|
|
(21), (22) Заявка: 2004102687/04, 01.07.2002
(24) Дата начала отсчета срока действия патента:
01.07.2002
(30) Конвенционный приоритет:
02.07.2001 FI 20011439 02.07.2001 US 60/301,788
(43) Дата публикации заявки: 20.03.2005
(46) Опубликовано: 27.03.2007
(56) Список документов, цитированных в отчете о поиске:
WO 9963344 А1, 09.12.1999. PEKKA HANNINEN ET AL. “A new microvolume technique for bioaffinity assays using two-photon excitation”. – Nature Biotechnology, v.18, 2000, p.548-550. US 4774339 A, 27.09.1988. RU 2089912 C1, 10.09.1997.
(85) Дата перевода заявки PCT на национальную фазу:
02.02.2004
(86) Заявка PCT:
FI 02/00586 (01.07.2002)
(87) Публикация PCT:
WO 03/005030 (16.01.2003)
Адрес для переписки:
129010, Москва, ул. Б.Спасская, 25, стр.3, ООО “Юридическая фирма Городисский и Партнеры”, пат.пов. Е.Е.Назиной, рег. № 517
|
(72) Автор(ы):
МЕЛЬТОЛА Нико (FI), СОЙНИ Алекси (FI)
(73) Патентообладатель(и):
АРКТИК ДИАГНОСТИКС ОЙ (FI)
|
(54) КРАСИТЕЛИ НА ОСНОВЕ ДИФТОРИДА ДИПИРРОМЕТЕНБОРА С ДВУХФОТОННЫМ ПОГЛОЩЕНИЕМ И ИХ ПРИМЕНЕНИЕ
(57) Реферат:
Изобретение относится к биоаналитическим способам с использованием индикаторов, меченных красителем. Описывается биоаналитический способ без разделения для измерения аналита из биологической жидкости или суспензии, в котором используют микрочастицы аналита в качестве первого биоспецифического реагента, второй биоспецифический реагент, меченный двухфотонным флуоресцентным красителем на основе дифторида дипиррометенбора, содержащего, по меньшей мере, одну группу, придающую водорастворимость, выбранную из группы, включающей соль аммония или щелочного металла сульфоновой или карбоновой кислоты и, по меньшей мере, одну химически активную группу, выбранную из группы, включающей карбоновую кислоту, реакционноспособный эфир карбоновой кислоты, ангидрид карбоновой кислоты, малеимид, амин и изотиоцианат, при этом в указанном способе фокусируют лазер в реакционную суспензию, измеряют двухфотонно-возбуждаемую флуоресценцию от отдельных микрочастиц при их произвольном течении, или направляемых давлением излучения возбуждающего лазера через фокальный объем лазерного луча. Использование в способе указанного дифторида дипиррометенбора обеспечивает повышенную эффективность биоанализов. 4 з.п. ф-лы, 5 ил., 5 табл.
Область изобретения
Настоящее изобретение относится к красителям на основе дифторида дипиррометенбора и к применению этих красителей при двухфотонном возбуждении. Кроме того, настоящее изобретение относится к применению красителей на основе дифторида дипиррометенбора и их конъюгатов в биоаналитических анализах, основанных на двухфотонном возбуждении.
Предпосылки изобретения
Публикации и другие материалы, используемые в данном описании для иллюстрации предпосылок изобретения, и, в частности, документы, содержащие дополнительные подробности, касающиеся практического осуществления, включены в данное описание посредством ссылки.
Красители на основе дифторида дипиррометенбора
Красители на основе дифторида дипиррометенбора впервые были описаны Treibs and Krauzer, Liebigs Ann.Chem. 718 (1968) 208, а также Wories H.J. et al., Recl.Trav.Chim.Pays-Bas 104 (1985) 288. С тех пор красители на основе дифторида дипиррометенбора нашли различные применения. Красители на основе дифторида дипиррометенбора демонстрируют сильную флуоресценцию в видимой области спектра. Красители на основе дифторида дипиррометенбора обладают следующими общими характеристиками: высоким квантовым выходом, резкими полосами поглощения и испускания и высоким коэффициентом поглощения. В настоящее время коммерчески доступно широкое разнообразие красителей на основе дифторида дипиррометенбора (Haugland R.P., Handbook of Fluorescent Probes and Research Chemicals, 6th ed, Molecular Probes, Eugene, OR, 1996). Синтез и характеристики флуоресценции этих красителей были описаны в публикациях и патентах. US 4916711, US 5189029, US 5446157 и ЕР 0361936 на имя Morgan and Boyer описывают применение красителей на основе дифторида дипиррометенбора в фотодинамической терапии (PDT) и для получения лазерного излучения. В соответствии с Morgan and Boyer, красители на основе дифторида дипиррометенбора обладают низким триплет-триплетным поглощением, что вместе с низким порогом действия лазера позволяет получить лазерный луч более высокой интенсивности, чем при использовании традиционных лазерных красителей. Более того, высокая фотохимическая стойкость этих красителей обеспечивает уменьшенное разложение вещества красителя.
Флуоресцентные красители широко используются в методах флуоресцентной микроскопии в качестве индикаторной метки для локализации биологических структур, в методах флуоресцентного иммуноанализа для количественного определения аналитических образцов, для проточного цитометрического анализа клеток и для многих других целей. Обычно такие флуоресцентные красители прикрепляются к биомолекулам через ковалентную связь. Для такого мечения этим красителям необходима функциональная группа, которая может взаимодействовать с другой функциональной группой в биомолекуле. Традиционно используемые реакционноспособные функциональные группы включают реакционноспособные сложные эфиры карбоновых кислот, ангидриды кислот, гидразины и изотиоцианаты. US 4774339 описывает использование красителей на основе дифторида дипиррометенбора в качестве флуоресцентных меток. В соответствии с US 4774339 обладающие флуоресцентными свойствами красители на основе дифторида дипиррометенбора не обладают чувствительностью к растворителю или рН. Эти красители также имеют узкие полосы поглощения и испускания, высокий квантовый выход и высокую светостойкость.
Основной хромофор (I) красителя на основе дифторида дипиррометенбора имеет пик поглощения и испускания при около 500 нм.

Основной хромофор красителя на основе дифторида дипиррометенбора
Длины волн спектра поглощения и испускания красителей на основе дифторида дипиррометенбора обычно могут меняться при замене заместителей хромофора. Удлинение цепи -электронного сопряжения ведет к сдвигу полос испускания и поглощения к большим длинам волн. Удлинение цепи -электронного сопряжения также влияет на светостойкость, растворимость и квантовый выход флуоресценции. US 5274113, US 5451663 и WO 93/09185 описывают агенты мечения на основе дифторида дипиррометенбора, которые имеют пик поглощения между 525 нм и 650 нм. Такой сдвиг в длине волн поглощения и испускания достигали путем добавления ненасыщенной органической группы в хромофор. Указанные патенты описывают использование арильного, гетероарильного и алкенильного заместителей для удлинения цепи -электронного сопряжения. US 5248782 описывает красители на основе гетероарил-замещенного дифторида дипиррометенбора, а US 5187288 описывает красители на основе этенил-замещенного дифторида дипиррометенбора, которые имеют пик поглощения между 550 и 670 нм. Сдвиг в длине волн поглощения и испускания в большинстве случаев сопровождался повышением коэффициента поглощения и светостойкости. Удлинение цепи -электронного сопряжения также описано Chen J. et al., J.Org.Chem., 65 (2000) 2900. Chen J. et al. описывают красители на основе арил-замещенного дифторида дипиррометенбора, которые имеют пик поглощения между 620 и 660 нм и эмиссию флуоресценции между 630 и 680 нм. US 5433896 описывает красители на основе дифторида дипиррометенбора, содержащие конденсированные арильные заместители. Такие красители на основе дифторида дипиррометенбора имеют пик поглощения и испускания между 600 нм и 740 нм. Молярный коэффициент поглощения красителей на основе дифторида дипиррометенбора часто выше 100000 см-1М-1.
Worries H.J. et al., Recl.Trav.Chim.Pays-Bas 104 (1985) 28 описывают способ введения сульфоновокислотных групп в красители на основе дифторида дипиррометенбора с повышением, таким образом, гидрофильности этих красителей. Они сообщают о моно- и дисульфированных красителях на основе дифторида дипиррометенбора, которые имеют пик поглощения между 495 и 491 нм и пик испускания между 515 и 510 нм.
Красители на основе дифторида дипиррометенбора нашли различные применения в качестве флуоресцентных меток. Синтез и разнообразие этих красителей описаны в публикациях и патентах, указанных выше. Однако большинство из этих красителей имеют такой недостаток, как присущая им гидрофобность, что ограничивает их применимость для флуоресцентного мечения биомолекул. Это особенно касается красителей на основе дифторида дипиррометенбора, которые содержат арильные заместители.
Красители на основе дифторида дипиррометенбора можно использовать не только в качестве флуоресцентных маркеров, но также в качестве лазерных красителей и в качестве зондов в фотодинамической терапии для лечения опухолей. Эти красители также нашли применение в окрашивании микрочастиц (US 5723218) и в качестве среды для оптической регистрации (US 6060606).
Двухфотонное возбуждение
В 1931 году Мария Гепперт-Мейер Ann.Phys. 9 (1931, 273) выдвинула идею, что молекула одновременно может поглощать два фотона. Это явление долго не находило практического применения, до тех пор, пока не стали доступны источники интенсивного лазерного света. Двухфотонное возбуждение создается, когда, при фокусировании источника интенсивного света, плотность фотонов на единицу объема и в единицу времени становится достаточно высокой для того, чтобы два фотона одновременно поглощались одним и тем же хромофором. Поглощенная энергия представляет собой сумму энергии двух фотонов. Возможность двухфотонного возбуждения зависит от квадрата плотности фотонного потока. Поглощение двух фотонов, таким образом, представляет собой нелинейный процесс второго порядка. В результате одновременного поглощения двух фотонов одним хромофором получают хромофор в возбужденном состоянии. Релаксация такого возбужденного состояния возможна за счет эмиссии фотона более высокой энергии, чем фотоны освещающего лазера. В этой связи способ, который включает двухфотонное возбуждение и последующую излучательную релаксацию, называется двухфотонной флуоресценцией. Двухфотонная флуоресценция обычно имеет спектральные характеристики, подобные возбуждаемой одним фотоном флуоресценции одного и того же хромофора (Xu C. and Webb W.W., J.Opt.Soc.Am.B, 13 (1996) 481). Молекулы, которые могут возбуждаться двумя одновременно поглощаемыми фотонами и релаксация возбужденного состояния которых сопровождаются эмиссией флуоресценции, в контексте данного изобретения называются двухфотонными флуоресцентными красителями.
Одной их основных особенностей двухфотонного возбуждения является то, что возбуждение происходит только в четко ограниченной трехмерной (3D) области фокальной точки. В результате такой особенности получают высокую трехмерную пространственную локализацию генерируемой эмиссии флуоресценции. Благодаря нелинейной природе возбуждения, генерируется минимальная фоновая флуоресценция вне пределов фокальной точки, вокруг образца и в оптических приборах. Другой основной особенностью двухфотонного возбуждения является то, что освещение и эмиссия имеют место в существенно отличном диапазоне длин волн. Как следствие этого, проникновение рассеянного распространяемого света в детекторный канал можно легко ослабить, используя фильтры пропускания низких частот (уменьшение, по меньшей мере, на 10 порядков). Поскольку возбуждаемый объем очень мал, двухфотонное возбуждение является наиболее подходящим для наблюдения за образцами малого объема и структуры.
