Патент на изобретение №2296565
|
||||||||||||||||||||||||||
(54) ПРОИЗВОДНЫЕ ИМИДАЗОЛА, МОДУЛИРУЮЩИЕ НАТРИЕВЫЕ КАНАЛЫ
(57) Реферат:
Настоящее изобретение относится к медицине, а именно к новому применению соединений общей формулы (I), для получения лекарственного средства для модулирования натриевых каналов и, в частности, для лечения боли (например, невропатической боли), эпилепсии, нейродегенеративных состояний и биполярных состояний. 3 н. и 7 з.п. ф-лы.
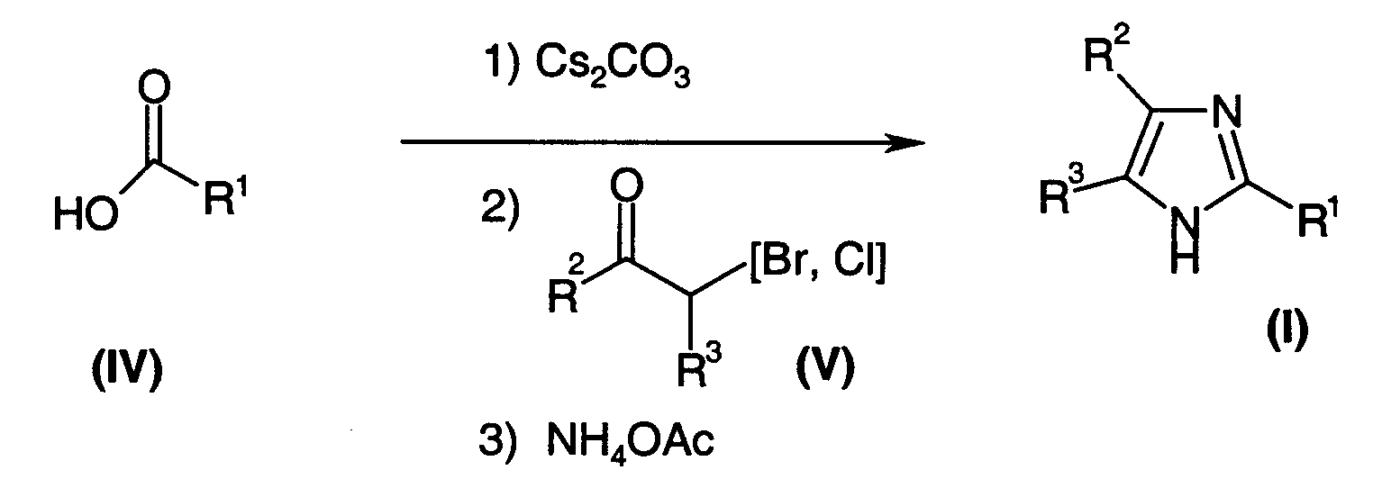
Настоящее изобретение относится к новым производным имидазола, модулирующим натриевые каналы, их получению и их терапевтическим применениям. Соединения, модулирующие натриевые каналы, очень полезны для терапевтических применений, таких как: лечение или профилактика боли, и в частности: невропатической боли, такой как невралгия тройничного нерва, боли, связанной с вирусными или ретровирусными заболеваниями (например, боли, связанной с герпесом, такой как постгерпетическая боль, боли, связанной с синдромом приобретенного иммунодефицита (СПИД), или боли, связанной с опоясывающим лишаем), диабетической невропатии, глоссофарингеальной невралгии, вторичной радикулопатии и невропатии, связанной с метастатическими инфильтрациями, болезненного ожирения и боли, связанной с ожогами, мигрени, послеоперационной боли, центральной боли в результате инсультов, таламических поражений и множественного склероза, хронической боли, и боли, связанной с раковым заболеванием; лечение эпилепсии; лечение нарушений сердечного ритма; лечение нарушений, связанных с нейродегенерацией, и в частности инсультов, церебральных травм и нейродегенеративных заболеваний, таких как болезнь Альцгеймера, болезнь Паркинсона и боковой амиотрофический латеральный склероз; лечение депрессии и биполярных нарушений; лечение слизистого колита; лечение диабетической ретинопатии. Соединения, соответствующие общей формуле (I), которая определена ниже, представляют модуляторы натриевых каналов и, следовательно, могут быть использованы для лечения упомянутых ранее заболеваний/нарушений. Патентная заявка РСТ WO 95/00493 описывает синтез промежуточных соединений общей формулы (А1) где R8, в частности, представляет алкильный радикал, содержащий от 1 до 6 атомов углерода, или необязательно замещенный фенилалкильный радикал; и R9 и R10, в частности, независимо представляют атом водорода, алкильный радикал, содержащий от 1 до 6 атомов углерода, или фенильный радикал, необязательно замещенный одним или более радикалами, выбранными в частности из атома галогена и гидроксильного, алкильного или алкоксильного радикала. Однако фармакологические свойства для данных соединений не описаны. Патент США 5840721 описывает агенты, полезные для восстановления чувствительности раковых клеток, устойчивых к обработке химиотерапевтическими агентами, соответствующие общей формуле (А2) где R1, в частности, представляет необязательно замещенный аралкильный радикал; R2 и R3, в частности, независимо представляют атом водорода, алкильный радикал, содержащий от 1 до 6 атомов углерода, или фенильный радикал, необязательно замещенный одним или более радикалами, выбранными, в частности, из атома галогена и алкильного или алкоксильного радикала; и R4, в частности, представляет атом водорода. Патентная заявка РСТ WO 00/57877 описывает агенты, блокирующие натриевые каналы, и, в частности, агенты общей формулы (А3) где R1 в частности представляет атом водорода; R2 и R3 в частности независимо представляют атом водорода или алкильный радикал с 1-10 атомами углерода, циклоалкильный радикал или арильный радикал; Х представляет O, S или радикал NR15, где R15 представляет атом водорода, алкильный или циклоалкильный радикал; и R5, R6, R7, R8, R9, R10, R11, R12 и R13 независимо представляют (в частности) атом водорода, атом галогена и алкильный, гидроксильный или алкоксильный радикал. Патентная заявка РСТ WO 01/26656 описывает агенты, модулирующие натриевые каналы, и в частности агенты общей формулы (А4) где А представляет (в частности) необязательно замещенный фенильный или дифенильный радикал; В представляет (в частности) атом водорода или алкильный радикал; Х представляет (в частности) NR38, где R38 представляет в частности атом водорода или алкильный радикал; n равно целому числу от 0 до 6; Однако, как указано в ряде документов известного уровня техники, представленных в патентной заявке РСТ WO 00/57877, по-видимому одним из существенных элементов для получения активности, модулирующей натриевые каналы, является феноксифенильный фрагмент (Х представляет О), или фенилтиофенильный фрагмент (Х представляет S), или анилинофенильный фрагмент (Х представляет NR15). Кроме того, патентная заявка РСТ WO 00/71120 описывает агенты с антибактериальной активностью, которые в частности соответствуют общей формуле (А5) где R1 представляет С1-4 алкильный, Ar, 2-тиенильный или 3-тиенильный радикал; R2 представляет С1-4 алкильный, Ar радикал; n равно целому числу от 0 до 3; и Ar представляет фенил или нафтил, необязательно замещенный от 1 до 3 раз такими заместителями, как С1-4 алкил, С1-4 алкокси, CF3, F, Cl, Br, I, фенил или метилендиокси, причем указанные заместители можно получить путем химического синтеза, и они являются стабильными. Патентная заявка РСТ WO 01/44201 описывает антагонисты рецептора Y5 нейропептида Y, которые в частности соответствуют общей формуле (А6) где R представляет (в частности) С1-6 алкильный, С3-7 циклоалкильный, гетероциклоалкильный, гетероциклоалкил(С1-6) алкильный, или гетероарил(С1-6)алкильный радикал, или также радикал причем R9 представляет от одного до трех заместителей, независимо выбранных из атома водорода, атома галогена и С1-6 алкильного или С1-6 алкоксильного радикала, и R10 и R11 независимо выбраны (в частности) из атома водорода и С1-6 алкильного радикала; Х представляет =СН- или =N-: и Y представляет от одного до трех заместителей, независимо выбранных из атома водорода, атома галогена или тригалогеналкила, С1-6 алкила, С1-6 алкенила, С3-7 циклоалкила, С1-6 алкильного