Патент на изобретение №2296131
|
|||||||||||||||||||||||||||||||||||||||||||||||||||||||||||||||||||||||||||||||||||||||||||||||||||||||||||||||||||||||||||||||||||||||||||||||||||||||
(54) ГЕМИНПЕПТИД, ЕГО ФАРМАЦЕВТИЧЕСКИ ПРИЕМЛЕМЫЕ СОЛИ И ПРИМЕНЕНИЕ В КАЧЕСТВЕ ПРОТИВОВИРУСНОГО И ВИРУЛЕЦИДНОГО АГЕНТА
(57) Реферат:
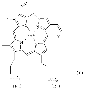
Изобретение относится к области химии и медицины. Предложен геминпептид общей формулы (I):
где R1=-ArgTrpHisArgLeuLysGlu(OMe)OH, R2=-OH, Y представляет собой Cl; Me представляет собой Fe или его фармацевтически приемлемые соли, обладающий вирулецидной и противовирусной активностью, в том числе в отношении вируса герпеса и ВИЧ и способностью разрушать ДНК фага
Изобретение относится к химии и медицине, а именно к производным гемина, представляющим собой конъюгаты гемина с олигопептидом, обладающим вирулецидным и противовирусным действием, общей формулы I:
где R1 и R2 – заместители, которые представляют собой пептид, состоящий из не менее, чем 7 аминокислотных остатков; при этом карбоксильные группы пептида могут быть модифицированы C1-C8 алкиловым эфиром, а боковые функции пептида могут быть защищены, причем возможно, что R1=R2 или R1 Известные геминпептиды, как правило, нерастворимы в воде, и для них не установлено прямого вирулецидного действия. Задачей настоящего изобретения явилось создание нового водорастворимого геминпептида (II), обладающего одновременно вирулецидным и противовирусным действием, а также способностью разрушать природные и рекомбинантные ДНК фагов и вирусов. Объектом изобретения явился новый синтетический геминпептид (II), соответствующий общей формуле I и его фармацевтически приемлемые соли, где R1=OH, R2=ArgTrpHisArgLeuLysGlu(OMe)OH, отличающийся от известных близких по строению геминпептидов с противовирусным действием водорастворимостью и способностью прямо разрушать вирус (вирулецидностью). Предпочтительным по изобретению явился геминпептид (II), соответствующий общей формуле I: где R1=ArgTrpHisArgLeuLysGlu(OMe)OH, Y– представляет собой Cl–; Me представляет собой Fe. После очистки колоночной гель-хроматографией на сефадексе геминпептида (II) был получен с выходом 84%, считая на исходную аминокислоту на полимере. Геминпептид (II) хорошо растворим в воде. Геминпептид (II) может быть получен в виде фармацевтически приемлемых солей, например ацетатов, хлоридов, сульфатов, лактатов и т.д., путем варьирования природы кислоты при отщеплении геминпептида от полимера или превращено в таковую путем применения ионообменной хроматографии. Таким образом, предлагаемый геминпептид (II) получен с высоким выходом и высокой степенью чистоты и охарактеризован электронной и ИК-спектроскопией, масс-спектрометрией, ТСХ. Предпочтительный вариант синтеза геминпептида (II) отражен в примере 2. Список сокращений DCC – N,N’-дициклогексилкарбодиимид DMF – N,N’-диметилформамид Оме – метиловый эфир ТСХ – хроматография в тонком слое Fmoc – 9-флуоренилметилоксикарбонил FmocONsu – 9-флуоренилметилсукцинимидокарбонат 1-НОВТ – 1-гидроксибензотриазол TFE – трифторэтанол DCM – хлористый метилен Mtt – метилтритил mTrt – метокситритил TFA – трифторуксусная кислота ВЭЖХ – высокоэффективная жидкостная хроматография Экспериментальная часть В синтезе использовали L-аминокислоты и их производные фирмы Reanal (Венгрия), Bachem (Швейцария), а также синтезированные нами по известным методикам [Гершкович А.