Характерные особенности двухфотонного возбуждения, низкий фон и небольшой объем возбуждения дают основание предполагать, что двухфотонное возбуждение лучше всего подходит для применения там, где требуется детекция флуоресценции от небольших объемов. В действительности, объем двухфотонного возбуждения находится в фемтолитровом диапазоне или даже ниже, в зависимости от оптических параметров системы. В таких малых объемах возбуждения в любой заданной временной точке присутствует лишь небольшое количество флуоресцентных молекул. Одной из характерных особенностей, относящихся к способам двухфотонного возбуждения, является низкое эффективное сечение поглощения флуорофоров. Другой особенностью является то, что двухфотонное возбуждение обычно осуществляют при помощи импульсных лазеров, при этом промежутки между импульсами у традиционных лазеров больше, чем время жизни флуорофоров, что ведет к уменьшенной скорости возбуждения. Эти особенности вместе с малым объемом возбуждения дают сравнительно низкий уровень сигнала. Другая проблема касается интенсивности сильного освещения, что может привести к неожиданным эффектам. Эти эффекты можно разделить на две разные категории: кумулятивный эффект множества импульсов (аккумулирование энергии) и эффект одного импульса (прямое нелинейное поглощение второго или более высокого порядка). Кумулятивный эффект множества импульсов имеет особое значение, когда используют импульсные лазеры с высокой частотой повторения импульсов (лазеры, испускающие импульсы с суб-пикосекундными интервалами частотой повторения порядка 100 МГц). При такой частоте повторения импульсов возможно аккумулирование энергии до устойчивого триплетного состояния молекулы красителя в течение длительного времени. Триплетные состояния обычно не являются излучательными и, таким образом, аккумулирование энергии до этих состояний снижает выход двухфотонной флуоресценции. Эффективность двухфотонного возбуждения (Ех2ph) пропорциональна максимальной мощности (Рр) и продолжительности импульса ( имп) лазерного света (Ех2ph Рр 2* имп). В соответствии с этим использование импульсных лазеров с высокой максимальной мощностью и умеренной частотой повторения импульсов (пикосекундные-наносекундные импульсные лазеры с частотой повторения в кГц) ведет к высокой эффективности двухфотонного возбуждения. В данном контексте высокая эффективность двухфотонного возбуждения означает, что почти все молекулы красителя в фокальной точке лазерного луча возбуждаются одним лазерным импульсом. На Фиг.1 представлены двухфотонные возбуждения молекул красителя в зависимости от интенсивности освещения. В идеальном случае, кривая зависимости эмиссии от интенсивности освещения совпадает с кривой зависимости двухфотонного возбуждения от интенсивности освещения. Обычно это происходит в случае, когда интенсивность освещения определенно ниже интенсивности, необходимой для достижения плато насыщения (А, Фиг.1), и двухфотонно-возбуждаемая флуоресценция, таким образом, находится в квадратичной зависимости от интенсивности освещения. На уровне плато (С, Фиг.1) или около него (В, Фиг.1) (когда для получения максимальной двухфотонно-возбуждаемой флуоресценции используют лазер с высокой мощностью двухфотонного возбуждения) эффект одного импульса становится особенно важным. В этом случае, поглощение в возбужденном состоянии и стимулированная эмиссия могут уменьшить выход двухфотонной флуоресценции и вызвать отклонения от квадратичной зависимости эмиссии от интенсивности освещения. В зависимости от образца, появление таких эффектов может ограничить максимально используемую интенсивность освещения.
Erlich J.E. et al. Opt.Lett. 22 (1997) 1843, Baur J.W. et al., Chem. Mater. 11 (1999) 2899 and Kim O.-K. et al. Chem.Mater. 12 (2000) 284 сообщали, что коэффициенты двухфотонного поглощения могут существенно варьироваться в зависимости от условий измерения, таких как уровень интенсивности и продолжительность импульса лазерного луча. Отмечалось, что когда используют очень интенсивное лазерное освещение для измерения эффективного сечения двухфотонного поглощения или выхода двухфотонной флуоресценции, могут играть роль некоторые линейные процессы. Такое явление, как возбужденное состояние поглощения, как было предположено, является причиной гашения некоторых флуорофоров в условиях двухфотонного возбуждения (Fischer A. et al., Appl.Opt. 34 (1995) 1989).
Xu C. And Webb W.W., J.Opt.Soc.Am. B, 13 (1996) 481 сообщали об эффективных сечениях двухфотонного поглощения различных флуоресцентных красителей, включая красители на основе дифторида дипиррометенбора, описанные Wories H.J. et al., Recl.Trav.Chim.Pays-Bas 104 (1985) 288. Исследованный Xu and Webb краситель на основе дифторида дипиррометенбора имеет максимум однофотонного поглощения при 495 нм и максимум испускания при 515 нм. Спектры двухфотонного возбуждения записывали в диапазоне между 690 и 1050 нм. В этом исследовании источником света был лазер Ti:Sapphire с номинальной продолжительностью импульса 80 фемтосекунд. В соответствии с Xu and Webb эффективное сечение двухфотонного поглощения красителя на основе дифторида дипиррометенбора примерно на порядок ниже, чем у Родамина С. Xu and Webb не сообщали о каких-либо наблюдениях, касающихся гашения Родамина С в условиях высокой интенсивности лазерного освещения или о каких-либо отклонениях от квадратичной зависимости эмиссии от интенсивности освещения. Однако о гашении Родамина С сообщалось раньше Fischer A. et al., Appl. Opt. 34 (1995) 1989. В соответствии с Fischer A. et al. эффект гашения в двухфотонном возбуждении ведет к более низкому трехмерному разрешению в двухфотонной микроскопии.
Биоаналитические применения двухфотонно-возбуждаемой флуоресценции.
Флуоресценция находит различные применения в области биоаналитических исследований. В последние три десятилетия в практику вошли такие применения, как иммуноанализы, анализы ДНК-гибридизации и анализы связывания рецептора, использующие флуоресценцию в качестве метода детекции. В этих анализах используют реакции специфического биосродства при определении количества аналита в образце. Количество аналита можно определить отслеживанием сигнала флуоресценции, который зависит от количества связавшегося аналита. Эти анализы также могут быть основаны на отслеживании изменения характеристик флуоресценции при реакциях специфического связывания. Это изменение характеристик флуоресценции может представлять собой либо изменение интенсивности флуоресценции, изменение длины волны испускания, изменение времени разложения или изменение поляризации флуоресценции.
Иммуноанализы широко используют в клинической диагностике для определения некоторых заболеваний или физиологических состояний. Иммуноанализы можно подразделить на две категории анализов разного типа: конкурентные и неконкурентные анализы. В конкурентном методе меченый антиген (второй биоспецифический реагент) конкурирует с аналитом за связывание с ограниченным количеством антитела (основной биоспецифический реагент). Концентрацию аналита можно определить исходя из пропорции меченого антигена, связавшегося с антителом, или исходя из пропорции свободной фракции меченого антигена. В неконкурентном методе (иммунометрический метод) аналит связывается с избыточным количеством связывающего антитела (основной биоспецифический реагент). Избыточное количество меченого антитела (второй биоспецифический реагент) связывается с другим сайтом аналита. Количество аналита можно определить на основании фракции меченого антитела, связавшейся с аналитом. Методы анализа также можно подразделить на гетерогенные и гомогенные (без разделения) методы. Разделение связанных и свободных фракций является необходимым в гетерогенных анализах, но не в гомогенных анализах [Miyai K., Principles and Practice of Immunoassay, (ed. Price C.P. and Newman D.J.) Stockton Press, New York 1991, 246 and Hemmila I.A., Applications of Fluorescence in Immunoassays, (ed. Winefordner J.D.) John Wiley & Sons, New York 1991].
Одно из первых сообщений, касающихся аналитического применения двухфотонного возбуждения, было опубликовано Sepaniak et al., Anal.Chem., 49 (1977) 1554. Они обсуждали возможность использования двухфотонного возбуждения флуоресценции для ВЭЖХ детекции. Были продемонстрированы низкий фон и простота системы.
Применимость двухфотонного возбуждения флуоресценции в лазерной сканирующей микроскопии впервые было продемонстрировано Denk et al., Science, 248 (1990) 73. Они использовали лазер на красителях с синхронизованными модами, обеспечивающий поток фемтосекундных импульсов с частотой испускания 80 МГц. Приход Ti-сапфировых лазеров облегчил осуществление двухфотонного возбуждения в стандартном лазерном сканирующем флуоресцентном микроскопе. Двухфотонное возбуждение флуоресценции широко обсуждалось в литературе в последнее десятилетие. Сообщалось о многих исследованиях, связанных с методами визуализации, использующими двухфотонное возбуждение флуоресценции. Развитие этой технологии привело к промышленному изготовлению систем двухфотонных лазерных сканирующих микроскопов.
Lakowicz et al., J.Biomolec.Screening 4 (1999) 355 показали, что зависящее от времени гашение интенсивности DAPI (4,6-диаминидино-2-фенилиндол), связанного с ДНК и кальций-зависимыми флуорофорами, можно измерить при помощи двухфотонного возбуждения флуоресценции. Lakowicz et al. сообщали об использовании многофотонного возбуждения для использования в скрининге с высокой пропускной способностью. Они показали, что индуцируемую двумя фотонами флуоресценцию Флуоресцеина можно легко измерить на многолуночных планшетах высокой плотности.
Биоаналитические применения двухфотонно-возбуждаемой флуоресценции, которые описаны в литературе, большей частью относятся к методам визуализации, использующим двухфотонную микроскопию (Denk W. et al. US 5034613, Denk W. et al., Science 248 (1990) 73). Использование двухфотонного возбуждения флуоресценции в лазерной сканирующей микроскопии обеспечивает характерное трехмерное пространственное разрешение без использования точечных отверстий, что является необходимым для конфокальной микроскопии. При простой оптической конструкции микроскопия с двухфотонным возбуждением обеспечивает трехмерное пространственное разрешение, сопоставимое с тем, что дает обычная конфокальная микроскопия с однофотонным возбуждением. Недостатком методов однофотонного возбуждения является необходимость в дорогих лазерах, способных генерировать сильные ультракороткие импульсы с высокой частотой повторения.
Последние разработки более дешевой лазерной технологии являются весьма обнадеживающими в том, что касается возможностей применения технологии двухфотонного возбуждения флуоресценции в рутинных биоаналитических задачах (Hannien P. et al., Nat.Biotechnol. 18 (2000) 548; Soini J.T. et al. Single Mol. 1 (2000) 203; WO 98/25143 и WO 99/63344). В соответствии с WO 98/25143 и WO 99/63344 вместо дорогих лазеров с синхронизованными модами для двухфотонного возбуждения можно использовать лазеры диодного возбуждения с микрочипами с пассивным Q-затвором. Такие лазеры являются моноблочными, небольшими по размерам, простыми по конструкции и дешевыми. WO 98/25143 и WO 99/63344 описывают использование двухфотонного возбуждения в биоаналитическом способе. Такой биоаналитический способ можно использовать для анализа аналитов в растворе или в биологической суспензии, и в нем используют микрочастицы в качестве связывающейся по биосродству твердой фазы, с которой связывается основной биоспецифический реагент. В таком биоаналитическом способе использует второй биоспецифический реагент, меченный двухфотонным флуоресцентным красителем. В соответствии с WO 98/25143 и WO 99/63344, контактирование микрочастиц с аналитом и вторым биоспецифичекским реагентом в объеме реакционной массы и использование детекции флуоресценции, основанной на двухфотонном возбуждении, делает возможным способ анализа без разделения. Количество аналита, связанное с основным биоспецифическим реагентом и с микрочастицами, определяют при помощи детекции сигнала двухфотонно-возбуждаемой флуоресценции, исходящего из меченого второго биоспецифического реагента. Меченый второй биоспецифический реагент может связываться либо с аналитом (неконкурентный иммунометрический метод), либо с основным биоспецифическим реагентом (конкурентный метод). Основные и вторые биоспецифические реагенты представляют собой биологически активные молекулы, такие как гаптены, биологически активные лиганды, лекарственные средства, пептиды, олигонуклеотиды, нуклеотиды, нуклеиновые кислоты, полипептиды, белки, антитела или фрагменты антител. В соответствии с WO 98/25143 и WO 99/63344, лазер с высокой эффективностью двухфотонного возбуждения фокусируют в реакционную суспензию и двухфотонно-возбуждаемую флуоресценцию измеряют от отдельных микрочастиц при их течении через фокальный объем лазерного луча. Альтернативно, микрочастицы улавливаются на период детекции флуоресценции оптическим заградителем, находящимся рядом с лазерным лучом. Улавливание микрочастиц у фокальной точки лазерного луча основано на оптическом давлении, оказываемом на микрочастицу освещающим лазером. В соответствии с WO 98/25143 оптическое улавливание увеличивает продолжительность прохождения частицы у фокальной точки лазерного луча и снижает время нечувствительности измерений. В соответствии с WO 98/25143 оптическое улавливание требует относительно высокой средней мощности лазера и силы освещения. В этом случае средняя мощность лазера определяет эффективность улавливания. Частота повторения импульсов у лазера с микрочипами относительно низкая и, таким образом, необходимо использовать высокую энергию импульса и, следовательно, высокую максимальную мощность освещающего лазера для получения средней мощности лазера, достаточной для оптического улавливания. Использование высокой максимальной мощности, а также лазера с высокой эффективностью двухфотонного возбуждения может привести к снижению выхода двухфотонно-возбуждаемой флуоресценции и также может снизить отношение сигнал:фон в анализах без разделения благодаря эффекту единичного (отдельного) импульса. Однако на практике, для получения максимального сигнала флуоресценции, часто разумно использовать лазер по возможности с наиболее высокой эффективностью двухфотонного возбуждения.