радикала, замещенного С3-7 циклоалкилом, -ОН,-О(С1-6)алкилом, -SH, -S(С1-6)алкилом или -CN. В заключение, статья Suenaga и др. (Tetrahedron Letters (2001), 42, 7079-81) описывает катарситоксины D и E, а именно 2-(2-метилпропил)-5-фенилимидазол и 2-(1-метилпропил)-5-фенилимидазол, соответственно. Однако биологические свойства данных токсинов еще следует изучить. Согласно данному изобретению соединения общей формулы (I) где R1 представляет линейный или разветвленный алкильный радикал, содержащий от 3 до 16 атомов углерода (предпочтительно от 4 до 16 атомов углерода и более предпочтительно от 6 до 12 атомов углерода), или циклоалкилалкил, или также R1 представляет аралкильный радикал, необязательно замещенный по арильной группе от 1 до 3 раз заместителями, независимо выбранными из атома галогена и алкильного или алкоксильного радикала; R2 представляет фенильный радикал, необязательно замещенный от 1 до 3 раз заместителями, независимо выбранными из атома галогена и алкильного или алкоксильного радикала, или также R2 представляет дифенильный радикал, необязательно замещенный от 1 до 4 раз одним или более заместителями, независимо выбранными из атома галогена и алкильного или алкоксильного радикала; R3 представляет атом водорода или алкильный радикал; и их фармацевтически приемлемые соли можно использовать для получения лекарственного средства, предназначенного для модулирования натриевых каналов. Если иначе не указано, алкил обозначает линейный или разветвленный алкильный радикал, содержащий от 1 до 12 атомов углерода, предпочтительно от 1 до 6 атомов углерода. Циклоалкил, если иначе не указано, обозначает моноциклическую углеродную систему, содержащую от 3 до 7 атомов углерода. Арил обозначает карбоциклический арильный радикал, если иначе не указано. Карбоциклический арил обозначает карбоциклическую систему, включающую, по меньшей мере, одно ароматическое кольцо (и в частности фенильный радикал, который может быть обозначен Ph, или нафтильный радикал). Алкоксильные радикалы, аралкильные и циклоалкилалкильные радикалы обозначают, соответственно, алкоксильные, аралкильные и циклоалкилалкильные радикалы, алкильный радикал которых имеет указанное выше значение. Линейный или разветвленный алкил, имеющий от 1 до 6 атомов углерода, обозначает в частности метильный, этильный, пропильный, изопропильный, бутильный, изобутильный, втор-бутильный и трет-бутильный, пентильный, неопентильный, изопентильный, гексильный, изогексильный радикалы. Наконец, атом галогена обозначает атомы фтора, хлора, брома или йода. Фармацевтически приемлемые соли обозначают в частности соли присоединения неорганических кислот, такие как гидрохлорид, гидробромид, гидройодид, сульфат, фосфат, дифосфат и нитрат, или соли присоединения органических кислот, такие как ацетат, малеат, фумарат, тартрат, сукцинат, цитрат, лактат, метансульфонат, пара-толуолсульфонат, памоат и стеарат. В объем настоящего изобретения включены также соли, образованные основаниями, такими как гидроксид натрия или калия, если их можно применять. Для других примеров фармацевтически приемлемых солей можно сделать ссылку на “Salt selection for basic drugs”, Int. J. Pharm. (1986), 33, 201-217. Предпочтительно соединения общей формулы (I) являются такими соединениями, которые обладают, по меньшей мере, одной из следующих характеристик: R1, представляющий линейный или разветвленный алкильный радикал, содержащий от 3 до 16 атомов углерода, или циклоалкилалкил, или также R1, представляющий аралкильный радикал, необязательно замещенный по арильной группе от 1 до 3 раз заместителями, независимо выбранными из алкильных радикалов; R2, представляющий фенильный радикал, необязательно замещенный от 1 до 3 раз заместителями, независимо выбранными из атома галогена и алкильного радикала, или также R2, представляющий дифенильный радикал, необязательно замещенный от 1 до 4 раз одним или более заместителями, независимо выбранными из атома галогена и алкильного радикала; R3, представляющий атом водорода. Более предпочтительно, соединения общей формулы (I) являются такими соединениями, которые обладают, по меньшей мере, одной из следующих характеристик; R1, представляющий линейный или разветвленный алкильный радикал, содержащий от 4 до 16 атомов углерода, или циклоалкилалкильный радикал, в котором алкильный радикал содержит от 1 до 4 атомов углерода, или также R1, представляющий аралкильный радикал, в котором алкильный радикал содержит от 1 до 4 атомов углерода, причем указанный аралкильный радикал необязательно замещен по арильной группе от 1 до 3 раз заместителями, независимо выбранными из алкильных радикалов; R2, представляющий фенильный радикал, необязательно замещенный от 1 до 3 раз заместителями, независимо выбранными из атома галогена и алкильного радикала, или также R2, представляющий дифенильный радикал, необязательно замещенный от 1 до 4 раз одним или более атомами галогена; R3, представляющий атом водорода. Еще более предпочтительно, соединения общей формулы (I) являются такими соединениями, которые обладают, по меньшей мере, одной из следующих характеристик: R1, представляющий линейный или разветвленный алкильный радикал, содержащий от 6 до 16 атомов углерода, или циклоалкилалкильный радикал, в котором алкильный радикал содержит от 1 до 4 атомов углерода, или также R1, представляющий аралкильный радикал, в котором алкильный радикал содержит от 1 до 4 атомов углерода, причем указанный аралкильный радикал необязательно замещен по арильной группе от 1 до 3 раз заместителями, независимо выбранными из алкильных радикалов; R2, представляющий фенильный радикал, необязательно замещенный от 1 до 3 раз заместителями, независимо выбранными из атома галогена и алкильного радикала, или также R2, представляющий дифенильный радикал, необязательно замещенный атомом галогена; R3, представляющий атом водорода. В особо предпочтительном варианте соединения общей формулы (I) являются такими соединениями, в которых R1 представляет разветвленный алкильный радикал, содержащий от 6 до 16 атомов