CF3 |
|
| 1.826 |
NH |
4-OCF3 |
3-CF3 |
|
| 1.827 |
NH |
4-OCF3 |
4-CF3 |
|
| 1.828 |
NH |
4-OCF3 |
2-OCF3 |
|
| 1.829 |
NH |
4-OCF3 |
3-OCF3 |
|
| 1.830 |
NH |
4-OCF3 |
4-OCF3 |
|
| 1.831 |
NH |
4-OCF3 |
2,3-Cl2 |
|
| 1.832 |
NH |
4-OCF3 |
2,4-Cl2 |
|
| 1.833 |
NH |
4-OCF3 |
2,5-Cl2 |
|
| 1.834 |
NH |
4-OCF3 |
2,6-Cl2 |
|
| 1.835 |
NH |
4-OCF3 |
3,4-Cl2 |
|
| 1.836 |
NH |
4-OCF3 |
3,5-Cl2 |
|
| 1.837 |
NH |
2,3-Cl2 |
H |
|
| 1.838 |
NH |
2,3-Cl2 |
2-СН3 |
|
| 1.839 |
NH |
2,3-Cl2 |
3-СН3 |
|
| 1.840 |
NH |
2,3-Cl2 |
4-СН3 |
|
| 1.841 |
NH |
2,3-Cl2 |
2-F |
|
| 1.842 |
NH |
2,3-Cl2 |
3-F |
|
| 1.843 |
NH |
2,3-Cl2 |
4-F |
|
| 1.844 |
NH |
2,3-Cl2 |
2-Cl |
|
| 1.845 |
NH |
2,3-Cl2 |
3-Cl |
|
| 1.846 |
NH |
2,3-Cl2 |
4-Cl |
|
| 1.847 |
NH |
2,3-Cl2 |
2-CF3 |
|
| 1.848 |
NH |
2,3-Cl2 |
3-CF3 |
|
| 1.849 |
NH |
2,3-Cl2 |
4-CF3 |
|
| 1.850 |
NH |
2,3-Cl2 |
2-OCF3 |
|
| 1.851 |
NH |
2,3-Cl2 |
3-OCF3 |
|
| 1.852 |
NH |
2,3-Cl2 |
4-OCF3 |
|
| 1.853 |
NH |
2,3-Cl2 |
2,3-Cl2 |
|
| 1.854 |
NH |
2,3-Cl2 |
2,4-Cl2 |
|
| 1.855 |
NH |
2,3-Cl2 |
2,5-Cl2 |
|
| 1.856 |
NH |
2,3-Cl2 |
2,6-Cl2 |
|
| 1.857 |
NH |
2,3-Cl2 |
3,4-Cl2 |
|
| 1.858 |
NH |
2,3-Cl2 |
3,5-Cl2 |
|
| 1.859 |
NH |
2,4-Cl2 |
H |
|
| 1.860 |
NH |
2,4-Cl2 |
2-СН3 |
|
| 1.861 |
NH |
2,4-Cl2 |
3-СН3 |
|
| 1.862 |
NH |
2,4-Cl2 |
4-СН3 |
|
| 1.863 |
NH |
2,4-Cl2 |
2-F |
|
| № |
X |
R1 |
R2 |
Физические характеристики |
| 1.864 |
NH |
2,4-Cl2 |
3-F |
|
| 1.865 |
NH |
2,4-Cl2 |
4-F |
|
| 1.866 |
NH |
2,4-Cl2 |
2-Cl |
|
| 1.867 |
NH |
2,4-Cl2 |
3-Cl |
|
| 1.868 |
NH |
2,4-Cl2 |
4-Cl |
|
| 1.869 |
NH |
2,4-Cl2 |
2-CF3 |
|
| 1.870 |
NH |
2,4-Cl2 |
3-CF3 |
|
| 1.871 |
NH |
2,4-Cl2 |
4-CF3 |
|
| 1.872 |
NH |
2,4-Cl2 |
2-OCF3 |
|
| 1.873 |
NH |
2,4-Cl2 |
3-OCF3 |
|
| 1.874 |
NH |
2,4-Cl2 |
4-OCF3 |
|
| 1.875 |
NH |
2,4-Cl2 |
2,3-Cl2 |
|
| 1.876 |
NH |
2,4-Cl2 |
2,4-Cl2 |
|
| 1.877 |
NH |
2,4-Cl2 |
2,5-Cl2 |
|
| 1.878 |
NH |
2,4-Cl2 |
2,6-Cl2 |
|
| 1.879 |
NH |
2,4-Cl2 |
3,4-Cl2 |
|
| 1.880 |
NH |
2,4-Cl2 |
3,5-Cl2 |
|
| 1.881 |
NH |
2,5-Cl2 |
H |
|
| 1.882 |
NH |
2,5-Cl2 |
2-СН3 |
|
| 1.883 |
NH |
2,5-Cl2 |
3-СН3 |
|
| 1.884 |
NH |
2,5-Cl2 |
4-СН3 |
|
| 1.885 |