ЦЕЛЬ И КРАТКОЕ ОПИСАНИЕ ИЗОБРЕТЕНИЯ
Целью настоящего изобретения является обеспечение улучшенных биоаналитических способов без разделения для измерения аналита из биологической жидкости или суспензии.
Настоящее изобретение относится к биоаналитическому способу без разделения для измерения аналита в биологической жидкости или суспензии, включающему микрочастицы в качестве связывающейся по биосродству твердой фазы, второй биоспецифический реагент, меченный двухфотонным флуоресцентным красителем, фокусирование лазера в реакционную суспензию, измерение двухфотонно-возбуждаемой флуоресценции от отдельных микрочастиц при их произвольном течении, или направляемых давлением излучения возбуждающего лазера через фокальный объем лазерного луча. Двухфотонный флуоресцентный краситель имеет структуру (II):

Любая, по меньшей мере одна, из групп R1, R2, R3, R4, R5, R6 или R7 представляет собой замещенную или незамещенную фенильную, тиенильную, пирролильную, фуранильную, оксазолильную, изоксазолильную, оксадиазолильную, имидазолильную, бензоксазолильную, бензотиазолильную, бензимидазолильную, бензофуранильную, индолильную, сопряженную этенильную, диенильную или триенильную группу, и, по меньшей мере, одна из групп R1, R2, R3, R4, R5, R6 или R7 является замещенной для получения химически активной группы, которую можно использовать для ковалентного связывания с другими молекулами, и, по меньшей мере, одна из групп R1, R2, R3, R4, R5, R6 или R7 является замещенной для получения группы, придающей водорастворимость, и остальные группы R1, R2, R3, R4, R5, R6 или R7, каждая независимо, выбраны из группы, включающей водород, галоген, алкил, циано, карбокси, каждый из которых необязательно может быть замещен; или группы R1, R2, R3, R5, R6 или R7 представляют собой замещенные или незамещенные алкильные группы, R4 представляет собой водород или замещенный или незамещенный алкил, и, по меньшей мере, одна из групп R1, R2, R3, R4, R5, R6 или R7 является замещенной для получения химически активной группы, которую можно использовать для селективного ковалентного связывания с другими молекулами, и, по меньшей мере, одна из групп R1, R2, R3, R4, R5, R6 или R7 является замещенной для получения группы, придающей водорастворимость.
КРАТКОЕ ОПИСАНИЕ ЧЕРТЕЖЕЙ
На Фиг.1 представлен собой график зависимости двухфотонного возбуждения от интенсивности освещения.
На Фиг.2a представлены красители на основе алкил-замещенного дифторида дипиррометенбора.
На Фиг.2b и 2с представлены красители на основе гетероарил-замещенного дифторида дипиррометенбора.
На Фиг.2d представлены красители на основе арил-замещенного дифторида дипиррометенбора.
На Фиг.2е и 2f представлены красители на основе фенилэтенил-замещенного дифторида дипиррометенбора.
На Фиг.2g и 2h представлены красители на основе тиенил-замещенного дифторида дипиррометенбора.
На Фиг.3 представлено линкерное соединение.
На Фиг.4 представлен график зависимости сигнала двухфотонной флуоресценции от концентрации аналита (AFP) в иммуноанализе.
На Фиг.5 представлена оптическая схема прибора, используемого для измерений двухфотонной флуоресценции.
ПОДРОБНОЕ ОПИСАНИЕ ИЗОБРЕТЕНИЯ
Используемые в данной заявке термины означают следующее:
«Двухфотонная флуоресценция» – процесс, включающий одновременное поглощение двух фотонов одним и тем же хромофором и последующую излучательную релаксацию возбужденного состояния.
«Двухфотонный флуоресцентный краситель» – молекулы, которые могут возбуждаться двумя одновременно поглощаемыми фотонами и релаксация возбужденного состояния сопровождается эмиссией флуоресценции.
«Кумулятивный эффект множества импульсов» – эффект, являющийся результатом аккумулирования энергии возбуждения до длительно устойчивых триплетных состояний. Этот эффект вызывает снижение выхода флуоресценции при использовании суб-пикосекундных лазеров с частотой повторения импульсов порядка 100 МГц для двухфотонного возбуждения. Этот эффект вызывает отклонения от квадратичной зависимости двухфотонной флуоресценции от интенсивности освещения до достижения плато насыщения красителя.
«Эффект отдельного импульса» – эффект, являющийся результатом прямого нелинейного поглощения второго или более высшего порядка. Этот эффект вызывает снижение выхода флуоресценции при использовании лазеров с высокой максимальной мощностью импульса (Рр) и номинальной продолжительностью импульса в пределах от пикосекунд до наносекунд ( имп) с частотой повторения в кГц для двухфотонного возбуждения. Этот эффект вызывает отклонения от квадратичной зависимости двухфотонной флуорсценции от интенсивности освещения до достижения плато насыщения красителя.
«Эффективность двухфотонного возбуждения» – количество возбуждений в единицу времени. Эффективность двухфотонного возбуждения (Ех2ph) пропорциональна максимальной мощности (Рр) и продолжительности импульса ( имп) лазерного света (Ех2ph Рр 2* имп).
«Лазер с высокой эффективностью двухфотонного возбуждения» – лазер, способный к возбуждению двухфотонного флуоресцентного красителя близко к плато насыщения (В. Фиг.1).
«Соотношение сигнал:фон» – соотношение между сигналом, полученным от красителя на поверхности частицы, и сигналом, полученным от красителя в растворе.
«Интенсивность освещения» – максимальная мощность лазера на единицу площади сечения луча.
«Средняя мощность» – энергия лазерного луча, испускаемая в секунду.
«Микрочастица» – сферический или несферический твердый объект, который можно использовать в качестве твердофазного носителя для химических или биохимических частиц (молекул). Обычно считается, что микрочастицы имеют диаметр 0,01-100 мкм и могут состоять из полимера, стекла, диоксида кремния или другого вещества.
Настоящее изобретение относится к флуорофорам с двухфотонным поглощением, имеющим высокие выходы двухфотонно-возбуждаемой флуоресценции и демонстрирующим исключительно низкое гашение под действием отдельного импульса даже в условиях высокоинтенсивного лазерного освещения. Настоящее изобретение предлагает двухфотонные флуоресцентные красители, которые можно использовать в биоаналитических способах без разделения, которые основаны на использовании лазера с высокой эффективностью двухфотонного возбуждения. Было обнаружено, что красители на основе дифторида дипиррометенбора и конъюгаты указанных красителей, являющиеся объектом настоящего изобретения, обеспечивают исключительно высокие выходы двухфотонно-возбуждаемой флуоресценции. Двухфотонные флуоресцентные красители на основе дифторида дипиррометенбора и конъюгаты указанных красителей, являющиеся целью настоящего изобретения, идеально подходят для биоаналитических систем на основе микрочастиц, поскольку красители на основе дифторида дипиррометенбора и конъюгаты указанных красителей демонстрируют исключительно низкое гашение под действием отдельного импульса даже при высокой средней мощности лазера, необходимой для оптического улавливания микрочастиц. Настоящее изобретение предлагает новые двухфотонные флуоресцентные красители на основе дифторида дипиррометенбора, которые являются особенно подходящими для мечения биомолекул. Такие двухфотонные флуоресцентные красители на основе дифторида дипиррометенбора являются по своей природе гидрофильными и растворимыми в водных растворах. Растворимость этих красителей в водных растворах делает их идеально подходящими для использования в биоаналитических способах.
На Фиг.1 представлен график зависимости двухфотонного возбуждения от интенсивности освещения. При низких интенсивностях освещения (А) возбуждение находится в квадратичной зависимости от интенсивности освещения. Для получения максимальной двухфотонно-возбуждаемой флуоресценции краситель должен возбуждаться близко к плато насыщения (В). На плато насыщения (С) почти все молекулы красителя становятся возбужденными. На Фиг.2a представлены красители на основе алкил-замещенного дифторида дипиррометенбора, описанные в примерах 1-3 как соединения 1-3. На Фиг.2b и 2с представлены красители на основе гетероарил-замещенного дифторида дипиррометенбора, описанные в примерах 4-9 как соединения 4-9. Х+ представляет собой катионный противоион. На Фиг.2d представлены красители на основе фенил-замещенного дифторида дипиррометенбора, описанные в примерах 10 и 11 как соединения 10 и 11. Х+ представляет собой катионный противоион. На Фиг.2е и 2f представлены красители на основе фенилэтенил-замещенного дифторида дипиррометенбора, описанные в примерах 12 и 13 как соединения 12 и 13. Х+ представляет собой катионный противоион. На Фиг.2g и 2h представлены красители на основе тиенил-замещенного дифторида дипиррометенбора с амино-, ариламино-, малеимид- и изотиоцианатной реакционноспособными группами, описанные в примерах 14-17 как соединения 14-17. Х+ представляет собой катионный противоион. На Фиг.3 представлено линкерное соединение 18, которое используют для повышения растворимости красителей в водных растворах. Х+ представляет собой катионный противоион. На Фиг.4 представлен график зависимости сигнала двухфотонной флуоресценции от концентрации аналита (AFP) в иммуноанализе, основанном на двухфотонной флуоресценции, как описано в примере 21. Концентрация AFP 0 нг/мл представлена как концентрация 0,1 нг/мл из-за логарифмической шкалы, используемой на Фиг.4. На Фиг.5 представлена оптическая схема прибора, используемого для измерений двухфотонной флуоресценции. Лазер Nd:YAG с микрочипами с пассивным Q-затвором 1 используют в качестве источника освещения для двухфотонно-возбуждаемой флуоресценции. Длина волны лазера составляет 1064 нм, продолжительность импульса 1 нс и скорость повторения импульсов 20 кГц. Естественно расходящийся луч лазерного света направляют при помощи дихроичного зеркала 2 через оптический сканер 3 к входному отверстию объектива 4. Освещение у входного отверстия составляет заполнение (по Гауссу) около 70% от полного отверстия. Затем линза объектива фокусирует освещающий свет в специальную кювету 5, имеющую тонкое оптическое дно (толщина 0,2 мм). Средняя оптическая выходная мощность, достигающая образца, составляет 50 мВт. Фокальный объем составляет около 1 фемтолитра. Сигнал двухфотонно-возбуждаемой флуоресценции в пределах 540-700 нм собирается из полного отверстия объектива 4 и направляется через дихроичное зеркало 2 и узкополосный светофильтр 6 к трубке фотоэлектронного умножителя 7. При измерении частиц измеряют как свет двухфотонно-возбуждаемой флуоресценции, так и обратно рассеиваемый (отраженный) частицами лазерный свет. Дихроичное зеркало 2 и окно 8 2%-ного расщепления луча отклоняют обратно-рассеянный свет к отверстию малого диаметра 9, что делает детекцию рассеиваемого сигнала конфокальной. Детектор для рассеиваемого сигнала представляет собой GaAs фотодиод 10 с детекцией вблизи инфракрасной области спектра. Частицы постоянно отслеживают, используя трехмерный лучевой сканер 3. ху-Сканер является оптико-механическим и расположен настолько близко к входному отверстию объектива, насколько это возможно. Из-за частичного освещения входного отверстия объектива отклонение луча на полные углы отклонения ху-сканеров не вызывает существенного разрезания луча краями отверстия. Когда амплитуда обратно рассеиваемого сигнала превышает предварительно установленный пороговый уровень, это указывает на появление частицы вблизи фокального объема. И х- и у-сканирующие зеркала останавливаются. Оптическое давление, вызываемое освещающим лазерным лучом, улавливает частицу и направляет ее по центру фокуса лазерного луча. Сигнал флуоресценции измеряют, когда частица находится в фокусе, т.е. обратно рассеиваемый сигнал превышает предварительно установленный порог. В дополнение к ху-сканированию, осуществляют также и z-сканирование, медленно перемещая объектив в аксиальном направлении. Амплитуда такого перемещения составляет 150 мкм, и это перемещение не останавливают для измерения частиц. Несмотря на медленное z-сканирование, частицы остаются в фокусе под действием оптически-улавливающих сил. Двухфотонные флуоресцентные красители, которые используют в комбинации с лазерами с высокой эффективностью двухфотонного возбуждения, необходимо выбирать так, чтобы флуорофор имел минимальное гашение под действием отдельного импульса. Это обеспечивает возбуждение плотности флуорофоров близко к плато насыщения и, таким образом, максимизацию сигнала двухфотонной флуоресценции. Правильный выбор флуоресцентного красителя также делает возможным применение оптического улавливания микрочастиц в биоаналитических исследованиях, которые основаны на двухфотонном возбуждении и использовании микрочастиц в качестве твердого носителя, как описано в WO 98/25143 И WO 99/63344. При использовании лазеров с высокой скоростью повторения импульсов возникновение синглет-триплетной гибридизации также становится важным параметром для выбора подходящего флуорофора. С использованием флуорофоров, которые имеют низкую скорость синглет-триплетной гибридизации, можно избежать аккумулирования энергии до не-излучательного триплетного состояния. Двухфотонные флуоресцентные красители на основе дифторида дипиррометенбора, являющиеся объектом настоящего изобретения, соответствуют этим двум основным требованиям. Более того, расположение полос поглощения и испускания двухфотонных флуоресцентных красителей на основе дифторида дипиррометенбора можно регулировать путем подходящего замещения основного хромофора. Это качество является существенно важным при регулировании свойств хромофора, подходящих для одного конкретного лазера. Квантовый выход флуоресценции красителей на основе дифторида дипиррометенбора обычно составляет больше 70%. Высокий квантовый выход вместе с низкой скоростью гашения под действием отдельного импульса делает возможным сильную двухфотонно-возбуждаемую флуоресценцию при использовании в качестве источника освещения лазера с высокой эффективностью двухфотонного возбуждения. Выходы двухфотонно-возбуждаемой флуоресценции красителей на основе дифторида дипиррометенбора по настоящему изобретению являются удивительно высокими. В отличие от ранее опубликованных данных [Xu C. and Webb W.W., J.Opt.Soc.Am.B, 13 (1996) 481] было обнаружено, что выходы двухфотонно-возбуждаемой флуоресценции красителей на основе дифторида дипиррометенбора даже выше, чем выход двухфотонно-возбуждаемой флуоресценции Родамина С. Более того, минимальное гашение двухфотонных флуоресцентных красителей на основе дифторида дипиррометенбора под действием отдельного импульса обеспечивает эксплуатацию лазера с высокой эффективностью двухфотонного возбуждения в качестве источника освещения без существенных потерь трехмерного пространственного разрешения системы. Двухфотонные флуоресцентные красители на основе дифторида дипиррометенбора также можно модифицировать путем подходящего замещения боковой цепи, чтобы их можно было использовать как в водных растворах, так и в органических средах.