углерода, более предпочтительно от 7 до 16 атомов углерода и еще более предпочтительно от 8 до 16 атомов углерода (и в частности от 8 до 12 атомов углерода). Особо предпочтителен вариант, где R1 представляет радикал -CHR4R5, в котором R4 представляет радикал -(СН2)р-СН3 и R5 представляет радикал -(СН2)q-СН3, причем р и q равны целым числам, так что их сумма р+q больше или равна 7 и меньше или равна 16 и предпочтительно больше или равна 8 или 10 и меньше или равна 12 или 16. Также в особо предпочтительном варианте соединения общей формулы (I) являются такими соединениями, в которых R1 представляет циклоалкилалкильный радикал, в котором алкильный радикал предпочтительно содержит от 1 до 4 атомов углерода (причем циклоалкильный радикал предпочтительно представляет циклогексильный радикал). Еще в особо предпочтительном варианте соединения общей формулы (I) являются такими соединениями, в которых R2 представляет дифенильный радикал, необязательно замещенный атомом галогена или алкильным радикалом (и предпочтительно дифенильный радикал, замещенный атомом галогена или алкильным радикалом, в особенности дифенильный радикал, замещенный атомом галогена). Согласно данному изобретению соединения общей формулы (I) можно, в частности, использовать для получения лекарственного средства, предназначенного для лечения или профилактики боли, лечения или профилактики эпилепсии, лечения нарушений сердечного ритма, лечения нарушений, связанных с нейродегенерацией, лечения депрессии и биполярных нарушений, лечения слизистого колита или лечения диабетической ретинопатии. Полученное лекарственное средство предпочтительно предназначено для лечения или профилактики боли или эпилепсии (и более предпочтительно для лечения или профилактики боли). Данное изобретение относится, в частности, к упомянутым выше применениям с использованием следующих соединений общей формулы (I) (описаны в примерах): 4-(1,1′-дифенил-4-ил)-2-(4-изобутилбензил)-1Н-имидазол; 2-гексил-4-(4-изобутилфенил)-1Н-имидазол; 4-фенил-2-(3-фенилпропил)-1Н-имидазол; 2-(1-пентилгексил)-4-фенил-1Н-имидазол; 4-(4-фторфенил)-2-(1-пентилгексил)-1Н-имидазол; 2-(циклогексилметил)-4-(4-фторфенил)-1Н-имидазол; 4-(1,1′-дифенил-4-ил)-2-(1-пентилгексил)-1Н-имидазол; 4-(4-трет-бутилфенил)-2-(1-пропилбутил)-1Н-имидазол; 4-(4-фторфенил)-2-(1-пропилбутил)-1Н-имидазол; 4-(4′-бром-1,1′-дифенил-4-ил)-2-(1-пропилбутил)-1Н-имидазол; 4-(1,1′-дифенил-4-ил)-2-(2-циклогексилэтил)-1Н-имидазол; 4-(1,1′-дифенил-4-ил)-2-гексил-1Н-имидазол; 4-(1,1′-дифенил-4-ил)-2-[1-(4-изобутилфенил)этил]-1Н-имидазол; 4-(4-фторфенил)-2-[1-(4-изобутилфенил)этил]-1Н-имидазол; 4-(1,1′-дифенил-4-ил)-2-(1-фенилэтил)-1Н-имидазол; 4-(1,1′-дифенил-4-ил)-2-(1-пропилбутил)-1Н-имидазол; 4-(1,1′-дифенил-4-ил)-2-(циклогексилметил)-1Н-имидазол; 4-(1,1′-дифенил-4-ил)-2-(3-циклогексилпропил)-1Н-имидазол; а также их фармацевтически приемлемых солей. Для данного применения предпочтительны следующие соединения: 4-(1,1′-дифенил-4-ил)-2-(4-изобутилбензил)-1Н-имидазол; 2-гексил-4-(4-изобутилфенил)-1Н-имидазол; 2-(1-пентилгексил)-4-фенил-1Н-имидазол; 4-(4-фторфенил)-2-(1-пентилгексил)-1Н-имидазол; 4-(1,1′-дифенил-4-ил)-2-(1-пентилгексил)-1Н-имидазол; 4-(4-трет-бутилфенил)-2-(1-пропилбутил)-1Н-имидазол; 4-(1,1′-дифенил-4-ил)-2-(2-циклогексилэтил)-1Н-имидазол; 4-(1,1′-дифенил-4-ил)-2-гексил-1Н-имидазол; 4-(1,1′-дифенил-4-ил)-2-[1-(4-изобутилфенил)этил]-1Н-имидазол; 4-(1,1′-дифенил-4-ил)-2-(1-пропилбутил)-1Н-имидазол; 4-(1,1′-дифенил-4-ил)-2-(циклогексилметил)-1Н-имидазол; 4-(1,1′-дифенил-4-ил)-2-(3-циклогексилпропил)-1Н-имидазол; а также их фармацевтически приемлемые соли. Данное изобретение относится также к соединениям общей формулы (II), в качестве лекарственных средств где R1 представляет линейный или разветвленный алкильный радикал, содержащий от 3 до 16 атомов углерода (и предпочтительно от 4 до 16 атомов углерода и более предпочтительно от 6 до 12 атомов углерода), или циклоалкилалкил, или также R1 представляет аралкильный радикал, необязательно замещенный по арильной группе от 1 до 3 раз заместителями, независимо выбранными из атома галогена и алкильного или алкоксильного радикала; R2 представляет фенильный радикал, необязательно замещенный от 1 до 3 раз заместителями, независимо выбранными из атома галогена и алкильного или алкоксильного радикала, или также R2 представляет дифенильный радикал, необязательно замещенный от 1 до 4 раз одним или более заместителями, независимо выбранными из атома галогена и алкильного или алкоксильного радикала; R3 представляет атом водорода или алкильный радикал; при условии, что – если R2 представляет фенильный радикал, необязательно замещенный от 1 до 3 раз заместителями, независимо выбранными из атома галогена и алкильного или алкоксильного радикала, то R1 не является ни линейным или разветвленным алкильным радикалом, содержащим от 1 до 6 атомов углерода, ни радикалом в котором R9 представляет от одного до трех заместителей, независимо выбранных из атома водорода, атома галогена и линейного или разветвленного алкильного или алкоксильного радикала, содержащего от 1 до 6 атомов углерода, и R10 и R11 независимо выбраны (в частности) из атома водорода и линейного или разветвленного алкильного радикала, содержащего от 1 до 6 атомов углерода; – если R2 представляет незамещенный дифенильный радикал или если R2 представляет фенильный радикал, необязательно замещенный от 1 до 3 раз заместителями, независимо выбранными из атома галогена и одного из линейных или разветвленных алкильных или алкоксильных радикалов, содержащих от 1 до 4 атомов углерода, то R1 не является радикалом -(СН2)n-Z, в котором n равно целому числу от 0 до 3, и Z представляет линейный или разветвленный алкильный радикал, содержащий от 1 до 4 атомов углерода, или фенильный или нафтильный радикал, необязательно замещенный 1-3 заместителями, выбранными из группы, включающей атом галогена и линейные или разветвленные алкильные или алкоксильные радикалы, содержащие от 1 до 4 атомов углерода; а также их фармацевтически приемлемым