В., Кибирев В.К. Химический синтез пептидов. Киев: Наукова думка, 1992] с использованием FmocONSu. Индивидуальность полученных соединений подтверждали с помощью ТСХ на пластинах Kieselgel 60 F254 “Merck”(Германия) в системах: н-бутанол – пиридин – уксусная кислота – вода 63:36:6:45 (1), н-бутанол – пиридин – уксусная кислота – вода 30:20:6:24 (2). Аминокислоты и пептиды на хроматограммах обнаруживали с помощью раствора нингидрина и хлор-толидинового реагента, а также реактива Паули и реагента Эрлиха. ВЭЖХ осуществляли на хроматографе Breeze (Waters) (детектор Waters 2487) в условиях: колонка 4.6х250мм, Symmetry С 8,5 mkm; элюция градиентом 10 Пример 1. H-Arg-Trp-His-Arg-Leu-Lys-Glu(OMe)-OH(III) К 1 г полимера (Р-С1 1.43 ммоль СГ), предварительно набухшего в 10 мл дихлорэтана, добавляли свежеприготовленный раствор 0.548 г (1.43 ммоль) Fmoc-Glu(OMe)-OH и 0.50 мл (3.58 ммоль) триэтиламина в 6 мл дихлорэтана, перемешивали воздухом в течение 25 мин при 20°С. Реакцию останавливали прибавлением 20 мл смеси метанол-триэтиламин (9:1), перемешивали 1 мин. Аминоацилполимер отфильтровывали, промывали дихлоэтаном (2 мин х 3), DMF (2 мин х 2), изопропанолом (2 мин х 2), DMF (2 мин х 2), изопропанолом (2 мин х 2), метанолом (2 мин х 1), диэтиловым эфиром (2 мин х 2). Объем одной порции промывочного раствора 3 мл. Содержание К раствору 0.864 г (1.35 ммоль) Fmoc-Lys(mTrt)-OH в 6 мл DMF при охлаждении и перемешивании добавляли 0.18 г (1.35 ммоль) 1-НОВТ и 0.28 г (1.35 ммоль) DCC. Смесь перемешивали воздухом в течение 20 мин, прибавляли к деблокированному по вышеописанной методике аминоацилполимеру и перемешивали в течение 30 мин, оставляли на 24 ч при комнатной температуре, отфильтровывали, промывали DMF (1 минх 5.). Нингидриновый тест пробы дипептидилполимера отрицательный. К раствору 0.48 г (1.35 ммоль) Fmoc-Leu-OH в 6 мл DMF при охлаждении и перемешивании добавляли 0.18 г (1.35 ммоль) 1-НОВТ и 0.28 г (1.35 ммоль) DCC. Смесь перемешивали воздухом в течение 20 мин, прибавляли к деблокированному дипептидилполимеру и перемешивали в течение 30 мин, оставляли на 24 ч при комнатной температуре. Трипептидилполимер отфильтровывали, промывали аналогично описанному для дипептидилполимера. Нингидриновый тест отрицательный. К раствору 0.535 г (1.35 ммоль) Fmoc-Arg-OH в 6 мл DMF при охлаждении и перемешивании добавляли 0.415 мл (1.35 ммоль) 3.25 N НС1 в диоксане. Смесь перемешивали в течение 20 мин при 0°С, добавляли 0.18 г (1.35 ммоль) 1-НОВТ и 0.28 г (1.35 ммоль) DCC, перемешивали в течение 20 мин, прибавляли к деблокированному трипептидилполимеру и перемешивали в течение 30 мин, оставляли на 24 ч при комнатной температуре. Тетрапептидилполимер отфильтровывали, промывали аналогично описанному для дипептидилполимера. Нингидриновый тест положительный. Реакцию повторяли с 1.2 эквивалентом карбоксильного компонента. Оставляли на 2 ч. Нингидриновый тест отрицательный. К раствору 0.856 г (1.35 ммоль) Fmoc-His(Mtt)-OH в 6 мл DMF при охлаждении и перемешивании добавляли 0.18 г (1.35 ммоль) 1-НОВТ и 0.28 г (1.35 ммоль) DCC. Смесь перемешивали воздухом в течение 20 мин, прибавляли к деблокированному тетрапептидилполимеру и перемешивали в течение 30 мин, оставляли на 24 ч при комнатной температуре. Пентапептидилполимер отфильтровывали, промывали аналогично описанному для дипептидилполимера. Нингидриновый тест отрицательный. К раствору 0.576 г (1.35 ммоль) Fmoc-Trp-OH в 3 мл DMF при охлаждении и перемешивании добавляли 0.18 г (1.35 ммоль) 1-НОВТ и 0.28 г (1.35 ммоль) DCC. Смесь перемешивали воздухом в течение 20 мин, прибавляли к деблокированному пентапептидилполимеру и перемешивали в течение 30 мин, оставляли на 24 ч при комнатной температуре. Гексапептидилполимер отфильтровывали, промывали аналогично описанному для дипептидилполимера. Нингидриновый тест отрицательный. К раствору 0.369 г (0.93 ммоль) Fmoc-Arg-OH в 6 мл DMF при охлаждении и перемешивании добавляли 0.29 мл (0.93 ммоль) 3.25 N НС1 в диоксане. Смесь перемешивали в течение 20 мин при 0°С, добавляли 0.13 г (0.93 ммоль) 1-НОВТ и 0.19 г (0.93 ммоль) DCC, перемешивали в течение 20 мин, прибавляли к деблокированному гексапептидилполимеру и перемешивали в течение 30 мин, оставляли на 24 ч при комнатной температуре. Гептапептидилполимер отфильтровывали, промывали аналогично описанному для дипептидилполимера. Нингидриновый тест положительный. Реакцию повторяли с 1.5 эквивалентом карбоксильного компонента. Оставляли на 2 ч. Нингидриновый тест положительный. Реакцию повторяли с 1.5 эквивалентом карбоксильного компонента. Оставляли на 2 ч. Нингидриновый тест отрицательный. 3СООН-TFE-DCM. Суспензию перемешивали 2 ч при 20°С, затем смолу отделяли, промывали смесью СН3СООН-TFE-DCM. Растворители из фильтрата удаляли в вакууме. Остаток растирали с эфиром, выпавший осадок отделяли, сушили в вакууме над P2O5. Целевое вещество переосаждали 4 мл медицинского эфира из 1 мл н-бутилового спирта. Выход 0.037 г (62%), считая на исходную аминокислоту на полимере, Rf 0.17 (1). Масс-спектр, m/z: [M]+ 1038.5. ВЭЖХ: индивидуальный пик, время удерживания 11.386 мин. Пример 2. N Деблокировали 0.172 г гептапептидилполимера и прибавляли к нему раствор (0.23 ммоль) 6(7)-моно-N-оксисукцинимидного эфира протогемина IX в 7 мл DMF, перемешивали в течение 30 мин и оставляли на 24 ч при комнатной температуре. Гемингептапептидилполимер отделяли, промывали DMF (1 мин х 7). Нингидриновый тест отрицательный. К геминпептидилполимеру прибавляли 6 мл смеси СН3СООН-TFE-DCM, перемешивали 2 ч. Полимер отделяли, промывали смесью СН3СООН-TFE-DCM, 1 мин х 4. Растворители из фильтрата удаляли в вакууме. Остаток растирали с эфиром, выпавший осадок отделяли, сушили в вакууме над P2O5. Продукт очищали колоночной гель-хроматографией. Выход 0.109 г (84%). Rf 0.34 (2). Электронный спектр (метанол), Пример 3. Тестирование геминпептида (II) на противовирусную активность. Противовирусную активность геминпептида (II) исследовали на лимфобластоидных клетках МТ-4 после предварительного или одновременного с вирусом внесения в культуру клеток. Результаты тестирования представлены в табл.1.