Настоящее изобретение относится к биоаналитическим методам, описанным в Hannien P. et al., Nat.Biotechnol. 18 (2000) 548; Soini J.T. et al. Single Mol. 1 (2000) 203; WO 98/25143 и WO 99/63344. Настоящее изобретение предлагает двухфотонные флуоресцентные красители, что в комбинации с аналитическим методом, описанным в (Hannien P. et al., Nat.Biotechnol. 18 (2000) 548; Soini J.T. et al. Single Mol. 1 (2000) 203; WO 98/25143 и WO 99/63344), обеспечивает высокую точность анализа. Двухфотонные флуоресцентные красители на основе дифторида дипиррометенбора и конъюгаты указанных красителей, являющиеся объектом настоящего изобретения, можно использовать в биоаналитическом методе, основанном на использовании лазера с высокой эффективностью двухфотонного возбуждения без какого-либо существенного снижения отношения сигнал:фон.
В соответствии с настоящим изобретением второй биоспецифический реагент метят двухфотонно-флуоресцентным красителем на основе дифторида дипиррометенбора. Второй биоспецифический реагент представляет собой биологически активную молекулу, такую как гаптен, биологически активный лиганд, лекарственное средство, пептид, олигонуклеотид, нуклеотид, нуклеиновая кислота, полипептид, белок, антитело или фрагмент антитела. Вторичный биоспецифический реагент, меченный двухфотонным флуоресцентным красителем на основе дифторида дипиррометенбора, может связываться либо с аналитом (неконкурентный анализ), либо с первичным биоспецифическим реагентом (анализ конкурентного связывания). Количество аналита, связанное с первичным биоспецифическим реагентом, определяют детекцией сигнала двухфотонно-возбуждаемой флуоресценции, исходящего из вторичного биоспецифического реагента, меченного двухфотонно-флуоресцентным красителем на основе дифторида дипиррометенбора.
Оптическое улавливание (описанное в WO 98/25143), которое увеличивает продолжительность (прохождения) частицы у фокальной точки лазерного луча и снижает время нечувствительности измерений, требует сравнительно высокой средней мощности лазера. Высокая средняя мощность с низкой частотой импульсов ведет к высокой энергии импульса, которая может привести к гашению флуоресценции под действием отдельного импульса. В соответствии с настоящим изобретением, двухфотонные флуоресцентные красители на основе дифторида дипиррометенбора идеально подходят для системы биоаналитических определений с использованием микрочастиц. Эти красители демонстрируют исключительно низкое гашение под действием отдельного импульса, даже при высокой средней мощности лазера, необходимой для оптического улавливания микрочастиц.
Двухфотонные флуоресцентные красители на основе дифторида дипиррометенбора и конъюгаты указанных красителей, являющиеся объектом настоящего изобретения, также можно использовать в биоаналитическом методе анализа без разделения, основанном на отслеживании двухфотонно-возбуждаемой флуоресценции несвязанного биоспецифического реагента. Основной биоспецифический реагент связывается либо на микрочастицах, либо на стенках кюветы. Второй биоспецифический реагент, меченный двухфотонным флуоресцентным красителем на основе дифторида дипиррометенбора, может связываться либо с аналитом (неконкурентный анализ), либо с первичным биоспецифическим реагентом (анализ конкурентного связывания). Количество аналита, связавшегося на микрочастицах или на стенках кюветы через посредство первичного биоспецифического реагента, определяют на основе сигнала двухфотонно-возбуждаемой флуоресценции, исходящего из несвязавшегося второго биоспецифического реагента, меченного двухфотонным флуоресцентным красителем на основе дифторида дипиррометенбора.
Двухфотонные флуоресцентные красители на основе дифторида дипиррометенбора, которые являются объектом настоящего изобретения, имеют общую структуру (II):

В указанной структуре R1, R2, R3, R4, R5, R6 или R7 выбраны из заместителей, включающих водород, галоген, алкил, циклоалкил, алкенил, арилалкенил, арил, алкиларил, гетероарил, ацил, алкокси, циано, карбокси, амино, гидроксил, алкоксикарбонил, нитро, алкиламино, диалкиламино и сульфо, отдельно или в сочетании. Кроме того, заместители в хромофоре могут быть далее модифицированы для получения химически активной функциональной группы. Химически активные группы, которые можно использовать для селективного ковалентного связывания с другими молекулами, включают, но не ограничиваются этим, производные карбоновых кислот, реакционноспособные эфиры карбоновых кислот, ангидриды карбоновых кислот, малеимиды, сульфонилхлориды, сульфонилфториды, гидразины, амины, спирты, ацилазиды, изоцианаты, альдегиды, галогенацетамиды, триазины или изотиоцианаты.
Заместители, которые можно использовать для сдвига испускания и поглощения к бульшим длинам волн, являются существенно важными при регулировании свойств основного хромофора, подходящего для конкретного лазера. Например, в двухфотонном возбуждении с использованием Nd:YAG лазеров при длине волны 1064 нм полоса испускания флуоресценции должна быть больше чем 532 нм (сумма энергии двух 1064 нм фотонов). Удобный путь для сдвига полос поглощения и испускания к большим длинам волн представляет собой удлинение цепи -электронного сопряжения. Это можно осуществить, например, путем добавления ненасыщенной органической группы в основной хромофор. В соответствии с этим предпочтительные соединения по настоящему изобретению имеют структуру, где, по меньшей мере, один из заместителей R1, R2, R3, R4, R5, R6 или R7 выбирают из группы, включающей фенил, тиенил, пирролил, фуранил, оксазолил, изоксазолил, оксадиазолил, имидазолил, бензоксазолил, бензотиазолил, бензимидазолил, бензофуранил, индолил, сопряженный этенил, диенил, триенил, при этом любой из указанных выше заместителей является необязательно замещенным одним или несколькими заместителями. Необязательные заместители предпочтительно выбирают из группы, включающей галоген, гидрокси, алкокси, циано, нитро, карбокси, амино, алкиламино, диалкиламино, сульфо и линейный или разветвленный алкил, предпочтительно содержащий 1-10 атомов углерода, который может содержать гетероатомы, замещенные гетероатомы или содержащие гетероатомы боковые цепи. Остальные заместители R1, R2, R3, R4, R5, R6 или R7, каждый независимо, выбирают из группы, включающей водород, галоген, алкокси, циано, карбокси, алкоксикарбонил, нитро, алкиламино, диалкиламино, сульфо и линейный или разветвленный алкил, предпочтительно содержащий 1-10 атомов углерода, который может содержать гетероатомы, замещенные гетероатомы или содержащие гетероатомы боковые цепи. К наиболее предпочтительным соединениям относятся такие, в которых R1 является замещенным или незамещенным фенилом, тиенилом, пирролилом или фенилэтенилом; R2, R3 и R4, представляют водород; R5, R6 и R7, каждый независимо, является либо водородом, либо алкилом или замещенным алкилом.
Предпочтительное соединение по настоящему изобретению также может иметь структуру, где, по меньшей мере, один из заместителей R1, R2, R3, R4, R5, R6 или R7 представляет собой -YZ, где -Y- является связывающим звеном и Z представляет собой химически активную группу, которую можно использовать для ковалентного связывания хромофора с другими молекулами, такими как биомолекулы. Связывающее звено -Y- представляет собой либо ковалентную связь, либо С1-С20 линейную или разветвленную алкиленовую, ариленовую, алкариленовую, аралкиленовую группу или комбинацию этих групп. Связывающее звено -Y- также может содержать гетероатомы, замещенные гетероатомы или содержащие гетероатомы боковые цепи или циклические остатки. Связывающее звено -Y- также может включать, или состоять из, остатки полимеров, предпочтительно остатки полимеров, таких как полипептиды, полисахариды, полинуклеотиды, полиэфиры и т.д. Остальные заместители R1, R2, R3, R4, R5, R6 или R7, каждый независимо, выбирают из группы, включающей водород, галоген, алкил, циклоалкил, алкенил, алкениларил, арил, арилалкил, гетероарил, ацил, алкокси, циано, карбокси, амино, гидроксил, алкоксикарбонил, нитро, алкиламино, диалкиламино и сульфо, каждый из которых необязательно замещен. Предпочтительные заместители определены выше.