солям. Данное изобретение относится, в частности, к следующим соединениям общей формулы (II) в качестве лекарственных средств: 2-(1-пентилгексил)-4-фенил-1Н-имидазол; 4-(4-фторфенил)-2-(1-пентилгексил)-1Н-имидазол; 2-(циклогексилметил)-4-(4-фторфенил)-1Н-имидазол; 4-(1,1′-дифенил-4-ил)-2-(1-пентилгексил)-1Н-имидазол; 4-(4-трет-бутилфенил)-2-(1-пропилбутил)-1Н-имидазол; 4-(4-фторфенил)-2-(1-пропилбутил)-1Н-имидазол; 4-(4′-бром-1,1′-дифенил-4-ил)-2-(1-пропилбутил)-1Н-имидазол; 4-(1,1′-дифенил-4-ил)-2-(2-циклогексилэтил)-1Н-имидазол; 4-(1,1′-дифенил-4-ил)-2-[1-(4-изобутилфенил)этил]-1Н-имидазол; 4-(1,1′-дифенил-4-ил)-2-(1-фенилэтил)-1Н-имидазол; 4-(1,1′-дифенил-4-ил)-2-(1-пропилбутил)-1Н-имидазол; 4-(1,1′-дифенил-4-ил)-2-(циклогексилметил)-1Н-имидазол; 4-(1,1′-дифенил-4-ил)-2-(3-циклогексилпропил)-1Н-имидазол; а также их фармацевтически приемлемым солям. Предпочтения, указанные для соединений общей формулы (I), относятся также к соединениям общей формулы (II) с соответствующими изменениями. Данное изобретение относится также к соединениям общей формулы (I) или их фармацевтически приемлемым солям, выбранным из следующих соединений, как лекарственным средствам: 4-(1,1′-дифенил-4-ил)-2-(4-изобутилбензил)-1Н-имидазол; 2-гексил-4-(4-изобутилфенил)-1Н-имидазол; 4-фенил-2-(3-фенилпропил)-1Н-имидазол; 4-(1,1′-дифенил-4-ил)-2-гексил-1Н-имидазол; 4-(4-фторфенил)-2-[1-(4-изобутилфенил)этил]-1Н-имидазол; а также их фармацевтически приемлемым солям. Кроме того, данное изобретение относится также к соединениям общей формулы (III) где R1 представляет линейный или разветвленный алкильный радикал, содержащий от 3 до 16 атомов углерода (предпочтительно от 4 до 16 атомов углерода и более предпочтительно от 6 до 12 атомов углерода), или циклоалкилалкил, или также R1 представляет аралкильный радикал, необязательно замещенный по арильной группе от 1 до 3 раз заместителями, независимо выбранными из атома галогена и алкильного или алкоксильного радикала; R2 представляет фенильный радикал, необязательно замещенный от 1 до 3 раз заместителями, независимо выбранными из атома галогена и алкильного или алкоксильного радикала, или также R2 представляет дифенильный радикал, необязательно замещенный от 1 до 4 раз одним или более заместителями, независимо выбранными из атома галогена и алкильного или алкоксильного радикала; R3 представляет атом водорода или алкильный радикал; при условии, что – если R2 представляет незамещенный дифенильный радикал или если R2 представляет фенильный радикал, необязательно замещенный от 1 до 3 раз заместителями, независимо выбранными из атома галогена и одного из линейных или разветвленных алкильных или алкоксильных радикалов, содержащих от 1 до 4 атомов углерода, то R1 не является радикалом -(СН2)n-Z, в котором n равно целому числу от 0 до 3, и Z представляет линейный или разветвленный алкильный радикал, содержащий от 1 до 4 атомов углерода, или фенильный или нафтильный радикал, необязательно замещенный 1-3 заместителями, выбранными из группы, включающей атом галогена и линейные или разветвленные алкильные или алкоксильные радикалы, содержащие от 1 до 4 атомов углерода; и – если R2 представляет фенильный радикал, необязательно замещенный от 1 до 3 раз заместителями, независимо выбранными из атома галогена и алкильного или алкоксильного радикала, то R1 не является ни линейным или разветвленным алкильным радикалом, содержащим от 1 до 6 атомов углерода, ни радикалом в котором R9 представляет от одного до трех заместителей, независимо выбранных из атома водорода, атома галогена и линейного или разветвленного алкильного или алкоксильного радикала, содержащего от 1 до 6 атомов углерода, и R10 и R11 независимо выбраны (в частности) из атома водорода и линейного или разветвленного алкильного радикала, содержащего от 1 до 6 атомов углерода; а также их солям. Данное изобретение относится, в частности, к следующим соединениям общей формулы (III) в качестве новых промышленных продуктов: 2-(1-пентилгексил)-4-фенил-1Н-имидазол; 4-(4-фторфенил)-2-(1-пентилгексил)-1Н-имидазол; 2-(циклогексилметил)-4-(4-фторфенил)-1Н-имидазол; 4-(1,1′-дифенил-4-ил)-2-(1-пентилгексил)-1Н-имидазол; 4-(4-трет-бутилфенил)-2-(1-пропилбутил)-1Н-имидазол; 4-(4-фторфенил)-2-(1-пропилбутил)-1Н-имидазол; 4-(4′-бром-1,1′-дифенил-4-ил)-2-(1-пропилбутил)-1Н-имидазол; 4-(1,1′-дифенил-4-ил)-2-(2-циклогексилэтил)-1Н-имидазол; 4-(1,1′-дифенил-4-ил)-2-[1-(4-изобутилфенил)этил]-1Н-имидазол; 4-(1,1′-дифенил-4-ил)-2-(1-фенилэтил)-1Н-имидазол; 4-(1,1′-дифенил-4-ил)-2-(1-пропилбутил)-1Н-имидазол; 4-(1,1′-дифенил-4-ил)-2-(циклогексилметил)-1Н-имидазол; 4-(1,1′-дифенил-4-ил)-2-(3-циклогексилпропил)-1Н-имидазол; или их солям. Предпочтения, указанные для соединений общей формулы (I), относятся также к соединениям общей формулы (III) с соответствующими изменениями, однако за исключением солей, которые необязательно являются фармацевтически приемлемыми солями. Данное изобретение относится также к соединениям общей формулы (I) или их солям в качестве новых промышленных продуктов, выбранных из следующих: 4-(1,1′-дифенил-4-ил)-2-(4-изобутилбензил)-1Н-имидазол; 2-гексил-4-(4-изобутилфенил)-1Н-имидазол; 4-фенил-2-(3-фенилпропил)-1Н-имидазол; 4-(1,1′-дифенил-4-ил)-2-гексил-1Н-имидазол; 4-(4-фторфенил)-2-[1-(4-изобутилфенил)этил]-1Н-имидазол и их солям. Кроме того, данное изобретение относится также к фармацевтическим композициям, содержащим в качестве активного ингредиента, по меньшей мере, одно соединение общей формулы (II) или (III), как определено ранее, или фармацевтически приемлемую соль такого соединения. Предметом данного изобретения являются также фармацевтические композиции, содержащие в качестве активного ингредиента, по меньшей мере, одно соединение, описанное в примерах 1-18 (иногда в виде соли), или фармацевтически приемлемую соль такого соединения. Данное изобретение относится также, в частности, к фармацевтическим композициям, содержащим в качестве активного ингредиента соединение общей формулы (I) или одну из его фармацевтически приемлемых солей, выбранных