NH |
2,5-Cl2 |
2-F |
|
| 1.886 |
NH |
2,5-Cl2 |
3-F |
|
| 1.887 |
NH |
2,5-Cl2 |
4-F |
|
| 1.888 |
NH |
2,5-Cl2 |
2-Cl |
|
| 1.889 |
NH |
2,5-Cl2 |
3-Cl |
|
| 1.890 |
NH |
2,5-Cl2 |
4-Cl |
|
| 1.891 |
NH |
2,5-Cl2 |
2-CF3 |
|
| 1.892 |
NH |
2,5-Cl2 |
3-CF3 |
|
| 1.893 |
NH |
2,5-Cl2 |
4-CF3 |
|
| 1.894 |
NH |
2,5-Cl2 |
2-OCF3 |
|
| 1.895 |
NH |
2,5-Cl2 |
3-OCF3 |
|
| 1.896 |
NH |
2,5-Cl2 |
4-OCF3 |
|
| 1.897 |
NH |
2,5-Cl2 |
2,3-Cl2 |
|
| 1.898 |
NH |
2,5-Cl2 |
2,4-Cl2 |
|
| 1.899 |
NH |
2,5-Cl2 |
2,5-Cl2 |
|
| 1.900 |
NH |
2,5-Cl2 |
2,6-Cl2 |
|
| 1.901 |
NH |
2,5-Cl2 |
3,4-Cl2 |
|
| 1.902 |
NH |
2,5-Cl2 |
3,5-Cl2 |
|
| 1.903 |
NH |
2,6-Cl2 |
H |
|
| 1.904 |
NH |
2,6-Cl2 |
2-СН3 |
|
| № |
X |
R1 |
R2 |
Физические характеристики |
| 1.905 |
NH |
2,6-Cl2 |
3-СН3 |
|
| 1.906 |
NH |
2,6-Cl2 |
4-СН3 |
|
| 1.907 |
NH |
2,6-Cl2 |
2-F |
|
| 1.908 |
NH |
2,6-Cl2 |
3-F |
|
| 1.909 |
NH |
2,6-Cl2 |
4-F |
|
| 1.910 |
NH |
2,6-Cl2 |
2-Cl |
|
| 1.911 |
NH |
2,6-Cl2 |
3-Cl |
|
| 1.912 |
NH |
2,6-Cl2 |
4-Cl |
|
| 1.913 |
NH |
2,6-Cl2 |
2-CF3 |
|
| 1.914 |
NH |
2,6-Cl2 |
3-CF3 |
|
| 1.915 |
NH |
2,6-Cl2 |
4-CF3 |
|
| 1.916 |
NH |
2,6-Cl2 |
2-OCF3 |
|
| 1.917 |
NH |
2,6-Cl2 |
3-OCF3 |
|
| 1.918 |
NH |
2,6-Cl2 |
4-OCF3 |
|
| 1.919 |
NH |
2,6-Cl2 |
2,3-Cl2 |
|
| 1.920 |
NH |
2,6-Cl2 |
2,4-Cl2 |
|
| 1.921 |
NH |
2,6-Cl2 |
2,5-Cl2 |
|
| 1.922 |
NH |
2,6-Cl2 |
2,6-Cl2 |
|
| 1.923 |
NH |
2,6-Cl2 |
3,4-Cl2 |
|
| 1.924 |
NH |
2,6-Cl2 |
3,5-Cl2 |
|
| 1.925 |
NH |
3,4-Cl2 |
H |
|
| 1.926 |
NH |
2,6-Cl2 |
2-СН3 |
|
| 1.927 |
NH |
2,6-Cl2 |
3-СН3 |
|
| 1.928 |
NH |
2,6-Cl2 |
4-СН3 |
|
| 1.929 |
NH |
2,6-Cl2 |
2-F |
|
| 1.930 |
NH |
2,6-Cl2 |
3-F |
|
| 1.931 |
NH |
2,6-Cl2 |
4-F |
|
| 1.932 |
NH |
2,6-Cl2 |
2-Cl |
|
| 1.933 |
NH |
2,6-Cl2 |
3-Cl |
|
| 1.934 |
NH |
2,6-Cl2 |
4-Cl |
|
| 1.935 |
NH |
2,6-Cl2 |
2-CF3 |
|
| 1.936 |
NH |
2,6-Cl2 |
3-CF3 |
|
| 1.937 |
NH |
2,6-Cl2 |
4-CF3 |
|
| 1.938 |
NH |
2,6-Cl2 |
2-OCF3 |
|
| 1.939 |
NH |
2,6-Cl2 |
3-OCF3 |
|
| 1.940 |
NH |
2,6-Cl2 |
4-OCF3 |
|
| 1.941 |
NH |
2,6-Cl2 |
2,3-Cl2 |
|
| 1.942 |
NH |
2,6-Cl2 |
2,4-Cl2 |
|
| 1.943 |
NH |
2,6-Cl2 |
2,5-Cl2 |
|
| 1.944 |
NH |
2,6-Cl2 |