Красители на основе дифторида дипиррометенбора, как правило, растворимы в органических растворителях. Но, в частности, красители на основе дифторида дипиррометенбора, содержащие арильные заместители, являются гидрофобными по природе и нерастворимы в водных растворах. Однако растворимость в воде обычно необходима для биоаналитических применений. Гидрофильность и растворимость флуоресцентной метки в водных растворах часто является очень важным для уменьшения неспецифического связывания, сохранения светофизических свойств метки в меченой биомолекуле и сохранения биологических свойств меченых биомолекул. Растворимость в воде можно достичь введением подходящих групп, придающих водорастворимость, к основному хромофору. Группы, придающие водорастворимость, предпочтительно включают соли аммония или щелочных металлов сульфоновых или карбоновых кислот, аммоний или гидроксильные группы. Растворимость в воде также достигается введением пептидного или углеводного фрагмента к красителю.
В соответствии с этим, предпочтительные соединения по настоящему изобретению имеют структуру, где полосы поглощения и испускания подобраны подходящим образом, соединение включает реакционноспособную боковую цепь, которую можно использовать для ковалентного связывания соединения с другими молекулами, и соединение также включает группу, которая повышает растворимость в водных растворах. В соответствии с этим, предпочтительные соединения по настоящему изобретению имеют структуру, где, по меньшей мере, одна из групп R1, R2, R3, R4, R5, R6 или R7 представляет собой замещенный или незамещенный фенил, тиенил, пирролил, фуранил, оксазолил, изоксазолил, оксадиазолил, имидазолил, бензоксазолил, бензотиазолил, бензимидазолил, бензофуранил, фенилэтенил или индолил; и, по меньшей мере, одна из групп R1, R2, R3, R4, R5, R6 или R7 является замещенной для получения химически активной группы, которую можно использовать для селективного ковалентного связывания с другими молекулами и/или для дальнейших химических модификаций; и, по меньшей мере, одна из групп R1, R2, R3, R4, R5, R6 или R7 является замещенной для получения группы, придающей водорастворимость. В соответствии с этим, наиболее предпочтительные соединения имеют структуру, где R1 представляет собой замещенный или незамещенный фенил, тиенил, пирролил или фенилэтенил, R2, R3, R4 и R5, каждый независимо, является либо водородом, либо алкилом, R6 или R7 является заместителем, который, наиболее предпочтительно, имеет формулу:

где Х+ представляет собой катион, а оставшийся заместитель R6 или R7 является либо водородом, либо алкилом. Предпочтительные соединения по настоящему изобретению имеют структуру, где группы R1, R2, R3, R5, R6 или R7 представляют собой замещенные или незамещенные алкильные группы, R4 является либо водородом, либо замещенным или незамещенным алкилом; и, по меньшей мере, одна из групп R1, R2, R3, R4, R5, R6 или R7 является замещенной для получения химически активной группы, которую можно использовать для селективного ковалентного связывания с другими молекулами и/или для дальнейших химических модификаций; и, по меньшей мере, одна из групп R1, R2, R3, R4, R5, R6 или R7 является замещенной для получения группы, придающей водорастворимость. Предпочтительные заместители определены выше. Примеры двухфотонных флуоресцентных красителей на основе дифторида дипиррометенбора, которые являются растворимыми в воде и, таким образом, особенно подходящими для мечения биомолекул, представлены в примерах 3 и 8-17. Эти двухфотонные флуоресцентные красители на основе дифторида дипиррометенбора являются водорастворимыми и имеют исключительно низкое гашение под действием отдельного импульса, даже при освещении лазером высокого двухфотонного возбуждения.
Двухфотонные флуоресцентные красители на основе дифторида дипиррометенбора по настоящему изобретению можно соединять с биоспецифическими молекулами с получением двухфотонных флуоресцентных конъюгатов. Биоспецифическая молекула является биологически активной молекулой, такой как гаптен, биологически активный лиганд, лекарственное средство, пептид, олигонуклеотид, нуклеотид, нуклеиновая кислота, полипептид, белок, антитело или фрагмент антитела. Двухфотонные флуоресцентные конъюгаты можно использовать в биоаналитических системах, где специфический сигнал получают через двухфотонно-возбуждаемую флуоресценцию указанного конъюгата. Двухфотонные флуоресцентные красители на основе дифторида дипиррометенбора и конъюгаты по настоящему изобретению также можно использовать для окрашивания клеток и тканей.
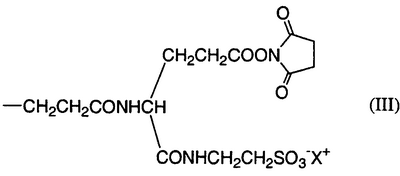
Приведенные ниже неограничивающие примеры предназначены для дополнительной демонстрации изобретения. В приведенных ниже примерах указанные соединения (соединения 1-18) раскрыты на Фиг.2а-2h и 3.
Пример 1
3,3′,5,5′-тетраметил-4,4′-карбоксиэтил-2,2′-дипиррометенгидробромид (1)
2-Этоксикарбонил-3,5-диметил-4-метоксикарбонилэтилпиррол (1,0 г, 3,35 ммоль) растворяли в муравьиной кислоте (3 мл) и добавляли бромистоводородную кислоту (48%, 3 мл). Реакционную смесь перемешивали при 100°С в течение 2,5 часов. После охлаждения смеси до комнатной температуры ее оставляли на ночь при комнатной температуре. Продукт кристаллизовался из реакционной смеси в виде мелких оранжевых игловидных кристаллов. Реакционную смесь фильтровали и кристаллический продукт промывали водой. Продукт, соединение 1, сушили в вакуумном эксикаторе. Выход составил 677 мг (84%). Дополнительное количество (43 мг) продукта получали из фильтрата через 2 дня выстаивания при +4°С. Общий выход составил 720 мг (86%).
2-Этоксикарбонил-3,5-диметил-4-метоксикарбонилэтилпиррол получали как описано у Bullock E. et al., J.Chem.Soc. (1958) 1430.
Пример 2
4,4-дифтор-1,3,5,7-тетраметил-4-бора-3а,4а-диаза-s-индацен-2,6-дипропионовая кислота (2)
Дипиррилметендибромид (соединение 1) (500 мг, 1,17 ммоль) суспендировали в хлороформе (20 мл) и добавляли триэтиламин (4,3 мл, 31 ммоль). Исходный дипиррилметен растворялся сразу же после добавления триэтиламина (4,3 мл, 31 ммоль). Добавляли комплекс диэтиловый эфир·трифторид бора (5 мл, 31 ммоль). Реакционную смесь перемешивали при комнатной температуре в течение 2,5 часов. Реакционную смесь разбавляли хлороформом (50 мл), промывали разбавленной HCl (5%, 30 мл) и водой (30 мл). Добавляли небольшое количество этанола (5%) для осуществления эффективной экстракции. Хлороформную фазу выпаривали досуха на роторном испарителе и продукт (соединение 2) осаждали из смеси этанол/вода (7 дней при +4оС) с получением коричневато-оранжевого порошка. Выход продукта, соединения 2, после сушки в вакуумном эксикаторе составил 420 мг (92%).
1Н ЯМР (JEOL JNM-LA400, ДМСО-d6, 400МГц, м.д.): 2,19 (с, 6H, 2х-СН3), 2,29 (т, 4H, 2x-CH2-), 2,38 (с, 6H, 2х-СН3), 2,57 (т, 4H, 2x-CH2), 7,53 (с, 1H, Ar-CH=).
Пример 3
Сукцинимидиловый эфир 4,4,-дифтор-1,3,5,7-тетраметил-6-карбоксиэтил-4-бора-3а,4а-диаза-s-индацен-2-пропионовой кислоты (3)
4,4-Дифтор-1,3,5,7-тетраметил-4-бора-3а,4а-диаза-s-индацен-2,6-дипропионовую кислоту (соединение 2) (102 мг, 0,26 ммоль) растворяли в N,N-диметилформамиде (2,5 мл, безводный). Добавляли N-гидроксисукцинимид (90 мг, 0,78 ммоль) и N,N-дициклогексилкарбодиимид (54 мг, 0,26 ммоль). Реакционную смесь перемешивали в течение 24 часов при комнатной температуре. N,N-Диметиоформамид выпаривали (5 мбар, 40-50°С) и продукт очищали колоночной хроматографией с использованием силикагеля в качестве стационарной фазы и смеси дихлорметан:уксусная кислота (100:8:1, об/об/об) в качестве элюента. Фракции, содержащие желаемый моносукцинимидиловый эфир (соединение 3), объединяли и выпаривали досуха. Остаток растворяли в небольшом количестве дихлорметана. Добавляли петролейный эфир для осаждения продукта. Раствор фильтровали и осажденный продукт (соединение 3) получали в виде оранжевого твердого вещества. Выход 50 мг (39%).
1Н ЯМР (JEOL JNM-LA400, ДМСО-d6, 400МГц, м.д.): 2,21 (с, 3Н, СН3), 2,22 (с, 3Н, СН3), 2,36 (т, 2H, -СН2-), 2,40 (с, 3Н, СН3), 2,41 (с, 3Н, СН3), 2,59 (т, 2H, -CH2-), 2,72 (т, 2H, -CH2-), 2,80 (с, 4H, 2х -СН2-), 2,85 (т, 2H, -СН2-), 7,60 (с, 1H, Ar-CH=). UV-VIS (Ocean Optics SD2000, MeOH): макс.=523 нм ( =91000).
Пример 4
Метиловый эфир 4,4,-дифтор-5-(2-тиенил)-1,3-диметил-4-бора-3а,4а-диаза-s-индацен-2-пропионовой кислоты (4)
2-Формил-5-(2-тиенил)пиррол (150 мг, 0,84 ммоль) и 2,4-диметил-3-карбоксиэтилпиррол (140 мг, 0,84 ммоль) растворяли в смеси дихлорметан:метанол (10:1, 30 мл). Добавляли оксихлорид фосфора (77 мкл, 0,84 ммоль) и раствор перемешивали при комнатной температуре в течение 18 часов. Реакционную смесь упаривали досуха и остаток растворяли в дихлорметане (150 мл). Добавляли N-этил-N,N-диизопропиламин (1,44 мл, 8,4 ммоль) и комплекс диэтиловый эфир·трифторид бора (1,06 мл, 8,4 ммоль). Сразу после добавления комплекса диэтиловый эфир·трифторид бора наблюдали сильную оранжевую флуоресценцию. Реакционную смесь промывали водой, сушили сульфатом натрия и упаривали досуха. Неочищенный продукт очищали колоночной хроматографией с использованием силикагеля в качестве неподвижной фазы и дихлорметана в качестве элюента. Фракции, содержащие желаемый продукт упаривали досуха, получая 304 мг (93%) метилового эфира 4,4,-дифтор-5-(2-тиенил)-1,3-диметил-4-бора-3а,4а-диаза-s-индацен-2-пропионовой кислоты (соединение 4).
1Н ЯМР (Bruker AM200, CDCl3, 200МГц, м.д.): 2,21 (с, 3H, Ar-СН3), 2,47 (т, 2H, -CH2-), 2,59 (с, 3H, Ar-СН3), 2,74 (т, 2H, -CH2-), 3,68 (с, 3H, -СООСН3), 6,70 (д, 1H, ArH), 6,91 (д, 1H, ArH), 7,05 (с, 1H, Ar-CH=), 7,15 (д, 1H, ArH), 7,40 (д, 1H, ArH), 8,04 (д, 1H, ArH). FAB-MC: MH+ 389. UV-VIS (Ocean Optics SD2000, MeOH): макс.=560 нм ( =82000).
2-(2-Тиенил)пиррол получали в соответствии с Kruse C.G. et al, Heterocycles 26 (1985) 3141 и подвергали формилированию с получением 2-формил-5-(2-тиенил)пиррола, в соответствии с Bullock E. et al. J.Chem.Soc. (1963) 2326.
2,4-Диметил-3-карбоксиэтилпиррол получали следующим способом: 2-этоксикарбонил-3,5-диметил-4-метоксикарбонилэтилпиррол (1,5 г, 5,9 ммоль) и гидроксид калия (6,6 г) растворяли в этиленгликоле (50 мл). Реакционную смесь кипятили с обратным холодильником (190оС) в течение 3 часов в атмосфере азота. Добавляли воду (10 мл) и смесь кипятили с обратным холодильником еще в течение 2 часов. Охлажденную реакционную смесь разбавляли водой (200 мл), подкисляли концентрированной хлористоводородной кислотой и экстрагировали диэтиловым эфиром. Органические экстракты объединяли, сушили сульфатом натрия и упаривали досуха. Продукт очищали колоночной хроматографией с использованием силикагеля в качестве неподвижной фазы и смеси дихлорметан:метанол (10:1, об/об) в качестве элюента. Фракции, содержащие продукт, объединяли и упаривали досуха с получением 720 мг (72%) 2,4-диметил-3-карбоксиэтилпиррола.