из следующих: 4-(1,1′-дифенил-4-ил)-2-(4-изобутилбензил)-1Н-имидазол; 2-гексил-4-(4-изобутилфенил)-1Н-имидазол; 4-фенил-2-(3-фенилпропил)-1Н-имидазол; 4-(1,1′-дифенил-4-ил)-2-гексил-1Н-имидазол; 4-(4-фторфенил)-2-[1-(4-изобутилфенил)этил]-1Н-имидазол и их фармацевтически приемлемые соли. Данное изобретение относится также к применению соединения общей формулы (II) или (III), как определено ранее, или фармацевтически приемлемой соли такого соединения для получения лекарственного средства, предназначенного для модулирования натриевых каналов. Что касается лекарственных средств, фармацевтических композиций и указанных выше применений, предпочтения, описанные для соединений общей формулы (I), относятся к соединениям общих формул (II) и (III) с соответствующими изменениями. Фармацевтические композиции, содержащие соединение данного изобретения, могут быть в твердом виде, например в виде порошка, гранул, таблеток, желатиновых капсул, липосом или суппозиториев. Подходящими твердыми носителями (supports) могут быть, например, фосфат кальция, стеарат магния, тальк, сахара, лактоза, декстрин, крахмал, желатин, целлюлоза, метилцеллюлоза, натрийкарбоксиметилцеллюлоза, поливинилпирролидон и воски. Фармацевтические композиции, содержащие соединение данного изобретения, могут быть также в жидком виде, например в виде растворов, эмульсий, суспензий или сиропов. Подходящими жидкими носителями могут быть, например, вода, органические растворители, такие как глицерин или гликоли, а также их смеси в воде при различных пропорциях. Введение лекарственного средства по данному изобретению можно проводить локальным, пероральным, парентеральным способом, путем внутримышечной инъекции и др. Дозировка продукта по настоящему изобретению, необходимая для лечения указанных выше заболеваний или нарушений, меняется в соответствии со способом введения, возрастом и массой тела пациента, подлежащего лечению, а также с состоянием последнего и окончательно будет определяться лечащим врачом или ветеринаром. Таким образом, количество, определяемое лечащим врачом или ветеринаром, называют здесь «терапевтически эффективным количеством». Как указание, вводимая доза, рассматриваемая для лекарственных средств данного изобретения, составляет от 0,1 мг до 10 г в зависимости от типа используемого активного соединения. Согласно данному изобретению соединения общей формулы (I) можно получить описанными далее способами. ПОЛУЧЕНИЕ СОЕДИНЕНИЙ ДАННОГО ИЗОБРЕТЕНИЯ Соединения общей формулы (I) можно получить согласно методикам, аналогичным описанным в заявке WO 01/26656, и/или согласно методикам, объясненным здесь далее. Все соединения общей формулы (II) или (III), конечно, можно получить таким же способом, как соединения общей формулы (I). Согласно данному изобретению соединения общей формулы (I) можно получить путем синтеза, суммированного далее на схеме 1. Схема 1 Согласно данному способу получения кислоты общей формулы (IV) можно циклизовать в виде имидазольных производных общей формулы (I), схема 1, добавляя карбонат цезия, с последующей конденсацией с Получение некоторых кислот общей формулы (IV) Кислоты общей формулы (IV)1 где R4, R5 и R6 независимо представляют атомы водорода или алкильный радикал, и n предпочтительно равно целому числу от 1 до 6, можно получить по реакции Вильгеродта-Киндлера, как показано ниже на схеме 2. Арилкетоны общей формулы (VI), где R4, R5 и R6 имеют такие же значения, как указано для общей формулы (IV)1, обрабатывают серой в присутствии избытка первичного или вторичного амина (например, морфолина) при нагревании. После охлаждения до температуры окружающей среды и концентрирования досуха добавляют раствор бромистоводородной кислоты в уксусной кислоте и получают требуемую кислоту. Получение
Если не определено по-другому, все используемые здесь технические и научные термины имеют такие же значения, которые обычно приняты специалистами в данной области, к которой относится данное изобретение. Аналогично, все публикации, патентные заявки, все патенты и все другие ссылки, упоминаемые здесь, включены в виде ссылок. Следующие примеры представлены для иллюстрации указанных выше методик и никоим образом не должны рассматриваться как ограничение объема изобретения. ПРИМЕРЫ Пример 1: 4-(1,1′-дифенил-4-ил)-2-(4-изобутилбензил)-1Н-имидазол 1.1) (4-изобутилфенил)уксусная кислота Смесь, содержащую пара-изобутилацетофенон (7 г, 40 ммоль), 10 мл морфолина и серу (2,45 г, 78 ммоль), подвергают кипячению с обратным холодильником в течение 18 ч. Затем концентрируют реакционную среду досуха и добавляют 50 мл 33% раствора бромистоводородной кислоты в уксусной кислоте. Полученную смесь нагревают при кипении с обратным холодильником в течение 3 ч, затем снижают температуру обратно до 23°С. Реакционную среду, к которой добавляют маленькими порциями толуол, снова концентрируют досуха. Остаток переносят в ацетон и отфильтровывают соли на фритте. Добавляют животный уголь и нагревают суспензию при кипении с обратным холодильником в течение двух часов с последующим фильтрованием через целит, фильтрат концентрируют досуха до перегонки в вакууме (Р 0,7 тор; Т 125-130°С). Окрашенное в желтый цвет твердое вещество получают при температуре окружающей среды (выход 33%). Т. пл. 78-80°С. 1.2) 4-(1,1′-дифенил-4-ил)-2-(4-изобутилбензил)-1Н-имидазол Полученную выше смесь, содержащую промежуточный продукт 1.1 (1,2 г, 6,76 ммоль) с карбонатом цезия (1,1 г, 3,38 ммоль) в 30 мл метанола, перемешивают при температуре окружающей среды в течение одного часа. Растворитель выпаривают, затем переносят остаток в 30 мл диметилформамида. Далее добавляют 2-бром-4′-фенилацетофенон (1,85 г, 6,76 ммоль) и смесь оставляют на 18 ч при перемешивании. Реакционную среду концентрируют досуха и переносят остаток в 80 мл ксилола. После фильтрования на фритте добавляют к фильтрату ацетат аммония (10,4 г, 135 ммоль). Полученную смесь нагревают при кипении с обратным холодильником в течение 2 час., удаляя воду при помощи устройства Дина Старка. Охладив реакционную смесь обратно