Кроме того, противовирусная активность геминпептида (II) определялась иммуноферментным анализом на вирусный белок р-24 gag ВИЧ, характеризующий репликацию ВИЧ в клетке. Результаты тестирования представлены в табл.2.
Полученные данные свидетельствуют о том, что геминпептид(П) в концентрации 10-6-10-5 М оказывает противовирусное действие, в частности анти-ВИЧ, выражающиеся в ингибировании репликации вируса в культуре клеток in vitro, сравнимое с противовирусной активностью известного препарата” Ретровир”. Пример 4. Изучение цитотоксичности геминпептида (II) в отношении перевиваемых клеточных культур. Для изучения цитотоксичности геминпептида(П) использовали культуру диплоидных фибробластов эмбриона человека и перевиваемую культуру клеток зеленой мартышки VERO. Показано, что геминпептид (II) в концентрации 10-4 М не оказывает цитотоксического действия на обе использованные перевиваемые культуры клеток. Пример 5. Тестирование геминпептида (II) на вирулецидную активность. Для выявления вирулецидной активности исследовалось влияние геминпептида (II) на целостность и инфекционность ДНК вируса герпеса простого как в составе цельного вириона, так и изолированной. Кроме того, исследовалось влияние геминпептида (II) на ДНК фага В качестве цельного вируса использовали вирусную взвесь, полученную из инфицированных клеток VERO на пике инфекции методом замораживания – оттаивания с последующим удалением клеточных остатков центрифугированием. Исходный титр вируса герпеса простого, тип 1, штамм Л2, составлял 5 log10TWL50/. Изолирование ДНК осуществляли спиртовым методом. Целостность вирусной ДНК определяли с помощью метода полимеразной цепной реакции с использованием пары праймеров к гену гликопротеина В (UL2) с размером фрагмента – 226п.о. Наличие ампликонов к ДНК вируса герпеса определяли с помощью электрофореза, сравнение проводили со стандартной ДНК вируса герпеса и фага. Количество ДНК условно обозначали в + по отношению к контрольной ДНК (++++). Геминпептид (II) растворяли в стерильной дистиллированной воде, исходная концентрация 10-3 М. Изолированную ДНК фага лямбда инкубировали в течение часа с геминпептидом (II) в концентрации 10-4 М при комнатной температуре. В качестве контроля использовали дистиллированную воду. При анализе данных электрофореза в агарозном геле в дорожке с фаговой ДНК после контакта с препаратом ампликоны ДНК фага отсутствовали, тогда как при использовании воды вместо геминпептида (II) полоса амплифицированного участка ДНК не отличалась от полосы с контрольным образцом ДНК фага. Аналогичные результаты были получены после контакта ДНК вируса герпеса с геминпептидом (II) в течение 50 минут (табл.3).
Проведенные исследования с инфекционным вирусом герпеса (вируссодержащая культуральная среда, не содержащая клеток и клеточного дебриса, с инфекционным титром 5 log10 ТЦД50 ) показали, что при воздействии геминпептида в течение 30 минут в концентрациях 10-5 и 10-4 М не отмечается деградации ДНК. При увеличении срока воздействия до 60 минут происходит уменьшение количества амплифицированной ДНК, но только при более высокой концентрации вещества 10-4 М. При увеличении времени воздействия до двух часов происходит полная деградация вирусной ДНК при обеих концентрациях вещества (табл.4).
При одновременном с вирусом ВИЧ или предварительном внесении геминпептида(II) в культуру клеток наблюдается защитный эффект (сохранение жизнеспособности клеток), практически совпадающий с “Ретровиром” при аналогичных концентрациях. При этом цитотоксичность по отношению к интактным (без вируса) клеткам отсутствует в интервале концентраций 10-6-10-5 М. При концентрации 10-5-10-4 М под действием геминпептида (II) происходит полная деградация изолированной вирусной ДНК (герпеса, фага Таким образом, геминпептиды по изобретению, в частности геминпептид (II), соответствующий общей формуле I, обладает значительной дозово- и время-зависимой противовирусной и вирулецидной активностью и может быть использован для биомедицинских целей. Геминпептиды по изобретению могут найти применение при лечении вирусных заболеваний.