Пример 5
4,4-Дифтор-5-(2-тиенил)-1,3-диметил-4-бора-3а,4а-диаза-s-индацен-2-пропионовая кислота (5)
Метиловый эфир 4,4-дифтор-5-(2-тиенил)-1,3-диметил-4-бора-3а,4а-диаза-s-индацен-2-пропионовой кислоты (соединение 4) (107 мг, 0,27 ммоль) растворяли в смеси тетрегидрофуран:вода (3:2, 50 мл). Добавляли фосфорную кислоту (85%, 3 мл) и смесь кипятили с обратным холодильником в течение 5 дней. Реакционную смесь разбавляли водой и продукт экстрагировали дихлорметаном. Органическую фазу сушили сульфатом натрия и упаривали досуха. Продукт очищали колоночной хроматографией с использованием силикагеля в качестве неподвижной фазы и смеси дихлорметан:метанол (10:1, об/об) в качестве элюента. Фракции, содержащие желаемый продукт, объединяли и упаривали досуха. Продукт кристаллизовали из смеси дихлорметан:петролейный эфир с получением 68 мг (66%) 4,4-дифтор-5-(2-тиенил)-1,3-диметил-4-бора-3а,4а-диаза-s-индацен-2-пропионовой кислоты (соединение 5).
1Н ЯМР (Broker AM200, ДМСО-d6, 200MHz, м.д.): 2,22 (с, 3H, Ar-СН3), 2,40 (т, 2H, -СН2-), 2,51 (с, 3H, Ar-СН3), 2,63 (т, 2H, -CH2-), 6,80 (д, 1H, ArH), 7,11 (д, 1H, ArH), 7,19 (дд, 1H, ArH), 7,69 (с, 1H, Ar-CH=), 7,73 (д, 1H, ArH), 7,88 (д, 1H, ArH).
Пример 6
Сукцинимидиловый эфир 4,4-дифтор-5-(2-тиенил)-1,3-диметил-4-бора-3а,4а-диаза-s-индацен-2-пропионовой кислоты (6)
4,4-Дифтор-5-(2-тиенил)-1,3-диметил-4-бора-3а,4а-диаза-s-индацен-2-пропионовую кислоту (соединение 5) (57 мг, 0,15 ммоль) растворяли в безводном N,N-диметилформамиде (3 мл). Добавляли N,N’-дициклогексилкарбодиимид (47 мг, 0,23 ммоль) и N-гидроксисукцинимид (52 мг, 0,45 ммоль) и смесь перемешивали при комнатной температуре в течение 20 час. Реакционную смесь разбавляли дихлорметаном и осажденную N,N’-дициклогексилмочевину отфильтровывали. Фильтрат упаривали досуха и продукт очищали колоночной хроматографией с использованием диоксида кремния в качестве неподвижной фазы и смеси дихлорметан:ацетон:уксусная кислота (100:8:1, об/об/об) в качестве элюента. Фракции, содержащие желаемый продукт, объединяли и упаривали досуха. Продукт сушили в вакуумном эксикаторе с получением 35 мг (75%) сукцинимидилового эфира 4,4-дифтор-5-(2-тиенил)-1,3-диметил-4-бора-3а,4а-диаза-s-индацен-2-пропионовой кислоты (соединение 6).
1H ЯМР (Bruker AM200, CDCl3, 200MHz, м.д.): 2,23 (с, 3H, Ar-СН3), 2,61 (с, 3H, Ar-СН3), 2,74-2,82 (2t, 4H, 2х -СН2-), 2,86 (с, 4H, -CH2-) 6,72 (д, 1H, ArH), 6,93 (д, 1H, ArH), 7,08 (с, 1H, Ar-CH=), 7,15 (дд, 1H, ArH), 7,41 (д, 1H, ArH), 8,06 (д, 1H. ArH).
Пример 7
Glu-Tau-производное 4,4-дифтор-5-(2-тиенил)-1,3-диметил-4-бора-3а,4а-диаза-s-индацен-2-пропионовой кислоты (7)
Сукцинимидиловый эфир 4,4-дифтор-5-(2-тиенил)-1,3-диметил-4-бора-3а,4а-диаза-s-индацен-2-пропионовой кислоты (соединение 6) (35 мг, 0,074 ммоль) и Glu-Tau-линкер (соединение 18) (19 мг, 0,074 ммоль) растворяли в безводном N,N-диметилформамиде (1 мл). Добавляли безводный триэтиламин (31 мкл, 0,22 ммоль) и реакционную смесь перемешивали при комнатной температуре в течение 30 мин. Реакционную смесь упаривали досуха при пониженном давлении. Неочищенный продукт использовали без дополнительной очистки.
МС (Voyager DE-PRO, MALDI TOF, PerSeptive Biosystems, матрица -циано-4-коричной кислоты, отрицательная мода): Рассчитано 609 (М-1), найдено 609 (М-1).
Пример 8
Glu-Tau-сукцинимидное производное 4,4-дифтор-5-(2-тиенил)-1,3-диметил-4-бора-3а,4а-диаза-s-индацен-2-пропионовой кислоты (8)
Glu-Tau-производное 4,4-дифтор-5-(2-тиенил)-1,3-диметил-4-бора-3а,4а-диаза-s-индацен-2-пропионовой кислоты (соединение 7) (0,074 ммоль) растворяли в безводном N,N-диметилформамиде (2 мл). Добавляли N,N’-дициклогексилкарбодиимид (46 мг, 0,22 ммоль) и N-гидроксисукцинимид (26 мг, 0,22 ммоль) и смесь перемешивали при комнатной температуре в течение 48 часов. Осажденную N,N’-дициклогексилмочевину отфильтровывали и фильтрат упаривали досуха. Продукт сушили в вакуумном эксикаторе и использовали без дополнительной очистки.
МС (Voyager DE-PRO, MALDI TOF, PerSeptive Biosystems, матрица -циано-4-коричной кислоты, отрицательная мода): Рассчитано 706 (М-1), найдено 706 (М-1).
Пример 9
Glu-Tau-сукцинимидное производное 4,4-дифтор-5-(2-пирролил)-1,3-диметил-4-бора-3а,4а-диаза-s-индацен-2-пропионовой кислоты (9)
Glu-Tau-сукцинимидное производное 4,4-дифтор-5-(2-пирролил)-1,3-диметил-4-бора-3а,4а-диаза-s-индацен-2-пропионовой кислоты (соединение 9) получали способом, описанным в примерах 7 и 8, с использованием в качестве исходного соединения 4,4-дифтор-5-(2-пирролил)-1,3-диметил-4-бора-3а,4а-диаза-s-индацен-2-пропионовой кислоты.
МС (Voyager DE-PRO, MALDI TOF, PerSeptive Biosystems, матрица -циано-4-коричной кислоты, отрицательная мода): Рассчитано 689 (М-1), найдено 689 (М-1).
Пример 10
Glu-Tau-сукцинимидное производное 4,4-дифтор-5-фенил-1,3-диметил-4-бора-3а,4а-диаза-s-индацен-2-пропионовой кислоты (10)
Glu-Tau-сукцинимидное производное 4,4-дифтор-5-фенил-1,3-диметил-4-бора-3а,4а-диаза-s-индацен-2-пропионовой кислоты, соединение 10, получали способом, описанным в примерах 7 и 8, с использованием в качестве исходного соединения сукцинимидилового эфира 4,4-дифтор-5-фенил-1,3-диметил-4-бора-3а,4а-диаза-s-индацен-2-пропионовой кислоты.
МС (Voyager DE-PRO, MALDI TOF, PerSeptive Biosystems, матрица -циано-4-коричной кислоты, отрицательная мода): Рассчитано 700 (М-1), найдено 700 (М-1).
Пример 11
Glu-Tau-сукцинимидное производное 4,4-дифтор-5-(4-метоксифенил)-1,3-диметил-4-бора-3а,4а-диаза-s-индацен-2-пропионовой кислоты (11)
Glu-Tau-сукцинимидное производное 4,4-дифтор-5-(4-метоксифенил)-1,3-диметил-4-бора-3а,4а-диаза-s-индацен-2-пропионовой кислоты, соединение 11, получали способом, описанным в примерах 7 и 8, с использованием в качестве исходного соединения сукцинимидилового эфира 4,4-дифтор-5-(4-метоксифенил)-1,3-диметил-4-бора-3а,4а-диаза-s-индацен-2-пропионовой кислоты.
МС (Voyager DE-PRO, MALDI TOF, PerSeptive Biosystems, матрица -циано-4-коричной кислоты, отрицательная мода): Рассчитано 730 (М-1), найдено 730 (М-1).
Пример 12
Glu-Tau-сукцинимидное производное 4,4-дифтор-5-стирил-1,3-диметил-4-бора-3а,4а-диаза-s-индацен-2-пропионовой кислоты (12)
Glu-Tau-сукцинимидное производное 4,4-дифтор-5-стирил-1,3-диметил-4-бора-3а,4а-диаза-s-индацен-2-пропионовой кислоты, соединение 12, получали способом, описанным в примерах 7 и 8, с использованием в качестве исходного соединения сукцинимидилового эфира 4,4-дифтор-5-стирил-1,3-диметил-4-бора-3а,4а-диаза-s-индацен-2-пропионовой кислоты.
МС (Voyager DE-PRO, MALDI TOF, PerSeptive Biosystems, матрица -циано-4-коричной кислоты, отрицательная мода): Рассчитано 726 (М-1), найдено 726 (М-1).
Пример 13
Glu-Tau-сукцинимидное производное 4,4-дифтор-5-(4-метоксистирил)-1,3-диметил-4-бора-3а,4а-диаза-s-индацен-2-пропионовой кислоты (13)Glu-Tau-сукцинимидное производное 4,4-дифтор-5-(4-метоксистирил)-1,3-диметил-4-бора-3а,4а-диаза-s-индацен-2-пропионовой кислоты, соединение 13, получали способом, описанным в примерах 7 и 8, с использованием в качестве исходного соединения сукцинимидилового эфира 4,4-дифтор-5-(4-метоксистирил)-1,3-диметил-4-бора-3а,4а-диаза-s-индацен-2-пропионовой кислоты.
МС (Voyager DE-PRO, MALDI TOF, PerSeptive Biosystems, матрица -циано-4-коричной кислоты, отрицательная мода): Рассчитано 756 (М-1), найдено 756 (М-1).
Пример 14
Glu-Tau-аминопроизводное 4,4-дифтор-5-(2-тиенил)-1,3-диметил-4-бора-3а,4а-диаза-s-индацен-2-пропионовой кислоты (14)
Glu-Tau-сукцинимидное производное 4,4-дифтор-5-(2-тиенил)-1,3-диметил-4-бора-3а,4а-диаза-s-индацен-2-пропионовой кислоты (соединение 8) (0,062 ммоль) растворяли в безводном N,N-диметилформамиде (3 мл). Добавляли триэтиламин (26 мкл, 0,185 ммоль) и этилендиамин (42 мкл, 0,62 ммоль) и смесь перемешивали при комнатной температуре в течение 30 мин. Реакционную смесь упаривали досуха и продукт осаждали из смеси дихлорметан-тетрахлорид углерода. Продукт, соединение 14, сушили в вакуумном эксикаторе и использовали без дополнительной очистки.
МС (Voyager DE-PRO, MALDI TOF, PerSeptive Biosystems, матрица -циано-4-коричной кислоты, отрицательная мода): Рассчитано 651 (М-1), найдено 651 (М-1).