до температуры окружающей среды, выливают ее в воду со льдом. Ацетат аммония нейтрализуют насыщенным раствором NaHCO3 до того, как фазы оставляют осаждаться, и экстрагируют, применяя этилацетат. Затем органическую фазу обрабатывают насыщенным раствором хлорида натрия, сушат над сульфатом магния и концентрируют досуха. После очистки на колонке с диоксидом кремния (элюент: этил-гептанацетат: от 2-8 до 6-4) получают окрашенный в желтый цвет порошок (выход 52%). Т. пл. 160-161°С. МН+=367,3. Пример 2: 2-гексил-4-(4-изобутилфенил)-1Н-имидазол 2.1) 2-бром-1-(4-изобутилфенил)этанон Бром (1,25 мл, 25 ммоль) добавляют по капле к раствору 4′-изобутилацетофенона (3,52 г, 20 ммоль) в 60 мл этанола, охлажденному примерно до 5°С. После перемешивания реакционной смеси в течение 30 мин при данной температуре, продолжают перемешивание при температуре окружающей среды в течение одного часа. Реакционную среду, к которой добавляют маленькими порциями толуол, концентрируют досуха. После очистки на колонке с диоксидом кремния (элюент: этил-гептанацетат: 5-95) получают бесцветное масло с выходом 57%. ЯМР 1Н (400 МГц): 0,85 (д, 6Н); 1,84-192 (с, 1Н); 2,53 (д, 2Н); 4,89 (с, 2Н); 7,33 (д, 2Н); 7,93 (д, 2Н). 2.2) 2-гексил-4-(4-изобутилфенил)-1Н-имидазол Данное соединение получают согласно способу обработки, аналогичному описанному для стадии 1.2 примера 1. Получают порошок белого цвета с выходом 38%. Т. пл. 89-90°С. МН+=285,2. Соединения примеров 3-18 получают из коммерческих продуктов согласно способам, аналогичным способам примеров 1 и 2, необязательно завершаемым общими способами обработки, описанными в части «Получение соединений данного изобретения» (в частности в отношении бромирования по Пример 3: 4-фенил-2-(3-фенилпропил)-1Н-имидазол Белый порошок. Т. пл. 106-108°С. Пример 4: 2-(1-пентилгексил)-4-фенил-1Н-имидазол Белый порошок. Т. пл. 111,2°С. Пример 5: 4-(4-фторфенил)-2-(1-пентилгексил)-1Н-имидазол Белый порошок. Т. пл. 134,6°С. Пример 6: 2-(циклогексилметил)-4-(4-фторфенил)-1Н-имидазол Светло-желтая пена. Т. пл. 68-70°С. Пример 7: 4-(1,1′-дифенил-4-ил)-2-(1-пентилгексил)-1Н-имидазол Светло-кремовый порошок. Т. пл. 173,6°С. Пример 8: 4-(4-трет-бутилфенил)-2-(1-пропилбутил)-1Н-имидазол Белый порошок. Т. пл. 200-202°С. Пример 9: 4-(4-фторфенил)-2-(1-пропилбутил)-1Н-имидазол Светло-кремовый порошок. Т. пл. 217,5°С. Пример 10: 4-(4′-бром-1,1′-дифенил-4-ил)-2-(1-пропилбутил)-1Н-имидазол Светло-кремовый порошок. Т. пл. 182,8°С. Пример 11: 4-(1,1′-дифенил-4-ил)-2-(2-циклогексилэтил)-1Н-имидазол Светло-кремовый порошок. Т. пл. 104,9°С. Пример 12: 4-(1,1′-дифенил-4-ил)-2-гексил-1Н-имидазол Светло-кремовый порошок. Т. пл. 104,8°С. Пример 13: 4-(1,1′-дифенил-4-ил)-2-[1-(4-изобутилфенил)этил]-1Н-имидазол Светло-желтый порошок. Т. пл. 172,7°С. Пример 14: 4-(4-фторфенил)-2-[1-(4-изобутилфенил)этил]-1Н-имидазол Светло-кремовый порошок. Т. пл. 116°С. Пример 15: 4-(1,1′-дифенил-4-ил)-2-(1-фенилэтил)-1Н-имидазол Светло-желтый порошок. Т. пл. 165-166°С. Пример 16: 4-(1,1′-дифенил-4-ил)-2-(1-пропилбутил)-1Н-имидазол Светло-желтый порошок. Т. пл. 197-198°С. Пример 17: 4-(1,1′-дифенил-4-ил)-2-(циклогексилметил)-1Н-имидазол Светло-кремовый порошок. Т. пл. 104-105°С. Пример 18: 4-(1,1′-дифенил-4-ил)-2-(3-циклогексилпропил)-1Н-имидазол Светло-кремовый порошок. Т. пл. 118-119°С. Фармакологическое исследование продуктов данного изобретения Исследование связывания на натриевых каналах коры головного мозга крыс Исследование состоит в измерении взаимодействия данных соединений по отношению к связыванию меченного тритием батрахотоксина на зависящих от напряжения натриевых каналах в соответствии с протоколом, описанным Brown (J. Neurosci. (1986), 6, 2064-2070). Получение гомогенатов коры головного мозга крысы У крыс Sprague-Dawley массой 230-250 г извлекают кору головного мозга (Charle River, France), взвешивают и гомогенизируют, используя мельницу Поттера (Potter), снабженную тефлоновым поршнем (10 ударов), в 10 объемах буфера для выделения следующего состава (сахароза 0,32 М, K2HPO4 5 мМ, рН 7,4). Гомогенат подвергают первому центрифугированию при 1000 g в течение 10 мин. Супернатант удаляют и центрифугируют при 20000 g в течение 15 мин. Осадок после центрифугирования извлекают в буфер для выделения и центрифугируют при 20000 g в течение 15 мин. Полученный после центрифугирования осадок повторно суспендируют в инкубационном буфере (HEPES 50 мМ, KCl 5,4 мМ, MgSO4 0,8 мМ, глюкоза 5,5 мМ, холинхлорид 130 мМ, рН 7,4), затем делят на аликвоты и хранят при -80оС до дня исследования. Конечная концентрация белка составляет от 4 до 8 мг/мл. Исследование белков проводят, используя набор, продаваемый BioRad (France). Измерение связывания меченного тритием батрахотоксина Реакцию связывания проводят путем инкубации в течение 1 ч 30 мин при 25°С 100 мкл гомогената коры головного мозга крыс, содержащего 75 мг белков, с 100 мкл [3H] батрахотоксин-А 20-альфа бензоата (37,5 Кю/ммоль, NEN) при 5 нМ (конечная концентрация), 200 мкл тетродотоксина при 1 мкМ (конечная концентрация) и яда скорпиона при 40 мкг/мл (конечная концентрация) и 100 мкл инкубационного буфера, самого по себе или в присутствии продуктов, подлежащих исследованию, при различных концентрациях. Неспецифическое связывание определяют в присутствии 300 мкМ вератридина и величину данного неспецифического связывания вычитают из всех других величин. Затем образцы фильтруют, используя Brandel (Gaithersburg, Maryland, USA), применяя планшеты GF/C, предварительно инкубированные с 0,1% полиэтиленимином (20 мкл/ячейка) и дважды промытые 2 мл фильтрационного буфера (HEPES 5 мМ, CaCl2 1,8 мМ, MgSO4 0,8 мМ, холинхлорид 130 мМ, BSA 0,01%, рН 7,4). После добавления 20 мкл Microscint 0® подсчитывают радиоактивность, используя жидкостной сцинтилляционный счетчик (Topcount, Packard). Измерение проводят дважды. Результаты выражены в % специфического связывания меченного тритием батрахотоксина относительно контроля. Результаты Описанные выше соединения примеров 1-8 и 10-18 все имеют IC50, ниже или равную 1 мкМ.