2,6-Cl2 |
|
| 1.945 |
NH |
2,6-Cl2 |
3,4-Cl2 |
|
| № |
X |
R1 |
R2 |
Физические характеристики |
| 1.946 |
NH |
3,4-Cl2 |
3,5-Cl2 |
|
| 1.947 |
NH |
3,5-Cl2 |
H |
|
| 1.948 |
NH |
3,5-Cl2 |
2-СН3 |
|
| 1.949 |
NH |
3,5-Cl2 |
3-СН3 |
|
| 1.950 |
NH |
3,5-Cl2 |
4-СН3 |
|
| 1.951 |
NH |
3,5-Cl2 |
2-F |
|
| 1.952 |
NH |
3,5-Cl2 |
3-F |
|
| 1.953 |
NH |
3,5-Cl2 |
4-F |
|
| 1.954 |
NH |
3,5-Cl2 |
2-Cl |
|
| 1.955 |
NH |
3,5-Cl2 |
3-Cl |
|
| 1.956 |
NH |
3,5-Cl2 |
4-Cl |
|
| 1.957 |
NH |
3,5-Cl2 |
2-CF3 |
|
| 1.958 |
NH |
3,5-Cl2 |
3-CF3 |
|
| 1.959 |
NH |
3,5-Cl2 |
4-CF3 |
|
| 1.960 |
NH |
3,5-Cl2 |
2-OCF3 |
|
| 1.961 |
NH |
3,5-Cl2 |
3-OCF3 |
|
| 1.962 |
NH |
3,5-Cl2 |
4-OCF3 |
|
| 1.963 |
NH |
3,5-Cl2 |
2,3-Cl2 |
|
| 1.964 |
NH |
3,5-Cl2 |
2,4-Cl2 |
|
| 1.965 |
NH |
3,5-Cl2 |
2,5-Cl2 |
|
| 1.966 |
NH |
3,5-Cl2 |
2,6-Cl2 |
|
| 1.967 |
NH |
3,5-Cl2 |
3,4-Cl2 |
|
| 1.968 |
NH |
3,5-Cl2 |
3,5-Cl2 |
|
Биологические примеры
1. Опыт in vivo на когтистых монгольских песчанках (Meriones unsuiculatus) по борьбе с нематодами Trichostrongylus colubriformis и Haemonchus contortus путем перорального введения действующего вещества
Когтистых монгольских песчанок возрастом от шести до восьми недель заражали путем искусственного кормления личинками T. colubriformis и H. contortus третьей возрастной стадии в количестве примерно по 2000 особей каждого паразита. Через 6 дней после заражения песчанок подвергали легкой анестезии с помощью N2O и им перорально вводили тестируемые соединения, растворенные в смеси из 2-х частей ДМСО и 1-й части полиэтиленгликоля (ПЭГ 300), в дозах 100, 32 и 10-0,1 мг/кг. На 9-й день (через 3 дня после введения тестируемых соединений), на который большинство все еще присутствующих личинок H. contortus достигали 4-й возрастной стадии, а большинство личинок Т. colubriformis достигали неполовозрелой стадии имаго, песчанок умерщвляли для подсчета гельминтов. Эффективность тестируемых соединений рассчитывали как выраженное в процентах уменьшение количества гельминтов у каждой песчанки по сравнению с геометрическим средним количества гельминтов у 8 зараженных и не получавших тестируемые соединения песчанок.