Пример 15
Glu-Tau-ариламинопроизводное 4,4-дифтор-5-(2-тиенил)-1,3-диметил-4-бора-3а,4а-диаза-s-индацен-2-пропионовой кислоты (15)
Glu-Tau-сукцинимидное производное 4,4-дифтор-5-(2-тиенил)-1,3-диметил-4-бора-3а,4а-диаза-s-индацен-2-пропионовой кислоты (соединение 8) (0,074 ммоль) растворяли в безводном N,N-диметилформамиде (3 мл). Добавляли триэтиламин (31 мкл, 0,22 ммоль) и 4-(2-аминоэтил)анилин (15 мг, 0,11 ммоль) и смесь перемешивали при комнатной температуре в течение 3 часов. Реакционную смесь упаривали досуха и продукт осаждали из смеси дихлорметан/тетрахлорид углерода. Продукт, соединение 15, сушили в вакуумном эксикаторе и использовали без дополнительной очистки.
МС (Voyager DE-PRO, MALDI TOF, PerSeptive Biosystems, матрица -циано-4-коричной кислоты, отрицательная мода): Рассчитано 727 (М-1), найдено 727 (М-1).
Пример 16
Glu-Tau-изотиоцианатопроизводное 4,4-дифтор-5-(2-тиенил)-1,3-диметил-4-бора-3а,4а-диаза-s-индацен-2-пропионовой кислоты (16)
Glu-Tau-ариламинопроизводное 4,4-дифтор-5-(2-тиенил)-1,3-диметил-4-бора-3а,4а-диаза-s-индацен-2-пропионовой кислоты (соединение 15) (0,048 ммоль) растворяли в смеси ацетона (9 мл) и NaHCO3 (9 мл, водн., насыщ.). Добавляли тиофосген (183 мкл, 2,4 ммоль) и смесь перемешивали при комнатной температуре в течение 1,5 час. Реакционную смесь разбавляли водой (50 мл) и дихлорметаном (50 мл). Водную фазу дважды промывали дихлорметаном (40 мл). Продукт, содержащий водную фазу, экстрагировали фенолом (2·20 мл). Продукт, содержащий фенольную фазу, промывали водой (40 мл) и разбавляли диэтиловым эфиром (200 мл). Фазу фенол/диэтиловый эфир экстрагировали водой (4·30 мл) и объединенную водную фазу дважды промывали диэтиловым эфиром (30 мл). Продукт, содержащий водную фазу, упаривали досуха и продукт осаждали из смеси дихлорметан-тетрахлорид углерода. Продукт, соединение 16, сушили и хранили в вакуумном эксикаторе.
МС (Voyager DE-PRO, MALDI TOF, PerSeptive Biosystems, матрица -циано-4-коричной кислоты, отрицательная мода): Рассчитано 769 (М-1), найдено 769 (М-1).
Пример 17
Glu-Tau-малеимидное производное 4,4-дифтор-5-(2-тиенил)-1,3-диметил-4-бора-3а,4а-диаза-s-индацен-2-пропионовой кислоты (17)
Glu-Tau-аминопроизводное 4,4-дифтор-5-(2-тиенил)-1,3-диметил-4-бора-3а,4а-диаза-s-индацен-2-пропионовой кислоты (соединение 14) (0,015 ммоль) растворяли в безводном N,N-диметилформамиде (3 мл). Добавляли триэтиламин (2,1 мкл, 0,015 ммоль) и N-сукцинимидил 4-малеимидобутират (3,2 мг, 0,020 ммоль) и смесь перемешивали при комнатной температуре в течение 2 часов. Реакционную смесь упаривали досуха и продукт осаждали из смеси дихлорметан-тетрахлорид углерода. Продукт, соединение 17, снова сушили и хранили в вакуумном эксикаторе.
МС (Voyager DE-PRO, MALDI TOF, PerSeptive Biosystems, матрица -циано-4-коричной кислоты, отрицательная мода): Рассчитано 816 (М-1), найдено 816 (М-1).
Пример 18
Glu-Tau-линкер (18)
Производное глутаминовой кислоты, ВОС-Glu(OtBu)-OSu (Nova Biochem, 500 мг, 1,25 ммоль) растворяли в безводном N,N-диметилформамиде (5 мл). В растворе триэтиламина (1,20 мл, 8,75 ммоль) в воде (10 мл) растворяли таурин (782 мг, 6,25 ммоль). Раствор таурина добавляли к раствору ВОС-Glu(OtBu)-OSu и реакционную смесь перемешивали при комнатной температуре в течение 30 мин. Добавляли этанол, осажденный таурин отфильтровывали и фильтрат упаривали досуха. Остаток растворяли в трифторуксусной кислоте (2 мл) и перемешивали при комнатной температуре в течение 2 часов. Реакционную смесь упаривали досуха и остаток растворяли в смеси дихлорметан:метанол. Продукт (соединение 18) осаждали в виде белого твердого вещества при медленном выпаривании метанола на роторном испарителе. Желаемый Glu-Tau-линкер (соединение 18) получали с выходом 64% (204 мг).
МС (ZABSpec-oaTOF, Fisons Instruments, глицериновая матрица): Рассчитано 255 (М+1), найдено 255 (М+1).
Пример 19
Измерения выходов двухфотонной флуоресценции выбранных двухфотонных флуоресцентных красителей с использованием лазера с высокой эффективностью двухфотонного возбуждения
Выходы двухфотонной флуоресценции измеряли с использованием экспериментального устройства, схематически показанного на Фиг.5. Родамин С (Eastman Kodak) выбирали в качестве стандарта для сравнения из-за его хорошо охарактеризованных флуоресцентных свойств. Три красителя на основе дифторида дипиррометенбора, имеющие названия BODIPY 530/550, BODIPY 558/568 и BODIPY 564/576, а также R-фикоэритрин (R-РЕ) закупали у фирмы Molecula Probes. Все органические красители растворяли в N,N-диметилформамиде и разводили абсолютным этанолом до концентрации 100 нМ. Исходный раствор R-РЕ разбавляли забуференным фосфатом солевым раствором (50/150 нМ, рН 7,4). Результаты представлены в таблице 1. Результаты нормированы по отношению к сигналу Родамина С (100). Как видно из таблицы 1, выходы флуоресценции красителей на основе дифторида дипиррометенбора того же порядка, что и выход флуоресценции Родамина С. Высокие выходы флуоресценции красителей на основе дифторида дипиррометенбора делают их привлекательной альтернативой красителям типа Родамина С. R-фикоэритрин имеет самый высокий выход флуоресценции из представленных в таблице красителей. Однако применимость R-РЕ ограничена из-за крупных размеров. Сложность селективной активации R-РЕ также ограничивает его использование в качестве метки.
Таблица 1 Выходы двухфотонной флуоресценции выбранных двухфотонных флуоресцентных красителей |
| Флуоресцентный краситель |
Нормализованный выход двухфотонной флуоресценции [a.u.] |
| красители на основе дифторида дипиррометенбора |
| Соединение 3 |
18 |
| Соединение 8 |
219 |
| BODIPY 530/550 |
66 |
| BODIPY 558/568 |
101 |
| BODIPY 564/576 |
128 |
| Родамин С |
100 |
| R-РЕ |
618 |
Пример 20
Мечение мышиных IgG анти-AFP двухфотонным флуоресцентным красителем на основе дифторида дипиррометенбора 3
К раствору 1,5 мг (9,3 ммоль) мышиного IgG анти-AFP (клон А) в 400 мкл забуференного фосфатом солевого раствора (10/150 нМ, рН 7,4) добавляли 20-кратное избыточное количество соединения 3 в безводном N,N-диметилформамиде (25 мкл, конц.=7,5 мМ). Добавляли 40 мкл NaHCO3 (1М, водн.) и смесь инкубировали при комнатной температуре в течение 2 час. Продукт очищали на гель-фильтрационной колонке NAP-5 (Amersham Pharmacia Biotach, Uppsala, Sweden), используя в качестве элюента забуференный фосфатом солевой раствор (50/150, 10 мМ NaN3, рН 7,4). Подвижную оранжевую фракцию быстро собирали и степень мечения определяли спектрофотометрически. Получали степень мечения 5 флуорофоров на белок.
Пример 21
Сравнение R-РЕ, Alexa 532 (Molecular Probes) и красителя на основе дифторида дипиррометенбора (3) в иммуноанализе с использованием микрочастиц
Модель анализа представляет собой иммунометрический анализ без разделения, использующий 3,1 мкм амино-модифицированных полистирольных микрочастиц (Amino Modified Microspheres PA05N, Bangs Laboratories, Inc., Fishers, IN, USA) в качестве твердой фазы. Фрагменты мышиных моноклональных анти-IgG Fab’ (клон В) ковалентно связывали с микрочастицами с использованием гетеробифункционального -малеимидокапроилоксисукцинимидного линкера. Исходную суспензию анти-AFP-покрытых микрочастиц разводили буфером для анализа TRIS рН 8,0 до концентрации частиц 0,05%. Мышиные моноклональные IgG анти-AFP (клон А) метили красителем на основе дифторида дипиррометенбора (соединение 3), Alexa 532 (Molecular Probes, Eugene, Oregon) или R-РЕ (Molecular Probes, Eugene, Oregon) и использовали в качестве индикатора. Индикаторы разводили буфером для анализа до конечной концентрации 1,58 нМ (соединение 3), 1,45 нМ (Alexa 532) и 0,78 нМ (R-РЕ, Molecular Probes). 5 мкл суспензии микрочастиц и 10 мкл индикатора смешивали вместе с 10 мкл стандартного вещества Alpha-1-fetoprotein (X0900, Dako A/S, Denmark). Реакционную смесь инкубировали в течение 2 часов при 37°С и измерения проводили в той же реакционной кювете с использованием экспериментального устройства, схематически показанного на Фиг.5. Результаты приведены в Таблице 2 и на Фиг.4.
Концентрации индикаторов оптимизировали независимо от каждого индикатора. Краситель на основе дифторида дипиррометенбора дает самый низкий фоновый сигнал, даже при том, что его использовали в более высокой концентрации, чем индикаторы R-РЕ или Alexa 532. Фоновый сигнал анализа является важным, т.к. это связано с чувствительностью анализа. Наиболее важным источником фонового сигнала является свободная фракция меченого антитела (индикатор) в реакционной суспензии. Фоновые уровни трех различных индикаторов представлены в Таблице 2 и на Фиг.4. Результаты ясно показывают, что наилучшее соотношение сигнал:фон получают с индикатором, меченым красителем на основе дифторида дипиррометенбора. Более того, при сравнении результатов анализа с результатами измерений в растворе (пример 19, таблица 1) видно, что соотношение сигналов двухфотонной флуоресценции между R-РЕ и соединением 3 сильно изменилось. В измерениях в растворе (таблица 1) отношение сигналов R-РЕ:соединение 3 было 34 (618/18=34) в пользу R-РЕ, тогда как при измерении частиц (таблица 2) отношение составило только 3,2 (25,6/8=3,2) в пользу R-РЕ.
Таблица 2 Сигнал двухфотонной флуоресценции (TPF) от поверхности микрочастиц в AFP иммуноанализе без разделения. Сигнал нулевой концентрации AFP в основном исходит от свободного индикатора в растворе (=фоновому сигналу) |
| Концентрация AFP[нг/мл] |
Сигнал TPF (R-РЕ индикатор) |
Сигнал TPF (Alexa 532 индикатор) |
Сигнал TPF (индикатор – соединение 3) |
| 0 |
1,80 |
0,72 |
0,50 |
| 1 |
2,75 |
1,35 |
0,71 |
| 2 |
3.10 |
1.40 |
1,00 |
| 5 |
4,20 |
2,40 |
1,50 |
| 10 |
6,90 |
3,50 |
2,00 |
| 50 |
25,6 |
12,0 |
8,00 |
| 200 |
61,0 |
20,0 |
18,0 |
| 500 |
64,0 |
22,0 |
38,0 |
Пример 22
Измерения эффекта отдельного импульса
Непосредственное измерение гашения под действием отдельного импульса очень трудно осуществимо. Однако его можно измерить косвенно, путем определения аксиального разрешения в растворе красителя. Глубинный компонент (z-ответ) наиболее склонен к изменению разрешения. Z-ответ измеряют с использованием прибора, описанного на Фиг.5. Кювету для образца на Фиг.5 заменяли парой предметных стекол. Растворы красителя помещали между этими двумя предметными стеклами. По мере медленного продвижения пробы раствора красителя к фокусу записывали постоянное нарастание сигнала. Максимальный сигнал получают, когда фокальный объем полностью перекрывает образец. Для различных красителей был зарегистрирован интервал интенсивности флуоресценции от 20% до 80%, данные представлены в таблице 3. Интервал интенсивности флуоресценции для красителей на основе дифторида дипиррометенбора меньше, чем те же величины для R-фикоэритрина или Родамина С. Таким образом, красители на основе дифторида дипиррометенбора предлагают лучшее пространственное разрешение и лучшее отношение сигнал:фон, чем у родаминов или R-РЕ в системе двухфотонного возбуждения с использованием лазера с высокой эффективностью двухфотонного возбуждения. Такой результат хорошо согласуется с результатом измерений микрочастиц, описанном в Примере 21.