Формула изобретения
1. Применение соединения общей формулы (I)
где R1 представляет линейный или разветвленный алкильный радикал, содержащий от 3 до 16 атомов углерода, или циклоалкилалкильный радикал, циклоалкильный радикал которого содержит от 3 до 7 атомов углерода и алкильный радикал которого является линейным или разветвленным и содержит от 1 до 6 атомов углерода, или также R1 представляет аралкильный радикал, необязательно замещенный по арильной группе от 1 до 3 раз заместителями, независимо выбранными из атома галогена и линейного или разветвленного алкильного или алкоксильного радикала, содержащего от 1 до 6 атомов углерода; R2 представляет фенильный радикал, необязательно замещенный от 1 до 3 раз заместителями, независимо выбранными из атома галогена и линейного или разветвленного алкильного или алкоксильного радикала, содержащего от 1 до 6 атомов углерода, или также R2 представляет дифенильный радикал, необязательно замещенный от 1 до 4 раз одним или более заместителями, независимо выбранными из атома галогена и линейного или разветвленного алкильного или алкоксильного радикала, содержащего от 1 до 6 атомов углерода; R3 представляет атом водорода или линейный или разветвленный алкильный радикал, содержащий от 1 до 6 атомов углерода; или фармацевтически приемлемой соли этого соединения для получения лекарственного средства, предназначенного для модулирования натриевых каналов. 2. Применение по п.1, отличающееся тем, что полученное лекарственное средство предназначено для лечения или профилактики боли, лечения эпилепсии, лечения нарушений сердечного ритма, лечения нарушений, связанных с нейродегенерацией, лечения депрессии и биполярных нарушений, или лечения слизистого колита. 3. Применение по п.2, отличающееся тем, что полученное лекарственное средство предназначено для лечения или профилактики боли или эпилепсии. 4. Применение по любому из пп.1-3, отличающееся тем, что используемое соединение представляет одно из следующих соединений: 4-(1,1′-дифенил-4-ил)-2-(4-изобутилбензил)-1Н-имидазол; 2-гексил-4-(4-изобутилфенил)-1Н-имидазол; 4-фенил-2-(3-фенилпропил)-1Н-имидазол; 2-(1-пентилгексил)-4-фенил-1Н-имидазол; 4-(4-фторфенил)-2-(1-пентилгексил)-1Н-имидазол; 2-(циклогексилметил)-4-(4-фторфенил)-1Н-имидазол; 4-(1,1′-дифенил-4-ил)-2-(1-пентилгексил)-1Н-имидазол; 4-(4-трет-бутилфенил)-2-(1-пропилбутил)-1Н-имидазол; 4-(4-фторфенил)-2-(1-пропилбутил)-1Н-имидазол; 4-(4′-бром-1,1′-дифенил-4-ил)-2-(1-пропилбутил)-1Н-имидазол; 4-(1,1′-дифенил-4-ил)-2-(2-циклогексилэтил)-1Н-имидазол; 4-(1,1′-дифенил-4-ил)-2-гексил-1Н-имидазол; 4-(1,1′-дифенил-4-ил)-2-[1-(4-изобутилфенил)этил]-1Н-имидазол; 4-(4-фторфенил)-2-[1-(4-изобутилфенил)этил]-1Н-имидазол; 4-(1,1′-дифенил-4-ил)-2-(1-фенилэтил)-1Н-имидазол; 4-(1,1′-дифенил-4-ил)-2-(1-пропилбутил)-1Н-имидазол; 4-(1,1′-дифенил-4-ил)-2-(циклогексилметил)-1Н-имидазол; 4-(1,1′-дифенил-4-ил)-2-(3-циклогексилпропил)-1Н-имидазол, или фармацевтически приемлемую соль одного из них. 5. Применение по п.4, отличающееся тем, что используемое соединение представляет одно из следующих соединений: 4-(1,1′-дифенил-4-ил)-2-(4-изобутилбензил)-1Н-имидазол; 2-гексил-4-(4-изобутилфенил)-1Н-имидазол; 2-(1-пентилгексил)-4-фенил-1Н-имидазол; 4-(4-фторфенил)-2-(1-пентилгексил)-1Н-имидазол; 4-(1,1′-дифенил-4-ил)-2-(1-пентилгексил)-1Н-имидазол; 4-(4-трет-бутилфенил)-2-(1-пропилбутил)-1Н-имидазол; 4-(1,1′-дифенил-4-ил)-2-(2-циклогексилэтил)-1Н-имидазол; 4-(1,1′-дифенил-4-ил)-2-гексил-1Н-имидазол; 4-(1,1′-дифенил-4-ил)-2-[1-(4-изобутилфенил)этил]-1Н-имидазол; 4-(1,1′-дифенил-4-ил)-2-(1-пропилбутил)-1Н-имидазол; 4-(1,1′-дифенил-4-ил)-2-(циклогексилметил)-1Н-имидазол; 4-(1,1′-дифенил-4-ил)-2-(3-циклогексилпропил)-1Н-имидазол, или фармацевтически приемлемую соль одного из них. 6. Соединение общей формулы (III) где R1 представляет линейный или разветвленный алкильный радикал, содержащий от 3 до 16 атомов углерода, или циклоалкилалкильный радикал, циклоалкильный радикал которого содержит от 3 до 7 атомов углерода и алкильный радикал которого является линейным или разветвленным и содержит от 1 до 6 атомов углерода, или также R1 представляет аралкильный радикал, необязательно замещенный по арильной группе от 1 до 3 раз заместителями, независимо выбранными из атома галогена и линейного или разветвленного алкильного или алкоксильного радикала, содержащего от 1 до 6 атомов углерода; R2 представляет фенильный радикал, необязательно замещенный от 1 до 3 раз заместителями, независимо выбранными из атома галогена и линейного или разветвленного алкильного или алкоксильного радикала, содержащего