По результатам этого опыта было установлено, что соединения формулы I обеспечивают значительное уменьшение количества нематод у зараженных животных.
Инсектицидное и/или акарицидное действие соединений формулы I на животных и растениях можно проверять в соответствии с рассмотренными ниже экспериментами.
2. Акарицидное действие против Boophilus microplus (штамм Biarra)
К пластине из ПВХ по горизонтали прикрепляют кусок липкой ленты такой длины, чтобы к нему можно было в один ряд приклеить их спинками 10 полностью насосавшихся крови женских особей клеща Boophilus microplus (штамм Biarra). После этого в тельце каждого клеща с помощью инъекционной иглы инъецируют 1 мкл жидкости. Такая жидкость представляет собой смесь полиэтиленгликоля и ацетона в соотношении 1:1 и содержит определенное количество растворенного в ней действующего вещества, составляющее 1, 0,1 или 0,01 мкг из расчета на одного клеща. Клещам контрольной группы делают инъекцию без действующего вещества. После обработки клещей помещают в инсектарий, где они находятся при нормальных условиях при температуре около 28°С и 80%-ной относительной влажности до кладки яиц и до вылупления личинок из яиц клещей контрольной группы. Эффективность тестируемого соединения определяют по показателю IR90, т.е. определяют ту дозу действующего вещества, при которой 9 из 10 женских особей клещей (соответствует 90%) откладывают яйца, из которых личинки не вылупляются даже по истечении 30 дней.
3. Оценка эффективности in vitro в опыте на насосавшихся крови женских особях Boophilus microplus (BIARRA)
Насосавшихся крови женских особей клеща, устойчивого к фосфорорганическим соединениям штамма BIARRA, прикрепляют 4 группами по 10 особей в каждой к липкой ленте и на 1 ч накрывают куском ваты, пропитанным эмульсией или суспензией тестируемого соединения в концентрации 500, 125, 31 и 8 ч./млн соответственно. Эффективность тестируемых соединений оценивают через 28 дней по смертности клещей, откладыванию ими яиц и вылуплению личинок из яиц.
Мерой активности тестируемых соединений служит количество женских особей, которые
– гибнут незадолго до кладки яиц,
– выживают в течение некоторого периода времени, не откладывая яйца,
– откладывают яйца, в которых не формируются эмбрионы,
– откладывают яйца, в которых формируются эмбрионы, но из которых не вылупляются личинки, и
– откладывают яйца, в которых формируются эмбрионы и из которых обычно на 26-27-й день вылупляются личинки.
4. Оценка эффективности in vitro в опыте на нимфах Amblvomma hebraeum
Примерно 5 голодных нимф помещают в опытную пробирку из полистирола, содержащую 2 мл раствора, суспензии или эмульсии тестируемого соединения.
После погружения нимф на 10 мин в тестируемый раствор суспензию или эмульсию и двухкратного встряхивания на вибрационном смесителе каждый раз в течение 10 с опытные пробирки укупоривают плотным комком ваты и переворачивают дном вверх. После впитывания всей жидкости ватным шариком его примерно наполовину проталкивают во все еще находящуюся в перевернутом положении пробирку, выжимая таким путем из ватного шарика большее количество впитанной им жидкости, стекающей в установленную под пробиркой чашку Петри.