Формула изобретения
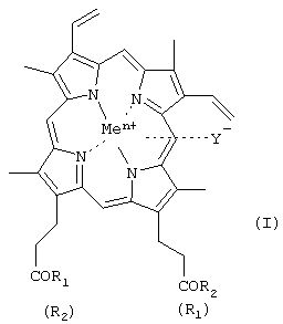
1. Геминпептид, соответствующий общей формуле (I):
где R1=-ArgTrpHisArgLeuLysGlu(OMe)OH, R2=-OH, Y представляет собой Cl–; Me представляет собой Fe, или его фармацевтически приемлемые соли, обладающий вирулецидной и противовирусной активностью, в том числе в отношении вируса герпеса и ВИЧ и способностью разрушать ДНК фага 2. Фрагмент геминпептида общей формулы (I), где R1=-TrpHisArgLeuLysGlu(OMe)OH, R2=-OH, сохраняющий вирулецидную и противовирусную активность, а также способность разрушать ДНК фагов и вирусов, природного происхождения и рекомбинантные.
|
|||||||||||||||||||||||||||||||||||||||||||||||||||||||||||||||||||||||||||||||||||||||||||||||||||||||||||||||||||||||||||||||||||||||||||||||||||||||


, герпеса и ВИЧ. Предложен фрагмент геминпептида. 2 н.п. ф-лы, 5 табл.
R2, в частности, при R1=-ArgTrpHisArgLeuLysGlu(OMe)OH, R2=-ОН (II); карбоксильная группа гемина может быть модифицирована метиловым или другим C1-C8 эфиром или физиологически приемлемой солью; или его фармацевтически приемлемые соли; У представляет собой Cl–; Me представляет собой Zn, Cu, Fe, Mn.
60% фазы Б в течение 15 мин (буфер А – 0.1%-ная водная TFA; буфер Б – 0.09%-ная TFA в смеси ацетонитрил-вода 60:40), детекция при 280 нм. Гидролиз пептидилполимеров, пептидов и геминпептидов проводили в смеси 12 н соляной и пропионовой кислот (1:1) при 140°С в течение 2 ч. Аминокислотный состав определяли на автоматическом аминокислотном анализаторе Biotronic IC5001 (Германия). Величины углов удельного оптического вращения измеряли на спектрополяриметре Perkin Elmer 341 (США). Температуры плавления веществ определяли на термоплавильном столике Boetius (Германия). Электронные и ИК-спектры регистрировали, соответственно, на приборах Jasco model UV/VS 7800 Spectrophotometer (Япония) и Perkin ELMER FT-IR Spectrometer 1725X (Швеция). Масс-спектры высокого разрешения регистрировали на времяпролетном масс-спектрометре с лазерной десорбционной ионизацией (TOF MALDI) Vision 2000 (Thermo Bioanalysis, Англия).
-метилового эфира глутаминовой кислоты в аминоацилполимере составило 0.45 ммоль/г.
-[6 (7)-(Протогемин IX)-ил] – Arg-Trp-His-Arg-Leu-Lys-Glu(OMe)-OH (II)
·10-3): 398.40 (67.42), 499.80 (5.62), 536.0 (4.39), 620.20 (1.46). Масс-спектр, m/z: [M]+ 1636.5. Аминокислотный анализ: Glu 1.42 (1), Leu 0.76 (1), Lys 0.60 (1), His 1.34 (1), Arg 1.89 (2). Содержание пептидного материала в геминпептиде (II), определенное количественным аминокислотным анализом, составляет 83% от теоретического.