от 1 до 6 атомов углерода, или также R2 представляет дифенильный радикал, необязательно замещенный от 1 до 4 раз одним или более заместителями, независимо выбранными из атома галогена и линейного или разветвленного алкильного или алкоксильного радикала, содержащего от 1 до 6 атомов углерода; R3 представляет атом водорода или линейный или разветвленный алкильный радикал, содержащий от 1 до 6 атомов углерода; при условии, что если R2 представляет фенильный радикал, необязательно замещенный от 1 до 3 раз заместителями, независимо выбранными из атома галогена и алкильного или алкоксильного радикала, то R1 не является ни линейным или разветвленным алкильным радикалом, содержащим от 1 до 6 атомов углерода, ни радикалом в котором R9 представляет от одного до трех заместителей, независимо выбранных из атома водорода, атома галогена и линейного или разветвленного алкильного или алкоксильного радикала, содержащего от 1 до 6 атомов углерода, и R10 и R11 независимо выбраны (в частности) из атома водорода и линейного или разветвленного алкильного радикала, содержащего от 1 до 6 атомов углерода; если R2 представляет незамещенный дифенильный радикал или если R2 представляет фенильный радикал, необязательно замещенный от 1 до 3 раз заместителями, независимо выбранными из атома галогена и одного из линейных или разветвленных алкильных или алкоксильных радикалов, содержащих от 1 до 4 атомов углерода, то R1 не является радикалом -(CH2)n-Z, в котором n равно целому числу от 0 до 3, и Z представляет линейный или разветвленный алкильный радикал, содержащий от 1 до 4 атомов углерода, или фенильный или нафтильный радикал, необязательно замещенный 1-3 заместителями, выбранными из группы, включающей атом галогена и линейные или разветвленные алкильные или алкоксильные радикалы, содержащие от 1 до 4 атомов углерода, или соль одного из данных соединений. 7. Соединение по п.6, отличающееся тем, что выбрано из следующих соединений: 2-(1-пентилгексил)-4-фенил-1Н-имидазол; 4-(4-фторфенил)-2-(1-пентилгексил)-1Н-имидазол; 2-(циклогексилметил)-4-(4-фторфенил)-1Н-имидазол; 4-(1,1′-дифенил-4-ил)-2-(1-пентилгексил)-1Н-имидазол; 4-(4-трет-бутилфенил)-2-(1-пропилбутил)-1Н-имидазол; 4-(4-фторфенил)-2-(1-пропилбутил)-1Н-имидазол; 4-(4′-бром-1,1′-дифенил-4-ил)-2-(1-пропилбутил)-1Н-имидазол; 4-(1,1′-дифенил-4-ил)-2-(2-циклогексилэтил)-1Н-имидазол; 4-(1,1′-дифенил-4-ил)-2-[1-(4-изобутилфенил)этил]-1Н-имидазол; 4-(1,1′-дифенил-4-ил)-2-(1-фенилэтил)-1Н-имидазол; 4-(1,1′-дифенил-4-ил)-2-(1-пропилбутил)-1Н-имидазол; 4-(1,1′-дифенил-4-ил)-2-(циклогексилметил)-1Н-имидазол; 4-(1,1′-дифенил-4-ил)-2-(3-циклогексилпропил)-1Н-имидазол, и солей данных соединений. 8. Соединение по п.6 в качестве лекарственного средства. 9. Соединение по п.8, отличающееся тем, что представляет одно из следующих соединений: 2-(1-пентилгексил)-4-фенил-1Н-имидазол; 4-(4-фторфенил)-2-(1-пентилгексил)-1Н-имидазол; 2-(циклогексилметил)-4-(4-фторфенил)-1Н-имидазол; 4-(1,1′-дифенил-4-ил)-2-(1-пентилгексил)-1Н-имидазол; 4-(4-трет-бутилфенил)-2-(1-пропилбутил)-1Н-имидазол; 4-(4-фторфенил)-2-(1-пропилбутил)-1Н-имидазол; 4-(4′-бром-1,1′-дифенил-4-ил)-2-(1-пропилбутил)-1Н-имидазол; 4-(1,1′-дифенил-4-ил)-2-(2-циклогексилэтил)-1Н-имидазол; 4-(1,1′-дифенил-4-ил)-2-[1-(4-изобутилфенил)этил]-1Н-имидазол; 4-(1,1′-дифенил-4-ил)-2-(1-фенилэтил)-1Н-имидазол; 4-(1,1′-дифенил-4-ил)-2-(1-пропилбутил)-1Н-имидазол; 4-(1,1′-дифенил-4-ил)-2-(циклогексилметил)-1Н-имидазол; 4-(1,1′-дифенил-4-ил)-2-(3-циклогексилпропил)-1Н-имидазол, или фармацевтически приемлемую соль одного из последних. 10. Соединение общей формулы (I) как определено в п.1 или соль такого соединения, отличающееся тем, что выбрано из 4-(1,1′-дифенил-4-ил)-2-(4-изобутилбензил)-1Н-имидазол; 2-гексил-4-(4-изобутилфенил)-1Н-имидазол; 4-фенил-2-(3-фенилпропил)-1Н-имидазол; 4-(1,1′-дифенил-4-ил)-2-гексил-1Н-имидазол; 4-(4-фторфенил)-2-[1-(4-изобутилфенил)этил]-1Н-имидазол и их солей.
|
||||||||||||||||||||||||||

АППЛИКАСЬОН СЬЕНТИФИК (С.К.Р.А.С.) (FR)




представляет один из радикалов NR46R47 или OR48, где R46 и R47 независимо представляют (в частности) атом водорода или алкильный, циклоалкильный или циклоалкилалкильный радикал, и R48 представляет атом водорода или алкильный радикал.








-галогенкетоном общей формулы (V), добавляя далее большой избыток ацетата аммония (например, 15 или 20 эквивалентов на эквивалент кислоты общей формулы (IV)). Данное взаимодействие предпочтительно проводить в смеси ксилолов и при нагревании (можно также, если необходимо, одновременно удалять образовавшуюся при взаимодействии воду).