Таблица 3 Значения интервала интенсивности двухфотонной флуоресценции 20%-80% выбранных двухфотонных флуоресцентных красителей |
| флуоресцентный краситель |
Значения интервала интенсивности флуоресценции 20%-80% [a.u.] |
| красители на основе дифторида дипиррометенбора |
| Соединение 3 |
11,5 |
| Соединение 8 |
12,6 |
| BODIPY 530/550 |
12,2 |
| BODIPY 558/568 |
13,7 |
| BODIPY 564/576 |
14.1 |
| Родамин С |
16,5 |
| R-РЕ |
21,5 |
Пример 23
Мечение олигонуклеотидов соединением 6 и соединением 8
К раствору 5′-аминомодифицированного олигонуклеотида (17 оснований, 28 мкг, 5 нмоль) в карбонатном буфере (200 мкл, 100 мМ, рН 8,5) добавляли 40-кратное избыточное количество агента мечения (соединение 6 или 8) в безводном ДМФА (50 мкл). Реакционную смесь инкубировали при 22°С в течение 20 часов. Меченые олигонуклеотиды очищали с использованием ВЭЖХ с обращенной фазой (колонка RP-18) и метода градиентного элюирования. Использовали растворители А: 2% ацетонитрил в буфере ацетата триэтиламмония (50 мМ, рН 7) и В: 70% ацетонитрил в буфере ацетата триэтиламмония (50 мМ, рН 7). Градиент начинали с 5% растворителя В и количество растворителя В линейно увеличивали до 40% за 25 минут. Оба конъюгата краситель-олигонуклеотид (меченые соединением 6 или соединением 8) элюировали между 18 и 22 минутами, тогда как немеченый олигонуклеотид элюировался в момент времени 10 мин. Несвязавшийся агент мечения удаляли из колонки увеличением количества растворителя В до 100%.
Концентрации меченых олигонуклеотидов определяли спектрофотометрически. Получали выход мечения 25% (соединение 6) и 20% (соединение 8). Меченые олигонуклеотиды разводили до эквимолярных концентраций и выходы флуоресценции определяли методами как однофотонного, так и двухфотонного возбуждения. Как результат, было найдено, что выход флуоресценции олигонуклеотида, меченного соединением 8, на один порядок выше в сравнении с олигонуклеотидом, меченым соединением 6. Такой же результат был получен при использовании методов как однофотонного, так и двухфотонного возбуждения. Более высокий выход флуоресценции олигонуклеотида, меченного соединением 8, можно объяснить повышенной гидрофильностью используемого для мечения соединения и увеличенным расстоянием между меткой и олигонуклеотидом.
Пример 24
Мечение мышиных IgG анти-AFP флуоресцентными красителями на основе дифторида дипиррометенбора (6 и 8)
К раствору 0,2 мг (1,25 ммоль) мышиного IgG анти-AFP (клон А) в 40 мкл забуференного фосфатом солевого раствора (10/150 нМ, рН 7,4) добавляли 5-кратное избыточное количество (6,25 нмоль) соединения 6 или соединения 8 в безводном N,N-диметилформамиде. Добавляли 4 мкл NaHCO3 (1М, водн.) и смесь инкубировали при комнатной температуре в течение 3 часов. Продукт очищали на гель-фильтрационной колонке NAP-5 (Amersham Pharmacia Biotach, Uppsala, Sweden), используя в качестве элюента забуференный фосфатом солевой раствор (50/150, 10 мМ NaN3, рН 7,4). Подвижные окрашенные фракции быстро собирали. Степень мечения этих белковых конъюгатов (соединения 6 и 8) определяли спектрофотометрически. Получали степень мечения 2,3 (соединение 6) и 2,5 (соединение 8) флуорофоров на белок.
Пример 25
Сравнение индикаторов антител, меченных соединением 6 и соединением 8 в иммуноанализе с использованием микрочастиц
AFP анализ осуществляли, используя 3,2 мкм карбокси-модифицированных полистирольных микрочастиц (Carboxy Modified Microspheres PA05N, Bangs Laboratories, Inc., Fishers, IN, USA) в качестве твердой фазы. Мышиные моноклональные анти-AFP IgG (клон В) ковалентно связывали с микрочастицами с использованием EDAC (1-этил-3-(диметиламинопропил)карбодиимид) метода связывания (TechNote #205, Bangs Laboratories, Inc., Fishers, IN, U.S.A.). Исходную суспензию анти-AFP-покрытых микрочастиц разводили буфером для анализа TRIS рН 8,0 до концентрации частиц 1,5·107 частиц/мл. Мышиные моноклональные IgG анти-AFP (клон А) метили красителем на основе дифторида дипиррометенбора (соединение 6 или 8) и использовали в качестве индикатора. Индикаторы разводили буфером для анализа до конечной концентрации 16 нМ. 5 мкл суспензии микрочастиц и 5 мкл индикатора смешивали вместе с 10 мкл стандартного вещества Alpha-1-Fetoprotein (X0900, Dako A/S, Denmark). Реакционную смесь инкубировали в течение 2 час при 37°С и измерения проводили в той же реакционной кювете с использованием экспериментального устройства, схематически показанного на Фиг.5. Результаты приведены в Таблицах 4 и 5.
Таблица 4 AFP иммуноанализ с использованием индикатора, меченного соединением 6. Все концентрации измеряли на шести параллельных пробах. |
| Концентрация AFP [нг/мл] |
2PF-сигнал (средний от 6 параллельных измерений) |
Стандартное отклонение (SD) |
Коэффициент отклонения (%) (CV) |
Сигнал-фон (S-S0) |
| 0 |
6,03 |
9,03 |
149,66 |
0,00 |
| 0,1 |
3,02 |
0,67 |
22,26 |
-3,01 |
| 1 |
6,63 |
5,14 |
77,46 |
0,60 |
| 5 |
12,74 |
3,28 |
25,71 |
6,71 |
| 10 |
18,18 |
3,63 |
19,96 |
12,15 |
| 20 |
45,01 |
7,83 |
17,40 |
38,98 |
| 100 |
141,46 |
23,13 |
16,35 |
135,43 |
| 400 |
249,48 |
27,66 |
11,09 |
243,45 |
| 1000 |
260,98 |
31,94 |
12,24 |
254,95 |
Чувствительность анализа часто определяют, вычисляя стандартное отклонение (SD) сигнала от параллельных образцов при нулевой концентрации аналита. Самую низкую концентрацию аналита, которая дает более сильный сигнал, чем 3SD (стандартное отклонение при нулевой концентрации аналита, умноженное на 3), обычно используют для определения чувствительности анализа.
На чувствительность анализа сильное влияние оказывает фоновый сигнал (отношение сигнал:фон), как описано в примере 21, и повторяемость измерений.
Таблица 5 AFP иммуноанализ с использованием индикатора, меченного соединением 8. Все концентрации измеряли на шести параллельных пробах. |
| Концентрация AFP [нг/мл] |
2PF-сигнал (средний от 6 параллельных измерений) |
Стандартное отклонение (SD) |
Коэффициент отклонения (%) (CV) |
Сигнал-фон (S-S0) |
| 0 |
5,11 |
0,28 |
5,46 |
0,00 |
| 0,1 |
5,88 |
0,26 |
4,47 |
0,77 |
| 1 |
7,05 |
0,35 |
5,00 |
1,94 |
| 5 |
13,36 |
0,79 |
5,95 |
8,25 |
| 10 |
20,65 |
1,52 |
7,38 |
15,54 |
| 20 |
39,37 |
3,80 |
9,66 |
34,26 |
| 100 |
140,33 |
20,25 |
14,43 |
135,23 |
| 400 |
274,69 |
16,79 |
6,11 |
269,58 |
| 1000 |
333,22 |
12,45 |
3,74 |
328,12 |
Результаты, представленные в таблицах 4 и 5, ясно показывают, что индикатор, меченный гидрофильным красителем на основе дифторида дипиррометенбора (соединение 8), обеспечивает более чувствительный анализ. Разница в величинах 3SD между двумя индикаторами неожиданно большая, более чем на порядок (3SD соединения 8=0,84 против 3SD соединения 6=27). Это означает, что индикатор, меченный гидрофильным красителем на основе дифторида дипиррометенбора (соединение 8) обеспечивает чувствительность анализа на порядок выше, чем индикатор, меченный гидрофобным красителем на основе дифторида дипиррометенбора (соединение 6). В среднем, оба индикатора дают ответ, который зависит от концентрации аналита, тогда как индикатор, меченный гидрофильным красителем на основе дифторида дипиррометенбора (соединение 8) демонстрирует несколько более высокий уровень сигнала. Кроме того, индикатор, меченный гидрофильным красителем на основе дифторида дипиррометенбора (соединение 8) обеспечивает заметно более низкое отклонение сигнала (коэффициент отклонения) на протяжении всего анализа в сравнении с индикатором, меченным гидрофобным красителем (соединение 6).
Должно быть понятно, что способы по настоящему изобретению могут включать различные варианты воплощения, и только некоторые из них раскрыты в данной заявке. Специалисту в данной области техники должно быть понятно, что существуют другие варианты воплощения, которые не выходят за рамки объема данного изобретения. Таким образом, описанные варианты воплощения изобретения являются иллюстративными и не должны рассматриваться как ограничивающие.
Формула изобретения
1. Биоаналитический способ без разделения для измерения аналита из биологической жидкости или суспензии, в котором используют микрочастицы аналита в качестве первого биоспецифического реагента, второй биоспецифический реагент, меченный двухфотонным флуоресцентным красителем на основе дифторида дипиррометенбора, в указанном способе фокусируют лазер в реакционную суспензию, измеряют двухфотонно-возбуждаемую флуоресценцию от отдельных микрочастиц при их произвольном течении или направляемых давлением излучения возбуждающего лазера через фокальный объем лазерного луча, отличающийся тем, что названный двухфотонный флуоресцентный краситель на основе дифторида дипиррометенбора имеет структуру (II)

где R1 представляет собой замещенную или незамещенную фенильную, 2-тиенильную, 2-пирролильную или фенилэтенильную группу; группы R2, R3, R4, R5, R6 или R7 каждая независимо является водородом или замещенной или незамещенной алкильной группой и, по меньшей мере, одна из групп R2, R3, R4, R5, R6 или R7 является замещенной для получения химически активной группы, выбранной из группы, включающей карбоновую кислоту, реакционноспособный эфир карбоновой кислоты, ангидрид карбоновой кислоты, малеимид, амин и изотиоцианат; и, по меньшей мере, одна из групп R1, R2, R3, R4, R5, R6 или R7 является замещенной для получения группы, придающей водорастворимость, выбранной из группы, включающей соль аммония или щелочного металла сульфоновой или карбоновой кислоты.
2. Способ по п.1, отличающийся тем, что R1 представляет собой 2-тиенильную, 2-пирролильную, фенильную или фенилэтенильную группу и R6 представляет собой остаток формулы

где Х+ представляет катион.
3. Способ по п.1, отличающийся тем, что указанная химически активная группа представляет собой сукцинимидиловый эфир.
4. Способ по п.1, отличающийся тем, что указанный второй биоспецифический реагент представляет собой биологически активную молекулу, выбранную из группы, включающей гаптен, олигонуклеотид, антитело и фрагмент антитела.
5. Способ по п.1, отличающийся тем, что указанный аналит представляет собой биологически активную молекулу, выбранную из группы, включающей гаптен, олигонуклеотид, нуклеотид, нуклеиновую кислоту, белок, антитело и фрагмент антитела.
РИСУНКИ
|
|