После этого пробирки до оценки результатов опыта выдерживают при комнатной температуре в помещении с естественным освещением. Через 14 дней опытные пробирки погружают в лабораторный стакан с кипящей водой. Если в ответ на такое тепловое воздействие клещи начинают двигаться, то подобный эффект указывает на отсутствие акарицидного действия у тестируемого соединения в исследуемой концентрации, а если клещи остаются неподвижными, что свидетельствует об их гибели, то тестируемое соединение классифицируется как обладающее акарицидным действием в исследуемой концентрации. Все соединения исследуют в интервале концентраций от 0,1 до 100 ч./млн.
5. Действие против Dermanyssus gallinae
2-3 мл раствора, содержащего действующее вещество в концентрации 10 ч./млн, и примерно 200 особей клеща (Dermanyssus gallinae) различных стадий развития помещают в открытую сверху стеклянную емкость. После этого емкость закрывают комком ваты, встряхивают в течение 10 мин до полного смачивания раствором всех клещей и затем кратковременно переворачивают дном вверх, чтобы оставшийся раствор мог впитаться в вату. Через 3 дня определяют смертность клещей, подсчитывая количество погибших особей и выражая полученный результат в процентном отношении.
6. Действие против Musca domestica
Кубик сахара обрабатывают раствором тестируемого соединения с таким расчетом, чтобы его концентрация в сахаре после сушки в течение ночи составляла 250 ч./млн. Обработанный таким путем кубик сахара помещают в накрытую лабораторным стаканом алюминиевую чашку с влажной ватой и 10 взрослыми особями Musca domestica, устойчивого к фосфорорганическим соединениям штамма, и инкубируют при 25°С. Смертность мух определяют через 24 ч.
Формула изобретения
1. Соединения формулы

в которой Ar1 и Ar2 независимо друг от друга обозначают незамещенный фенил либо одно- или многозамещенный фенил, заместители которого выбраны из группы, включающей галоген, C1-С6алкил, гало-С1-С6алкил или гало-C1-С6алкоксигруппу,
R4, R5, R6 независимо друг от друга обозначают водород или C1-С6алкил,
W обозначает О,
Х обозначает N(R10), где R10 обозначает водород,
а обозначает 1 и
b обозначает 0.
2. Соединения формулы I по п.1, в которой Ar1 и Ar2 независимо друг от друга обозначают незамещенный фенил либо одно- или двухзамещенный фенил, заместители которого выбраны из группы, включающей хлор, фтор, метил, трифторметил или трифторметоксигруппу,
R4 обозначает метил,
R5 и R6 каждый обозначает водород,
W обозначает О,
Х обозначает N(R10), где R10 обозначает водород,
а обозначает 1 и
b обозначает 0.
3. Способ получения соединений формулы I по п.1, заключающийся в том, что соединение формулы

в котором R4, R5, R6, R7, R8, Ar2, W, а и b имеют указанные для формулы I значения, подвергают взаимодействию, необязательно в присутствии основного катализатора, с соединением формулы

в котором Ar1 имеет указанные для формулы I значения.
4. Композиция для борьбы с паразитами, выбранными из группы, включающей гельминты, клещи, паразитиформные клещи и насекомые, которая содержит в качестве действующего вещества по меньшей мере одно соединение формулы I по п.1, а также носители и/или диспергаторы.
5. Применение соединений формулы I по п.1 для борьбы с паразитами, выбранными из группы, включающей гельминты, клещи, паразитиформные клещи и насекомые.
6. Способ борьбы с паразитами, выбранными из группы, включающей гельминты, клещи, паразитиформные клещи и насекомые, заключающийся в воздействии на паразитов эффективным количеством по меньшей мере одного соединения формулы I по п.1.
7. Применение соединения формулы I по п.1 в способе борьбы с паразитами теплокровных животных, выбранными из группы, включающей гельминты, клещи, паразитиформные клещи и насекомые.
8. Применение соединения формулы I по п.1 для получения фармацевтической композиции с направленным действием против паразитов теплокровных животных, выбранных из группы, включающей гельминты, клещи, паразитиформные клещи и насекомые.
MM4A – Досрочное прекращение действия патента СССР или патента Российской Федерации на изобретение из-за неуплаты в установленный срок пошлины за поддержание патента в силе
Дата прекращения действия патента: 03.10.2008
Извещение опубликовано: 20.07.2010 БИ: 20/2010
|
|